Исторические проблемы физики. Сила, масса, инерциальная система отсчета
Исторические проблемы физики. Сила, масса, инерциальная система отсчета.
А.И. Сомсиков
Определение силы и массы
В физике смысл каждой вновь вводимой величины, кроме первоначальных, считается выясненным в том случае, когда найдено уравнение, в котором эта величина выражается через ранее введенные, первоначальные же величины не выводимы.
Например, скорость определяется как отношение пройденного пути ко времени, в течение которого путь пройден (путь и время – первоначальные понятия, не поддающиеся дальнейшему разложению); ускорение есть отношение величины изменения скорости ко времени, в течение которого произошло изменение; работа есть произведение силы на пройденный путь; мощность есть отношение работы к промежутку времени, в течение которого она совершалась и т.д.
Не все величины, однако, имеют столь ясно определенный физический смысл и, прежде всего, две фундаментальные величины классической механики - сила и масса.
Причина состоит в том, что Ньютон ввел одновременно обе эти величины в одном уравнении второго закона механики, вследствие чего одна неизвестная величина - сила определялась через другую неизвестную - массу и наоборот.
Логический круг может быть преодолен путем добавления второго уравнения, содержащего те же неизвестные, исключения одной из неизвестных и выражения второй неизвестной через известные.
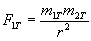
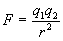
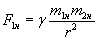
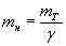
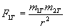
Недостающее уравнение было также дано Ньютоном (закон всемирного тяготения для неподвижных и медленно движущихся относительно скорости света тел), так что полная система двух уравнений есть:
,
.
Для
того чтобы выяснить физический смысл
входящих величин
и
,
нужно, как сказано, решить эту систему.
Итак,
пусть сила, вызывающая ускоренное
движение тела с массой
,
является силой тяготения:
.
После
сокращения
получим:
.
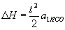
Откуда:
.
Положив
теперь

,
приходим к следующему определению
массы:
.
Массой тела называется произведение ускорения, приобретаемого другим телом, находящимся на заданном расстоянии от него, на квадрат расстояния между телами.
Из формулы видно, что возможно как скалярное, так и векторное истолкование массы:
.
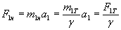
Второй
закон механики является феноменологическим
определением силы (если положить
):
.
Сила есть произведение ускорений взаимодействующих тел на квадрат расстояния между телами.
Из определения следует, что правильно говорить “сила тел” вместо “сила, приложенная к телу”, т.к. сила не является самостоятельной сущностью, могущей быть приложенной, но лишь указанным выше произведением.
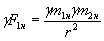
Полная система уравнений ньютоновой динамики состоит из 4-х уравнений:

,
,
,
и
содержит 4 неизвестных -
,
,
,
.
Решение этой системы есть:
,
,
.
Заметим,
что отсутствие или изменение любого из
приведенных уравнений делает в первом
случае невозможным однозначное
определение силы и массы, т.к. при этом
остается 3 уравнения с 4-мя неизвестными,
а во втором равносильно полному изменению
смысла
и
.
А
потому, если где-нибудь равенство
,
например, заменяется равенством
,
(
),
то здесь следует начать с того, что
неизвестно, что такое
и
,
и то, что обозначено прежней буквой,
является совершенно новым понятием.
Система отсчета
Система
отсчета СО, в которой измеряются ускорения
,
,
носит наименование инерциальной системы
отсчета (ИСО).
Основным свойством ИСО является независимость ускорения тела 1 от самого этого тела (постоянство массы тела 2 при изменении тела 1), точно так же ускорение тела 2 не зависит от самого тела 2 (постоянство массы тела 1 при изменении тела 2).
Это означает, что в ИСО приращение ускорения с изменением тела 1 относится каждый раз к телу 2, соответственно с изменением тела 2 считается относящимся к телу 1.
Иными словами, с изменением тела 1 ускорение системы отсчета относительно тела 1 не изменяется (система отсчета остается прежней), точно так же с изменением тела 2 ускорение системы отсчета относительно тела 2 не меняется.
Отсюда следует, что для любой пары 1', 2' ИСО остается той же самой, что и для 1, 2.
В самом деле,
произвольную пару 1', 2' можно получить
из заданной пары 1, 2 путем последовательной
замены вначале тела 1 на тело 1', при этом
относительно 1' ИСО движется с прежним
ускорением
,
т.е. не изменяется, а ускорение тела 2
измеряется в этой же системе отсчета;
затем тела 2 на тело 2', при этом относительно
2' ИСО движется с прежним ускорением (не
изменяется), а ускорение тела 1' измеряется
относительно этой же системы отсчета.
В итоге, ускорения тел 1', 2' измеряются относительно той же системы отсчета, что и ускорения тел 1, 2, с точностью до любой другой системы, движущейся относительно первой без ускорения.
В
ИСО ускорение тела 1 и связанной с ним
системы отсчета СО1 равно
,
соответственно ускорение тела 2 и системы
СО2 -
.
В
СО1 ускорение ИСО равно минус
,
а ускорение СО2 равно:
.
Присоединим к телу 1 некоторое тело 3.
При
этом ускорение СО2 в ИСО становится
равным
(
от добавления тела 3 не меняется).
В
СО1 ускорение СО2 становится равным
.
Таким
образом, приращение
от
добавления тела 3 в ИСО и в СО1 имеет
одинаковую величину и, следовательно,
его можно определить измерением в СО1.
Но это приращение в ИСО однозначно определяет массу тела 3!
Заметим, что как только найдена масса хотя бы одного из тел (в данном случае - тела 3), массы всех остальных тел находятся легко, для чего следует последовательно помещать исследуемые тела на заданном расстоянии от тела 3 и измерять ускорение исследуемых тел относительно тела 3.
При
этом получим:
,
где
-
ускорение i-го тела относительно тела
3,
-
ускорение i-го тела относительно ИСО,
-
ускорение тела 3 относительно ИСО.
Откуда:
,
,
где
-
масса i-го тела.
Вышесказанное является анализом исторически данного материала.
Правильный порядок построения феноменологической теории динамики следующий.
Начало построения
Геометрическое
сравнение тел осуществляется путем
сравнения их размеров; в физике тела
сравнивают по их движениям,
при
этом характеристики движений служат
характеристиками тел.
Опытным
путем установлено, что тела, могущие
свободно перемещаться друг относительно
друга, самопроизвольно приходят в
движение (взаимодействуют), причем в
системе отсчета, связанной с телом 1
(СО1) тело 2 приобретает ускорение
,
зависящее от тела 1 (соответственно в
СО2 тело 1 имеет ускорение
,
где
).
Однако
это ускорение еще не может служить
характеристикой тела 1 прежде всего
потому, что это величина неоднозначная,
а зависит еще и от расстояния:
~
.
Величиной,
не зависящей от расстояния, является
произведение:
.
Однако
и эта величина еще не может служить
характеристикой тела 1, т.к. она зависит
не только от тела 1, но и от тела 2, иными
словами с изменением тела 2 ускорение
меняется:
.
Сделать
это ускорение не зависящим от тела 2
можно путем перехода к другой системе
отсчета (названной инерциальной СО или
ИСО), движущейся ускоренно относительно
СО1 (самого тела 1) с некоторым ускорением
.
Найти
ИСО значит определить
,
зная
.
Пусть даны тело 1 совместно с его системой отсчета СО1 и тело 2.
В
СО1 ускорение тела 2 равно
.
В
искомой ИСО ускорения тел 1, 2 составляют:
,
.
При
этом:
.
Неподвижно присоединим к телу 1 некоторое тело 3.
В
искомой ИСО совместное ускорение тел
(1 + 3) не зависит от тела 1 и составляет
по-прежнему
.
Ускорения
тела 2 равны теперь: в ИСО -
,
в СО1 -
.
При
этом:
.
Пусть:
.
Имеем:
,
т.е. изменения ускорений тела 2 в СО1 и в
ИСО одинаковы, равны
и
могут быть найдены измерениями в СО1.
Уберем теперь тело 1.
В
искомой ИСО ускорение оставшегося тела
3 не изменится и составляет по-прежнему
.
Ускорения
тела 2 равны теперь: в ИСО -
,
в СО1 -
.
При
этом:
.
Оба
ускорения
и
изменятся
в сравнении с
,
на
одинаковую величину, равную
:
,
.
Зная
и
,
найдем теперь
:
.
Зная
,
найдем
:
.
При
заданном
ускорение
теперь
уже не зависит от тела 2, а зависит только
от тела 1.
В
свою очередь произведение
уже
не зависит ни от тела 2, ни от расстояния
и
потому может служить однозначной
характеристикой тела 1.
Эта характеристика получила наименование массы:
.
Выбор ИСО, не связанной ни с одним из взаимодействующих тел, движущейся ускоренно относительно каждого из тел и притом с разными ускорениями объясняется именно тем, что при этом достигается однозначность характеристик каждого из взаимодействующих тел.
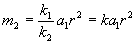
Коэффициенты
Исходные
формулы при построении систем единиц
динамики Ньютона следующие:
,
.
В
системе единиц, предложенной В. Томпсоном,
оба коэффициента
принимаются
равными единице:
,

при этом сам эталон массы оказывается вполне определенным (~ 15 т, при единице длины - см и единице времени - с).
Покажем, как появляются коэффициенты в формулах Ньютона в случае, если эталон массы выбирается произвольно.
Пусть,
например, новый эталон массы составляет
томсоновых
эталонов (g имеет произвольное, отличное
от единицы числовое значение).
Тогда:
.
В
системе единиц типа “динамической”
:
.
Поскольку:
,
и
,
,
то
получаем:
или
,
откуда
.
В
системе единиц типа “гравитационной”
:
.
Второй
закон Ньютона:
в
новой системе единиц:
или
откуда:
.
В частном случае, когда коэффициент в точности равен “гравитационной постоянной”, мы получаем собственно гравитационную и собственно динамическую системы единиц.
Если новый эталон массы, измеряемый в долях от томсонова эталона массы, сохраняет прежнюю размерность [см3/c2] , то коэффициент есть число, показывающее во сколько раз новый эталон больше или меньше томсонова эталона.
Если же новому эталону дано и новое название (например, грамм), то коэффициент приобретает размерность:
.
Итак, гравитационная и динамическая постоянные появляются вследствие произвольности выбора эталона массы при построении систем единиц измерения и не имеют собственного физического смысла.
Случай больших скоростей
Если считать установленным существование предельной относительной скорости перемещения взаимодействующих тел, при приближении к которой их ускорения стремятся к нулю по формулам:
,
(
при
),
где
-
ускорение при относительных скоростях
,
много меньших скорости света
,
то и сила взаимодействия
,
(
при
).
Вообще
говоря,
может
означать либо
по
формуле
,
либо
по
формуле
,
поскольку
.
Математически оба варианта равноценны.
Однако
физически
невозможно,
т.к. это означает
,
т.е.
и
,
что исключается, поскольку
при
.
Поэтому
мы и говорим, что
означает
именно
.
Кроме
того, поскольку
,
означает
также
:
.
При
приближении к предельной скорости
масса
каждого из взаимодействующих тел
стремится к нулю.
Масса
одного и того же тела равна нулю для
тел, достигших предельной относительной
скорости
и
не равна нулю для тел, не достигших
предельной относительной скорости,
иными словами значение массы является
относительной величиной.
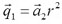
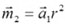
Определение заряда
Закон
Кулона:
.
По
определению:
,
где
-
ускорения, приобретаемые
взаимодействующими телами (в ИСО).
Откуда:
или
.
Положив
теперь
,
получим:
,
,
иными словами понятие “заряда” тождественно понятию массы.
Далее: F = a1 a2 r2 = a1 q1 = a2q2, - второй закон Ньютона в области электростатики.
По
определению, напряженность
электростатического поля
есть
ускорение, приобретаемое пробным телом.
Векторное
истолкование заряда:
.
Потенциальность поля
Если
в направлении действия поля пробное
тело движется с предельной относительной
скоростью
,
то его сила
и
работа
.
Если
в обратном направлении тот же путь
проходится с относительной скоростью
меньшей предельной, то тогда
,
соответственно и работа
имеет
конечное значение.
Суммарная работа по замкнутому пути оказывается не равной нулю.
Потенциальность
поля, устанавливаемая по признаку
равенства нулю работы при перемещении
пробного тела по замкнутому пути,
нарушается в общем случае, включающем
предельную относительную скорость
перемещений.
Переход от ИСО к СО1
Перенесем теперь тело 2 из СО2 в СО1, неподвижно присоединив его к телу 1.
В
ИСО до переноса тела 2:
,
,
,
.
В СО1 до переноса тела 2:
,
.
В ИСО после переноса тела 2:
,
,
,
.
При
этом
означает:
.
В СО1 после переноса тела 2:
,

Поскольку
,
,
то, следовательно,
.
Поэтому
переход от ИСО к СО1 равнозначен переносу
в эту СО1 тела 2, сопровождающемуся
суммированием масс
,
а также переносу в СО1 самой ИСО.
И
обратно, переход от СО1 к ИСО равнозначен
выделению из тела 1, находящегося в СО1,
некоторого тела 2 с массой
.
После
переноса тела 2 в СО1 совместная масса
тел, находящихся в СО1:
.
Итак,
для тела, находящегося в СО1, масса тела
может быть найдена измерениями в самой
СО1, при использовании в процессе
измерений тела бесконечно малой (не
возмущающей) массы
(пробного
тела).
Взаимодействие тел с существенно различными массами
В
частном случае взаимодействия масса
тела 2 может быть много меньше массы
тела 1:
,
что означает:
или
.
Выполним переход от ИСО к СО1 для данного случая.
В ИСО до перехода к СО1 (переноса тела 2 в СО1):
,
,
,
,
,
.
В СО1 до переноса тела 2:
,
.
Ввиду
малости
относительно
имеем:
,
.
В
ИСО после перехода к СО1, соответствующего
переносу в СО1 тела 2 с массой
:
,
,
,
.
Ввиду
малости
относительно
и
относительно
,
имеем:
,
,
,
.
В
СО1 после переноса в нее тела 2:
,
,
т.е.
присоединение тела 2 малой массы
к
телу 1 большой массы
не
изменяет массу тела 1 и ускорение
,
приобретаемое телом бесконечно малой
массы относительно СО1.
Эксперимент Галилея
Именно такой случай обнаружен в эксперименте Галилея, “опровергнувшим” тезис Аристотеля о неравенстве ускорений тел, обладающих различными массами.
Эксперимент,
выполненный в СО1, где тело 1 - Земля
(объект с очень большой массой
),
тело 2 - любой объект с малой массой
,
показал, что в пределах точности измерений
ускорение тела 2 не зависит от массы
.
В
самом деле, при
присоединение
массы
к
массе
,
задающее переход от ИСО к СО1, ввиду
малости
практически
не изменяет
,
т.е. ускорение
,
приобретаемое “галилеевским” пробным
телом пренебрежимо малой массы
относительно
тела большой массы
действительно
не зависит от
.
Итак, результат Галилея относится к частному случаю взаимодействия тел с существенно неравными массами.
Он устанавливает фактически способ определения СО1 в качестве местной ИСО относительно некоторых, вполне определенных для данной СО1 и данной точности измерений галилеевских объектов с помощью самих этих объектов.
Его
заключение таково: “Данный эксперимент
устанавливает, что для данных галилеевских
объектов данное небесное тело является
телом достаточно большой массы
,
чтобы его СО1 для данных галилеевских
объектов и при данной точности измерений
могла быть принята в качестве местной
ИСО”.
Для
тела 1 с малой массой
или
тела 2 с большой массой
он
бы получил другой результат, чтобы
констатировать в свою очередь: “Эксперимент
устанавливает, что для данных объектов
данная СО1 с точностью, определяемой
точностью измерений, не может считаться
местной ИСО” или иначе: “Данные объекты
относительно ИСО = СО1 с точностью,
определяемой точностью измерений, не
могут считаться галилеевскими объектами,
имеющими бесконечно малую массу
относительно
”.
Посмотрим
теперь, как выглядит эксперимент Галилея
в общем случае, вначале для произвольной
массы
,
затем для произвольной массы
.
Определим предварительно требуемые условия проведения эксперимента.
Пусть мы желаем наблюдать падение тела 2' большой массы в два раза быстрее падения тела 2" галилеевской массы.
Это
значит, что за время прохождения телом
2' пути
(где
-
высота Пизанской башни) тело 2" проходит
путь
.
Поэтому
в СО1, где тело 1 - Земля (объект много
большей массы
)
тела 2' и 2" имеют разные ускорения
,
,
причем
.
Поскольку ускорение любого тела 2 в СО1 равно:
,
то
имеем: для галилеевского объекта
,
.
Для
искомого объекта большой массы
:
.
Но
.
Следовательно
,
,
т.е.
.
Таким
образом выясняется, что искомый объект
2' большой массы
и
одинаковой геометрии с галилеевским
объектом должен иметь массу
,
равную массе Земли
(очевидно
при этом, что бросать объекты 2' и 2"
можно только поочередно, а после броска
тела 2' убирать его куда-нибудь подальше,
скажем, за орбиту Луны).
Поэтому полученное Галилеем равенство ускорений есть всего лишь результат “удачно” выбранных галилеевских объектов.
Оценим порядок величин, которые пытался обнаружить Галилей.
Пусть

,
.
Опережение
телом
2' тела 2" в СО1 составляет:
,
где
,
,
т.е.
.
При
с,

Откуда
.
Если
теперь выбрать в качестве тела 1 тело
пренебрежимо малой массы
,
то при измерениях в СО1 галилеевский
объект массой
действительно
обладает в 2 раза большим ускорением
,
в полном соответствии с “опровергаемым”
положением Аристотеля.
Для
этого достаточно обеспечить при массе
дробинки
г
и ядра
кг
массу Земли, вместе с находящейся на
ней Пизанской башней и экспериментатором-физиком,
равную, скажем,
г.
При
этом, однако, возникает новая трудность:
при
и
имеем:
.
При
таком ускорении
путь
м
будет пройден за время
,
равное:
,
т.е.
воображаемый Галилей не доживет до
конца эксперимента, а за время жизни
реального Галилея
пройденная
высота Пизанской башни составит:

так
что требуемая точность измерений
все
еще будет составлять порядка
.
Если
считать, что такая точность измерений
не достижима на практике, то тем более
недостижима точность измерения по
программе “Галилей” за время наблюдения
c,
равное времени наблюдения реального
Галилея:
.
При этом экспериментатор рискует вновь прийти к неверному выводу: “ускорение тел не зависит от их массы” и даже в усугубленном виде “перемещения тел не зависят от массы”.
Итак,
положение Аристотеля относится к другому
частному случаю обратного соотношения
масс
при
измерениях в СО1.
Фактически результат Аристотеля реализуется в самом эксперименте Галилея при переходе от СО1 к СО2, образующем своего рода “инверсию” точки зрения.
Таким образом, оба положения: Аристотеля – “ускорение тела пропорционально массе тела” и Галилея – “ускорение тела не зависит от массы тела” действительно относятся к одному и тому же частному случаю взаимодействия тел 1, 2 с существенно неравными массами.
При
этом, однако, для
результат
Галилея реализуется в СО1, а результат
Аристотеля - в СО2.
Оба “взаимоисключающие” положения оказываются верными, относятся к одному и тому же частному случаю взаимодействия и “подтверждаются” одним и тем же экспериментом, но только лишь в разных СО.
В
общем же случае верным является положение
Ньютона: “В ИСО, для данной пары 1, 2,
ускорение объекта 2 не зависит от его
массы
”.
Случай Ньютона
Пусть теперь оба тела 1 и 2 имеют не галилеевские большие массы.
Назовем их
ньютоновскими объектами
,
:
,
,
где
.
Пусть
попрежнему
,
а
.
Тогда
поскольку
,
справедливо:
.
С
учетом:
,
,
поскольку
,
при некоторых
оба
ускорения
,
,
все время оставаясь при этом
.
При
некотором порядке малости, определяемом
заданной точностью измерений, оба
ускорения достигают значений, принимаемых
за нулевые, причем
достигает
этого значения много раньше
:
,
,
,
.
Поскольку
при этом
,
то ИСО таким образом вновь совмещается
с СО1. Другими словами при взаимодействии
тел с ньютоновскими массами
начиная
с некоторого минимального
(назовем
его минимальным ньютоновским расстоянием
)
ИСО вновь, как и в случае галилеевского
объекта
приводится
к СО1.
Итак,
при взаимодействии ньютоновского и
галилеевского объектов
:
,
,
,
,
,
,
,
при
любом
.
При
взаимодействии двух ньютоновских
объектов
,
с существенно неравными массами
:
,
,
,
,
,
,
,
т.е.
не
при любом, а лишь начиная с некоторого
ньютоновского расстояния
,
определяемого заданной точностью
вычислений.
Определим
теперь
как
функцию от заданного соотношения масс
,
и заданной точности вычислений.
Пусть
,
.
В ИСО ускорения тел 1, 2 составляют:
,
.
Видно,
что
и
отличаются
от
и
только
на величину
,
т.е. сама СО1 отличается от ИСО в пределах
.
Если
теперь
(ввиду
),
то при определенной точности вычислений
ею можно пренебречь, т.е. принять:
,
.
При
этом:
,
где
-
погрешность приближения, вносимая
заменой истинной ИСО приближенной
.
Поскольку
,
имеем:
.
Откуда
минимальное ньютоновское расстояние
,
соответствующее допускаемой максимальной
погрешности приближения
,
составляет:
.
Например,
в ньютоновской системе 1, 2, где тело 1 -
Земля,
,
тело 2 - Луна,
,
,
имеем:
,
.
Примем теперь СО1 в качестве приближенной ИСО.
Получим:
,
.
При этом погрешность приближения составляет:
.
При
заданной погрешности приближения,
например,
имеем:
.
Поскольку
реальное
удовлетворяет
заданной погрешности приближения,
принятие СО1 в качестве приближенной
ИСО в данном случае допустимо.
При
меньшем допускаемом значении погрешности
приближения, например,
минимальное
ньютоновское расстояние для данной
пары 1, 2 ньютоновских объектов составляет
уже
,
что не обеспечивается в реальной паре,
т.е. в данном случае принятие СО1 в
качестве приближенной ИСО не допустимо.
Ньютоновский
вопрос, обычно выражаемый примерно так:
“Является ли сила, действующая на
расстоянии до Луны, силой того же рода,
что и на поверхности Земли” или, в
несколько уточненной формулировке:
“Является ли сила, действующая на
ньютоновский “большой” объект,
находящийся на расстоянии до Луны, силой
того же рода, что и действующая на
галилеевский “малый” объект, находящийся,
вообще говоря, на любом расстоянии, в
том числе и на расстоянии до Луны”, в
форме наиболее отвечающей сути поисков
Ньютона, может выглядеть еще и так:
“Является ли ИСО двух ньютоновских
“больших” объектов, находящихся на
ньютоновских “больших” расстояниях
друг от друга, той же самой, что и ИСО
ньютоновского и галилеевского объектов,
для которых
при
любом (галилеевском или ньютоновском)
расстоянии, где 1 - ньютоновский объект?”.
Ответ такой:
“Да,
если масса одного ньютоновского объекта
много больше массы другого
,
а ньютоновское расстояние
удовлетворяет
соотношению:
,
т.е.
достаточно велико, чтобы, в пределах
точности вычислений, определяемой
допускаемыми погрешностями
,
можно было принять
,
а саму
”.
С указанной выше точностью именно такой случай имеет место в ньютоновских окрестностях Земли, что и позволило самому Ньютону понять то обстоятельство, что взаимодействие тел простирается на ньютоновские расстояния.
Следует, однако, помнить и другие возможные варианты ответа:
“Нет,
если оба ньютоновских объекта близки
друг другу по массе
,
при любом расстоянии между ними, кроме
,
когда оба
,
т.е. взаимодействие прекращается,
вследствие чего в качестве местной ИСО
может быть принята как СО1, так и СО2”.
“Нет,
если массы ньютоновских объектов
удовлетворяют условию
,
но ньютоновское расстояние
при
заданной точности измерений, определяемой
,удовлетворяет
соотношению:
”.
При
наличии в ньютоновских окрестностях
тела 1 с массой
не
одного тела 2, а множества тел
c
массами
местная
ИСО может быть найдена по отдельности
для каждой пары
,
.
Если
при этом тело 1 имеем массу
,
то его СО1 с учетом
и
заданной точности приближения может
быть принята в качестве местной ИСО для
каждой заданной пары.
При
этом СО1 является совместной приближенной
ИСО системы, образованной
ньютоновскими
взаимодействующими объектами.
Система Коперника
Именно такой случай обнаружен в масштабе солнечной системы, где тело 1 - Солнце, что и зафиксировано в гелиоцентрической системе описания движений небесных тел.
Открытие
Коперника, до сих пор выражаемое в
логически противоречивой форме: “Планеты
обращаются вокруг Солнца” (поскольку
движение относительно и определяется
выбранной СО), в свете законов Ньютона
выглядит иначе: “Солнце является
ньютоновским объектом, масса
которого
много больше массы
любой
планеты, поэтому его СО1, с известной
погрешностью приближения, может быть
принята в качестве совместной ИСО
солнечной системы”.
Действительно,
для пары Солнце - Меркурий,
,
,
:
,
.
Для
пары Солнце - Земля, где
,
,
аналогичные вычисления дают:
,
;
для пары Солнце-Юпитер, где
,
:
,
,
и т.д.
Для
трех указанных пар принятие СО1 в качестве
приближенной местной ИСО сопровождается
абсолютной погрешностью
.
При
этом относительная погрешность
для
данной пары ньютоновских объектов
составляет:
для пары Солнце-Меркурий:
,
для пары Солнце-Земля
;
для пары Солнце-Юпитер
.
Однако как бы ни была мала исходная погрешность приближения, соответствующая ей накопленная погрешность, например, при расчете текущего пространственного положения ньютоновских объектов определяется длительностью наблюдения и через определенный промежуток времени превысит погрешность определения фактического положения, что и обнаружится в виде несоответствия расчетному положению.
Поэтому истинная ИСО все же не является СО1 и все планеты вовсе не “обращаются вокруг Солнца”, а вместе с ним - вокруг общего центра масс солнечной системы, как раз и образующего истинную ИСО.
А как это излагается в учебниках физики?
В работе [ 1 ] выявлена ошибочность понимания первого закона Ньютона (закона инерции), определяющего траекторию инерционных движений.
Посмотрим теперь, как физика понимает ИСО. Приведем всего лишь один пример, отражающий это понимание.
Цитата:
“Из определения механического движения как простого перемещения явствует, что это перемещение может происходить лишь относительно каких-либо других материальных тел. Поэтому для того, чтобы получить возможность характеризовать движение какого-либо тела, прежде всего следует условиться, относительно какого другого тела (или группы неподвижных друг относительно друга тел) мы будем отсчитывать перемещение данного тела. Это тело (или группа тел) образует систему отсчета. Таким образом, каждое движение должно рассматриваться относительно какой-либо определенной системы отсчета. В разных случаях система отсчета может выбираться различным образом, но определенно характеризовать данное движение мы можем, только твердо выбрав систему отсчета. Например, бросив какой-либо предмет, мы можем рассматривать его движение относительно комнаты; в этом случае систему отсчета образуют стены, пол и другие части комнаты. Мы можем, однако, рассматривать движение того же тела и относительно Солнца или какой-либо определенной звезды, только мы должны вперед точно условиться, относительно чего именно мы рассматриваем движение нашего предмета” [ 2 ] (с. 17).
Здесь ключевая фраза “перемещение может происходить лишь относительно каких-либо других материальных тел”, а ключевое слово “лишь”. Этим все сказано.
Другими словами, движение относительно нематериальной точки пространства в этом мировоззрении даже не мыслится. И это сказано через 3 века после Ньютона! Что означает все еще не состоявшееся понимание смысла ньютоновского переворота. Не только самим Ньютоном, но, к сожалению, и нашими современниками.
Еще цитата:
“Останавливаясь более подробно на первом законе Ньютона, надо поставить вопрос: относительно какой системы отсчета (какой координатной системы) устанавливается тот покой или то равномерное и прямолинейное движение, о котором идет речь в первом законе Ньютона. Сам Ньютон подразумевал, что речь идет о некотором абсолютном движении в абсолютном пространстве. Он писал: “Абсолютное пространство по всей своей сущности, безотносительно к чему бы то ни было внешнему, остается всегда одинаковым и неподвижным… Абсолютное движение есть перемещение тела из одного абсолютного его места в другое”. Такая точка зрения метафизична и не соответствует действительности. Свойства объективно существующего реального пространства определяются самой материей. Положение тел и их движение, как мы уже подчеркивали, могут быть определены лишь относительно других материальных тел; по отношению к различным телам одно и то же тело может двигаться по-разному.
Наблюдения показывают, что первый закон Ньютона справедлив не по отношению к каждой системе отсчета. Рассмотрим несколько примеров. Положим, что системой отсчета является прямолинейно и равномерно движущийся вагон. Тогда, если отвлечься от сотрясений, первый закон Ньютона выполняется: покоящиеся относительно вагона тела не приходят в движение без воздействия на них со стороны других тел и т.д. Но стоит вагону начать заворачивать, тормозить или ускорять ход, как появятся явные нарушения первого закона Ньютона: покоившиеся до того тела могут отклониться или упасть без видимого воздействия на них со стороны окружающих тел. Возьмем в качестве системы отсчета земной шар; в этом случае первый закон Ньютона выполняется гораздо точнее, чем в случае движущегося вагона, где даже при равномерном движении сказывается тряска, но и здесь достаточно тонкие наблюдения над некоторыми процессами (качание маятников, распространение воздушных и океанских течений и т.д.) выявляют отклонения от первого закона Ньютона или, вернее, от следствий из него. Но если мы выберем в качестве системы отсчета гелиоцентрическую систему, начало которой помещено на Солнце, а оси направлены на определенные звезды, то в таком случае первый закон Ньютона выполняется практически вполне точно. Система отсчета, по отношению к которой выполнен первый закон Ньютона, носит название инерциальной системы. Сам первый закон Ньютона иногда называется принципом инерции.
Как указано, инерциальной системой практически вполне точно является гелиоцентрическая система; инерциальной будет также и всякая система, движущаяся относительно нее равномерно и прямолинейно.
Всякая же система, имеющая относительно одной из инерциальных систем ускорение, сама не будет инерциальной” (там же, с. 45).
Отвлечемся от выбранного сомнительного примера прямолинейного движения, образуемого двумя вращениями - относительно центра Земли и вместе с ней - относительно Солнца.
А также и от того, что является отрицательной чертой науки: еще не выяснив толком, что это такое, сразу же начинать вести речь о разных его видах. Применительно к ИСО - рассуждать о других ИСО. Как будто только о них еще и осталось что-то там еще выяснить. Этим намеренно затуманивается вопрос о незнании смысла самой ИСО, ИСО как таковой. Хотя бы одной из них. Что и называется уходить от вопроса.
В рассматриваемом примере интересно принятие вагона в качестве ИСО.
Если бы дело происходило в открытом пространстве, то это, вообще говоря, могло бы быть допустимо. Если, например, масса вагона 10 т, а масса тела 1 кг и оба они представлены точечной телами, расположенными на небольшом расстоянии друг от друга (а вовсе не помещением малого тела внутри большого, возможно, вблизи его центра масс). Только лишь в этом случае ИСО с известной точностью действительно может быть представлена СО вагона. Но дело то в том, что это происходит вовсе не в открытом пространстве, а на поверхности Земли, роль которой полностью упущена. Она же такова, что ИСО является СО именно Земли. Как раз поэтому в отсутствие трения выдергивание вагона из-под тела не изменяет положение этого тела в ИСО. Что и образует перемещение тела, покоящегося в ИСО, относительно вагона.
Так же неверно принятие СО Солнца в качестве ИСО. Солнце, конечно, гораздо массивней Земли, но и расстояние до него настолько превышает земной радиус, что создаваемое им ускорение 0,6 см/с2 пренебрежимо в сравнении с ускорением 980 см/с2, создаваемым Землей.
Здесь правильный ответ может быть только один. ИСО в данном случае является только СО Земли, именуемой также птолемеевской СО.
Оба эти неверных утверждения остаются незамеченными лишь потому, что никому и в голову не приходит посмотреть на них повнимательней, а не вполглаза.
Вот что еще в этом тексте привлекает внимание. В качестве ИСО принимается то Земля, а вместе с ней, стало быть, и система Птолемея, вроде бы опровергнутая Коперником, то Солнце и вместе с ним система Коперника. При этом остается совершенно не ясным, как и когда совершается переход от одной системы к другой. Поскольку победившими коперниканцами строжайшим образом табуировано даже само упоминание о том, что “опровергнутая” система Птолемая и до сих пор вовсю применяется в масштабе Земли, достигая даже Луны. Притом что и сама система Коперника верна лишь для планет солнечной системы, а вовсе не для звезд, взаимодействующих с Солнцем. Или Галактики, где Солнце само является такой же “планетой”. Не говоря уж об атомарных или внутриатомных движениях, в которых понятие ИСО и вовсе неясно. Тут даже придумано целое “объяснение”: в таком масштабе законы классической механики уже почему-то не действуют. Что попросту означает: сие покрыто мраком тумана.
И в заключение
Птолемей и Коперник, будучи, вероятно, современниками [ 3, 4 ], имели, в сущности, одинаковое мировоззрение, свойственное своему времени. Принять ли Землю или же Солнце в качестве неподвижной СО в общем-то не существенно.
Но даже и сам Ньютон, фактически учредивший принципиально иную ИСО, тоже, конечно, не понимал радикального значения ее открытия. Понятно почему.
Первый из его законов просто неверен, а третий является всего лишь определением физической величины силы. Четвертый же - закон всемирного тяготения стоит и вовсе особняком, без понимания его теснейшей связи с тремя другими.
Из их совокупности вытекает, что истинная ИСО вовсе не является неподвижной, а наоборот движущейся, причем ускоренно, относительно каждого из взаимодействующих тел!
В этом и состоит величайшее мировоззренческое открытие, понимание которого до сих пор еще не достигнуто.
А “неподвижные” земная или напротив солнечная СО - это всего лишь частные случаи “правильного” соотношения взаимодействующих масс и пространственного масштаба.
Птолемеевская система образована частью пространства, примыкающей к любому материальному объекту.
Она имеется даже у галилеевских объектов, хотя и вырождается в пленку нулевой толщины, покрывающей их поверхность.
У ньютоновских объектов это уже не пленка, а окружающая их сферическая часть пространства. С птолемеевским радиусом Rп, определяемым массой mн ньютоновского объекта. Расположенного в ее центре.
В масштабе Rп действие ньютоновских объектов на галилеевские объекты превышает действие Солнца. Поэтому здесь по-прежнему верна система Птолемея. И в этом масштабе она никогда не была и не может быть опровергнута никакими Коперниками.
И точно так же в коперниковском большом масштабе Rк (масштабе солнечной системы), где солнечное воздействие превышает воздействие всех прочих ньютоновских объектов, с заданной точностью верна система Коперника. И ее тоже не опровергнет и не может опровергнуть никакой Птолемей. Но только за вычетом локальных частей пространства, примыкающих к самим ньютоновским объектам. Образующих множество птолемеевских зон.
Другими словами, система Коперника не является непрерывной. Охватываемое ею пространство напоминает головку сыра, содержащую множество планетарных “дыр” с центрами, образованными ньютоновскими объектами. Внутреннее пространство которых описывается системами Птолемея, независимыми между собой.
В этом и только этом смысле можно говорить о том, что система Коперника действительно опровергла систему Птолемея. Ошибочно экстраполируемую в чрезмерно большой для нее масштаб солнечной системы. Вблизи же ньютоновских объектов система Птолемея нисколько не пострадала, и можно даже сказать, что в точности так же опровергает систему Коперника. Добавим, что система Птолемея образована множеством локальных фрагментов, примыкающих к каждому ньютоновскому объекту. Обстоятельство, возможно, и вовсе не замечаемое участниками физических споров.
А в общем случае не правы оба, т.к. истинная ИСО не является ни земной, ни солнечной СО.
Поэтому исторический спор Птолемея-Коперника остается не завершенным до выяснения диапазонов масс и пространственного масштаба, в пределах которых каждая из систем с известной точностью является справедливой.
Это выяснение ставит, наконец, точку в этом затянувшемся и неадекватном историческом споре.
Список литературы
www.sciteclibrary.ru/rus/catalog/pages/8444.html .
С.Э.Фриш, А.В. Тиморева “Курс общей физики” Том I. Физические основы механики. Издание шестое, исправленное. Государственное издательство технико-теоретической литературы, Москва, 1955.
Г.В. Носовский, А.Т. Фоменко “Реконструкция всеобщей истории. Исследования 1999 – 2000 годов, Новая хронология” ФИД “Деловой экспресс”, Москва, 2000, с. 378 -379.
Г.В. Носовский, А.Т. Фоменко “Введение в Новую Хронологию (Какой сейчас век?)”, Изд. “Крафт”, Москва, 2001, с. 98.
Для подготовки данной работы были использованы материалы с сайта http://sciteclibrary.ru/