Синтез ЖК. Дендримеры
Синтез ЖК
ВВЕДЕНИЕ
В последнее время активно развивается новая область химии высокомолекулярных соединений, связанная с синтезом трёхмерных суперразветвлённых полимеров и олигомеров, называемых дендримерами . Этот класс соединений интересен тем, что при их получении c каждым элементарным актом роста молекулы количество разветвлений увеличивается в геометрической прогрессии. В результате с увеличением молекулярной массы таких соединений изменяются форма и жесткость молекул, что, как правило, сопровождается изменением физико-химических свойств дендримеров, таких как характеристическая вязкость, растворимость , плотность и др.
Существующие синтетические подходы позволяют получать регулярные дендримеры, макромолекулы которых обладают строго определённой молекулярной массой. Кроме того, следует отметить, что многие свойства дендримеров, такие как, например, температура стеклования и другие, в существенной степени зависят от химической природы концевых групп, располагающихся на поверхности таких шарообразных молекул. Всё вышесказанное вызывает интерес химиков-исследователей к синтезу дендритных макромолекул. Так, к настоящему времени синтезированы дендримеры на основе простых и сложных полиэфиров, полиамидов , полифениленов , полисилоксанов [3,], поликарбосиланов [,] и др. В литературе также имеются сведения о получении дендритных блок-сополимеров, содержащих на одной половине “молекулы-шара” гидрофобные фенильные поверхностные группы, а на другой - гидрофильные карбокси- группы , или на одной половине электроноакцепторные CN-группы, а на второй - электронодонорные фенилокси- группы . Перечисленные и многие другие публикации свидетельствуют об огромных возможностях молекулярного дизайна дендритных макромолекул.
В данной работе и вышедшей по ней публикации предлагается новый тип дендримеров - жидкокристаллические (ЖК) дендримеры, которые отличаются от ранее описанных в литературе [,] тем, что мезогенные группы, “отвечающие” за реализацию ЖК состояния, находятся только в поверхностном слое дендритных макромолекул регулярного строения.
Такие ЖК дендримеры представляются нам интересным объектом для исследований по следующим основным причинам.
Прежде всего следует отметить необычный, экзотический характер строения таких соединений, где каждая суперразветвлённая молекула может быть представлена в виде сферы, внутренняя часть которых состоит из немезогенных блоков, а наружная поверхность сферы образована мезогенными фрагментами. Подобное “микрогетерогенное” строение молекул должно предопределять склонность таких систем к микрофазовому разделению, подобно тому, как это имеет место в блок- и привитых сополимерах, склонных к образованию различного рода мезоморфных структур ламеллярного, гексагонального и др. типов . И в этом смысле изучение структурной организации дендримеров, построенных из разнородных блоков, часть из которых склонна к формированию ЖК фазы несомненно представляет существенный научный интерес как с точки зрения их молекулярной, так и надмолекулярной структуры.
Возможность создания “ЖК оболочки” (рубашки) вокруг центрального ядра, образованного дендритной матрицей, безусловно интересна и с практической точки зрения, поскольку открывает перспективы для использования таких соединений в качестве активных модификаторов механических, реологических и трибологических свойств полимеров, а также создания на их основе селективных мембран и носителей лекарственных препаратов.
Изучение ЖК дендримеров, по-существу, только начинается, а быстро растущее число опубликованных работ, посвящённых суперразветвлённым молекулам, не содержащих мезогенных групп, дают основание надеяться на привлечение внимания исследователей, работающих в области жидких кристаллов и ЖК полимеров к изучению этих необычных объектов.
Глава I. ЛИТЕРАТУРНЫЙ ОБЗОР
1. Дендримеры - новый тип высокомолекулярных соединений.
Термин дендример (“dendrimer”) происходит от английского слова “dendritic” - “ветвящийся, древовидный”. Его ввёл Д. А. Томалиа на первой международной конференции по полимерам, проходившей в Японии в августе 1984 г. . Синонимом слова дендример является арборол (“arborol”), которое ввёл Г.Р. Ньюком . Оно происходит от латинского “arbor”, что означает дерево. Сами эти названия говорят о специфичности строения таких соединений.
И действительно, если посмотреть на схематическое двухмерное изображение молекулы дендримера (рис. 2), в ней можно выделить центральный атом (или группу атомов), называемых начальным центром и отходящие от него “ветви”. Количество последних зависит от функциональности начального центра (N>C>) и обычно равно 1, 2, 3 или 4. Собственно дендримерами называют дендритные макромолекулы с N>C> і 2. В случае же N>C> =1 такие структуры принято называть монодендронами или просто дидендронами (см. рис. 2) [1]. Тогда дендримеры можно разделить на дендроны, тридендроны и т.д.

Рис. 2. Схематическое изображение дендритных макромолекул (двухмерная проекция, N>B> = 2 во всех случаях).
Разветвлённость каждой ветви дендримера (дендрона) зависит от функциональности элементарного звена такой макромолекулы (N>B>) и обычно равна 2 или 3. Для примера на рис. 2 представлены дендримеры с N>B> = 2.
Если через центр дендритной молекулы мысленно провести окружности, проходящие через существующие и потенциальные точки ветвления дендримера (рис. 3), и пронумеровать их, начиная с 0, можно увидеть, что благодаря симметричности молекулы все точки ветвления попадут на окружности. Максимальное полученное таким образом число называется номером генерации G данного дендримера .

Рис. 3. Двумерные проекции дендримера с N>C> = 3 и N>B> = 2 как функция генерации (G) 0 ё 4.
Используя введённые выше понятия функциональности центра N>C> и элементарного звена N>B>, а также номера генерации G, можно вычислить количество концевых групп, повторяющихся звеньев (степени полимеризации) и молярную массу дендримера как функцию генерации. Для идеальных систем справедливы следующие соотношения [1] :
Как видно из представленных формул, число концевых (поверхностных) групп в молекуле дендримера на каждой генерации растёт в геометрической прогрессии. В то же время размер молекулы, а следовательно и “поверхность”, доступная для размещения концевых групп на каждой генерации увеличивается лишь в квадратичной зависимости. Это приводит к тому, что плотность упаковки поверхностных групп дендримера тоже растёт от меньших генераций к большим. В следствии этого изменяются форма и жёсткость молекул дендримеров от рыхлых структур, по форме напоминающих “морские звёзды”, до жёстких шаров [1]. Однако это не может продолжаться до бесконечности, и наступает момент, когда все концевые группы уже не могут разместиться на поверхности сферы, образованной молекулой (так называемый парадокс Мальфусиана , поскольку плотность упаковки при этом превысила бы 1. В результате регулярный рост макромолекулы становится невозможным, однако дальнейший нерегулярный рост такой шарообразной молекулы вполне реален. Таким образом возникает предельное число генераций, до которого возможно формирование индивидуальных дендримеров.
Интересно отметить тот факт, что ещё в 1982 (!) году, т. е. до появления первых синтетических работ в этой области и даже самого термина дендример, вышла работа [21], в которой теоретически предсказывается существование этого предела. Более того, в ней предлагается простой метод расчёта предельной генерации для любых конкретных дендритных систем, основанный на вычислении теоретической плотности упаковки молекулы дендримера.
Остановимся подробнее на методах синтеза последних.
1.1. Основные подходы к синтезу дендритных макромолекул.
Основные предпосылки создания макромолекулярных систем восходят к работам П. Флори , который высказал предположение о возможности получения в высокофункциональной системе не сшитого и не циклического, а сильно разветвлённого полимера. Для достижения такого результата необходимо выполнить одно главное условие, назовём его условием Флори. Итак, если в мономере содержится более двух функциональных групп, одна из которых А, а остальные В, и если А не реагирует с А, и В с В, а имеет место только взаимодействие А с В, в результате которого образуется химическая связь А-В, то в этих условиях и может образоваться несшитый и не полициклический полимер, представленный на рис. 4.

Рис. 4. Схема неуправляемого синтеза дендримеров.
Если же теперь представить, что в том же самом исходном мономере не только А не взаимодействует с А, и В с В, но и А не взаимодействует с В, а образование химической связи происходит лишь при взаимодействии А с С, причём функциональная группа В на определённом этапе может быть трансформирована в С, то в результате использования такой схемы может быть реализован процесс полностью контролируемого роста молекулы (рис.5).
Процесс, представленный на рис. 4, называют неуправляемым синтезом дендримеров, поскольку размеры и молекулярная масса получаемого продукта определяются реакционной способностью образующихся промежуточных соединений и рядом кинетических факторов. При этом получается полидисперсный продукт нерегулярного строения. Преимуществом такого подхода является его одностадийность.

Рис. 5. Схема управляемого синтеза дендримеров.
Вторую схему (рис. 5) называют управляемым синтезом дендримеров, поскольку продукт, полученный на каждой стадии, можно выделить в виде индивидуального соединения. В этом случае решающее значение имеет принцип защиты реакционных групп (А не реагирует с В, а реагирует только с С). При управляемом синтезе полимер собирается “послойно” с помощью последовательности чередующихся реакций наращивания “слоя” и снятия защиты. В результате получается монодисперсный продукт, молекулярная масса и размеры которого строго определяются числом проведённых реакций или номером генерации G, означающем число наращенных слоёв. При этом можно остановиться на любой стадии и получить дендример любой генерации и с любыми функциональными группами на поверхности.
Рассмотрим теперь конкретные примеры синтезированных на сегодняшний день дендримеров.
1.1.1 Неуправляемый синтез.
В самых первых работах для описания систем, имеющих случайную разветвлённую топологию и широкое молекулярно-массовое распределение, использовался термин “поликонденсаты”. Так, описаны методы синтеза, основанные на конденсации бензилгалогенидов по Фриделю-Крафтсу и поликонденсации 2,5,6-трибромфенола с образованием арилового эфира .
Более поздние примеры поликонденсации такого типа приводят к образованию полностью ароматических, полиэфирных, металлоорганиче-ских и кремнийсодержащих гиперразветвлённых систем. В основном конечные продукты существенно более полидисперсны, чем продукты, полученные по управляемому методу (см. гл. 1.1.2.) с идеальностью ветвления 50-75%.

Рис. 6. Схема синтеза саморегулирующихся кремнийорганических дендритных систем [10].
Так, Музафаров с соавт. [10] получили различные кремний-органические дендритные системы с помощью реакции гидросилили-рования на основе простейших мономеров типа винилметилсилана, дивинилметилсилана, диаллилметилсилана и др. (рис. 6).
Авторы называют данные системы саморегулирующимися. Саморегуляция происходит потому, что с увеличением плотности упаковки в поверхностном слое молекулы дендримера реакционная способность концевых групп уменьшается. В то же время реакционная способность “отставших”, непрореагировавших групп в предыдущем слое остаётся высокой, в результате чего они как бы “навёрстывают упущенное”, реагируя быстрее до тех пор, пока реакционные группы на этом участке окажутся в поверхностном слое. Таким образом, стерические затруднения в поверхностном слое в случае нерегулярного роста приводят к образованию шарообразных молекул примерно одинакового размера.
Выход в зависимости от природы мономера и условий реакции составлял 80 - 90 %. Полученные продукты представляли собой вязкие жидкости с молярной массой от 6ґ103 до 3ґ105 в зависимости от условий реакции.
Другим примером таких систем является одностадийный синтез гиперразветвлённых полиариловых эфиров посредством термической самоконденсации 3,5-бис(триметилсилокси)бензоилхлорида (рис.7).
Выход продукта составлял 80% со средневесовой молекулярной массой от 3ґ104 до 2ґ105. Степень разветвления в этих системах по данным ЯМР составляла 55-60%. Полидисперсность полученных продуктов варьировалась в пределах 1.9ё2.9 в зависимости от температуры реакции.

Рис. 7. Схема неуправляемого синтеза дендритных полиариловых эфиров [26].
1.1.2. Управляемый синтез.
В последних обзорах, посвящённых дендримерам [1,2], управляемый синтез стали подразделять на дивергентный и конвергентный подходы.
Описанная выше (см. гл. 1.1) и ставшая уже классической схема синтеза дендримеров путём повторяющихся реакций наращивания слоя и снятия защиты, начинающаяся с исходного разветвляющего центра (рис. 5), получила название дивергентной. Отличительной особенностью этой схемы является быстрое увеличение числа реакционных центров, располагающихся на поверхности дендритной молекулы с возрастанием номера генерации. Это, в свою очередь, приводит к трудностям очистки конечных соединений от продуктов неполного замещения поверхностных функциональных групп, если таковые имеются в системе. Проблема очистки связана с очень малым различием молекулярных масс дендримеров с полностью прореагировавшими поверхностными группами и продуктов неполного замещения. Различие молярных масс таких соединений не превышает нескольких процентов.
Для преодоления указанного выше недостатка Фреше , а также Нинан и Миллер независимо друг от друга предложили другой подход, названный ими конвергентным методом. Если в случае дивергентного синтеза рост дендритной молекулы происходит от центра к периферии, то в данном случае, наоборот, дендример “собирается”, начиная с поверхностных групп.

Рис. 8. Схема конвергентного синтеза дендронов.
Придерживаясь системы обозначений, введённых ранее (см. гл. 1.1), конвергентный рост монодендрона можно представить схемой, изображённой на рисунке 8. Стоит напомнить, что при управляемом синтезе химическая связь образуется только при взаимодействии функциональных групп А и С. Рост дендрона начинается со взаимодействия будущих поверхностных групп S с разветвлённым мономером типа А>2>В. Затем происходит активация образованного “димера” (перевод группы В в С) и опять взаимодействие с мономером А>2>В с образованием “тетрамера” и т.д. При этом, независимо от номера генерации, на каждой стадии роста дендрона количество реагирующих групп остаётся постоянным и обычно равно 2 или 3.
Таким образом получается дендрон, содержащий в своей так называемой “фокальной точке” реакционноспособную группу С или скрытую функциональность В. Для получения дендримера необходимо присоединить эти дендроны к разветвляющему центру (рис. 9).

Рис. 9. Схема получения дендримеров из моноденронов.
Следует отметить, что монодендроны можно получить и дивергентным способом, а затем их присоединить к разветвляющему центру по этой же схеме с образованием дендримера.
Как уже отмечалось выше, преимуществом конвергентного подхода является малое число реагирующих групп на каждой стадии, что, в свою очередь приводит к минимальному числу промежуточных продуктов (продуктов недозамещения). Кроме того, различия в молекулярной массе конечных, исходных и промежуточных продуктов столь велико (в 1.5 ё 2 раза), что позволяет легко выделить целевое соединение в чистом виде.
Однако существенным недостатком данного метода являются стерические затруднения, возникающие на стадии присоединения монодендрона к разветвляющему центру. Здесь столь малое число реакционных групп (фактически единственная у монодендрона - фокальная точка) играет отрицательную роль. В реакционной системе оказывается довольно низкая концентрация реагирующих групп, активность которых ещё более снижена большим количеством “инертных” (поверхностных и др.) групп, и протекание реакции затруднено.
Учитывая рассмотренные выше преимущества и недостатки обоих подходов, следует отметить, что в последнее время наблюдается тенденция использования комбинированного подхода, заключающегося в присоединении монодендронов, полученных конвергентным методом, не к точечному разветвляющему центру, а к дендримеру генерации 2 - 3, синтезированному заранее по дивергентной схеме [1].
Обратимся теперь к конкретным синтетическим примерам получения регулярных дендримеров.
1.1.2.1. Дивергентный подход.
К настоящему времени с помощью дивергентного подхода синтезированы дендримеры на основе полиамидоаминов [20], полиэтилениминов [20], углеводородов (иптицены) , полиэфиров , полиамидоспиртов (“арборолы”) [19], полиариламинов , полисилоксанов [3, ], поликарбосиланов [10, 11] и многие другие [1].
Остановимся подробнее на синтезе полисилоксанов и поликарбо-силанов, поскольку именно эти соединения, синтезированные в группе Музафарова А.М. (ИСПМ РАН) были взяты за основу для данной работы.
Полисилоксановые дендримеры получают по схеме, представленной на рисунке 10 [3, ]. За основу здесь взята реакция взаимодействия силанолята натрия с хлорсиланом, протекающая количественно с образованием силоксановой связи. Для синтеза этих дендримеров используется трифункциональный разветвляющий центр (N>C> = 3) и мономеры АВ>2> - типа (N>B> = 2). Получены регулярные структуры вплоть до генерации 8. Строение и индивидуальность конечных соединений доказаны методами ЯМР 1Н и 29Si-спектроскопии, гель-проникающей хроматографии.

Рис. 11. Схема синтеза регулярных поликарбосилановых дендримеров [10].
Поликарбосилановые дендримеры получают по схеме, представленной на рисунке 11. Для синтеза таких систем может быть ди-, три- или тетрафункциональный разветвляющий центр и три- или тетрафункциональные мономеры [10]. В данном случае в качестве исходного разветвляющего центра использован тетрааллилсилан, к которому по реакции гидросилилирования присоединяют метилдихлорсилан. Хлорсилильные группы впоследствии переводят в аллильные с помощью реактива Гриньяра - аллилмагнийхлорида. Эту последовательность повторяют несколько раз до получения дендримера необходимой генерации. К настоящему времени получены поликарбосилановые дендримеры с концевыми аллильными и винильными группами вплоть до 4 генерации. Строение и индивидуальность этих соединений доказаны методами ЯМР 1Н и 29Si-спектроскопии, гель-проникающей хроматографии.
1.1.2.2. Конвергентный подход.
Синтез дендримеров по этому методу был осуществлён только группами Фреше [26] и Нинана/Миллера [8, 27].
Этот подход был успешно использован для получения по крайне мере четырёх различных семейств дендримеров [1]: полиарилэфиров, полиариленов, полиарилалкилов и поли(арил/азакраун)эфиров. Остановимся лишь на одном примере - синтезе полиарилэфирных дендримеров, предложенном Фреше [26].
На рисунке 12 показана схема получения тридендронов, содержащих 4, 10, 22 и 46 ароматических ядер полиариловых сложноэфирных дендримеров. Как видно из представленной схемы, выход конечного продукта с увеличением генерации с 1 по 4 падает с 98 до 25%. Это объясняется возрастанием стерических затруднений в фокальной точке монодендрона с увеличением размера макромолекулы.
1.2. Особенности физических свойств денримеров как следствие их необычной супрамолекулярной архитектуры
После рассмотрения строения и способов получения дендритных макромолекул естественно возникает вопрос: а как такая необычная супрамолекулярная архитектура денримеров отражается на их физических свойствах? Для ответа на этот вопрос обратимся к публикациям, посвящённым изучению физических свойств дендримеров.
В работе Морей с соавт. изучали физические свойства полиэфирных дендримеров, полученных на основе 3,5-дигидроксибензилового спирта. Исследовались как монодендроны, так и тридендроны генераций 0 ё 6 с молекулярной массой от 576 до 40689.
Хорошо известно, что для классических линейных полимеров, таких как, например, полистирол, с возрастанием молекулярной массы вязкость резко увеличивается в соответствии с уравнением Марка-Куна-Хаувинка [h]=KMa, где [h] - характеристическая вязкость полимера, М - средневесовая молекулярная масса, а К и a - константы для данного полимера. В отличие от почти всех других макромолекул, включая даже разветвлённые и звездообразные полимеры, дендримеры не подчиняются этому соотношению после достижения определённой молекулярной массы. В случае полиэфирных дендримеров, после достижения молекулярной массы порядка пяти тысяч дальнейшее её увеличение приводит к уменьшению характеристической вязкости, как показано для полиэфирного тридендрона на рисунке 13.
Это явление можно понять, если учесть, что с ростом номера генерации объём дендритной макромолекулы увеличивается пропорционально кубу линейного размера (V=4/3 pr3), в то время как её масса возрастает экспоненциально (~2G-1), что не выполняется ни для каких других полимеров.
Необычные соотношения между характеристической вязкостью и молекулярным весом для дендримеров коррелирует с изменением их формы от рыхлой к глобулярной структуре с увеличением молекулярной массы [2]. Доказательство такого изменения формы приводится в работе . Здесь на примере монодендронов, к фокальной точке которых был присоединён сольватохромный зонд, изучалась зависимость максимума адсорбции l>max> от номера генерации. При этом наблюдался излом кривой между генерациями 3 и 4, который соответствует переходу от рыхлой к глобулярной структуре. Интересно отметить, что этот переход происходит примерно при той же молекулярной массе, при которой наблюдается максимум характеристической вязкости. Такое поведение сольватохромного зонда также предполагает, что внутренняя часть дендритной макромолекулы представляет собой уникальное микроокружение. Фреше [2] предлагает его использовать для молекулярного катализа, систем доставки лекарств, искусственных ферментов и т.д.
В работе [32] на примере дендритных полиорганосилоксанов показано, что максимум имеется не только на кривой зависимости вязкости, но также и плотности и показателя преломления от номера генерации (рис. 14). Причём все эти максимумы для данных систем приходятся на одну и ту же шестую генерацию.
В отличие от нетипичного поведения дендримеров, описанного выше, термические свойства дендримеров хорошо коррелируют с их линейными аналогами [2]. Например, изменение температуры стеклования в зависимости от молекулярного веса и количества концевых групп подчиняется модифицированной теории свободного объёма концов цепи [4]. Совсем недавно вышла работа Х. Штуца , посвящённая температуре стеклования дендритных полимеров. В ней отмечается, что T>g> денримеров является только функцией номера генерации дендритной ветви, но не зависит от количества этих ветвей, приходящихся на одну молекулу, и, следовательно, от молекулярного веса всей молекулы. Кроме того, в отличие от обычных полимеров, природа и количество концевых групп оказывает значительное влияние на температуру стеклования дендритных полимеров [4]. Это происходит потому, что доля концевых групп не становится исчезающе мала на определённом этапе конверсии, как это происходит с обычными полимерами, а приближается к постоянному довольно значительному числу (і50 %). Следовательно, их химическая природа влияет на температуру стеклования. И, наконец, главный вывод этой работы: благодаря тому, что концевые группы и разветвления оказывают противоположное влияния на T>g> и компенсируют друг друга в большой степени, разница между температурой стеклования линейных и дендритных полимеров оказывается незначительной.
Термогравиметрическое поведение дендритных полиэфиров в пределах экспериментальной ошибки не отличается от линейных полиэфиров [2].
Однако многие исследователи отмечают необычайно высокую растворимость денримеров по сравнению с их линейными аналогами. Так, Фреше [2] сравнивает растворимости дендритного полиэфира, полученного из 3,5-дигилроксибензойной кислоты (см. рис. 12) и его линейного аналога, полученного поликонденсацией монобензилового эфира этого мономера. Для сравнения брались образцы примерно одинаковой молекулярной массы (~11 тыс.) и, следовательно, содержащие одинаковое число мономерных единиц. В ТГФ растворимость дендримера составила 1.15 г/мл, в то время как растворимость линейного полиэфира составила 0.025 г/мл. Отличие почти на два порядка. Миллер и Нинан [8] отмечают ещё бульшую разницу в растворимости (порядка 105 раз) для дендритного полифенилена по сравнению с линейным полипарафениленом.
В работе [2] отмечается, что на растворимость сильно влияют как форма, так и функциональность (концевые группы) дендритной макромолекулы.
2. ЖК дендримеры как новый класс ЖК полимеров.
Экзотическое строение и свойства дендритных макромолекул в последнее время всё больше привлекает внимание исследователей, работающих в области полимерных жидких кристаллов (ЖК). Однако к настоящему времени опубликовано лишь несколько работ, посвящённых в основном синтезу ЖК дендримеров. Причём в литературе представлены результаты работ только двух групп учёных: под руководством Перчека [15, , ] и Рингсдорфа [16, ].
Первое сообщение о синтезе термотропных ЖК денримеров появилось в 1992 году. Перчек с соавт. [36] методом одностадийного неуправляемого синтеза, используя мономер А>2>В-типа, получили гиперразветвлённое соединение, обладающее ЖК свойствами (рис. 15). За основу был взят 10-бромо-1-(4-гидрокси-4'-бифенил)-2-(4-гидроксифенил)декан (TPD-b), являющийся мезогенным фрагментом благодаря конформационной изомерии . В процессе синтеза такого дендримера преимущественно реагируют молекулы мономера, находящиеся в гош-конформации, в то время как для образования нематического мезоморфного состояния необходим переход в анти-конформацию.
Как видно из представленной схемы, мезогенные группы в данном случае находятся не только на концах, но и во всём объёме дендритной молекулы. Такое строение описываемых соединений во многом напоминает ЖК полимеры с мезогенными группами в основной цепи. Поэтому авторы в работе [15] пытаются сравнить свойства этих ЖК денримеров со свойствами их линейных полимерных аналогов. Прежде всего, они отмечают относительно низкую молекулярную массу (от 4400 до 7900) и широкое молекулярно-массовое распределение (порядка 2.6 ё 3.9) полученных ЖК дендримеров по сравнению с их линейными

Рис. 15. Полимеризация TPD-b и схематическое представление перехода между нематической и изотропной фазой ЖК дендримера Перчека [15].
аналогами, синтезированными по той же реакции (в них M>w> = 29000 ё 41000 и M>w>/M>n> ” 1.6 ё 2.0). К одной из гипотез образования низкомолекулярных гиперразветвлённых жидких кристаллов авторы относят возможность внутримолекулярной циклизации, вполне вероятной при такой схеме синтеза. Сравнивая ЖК свойства, авторы делают вывод, что хотя дендримеры и обладают нематической мезофазой, так же как и их линейные аналоги, порядок в этой мезофазе ниже, чем в линейных ЖК полимерах. Это заключение основывается на данных ДСК, показывающих, что энтальпия перехода из нематической мезофазы в изотропный расплав у ЖК дендримера более чем в два раза меньше, чем у его линейного полимерного аналога. Следует отметить довольно узкий интервал существования ЖК мезофазы у данного дендримера (20 ё 40 °С), который практически совпадает с его линейным аналогом.

Рис. 16. Схематическое изображение и фазовые переходы ЖК дендримера Рингсдорфа [31].
Вторая группа исследователей под руководством профессора Рингсдорфа получила гиперразветвлённый ЖК полимер сходного строения [16, 38] (рис. 16). Синтезированный ЖК дендример также имел довольно низкую молекулярную массу (M>n>=6500) и широкое молекулярно-массовое распределение (M>w>/M>n> = 3.1). Принципиальное отличие данного ЖК дендримера от вышеописанного заключается в том, что к непрореагировавшим в результате неуправляемого синтеза концевым группам дендримера присоединили хиральные фрагменты. В результате полученный ЖК дендример обладает холестерической мезофазой. Кроме того, данный дендример обладает широким температурным интервалом существования ЖК мезофазы (95 ё 150 °С), в отличие от дендримера Перчека.
Рингсдорф также сообщает о синтезе мономера АВ>2> -типа (рис. 17), который образует гиперразветвлённые ЖК системы благодаря водородным связям [31]. Однако об изучении ЖК свойств таких систем в литературе не сообщается.

Рис. 17. АВ>2>-мономер, образующий гиперразветвлённые ЖК системы через водородные связи [32].
Обобщая литературные данные, следует отметить, что к настоящему времени опубликованы лишь первые работы, сообщающие о синтезе ЖК дендримеров, основанном на неуправляемом подходе. Получены только нерегулярные ЖК системы, содержащие мезогенные группы во всём объёме дендритной макромолекулы и этим напоминающие ЖК полимеры с мезогенными группами в основной цепи.
В настоящее время группой немецких исследователей ведутся работы по синтезу регулярных ЖК дендримеров методом управляемого синтеза, однако их результаты ещё не опубликованы. Поэтому данная работа и вышедшая по ней публикация [14] претендует на первенство в области синтеза регулярных ЖК дендримеров с концевыми мезогенными группами.
Синтез ЖК дендримеров
1.1. Метилсилоксановый дендример с концевыми холестеринсодержащими мезогенными группами.
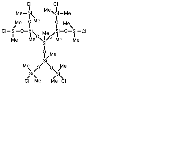
На первом этапе данной работы необходимо было решить вопрос: можно ли в принципе получить дендример регулярного строения с концевыми мезогенными группами, и если да, то будет ли полученное вещество обладать ЖК свойствами. Для этого за основу была выбрана дендритная полиметилхлорсилоксановая матрица следующего строения:

Рис.18. Исходная дендритная полиметилхлорсилоксановая матрица
Подробная методика синтеза этого соединения описана в работе [14]. Основные критерии, по которым осуществлялся выбор исходной силоксановой матрицы, заключались в синтетической доступности, простоте анализа и возможности ее выделения в индивидуальном состоянии. В рамках разработанной ранее [] методологии синтеза дендритных полиоргано-силоксанов, а также имеющихся в наличии методов анализа и выделения соединение вполне отвечает перечисленным выше критериям.
Выбранная дендритная матрица содержала концевые активные хлорсилильные группы. Для того, чтобы присоединить к ней мезогенные группы, их нужно было модифицировать таким образом, чтобы они содержали концевую группу, способную количественно заместить Si-Cl - группы выбранного дендримера с образованием стабильной связи. Силанольная группа Si-OH вполне удовлетворяет этим требованиям: она количественно реагирует с Si-Cl - группами с образованием прочной силоксановой связи. Кроме того, учитывая опыт по синтезу ЖК полимеров с мезогенными группами в боковых ответвлениях, где в качестве полимерной “матрицы” используются гребнеобразные полимеры, следует отметить, что если мезогенные группы присоединены к полимерной основе напрямую, то такие полимеры , как правило, не проявляют ЖК свойств []. Для реализации ЖК состояния в полимерах необходимо, чтобы жёсткие мезогенные группы были присоединены к основной цепи через гибкую алифатическую или другую развязку (“спейсор”). Причём ЖК свойства полимеров существенно зависят от длины этого спейсора [, ].

Рис.19. Схематическое изображение модифицированной мезогенной группы.
Исходя из вышесказанного, мезогенсодержащий фрагмент для “прививки” к полиметилхлорсилоксановой дендритной матрице в нашем случае должен состоять из следующих основных структурных единиц (рис. 19): мезогенной группы и алифатической развязки, содержащей концевую группу Si-OH, способную реагировать с концевыми хлорсилильными группами дендритной матрицы с образованием целевого продукта - ЖК дендримера.

Рис.20. Схема синтеза холестеринсодержащей мезогенной группы.
В качестве мезогенной была выбрана холестериновая группа ввиду её доступности и широкого использования для синтеза гребнеобразных ЖК-полимеров. Выбор ундециленатного спейсора определялся теми же критериями.
Модификация холестериновой мезогенной группы проводилась по схеме, представленной на рис. 20.
Синтез соединения III включает в себя три химические стадии (схемы (1), (2) и (3)). Холестериновый эфир 10-ундециленовой кислоты I, был получен по стандартной методике ацилированием холестерина хлорангидридом 10-ундециленовой кислоты (схема (2)), температуры фазовых переходов совпадают с литературными данными [].
Соединение II было получено гидросилилированием эфира I в среде сухого ТГФ в присутствии трехкратного избытка диметилхлорсилана. В качестве катализатора использовали бис-(триоктилбензиламин)-тетранитрито-платину (схема (3)). Завершенность реакции контролировали методом ИК-спектроскопии (рис. 21) по исчезновению полосы валентных колебаний терминальной двойной углерод-углеродной связи в молекулах соединения I в области 1640 см-1. Одновременно наблюдали появление полосы поглощения в области 1260 см-1, соответствующей валентным колебаниям связи Si-CH3.
В спектре ПМР (Таблица 1.) образовавшегося холестеринового эфира 11-(диметилхлорсилил)-ундекановой кислоты II в отличие от исходного эфира I отсутствуют сигналы протонов, расположенных при терминальной двойной углерод-углеродной связи (дублет 1=5.2 м.д. и мультиплет 2=6.0 м.д.), что также свидетельствует о полноте протекания реакции гидросилилирования. Вместе с тем в спектре ПМР соединения II, как и в спектре соединения I, присутствуют характерные сигналы протона (3) при карбоксильной группе (мультиплет:3=4.8 м.д.) и протона (4) при двойной углерод-углеродной связи (синглет:4=5.7 м.д.) в стероидном ядре холестерила. При этом соотношение интегральных интенсивностей сигналов протонов (3) и (4) соответствует расчетному значению 1:1. Синглетный сигнал протонов метильных радикалов у атомов кремния в спектре ПМР соединения II проявляется в области =0.1 м.д. Соотношение интегральных интенсивностей сигналов протонов метильных радикалов у атомов кремния и сигналов протонов (3), (4) также соответствует расчетному значению 6:1.

Функциональный анализ показал, что содержание хлора в полученном соединении II составляет 5.75% (расчетное значение 5.6%). Перечисленные выше данные свидетельствуют о том, что реакция гидросилилирования (схема (3)) протекает достаточно селективно по концевой двойной связи эфира I, не затрагивая двойную связь в стероидном ядре холестерина.
Гидролиз соединения II проводили в 1%-ном эфирном растворе избытком воды при 0oС, в присутствии аммиака в качестве акцептора выделяющегося HCl. Приведенные условия позволяют практически исключить протекание в реакционной системе нежелательных конденсационных процессов, приводящих к димеризации образующегося силанола III.
В ИК-спектрах силанола III наблюдается широкая полоса поглощения валентных колебаний ассоциированных гидроксильных групп у атомов кремния в области 3960 см-1.
"Прививку" холестеринсодержащих мезогенных групп к силоксановой матрице осуществляли гетерофункциональной конденсацией между и соединением III в присутствии пиридина в качестве акцептора выделяющегося HCl (рис. 22). Полученное целевое соединение IV очищали переосаждением из раствора в ТГФ этанолом. Конечный продукт представляет собой бесцветное воскообразное вещество.


Рис.22. “Прививка” холестеринундециленатных мезогенных групп к дендритной метилхлорсилоксановой матрице.
Соотношение интегральных интенсивностей сигналов протонов метильных радикалов у атомов кремния (синглет =0.1 м.д.) в спектре ПМР соединения IV и сигналов протона при двойной углерод-углеродной связи (синглет =5.7 м.д.) в стероидном ядре холестерила близко к расчетному значению 14:1.
Кривая ГПХ соединения IV после очистки многократным переосаждением этанолом имеет вид симметричного пика (рис. 23), что также подтверждает чистоту полученного соединения.
1.2. Карбосилановые дендримеры с различными концевыми
мезогенными группами.
После того, как был получен первый дендример с концевыми холестеринсодержащими мезогенными группами было показано, что он проявляет ЖК свойства, первоочередной задачей стала разработка универсального подхода к синтезу подобных систем, позволяющего получать ЖК дендримеры на основе дендритных матриц любых размеров с различными мезогенными группами.
Схема, реализованная на первом этапе нашей работы, позволила получить первый ЖК дендример, но выход чистого конечного продукта был небольшой (20%). Очевидно, это связано с неустойчивостью при хранении промежуточного продукта - мезогенсодержащего силанола. Хотя его и удалось выделить в чистом виде и охарактеризовать, при стоянии в растворе в течении нескольких суток он практически полностью претерпевает реакцию конденсации с образованием дисилоксана. Малейшее присутствие ионных примесей катализирует этот процесс, который сам по себе не идёт. Этот недостаток значительно уменьшает привлекательность данного синтетического подхода для выбора его в качестве базовой схемы синтеза ЖК дендримеров.
Исходя из вышесказанного, на втором этапе работы мы обратили внимание на поиск иных синтетических схем для синтеза ЖК дендримеров.
Разрабатывая универсальный подход к синтезу дендримеров с концевыми мезогенными группами регулярного строения, мы принимали во внимание следующие, на наш взгляд, определяющие факторы: 1) однозначность химической реакции, позволяющая получать дендримеры со строго заданной молекулярной массой; 2) “индифферентность” химической реакции, используемой для “прививки” мезогенсодержащих фрагментов к дендритной матрице, по отношению к самой мезогенной группе.
Учитывая вышесказанное, в качестве “базовой” была выбрана реакция гидросилилирования, удовлетворяющая всем перечисленным условиям []. К настоящему времени на её основе успешно были синтезированы поликарбосилановые дендримеры [10, 11], один из которых и был взят в качестве дендритной матрицы:

Рис.24. Исходная поликарбосилановая дендритная матрица
Подробная методика синтеза этого дендримера описана в работе [].
В нашей работе был использован поликарбосилановый дендример наименьшей генерации (G=1) по причине наибольшей его доступности, простоты выделения и идентификации конечных продуктов. Это не ограничивает универсальности разработанного синтетического подхода: по такой же схеме могут быть синтезированы ЖК дендримеры и больших генераций.
Выбранная поликарбосилановая дендритная матрица содержит концевые аллильные группы. Чтобы присоединить к ней мезогенные группы с использованием реакции гидросилилирования необходимо было их модифицировать таким образом, чтобы они содержали концевую группировку Si-H, способную реагировать с аллильными группами исходного дендримера.
Учитывая опыт по синтезу метилсилоксанового ЖК дендримера, мезогенсодержащий фрагмент для “прививки” к поликарбосилановой дендритной матрице в нашем случае должен состоять из следующих основных структурных единиц (рис. 25): мезогенной группы и алифатической развязки, содержащей концевую группу Si-H, способную реагировать с концевыми аллильными группами дендритной матрицы с образованием целевого продукта - ЖК дендримера.

Рис.25. Схематическое изображение модифицированной мезогенной группы.
Для синтеза таких соединений нами была предложена схема, представленная на рис.9.
Учитывая, что свойства жидких кристаллов существенно зависят от химической природы их жёсткого фрагмента, а также в целях проверки универсальности предложенной синтетической схемы, мы использовали три различных мезогенных группы: цианобифенильную, метоксифенил-бензоатную и холестериновую.
Предложенная схема включает в себя три химические стадии (схемы (4), (5) и (6) на рис. 26). Ундециленатные эфиры, содержащие вышеперечисленные мезогенные группы (соединения Vа, Vб и Vс соответственно) были получены по стандартной методике ацилирования соответствующего фенола или спирта хлорангидридом 10- ундециленовой кислоты (схема (4)). Температуры фазовых переходов полученных соединений совпадают с литературными данными [44, ]
Сложные эфиры 11-(диметилхлорсилил)-ундекановой кислоты (соединения VIа, VIб и VIс) были получены гидросилилированием соединений Vа, Vб и Vс соответственно диметилхлорсиланом в отсутствие растворителя. В качестве катализатора использовали бис-(триоктилбензиламин)-тетранитритоплатину (схема (5)). Завершенность реакции контролировали методом ИК- и ПМР-спектроскопии. В ИК-спектрах продуктов реакции наблюдалось исчезновение полосы валентных колебаний терминальной двойной углерод-углеродной в области 1640 см-1 и появление полосы поглощения в области 1260 см-1, соответствующей валентным колебаниям связи Si-CH3.
В ПМР- спектрах соединений VIа, VIб и VIс в отличие от исходных эфиров Vа, Vб и Vс отсутствуют сигналы протонов, расположенных при терминальной двойной углерод-углеродной связи.
Холестериловый эфир 10-ундециленовой кислоты (соединение Vс) содержит две двойные связи: терминальную двойную связь в ундециленатном фрагменте и двойную связь в холестериловом ядре. В работе [14] показано, что реакция гидросилилирования этого соединения протекает селективно по терминальной двойной связи, не затрагивая ядро холестерина. Синглетный сигнал протонов метильных радикалов у атомов кремния в спектрах ПМР соединений VIа, Viб и VIс проявляется в области 0.4 м.д., а мультиплетный сигнал протонов метиленовых радикалов у атома кремния - в области 0.9 м.д. Соотношения интегральных интенсивно-стей сигналов протонов соответствуют расчётным значениям.
Соединения VIIа, VIIб и VIIс были получены реакцией согидролиза соединений VIа, VIб и VIс соответственно с 40 - кратным молярным избытком диметилхлорсилана (ДМХС) с использованием стехиометрических количеств пиридина и воды (в расчёте на общее количество хлорсилильных групп). Приведённые условия позволяют практически полностью исключить протекание в реакционной системе нежелательных процессов гомоконденсации мезогенсодержащих молекул, приводящих к димеризации образующегося промежуточного продукта - мезогенсодержащего силанола. Использование такого большого мольного избытка ДМХС оправдано очень малым массовым соотношением. Это обеспечивало высокий выход целевого продукта и облегчало его выделение из реакционной массы, поскольку образующаяся примесь тетраметилдисилоксана - низкомолекулярное летучее вещество (Тк=71°С). Выход на этой стадии хроматографически чистых продуктов составил 70-80%. При использовании же только 20-кратного избытка ДМХС выход продукта уменьшается до 30-40%.
В ИК-спектрах образующихся силанов VIIа, VIIб и VIIс наблюдается узкая интенсивная полоса поглощения в области 2100 см-1 , соответствующая валентным колебаниям групп Si-H. В ПМР-спектрах (табл.3) наблюдается появление мультиплетного сигнала протона у атома кремния в области 4.9 м.д. и дублетного сигнала метильных протонов у атомов Si-H в области 0.3 м.д. Соотношение интегральных интенсивностей сигналов метильных протонов у различных атомов кремния соответствует теоретически рассчитанному значению 1:1.

Рис.27. Схема присоединения мезогенных групп к дендритной матрице.
Присоединение модифицированных описанным выше способом мезогенных групп к дендритной поликарбосилановой матрице проводили с помощью реакции гидросилилирования в присутствии Pt-катализатора (рис. 27). Для гарантированного присоединения мезогенных групп ко всем восьми аллильным группам дендритной матрицы использовали полуторакратный избыток мезоген-содержащего силана, который по завершению реакции удалялся мето-дом колоночной хроматографии на силикагеле. Окончательную очистку полученных ЖК дендримеров проводили также хроматографически.

Рис.28. ПМР - спектр ЖК дендримера .
Как в ИК-, так и в КР-спектрах полученных конечных соединений VIIIа, VIIIб и VIIIс отсутствуют полосы, характерные для двойной аллильной связи исходной дендритной матрицы , что говорит о полноте протекания реакции. Отсутствие в спектрах ПМР сигналов протонов, расположенных при терминальной двойной углерод-углеродной связи (дублет 1=5.2 м. д. и мультиплет 2=6.0 м. д.), также свидетельствует о полноте протекания реакции гидросилилирования. Структура всех полученных ЖК дендримеров однозначно доказана с помощью методов ЯМР 1Н и 29Si-спектроскопии. Соотношение интегральных интенсивностей сигналов протонов метильных радикалов у различных атомов кремния (синглеты d=0.1 м.д и d=0.2 м.д.) близко к расчетному значению 1:8. (рис. 28)

Рис.29. ЯМР 29Si - спектр ЖК дендримера .
Спектры ЯМР 29Si соединений полностью разрешены : d1=0.75 м.д., d2=1.28 м.д., d3=6.74 м.д., d4=7.29 м.д. Соотношение интегральных интенсивностей сигналов ядер кремния 29Si близки к расчётным значениям: Si(1) : Si(2) : Si(3) : Si(4) = 1 : 4 : 8 : 8 (рис. 29).
Индивидуальность полученных целевых соединений доказана методом ГПХ (табл.4). Так, например, кривая ГПХ ЖК дендримера с цианобифенильными мезогенными группами (рис. 30) после окончательной хроматографической очистки имеет вид симметричного пика. Молекулярно-массовое распределение полученных ЖК дендримеров лежит в пределах 1.01-1.06, что говорит о монодисперсности полученных соединений.

Рис.30. Кривая ГПХ ЖК дендримера до (а) и после очистки (б).
2. ЖК свойства полученных соединений.
Исследования ЖК свойств полученных дендримеров проводили методами поляризационно-оптической микроскопии, дифференциаль-ной сканирующей калориметрии и рентгенографии.
2.1. Дендримеры с концевыми холестеринсодержащими
мезогенными группами.
Поляризационная микроскопия показала, что для метилсилокса-новый дендример при комнатной температуре образует конфокальную текстуру, которая при отжиге вблизи температуры прояснения переходит в полигональную (рис. 31а), характерную для смектической А фазы []. При нагревании до t”110-125 °C двулучепреломление исчезает, что соответствует переходу в изотропный расплав.
В то же время холестеринсодержащий карбосилановый дендример как при комнатной температуре, так и при нагревании во всём температурном интервале вплоть до температуры изотропизации 99 °C образует только веерную текстуру (рис. 31б), характерную как для смектической, так и для холестерической мезофазы. Следует отметить, что при сдвиге покровного стекла нами не наблюдалось образования плоской текстуры, характерной для холестерической мезофазы, что позволяет сделать предположение о реализации смектического ЖК состояния в полученном соединении.
Для интерпретации данных поляризационно-оптической микроскопии обратимся к результатам калориметрии.
На калориметрических кривых как метилсилоксанового, так и карбосиланового холестеринсодержащих дендримеров виден только один эндотермический пик при температуре выше 100 °C (рис. 32), соответствующий фазовому переходу первого рода, с теплотой перехода DН=3.8 Дж/г и DН=5.4 Дж/г соответственно. Такая теплота, как следует из литературных данных [], более характерна для перехода из смектической мезофазы в изотропный расплав. Наличие на кривых ДСК небольшого “перегиба” в области -1.5 °C и -15 °C соответственно даёт основание приписать этот переход второго рода температуре стеклования ЖК дендримеров.
Таким образом, сопоставляя результаты поляризационно-микроскопических и калориметрических исследований обсуждаемых дендримеров, можно сказать, что в интервале температур -1.5 ё 120 °C и -15 ё 100 °C соответственно реализуется жидкокристаллическое состояние, относящееся к SA типу.

Для того, чтобы понять характер упаковки мезогенных групп этих ЖК дендримеров в мезофазе, были проведены рентгенографические исследования при комнатной температуре (рис. 33; табл. 5). Как видно из представленных данных, на рентгенограммах обоих холестеринсодержащих ЖК дендримеров присутствует один диффузный рефлекс в больших углах и два рефлекса в малых углах рентгеновского рассеяния. Присутствие рефлексов в малых углах говорит о наличии слоевого порядка в расположении мезогенных групп в данных соединениях, а диффузность рефлекса в больших углах свидетельствует об отсутствии порядка в сечении, перпендикулярном смектическому слою. Такой вид рентгенограммы и характерная текстура подтверждает предположение о реализации неупорядоченной смектической мезофазы SA. Диффузный рефлекс D, соответствующий межплоскостному расстоянию 6 Е (табл.5) отвечает за расстояние между холестериновыми мезогенными группами внутри смектического слоя. Рефлекс d1, соответствующий межплоскостным расстояниям 39 и 45 Е для метилсилоксанового и карбосиланового дендримеров соответственно, отвечает рассчитанному значению толщины смектического слоя. Как видно из таблицы 5, рефлекс d2 в пределах погрешности измерения соответствует второму порядку дифракции рентгеновских лучей на смектических слоях.
По результатам рентгенографических исследований и расчёта молекулярных размеров на компьютере (программа “Alchemy”) изученных дендримеров предложена модель упаковки холестеринсодержащих ЖК дендримеров в смектической А мезофазе (рис. 34). Из неё видно, что холестериновые мезогенные группы образуют однослойную смектическую упаковку.
Сравнивая два полученных холестеринсодержащих дендримера, можно сказать, что изменение химической природы дендритной матрицы с метилсилоксановой на карбосилановую не приводит к каким либо качественным изменениям их ЖК свойств. Это подтверждает высказанную ранее идею о том, что многие свойства дендримеров в основном определяются химической природой концевых (поверхностных) групп [4]. Наблюдаемые небольшие количественные различия, такие как смещение температурного интервала существования мезофазы в сторону более низких температур, а также незначительное увеличение межплоскостного расстояния можно объяснить уменьшением “жёсткости” и увеличением размеров дендритной основы при переходе от метилсилоксановой к карбосилановой дендритной матрице.
2.2. Карбосилановый дендример с концевыми цианобифенильными мезогенными группами.
При наблюдении в поляризационный микроскоп образца дендримера при нагревании вплоть до t=50°C наблюдается сосуществование нарушенной конфокальной и шлирен-текстуры (рис. 35а). При t ” 50-51°C шлирен-текстура переходит в гомеотропную, а конфокальные участки практически не меняются (рис. 35б). Только при отжиге вблизи температуры изотропизации конфокальная текстура переходит в веерную (рис. 19). При температуре 90 °C наблюдается полное почернение наблюдаемой в микроскоп картины, что соответствует переходу в изотропный расплав.
Исходя из литературных данных [], описанные выше переходы можно объяснить следующим образом. Известно, что шлирен-текстура характерна как для наклонной смектической (SC), так и для нематической мезофазы. На рентгенограммах изучаемого дендримера (табл. 6) при всех температурах вплоть до температуры прояснения на ряду с рефлексами в больших углах присутствует два рефлекса в малых углах, что позволяет говорить о реализации в данном случае только смектических мезофаз. Переход в гомеотропную текстуру объясняется переходом SC ® SA, поскольку известно, что только смектики с ортогональным расположением мезогенных групп в слоях могут образовывать гомеотроп.

Рис.37. Кривые ДСК ЖК дендримеров (кривая 1) и (кривая 2).
На кривой ДСК дендримера (рис. 37, кривая 1) виден один эндотермический пик при t=90°C, который по теплоте перехода (5.1 Дж/г) можно отнести к переходу из смектической мезофазы в изотропный расплав. При температуре -24 °C на калориметрической кривой виден излом базовой линии, соответствующий фазовому переходу второго рода, который можно отнести к температуре стеклования. Отсутствие пика при температуре 50°C, соответствующего предсказанному выше переходу SC ® SA можно объяснить малой теплотой этого перехода. Как следует из литературных данных [], теплота перехода из наклонной неупорядоченной смектической SC фазы в ортогональную неупорядочен-ную смектическую SA фазу может быть меньше 0.04 Дж/моль (особенно когда угол наклона мезогенных групп в слое мал). Таким образом, из совокупности поляризационно-микроскопических, калориметрических и рентгенографических исследований можно сделать вывод о реализации в ЖК дендримере с цианобифенильными мезогенными группами следующих фазовых переходов:
Мы считаем, что предложенная модель упаковки холестеринсодержащего карбосиланового дендримера в смектической А мезофазе справедлива и для цианобифенильного дендримера (рис. 34). Чтобы сделать однозначные выводы об упаковке мезогенных групп в слое в случае смектической С мезофазы, необходимо провести дополнительные исследования (рентгенографию в магнитном поле), что и предполагается сделать в дальнейшем.
2.3. Карбосилановый дендример с концевыми метоксифенилбензоатными мезогенными группами.
Образец дендримера с метоксифенилбензоатными мезогенными группами при комнатной температуре обладает веерной текстурой (рис. 38 а). При нагревании до t=27°C происходит её нарушение и образование шлирен-текстуры (bluered schlieren texture [48], рис. 38 б), характерной как для наклонной смектической С, так и для нематической мезофазы. Последняя не изменяется вплоть до t=76°C - температуры прояснения.
Для более подробного изучения фазового полиморфизма этого ЖК дендримера обратимся к результатам калориметрических исследований, представленных на рис. 37.
На кривой ДСК дендримера (кривая 2) видены три эндотермических пика при t=-4°C, t=27°C и t=76°C, с теплотами 2.8 Дж/г, 16.8 Дж/г и 8.3 Дж/г соответственно. Судя по большой теплоте (16.8 Дж/г), переход при 27°C является переходом из кристаллической фазы в жидкокристаллическую мезофазу либо из высокоупорядоченной ЖК мезофазы в неупорядоченную. Поскольку на рентгенограмме изучаемого дендримера, полученной при комнатной температуре, видны более десяти чётких рефлексов (рис. 39), по-видимому, справедливо первое утверждение. Тогда переход при -4°C можно отнести к переходу из одной кристаллической фазы в другую, а переход при 76°C - из жидкокристаллической мезофазы в изотропный расплав. На рентгенограмме, снятой при температуре 50 °C, видны два чётких рефлекса в области малых углов и два диффузных рефлекса в больших углах (табл.6). Эти данные свидетельствуют в пользу того, что в температурном интервале 27 ё 76 °C реализуется неупорядоченная смектическая мезофаза. Таким образом, из совокупности поляризационно-микроскопических, калориметрических и рентгенографических исследований можно сделать вывод о реализации в ЖК дендримере с метоксифенилбензоатными мезогенными группами следующих фазовых переходов:
Следует особо остановиться на том, что на рентгенограммах, соответствующих SC-мезофазе как цианобифенильного, так и метоксифенилбензоатного карбосилановых дендримеров присутствует два диффузных рефлекса в больших углах. Один из них (D=5.0ё5.5 Е) соответствует расстоянию между мезогенными группами в смектическом слое, а второй (D1=6.5ё7.1 Е) можно приписать наличию некой периодичности в аморфной карбосилановой матрице. Тот факт, что на рентгенограмме холестеринового карбосиланового дендримера виден только один такой рефлекс (D = 6.0 Е), соответствующий расстоянию между холестерин-содержащими мезогенными группами в смектическом слое, можно объяснить наложением этих двух рефлексов ввиду их большой диффузности и близости значений.
Таким образом, сравнивая изученные карбосилановые дендримеры, можно сделать вывод о том, что химическая природа концевых мезогенных групп является определяющим фактором, оказывающим решающее значение на ЖК свойства дендримеров.
Глава III. ЭКСПЕРИМЕНТАЛЬНАЯ ЧАСТЬ.
1. Синтез ЖК дендримеров
1.1. Синтез метилсилоксанового ЖК дендримера
Холестериловый эфир 10-ундециленовой кислоты (I)
К раствору 10,00 г (0.03 моля) холестерина в 100 мл ТГФ и 6.00 мл (0.04 моля) триэтиламина при температуре 0 С прикапывали раствор 7.93 г (0.04 моля) хлорангидрида 10-ундециленовой кислоты в 20 мл ТГФ. Реакционную смесь перемешивали при комнатной температуре в течении 3 ч, после чего добавляли 200 мл эфира и 20 мл воды. Эфирный слой промывали водой, затем раствором бикарбоната натрия и снова водой до нейтральной реакции. После обезвоживания сульфатом магния эфир упаривали из раствора в вакууме, остаток дважды перекристаллизовывали из метанола. Выход: 9,0 г (61.0%). TChol-I=82 C (лит. TChol-I=81 C [44] ). ЯМР 1H (CCl4,200 Мгц): =4.8 (м, 1Н); = 5.2(д, 2Н); =5.7 (с, 1Н); =6.0 (м, 1Н).
Холестериловый эфир 11-(диметилхлорсилил)-ундекановой кислоты (II)
Реакционную смесь, состоящую из 2.85 г (510-3 моля) соединения I, растворённого в 30 мл безводного ТГФ, 0.88 г (110-2 моля) диметилхлор-силана и 0.01 мл (510-8 моля) толуольного раствора бис-(триоктилбензил-амино)-тетранитритоплатины, перемешивали при 45 C в течении 48 ч. Завершенность реакции контролировали по исчезновению в ИК-спектрах полосы поглощения в области 1640 см-1, характерной для валентных колебаний концевой двойной углерод-углеродной связи. После завершения реакции смесь вакуумировали (133 Па) в течении 2 ч. Выход: 3.0 г (90%). Функциональный анализ (титрование): найдено,%: Cl 5.75, вычислено, %: Cl 5.60; ЯМР 1H(CCl4, 200 Мгц): = 4.7 (м, 1Н); = 5.6 (с, 1Н); = 0.1 (с, 6Н).
Холестериловый эфир 11-(диметилгидроксисилил)-ундекановой кислоты (III)
К смеси измельченного льда и воды при перемешивании одновременно прикапывали растворы 4.510-3 моля аммиака в 500 мл воды и раствор 3.00 г (4.510-3 М) соединения II в 500 мл безводного эфира. Реакционную смесь перемешивали в течении 40 мин, после чего эфирный слой отделяли, промывали водой до pH 7 и сушили сульфатом магния. Основную массу эфира упаривали в вакууме (2,66 кПа). После дополнительного вакуумирования системы при 133 Па и 20 С в течении 4 ч получено 2.90 г ( 99 %) соединения III.
ЖК дендример (IV)
К раствору 0.658 г (7.4910-4 моля) метилсилоксановой дендритной матрицы в 50 мл сухого эфира при перемешивании и 20 С прикапывали раствор 2.90 г (4.5010-3 моля) соединения III и 0.355 г (410-3 моля) пиридина в 50 мл сухого эфира. Реакционную смесь перемешивали при 20 С в течении 6 ч. Выпавший осадок Py HCl отфильтровывали, промывали на фильтре эфиром; фильтрат упаривали от эфира и вакуумировали (133 Па) в течении 4 ч. В результате получено 3.06 г (95%) сырого продукта. После многократного переосаждения этанолом выход чистого соединения IV составил 0.65 г (20%).
1.2 Синтез карбосилановых ЖК дендримеров
4-цианобифенил-10-ундеценоат (Vа)
К раствору 4.88 г (2.5ґ10-2 моля) 4-гидрокси-4'-цианобифенила и 4.00 мл (2.75ґ10-2 моля) триэтиламина в 50 мл сухого ТГФ при перемешивании и температуре 0 С прикапывали раствор 5.57 г (2.75ґ10-2 моля) хлорангидрида 10-ундециленовой кислоты в 25 мл ТГФ. Реакционную смесь перемешивали при комнатной температуре в течении 1 суток, после чего добавляли 150 мл эфира и 20 мл воды. Эфирный слой промывали водой, затем раствором бикарбоната натрия и снова водой до нейтральной реакции. После обезвоживания сульфатом магния эфир упаривали из раствора в вакууме, остаток трижды перекристаллизовывали из этанола. Выход: 6.50 г (72.0%). TN-I= 71 C (лит. TN-I=73 C [47] ). ЯМР 1H (CCl4,200 Мгц): = 1.5 (м, 10Н); = 1.9 (м, 2Н); = 2.2 (м, 2Н); = 2.8 (т, 2Н); = 5.2(д,2Н); =6.0 (м,1Н); =7.2 (д, 2Н); =7.7 (м, 6Н).
4-цианобифенил-11-(диметилхлорсилил)-ундеканоат (VIа)
Реакционную смесь, состоящую из 11.66 г (3.2310-2 моля) соединения Vа, 6.15 г (6.510-2 моля) диметилхлорсилана и 0.1 мл (6.510-7 моля) толуольного раствора бис-(триоктилбензиламино)-тетранитрито-платины, нагревали в закрытом сосуде при 95 C в течении 48 ч. Завершенность реакции контролировали по исчезновению в ИК-спектрах полосы поглощения в области 1640 см-1, характерной для валентных колебаний концевой двойной углерод-углеродной связи. После завершения реакции смесь вакуумировали (133 Па) в течении 2 ч. Выход: 14.4 г (98%). ЯМР 1H(CCl4, 200 Мгц): = 0.4 (с, 6Н); = 0.9 (м, 2Н).
4-цианобифенил-11-(тетраметилдисилоксил)-ундеканоат (VIIа)
К раствору 1.45 г (3.2ґ10-3 моля) соединения VIа и 12.06 г (0.128 моля) диметилхлорсилана в 35 мл сухого ТГФ при интенсивном перемешивании прикапывали раствор 10.06 мл (0.132 моля) пиридина и 2.4 мл (0.132 моля) воды. Реакционную смесь перемешивали при комнатной температуре в течении 2 ч, после чего добавляли 100 мл эфира, 100 мл пентана и 50 мл воды. Верхний слой промывали несколько раз водой до нейтральной реакции. После обезвоживания сульфатом магния растворитель упаривали из раствора в вакууме. Полученное вещество очищали хроматографически на колонке, заполненной силикагелем (“Merck”, 40-60 mesh), элюент: смесь толуол-этилацетат 10:1. Выход: 1.22 г (77%). TS-I = 67 °C. ЯМР 1H (CCl4,200 Мгц): = 0.2 (с, 6Н); = 0.3 (д, 6Н); = 0.8 (м, 2Н); = 4.9 (м, 1Н).
ЖК дендример (VIIIа)
Реакционную смесь, состоящую из 0.193 г (2.78ґ10-4 моля) дендритной карбосилановой матрицы Si[(CH3)3Si(CH3)(CH3CH=CH3)2]4, 1.60 г (3.32ґ10-3 моля) соединения VIIа, 0.03 мл (1.9510-7 моля) толуольного раствора бис-(триоктилбензиламино)-тетранитритоплатины, нагревали в закрытом сосуде при 100 C в течении 48 ч. После вакуумирования на масляном насосе (133 Па), конечный продукт очищали от избытка силана (VIIа) хроматографически на колонке, заполненной силикагелем (“Merck”, 40-60 mesh), элюент: толуол. Окончательную хроматографическую очистку проводили, используя в качестве элюента смесь толуол-этилацетат 10:1. Выход: 1.15 г (90%). ). ЯМР 1H (CCl4,200 Мгц): = 0.1 (с, 12Н); = 0.2 (с, 96Н); = 0.8 (м, 64Н); = 1.5 (м, 124Н); = 1.9 (м, 16Н); = 2.8 (т, 16Н); =7.2 (д, 16Н); =7.7 (м, 48Н).
4-метоксифенилбензоатный эфир 10-ундециленовой кислоты (Vб)
Синтез проводили аналогично методике получения соединения Vа.
Окончательную очистку проводили хроматографически на колонке, заполненной силикагелем (“Merck”, 40-60 mesh), элюент: смесь толуол-этилацетат 20:1. Выход: 87%. TN-I= 70 C (лит. TN-I=74 C [47]). ЯМР 1H (CCl4,200 Мгц): = 1.6 (м, 10Н); = 1.9 (м, 2Н); = 2.2 (м, 2Н); = 2.8 (т, 2Н); = 4.0 (с, 3Н); = 5.2 (д, 2Н); =6.0 (м, 1Н); =7.1 (д, 2Н); =7.3 (д, 2Н); =7.4 (д, 2Н); =8.4 (д, 2Н).
4-метоксифенилбензоатный эфир 11-(диметилхлорсилил)-ундекановой кислоты (VIб)
Синтез проводили аналогично методике получения соединения VIа.
Выход: 98%. ЯМР 1H(CCl4, 200 Мгц): 0.4 (с, 6Н); 0.9 (м, 2Н).
4-метоксифенилбензоатный эфир 11-(тетраметилдисилоксил)-ундекановой кислоты (VIIб)
Синтез проводили аналогично методике получения соединения VIIа.
Выход: 38%. K 52 SA 56 N 58 I. ЯМР 1H (CCl4,200 Мгц): = 0.2 (с, 6Н); = 0.3 (д, 6Н); = 0.8 (м, 2Н); = 4.9 (м, 1Н).
ЖК дендример (VIIIб)
Синтез проводили аналогично методике получения соединения VIIIа.
Выход: 90%. ЯМР 1H (CCl4,200 Мгц): = 0.1 (с, 12Н); = 0.2 (с, 96Н); = 0.8 (м, 64Н); = 1.5 (м, 124Н); = 1.9 (м, 16Н); = 2.8 (т, 16Н); = 4.0 (с, 24Н); =7.1 (д, 16Н); =7.3 (д, 16Н); =7.4 (д, 16Н); =8.4 (д, 16Н).
холестерил-11-(тетраметилдисилоксил)-ундеканоат (VIIс)
Синтез проводили аналогично методике получения соединения VIIа.
Выход: 73%. ЯМР 1H (CCl4,200 Мгц): = 0.2 (с, 6Н); = 0.3 (д, 6Н); = 0.8 (м, 2Н); = 4.9 (м, 1Н).
ЖК дендример (VIIIс)
Синтез проводили аналогично методике получения соединения VIIIа.
Выход: 40%. ЯМР 1H (CCl4,200 Мгц): = 0.1 (с, 12Н); = 0.2 (с, 96Н); = 0.8 (м, 64Н); =4.8 (м, 8Н); =5.7 (с, 8Н).
2. Физико-химичкские методы исследования
2.1. ЯМР-1Н и 29Si-спектроскопия.
ЯМР спектры регистрировали на приборе "Bruker WP=200”. В случае ЯМР 1Н спектроскопии использовали 5%-ные растворы анализируемого вещества в CCl4, в случае ЯМР 29Si спектроскопии - 40%-ные растворы в CCl4.
2.2. ИК-спектроскопия.
ИК-спектры регистрировали на приборе "Bruker IFS=88" в области 400 - 4000 см-1. Образцы готовили в виде пасты или таблеток с KBr.
2.3. Гель-проникающая хроматография.
Молекулярно-массовые характеристики определяли методом ГПХ в ТГФ на жидкостном хроматографе GPC-2 "Waters-440" с адсорбционным детектором и тремя колонками, наполненными ультрастирогелем с размерами пор 100, 500 и 103 Е. Хроматограммы обрабатывали на интеграторе "Data Modul-370" с использованием полистирольного стандарта.
2.4. Поляризационно-оптическая микроскопия.
Оптические исследования проводили на поляризационном микроскопе “Ломо Р-112”, оборудованном нагревательным столиком с микропроцессор-ной регулировкой скорости нагревания “Mettler FP-800”, в скрещенных поляроидах. Съёмку осуществляли фотоаппаратом “Зенит-3М”, соединённым с тубусом микроскопа микрофотонасадкой.
2.5. Дифференциальная сканирующая калориметрия.
Калориметрические исследования проводили на термосистеме “Mettler TA-4000”. Скорость сканирования 10 град/мин. Образцы готовили в виде таблеток навеской 10-30 мг. Расчёт тепловых эффектов переходов производили автоматически на микропроцессоре по стандартным программам.
2.6. Рентгенографические исследования.
Рентгенографический анализ проводили на приборе УРС-55 с использованием CuKa-излучения, фильтрованного никелевым фильтром. Рентгенограммы получали на плоской плёнке. Расстояние образец-плёнка составляло 60.5 и 38.3 мм. Расчёт межплоскостных расстояний проводили по формуле Вульфа-Брэгга:
kl = 2 d sin J,
где l - длина волны рентгеновского излучения (1.54 Е);
d - межплоскостное расстояние;
J - угол отражения.
Для расчёта межплоскостных расстояний, соответствующих диффузному гало в широких углах, использовали значение k ” 1.117, а для малоугловых рефлексов - значение k = 1
ВЫВОДЫ
1. Разработан подход к синтезу нового класса жидкокристаллических соединений - дендримеров регулярного строения с концевыми мезогенными группами.
2. Впервые осуществлён синтез ЖК дендримеров на основе метилсилоксановой и карбосилановой дендритных матриц с различными мезогенными группами и доказано их строение и индивидуальность.
3. Установлено, что все синтезированные дендримеры проявляют ЖК свойства. Показано, что фазовый полиморфизм в таких соединениях определяется главным образом химической природой концевых мезогенных групп.