Дейтерий - меченный l-фенилаланин, продуцируемый штаммом Brevibacterium methylicum для медицинской диагностики
ДЕЙТЕРИЙ - МЕЧЕННЫЙ L-ФЕНИЛАЛАНИН, ПРОДУЦИРУЕМЫЙ ШТАММОМ Brevibacterium methylicum ДЛЯ МЕДИЦИНСКОЙ ДИАГНОСТИКИ.
О. В. МОСИН
Московская государственная академия тонкой химической технологии им. М.В. Ломоносова, 117571, г. Москва, просп. Вернадского, д.86.
Представлены данные по биосинтезу [2H>6>] - L-фенилаланина, продуцируемого экзогенно штаммом факультативных метилотрофных бактерий Brevibacterium methylicum, способного ассимилировать метанол (или его дейтерий-меченный аналог) в качестве источника углерода и энергии. Микробную биоконверсию C2H>3>O2H проводили на минимальной среде, содержащей 98 об.% 2Н>2>O. Выход L-фенилаланина при этом составил 1 г/л. Анализ степени дейтерированности L-фенилаланина проводили методом масс-спектрометрии электронного удара после препаративного разделения методом обращенно-фазовой высокоэффективной жидкостной хроматографии (ВЭЖХ) в виде метилового эфира дансил - фенилаланина и карбобензокси-фенилаланина. Согласно полученным данным, степень изотопного включения дейтерия в фенилаланин составила 75 %, что свидетельствует о высокой эффективности мечения L-фенилаланина в этих условиях. Полученный [2H>6>]- фенилаланин может быть использован для диагностики наследственной фенилкетонурии.
ВВЕДЕНИЕ
Метод мечения стабильными изотопами является ключевым направлением в разнопрофильных биомедицинских исследованиях с использованием аминокислот и других биологически активных соединений (БАС) [1, 2]. Тенденции к предпочтительному применению стабильных изотопов по-сравнению с радиоактивными аналогами обусловлены отсутствием радиационной опасности и возможностью определения локализации метки в молекуле методами высокого разрешения, включая спектроскопию ядерного магнитного резонанса (ЯМР) [3], инфракрасную [4] и лазерную спектроскопию [5] и масс-спектрометрию (МС) [6]. Развитие этих методов детекции стабильных изотопов за последние годы позволило значительно усовершенствовать проведение многочисленных биологических исследований с участием аминокислот de novo, а также изучать их метаболизм, механизм действия, внутриклеточный транспорт и т.п. [7,8]. Аминокислоты, меченные стабильными изотопами 2Н, 13С, 15N широко применяются как во врачебной практике и в медицинской диагностике, так и в биохимических исследованиях разнообразного характера [9, 10], а также в химических синтезах широкого круга изотопно - меченных соединений на их основе, например, меченный L-фенилаланин в синтезах пептидных гормонов и нейротрансмиттеров [11]. Изотопно-меченные аналоги L-фенилаланина находят всё большее применение в диагностических целях, например, для выявления наследственной фенилкетонурии и других заболеваний, связанных с нарушением метаболизма аминокислот в организме [12].
В настоящее время биотехнологический потенциал метилотрофных бактерий для получения аминокислот, меченных дейтерием общепризнан [13]. Традиционным подходом при этом является культивирование штаммов - продуцентов на средах, содержащих С2Н>3>О2Н и 2Н>2>О с последующим фракционированием культуральной жидкости. Раннее нами была изучена возможность использования штамма факультативных метилотрофных бактерий B. methylicum для получения фенилаланина [14-15]. В отличие от традиционных штаммов-продуцентов фенилаланина, у которых нарушены активности префенатдегидратазы или дезоксиарабиногептулозофосфатсинтетазы, уникальность этого штамма состоит в том, что для биосинтеза L-фенилаланина необходим L-лейцин.
Целью данной работы было изучение принципиальной возможности получения дейтерированного L-фенилаланина с высокой степенью изотопного обогащения за счёт использования штамма факультативных метилотрофных бактерий Brevibacterium methylicum .
УСЛОВИЯ ЭКСПЕРИМЕНТА.
Бактериальные штаммы. Исследования проводили с L-лейцин-зависимым штаммом факультативных метилотрофных бактерий B. methylicum, продуцентом L-фенилаланина. Штамм был получен из коллекции культур Всероссийской коллекции промышленных микроорганизмов (ВКПМ) Государственного научно-исследовательского института генетики и селекции промышленных микроорганизмов.
В работе использовали 2Н>2>O (99,9% 2Н), С2Н>3>О2Н (97,5 % 2Н), полученные из Российского научно-исследовательского центра “Изотоп” (Санкт-Петербург, РФ), а также N-диметиламинонафталин-5-сульфохлорид (дансилхлорид) (Sigma, CША). Для получения производных аминокислот использовали N-диметиламинонафталин-5-сульфохлорид (дансилхлорид) (Sigma, CША), карбобензоксихлорид (химзавод им. Войкова) и диазометан. Диазометан получали из N-нитрозометилмочевины (Мerck, Германия).
Условия адаптации. Адаптацию штамма к дейтерию проводили на агаризованных средах (2 %-ный агар), содержащих тяжёлую воду. При этом использовали рассев культур до отдельных колоний на средах, содержащих ступенчато увеличивающиеся концентрации тяжёлой воды [9].
Культивирование бактерий проводили на минеральной среде М9 [16], как описано в работе [9].
Получение дансиламинокислот культуральной жидкости. К 200 мг лиофилизованных препаратов культуральной жидкости в 5 мл 2 м. NaHCO>3> (2 10-3 моль) рН 9-10 дробными порциями при перемешивании добавляли 320 мг (1,2 10-3 моль) дансилхлорида в 5 мл ацетона. Реакционную смесь выдерживали при перемешивании при 400 С в течении часа, затем подкисляли 2 м. раствором HCL до рН 3,0 и экстрагировали этилацетатом (3 раза по 5 мл). Объединенный экстракт промывали водой до значения рН 7,0, сушили безводным сульфатом натрия, растворитель удаляли при 10 мм. рт. ст.
Дансиламинокислоты в составе белковых гидролизатов B. methylicum получали как описано в работе [9].
Получение метиловых эфиров дансиламинокислот. К 20 мл 40 %-ного КОН в 40 мл эфира добавляли 3 г влажной нитрозометилмочевины и перемешивали на водяной бане со льдом в течении 15-20 мин. После интенсивного газовыделения эфирный слой отделяли и промывали ледяной водой до рН 7,0, сушили безводным NaSO>4> и обрабатывали им препараты дансилпроизводных аминокислот в составе культуральной жидкости и гидролизатов белка биомассы.
Аналитическое и препаративное разделение Dns-Phe-OMe проводили методом обращённо-фазовой ВЭЖХ на жидкостном хроматографе “Knauer” (ФРГ), снабженным насосом “Knauer”, УФ-детектором “2563” и интегратором “С-R 3A” (Shimadzy, Япония). Использовали неподвижную фазу: Separon SGX C 18, 7 мкм, 150 x 3,3 мм (Kova, Чехословакия). Элюирование проводили в системе растворителей: (А) - ацетонитрил-трифторуксусная кислота (20:80 об/об) и (В) - ацетонитрил. Использовали градиентное элюирование: от 20% В до 100%В в течение 30 мин, при 100% В в течение 5 мин, от 100% В до 20% В в течение 2 мин, при 20% В в течение 10 мин.
Количественное определение L-фенилаланина в культуральной жидкости проводили на приборе “Beckman DU- 6” (США) при 540 нм, после обработки препаратов культуральной жидкости нингидрином.
Масс-спектры электронного удара получены на приборе “MB-80A” (Hitachi, Япония) при энергии ионизирующих электронов 70 эВ.
РЕЗУЛЬТАТЫ И ОБСУЖДЕНИЕ.
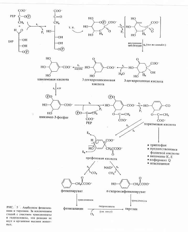
Получение дейтерий-меченного [2H>6>]- L-фенилаланина и масс-спектрометрический анализ. Как известно, большинство микроорганизмов, распространённых в природе не могут служить хорошими продуцентами аминокислот, вследствие наличия эффективных механизмов регуляции биосинтеза этих соединений в клетке, хотя эта способность проявляется у ряда их мутантных форм [17]. Активными микробными продуцентами L-фенилаланина являются, как правило, мутанты, у которых снят негативный контроль со стороны таких ключевых ферментов биосинтеза этой аминокислоты, как префенатдегидратаза и дезоксиарабиногептулозофосфатсинтетаза (рис.1) [18, 19].

Определённый интерес в связи с этим представляет исследование способности продуцировать L-фенилаланин лейцинзависимым метилотрофным мутантом B. methylicum, достаточно удобным, хотя и малоизученным объектом для биотехнологического использования. Поэтому начальный этап биохимических исследований со штаммом метилотрофных бактерий B. methylicum был связан с получением ауксотрофных мутантов, для которых в большинстве случаях характерны ограниченный спектр мутантных фенотипов и кроме того довольно высокий уровень реверсий [20]. Исходный L-лейцинзависимый штамм B. methylicum, продуцент L-фенилаланина был отобран в лаборатории генетики метилотрофов “ГосНИИ генетики и селекции промышленных микроорганизмов” на предыдущем этапе работы после обработки родительского штамма нитрозогуанидином. Скрининг нужных клонов проводили по признаку устойчивости к аналогу фенилаланина - метафторфенилаланину (50 мкг/мл). Выделенные на селективных средах аналогорезистентные мутанты конвертировали метанол и накапливали при этом фенилаланин в ферментационной среде. Сравнительные анализы (ТСХ, МС) показали, что фенилаланин, продуцируемый данным штаммом метилотрофных бактерий полностью идентичен природному L-фенилаланину.
С целью увеличения эффективности изотопного мечения L-фенилаланина и интенсификации роста бактерий на полностью дейтерированной среде мы адаптировали полученный мутант B. methylicum к росту и биосинтезу в полностью дейтерированных средах. К данному штамму метилотрофных бактерий был применён специальный подход по адаптации (таблица), который заключался в серии из пяти адаптационных пассажей исходной культуры на агаризованных средах (с добавкой 2 об. % C2HO2H) при ступенчатом увеличении концентрации тяжёлой воды в них (от 0; 24,5; 49,0; 73,5 об% до 98 об% 2Н>2>О). При этом последовательно отбирали отдельные колонии, выросшие на средах, содержащих дейтерий. Затем их пересевали на среды с большей степенью дейтерированности, включая среду с 98 об.% 2Н>2>О (степень выживаемости бактерий на конечной полностью дейтерированной среде составила 40%).
Таблица. Изотопный состав ростовых сред и биосинтетические характеристики B. methylicum
|
|
Компоненты среды, об.%
H>2>O 2H>2>O Метанол [U-2H] Метанол |
Лаг-период, ч |
Выход микробной биомассы, % от контроля |
Время генерации, ч |
|||
|
1 |
98 |
0 |
2 |
0 |
20 |
100 |
2.2 |
|
2 |
98 |
0 |
0 |
2 |
30 |
92.3 |
2.4 |
|
3 |
73.5 |
24.5 |
2 |
0 |
32 |
90.6 |
2.4 |
|
4 |
73.5 |
24.5 |
0 |
2 |
34 |
85.9 |
2.6 |
|
5 |
49.0 |
49.0 |
2 |
0 |
40 |
70.1 |
3.0 |
|
6 |
49.0 |
49.0 |
0 |
2 |
44 |
60.5 |
3.2 |
|
7 |
24.5 |
73.5 |
2 |
0 |
45 |
56.4 |
3.5 |
|
8 |
24.5 |
73.5 |
0 |
2 |
49 |
47.2 |
3.8 |
|
9 |
0 |
98.0 |
2 |
0 |
58 |
32.9 |
4.4 |
|
10 |
0 |
98.0 |
0 |
2 |
60 |
30.1 |
4.9 |
|
10’ |
0 |
98.0 |
0 |
2 |
40 |
87.0 |
2.8 |
Кривые, отражающие динамики роста исходного и адаптированного к 2Н>2>О штамма B. methylicum и максимальному уровню накопления L-фенилаланина в культуральной жидкости на минимальных средах с добавкой 2 об.% СН>3>ОН/С2Н>3>О2Н и 98 об.% 2Н>2>О представлены на рис. 2.

Выход биомассы, время клеточной генерации и максимальный уровень накопления L-фенилаланина в культуральной жидкости исходным мутантом (б) и мутантом, адаптированным к высокому содержанию дейтерия в среде (в) на средах, максимально насыщенных дейтерием, приведены в гистограмме относительно контрольного микроорганизма на протонированной среде (а). Сравнивали ростовые данные адаптированного к дейтерию микроорганизма и секрецию L-фенилаланина (б) с исходным B. methylicum на протонированной среде М9 (а) и на полность дейтерированной среде (98 об.% 2Н>2>О) с 2 об.% С2Н>3>О2Н (б). Как видно из представленных данных, в отсутствии дейтерий-меченных субстратов продолжительность лаг-фазы не превышала 24 ч (рис. 2, а). С увеличением концентрации 2Н>2>О в среде продолжительность лаг-фазы увеличивалась до 64,4 ч на средах с 98 об.% 2Н>2>О и 2 об.% С2Н>3>О2Н (рис. 2, б). Отмечено, что длительность времени клеточной генерации с увеличением степени изотопного насыщения среды дейтерием постепенно увеличивается, достигая 4,9 часов на максимально дейтерированной среде (рис. 2, опыт б). Как видно из рис. 2, опыт б, С2Н>3>О2Н не вызывал существенного ингибирования роста и не оказывал влияния на выходе микробной биомассы, в то время как на средах с 98 об.% 2Н>2>О микробный рост подавлялся. Так, на среде, содержащей 98 об.% 2Н>2>О и 2 об.% С2Н>3>О2Н, выход микробной биомассы был снижен в 3,3 раза по-сравнению с контролем. Важно то, что, выход микробной биомассы, время клеточной генерации и уровень накопления L-фенилаланина в культуральной жидкости при росте адаптированного к 2H>2>O штамма B. methylicum на среде, содержащей 98 об.% 2Н>2>О и 2 об.% С2Н>3>О2Н изменяются незначительно (гист., опыт б).
Общей особенностью биосинтеза L-фенилаланина было значительное увеличение его продукции на ранней фазе экспоненциального роста B. methylicum, когда выход микробной биомассы был незначителен (рис. 3). Во всех экспериментах наблюдалось ингибирование биосинтеза фенилаланина на поздней фазе экспоненциального роста и снижение его концентрации в ростовых средах. Согласно данным по микроскопическому исследованию растущей популяции микроорганизмов, подобный характер динамики секреции фенилаланина не коррелировал с качественными изменениями ростовых характеристик культуры на различных стадиях роста, что служило подтверждением морфологической однородности микробной популяции. Мы предположили, что накопленный в процессе роста фенилаланин ингибировал ферменты собственного пути биосинтеза. Кроме того, мы не исключаем возможность, что при ферментации без рН-статирования может происходить обратное превращение экзогенного фенилаланина в интермедиаторные соединения его биосинтеза [21]. При обсуждении механизма биосинтеза L-фенилаланина следует отметить, что он синтезируется в клетках микроорганизмов из префеновой кислоты, которая через стадию образования фенилпирувата превращается в фенилаланин под действием клеточных трансаминаз [22] (схема 1). Данные тонкослойной хроматографии (ТСХ) и масс-спектрометрического анализа культуральной жидкости показали, что кроме L-фенилаланина данный штамм B. methylicum синтезирует и накапливает экзогенно другие аминокислоты: аланин, валин, лейцин, изолейцин.

Эффективность использования дансильных и Z-производных аминокислот для масс-спектрометрических исследований была показана раннее [10, 16]. В данной работе уровни включения изотопа 2Н в L-фенилаланин в составе культуральной жидкости определяли методом масс-спектрометрии электронного удара метилового эфира дансил-фенилаланина или в виде Z-производного фенилаланина после их препаративного разделения методом обращённо-фазовой ВЭЖХ.
Производные аминокислот при этом получали прямой обработкой препаратов культуральной жидкости дансилхлоридом (DnsCl) или карбобензоксихлоридом (Zcl). Реакцию проводили в щелочной среде в водно-органическом растворителе в соотношении карбобензоксихлорид (дансилхлорид)-аминокислота, равным 2:1. Летучесть дансилпроизводных аминокислот при масс-спектрометрическом анализе повышали за счет дополнительной дериватизации по карбоксильной группе (этерификации) диазометаном. Выбор диазометана как этерифицирующего реагента был обусловлен необходимостью проведения реакции в мягких условиях, исключающих изотопный (1Н-2Н) обмен в ароматических аминокислотах.

В качестве примера на рисунке показана фрагментация метилового эфира дансилфенилаланина при электронном ударе. В масс-спектрах этого производного, как правило, четко детектируется пик молекулярного иона метилового эфира дансилфенилаланина М+. с m/z 412. Пик аминного фрагмента А имеет невысокую интенсивность, а пик аминоацильного фрагмента В крайне низкую или вообще отсутствует (см. рис. 1). Кроме вышеобозначенных пиков, в масс-спектрах электронного удара Dns-Phe-OMe фиксируются пики с массовым числом m/z 250, 234, 170, которые соответствуют дансильному фрагменту и продуктам его распада до N-диметиламинонафталина .

Масс-спектр фенилаланина, выделенный из культуральной жидкости, содержащей 98 об.% 2Н>2>О показан на рис. 4,б (спектр приведен относительно контрольных условий (а), где использовали обычную воду и метанол). Из рис.2,б видно, что величина пика молекулярного иона производного фенилаланина (М+. с m/z 418,0) увеличивается по сравнению с контрольными условиями (М+. с m/z 412,0) на 6 единиц, что составляет 75 % от общего количества атомов водорода в молекуле. Очевидно, что вышеобозначенные атомы дейтерия включились в молекулу фенилаланина за счет процесса биосинтеза de novo, т. е. по углеродному скелету молекулы, так как маловероятно, что они заместились в в ходе выделения аминокислоты из культуральной жидкости или при химической модификации фенилаланина (протоны (дейтероны) при гетероатомах в NH>2>-, и -COOH группах фенилаланина за счёт лёгкости диссоциации не учитывались). Пик с m/z 432, зафиксированный в масс-спектре культуральной жидкости (рис.4,б) вероятнее всего соответствует продукту дополнительного метилирования фенилаланина по а-NH>2>- группе. В масс-спектре фиксируется пик обогащённого дейтерием бензильного фрагмента с m/z 97 (вместо 91 в контроле), что указывает на то, что местами локализации атомов дейтерия в молекуле фенилаланина являются положения С1-С6 ароматических атомов и сопредельное с ними положение при углеродном атоме b. Причем, как миниум четыре из них могут быть локализованы в самом бензольном кольце молекулы фенилаланина. Полученный результат по степени дейтерированности фенилаланина важен для его использования в медицинской диагностике, где необходимо применять соединения с высокими степенями изотопного обогащения.

Таким образом, в результате несложного селекционного подхода удалось получить штамм факультативных метилотрофных бактерий B. methylicum, адаптированный к высокому содержанию 2Н>2>О в ростовой среде. Преимуществами данного штамма для получения [2H>6>]-фенилаланина являются улучшенные ростовые и биосинтетические способности этого метилотрофа на максимально дейтерированной среде. За счёт использования штамма B. methylicum удалось получить около 1 грамма [2H>6>]-фенилаланина из 1 л культуральной жидкости (фенилаланин был также выделен из культуральной жидкости B. methylicum методом обращенно-фазовой ВЭЖХ в виде метилового эфира дансил-L-фенилаланина со степенью хроматографической чистоты 99 % и выходом 89 %). В заключение следует отметить, что более высокая эффективность мечения фенилаланина может быть обеспечена за счёт полной замены протонированных солей в составе ростовой среды на их дейтерированые аналоги, а также используя лейцин, униформно меченный дейтерием, который в принципе можно выделять из гидролизатов суммарных белков биомассы данного микроорганизма.
ЛИТЕРАТУРА.
1. Patel G.B., Sprott G.D., Ekiel I. // Appl. Environ. Microbiol. - 1993. - V. 59. - N. 4. - P. 1099-1103.
2. John Colby, Howard Dalton. // Ann. Rev. Microbiol. - 1979. - V. 33. - P. 481-517.
3. Skladnev D.A., Baev M.V., Shilova S.Yu., et al. // Proceedings of 6th Europ. Conf. on Biomass for Energy. - Industry and Environment. - Athens. - 1991. - P. 47-51.
4. Katz J., and Crespi H. L. // Pure Appl. Chem. - 1972. - V. 32. - P. 221-250.
5. Crespi H. L. // Biosynthesis and uses of per-deuterated proteins. in: Synthesis and Applications of Isotopically labeled Compounds, Proceedings of the Second Inter. Symp. - Elsevier. - 1986. - P. 111-112.
6. Karnaukhova E.N., Reshetova O.S., Semenov S.Y., Skladnev D.A., Tsygankov Y.D. // Amino Acids. - 1994. - V. 6. - P. 165-176.
7. Мосин О.В., Карнаухова Е.Н., Пшеничникова А.Б.,Складнев Д.А., Акимова О.Л. // Биотехнология. - 1993. - N. 9. - С. 16-20.
8. Егорова Т.А., Мосин О.В., Еремин С.В., Карнаухова Е.Н.,Звонкова Е.Н., Швец В.И. // Биотехнология. - 1993. - N. 8. - С. 21-25.
9. Karnaukhova E.N., Mosin O.V., Reshetova O.S. // Amino Acids. - 1993. - V. 5. - P. 125.
10. Мосин О.В., Складнев Д.А., Егорова Т.А., Юркевич А.М., Швец В.И. // Биотехнология. - 1996. - N. 3. (в печати).
11. Миллер Дж. Эксперименты в молекулярной генетике. - М.: Мир, - 1976. - С. 393.
12. Звонкова Е.Н., Зотчик Н.В., Филлипович Е.И., Митрофанова Т.К., Мягкова Г.И., Серебренникова Г.А // Химия биологически активных природных соединений. - М.: Химия, 1970. - С. 65-68.
13. Bligh E.G., Dyer W.J. // Can. J. Biochem. Physiol. - 1959. - V. 37. - N. 8. - P. 911-918.
14. Егорова Т.А., Ерёмин С.В., Митснер Б.И., Звонкова Е.Н., Швец В.И. // Биотехнология. - N5. - 1993. - С. 30-35.
15. Egorova T.A., Eremin S.V., Mitsner B.I., Zvonkova E.N., Shvets V.I. // J. of Chromatography B. - 1995. - V. 665. - P. 53-62.
16. Daniely B. et al. // J. Org. mass spectrometry. - 1989. - 24. - P. 225-229.
Oleg V. Mosin
Department of Biotechnology, M. V. Lomonosov State Academy of Fine Chemical Technology, Vernadskogo Prospekt 86, 117571, Moscow, Russia
Deuterium labelled L-phenylalanine prodused by methylotrophic bacterium Brevibacterium methylicum for biomedical diagnostics.
The data on biosynthesis [2H6] - L-phenylalanine, produced by facultative methylotrophic bacteria Brevibacterium methylicum, capable to assimilate methanol (or its deuterated analogue) as a source of carbon and energy are sub>mitted. Microbic bioconversion of deuterated methanol was carried out on the minimal growth medium containing 98 % of heavy water. The level of L-phenylalanine output has made 1 gramm from 1 liter of growth medium. The analysis of deuterium enrichment level was carried out with using a method of electron impact mass-spectrometry after preparative separation of methyl ether of N-Dns-Phenylalanine by a method of inverted - phase highly effective liquid chromatography. According to the received data, the degree of isotope inclusion of deuterium into molecule of phenylalanine has made 75 % that testifies to high efficiency of deuterium labelling of phenylalanine in these conditions. Biosynthetically received [2H6] - phenylalanine can be used for biomedical diagnostic studies.
Номер
опыта