Функционально-физический анализ фотоаппарата Зенит
Российская Экономическая Академия им. Г. В. Плеханова
КАФЕДРА МЕХАНИКИ
Расчетно-аналитическая работа по курсу методы поиска и
принятия инновационно технических решений.
Функционально-физический анализ
фотоаппарата «Зенит»
Выполнил студент гр.№723
Фролов Александр Александрович
факультет ИЭИ.
Научный руководитель
Колоколов В. А.
Москва 2001
Функционально-физический анализ
фотоаппарата
Описание функции предназначения.
F = {D,G,H }
D - экспонирование ;
G - светочувствительный материал ;
H - с определенными условиями .
Описание физической операции.
Q = {A, E, C}
А - свет ;
С - экспонированный светочувствительный материал ;
Е - сбор и накопление.
3.Разбиваем фотоаппарат на функциональные элементы.
Е1 – объектив;
Е2 – затвор;
Е3 – диафрагма;
Е4 – лентоперематывающий механизм;
Е5 – корпус;
Е6 – система фокусировки;
Е7 – система управления;
Е8 – экспозиционное устройство.
4.Выделяем объекты окружающей среды.
V1 – светочувствительный материал (фотопленка);
V2 – свет;
V3 – объект окружающей среды;
V4 – человек.
5.Описываем функции выделенных элементов.
|
П/н |
Наименование ФЭ. |
Обозначение ФЭ. |
Обозначение функции |
Описание функции |
|
1 |
Объектив |
Е1 |
F1 |
Создает оптическоеизображение объекта на фотопленке. |
|
2 |
Затвор |
Е2 |
F2 |
Обеспечивает необхо-димое время экспони- рования. |
|
3 |
Диафрагма |
Е3 |
F3 |
Регулирует количество света. |
|
4 |
Лентоперема-тывающиймеханизм |
Е4 |
F4 |
Перематывает фото-пленку на нужную позицию. |
|
5 |
Корпус |
Е5 |
F5 |
Защищает и объединяетвсе элементы фотоап-парата. |
|
6 |
Система фокусировки |
Е6 |
F6 |
Фокусирует свет на фотопленку. |
|
7 |
Система управления |
Е7 |
F7 |
Управляет затвором идиафрагмой. |
|
8 |
Экспозицион-ное устройство |
Е8 |
F8 |
Регулирует время проникновения света. |
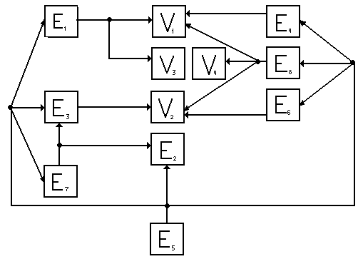
6.Строим конструктивную функциональную структуру, которая описывает функциональную взаимосвязь между элементами.

7.Выделяем основные и вспомогательные потоки.
С
вет
Механическая
энергия
Информация


8.Проводим описание физических операций выделенных элементов.
Физическая операция – это общее описание функционирования каждого элемента.
Q = {A, E, C }
|
№ |
Наименование ФЭ и О.о.с. |
А |
С |
Е |
Физический закон или эффект |
№ источ ника |
№ прием ника |
|
1 |
Фотопленка V1 |
свет |
кадр |
сбор и накопле ние |
потемнение |
6 |
|
|
2 |
Свет V2 |
|
|
||||
|
3 |
Объект V3 |
свет |
свет |
излуче- ние |
отражение |
2 |
5 |
|
4 |
Человек V4 |
инфор мация |
мех. энерг. |
12 |
11 |
||
|
5 |
Объектив Е1 |
свет |
свет |
проводи мость |
преломление |
3 |
7 |
|
6 |
Затвор Е2 |
мех.эн. свет. |
свет |
проводи мость |
7 |
1 |
|
|
7 |
Диафрагма Е3 |
свет |
свет |
проводи мость |
5 |
6 |
|
|
8 |
Лентоперемат. механизм Е4 |
мех.эн. |
мех.эн. |
воздействие |
4 |
1 |
|
|
9 |
Корпус Е5 |
мех.эн. |
мех.эн. |
проведе ние. |
объединение |
4 |
|
|
10 |
Система фоку-сировки Е6 |
мех.эн. свет |
мех.эн. |
сбор. |
фокусирует свет |
4 5 |
5 |
|
11 |
Система управ ления Е7 |
мех.эн. |
мех.эн. |
вохдействие |
4 |
6,7 |
|
|
12 |
Экспозицион. устройство Е8 |
свет |
инфор мация |
преобра зование |
5 |
4 |
9.Строим потоковую функциональную структуру, которая описывает физическую взаимосвязь.
10.Проводим описание физического принципа действия.
Описание физического принципа действия производится на основе ПФС и поэтому ПФС и физический принцип действия могут быть совмещены.

Принцип историзма.
Принцип историзма в ФФА – это история возникновения потребности и различные способы реализации этой потребности раньше, сегодня, а также возможны способы реализации потребности в будущем.
Использование принципа историзма сводится к иерархической матрице удовлетворения потребности.
Иерархическая матрица удовлетворения потребности.
Потребность: получение изображения объекта окружающей среды.
Эту потребность определяют следующие физические операции:
Рисование.
Фотографирование.
Технические решения:
уголь, карандаш, ручка, краски
камера обскура, механический фотоаппарат, электронный фотоаппарат, фотоаппарат с автоматической настройкой,
цифровой фотоаппарат.
Иерархическая матрица удовлетворения потребности.

Наличие закономерностей развития.
Закономерность стадийного развития
В процессе развития человек передает свои функции техническому объекту.
Основные функции человека:
Технологическая (Т)
Энергетическая (Э)
Управленческая (У)
Планирующая (П)
|
0 |
1 |
2 |
3 |
4 |
|
|
Человек |
ТЭУП |
ЭУП |
УП |
П |
- |
Фотоаппарат |
- |
Т |
ТЭ |
ТЭУ |
ТЭУП |
Я считаю, что фотоаппарат «Зенит» находится на 1 стадии развития, потому что человек управляет фотоаппаратом, воздействует на него (механическая энергия) и планирует его действия.
Аппроксимация значений разрешающей способности
объективов.
|
Годы |
Разрешающая способность |
|
1749 |
10 |
|
1862 |
18 |
|
1870 |
20 |
|
1880 |
22 |
|
1891 |
30 |
|
1895 |
45 |
|
1900 |
58 |
|
1906 |
70 |
|
1912 |
85 |
|
1918 |
96 |
|
1933 |
104 |
|
1940 |
110 |
|
1969 |
117 |
|
1982 |
119 |
|
1995 |
120 |
Графический вид:

Метод ранжирования.
Недостатки фотоаппарата:
1.Громоздкий
2.Нет автоматической системы перемотки
3.Нет автоматической настройки
4.Нет встроенной вспышки
5.Тяжелый.
|
- |
1 |
2 |
3 |
4 |
5 |
Кол. повт. |
Ранг |
|
1 |
- |
2 |
3 |
4 |
5 |
0 |
5 |
|
2 |
2 |
- |
3 |
2 |
2 |
3 |
2 |
|
3 |
3 |
3 |
- |
3 |
3 |
4 |
1 |
|
4 |
4 |
2 |
3 |
- |
4 |
2 |
3 |
|
5 |
5 |
2 |
3 |
4 |
- |
1 |
4 |
Как видно из таблицы 1 ранг получил 3 недостаток – нет
автоматической настройки.
Метод гирлянд ассоциаций.
Алгоритм1.Формулировка проблемной ситуа- ции. Установление объекта исследования (наименование).Опре- деление синонимов объекта. |
Пример Проблема – необходимо усовершен ствовать фотоаппарат. Объект – фотоаппарат. Синонимы – фотокамера, камера. |
|
2.Произвольный выбор случайных объектов. Получение гирлянды случайных объектов. |
Случайные объекты – игрушка, часы, сумка, подставка. |
|
3.Составление комбинаций из элементов гирлянды синонимов и гирлянды случайных объектов. |
Фотоаппарат с часовым механизмом, сумка для камеры, фотоаппарат с подставкой, игрушечный фотоаппарат. |
|
4.Составление перечня признаков случайных объектов.
|
Часы: механические, квадратные, электронные, пластмассовые, ручные, настенные, деревянные, золотые, круглые. Подставка: металлическая, деревян ная, высокая, пластмассовая. Игрушка: мягкая, резиновая, деревянная, пластиковая, цветная. Сумка: кожаная, матерчатая, объемная, маленькая, дамская. |
|
5.Генерирование идеи путем поочередного присоединения к объекту и его синонимам признаков случайных объектов. |
Механический фотоаппарат, квадратная камера, электронный фотоаппарат, пластиковый фотоаппарат, маленькая фотокамера, цветной фотоаппарат, дамский фотоаппарат, кожаная камера. |
|
6.Из признаков случайных объектов генерируются гирлянды ассоциации. |
Электроника-техника-компьютер-программа. Механика-шестеренка-механизм-машина-авария-дорога. Пластик-окно-погода- дождь-вода. Рисунок-портрет-стена-бетон-дом.
|
|
Кожа-стиль-куртка-фигура-модель-диета-вес. Квадрат-кубик-игра-дети-огород-жара-солнце-батарея. |
|
|
7.Генерирование новых идей. К элементам гирлянды синонимов постепенно нужно присоединить элементы гирлянд ассоциаций. |
Электронный фотоаппарат, фотоаппарат с программным управлением, фотоаппарат для подводной съемки, игрушечный фотоаппарат, стильный фотоаппарат, легкий фотоаппарат, фотоаппарат с солнечными батареями, кожаный фотоаппарат. |
|
8.Оценка и выбор рациональных вариантов идей. Идеи разбивают на 3 группы: 1 – рациональные идеи; 2 – идеи сомнительной полезности; 3 – нерациональные идеи. |
Рациональные идеи: электронный фотоаппарат, пластиковый фотоаппарат, фотоаппарат с программным управлением, фотоаппарат для подводной съемки Идеи сомнительной полезности: игрушечный фотоаппарат, стильный фотоаппарат. Нерациональные идеи: фотоаппарат с солнечными батареями, кожаный фотоаппарат. |
Матричный метод принятия решений.
Х – альтернативные решения;
К – критерии;
В
– вес критерия
Вj
= 1
А – оценки 1<Aij <10
|
Критерии |
Масса |
Дизайн |
Удобство управлен. |
|
|
Вес критер. Альтернат. |
0,3 |
0,2 |
0,5 |
|
|
Пластиковый фотоаппарат |
2,7 9 |
1,4 7 |
3 6 |
7,1 |
|
Фотоаппарат с программным управлением |
2,4 8 |
1,4 7 |
4,5 9 |
8,3 |
|
Стильный фотоаппарат |
2,4 8 |
1,8 9 |
3,5 7 |
7,7 |
|
Электронный фотоаппарат |
2,4 8 |
1,4 7 |
4 8 |
7,8 |
Как
видно из таблицы, максимальное значение
АijBj
= 8,3
следовательно, фотоаппарат с программным управлением можно считать
самым лучшим.
Морфологический метод.
1.Стадия анализа.
Разбиваем объект на морфологические признаки.
Объект – фотоаппарат.
Фотоаппарат состоит из:
корпуса;
объектива;
затвора;
диафрагмы;
- системы управления.
2.Рассматриваем различные варианты реализации морфологических признаков.
Корпус (материал): пластмасса, металл.
Объектив: пластик, съемный, несъемный.
Затвор: в виде шторок, секционный.
Диафрагма: пластик.
Система управления: автоматическая, неавтоматическая.
Матрица
|
1 |
2 |
3 |
|
1.Корпус |
Пластмасса |
Металл |
|
2.Объектив |
Пластик |
Съемный |
Несъемный |
3.Затвор |
В виде шторок |
Секционный |
|
4.Диафрагма |
Пластик |
||
|
5.Сист.управлен. |
Автоматическая |
Неавтоматическая |
3.Стадия синтеза.
Здесь мы комбинируем решения из различных вариантов реализации.
Рассматриваем все возможные комбинации.
Техническое решение 1 (ТР 1): Фотоаппарат с пластмассовым корпусом,
пластиковым объективом, затвором в виде шторок, пластиковой диафрагмой, и с неавтоматической системой управления.
ТР 2: Фотоаппарат с металлическим корпусом, съемным объективом, секционным затвором, пластиковой диафрагмой, и автоматической системой управления.
ТР 3: Фотоаппарат с пластиковым корпусом, несъемным объективом, секционным затвором, пластиковой диафрагмой, и автоматической системой управления.
Метод расстановки приоритетов.
Альтернативные решения:
Х1 – Фотоаппарат с программным управлением;
Х2 _ Пластиковый облегченный фотоаппарат;
Х3 – Электронный фотоаппарат.
Критерии:
К1 – удобство управления;
К2 – Масса;
К3 – Дизайн.
1.Для каждого критерия поочередно проводим сравнение альтернативных решений.
К1 X1 > X2 K2 X1 < X2
X1 > X3 X1 = X3
X2 > X3 X2 > X3
K3 X1 < X2
X1 < X3
X2 = X3
2. Строим квадратичную матрицу.
|
Альт Альт |
Х1 |
Х2 |
Х3 |
строке |
Рi1 |
Рi1 |
|
Х1 |
1 |
1,5 |
1,5 |
4 |
11,5 |
0,46 |
|
Х2 |
0,5 |
1 |
0,5 |
2 |
5,5 |
0,22 |
|
Х3 |
0,5 |
1,5 |
1 |
3 |
8 |
0,32 |
|
|
25 |
1 |
Р11= 1*4+1,5*2+1.5*3 = 11,5
Р21= 0,5*4+1*2+0,5*3 = 5,5
Р31= 0,5*4+1,5*2+1*3 = 8
|
Альт Альт |
Х1 |
Х2 |
Х3 |
строке |
Рi2 |
Рi2 |
|
Х1 |
1 |
0,5 |
1 |
2,5 |
7 |
0,274 |
|
Х2 |
1,5 |
1 |
1,5 |
4 |
11,5 |
0,452 |
|
Х3 |
1 |
0,5 |
1 |
2,5 |
7 |
0,274 |
|
|
25,5 |
1 |
Р12= 1*2,5+0,5*4+1*2,5 = 7
Р22= 1,5*2,.5+1*4+1,5*2,5 = 11,5
Р32= 1*2,5+0,5*4+1*2,5 = 7
|
Альт Альт |
Х1 |
Х2 |
Х3 |
строке |
Рi3 |
Рi3 |
|
Х1 |
1 |
0,5 |
0,5 |
2 |
5,5 |
0,216 |
|
Х2 |
1,5 |
1 |
1 |
3,5 |
10 |
0,392 |
|
Х3 |
1,5 |
1 |
1 |
3,5 |
10 |
0,392 |
|
|
25,5 |
1 |
Р13= 1*2+0,5*3,5+0,5*3,5 = 5,5
Р23= 1,5*2+1*3,5+1*3,5 = 10
Р33= 1,5*2+1*3,5+1*3,5 = 10
3.Определяем значимость критериев.
К1 > K2
K1 > K3
K2 > K3
|
Крит Крит |
К1 |
К2 |
К3 |
строке |
Bj |
Bj |
|
К1 |
1 |
1,5 |
1,5 |
4 |
11,5 |
0,46 |
|
К2 |
0,5 |
1 |
1,5 |
3 |
8 |
0,32 |
|
К3 |
0,5 |
0,5 |
1 |
2 |
5,5 |
0,22 |
|
|
25 |
1 |
В1 = 1*4+1,5*3+1,5*2 = 11,5
В2 = 0,5*4+1*3+1,5*2 = 8
В3 = 0,5*4+0,5*3+1*2 = 5,5
4. Для каждого альтернативного решения вычисляем комплексный
приоритет.
Рi
комп =
Рij*
Bj
P1 комп = 0,46*0,46+0,274*0,32+0,216*0,22 = 0,3468
P2 комп = 0,22*0,46+0,452*0,32+0,392*0,22 = 0,33208
P3 комп = 0,32*0,46+0,274*0,32+0,392*0,22 = 0,32112
5. Проводим сравнение комплексных приоритетов.
Максимальное значение = 0,3468 имеет P1 комп . Следовательно альтернативное решение Х1 – Фотоаппарат с программным управлением – это самое лучшее решение.