Экспортный маркетинг
1
Оглавление
Введение 2
Глава 1. Теоретические положения экспортного маркетинга 3
1.1. Сущность экспортного маркетинга 3
1.2. Специфика экспортного маркетинга 8
1.3. Формы и методы исследования внешнего рынка 12
Глава 2. Планирование экспортного маркетинга древесины в ФРГ 20
2.1. Отправные точки проекта 20
2.2. Цель развивающего проекта 21
2.3. Рамки развивающего проекта 23
2.3.1. Этапы реализации проекта 23
2.3.2. Рамки анализа рынков 24
2.3.3. Рамки изучения клиентуры 25
2.3.4. Рамки принятия решений по маркетингу 27
2.4. Материалы развивающего проекта 28
2.4.1. Вторичные материалы 28
2.4.2. Первичные материалы 30
2.5. Расчёт коэффициентов враждебности 31
Заключение 38
Список библиографических источников 39
Введение
Процессы глобализации набирают темп и уже активно развиваются в России. Очень долгое время экономика России была практически закрытой. Поэтому большинство наших компаний не имеют опыта работы на внешнем рынке. Но компания, предпочитающая работать исключительно на внутреннем рынке, рано или поздно потеряет его. Она станет жертвой сильных иностранных конкурентов.
Сегодня некоторые компании предпринимают попытки выхода на Внешние рынки. Остальных отпугивают тарифы, языковые проблемы, культурные различия, риски, связанные с возможной девальвацией или изменением курса и взяточничество чиновников.
При выходе на внешний рынок и его освоении компания проходит следующие стадии:
пробный экспорт;
экстенсивные экспортные продажи;
интенсивные экспортные продажи;
экспортный маркетинг;
международный маркетинг.
Единицы из множества российских компаний добрались до верхней ступени эволюции – международного маркетинга. Основная масса фирм, действующих на внешнем рынке, осваивает первые четыре. Поэтому особенно актуально рассмотрение этих стадий, тем более что литературы, рассматривающей вопросы международного маркетинга, достаточное количество. А вопросы конкретно экспортного маркетинга освещаются не часто.
В данной работе рассматриваются теоретические положения экспортного маркетинга, а также пример его планирования финской фирмой АО Виентипуу.
Глава 1. Теоретические положения экспортного маркетинга
1.1. Сущность экспортного маркетинга
Западный опыт маркетинга свидетельствует о том, что практически все компании весьма неохотно выходят на внешние рынки, предпочитают заниматься «домашним» маркетингом. Осуществление производственной и сбытовой деятельности на иностранном рынке, как правило, связано с необходимостью изучения чужого языка, привычек, традиций и потребностей потребителей. Владелец товара постоянно сталкивается с политической неопределенностью, экономической нестабильностью, а также с потребностями приспосабливать свой товар под непривычные потребительские нужды иностранных потребителей. Все эти проблемы помимо дополнительных хлопот для производителя или сбытовика связаны с увеличением расходов, что закономерно снижает коммерческий эффект внешнеэкономической деятельности.
Вместе с тем практика внешнеэкономической деятельности любой фирмы свидетельствует о том, что, несмотря на указанные трудности, предприниматели стараются занять определенные ниши мирового рынка товаров и услуг. Это стремление связано с действием ряда политических и экономических факторов: ослаблением маркетинговых возможностей или изменение конъюнктуры на внутреннем рынке (снижение темпов экономического роста, высокие налоги, государственная поддержка внешнеэкономической экспансии государством), а также появление новых рыночных возможностей /5/. А, преодолев пределы национального рынка, компания освобождается от своей прежней зависимости от внешнего рынка. Все это создает необходимость и возможность осуществления корпорациями выхода на рынки других государств.
Для российских субъектов хозяйствования выход на мировые рынки является в настоящее время одной из стратегических задач, и решить ее возможно лишь при соблюдении определенных правил изучения маркетинговой среды в конкретной стране, соблюдении определенной последовательности в планировании внешнеторговых операций. Некоторые проблемы маркетинга, не вызывающие каких-либо сложностей во внутренней торговле, например, бартерные сделки, требуют уже более детального изучения во внешней торговле.
Под экспортным маркетингом понимают попытку реализации продукции в другой стране, отличающейся от продаж на внутреннем рынке: условиями сбыта, деловыми обычаями, национальными традициями, валютой, особенностями социально-культурной среды, т.е. попытка компании расширить границы национальных рынков сбыта. Экспортный маркетинг – это маркетинг товаров и услуг за пределами национальных границ /6/.
Теория маркетинга утверждает, что каждый товар имеет жизненный цикл, периоды его существования: разработка товара, выведение на рынок, этап роста сбыта, зрелость товар и, наконец, падение сбыта. Поэтому основным требованием в маркетинговой деятельности является постоянное обновление продукции в соответствии с изменяющимися потребностями клиентов. В любой данный момент каждая компания должна иметь в серийном производстве товар, идущий на смену предыдущему, выводить новое изделие в нужное время с таким расчетом, чтобы кривая сбыта товаров данной фирмы находилась в стабильном или возвышающемся режиме.
В экспортном маркетинге точно также ключевой категорией является соответственно международный цикл продукции. Вместе с тем жизненный цикл экспортного товара обладает некоторыми особенностями.
Активное усиление экспорта начинается обычно, когда новый товар, созданный в стране, уже приносит фирме значительные прибыли благодаря завоеванию существенной доли внутреннего рынка и развитой инфраструктуре. В это время продукт еще выступает на международном рынке как новый товар. На этом этапе проникновение на рынок других государств не связано с большими трудностями.
На стадии, когда данный товар становится для внешнего рынка стандартным, начинается международная конкуренция. Приобретая опыт производства, и часто имея при этом более низкую себестоимость продукта, иностранные производители также получают шансы на экспорт своего продукта и могут начать прямую борьбу с инициатором производства продукта сначала на внешнем, а потом и на его собственном внутреннем рынке. В этой связи перед экспортером стоит задача постоянно иметь наготове для выведения на экспорт товар, еще не дошедший до стадии международной конкуренции.
В любом случае при подготовке экспортной номенклатуры экспортер должен избрать определенную стратегию. Это может быть концентрическая стратегия, когда предполагаемые к экспорту новые товары в технологическом и рыночном плане уже созвучны уже экспортируемым; также может быть и горизонтальная стратегия новый товар по существу продолжает уже реализуемый ассортимент и не требует от производителя серьезных технологических перемен. В любом случае в целях минимизации коммерческого риска и расширения сегментов в перспективе в международной практике принято выпускать не один продукт, а несколько однотипных продуктов с различными параметрами.
Конкурентоспособность экспортного товара на первых стадиях международного жизненного цикла определяется преимущественно так называемыми жесткими потребительскими качествами. Они описывают важнейшие функции товара и связанные с ним основные характеристики, заданные в том числе конструктивными и технико-технологическими принципами, использованными при производстве товара и определяющие мощность, производительность и т.п., а также цену потребления.
На стадии зрелости экспортного товара по мере возникновения международной конкуренции, ведущей к выравниванию жестких параметров, на первый план выдвигаются «мягкие» потребительские качества, характеризующие гуманистические, эстетические, эргономические свойства товаров. Однако наиболее удачным будет вариант, когда экспортер еще на первых порах своей коммерческой активности с уважением отнесется к ним.
Важным положением маркетинга по отношению к экспортируемой продукции должна быть сертификация системы мер и действий, подтверждающих соответствие фактических характеристик продукции требованиям международных стандартов, рекомендаций и иных документов, действующих на мировом рынке и в конкретной стране-импортере (чтобы преодолеть существующие там нетарифные, технические барьеры (или в стране-экспортере) при проведении самосертификации). В последнем случае владелец продукции, самостоятельно осуществляя сертификацию, обязан гарантировать: точное и полное соблюдение требований к изделию, предъявляемых договорами и другими документами; высокий уровень системы комплексных испытаний и контроля качества от сырья до упаковки и маркировки товара; ответственность (в том числе и юридическую) изготовителя за качество сертификации и достоверность сертификационных удостоверений; доступность для покупателей информации о методах испытаний, системе контроля и качества, а также возможность посещения предприятия и наблюдения за процессом сертификации.
Однако наивысшим уровнем гарантирования качества продукции на внешнем рынке считается проведение сертификации третьей стороной, которая не имеет отношения ни к производству, ни к сбыту данного товара. Преимуществом независимой сертификации является ее обособленность от заинтересованных сторон, а также возможность соблюдения единообразия требований к изделиям и к системе контроля качества.
Экспортер при осуществлении своих внешнеторговых операций должен сознавать, что всякий акт, противоречащий честным обычаям в промышленных и торговых делах, считается недобросовестной конкуренцией. Это влечет за собой возмещение потерпевшей стороне как материальных, так и моральных убытков.
Поэтому в международной торговой практике ряд действий участников коммерческой деятельности подлежат запрету:
действия, способные каким-либо образом вызвать путаницу в отношении предприятия, товаров, производственной или сбытовой деятельности конкурирующей фирмы;
ложная реклама, заявления или утверждения при осуществлении коммерческой деятельности, могущие дискредитировать предприятия, товары, промышленную или торговую деятельность конкурентов;
указания или утверждения, использование которых при осуществлении коммерческой деятельности может ввести в заблуждение общественность относительно характера, способа изготовления, свойств, пригодности к применению или количества товара, а также его изготовителя (заимствование товарного знака, имитация чужих изделий и т.п.).
Незнание всех этих моментов международной торговой практики не освобождает от ответственности за противоправное действие. Это в полной мере относится к актам недобросовестной конкуренции /5/.
Довольно часто фирма, используя успешно действующую маркетинговую концепцию в своей стране, пытается применить аналогичную схему и на зарубежных рынках. Однако в силу национальных особенностей различных стран такой перенос может стать невозможным, и тогда службе маркетинга компании придется задаться вопросом: “Можем ли мы стандартизировать нашу маркетинговую концепцию для всего мира, или мы должны произвести в ней небольшие изменения, а может быть, при выходе на внешний рынок мы должны создавать совершенно новую маркетинговую концепцию?” Очевидно, что руководство компании предпочло бы использовать стандартизированную маркетинговую концепцию как наиболее экономичную. Хорошо известно, что стандартизация маркетинговой концепции обеспечивает следующие безусловные преимущества:
снижение затрат на производство и продвижение продукции;
удлинение жизненного цикла товара;
распределение риска между разными рынками;
распределение затрат на НИОКР на больший объем производства;
усиление конкурентных преимуществ компании в результате разработки недифференцированных ценовой и рекламной стратегий фирмы для различных страновых рынков.
Однако, несмотря на преимущества стандартизации, многие национальные компании при выходе на внешний рынок считают необходимым модифицировать свою маркетинговую концепцию, или даже создавать абсолютно новую концепцию маркетинга для зарубежных рынков. При этом количество вносимых в маркетинговую деятельность на внешних рынках изменений увязывается с типом экспортируемой продукции (потребительские или инвестиционные товары), особенностями маркетинговой среды, а также планируемой руководством фирмы степени интенсивности проникновения на данный рынок /6/.
1.2. Специфика экспортного маркетинга
Маркетинговая деятельность на внутреннем и маркетинговая деятельность на международном рынке не имеют принципиальных отличий. Экспортная маркетинговая деятельность не предполагает использования каких-либо новых функций маркетинга. Постановка маркетинговых задач, выбор целевых рынков, позиционирование продукции, разработка комплекса маркетинга и проведение контроля маркетинговой деятельности — все эти фундаментальные требования сохраняют актуальность и в работе фирмы за рубежом. Совершенно очевидно, что не может быть эффективного международного маркетинга на том предприятии, которое не будет соблюдать основных маркетинговых принципов в работе на внутреннем рынке. Однако следует помнить, что определенная специфика, порождаемая особенностями функционирования внешних рынков и условиями маркетинговой деятельности на них, придает экспортному маркетингу черты, которые обязаны учитывать национальные компании. В общем, виде это следующее:
Необходимость наличия внутренних ресурсов и внутренней готовности заниматься экспортной деятельностью. Большинство предприятий в России всё время работали на внутренний рынок. И первые попытки выйти на внешний рынок для многих из них оказывались неудачными, так как большая часть заводских служб не была готова к работе с новыми рынками /2/.
Для успешной маркетинговой деятельности на внешних рынках приходится прилагать более значительные и целенаправленные усилия, более последовательно соблюдать принципы маркетинга, использовать маркетинговые приемы, методы, процедуры, чем это требуется на внутреннем рынке. Как правило, внешние рынки предъявляют не только высокие, но и особые требования к предлагаемым на них товарам, их сервису, рекламе. Это связано как со спецификой спроса отдельных страновых рынков, так и с уровнем конкурентной борьбы.
Изучение зарубежных рынков, их возможностей и требований. Этот исходный момент в экспортном маркетинге обычно является гораздо более сложным и трудоемким, чем исследование внутреннего рынка. Если учесть, что мировой рынок включает примерно 180 страновых рынков и каждому из них присущи как общие черты, так и определенные особенности, то становится очевидным, что по каждому из отобранных рынков необходимо проводить больше исследовательской работы. Кроме того, при выходе на зарубежный рынок дополнительно приходится анализировать сложные объекты, которых нет у рынка внутреннего: например, таможенное регулирование, валютные курсы, балансы международных расчетов и пр. Наконец, в международной маркетинговой деятельности нельзя игнорировать политические риски, связанные с выходом на страновые рынки, выбранные национальной компанией как наиболее привлекательные для реализации экспортной продукции, или другие формы международного маркетинга. При экспорте товаров, и особенно при создании за рубежом своих филиалов, национальная компания в большей степени рискует потерять свои активы, чем в своей собственной стране. Войны, революции или острые социальные конфликты способны привести к разрушению производственных помещений, оборудования, повреждению товарных запасов, а смена политической власти чревата конфискацией имущества зарубежного инвестора.
Для эффективной деятельности на внешних рынках необходимо творчески и весьма гибко использовать различные маркетинговые процедуры. Стандартных подходов здесь не существует. Использовать различные маркетинговые приемы следует с учетом конъюнктурных колебаний и прогноза развития зарубежных рынков, сложившейся там коммерческой практики и торговых обычаев, особенностей окружающей маркетинговой среды. Особенно важно учитывать специфику социально-культурной среды. Очевидно, что многие параметры товара, безразличные покупателям одной страны, могут быть весьма важными для потребителей другой страны.
Следовать требованиям внешних рынков, точнее, требованиям потенциальных иностранных покупателей, означает не только необходимость соблюдения принятых там условий сбыта. Принципиальное значение приобретает разработка и коммерческое производство “товаров рыночной новизны”, призванных даже спустя несколько лет после выхода на зарубежный рынок сохранять конкурентные позиции национальной компании. Мировая практика свидетельствует, что выход на внешние рынки с изделиями, которые лишь частично удовлетворяют его требованиям или даже не соответствуют им, порождает потери и непроизводительные затраты, гораздо более высокие, чем проведение предварительных маркетинговых исследований данных рынков. Самые масштабные исследования того или иного рынка могут обойтись фирме в несколько сот тысяч долларов, тогда как потери могут оказаться роковыми.
Итак, выход на зарубежный рынок ставит компанию в ситуацию, совершенно отличную от той, которая может быть ей знакома из опыта работы на национальном рынке. Перерастание национально ориентированного маркетинга в экспортный требует, чтобы изучение конкретного товарного рынка, его сегментация и разработка комплекса маркетинга распространялись на особенности поведения фирмы не только в торговле и постпродажном сервисе, но и на инвестиционную деятельность фирмы с учетом интересов потребителей зарубежных рынков.
Продвигая свои товары на “чужие” рынки, а затем усиливая на них свои позиции, фирмы испытывают потребность в том, чтобы грамотно реагировать на конъюнктурные колебания на мировых рынках. Благодаря этому пониманию рождается способность к адаптации, выступающая залогом эффективности и долговременности их присутствия на зарубежном рынке. В то же время пренебрежение к экспортному маркетингу может привести к весьма негативным последствиям не только в плане утраты благоприятных маркетинговых возможностей, но и в плане реального проигрыша в конкурентной борьбе с иностранными компаниями на внутреннем рынке.
Экспортная маркетинговая деятельность применительно к целям отдельно взятой национальной компании выступает весьма эффективным средством совершенствования качества и расширения ассортимента товаров и услуг, предлагаемых на зарубежных рынках; расширения границ сбыта и увеличения доходов от продаж. Осуществление комплекса маркетинговых мероприятий на внешних рынках приводит к росту конкурентных позиций фирмы /6/.
1.3. Формы и методы исследования внешнего рынка
Осуществление успешной коммерческой деятельности на внешнем рынке, так же как и на внутреннем требует в первую очередь удовлетворение потребностей покупателя. На внешнем рынке точно, так как и на внутреннем необходим поиск покупателя и его убеждение в том, что именно предлагаемое ему изделие в большей степени, чем другие, отвечают его потребностям. Возникающие при этом вопросы «как найти», «чем убедить», «сколько это будет стоить» как раз и лежат в плоскости международного маркетинга.
В любом случае предприятие либо физическое лицо перед выходом на иностранный рынок должны осуществить работу по поиску исходной рыночной информации. Последнее предполагает создание комплексной и четко направленной системы сбора, обработки и интерпретации многообразных данных о внешних, рыночных условиях будущего экспортера.
Внимание к рынку сбыта, его изучение, выяснение действительных потребностей клиентов принято считать первичным, а производство продукции подчиненным, направленным на удовлетворение этой потребности. С учетом всей сложности и многообразия мирового рынка в его изучении необходимо применение дифференцированного подхода. Это обстоятельство связано не только с уровнем экономического развития той или иной страны, но главным образом с доходами населения, традициями, привычками, культурной и правовой средой, динамикой роста потребностей и многими другими факторами.
В маркетинговой практике применяется классификация государств с точки зрения осуществления экспортно-импортных операций. Поэтому в этой группировке существуют следующие типы хозяйственных структур:
страны с экономикой типа натурального хозяйства (большая часть населения в этих странах занята в сельском хозяйстве; основная часть производимого потребляется на месте; для экспорта в эти государства мало возможностей, экономика развита слабо);
страны-производители и поставщики сырья (они богаты несколькими видами сырья; основные доходы имеют за счет его экспорта; импортируют: добывающее оборудование, автомобили, товары массового спроса, предметы роскоши);
промышленно-развивающиеся страны (продукция обрабатывающей промышленности составляет 10-20% в общем объеме производства; импортируют: машины, оборудование, сталь, текстиль, сырье, полуфабрикаты);
промышленно-развитые страны (они являются основными экспортерами промышленных товаров на мировой рынок; импортируют: в основном сырье).
Выбор конкретной группы стран для осуществления внешнеторговых операций в обязательном порядке предполагает ориентацию на одну или несколько стран, каждая из которых требует учета своих особенностей. Это накладывает отпечаток на формы и методы коммерческой работы. В работе на европейском рынке отмечаются значительные различия, обусловленные традициями, национальными особенностями, действующим законодательством и другими факторами. Иностранный предприниматель обязан приспособить качество своего товара и методы торговли к привычкам и вкусам населения покупающей страны.
Степень дифференциации коммерческой деятельности и возможности фирмы самостоятельно определяется фирмой, осуществляющей свои внешнеторговые операции. Однако существуют факторы, подлежащие обязательному изучению. В условиях, когда осуществляется сбыт товаров массового спроса и услуг, фирма не может не анализировать такие факторы как уровень доходов населения, социальная дифференциация, традиции, привычки, обычаи, возрастная структура населения и некоторые другие. Эти же факторы не будут иметь решающего значения при продажах продукции производственного назначения. Сбыт машин, оборудования, сырья и материалов на внешнем рынке требует учета географической сосредоточенности предприятий страны, отраслевой направленности национальной экономики, степени удовлетворения потребностей рынка изделиями национальных производителей, главных конкурентов. В любом случае поставщик товаров должен выработать свою коммерческую стратегию поведения на рынке соответствующую торговую политику.
Основное и главное требование при изучении рынка это продуманная четкая формулировка поставленной задачи. Ей подчиняется весь комплекс намеченных мероприятий с обозначенным распределением сил, времени и ресурсов. После этого наступает следующий этап определение характера необходимой информации, выявление источников ее получения, методов сбора и обработки. Обработка информации наиболее ответственная часть рыночных исследований. Завершающий этап изучения рынка включает в себя обобщение и формулировку выводов.
Проведение квалифицированных рыночных исследований и получение выводов, способных послужить эффективному проникновению на иностранные рынки товаров и услуг требует наличия специализированных маркетинговых подразделений в структурах самого экспортера либо привлечения посреднических фирм, занимающихся изучением и прогнозированием зарубежных рынков. Прогнозирование является важнейшей частью маркетингового исследования. Оно позволяет с большей или меньшей степенью вероятности получить расчеты о емкости рынка, возможные изменения на нем в перспективе, выработать экспортную стратегию фирмы.
Прогнозирование маркетинга подразделяется на краткосрочное и долгосрочное. Первое отличается значительно большей детализацией, точностью предстоящих действий фирмы. Оно охватывает все рынки и все элементы маркетинговой деятельности. Долгосрочное же прогнозирование чаще всего делается в общих чертах и охватывает период времени от 3 до 5 и более лет.
В маркетинговой практике применяется большое разнообразие методов прогнозирования. Вместе с тем у всех у них имеется общая методологическая база: исследование маркетологами мнений и намерений покупателей, находящимися с ними в контакте. Используется также метод прогнозирования путем тестирования товара, то есть проведения пробных продаж на специально подобранных рынках, где изучаются покупательские реакции. В практике рыночных исследований зарекомендовал себя метод составления прогнозов фирмы на основании статистики и анализов результатов ее деятельности в течение прошлого периода времени, разумеется, каждый из них имеет свои преимущества и недостатки.
В ходе подготовки и планирования выхода на иностранные рынки товаров и услуг участник внешнеэкономической деятельности принимает несколько последовательных решений, базирующихся на анализе соответствующих факторов. В практике международного маркетинга к ним относятся: оценка состояния и тенденций маркетинговой среды, решение о целесообразности выхода на внешний рынок с учетом своих экспортных возможностей, выбор сегмента внешнего рынка, вы бор способа проникновения на рынок, разработка программы экспортного маркетинга, принятие организационных решений.
Оценка среды включает в себя анализ существующих на данное время тенденций с перспективой их развития в будущем. На практике экспортер должен учесть главные направления международной торговли, с которыми ему придется столкнуться в практике собственной коммерческой деятельности.
Решение о выходе на международный рынок. Прежде чем его принять хозяйствующий субъект должен определить собственные цели и задачи в сфере международной торговли (производственной деятельности), выработать соответствующую политику; определить какую долю от всего объема сбыта на внутреннем рынке может составлять экспорт, будет ли он лишь незначительной сферой коммерческой деятельности данной фирмы или станет в перспективе доминирующим. При этом необходимо определиться, будет ли осуществляться сбыт в одной стране или фирма будет ориентироваться на несколько стран данного региона; осваивать новые рынки глубоко или, наоборот, предпочитать удовлетворение лишь самых общих потребностей клиентов, без особых затрат на приспособление продукта.
Наиболее ответственным этапом в принятии маркетинговых решений является выбор конкретных стран в качестве сегментов экспортного рынка; уровень территориальной близости или освоенности языка; уровень рыночной привлекательности, соображения конкуренции, возможность минимизации риска; прогноз возможных изменений рыночного потенциала, объемов продаж, затрат и прибыли, перспективы возврата сделанных капиталовложений. Выбор методов вхождения на рынок включает в себя анализ и сравнительную оценку двух сторон: возможности и целесообразности использования различных форм экспорта. Предлагаемые формы выхода на мировой рынок структурно выстроены в последовательности увеличения обязательств, риска и участия в управлении и прибылях.
Косвенный экспорт. Чаще всего он применяется в том случае, когда владелец производит товар, являющийся составным элементом, комплектующим изделием для конечного продукта, предназначенного для экспорта. В этом случае первый владелец по сути являющийся тоже, как и второй экспортером, на самом деле остается неизвестным на иностранном рынке. А внешнеэкономическая стратегия разрабатывается фирмой вывозящей конечный продукт.
Непрямой экспорт. Он осуществляется через независимых посредников. В практике маркетинговой деятельности это есть первая ступень собственной экспортной активности. Эта форма применяется в том случае, когда производитель товара не имеет достаточных навыков и средств для самостоятельных действий на внешнем рынке. В соответствии с ней производство базируется на национальной территории, а экспортные доходы в большей степени достаются посреднику.
Прямой экспорт — предполагает, что производитель избирает самый трудный и рискованный путь, впрочем, сулящий и перспективу получения более высоких доходов и получения иных выгод. При этом производитель обычно выбирает для себя одну из следующих альтернатив:
формирование экспортного подразделения на своей территории; организация за границей собственной сбытовой сети или дочерней фирмы;
командирование своих специалистов сбыта для осуществления продаж (иногда могут возникать ситуации по разовой продаже партий товара);
заключение договоров с иностранными представителями, агентами по продажам;
предоставление права продаж национальным государственным внешнеторговым организациям.
В практике маркетинговой деятельности иногда все эти альтернативы используются в комбинации друг с другом в зависимости от рыночной конъюнктуры. Как правило это даёт максимальный эффект.
Окончательное решение о выборе форм выхода на мировой рынок и построения маркетинговой деятельности принимается после выполнения масштабной информационно-аналитической работы по исследованию зарубежных рынков. Разработка программы маркетинга ставит целью приспособление фирменной стратегии применительно к требованиями и возможностям внешнего рынка. Экспортный маркетинг может быть или стандартизированный, или адаптированный к конкретной стране. Одним из важнейших элементов маркетинга является построение ценовой политики. В том случае, если экспортер осуществляет свою деятельность в несколько стран, то здесь у него возможен троякий выбор: установить единую цену; установить гибкие цены, с учетом особенностей национального рынка; взять за основу цены себестоимость продукции на местном рынке. На мировых рынках экспортная цена товара, как правило, выше чем внутренняя. Это связано не только с дополнительными затратами на транспортировку, торговые пошлины и тарифы. Но наиболее существенный компонент в экспортном ценообразовании это мировая цена. Она используется на большинстве важнейших товарных рынков, где заключаются крупные и регулярные экспортно-импортные сделки. Источниками информации о мировой цене конкретного товара выступают: справочная информация из отраслевых журналов, других периодических международных изданий; аналогичные контракты между экспортерами и импортерами; информация внешнеторговых организаций, посредников; данные таможенной статистики; прейскуранты и каталоги предприятий, коммерческие предложения и письма о намерениях. Правда, к последним необходимо относится с известной долей осторожности.
Для того чтобы совершить первый шаг по изучению рынка, начать подготовку к заключению контракта с иностранной фирмой необходимо ответить на следующие вопросы: какую цель ставит перед собой предприниматель; насколько важна рыночная информация; каковы расходы и сроки получения такой информации; какие способы выхода на мировой рынок являются наиболее оптимальными. Все это и составляет комплекс исследований международного маркетинга /5/.
Глава 2. Планирование экспортного маркетинга древесины в ФРГ
2.1. Отправные точки проекта
В целом, можно сказать, что факторами, инициирующими экспорт, являются потребность в ввозе у стран и предприятий, покупающих сырье, и обусловленные этим спрос и потребность в вывозе у экспортирующих стран и предприятий. В конкретном виде эта начальная расстановка проявляется в соотношении сырьевых запасов древесины у экспортеров и импортеров к собственному потреблению и происходящих в них изменений. Естественно, на экспорт влияет и то, какими альтернативами зарубежные потребители располагают для удовлетворения своих потребностей и какие альтернативы есть у производителей древесного сырья и у экспортеров в выборе покупателей. При выборе альтернатив главным фактором выступает цена. Спрос на различную древесную продукцию и соотношения цен влияют на то, какие виды продукции предлагаются для реализации, а также опосредованно и на то, в какие страны будет поставляться древесное сырье.
Принятые в Финляндии в начале 1990-х годов решения в отношении валютной политики обусловили выгодность финской продукции для зарубежных компаньонов. Возможности заготовки древесины намного превышали их реальный объем. По сравнению с центрально-европейским древесным сырьем финская, и в целом, северная древесина обладает исключительно высоким качеством. В сложившихся условиях финская древесина была по ценам и качеству конкурентоспособной на рынках Центральной Европы. Кроме того, доступность сырья обеспечивалась как возможностями заготовки древесины, так и желанием продавать, подогреваемым вероятными высокими ценами.
Перечисленные условия повернули внимание и заготовителей древесины, и торговых предприятий на экспорт. В Финляндии появилось много мелких экспортных фирм и брокерских компаний. Часть из них образовались на базе Союзов лесоводческих объединений, часть – как предприятия частных лиц. АО Виентипуу (Vientipuu Oy) было одним из предприятий, осуществляющих экспорт древесного сырья.
В этом акционерном обществе быстро осознали значение планирование маркетинга. Поскольку планирование маркетинга призвано адаптировать предприятие к требованиям клиентов и рынков, оно основывается в основном на информации о рынках и клиентах. При выработке стратегий маркетинга, структур, мероприятий и программы деятельности требуются сведения о спросе, предложении, об ином макроокружении, конкурентах, системах распределения и прежде всего о потребностях и поведении клиентов. Такая информация собирается путем проведения отдельных маркетинговых исследований или, что предпочтительнее, за счет постоянного действия собственных информационных систем на предприятии.
АО Виентипуу столкнулось с дефицитом информации о рынках древесины в Центральной Европе. Для планирования эффективного и привязанного к клиенту маркетинга было признано необходимым получение дополнительных сведений. Предприятием было принято решение разработать проект, целью которого было начать экспорт древесины в Центральную Европу; одной из главных частей проекта был анализ рынка и клиентуры в ФРГ.
2.2. Цель развивающего проекта
Цель проведения исследований в рамках развивающего проекта - получение сведений, необходимых для планирования рынков экспорта древесного сырья. Страной изучения является ФРГ. Необходимые сведения как о ранке древесного сырья в этой стране, так и о потенциальных клиентах. Для более точного рассмотрения экспортируемой продукции используются следующие термины: стандартная древесина, специальная древесина и заказная древесина. По клиентуре выясняется вопрос:
Что в этих странах представляют собой лесопромышленные предприятия, которые используют привозное сырье, каковы их потребности в сырье и покупательское поведение?
По макроокружению рынка выясняются вопросы:
Каков объем спроса на привозное сырье?
Каково предложение привозного древесного сырья?
Какие другие факторы макроокружения влияют на рынок привозного сырья?
По микроокружению рынка выясняются вопросы:
Какие страны и предприятия выступают на этих рынках древесного сырья конкурентами?
Каковы системы распределения древесного сырья, какова их структура и деятельность?
В целях планирования маркетинга с помощью полученных сведений ведется поиск ответов на следующие вопросы:
Стратегии маркетинга при поставках древесного сырья в ФРГ:
Какие типы древесного сырья можно поставлять, и по какой цене?
Какие предприятия следует отнести к числу клиентов?
На каких регионах ФРГ следует сосредоточить усилия?
Какие конкурентные преимущества финский экспортер может использовать в этих регионах?
Системы маркетинга при организации сбыта на рынке ФРГ:
Как следует организовать маркетинг?
Как будет добываться информация о рынках?
Какие каналы маркетинга будут использоваться?
Какие каналы физического распределения будут использоваться?
Маркетинговые мероприятия при организации сбыта на рынках ФРГ:
Как будет организована персональная продажа?
Как будет обеспечиваться маркетинговая коммуникация?
Как будет осуществляться физическое распределение?
2.3. Рамки развивающего проекта
2.3.1. Этапы реализации проекта
Реализация развивающего проекта осуществляется по следующим этапам:
Составляются рамки (модели) для подробного определения сведений, получаемых в ходе исследования. В развивающем проекте необходимы модели для описания окружения рынков и клиентуры. На этих моделях основывается анализ рынков и клиентуры.
Составляется модель планирования маркетинга, в которой конкретно указываются решения, принимаемые при планировании. Эта же модель помогает проверить, дает ли анализ рынков и клиентуры всю необходимую информацию.
Анализируются макро- и микроокружение рынков. Вырабатываемая информация основывается на указанных рамках.
Проводится эмпирическое исследование клиентуры, в ходе которого опрашиваются потенциальные потребители финского древесного сырья в ФРГ.
Обобщаются результаты анализа, и составляется план маркетинга.
2.3.2. Рамки анализа рынков
Р
амками
можно считать описание (модель) круга
явлений, из которых поступает информация
в ходе исследования. В рассматриваемом
проекте рамками анализа маркетинга
выступает модель функционального
окружения маркетинга (рис. 1).
Рис. 1. Рамочная схема анализа рынков
Представленная в таком виде картина еще недостаточно четко указывает те сферы, по которым требуется информация. Понятия рамки необходимо перевести в оперативные измеримые формы. Такой перевод показывает, что означают на практике понятия на уровне рамок.
Перевод рамок анализа рынков в оперативную форму:
Макроокружение:
спрос (совокупный спрос на древесное сырье и его динамика в изучаемых странах; спрос на древесное сырье по сортиментам; спрос на древесное сырье по сферам использования);
предложение (предложение отечественного древесного сырья в изучаемых странах; ассортиментный состав ввоза; объемы ввоза по странам;
прочее макроокружение (общее экономическое развитие рынков в изучаемых странах).
Микроокружение:
конкуренты (основные конкуренты в изучаемых странах; конкурирующая продукция);
системы распределения (структура и деятельность каналов сбыта в изучаемых странах; структура и деятельность транспортных систем);
клиентура (потенциальные клиенты; количество клиентов по всем группам; сфера деятельности клиентов; месторасположение клиентов).
В ходе проведения анализа рынков клиентов получают лишь перечисленные сведения. В ходе эмпирического исследования на основе интервьюирования потенциальных клиентов получают значительный объем дополнительной подробной информации. Сектор клиентуры в микроокружении, таким образом, расширяет границы рамок, регулирующих исследования клиентуры.
2.3.3. Рамки изучения клиентуры
Рамки исследования клиентуры регулируют потребность в получении первичного материала (опросы). Главное внимание при проведении исследования сосредоточено на центрах закупки. Центрами закупки называют группы тех лиц, которые, так или иначе, участвуют в принятии решений предприятий по закупкам. Требования производственного процесса являются определяющими критериями решений по закупке сырья. Предполагается, что требования клиентов к используемому сырью будут чаще всего определяться через требования к конечному продукту.
В данном развивающем проекте не анализируется процесс выработки решений по покупкам. Ведь целью ставится выяснение условий приобретения финского древесного сырья и связанных с этим факторов. Рамки предполагают, что коммерческая деятельность предприятия должна строиться на приоритетности клиента, из чего следует, что предъявляемые клиентами требования к конечной продукции опосредованно регулируют деятельность предприятия и через нее закупки древесного сырья.
Перевод рамок анализа клиентуры в оперативную плоскость. Понятия, которыми оперируют в рамках модели, в данном исследовании включают в себя следующее:
Особенности предприятия (сфера деятельности; торговый оборот; численность работающих; расположение).
Центр закупки (численность и положение лиц, ответственных за принятие решений о закупке; критерии выбора импорта древесного сырья; критерии выбора поставщиков; позиции в отношении финского импортного древесного сырья; опыт (удовлетворенность) в приобретении импортного сырья и в отношениях с поставщиками; намерения покупать ввозимое финское древесное сырье).
Закупка древесного сырья, поставщики и поставки (закупки по странам и поставщикам; каким образом на предприятии организована закупка импортного сырья; каковы каналы закупки импортного сырья и предложения клиентов по улучшению поставок; как клиенты получают сведения о потенциальных поставщиках импортного древесного сырья; как часто клиенты встречаются с поставщиками импортного сырья; применяемые условия поставок и платежей; используемые транспортные средства).
Производственный процесс (сырье (количество, качество, уровень цен); изготовление (производственные требования к сырью, производственные требования к поставкам, стоимость сырья в общих затратах на изготовление продукции)).
Клиенты (толкование предприятием требований клиентов к конечному продукту).
2.3.4. Рамки принятия решений по маркетингу
В проекте по развитию рамками принятия решений по маркетингу служит общая модель планирования маркетинга. Рамки уже прямо указывают решения, содержащиеся в плане маркетинга. С другой стороны, при помощи общей модели планирования маркетинга можно и следует проверять получение необходимых сведений на базе анализа рынков и клиентуры.
Стратегии маркетинга при поставках древесного сырья в ФРГ:
Какие типы древесного сырья можно вывозить в ФРГ, и по какой цене?
Какие предприятия следует выбрать в качестве клиентов?
На каких регионах в ФРГ следует сосредоточиться?
На каких конкурентных преимуществах финский экспортер может строить свой маркетинг?
Системы маркетинга в отношении ФРГ:
Как следует организовать маркетинг?
Как следует организовать получение информации о рынках?
Какие каналы физического распределения используются?
Маркетинговые мероприятия в отношении ФРГ:
Как будет организована персональная продажа?
Как будет действовать маркетинговая коммуникация?
Как будет осуществляться физическое распределение?

Рис. 2. Рамочная схема анализа клиентов
2.4. Материалы развивающего проекта
2.4.1. Вторичные материалы
Вторичными называются такие материалы, которые уже имеются в различных письменных источниках. В данном проекте по развитию в качестве вторичных материалов использовались публикации как о Финляндии, так и о ФРГ. Сбор отечественных материалов осуществлялся до этапа полевого исследования и продолжался после его завершения. Зарубежный материал собирали одновременно с накоплением первичного. На основании данных Ассоциации внешней торговли Финляндии, отраслевых журналов и газет собирали общие сведения об изучаемой стране и имеющихся на её рынке древесного сырья конкурентах. В качестве вторичных использовали также сведения о предприятиях, представленные Германско-финской торговой палатой. Сведения о промышленности изучаемой страны (списки предприятий и прочее) получали через различные организации:
Vereinigung Deutschen Furnierwerke (Объединение фанерной промышленности Германии);
Hauptverband der Deutschen Holzindustrie und verwandter Industriezweige e.V. (Германское объединение деревообрабатывающей промышленности);
Bundesverband Deutscher Holzhandel e.V. (Лесоторговое объединение Германии);
Vereinigung Deutschen Sagewerksverbande (Союз лесопильных объединений Германии).
EUWID или Europaischer Wirtschaftsdienst (Экономическая информационная служба Европы) сообщает сведения о предприятиях и публикует обзоры об экономическом положении в различных отраслях. Материалы собирали также в библиотеках лесохозяйственного факультета университета в Гамбурге. Преподавателей и научных сотрудников этого университета интервьюировали в качестве экспертов.
Сведения о промышленности ФРГ и ее сырьевой базе собирались также из таких журналов, как Holz-Zentralblatt, Allgemeine Forstzeitschrift и Holz als Roh-undWerkstoff. Издаваемый ФАО бюллетень "Timber Bulletin" содержит статистические материалы об объемах производства, экспорта и импорта лесопромышленной продукции в разных странах.
Вторичные материалы дополнялись данными опросов среди финских и зарубежных специалистов. Это повысило качество собираемой информации в целом.
2.4.2. Первичные материалы
Основная масса и выборка. Первичными называются материалы, которые собираются различными методами опроса в рамках какого-либо исследования или проекта. Интервью и опросы по почте являются типичными методами маркетингового исследования.
В АО Виентипуу самой привлекательной посчитали деревообрабатывающую отрасль лесной промышленности на юге Германии. Основную группу потенциальных потребителей финского древесного сырья представляли изготовители пиломатериалов и фанеры, а также торговая палата ФРГ, выступающая посредником в поставках сырья. Самые значительные предприятия базового уровня занесены в международный перечень предприятий "Compass".
Выборку производили по принципу удобства (convenience). Ограниченность времени на интервьюирование сократила выборку до 25 предприятий. Выборку произвели в основном по материалам вышеупомянутой публикации, данных Германско-финской торговой палаты. В выборке пытались охватить предприятия различных типов и размеров.
Проведение опросов. Индивидуальные опросы проводили в южных землях ФРГ (Бавария и Баден-Вюртемберг). Время встреч с интервьюируемыми согласовывали по телефону. Разговор шел на немецком языке. Беседы продолжались в среднем 30 - 45 минут и проводились 1-2 раза в день. Почти все, без исключения опрошенные отнеслись к исследованию положительно.
Анализ материала. Анализ данных опроса выполнен при помощи компьютерной программы SURVO. Переменные величины отображали с помощью их распределения, средних величин и дисперсий. Взаимозависимость переменных выявляли средними значениями по классам и корреляционными таблицами /3/.
2.5. Расчёт коэффициентов враждебности
В дополнение к выше описанному развивающему проекту далее приводится расчёт коэффициентов враждебности при выходе финской компанией на рынок древесного сырья ФРГ. Коэффициент враждебности включает в себя показатели, отражающие возможные реакции тех или иных рыночных факторов на появление нового товара на данном рынке.
Коэффициент враждебности является комплексным показателем враждебности рынка относительно развития некоторой внешнеторговой активности, поэтому будет логично представить его состоящим из набора отдельных показателей, характеризующих каждый конкретный фактор рынка, т.е. коэффициент враждебности можно представить как:
(2.1)
где
i – фактор рынка (i=1,2,3,…,n);
S>j> – поправка на относительную значимость (j=1,2,3,…,n);
K>i> - коэффициент враждебности i-го фактора.
В качестве составляющих коэффициента враждебности выделяются:
коэффициент враждебности таможенного регулирования;
коэффициент враждебности, связанный с уровнем стабильности цен;
коэффициент враждебности затрат, необходимых для вхождения на рынок;
коэффициент враждебности, связанный с уровнем конкуренции;
коэффициент враждебности информационной среды;
коэффициент враждебности транзакционных издержек;
коэффициент враждебности емкости рынка;
коэффициент враждебности, связанный с государственной поддержкой.
Для получения объективной адекватной оценки реальной величины коэффициента враждебности среды необходимо правильно определить и реализовать порядок подсчета каждой его составляющей.
Коэффициент враждебности таможенного регулирования:
(2.2)
где
К>эк> – фактический размер сборов на стороне экспортера для данного товара в долях к стоимости товара;
К>имп> – фактический размер сборов на стороне импортера для данного товара в долях к стоимости товара;
Кmax>эк> – максимальная величина сборов в стране импортера (если товар экспортный) или же максимальная величина сборов в стране экспортера (если товар импортный);
Кmax>имп> – максимальная величина сборов при импорте в стране импортера или же максимальная величина сборов при экспорте в стране экспортера в % от стоимости товара.
Существование ЕС сводит к нулю значение коэффициента враждебности таможенного регулирования, т.е. Квр>там>=0%.
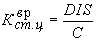
Коэффициент враждебности, связанный с уровнем стабильности цен:
Для фактора уровня стабильности цен целесообразно применять следующую формулу для подсчета Квр>c>>т.ц>:
(2.3)
где
DIS – дисперсия изменения цен на данный товар за отчетный период на рассматриваемом рынке. В качестве отчетного периода предлагается брать предшествующий год;
С – цена на товар, с которым предполагается выйти на этот рынок.
АО Виентипуу предполагает выйти на рынок с ценой 150,1 евро/м3. Предположим, что в предыдущем году контракты на поставку древесного сырья заключались по следующим ценам: 152,4; 158,1; 148,8; 140,9; 150,6; 156,7; 149; 147,5; 146,2 евро/м3. Тогда DIS=27,8, следовательно Квр>c>>т.ц>=18,5%.
Коэффициент враждебности затрат, необходимых для вхождения на рынок:
(2.4)
где
U – доля от годового дохода фирмы, характеризующая стоимость вхождения на рынок с данным товаром;
D – годовой доход фирмы. Принимается за 100 долей.
Итак, будет иметь вид:
(2.5)
Затраты вхождения на рынок в данном случае будут практически отсутствовать, поскольку товар предназначен для промышленного применения, с ним знакомы местные потребители и следовательно проведение рекламных мероприятий, выставок и пр. не требуется. Поэтому мы можем принять U=O, тогда Квр>звр>=0%.
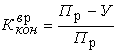
Коэффициент враждебности, связанный с уровнем конкуренции:
(2.6)
где
П>р> - стоимостное выражение общего объема предлагаемого товара на рынке;
У - стоимостное выражение общего объема спроса на товар на рынке.
Величину платежеспособного спроса целесообразно определять исходя из фактического объема продаж за предшествующий период с поправкой на четко определенные тенденции, выявленные в процессе его анализа.
Величину объема предлагаемого товара можно определить из наличия аналогичного товара в продаже, на складах, размеров контрактов, подписанных на поставку аналогичного товара.
Платёжеспособный спрос на древесное сырьё в Германии составляет 5594579 евро, а предложение 7023806 евро, тогда Квр>кон>=20,3%.
Коэффициент враждебности информационной среды:
Без сомнения, при расчете основной трудностью может стать достоверность информации и ее полнота. Все это может стать причиной необъективности показателя в целом.
Коэффициент враждебности информационной среды является суммарным и состоит из качественного показателя информационной среды (К>кач>) и количественного показателя информационной среды (К>кол>). В информационную среду входят информационные системы Интернет, базы данных специализированных учреждений и организаций, а также другие информационные источники.
(2.7)
где
К>кач> – качественный показатель информации;
К>кол> – количественный показатель информации.
К>кач> характеризует достоверность информации и выражается как отношение разницы общего объема информации (0б) и достоверной информации (Р) к общему объему информации.
К>кол> показывает, насколько полно информационная среда отражает реальное положение вещей на рассматриваемом рынке. К>кол> целесообразно рассматривать как отношение разницы общего количества хозяйствующих субъектов на рассматриваемом рынке (Оо) и количества хозяйствующих субъектов, охваченных информационными системами (Ох), к общему количеству хозяйствующих субъектов на рассматриваемом рынке.
Так как сбору информации было посвящено особое внимание, и была использована как вторичная, так и первичная информация из надёжных источников, то К>кач>=(Об-Р)/Об=0%.
Что касается количества предприятий, которые были охвачены исследователями, оно меньше реально существующих. Если предположить, что основными потребителями будут лесопильные предприятия, то здесь анализировалась информация только по интегрированным (30), средним и малым самостоятельным (120) лесозаводам. Не рассматривались передвижные лесопильные установки, которых чуть больше тысячи. Поэтому К>кол>=(1000-(30+120))/1000=85%. Следовательно Квр>инф>=42,5%.
Коэффициент враждебности транзакционных издержек считается как отношение величины транзакционных издержек по контракту (Тр) к стоимости контракта (Vk):
(2.8)
Пусть транзакционные издержки по контракту составят: услуги связи – 28000 евро, командировочные расходы в Германию специалистов для подготовки контракта – 38000 евро, прием делегации из Германии – 35000 евро. Итого 101000 евро.
Стоимость контракта при объеме поставки 8000 м3 и цене 150,1 евро/м3 евро составит 1200800 евро. Тогда Квр>тризд>=8,4%.
Коэффициент враждебности емкости рынка частично связан с коэффициентом враждебности уровня конкуренции. Данный коэффициент предлагается рассчитывать, исходя из определения доли рассматриваемого рынка по требуемому товару в общем, объеме мирового спроса на данный товар. Соответственно будет выглядеть как отношение (У) к мировому платежеспособному спросу на данный товар (Ум):
(2.9)
Величина мирового платежеспособного спроса на древесное сырьё мы берем исходя из потребленного в мире объема древесного сырья за предшествующий год. Ум = 509400000 м3. Следовательно Квр>ёмк>=12,9%.
Коэффициент враждебности государственной поддержки рассчитывается как отношение стоимости контракта (Vk) к возможной стоимости этого же контракта, осуществленного без государственной поддержки (Ст):
(2.10)
Снижение стоимости контракта относительно (Ст) может быть как за счет понижения стоимости товара благодаря дотированию экспортного производства, так и за счет иных методов государственной поддержки /4/.
Поскольку данная поставка сырья не имеет государственной поддержки, то коэффициент враждебности данного фактора будет иметь вид: Квр>гос>=V>k>/C>T>= C>T> /C>T>=100%.
Итоговый коэффициент будет равен: Квр=25,3%.
Вывод:
Коэффициент враждебности довольно высок, хотя не на столько, чтобы отказаться от выхода на рынок. Высокий уровень обусловлен сильной конкуренцией, во-первых, со стороны внутренних производителей, а во-вторых и главных, со стороны шведских импортёров. Также на высокий уровень сказался тот факт, что практически отсутствует информация по передвижным лесопильным установкам, так как их деятельность не продолжительна.
Заключение
В условиях нарастающей интернационализации и глобализации мировой экономики все большее число компаний ориентируется в своей деятельности на концепцию международного маркетинга. Но добраться до этой вершины способны не все. На пути к ней компания переходит от национально-ориентированной к экспортной и только затем к международной. Большинство наших отечественных компаний находятся только на стадии экспортной.
Необходимо помнить, что не может быть удачного экспортного и, тем более, международного маркетинга у компании, которая пренебрегает им на национальных рынках.
При внешнем маркетинге особое внимание необходимо уделять исследованию рынка. Исследования хотя стоят и не дёшево, но, как правило, на много меньше, чем потери от ошибок, которые могут даже стать роковыми.
Освоение нового зарубежного рынка – это каждый раз компромисс между использованием решений, уже испытанных на новых рынках, и необходимым уровнем адаптации к новым.
В области внешнего маркетинга российским компаниям есть чему поучиться у своих зарубежных коллег, некоторые из которых являются корифеями. В лесной промышленности особенно бесценным опытом обладают шведские и финские экспортёры.
Более активное участие России в международной маркетинговой деятельности послужило бы своеобразным “кнутом” для отечественных предприятий, стимулируя их к поиску факторов повышения конкурентных позиций отечественных товаров на зарубежных рынках.
Список библиографических источников
Котлер Ф. Маркетинг от А до Я / Пер. с англ. под ред. Т.Р. Тэор. – СПб.: Издательский Дом «Нева», 2003. – 224 с.
Северин В.Д. Маркетинг: учебно-практическое пособие. – М.: ЗАО «Бизнес-школа «Интел-Синтез», 1999. – 352 с.
Юслин Х., Неувонен Й. Маркетинг продукции лесной и целлюлозно-бумажной промышленности: учебное пособие / Пер. с финского А.Юнтунен, М. Лейнонен. – Йоэнсуу: АО ФЕГ, 2000. – 256 с.
Вишняков Я.Д., Рыбкин С.А. Бизнес и окружающая среда: коэффициент враждебности окружающей среды развитию бизнеса, http://cfin.ru/press/management/1998-6/07.shtml
Литвинов Ф.И. Международный маркетинг: специфика исследования зарубежного рынка, http://www.cfin.ru/press/marketing/1998-5/08.shtml
Сейфуллаева М.Э. Концепция международного маркетинга, http://www.cfin.ru/press/marketing/1998-1/10.shtml