Проектирование червячной передачи с разработкой методики преподавания в техникумах
СОДЕРЖАНИЕ
Введение ...............................................................................................................
Исследовательская часть ............................................................................
Изучение программы обучения по чрезвычайной передаче в Ошском сельскохозяйственном техникуме...................................................................
Изучение применяемых ТСО, оборудования, наглядности.....................
Соблюдение санитарии и гигиены кабинета , правил и требований техники безопасности.......................................................................................
Расчетно-конструкторская часть...............................................................
Общие сведения о передаче ...........................................................................
Проектирование червячного редуктора
Выбор электродвигателя и кинематический расчет.................................
Расчет редуктора...........................................................................................
Предварительный расчет валов редуктора и конструирование червяка и червячного колеса
Конструктивные размеры корпуса редуктора..........................................
Проверка долговечности подшипников
Типовой расчет.............................................................................................
Проверка прочности шпоночных соединений
Расчет на прочность........................................................................................
3.1. Расчет на контактную выносливость.........................................................
Расчет на выносливость при изгибе...........................................................
III . Часть БЖД.....................................................................................................
Санитарно-гигиеническая требования к кабинету Детали машин
Микроклимат ...............................................................................................
Вентиляция.....................................................................................................
Отопление ......................................................................................................
Системы естественного и искусственного освещения................................
Системы освещения......................................................................................
Размещение осветительных приборов ......................................................
Расчет освещенности по методу светового потока..................................
Выбор площади кабинета ДМ на число учащихся ....................................
Противопожарный режим в кабинете ДМ
Меры безопасности при работе учащихся в лаборатории ДМ..................
Методическа я часть...................................................................................
Составление графической структуры содержания темы: «Червячная передача» ..........................................................................................................
Составление календарно-тематического плана..............................................
Составление плана занятия...............................................................................
Составление конспекта занятия......................................................................
Составление сценария занятия.......................................................................
Методические рекомендации проведения занятия.....................................
Заключение..........................................................................................................
Приложения.........................................................................................................
Список литературы ...........................................................................................
ВВЕДЕНИЕ
Специальность 0.04.301. «Преподаватель общетехнических и специальных технических дисциплин «-специальность широкого профиля. Преподаватель общетехнических дисциплин может преподавать в ПТУ, ВУЗах и ССУЗах такие предметы как черчение, теоретическая механика, сопротивление материалов, детали машин, материаловедение, электротехника с основами электроники.
Каждый студент при окончании обучения выполняет дипломный проект. Дипломный проект -это завершающий этап подготовки студентов -выпускников. Цель дипломного проекта -развить у студентов самостоятельность в принятии решений, точность в расчетах, умение четко и логично формулировать свои мысли.
Можно выделить следующие основные задачи дипломного проектирования:
Расширение , закрепление и систематизация теоретических знаний и практических навыков по специальности, применение этих знаний при решении конкретных научных, технических , экономических и педагогических задач в учебных заведениях.
Овладение методикой проектирования отдельных узлов, механизмов и агрегатов машин.
Развитие и закрепление навыков самостоятельной работы с учебной и справочной литературой, навыков в выполнении расчетов и графических работ.
Развитие навыков разработки календарного плана, плана занятия . Умение самостоятельно разработать методику преподавания по отдельным темам.
Для решения указанных задач студент выполняет дипломный проект.
Дипломный проект по теме: «Проектировании червячной передачи с разработкой методики преподавания в техникумах» посвящении вопросам преподавания темы червячная передача по программе для машиностроительных специальностей.
Дипломный проект состоит из расчетно-пояснительной записки и графической части.
Расчетно-пояснительная записка включает в себя исследовательскую часть, расчетно-конструкторскую часть, часть БЖД, методическую часть и заключение.
Графическая часть выполнена на 10 листах формата 11.
Лист 1- Общий вид червячной передачи
Лист 2- Деталировка червяка и червячного колеса
Лист 3- Структурный график содержания темы «Червячная передача»
Лист 4 -Календарно-тематический план
Листы 5,6,7,8 -Планы уроков, составленные с применением формы, рекомендуемой сельскохозяйственным техникумом.
Листы 9,10-Планы уроков, составленные с применением формы, рекомендуемой Бишкекским автодорожным техникумом.
Результаты дипломного проекта отражены в заключении.
Изучение программы обучения по червячной передаче в Ошском сельскохозяйственном техникуме.
Программа по технической механике для немашиностроительных специальностей техникумов утверждена учебно-методическим управлением по среднему специальному образованию 17 мая 1984 года. Программа рассчитана на 190-210 часов.
В Ошском сельскохозяйственном техникуме по специальности «Механизация сельского хозяйства» согласно учебному плану для изучения технической механики выделяется 180 часов. На раздел «Детали машин» отводится 54 часа, из них на изучение темы «Червячная передача» дается 4 часа. Червячная передача рассчитана на две пары. Программой предусмотрено следующие изучение тем:общие сведения о червячных передачах, достоинства, недостатки, область применения, материалы червяков и червячных колес, геометрическое соотношение в передаче; передаточное число; силы, действующие в зацеплении; КПД передачи; основные расчеты зубьев на контактную выносливость и выносливость при изгибе; формулы проверочного и проектного расчетов; расчет вала червяка на жесткость; краткие сведения о выборе основных параметров , расчетных коэффициентах и допускаемых напряжений; конструктивные элементы червячной передачи; тепловой расчет.
Однако в сельхозтехникуме рассматриваются не все вышеуказанные темы. Изучается в основном теоретический материал в довольно сжатом виде. Это связано с нехваткой учебного времени.
Как уже говорилось выше согласно учебному плану сельхозтехникума для изучения червячной передачи отводится 4 часа. Преподаватель ежегодно составляет календарно -тематический план. Для составления календарно-тематического плана используется типовая программа предмета техническая механика. По этой программе определяется примерное распределение учебных часов по разделам и темам. Далее с помощью календарного плана преподаватель составляет, т.е. разрабатывает план каждого урока. В плане преподаватель указывает элементы занятия. План каждого занятия записывается в специальные учебно-методические карты (приложение 1). Учебно-методическая карта удобна. В нее записывают цели занятия, внутрипредметные и межпредметные связи, структура занятия, обеспечение и ход занятия. Схема удобна тем, что не нужно составлять ее к каждому занятию, это большая трата времени и бумаги. Преподаватель лишь заполняет данную схему. Особенна эта карта помогает молодым преподавателям, у которых еще нет навыка составлять план занятия.
В карте не даны такие пункты как организационный момент, изложение новой темы и т.д. Это удобно, потому что каждый преподаватель может проводить уроки по своему усмотрению. Также учебно-методическая карта хороша тем, что по ходу занятия преподаватель может вносить в нее изменения ,замечания , некоторые дополнения.
Однако наряду с достоинствами учебно-методической карты, имеются и некоторые недостатки. В карте неудобно расположено затрачиваемое время. Удобней было бы если затрачиваемое время указывалось бы рядом с элементом.
Преподаватель за отведенные 4 часа успевает лишь кратко рассмотреть с учащимися теорию. Для практического занятия учебным планом времени не предусмотрению. Хотя задачи развивают способности к самостоятельному техническому мышлению и анализу, развивают умения и навыки применения теоретических знаний.
Изучение применяемых ТСО, оборудования, наглядности.
Учебной базой предмета «Техническая механика» в техникумах является кабинет-лаборатория технической механики. Кабинет должен быть оснащен оборудованием и пособиями, обеспечивающими наглядность преподавания всех частей предмета. Программой [10] лабораторные работы по деталям машин не предусмотрены, хотя проведение лабораторных работ способствовало бы повышению интереса учащихся к изучению деталей машин, развитию практических знаний и умений, расширению технического кругозора . Отсутствие в учебном плане лабораторных связано с тем что нет достаточного опыта организации и проведения лабораторных работ по деталями машин, а также с нехваткой учебного времени и связано с трудностями в приобретении и создании необходимого оборудования для таких работ. Тем не менее опыт ряда техникумов, в том числе и сельхозтехникума, позволяет рекомендовать проведение некоторых лабораторных работ.
Оборудование кабинета технической механики должно состоять из плакатов и объемных наглядных пособий -моделей, макетов, приборов, демонстрационных установок, наборов деталей и элементов конструкций. Имеется специальное руководство по организации кабинета технической механики с типовым перечнем оборудования, которое утверждено научно-методическим кабинетом по высшему и среднему специальному образованию 10 июля 1967 года.
Взамен плакатов или наряду с ними могут быть использованы диапозитивы и диафильмы. Плакаты, за исключением серии «Детали машин» ( 25 листов), которую выпускает издательство «Высшая школа», должны создаваться силами техникумов. В основу плакатов должны быть положены рисунки из соответствующих учебных пособий по технической механикой.
Кабинет технической механики должен быть оборудован обычными учебными столами или партами, рассчитанными на группу в 25-30 учащихся. Желательно , чтобы в кабинете была подъемная доска больших размеров, а также экран для демонстрации диафильмов. Удобно иметь проекционные аппараты с дистанционным управлением. Часть наглядных пособий , а именно демонстрационные стенды и ряд плакатов, можно развесить на стенах кабинета, остальные лучше хранить в шкафах.
В кабинете должны находится задания для расчетно-графических работ, методические указания по их выполнению и образцы выполненных работ.
В кабинете технической механики должны быть, например, такие модели и демонстрационные стенды как: редукторы различных типов; валовые передачи; сварные соединения; крепежные винты и т.д. Полный перечень приведен в пособие .
В Ошском сельхозяйственном техникуме имеется кабинет-лаборатория технической механики. Отдельная лаборатория отсутствует. Кабинет размером 54 м2 рассчитан на группу учащихся в 24 человек. На стенах висят наглядные пособия ; 4 плаката по статике, 2 плаката по сопротивлению материалов , 5 плакатов по деталям машин. Имеется 2демонтрационных стенда: элементы решеткой и цепной передачи; подшипилки. Кроме этого имеются модели: червячная передача; редуктор цилиндрический.
Кабинет оснащен двумя шкафами. Лабораторные установки в кабинете отсутствуют, также отсутствуют кинопроектор, экран для демонстрации диафильмов, методические указания по выполнению расчетно-графических работ.
Консультации и частично самостоятельная работа учащихся по курсовому проекту должны проводится в кабинете курсового проектирования. В связи с этим в кабинете следует иметь необходимые справочные материалы как в виде соответствующей литературы (справочники, альбомы и т.п.), так и в виде плакатов, связанных с тематикой курсового проектирования по деталям машин.
При отсутствии в техникуме кабинета курсового проектирования, а в сельхозтехникуме он отсутствует , может быть использован кабинет технической механики, где размещаются соответствующие пособия.
При объяснении материала преподаватель использует учебные плакаты и имеющиеся модели, а также рисунки и схемы на доске. Выбор наглядных пособий ограничен. Как уже говорилось выше , за неимением диафильмов, кинопроектора, демонстрационного экрана, у преподавателя нет возможности применять для наглядности указанные ТСО.
Соблюдение санитарии и гигиены, требований по технике безопасности.
К санитарно-гигиеническим требованиям относится микроклимат, вентиляция, отопление, освещение кабинета.
Самочувствие учащихся зависит от температурного режима. При повышение температуры окружающего воздуха (свыше 220) учащиеся быстро утомляются, раслабляются, снижается работоспособность.
Для содержания кабинете нормального, отвечающего гигиеническим требованиям состава воздуха , удаления из него вредных газов, паров и пыли используют вентиляцию.
В кабинете технической механики в сельхозтехникуме применяется естественная вентиляция. К естественной вентиляции относится операция и проветривание. Воздух поступает в кабинет и удаляется из него под воздействием ветра.
Для поддержания комфортных условий в помещениях используют отопление. Отопительные системы бывают центральные и местные. Центральное отопление в зависимости от теплоносителя бывает водяным, воздушным, паровым.
Тип прибора зависит от системы отопления: при воздушном отоплении -это калориферы, в системах водяного отопления-радиаторы, конвекторы, гладкие и ребристые трубы.
В кабинете технической механики имеются ребристые труды водяного центрального отопления.
Хорошее освещение -одно из важнейших требований безопасности жизнедеятельности.
Применяют 3 вида освещения: естественное, искусственное, смешанное. При недостаточном естественном освещении пользуются искусственным.
В кабинете технической механики имеются 2 окна размерами 2х1,5. Но иногда этого освещения недостаточно , поэтому пользуются лампами, которых в кабинете 6.
К учебным помещением предъявляются определенные санитарно-гигиенические определенные санитарно-гигиенические требования.
В кабинетах должна ежедневно проводиться влажная уборка. Необходимо систематически вытирать пыль с парт, шкафов, подоконников, имеющихся моделей, макетов, стендов. Преподаватель должен заботиться о притоке в кабинет свежего воздуха.
Кабинет технической механики в сельхоз техникуме отвечает выше указанным санитарно-гигиеническим требованиям.
Однако в кабинете отсутствуют растения, которые имеют не только эстетическое, но и экологическое значение. Они поглащают углекислый газ и выделяют кислород.
В кабинете имеется инструкция по охране труда и технике безопасности.
ОБЩИЕ СВЕДЕНИЯ О ЧЕРВЯЧНОЙ ПЕРЕДАЧЕ
Червячные передачи применяют для передачи вращательного движения между валами. Червячные передачи применяют в случаях , когда геометрические оси ведущего и ведомого валов прекрещиваются. В большинстве случаев ведущим является червяк т.е.короткий винт с трапецендальной или близкой к ней резьбой.
Для облегчения тела червяка вещи червячного колеса имеет зубья дугообразная формы, что увеличивает длину контактных линий в зоне зацепления.
По форме червяка различают передачи с цилиндрическими и с глобоидными (вогнутыми) червяками. Первые в свою очередь , подразделяются на передачи с архимедовыми, конволютными и эвольвентными червяками.
Червячные передачи выполняют в виде редукторов , реже -открытыми.
Основные достоинства червячной передачи, обусловивщие ее широкое распространение в различных областях машиностроения:
Плавность и безшумность работы
Возможность получения больших передаточных отношений при сравнительно небольших габаритах передачи. Червячные передачи применяются с придаточными отношениями от u=5 до u=500 . Диапазон передаточных отношений, применяемых в силовых передачах, u= 10-80(в редких случаях до 120).
Компактность и сравнительно небольшая масса конструкции.
Возможность выполнения передачи, обладающей свойством самоторможения. Это свойство заключается в том, что движение может передаваться только от червяка к червячному колесу, что очень важно в грузоподъемных устройствах, так как позволяет обходяться без тормоза при выключении приводного двигателя.
Высокая кинематическая точность
Недостатки червячной передачи:
Сравнительно низкий к.п.д. вследствии скольжения витков червяка по зубьям колеса.
Значительное выделение теплоты в зоне зацепления червяка с колесом. Для уменьшения нагрева в червячной передаче применяют масленные резервуары с ребристыми стенками с целью более интенсивной теплоотдачи в окружающий воздух, обдув корпуса и другие способы охлаждения.
Ограниченная возможность передачи значительных мощностей, обычно до 50 кВт.
Необходимость применения для венцов червячных колес дефицитных антифрикционных материалов.
Повышенное изнашивание и склонность к золданию.
Применение червячных передач.
Червячные передачи применяют при небольших и средних мощностях, обычно не превышающих 100 Квт. Применение передач при больших мощностях неэкономично из-за сравнительно низкого к.п.д. и требует специальных мер для охлаждения передачи во избежание сильного нагрева.
Червячные передачи широко применяют в подъемно -транспортных машинах, троллейбусах и особенно там, где требуется высокая кинематическая точность, (делительные устройства станков, механизмы наводки и т.д.).
Червячные передачи во избежание их перегрева предпочтительно использовать в приводах периодического ( а не непрерывного) действия.
Червячные передачи разлигают по числу витков (заходов) червяка-одно, двух, трех- и многозаходные; по расположению вала червяка относительно червячного колеса с верхним, нижним и боковым расположениями.
ПОЕКТИРОВАНИЕ ЧЕРВЯНОГО РЕДУКТОРА
Задание на проектирование
Спроектировать одноступенчатый червячный редуктор с нижним расположением червяка для привода к винтовому конвейеру (рис.2.1.)
Рис. Привод винтового конвейера с червячным редуктором:
1-электродвигатель; 2-муфта; 3-червяк; 4-червячное колесо; 5-муфта; 6-головая стойка конвейера; 7-лелоб конвейера; 8-разгрузочный патрубок; А-вал электродвигателя и 1-й вар редуктора; В-вал конвейера и 2-й вал редуктора.
Мощность , необходимая для работы конвейера , Рк=5кВт; частота
> >>>> Пк> 3,14 80
вращения вала конвейера Пк= ----------= ------------- =8,37 рад/с
30 30
Редуктор нереверсивный , предназначен для длительной эксплуатации; валы установлены на подшипинках качения.
Выбор электродвигателя и климатический расчет
Примем предварительно КПД червячного редуктора с учетом пояснений к формулам (4.14.[11]) 0,8
Требуемая мощность электродвигателя

По таблице П1 приложения [11] по требуемой мощности Ртр=6,25 кВт выбираем электродвигатель трехфазный короткозамкнутый серии 4 А закрытый обдуваемый синхронной частотой вращения 1500 об/мин 4А112 М4УЗ, с параметрами мощности двигателя Пдв=5,5кВт и скольжении 3,7%. Номинальная частота вращения Пдв=1500-0,037х1500=444 об/мин, угловая скорость

По таблице П2 [11]
диаметр выходного конца вала ротора d>дв>=32 мм.
Передаточное число (равное передаточному отношению )
(равное передаточному отношению)

Расчет редуктора
Число витков червяка Z, принимаем в зависимости от передаточного числа: при u=18?05 принимаем z>1>=2 (ст.с.55 [11])
Число зубьев червячного колеса
Z>2>=Z, U=2х18,05=36,1
Принимаем стандартное значение Z>2>/Z>1>=40/2
Выбираем материал червяка и венца червяного колеса. Принимаем для червяка сталь 45 с закальной до твердости не менее MRC 45 и последующим шлифованием.
Так как к редуктору не предъявляются специальные требования, то в целях экономии принимаем для веща червяного колеса брощу Бр А9ЖЗЛ (отливка в песчанную форму).
Предварительно примем скорость скольжения в зацеплении >s>5м/с Тогда при длительной работе допускаемое контактное напряжение [Th]=155Мпа(табл.49[11]). Допускаемое напряжение изгиба для нереверсивной работы [>ок>]=К>FL>[>ок>]’. В этой формуле К>FL>=0,543 при длительной работе, когда число циклов напряжения зуба N>> > 25107; [>ок>]’=98Мпа- по табл. 4,8 [11];
[>ок>] =0,54398=53,3Мпа
Принимаем предварительно коэффициент диаметра червяка q=10.
Вращающий момент на валу червячного колеса

Принимаем предварительно коэффициент нагрузки К=1,2
Определяем межосевое расстояние из условия контактной выносливости (формула (4.19) [11]

Модуль
m=2a>w>/z>2>+q=2[190/40+10=7,6
Принимаем по ГОСТ 2144-76 (табл. 4.2.[11]) стандартные значимые m=8 мм и q=10.
Межосевое расстояние при стандартных значимых при стандартных значимых m и q
a>w>=m(q+z>2>)/2=8(10+40)/2=200 мм
Основные размеры червяка:
делительный диаметр червяка:
d1=qm=10x8=80мм
диаметр вершин витков червяка:
df1=d1-2,4m=80-2,4x8=60,8
длина нарезанной части шлифованного червяка (формула (4.7.[11]
b>1>(11+0,06z>2>)m+25=(11+0,06x40)8+25 132,2 мм
принимаем в>1>=132 мм
делительный угол подъема витка (по таблице 4.3. [11]): при z>1>=2 и q=10 =11019’.
Основные размеры венца червячного колеса:
делительный диаметр червячного колеса
d>2>=z>2>m=40x8=320мм
диаметр впадин зубьев червячного колеса
d>f2>=d>2>-2,4 m=320-2,4x8=300,8 мм
наибольший диаметр червячного колеса
d>a>M>2>d>a2>+6m/z>1>+2=336+6x8/22+2=348 мм
ширина венца червячного колеса (формула (4.12.)[11]
b>2>0,75da1=0,75x96=72мм
окружная скорость червяка
V>1>=Gn>1>/60=3,14x80x10-3x1444/60=6,06 м/с
Скорость скольжения
V>3>=V>1>/cos=6,06/cos 11019’=6,15 м/с
при этой скорости [Гн]149Мпа (табл. 4.9. [11])
Отклонение 155-149/149х100%=4%
к тому же межосевое расстояние по расчету было получено a>w>=190 мм, а после выравнивание m и q по стандарту было увеличено до a>w>=200 мм, т.е. на 5%, и пересчет a>w> (по формуле 4.19. [11]) делать не надо, необходимо лишь проверить Гн. Для этого уточнения КПД редуктора (формула (4.14)[11]):
При скорости V>s>=6,15 приведенный коэффициент трения для безоловянной бронзы и шлифованного червяка (табл. 44[11]) f’=0,020х1,5=0,03 и приведенный угол трения р’=1043’.
КПД редуктора с учетом потерь в опорах, потерь на разбрызчивание и перемешивания масла

По таблице 4.7[11] выбираем 7-ю степень точности передачи. В этом случае коэффициент динамичности К>v>=1,1
Коэффициент неравномерности распределения нагрузки (формула (4.26)
[11]) :>
>
где коэффициент деформации червяка при q=10 и z=2 по таблице 4.6. [11] =86
Примем вспомогательный коэффициент х=0,6 ( незначительные колебания нагрузки, с.65 [11])

Коэффициент нагрузки

Проверяем контактное напряжение (формула (4.23)[11]):

Результат расчета следует признать удовлетворительный , так как расчетное напряжение ниже допускаемого на 8% (разрешается на 15%).
Проверка прочности зубьев червячного колеса на изгиб.
Эквивалентное число зубьев

Коэффициенты формы зуба по таблице 4.5. [11] Y>F>=2,24
Напряжение изгиба (формула 4.24.) [11]

что значительно меньше вычисленного выше [>OF>]=53,3 Мпа
Предварительный расчет валов редуктора и конструирование червяка и червячного колеса
Крутящие моменты в поперечных сечениях валов:
водяного (вал червячного колеса)
Т>к2>=Т>2>=597103Нмм;
ведущего (червяк)

Витки червяка выполнены за одно целое с валом (рис.22.)
Рис.2.2. Червяк
Диаметр выходного конца ведущего вала по расчету на кругление при [>K>]=25МПа

Но для соединения его с валом электродвигателя примем d>B1>=d>дв>=32мм; диаметр подшипниковых шеек d>П1>=45мм. Параметры нерезанной части :d>f1>=60,8мм ; d>1>=80мм; и d>a1>=96 мм. Для выхода режущего инструмента при нарезании витков рекомендуется участки вала, прилегающие к нарезке, протачивать до диаметра меньше d>f1>
Длина нарезанной части b>1>=132мм.
Расстояние между опорами
червяка примем

Расстояние от середины выходного конца до ближайшей опоры f>1>=90мм.
Ведомый вал (рис.2.3.)
Диаметр выходного конца

Принимаем d>B2>=48мм
Диаметры подшипниковых шеек d>n2>=55мм, диаметр вала в месте посадки червячного колеса d>k2>=60мм
Диаметр ступицы червячного колеса d>cm2>=(1,6:1,8)d>k2>=(1,6:1,8)60=96:108
Принимаем d>cm2>=100мм
Длина ступицы червячного колеса

рис.2.3. Расчетная схема вала червячного колеса
Конструктивные размеры корпуса редуктора (см.рис.10.17,10.18 и табл.10.2 и 10.3 [11])
Толщина стенок корпуса и крышки: =0,04а+2=0,04200+2=10,00мм, принимаем =10мм;
>1>=0,032к+2=0,032200+2=8,64мм, принимаем >1>=10мм
Толщина фланцев (поясов) корпуса и крышки
в=в>1>=1,5=1,510=15мм
Толщина нижнего пояса корпуса при наличии бобышек
р>1>=1,5=1,510=15мм;
р>2>=(2,25:2,75) =(2,25:2,75)10=22,5:27,5
принимаем р>2>=25мм.
Диаметры болтов:
фундаментальныхd>1>=(0,003:0,036)a +12=(0,03:0,036)200+12=18:19,2мм
принимаем болты с резьбой М20: диаметры болтов d>2>=16мм и d>3>=12мм
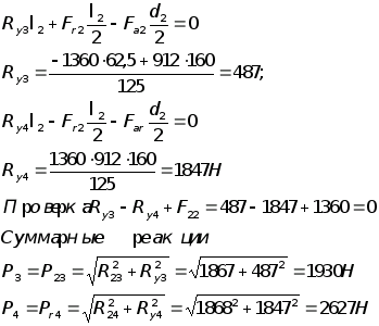
2.5. Проверка долговечности подшипников
Силы в зацеплении (рис.2.4.):
окружная сила на червячном колесе, равная осевой силе на червяк,

рис.2.4. Силы в червячном зацеплении и опорные реакции
Окружная сила на червяке, равная осевой силе на колесе,
F>T1>=F>a2>=2T>1>/d>1>=(236,5103)/80=912Н;
При отсутствии специальных требований червяк должен иметь правое направление витков.
Радиальная сила на колесе и червяка
F>22>=F>21>=F>t2>tg =3737tg200=1360Н
Направление сил представлены на рис . ; опоры , воспринимающие внешние осевые силы, обозначим цифрами «2» и «4».
Расстояние между опорами
диаметр d>1>=80мм.
Реакции опор (правую опору , воспринимающую внешнюю осевую силу F>a1>, обозначим цифрой «2»): в плоскости xz
R>x1>=R>x2>=F>t1>/2=912/2=456Н.
В плоскости yz:

Суммарные реакции

Осевые составляющие радиальных реакций шариковых радиально-упорных подшипников по формуле (9,9)[11]

где для подшипников шариковых радиально-упорных с углом =260
коэффициент осевого нагружения е=0,68 (табл.9.18[11].
Осевые нагрузки подшипников (табл.9.21). В нашем случае S>1><S>2>;

P>a2>=S>1>+F>a1>=350+3737=4087 Н
Рассмотрим левый («первый») подшипник.
Отношение P>a1> /P>a2>=350/315=0,68=е
Эквивалентная нагрузка
P>2>>1>= P>2>>1>VK>б>Т>т>=5151,3=670Н
где по табл.9.19 [11] для приводов винтовых конвейеров К>б>=1,3. Коэффициенты V=1 и К>Т>=1
Долговечность определяем по более нагруженному подшипнику.
Рассмотрим правый («второй») подшипник.
Отношение


поэтому эквивалентную нагрузку определяет с учетом осевой;

где х=0,41 и Y=0,87 по таблице 9.18[11]
Расчетная долговечность , r

где n=1444 об/мин-частота ращения червяка.
Ведомый вал (рис.2.4.)
Расстояние между опорами
(точнее, между точками приложения
радиальных реакций Р>3>
и Р>4>
=125мм;
диаметр d>2>=320
мм
Реакции опор (левую опору, воспринимающую внешнюю осевую силу F>a2>, обозначим цифрой «4» и при определении осевого нагружения будем считать ее “второй”; см.табл. 9.21. [11].
В плоскости XZ

В плоскости yz:

Осевые составляющие радиальных реакций канонических подшипников -по формуле (9.9) [11].
S>3>=0,83eP>23>=0,830,411930=657H;
S>4>=0,83eP>24>=0,830,412627=894H
где для подшипников 7211 коэффициент влияния осевого нагружения е=0,41
Осевые нагрузки подшипников (см.табл.9.21) в нашем случае S>3><S>4>; P>a3>=F>a>>S>4>-S>3>; тогда P>a3>=S>3>=657H
P>a4>=S>3>+F>a>=657+912=1569H
Для правого ( с индексом “3”) подшипника отношение Р>а3>/P>23 >=657/1930=0,34<e поэтому при подсчете эквивалентой нагрузки осевые силы не учитываем.
Эквивалентная нагрузка
Р>Э3>=Р>23>VK>Б>к>т>=19301,3=2509 u
В качестве опор ведомого бала применены одинаковые подшипники 7211. Долговечность определим для левого подшипника (“четвертого”), для которого эквивалентная нагрузка значительно больше.
Для левого (индекс “u”) подшипника

мы должны учитывать осевые силы и определять эквивалентную нагрузку по формуле (9.5) [11] , примем V=1; K>б>=1,32 и К>т>=1; для канонических подшипников 7211 при Р>аu>/P>2u>>e коэффициенты Х=0,4 и Y=1,459 (cм. табл.9.18 и П700)=4342u=4,34кU
Расчетная долговечность по формуле (9.1)[11], млн.об.

где С=65(с.375[11])
Расчетная долговечность
, ч
ч
где n=80 об/мин-частота вращения вала червячного колеса.
3. РАСЧЕТ НА ПРОЧНОСТЬ
Зубья червячного колеса являются расчетным элементом зацепления, так как они имеют меньшую поверхностную и общую прочность, чем витки червяка.
Зубья червячных колес рассчитывают на контактную выносливость и на выносливость при изгибе ; расчет на контактную выносливость должен обеспечить не только отсутствие выкрашивания рабочих поверхностей зубъев, но и задирале рабочих поверхностей зубьев.
3.1. Расчет на контактную выносливость
Расчет ведут как проектировочный, проектировочный , определяя требуемое межосевое расстояние по формуле (4.19[11]):



где Z>2>-число зубьев червячного колеса=40; q-коэффициент диаметра червяка=10 по ГОСТ 2144-76 (табл.4.2.[11]); Т>2>-вращающий момент на валу червячного колеса=597103Нмм (с.23); к-коэффициент нагрузки=1,2
Тогда

После определения а>W> cледует найти модуль зацепления из соотношения

Полученное значение модуля округляют до ближайшего (табл.4.2. [11]). Округление модуля повлечет за собой изменение межосевого расстояния. Принимаем модуль зацпления m=8 мм.
После выбора стандартных значений m и q получали межосевые расстояние

При стальном червяка и червячном колесе, изготовленном из чугуна или имеющим бронзовый венец, допускаемое напряжение равно:

где >Н> и [>Н>] - в Мпа; а>W>- в мм; Т>2>- в Н.мм

где [>H>]=149МПа
3.2. Расчет на выносливость при изгибе
Расчет зубьев червячного колеса на выносливость по напряжением изгиба выполняют по формуле:

где Y>F>- коэффициент формы зуба по таблице 4,5[11] =2,24; >F>-расчетное напряжение изгиба;Т>2>К-расчетный момент на валу червячного колеса; b>2>-ширина венца колеса=72vv (cм. с.25).
В связи с этим санитарные нормы устанавливают допустимую температуру кабинета ( не ниже 16-200С).
Воздух кабинета загрязняется пылью. К учебным помещением предъявляются определенные санитарно-гигиенические требования.
В кабинете деталей машин должна ежедневно проводиться влажная уборка . Необходимо систематически вытирать пыль с парт, шкафов , подоконников, имеющихся моделей , механизмов, стендов. Преподаватель должен заботиться о притоке свежего воздуха в кабинет.

что значительно ниже
допускаемого [>F>]=53,3МПа
Сборочный чертеж выполняется в двух проекциях. Желательный масштаб 1:1. Но так как полученные в результате расчета значения не позволяют выполнить чертеж в масштабе 1:1, то принимается масштаб 1:2.
1. САНИТАРНО-ГИГИЕНИЧЕСКИЕ ТРЕБОВАНИЯ К КАБИНЕТУ ДЕТАЛИ МАШИН
1.1. Микроклимат
Большое внимание на самочувствие и работоспособность учащихся оказывает микроклимат кабинета, который определяется температурой воздуха., его составом и давлением , относительной влажностью , скоростью движения воздушных потоков.
В состав атмосферного воздуха входит азот (78,08%), кислород (20,95%), углекислый газ (0,003), аргон и другие газы (0,94%).
Кроме того, в состав воздуха входят водяные пары, пыль и другие примеси.
Самочувствие учащихся зависит от температурного режима. При повышении температуры окружающего воздуха (свыше 220С) учащиеся быстро утомляются, расслабляется организм.
В кабинете а также должны быть расстения. Растения имеют не только эстетическое значение, но и экологическое. Они поглащают углекислый газ и выделяют кислород.
1.2. Вентиляция
Вентиляция -это регулируемый воздухообмен в помещении. Вентиляцией называют также устройства , которые создают этот воздухообмен. По способу перемещение воздуха в кабинете размещают естественную и механическую вентиляцию. Иногда принимают смешанную вентиляцию. Естественная вентиляция подразделяется на аэрацию и проветривание. Механическая вентиляция в зависимости от направления движения воздушных потоков может быть вытяжной. По времени действия вентиляция делится на постоянно действующую и аварийную.
В кабинете деталей машин достаточно использовать естественную вентиляцию. При естественной вентиляции воздух поступают в кабинет удаляется из него под воздействием ветра.
Расчет вентиляции начинают с определении воздухообмена для данного помещения. При этом учитывают климатическую зону, время года, наличные пыли, вредных паров, образование влаги, избыточное тепловыделение, ядовитые газы.
Кабинет деталей машин, как и любой другой кабинет, независимо от наличия вентиляционных устройств должен иметь в оконных проемах открывающиеся фрамучи или другие устройства для проветривания.
Отопительные системы бывают центральные и местные. В системах центрального отопления энергия вырабатывается за пределания отапливаемых помещений, а затем рапределяется по системе труб между потребителями. Центральное отопление в зависимости от теплоносителя бывает водяным , воздушным, паровым. В качестве местного отопления используют гозавое и электрическое. В помещениях для обогрева устанавливают отопительные приборы.
Тип прибора зависит от системы отопления : при воздушном отоплении-это колооиферы, в системах водяного отопления-радиаторы, конвекторы, гладкие и ребристые трубы.
В настоящее время для поддержания комфортных условий более широко используют кондицинирование. Системой кондицирования называют совокупность технических средств, служащих для перемещения и распределения воздуха, а также для автоматического регулирования его параметров. Системы кондиционирования включают средства для очистки от пыли, для нагрева, охлаждения и увлажнения воздуха , автоматического регулирования его параметров, контроля и управления.
1. СИСТЕМЫ ЕСТЕСТВЕННОГО И ИСКУСТВЕННОГО ОСВЕЩЕНИЯ
1. 1. Системы освещения
Кабинет деталей машин, расстановка в нем оборудования и механизмов должны удовлетворять требованиям санитарных норм.
Кабинет должен быть светным, теплым сухим. Он может располагаться на любом этаже.
Хорошее освещение- одно из важнейших требований безопасности жизнедеятельности.
При недостаточном освещении зрительное восприятия снижается, развивается близорукость , появляются болезни глаз и головные боли. Из-за постоянного напряжения зрения наступает зрительное утопление. При недостаточном освещении учащиеся наклоняются к оборудованию , например при выполнении лабораторных работ., вследствие чего возрастает опасность несчастного случая. Длительная работа при высокой освещенности может привести к светоболезни.
Применяют три вида освещения : естественное, искусственное
и смешанное.
Естественное освещение, создаваемое природными источниками света, имеет высокую биологическую и гигиеническую ценность и оказывает сильное воздействие на психику человека. Освещенность помещений естественным светом зависит от светового климата данной местности, ориентации окон, качества и содержания оконных стекон, окраски стен, глубины помещения , а также предметов закрывающих свет.
Естественное освещение кабинета осуществляется через световые полмы и может быть выполнено в виде бокового, верхнего или комбинированного. Боковое освещение происходит через окна в наружных стенах, верхние -через световые фонари, располагаемые в прикрытиях, комбинированное -через окна и световые фонари.
Применение одной из трех перечисленных систем естественного освещения зависит от назначения и размеров помещения, от требований к освещению , а также от расположения помещения в плане здания.
Естественную освещенность внутри помещения оценивают коэффициентом естественного освещения (КЕД) е
Ев
е = ------ 100%
Ен
где Ев- освещенность внутри помещения, лк; Ен-одновременная освещенность рассеянным светом сранужи , лк.
Наилучшим винтом естественного освещения для учебных помещений является боковое левостораннее освещение с применением солнцезащитных устройств.
При недостаточном естественном освещении устраивают искусственное освещение , которое подразделяются на рабочее , аварийное и охранное. Рабочее освещение может быть общим и местным. Искусственное освещение нормируется в пределах от 5 до 5000 лк. в зависимости от назначения помещений. Важным гигиеническим требованием является защита глаз от слепящего действия. света, что достигается применением соответствующей осветительной арматуры и нормированием высоты подвеса и яркости светильников. Наименьшая высота подвеса для ламп мощностью более 3м от уровня пола.
Аварийное освещение предусматривается на случаи внезапного отключения рабочего освещения. Оно необходимо для вывода людей из помещения.
Охранное освещение предусматривается для ограничения опасных участков.
Комбинированное освещение-это сочетание общего и местного общения. Применение открытых ламп опасно, поэтому их используются дополнительной арматурой (затемнители, абажуры), которая защищает глаза от изменений яркости источника света.
Выбор источника света определяется электрическими , световыми, цветовыми характеристиками, размером и формой колб, экономичностью.
Расчет мощности осветительной установки для создания заданной освещенности при заданном числе и мощности ламп на уровне рабочей поверхности производят по световому потоку или силе света. Для ориентировочных расчетов используют метод рассчета освещенности по удельной мощности. Этот метод основан на определении по светотехническим справочником удельной мощности осветительной установки и числа светильников.
Требуемую мощность лампы определяют по формуле
P>n>=P>уд>s/n
где P>n>-мощность одной лампы, Вт; P>уд>-удельная мощность, Вт/м2; S- площадь помещения , м2; n-число светильников.
Искусственное освещение создают с помощью осветительных собой в общем случае сочетание источника света, осветительной арматуры и опоры.
Источник света является устройством для превращения какого-либо вида энергии в оптическое излучение. По природе различают два вида оптического излучения: тепловое и люменесцентное. Тепловое оптическое излучение возникает при нагреве тел, на этом принципе основаны лампы накаливания (АН) и галогеновые лампы накаливания (ГЛН), последние кроме тела накала имеют галогены; образующиеся на стенке колбы. Люминесцентное оптическое излучение создается в газоразрядных лампах в результате электрического разряда в газах, парах или их смесях.
1.2. Размещение осветительных приборов
Размещение осветительных приборов влияет на экономичность и качество освещения, а также на удобство их эксплуатации. При размещении светильниками к высоте подвеса =a/h рожает осветительную систему и увеличивает неравномерность освещения.
При размещении светильников общего равномерного освещения рекомендуется принимают расстояние от крайних рядов светильников до стен (0,25...0,3) а
Рекомендуемые схемы установки световых приборов для создание общего равномерного освещения показаны на рис.2.1.
а) б)
Рис.2.1. Схемы размещения светильников :
а-параллельное; б- “шахматное”
1.3. Расчет освещения по методу светового потока
Метод светового потока позволяет обеспечить среднего освещенность поверхности с учетом всех падающих на нее прямых и отраженных потоков света. Переход от средней освещенности к минимальной осуществляют приближению . В соответствии с этими особенностями метод применяют для расчета общего равномерного освещения горизонтальных поверхностей. Необходимый поток лампы
Ф=Е>u>kA>z>/(N), (2.1)
где Е>u>-нормируемая освещенность,лк; k--коэффициент запаса; А-освещаемая площадь,м2; -коэффициент использования светильников, определяемый по индексу помещения и i и коэффициентом отражения потока >n>, >c>, пола >p>; z-коэффициент минимальной освещенности. Приближению при освещении светильниками, расположенными по вершинам квадратных полей, принимают z=1,1; N-количество светильников
Индекс помещения
i=ab/(h(a+b)), (2.2)
где a и b - длина и ширина помещения, м; h - расчетная высота, h= H-hc-hr, м ( hc- высота от светильника до потолка, м; hc- высота до освещаемой горизонтальной поверхности от пола, м).
Задание
Спроектировать общее равномерное освещение для помещения размерами 12х6х3,2 м, в котором освещаемость должна быть равной 20 лк.
Решение. Так как будут применяться лампы ЛИ, то коэффициент запаса h=1,3, z-принимаем=1,15.
Ориентировочно можно принять коэффициент отражения потолка pп=30%; стен рс=10% и пола рр=10%.
Постоянная помещения
i=ab/(h(a+b)),
где a=12; b=6; h=И-hc=3,2-0,8=2,4м, (H=3,2, hc=0,8); тогда постоянная помещения будет равна
i=12х6((2,4(12+6))=1,67
По таблице значений коэффициента использования светильника n=47%.
Потребный световой ИС по формуле (2.1.) равен
Фл=20х1,3х72х1,15/0,47=4580 мм.
Ближайшая лампа накаливания В22015 имеет световой поток 105 лм. Следовательно, для обеспечения требуемой освещенности достаточно иметь 46 ламп.
ВЫБОР ПЛОЩАДИ КАБИНЕТА ДЕТАЛЕЙ МАШИН НА ЧИСЛО УЧАЩИХСЯ.
Обеспечение здоровых и безопасных условий учебы и работы учащихся, безопасность обучения студентов во многом зависит от размеров помещений, санитарно-гигиенических условий в их, размещения и типа лабораторной мебели.
Условия обучения в учебных помещенных отличаются от условий труда в цехах промышленных предприятий, где установлено стационарное оборудование с постоянно укрепленными ограждениями, предохранительными устройствами и другими мерами защиты.
Для обучения предусмотрены увеличенные нормы площадей помещений.
Площади техниковских и вузовских помещений должны удовлетворять требованиями СИ “ПУ 11-68-78”. Помещения должны быть светлыми, сухими и теплыми с ровными, не скользкими полами без выбоин и щелей, поверхности стен, потолков, дверей - гладкими и матовыми, радиаторы и трудопроводы отопительной и водопроводной системы оборудованы диэлектрическими ограждениями.
Площадь кабинетов должна быть в пределах 54-72 м2. Например, кабинет деталей машин может быть 54 м2. В нем могут быть разместиться 25 учащихся. По таблице 5(1) кабинет на 25 мест должен иметь площадь на одно место в пределах 2,0-2,8 м2.
Расстановка мебели в кабинетах должна обеспечивать оптимальную величину проходов, расстояний от доски до первого и последнего ряда столов (табл.3.1).
Талица 3.1.
|
Нормируемое расстояние |
Наименьшее значение расстояния, см |
|
1 |
2 |
|
Расстояние между столами, включая место для стульев |
70 |
|
Расстояние между герцами аудиторных столов |
60 |
|
Расстояние между столами и продольной стеной при отсутствии отхода |
10 |
|
Расстояние между столом преподавателя и доской |
90 |
|
Расстояние между демонстрационным столом и доской |
100 |
|
Расстояние от доски до первого ряда столов в кабинетах |
200 |
|
Расстояние от пола до нижней кромки доски |
90 |
Обучение и работа учащихся в помещениях кабинетов, лабораторий, мастерских разрешается только после получения акта разрешения. Выдается он перед началом учебного года комиссией отдела народного образования в составе представителей горисполкома, гороно, ректора или директора учебного заведения, преподавателя. Акт подтверждает, что рабочие места учащихся соответствуют нормам охраны тем обучаемым, а также факт ознакомления административно-технического персонала с действующими правилами по охране труда.
3. Противопожарный режим в учебном заведении
Противопожарный режим в учебном заведении включает разработку эффективных, технически обоснованных способов и средств предупреждения пожаров, выработку мероприятий, предотвращающих распространение возникшего пожара и мер по его ликвидации. Ответственность за организацию мероприятий пожарной безопасности, за соблюдение требуемого противопожарного режима в учебном заведении, за своевременное выполнение противопожарных мероприятий, предписаний госпожнадзора, за исправное содержание пожарной техники и оборудования возложена на директора. Противопожарный режим в учебном заведении должен отвечать требованиям “типовых правил пожарной безопасности”. Эти правила пожарной безопасности включают: требования к содержанию территории, помещений, учебного оборудования, отоплению, освещению; к проведению массовых мероприятий, требования к первичным средствам пожаротушения и действия при пожаре.
Каждый работник учебного заведения обязан: четко знать и строго выполнять установленные правила пожарной безопасности, не допускать действий, которые могут привести к пожару или загоранию, содержать в исправности первичные средства пожаротушения.
Для установления противопожарного режима в кабинете деталей должны быть противопожарные инструкции. В этих инструкциях нужно предусмотреть: специальные мероприятия для отдельных процессов, которые могут вызвать пожар, требования по уборке и очистке помещений от сгораемых материалов; обязанности преподавателя, лаборанта, учащихся при возникновении пожара ( вызов пожарной команды, порядок отключения электричества и вентиляции, правила применения средств пожаротушения, правила эксплуатации людей, материальных ценностей).
Ответственность за противопожарное состояние кабинетов возлагается на преподавателя. Установка отопления, вентиляции и кондиционирования воздуха должны эксплуатироваться в соблюдении мер пожарной безопасности. Горячие поверхности трубопровода и воздухопровода отопительно-вентиляционногго оборудования и кондиционеров, создающие опасность воспламенения материалов, теплоизолируют несгораемыми материалами.
4. Меры безопасности при работе студентов в лаборатории “ДМ”
В лаборатории и кабинете деталей машин должен постоянно соблюдаться строгий режим по охране труда и техники безопасности. На видном месте должна находиться “Инструкции по охране труда и техники безопасности.
Перед проведением лабораторной или практической работы преподаватель или другие ответственные лица кафедры знакомят студентов с правилами поведения в учебной лаборатории и проводит инструктаж по технике безопасности с регистрацией в соответствующих журналах.
Студенты, не прошедшие инструктаж по технике безопасности, к выполнению работ не допускаются.
1. Будьте внимательны, дисциплинированы, осторожны: точно выполняйте устные и письменные указания преподавателя.
2. Располагайте на рабочем месте приборы, инструменты, материалы, оборудования в порядке, указанном преподавателем или в письменной инструкции.
3. НЕ оставляйте рабочее место без разрешения преподавателя.
4. Не включайте источники электропитания без разрешения преподавателя.
5. Выполняйте работы, соблюдая осторожность, чтобы случайно не прикоснуться к оголенным частям, находящимся под напряжением.
6. По окончании работы или очередного наблюдения отключите источник электропитания.
7. Обнаружив неисправность в электрических устройствах, находящихся под напряжением, немедленно отключите электропитание и сообщите об этом преподавателю.
1. СОСТАВЛЕНИЕ ГРАФИЧЕСКОЙ СТРУКТУРЫ СОДЕРЖАНИЯ ТЕМЫ. ПЕРВИЧНАЯ ПЕРЕДАЧА
Для овладения педагогическим мастерством необходимо проделать большую работу по подготовке занятий, включающую обработку исходной информации, составление календарно-тематического плана (рабочей программы), конспекта, разработку плана и сценария занятия.
Тщательно изучив программу учебного предмета и сделав необходимые выписки, преподаватель должен ознакомиться с учебным планом. Программой по технической механике (10) для изучения раздела “Червячная передача” предусмотрено 4 часа. Согласно учебным планам техникумов на изучение первичной передачи отводится две пары.
Преподаватель должен достаточно ясно представлять себе весь свой учебный предмет.
Для подготовки к занятию преподавателю необходимо иметь типовую программу (10) предмета. По этой программе определяют примерное распределение учебных часов по разделам и темам. Распределение часов указано в форме 1.1.
Форма 1.1.
|
Наименование разделов |
Количество часов |
|
|
всего |
в том числе лабораторных |
|
|
3.8. Червячные передачи |
4-6 |
- |
Детально изучив тему : “Червячные передачи”, преподаватель составляет графическую структуру содержания данной темы (форма 1.2.) и делает к ней расшифровку (с.66).
Данная графическая структура облегчает составление рабочей программы. По ней видно, какие вопросы следует рассмотреть с учащимися согласно учебному плану.
Таблица учебных элементов
|
№ |
Наименование учебных элементов |
|
|
Червячная передача |
|
|
Общие сведения |
|
|
Классификация червячных передач |
|
|
Нарезание червяков и червячных колес |
|
|
Основные геометрические соотношения в передаче |
|
|
Скорость скольжения в передаче |
|
|
Предаточное число |
|
|
Силы в зацеплении |
|
|
Материалы червячной пары |
|
|
КПД червячной передачи |
|
|
Виды разрушения зубьев червячных колес |
|
|
Допускаемые напряжения для материалов венцов червячных колес |
|
|
Расчет на прочность |
|
|
Рекомендации по расчету на прочность |
|
|
Тепловой расчет |
|
|
Конструктивные элементы червячной передачи |
|
|
Устройство передачи |
|
|
Достоинство передачи |
|
|
Недостатки передач |
|
|
Область применения передачи |
|
|
Нарезание резцом |
|
|
Нарезание фрезой |
|
|
Основные геометрические разрезы червяка |
|
|
Корригирование червячных передач |
|
|
Основные геометрические размеры венца червячного колеса |
|
|
Усталостное выкрашивание |
|
|
Заедание |
|
|
Изнашивание зубьев колес |
|
|
Излом зубьев |
|
|
Допускаемое контактное напряжение |
|
|
Допускаемое напряжение изгиба |
|
|
Расчет на контактную выносливость |
|
|
Расчет на выносливость при изгибе |
|
|
С напресованным венцом |
|
|
С привернутом венцом |
|
|
С венцом, отличным на стольном центре |
2. СОСТАВЛЕНИЕ КАЛЕНДАРНО ТЕМАТИЧЕСКОГО ПЛАНА
Следующий этап обработки информации - составление календарно-тематического плана (рабочей программы учебного предмета) (форма 2.1.).
В форме 2.1. приводится структура рабочей программы учебного предмета. На этом этапе деятельность преподавателя подчинена одному из известных принципов дидактики - принцип систематичности и последовательности обучения. Именно по этому принципу определяют календарые сроки обучения и отмечают в графе 2.
Для составления рабочей программы необходима типовая программа предмета. По этой программе определяют примерное распределение учебных часов предмета по разделам и темам. Эти часы записываются в графе 4. Дальше в графе 3 последовательно перечисляют все изучаемые в предмете учебные элементы, подразделяя их по двухчасовым порциями. Именно на этом этапе будут трудности, особенно у молодых преподавателей. Молодым преподавателя рекомендуется разделять учебные элементы путем репетиционным. В состав репетиционной подготовки включают обязательную проверки возможного легкого воспроизведения выводов, доказательств, теорем. Все примеры, задачи и упражнения, которые преподаватель наметил показать студентом на занятии, обязательно нужно прорешать.
Аудиторное время для изучения каждого учебного элемента указывают в графе 5. Графа 5 разделена на 3 части. Например, в 1995-97 учебном году на изложение учебного элемента отведено 80 минут.
Если по причине трудности усвоения необходимо увеличить время, то в плане на 1997/98 учебный год корректируется и указывается уточненное время возможности. То есть время изложения корректируется по результатам фактических затрат при преподавании предмета.
В графе 6 отмечают вид занятия (лекционная, практическая, лабораторная и т.д.). В графе 7 указываются необходимые наглядные пособия и ПО для каждого занятия. В графе 8 отмечают все виды задания для самостоятельной работы студентов. После каждого занятия в графе 9 отличают сделанные изменения, выводы, решения, дополнения. В форме 2.1. составлена рабочая программа по теме “червячная передача”.
СОСТАВНЫЕ ПЛАНА ЗАНЯТИЯ
Одним из важнейших и необходимых этапов подготовки является разработка плана занятия. Ее следует начать с четкого формирования целей занятия: что хочет осуществить преподаватель в ходе и результате его проведения. В плане должен быть четко указаны элементы занятия.
Например, характерны следующие формулировки основных целей:
1. Контроль усвоения изученных на предыдущих занятиях учебных элементов
2. Усвоение учащимися учебных элементов.
3. Инструктаж об объеме, содержании, последовательности и способах выполнения и оформления самостоятельной работы.
В соответствии с намеченными целями составляют план занятия. Он состоит из следующих пунктов:
1. Организационный момент;
2. Контроль усвоения предыдущих тем;
3. Изложение нового материала;
4. Закрепление нового материала;
5. Объяснение домашнего задания.
Каждый пункт плана подробно расшифровывают. Так, в первом пункте указывают способы и последовательность подготовки аудитории и студентов к началу занятия, проверки присутствующих, первоначального возбуждения их внимания и интереса и т.п. Во втором пункте - способы контроля усвоения, заранее подготовленные вопросы для устного опроса, намеченное количество опрашиваемых студентов, перечень необходимых наглядных пособий, макетов, моделей, устройств.
В третьем пункте следует по порядку учебные элементы подлежащие изучению, перечень необходимых учебных пособий и оборудования, опись фрагментов учебника, подлежащих изучению на занятии.
В четвертом пункте формулируют вопросы к закреплению нового материала.
В пятом пункте наряду с указанием глав, параграфов, страниц учебника и дополнительной литературы, номеров задач и упражнений, должны быть сформулированные четко и однозначно требования, которые будут предъявлены к студентам при контроле усвоения в следующий раз.
По каждому пункту указывают запланированное время.
По ходу занятия и по его окончании преподаватель делает в плане пометки, фиксирует фактически затраченное время, отмечает неудачные приемы, редактирует вопросы, задаваемые студентами, регистрирует их реакцию при различных способах изложения и т.д. На основе плана и замечаний к нему преподаватель анализирует подготовку ее проведение занятия, и, пользуясь методами педагогического исследования, добивается при каждом следующем изложении данного учебного элемента лучших результатов.
Составленный план нет надобности переписывать перед каждым повторяющимися занятием, надо только при необходимости делать поправки и вносить краткое содержание свежей информации, имеющей связь с темой и непосредственное отношение к теме.
Рекомендуемое подробное составление плана требует большой затраты времени. Его необходимо совершенствовать.
Ошский сельхозтехникум техникум и Бишкекский автодорожный техникум предлагают схемы для составления плана занятия.
Учебно-методическая карта (приложение 1), предлагаемая СХТ удобна. В нее записывают цели занятия, предметные связи и т.п. Преподаватель заполняет данную схему.
Схема плана урока, предлагаемая Бишкекский автодорожным техникумом (с.76) тоже удобна по-своему.
В каждой из схем есть свои достоинства и небольшие недостатки. Поэтому на основе этих схем была разработана новая, включающая достоинства и исключающая недостатки прежних схем.
В общем данные схемы составление плана урока помогают молодым преподавателям, у которых еще нет навыка составлять самим подобные схемы.
В дипломном проекте приведены планы уроков по червячной передаче.
ПЛАН УРОКА №1
КУРС ТЕХНИЧЕСКОЙ МЕХАНИКИ
РАЗДЕЛ ДЕТАЛИ МАШИН
|
группа |
тема: Общие сведения червячной |
||||
|
дата |
передачи. Геометрические и силовые |
||||
|
вид занятий |
комбинированный |
соотношения |
|||
|
ауд |
ЦЕЛЬ ОБУЧЕНИЯ - обучающая, обеспечить усвоение знаний о достоинствах, недоростках, применении, классификации передачи, развить умение определять основные геометрические размеры; воспитательная - уделить внимание воспитанию дисциплины, аккуратности, развить у учащихся интерес к изучаемой теме и выбранной профессии.
МЕЖ- И ВНУТРИПРЕДМЕТНЫЕ СВЯЗИ
физика, раздел механики; математика, арифметические действия; сельхозмашины и оборудование для животноводства, ремонт машин; технология механизированных машин; технология механизированных работ; последующие темы деталей машин.
ХОД УРОКА
|
Наим-ние элем. занятия |
Время в мин. |
Перечень вопросов |
Наглядные пособия, ТСО |
|
1 |
2 |
3 |
4 |
|
1. Организационный момент |
3 |
1. Проверка присутствующих и отсутствующих. 2. Сообщение учащимися о ходе урока |
Учебные плакаты, модель передачи рисунки на доске, карточки безмашинного контроля. |
|
2. Опрос материала прошлого занятия |
10 |
1. Индивидуальные задания (карточки) 2. Фронтальный опрос а) достоинства и недостатки передачи б) Какие резьбы применяют для грузовых винтов в) какова основная причина выхода из строя гаек и винтов передачи |
|
|
3. Новый материал прошлого занятия |
45 |
1. Общие сведения а) назначения б) достоинства в) недостатки г) область применения 2. Геометрические соотношения а) Геометрические размеры червяка б) геометрические размеры венца колеса |
|
|
3. Силы в зацеплении 4. Материалы червячной пары |
|||
|
4. Закрепление |
10 |
1.Чему равна радиальная сила на червяке? 2. От чего зависит ширина венца червячного колеса |
|
|
5. Выдача домашнего задания |
5 |
1. Самостоятельно изучить и законспектировать тему “Виды разрушения в червячной передаче”. 2. Стр. 207-219 по Куклину Н.Г. |
|
|
6. |
5 |
1. Проверка карточек 2. Выяснение моментов 3. Выставление оценок |
ПЛАН УРОКА №2
КУРС ТЕХНИЧЕСКОЙ МЕХАНИКИ
РАЗДЕЛ ДЕТАЛИ МАШИН
|
группа |
Тема занятия: Расчет зубьев |
||||
|
дата |
на контактную усталость и усталость при изгибе |
||||
|
вид.занятия |
|||||
|
ауд |
Цель обучения: - обучающая - сформулировать у учащихся умения производить расчеты на прочность; обеспечить усвоение знаний о конструктивных элементах передачи; воспитательная - уделить внимание воспитанию дисциплины аккуратности, вызвать интерес к изучаемой теме.
Межпредметные и внутрипредметные связи - физика, раздел механики; математика, арифметические действия; сельхоз машины и оборудование для животноводства; ремонт машин; технология механизированных работ; последующие темы деталей машин.
|
Наименование элементов занятия |
время в мин. |
перечень вопросов |
Обеспечение занятий (плакаты, ТСО) |
|
1 |
2 |
3 |
4 |
|
Организационный момент |
3 |
1. Проверка присутствующих и отсутствующих 2. Проверка готовности учащихся к занятию |
Учебные плакаты, модель червячной передачи |
|
Опрос материала прошлого занятия |
10 |
1. Индивидуальные задания 2. Фронтальный опрос а) Основные виды разрушения зубьев б) каково минимальное число зубьев? в) Из каких соображений выбирают число витков червяка? |
|
|
Новый материал изложение |
45 |
1. Расчет на прочность 1.1. На контактную выносливость 1.2. На выносливость 2. КПД передачи 3. Тепловой расчет 4. Конструктивные элементы передачи |
Плакат |
|
Закрепле-ние |
10 |
а) от чего зависит коэффициент нагрузки К, каково его значение? б) назовите основные факторы, влияющие на КПД передачи в) почему для червячных передачи опасен перегрев? |
|
|
Выдача домашнего задания |
5 |
1. Повторить стр. 221-231 по Куклину Н.Г. 2. Вычислить расчетное контактное напряжение в зацеплении Т, при окружной силе на колеса Ft2=5520H; G1=63 см, G2=261, 6мм; К=1 |
|
|
Подведение итогов |
5 |
1. Проверка карточек 2. Выяснение непонятным моментов? 3. Выставление оценок |
4. СОСТАВЛЕНИЕ КОНСПЕКТА
Для подготовки и проведения занятий кроме плана необходимо составить конспекты к каждому занятию. При составлении конспекта закладывается основа будущего занятия.
Прежде всего при составлении конспекта необходимо обеспечит научность и доступность обучения. Преподаватель вносит в конспект только ту информацию, которая представляет собой установившееся положение. Для доступности обучения преподаватель должен знать, что значит сделать обучение доступным.
первое: Правильно определить его содержание, т.е объем знаний, практических умений и навыков, мировоззренческих и нравственно-эстетических идей, которыми необходимо овладеть учащимся по всем предметам.
Второе: Правильно определить по каждому предмету степень теоретической сложности и глубины изучения программного материала, доступного для учащихся должного возраста и развития.
Третье: Правильно определить количество учебного времени, отведенного для изучения каждого учебного предмета с учетом его важности и сложности, обеспечение его прочного усвоения.
Четвертое: Доступность обучения во многом зависит от преподавателя, от его умения использовать в процессе объяснения яркий фактический материал, компактно, но доходчиво его излагать, связывать его с жизнью.
Пятое: Преподаватель должен учитывать индивидуальные особенности учащихся.
Преподавателю следует позаботиться о красоте, понятности изложения, и в тоже время избегать упрощенности, вульгаризации. Явления должны преподноситься студентам проще, чем они предстают перед исследователем, но выше привычного обучающегося уровня. Это способствует росту их научно-технического развития.
Внимание преподаватель должен уделить сочетанию своего конспекта с учебником, которым будут пользоваться студенты. Предметы, определения, буквенные обозначения должны совпадать в конспекте с учебником. Вместе с тем, не следует повторяться.
В конспекте необходимо показать связь изучаемого материала с ранее изученными предметами, с предыдущими темами.
Однако, подготовив даже самый хороший конспект, преподаватель должен продолжать работу над ним: вносить изменения и дополнения в соответствии с вновь появившейся информацией; по окончании каждого занятия корректировать неудачные места, исключать второстепенную и повышать долю основной информации, исправлять тексты, совершенствовать и делать доступными доказательства и выводы.
Преподаватель сам выбирает тип занятия. При любом типе преподаватель может воспользоваться различными методами обучения.
В дипломном проекте составляется конспект на основе составленного ранее планов занятий. Планы занятий были составлены по червячной передаче. Червячная передача рассчитана на 2 пары. На первом занятии рассматриваются: общие сведения, геометрические и силовые соотношения. На втором занятии - расчет на выносливость при изгибе; контанктную выносливость, тепловой расчет... (см стр. ).
4.1. Конспект первого занятия
1. Общие сведения
Червячные передачи служат для передачи вращательного движения между валами. Ведущими является червяк.
Червячная передача - это зубчато-винтовая передача, движение в которой осуществляется по принципу винтовой пары.
Для облегчения тела червяка венц червячного колеса имеет зубья дугообразной формы, что увеличивает длину контактынх линий в зоне зацепления. Червячные передачи выполняются в виде редукторов.
Основные достоинства передачи:
1. Плавность и бесшумность работы.
2. Возможность получения больших передаточных отношений при небольших габаритах передачи.
3. Компактность и небольшая масса конструкции.
4. Обладает свойством самоторможения.
5. Высокая кинематическая точность.
Недостатки червячной передачи
1. Значительное выделение теплоты в зоне зацепления.
2. Низкий КПД.
3. Невозможность передачи больших мощностей.
4. Необходимость применения для венцов червячных колес дефицитных антифрикционных материалов.
5. Повышенное изнашивание и склонность к заданию.
Применение червячной передачи: червячные передачи применяют при небольших и средних мощностях. Широко применяют передачи в подъемно-транспортных машинах, троллейбусах и особенно там, гле требуется высокая кинематическая точность ( механизмы наводки и т.д.).
Червячные передачи лучше использовать в приводах периодического действия.
Классификация передач
1. В зависимости от формы поверхности червяка передачи бывают:
- с цилиндрическим червяком
- с глобоидным червяком
2. В зависимости от направления линии витка передачи бывают:
- с правым направлением
- с левым направлением
3. В зависимости от числа витка червяка передачи бывают:
- с одновитковым червяком
- с многовитковым червяком
4. В зависимости от расположения червяка относительно колеса:
- с нижним червяком
- с верхним червяком
- с боковым червяком
5. В зависимости от формы винтовой поверхности резьбы цилиндрического червяка передачи бывают:
- с архимедовым червяком
- с конвомотным червяком
- с эвольвеитовым червяком
2. Геометрические параметры
В червячной передаче расчетным является осевой модуль сервяка m, равный торцевому модулю червячного колеса. Значение расчетного модуля m выбирают из ряда:
2;2;5;3;15;4;5;6;3;8;10;12,5;20
а) основные геометрические размеры червяка, рис. 4.1.
Рис.4.1.
угол профиля витка в осевом сечении
2=400
расчетный шаг червяка
Р=m
откуда расчетный модуль
m=P/
ход витка
Ph=Pz
где Z- число витков червяка; высота головки витка червяка и зуба колеса
h>аr>=h>ar>=m
высота ножки витка червяка и зуба колеса
h>f1>=h>f2>=1,2m
делительный диаметр червяка
d1=qm
где q - число модулей в длительном диаметре червяка, или коэффициент диаметра червяка.
Длительный угол подъема линии витка
tg =Pn/(d1)=z1/q
диаметр витков
da1=G1+2hал=G1+2m
диаметр впадин витков
Gf>1> =G>1> -2hf>1> =G>1> -2,4m
длина нарезаной части червяка зависит от числа витков
при z>1> =1и2 b>1>m (11+0,06z>2>)
при z>1>=4 b>1>m(12,5+0,09 z>2>)
б) основные геометрические размеры венца колеса. Определяют в среднем его сечение
рис. 4.2.
делительный диаметр d>2>=mz>2>
диаметр вершин зубьев d>ar>=d>2>+2m(1+x)
диаметр впадин колеса Gf>2>=d>2>-2m(1,2-x)
медочевое расстояние - главный параметр червячной передачи
a>w>=0,5 (G>1>+d2+2xm)
наибольший диаметр червячного колеса
dam>2>da>2>+6m/(z>1>+2)
ширина венца червячного колеса зависит от числа витков червяка
при z>1>=1...2 b>2>=0,355aw
при z>1>=4 b>2=>0,315aw
в) передаточное число
передаточное число U червячной передачи определяют по условию, что за каждый оборот червяка колесо поворачивается на число зубьев, равное числу витков червяка
U=>1>/>2>=z>2>/z>1>
где >1 >и> >>2> - условные скорости червяка и колеса;
z>1> и z>2> - число витков червяка и число зубьев колеса.
Применяют червякм с числом витков z>1>=1; 2;4. Число витков от передаточного числа U
U......8....14 св 14....30 св30
z>1> 4 2 1
3. СИЛЫ В ЗАЦЕПЛЕНИИ
В червячной передаче сила червяка воспринимается не одним, а несколькими зубьями колеса.
-угол зацепления
F>f1>-окружная сила
F>a1>-осевая сила
F>r1>- радиальная сила
Рис. Схема сил, действующих в зацеплении
Окружная сила га червячном колесе F>f2> численно равна оcевой силе на червяке F>a1>
F>f2>=F>а1>=2Т>2>/d>2>
где Т>2> - вращающий момент на червячном колесе
Окружная сила на червяке Ff>1> численно равна осевой силе на червячном колесе Fa>2>
Ff>1>=Fa>2>=2N>1>/G>1>=2Т>2>/UnG>1>=Ff>2>Z>1>/qn
где Т>1-> вращающий момент на червяке; n - КПД передачи
Радальная сила на червяке F>U> численно равна радиальной силе на колесе F>r2>
F>r1>=F>r2>=F>f2>tg
Направления осевых сил червяка и червячного колеса зависят от направления вращения червяка, а также от направления линии витка.
4. Материалы червячной пары
Червяк и колесо должны обладать высокой прочностью, изностойкостью и сопротивляемостью заданию.
Червяки изготавливаются из среднеуглеродистых сталей марок 40х, 40хи с поверхностной или объемной закалкой до твердости 45...53 HRC.
Зубчатые венцы червячных колес изготовляют из бронзы, выбор марки материала зависит от скорости скольжения V>3> и длительности работы.
При высоких скоростях скольжения (V>3>=2...5m/c) и длительной работе рекомендуется оловянные бронзы марок Бр010 Ф1, Бр010Н1Ф1.
При средних скоростях скольжения (V>s>=2...5m/c) применяют амоминилевую бронзу марки
Бр А9Ж3А
При малых скоростях скольжение (V>s>2m/c) червячные колеса можно изготовлять из серых чугунов марок СЧ 12, СЧ 15 и др.
4.2. Конспект второго занятия
1. Расчет на прочность
Зубья червячного колеса являются расчетным элементом зацепления, так как они имеют меньшую поверхностную и общую прочность, чем витки червяка.
Зубья червячных колес рассчитывают на контактную выносливость и на выносливость при изгибе. В червячных передачах кроме выкрашивания рабочих поверхностей зубьев велика опасность задания и изнашивания, которые зависят от значения контактных напряжений Гн. Поэтому для всех червячных передач расчет на контактную выносливость является основным (проектным), а расчет на выносливость при изгибе - проверочными.
1. Расчет проектный
Расчет ведут как проектировочный, определяя требуемое медосевое расстояние по формуле

где Z>2> - число зубьев червячного колеса; q - коэффициент диаметра червяка; [Г>н>] - допускаемое контактное напряжение; Т>р2>=Т>2>К- расчетный момент на валу червячного колеса.
После определения а>w> следует найти модуль зацепления из соотношения m=2аw/q+z>2>
Полученное значение модуля округляют до стандартного. Округление модуля повлечет за собой изменение межосевого расстояния. После выбора стандартных значений m и q получали межосевое расстояние
а>w>=m(q+z>2>/2)
Число витков червяка z>1>, принимается в зависимости от передаточного числа.
После окончательного установления параметров зацепления следует уточнить допускаемое напряжение и проверить расчетные контактные напряжения.
При стальном червяке и червячном колесе, изготовленном из чугуна или имеющим бронзовый венец, допускаемое напряжение равно:

где Г>н> и [Г>н>]- в Мпа; а>w>-в мм, Т>2>- в мм.
Результаты проверочного расчета следует считать неудовлитворительными, если Г>н> превышает [Г>н>] более чем на 5% (передача перегружения), а также в случае, если расчетное напряжение ниже [Г>н>] на 15% и более (передача недогружена).
2. Расчет на выносливость при изгибе выполняют по формуле
Г>F>= 1,2 Т>2>К>F>/z>r >>r>m2
где >F>- коэффициент формы зуба;
Г>F>- расчетное напряжение изгиба;
Т>r>К - расчетный момент на валу червячного колеса;
>r>- ширина венца колеса
2. КПД передачи
Червячная передача является зубчатовинтовой, поэтому в ней имеются потери. В общем случае КПД передачи
=>n>>33>>>>n>>PM>
где =>n>>33>>>>n>>PM >- КПД, учитывающие потери соответственно в подшипниках, зубчатом зацеплении, винтовой паре, а также на размешивании и разбрызгивании масла.
Практически КПД передачи определяют по формуле
=tg /tg (+)
С увеличением угла подъема линии витка растет КПД передачи. Учитывая, что tg = z>1>/q заключаем, что увеличение z>1> и уменьшение q в допустимых пределах обеспечивают повышени КПД червячной передачи.
На КПД передачи влияет сорт масла и шероховатость рабочих поверхностей витков червяка, которая не должна быть грубее 0,63 мкм.
Червячные передачи имеют низкий КПД, что ограничивает область их применения.
3. Тепловой расчет
При работе червячных передач выделяется большое количество теплоты. Потерянная мощность на трение в зацеплении и подшипниках, а также на размешивание и разбрызнгивание масла переходит в теплоту, которая нагревает масло, а оно через стенки корпуса передает эту теплоту окружающей среде. Если отвод теплоты недостаточен, передача перегреется. При перегреве смазочные свойства масла ухудшается его вязкость падает и возникает опасность задания, что может привести к выходу из строя передачи.
Тепловой расчет передачи производится на основе теплового баланса Q>b>=Q>o> где Q>b>- тепловыделение, Q>o>- теплоотдача.
Количество теплоты, выделяющееся в непрерывно работающей передчи в одну секунду.
Q>b>=(1-)Р>1>
где -к.п.д. передачи, Р>1>-мощность на червяке, Вт
Р>1>=Т>2>>2>/n
Количество теплоты, отводимое наружной поверхностью корпуса в одну секунду
Q=K>Т>(t>M>-t>B>)A
где А- площадь поверхности корпуса; К>Т>-коэффициент теплопередачи; t>M>-температура масла V в корпусе передачи, С0; t>>- температура воздуха вне корпуса, обычно t>b>=20C0
4. Конструктивные элементы передачи
В большинстве случаев червяк изготавливают за одно целок с валом. При конструктировании червяка необходимо предусмотреть свободный выход инструмента при нарезании и шлифовании витков.
В машиностроении применяют следующие конструкции венцов червячных колес:
1. С напрессованным венцом, применяется при небольшом диаметре колес
2. С придернутым венцом
3. С венцом, отметим на стальном центре, применяют в серийном и массовом производстве.
5. Составление сценария занятия
Достижение высоких результатов в современной дидактической системе возможно лишь при условии, когда каждый этап занятия, каждое действие преподавателя и возможная реакция студентов будут заранее предусмотрены. Преподаватель должен иметь такую же четкую разработающую последовательность действий, как и актер.
Сценарий занятия составляют на базе конспекта и плана. В нем последовательно указывают все действия преподавателя, текст его речи, текст конспекта студента, применяемые по ходу занятия наглядные пособия и рисунки на доске и пр.
Опытному преподавателю достаточно составить такие сценарии на несколько занятий, отличающихся друг от друга по типу и способу изложения информации. Начинающий преподаватель может обеспечить себе быстрое продвижение, если будет разрабатывать сценарий на каждое занятие.
Преподавателю следует ежедневно проводить репетиционную подготовку к занятиям.
5.1. Сценарий первого занятия
Первое что делает преподаватель войдя в кабинет, он приветствует учащихся. Затем проводит перекличку и выясняет готовы ли учащиеся к занятию, сообщает о ходе занятия. Сообщает какие элементы будут рассмотрены в ходе урока:
1. Общие сведения о червичной передаче
2. Геометрические соотношения
3. Силы в зацеплении
4. Материалы червичной пары
После сообщения преподаватель проверяет усвоение учащимися прошлого материала, для этого он выдает 6 учащимся карточки:
1 карточка
Определить что это за формула
Р>изи>= F/Az=F/ПG>2>H>1>Z[P>изи>]
И что это означает F-?, А-?, d>2>-?, Н>1>-?, z-?, Р-?.
2 карточка
Что означают
Гкр-?, Sу-?, Z-?, N-?, Мк-?
3 карточка
Написать какие материалы используют для винта и гайки в передаче винт-гайка.
4 карточка
Написать формулу условия устойчивости.
5 карточка
На какие группы, в зависимости от метода определения Гкр при расчете на устойчивость, делятся винты?
6 карточка
Где возникают в передаче винт-гайка потери и отчего они зависят?
С остальными учащимися преподаватель проводит фронтальный опрос, задавал следующие вопросы:
а) Достоинства и недостатки передачи винт-гайка?
б) Какие резьбы применяют для грузовых винтов?
в) Какова основная причина вывода из строя винтов и гаек передачи?
Далее преподаватель обстоятельно излагает новый материал. Он должен уложиться в 45 минут.
По возможности по ходу объяснение предусматривать модель червичной передачи. Основные размеры червяка и колеса указать на чертежах.
Проследить, чтобы учащиеся успели внести эти чертежи в свои тетради. При объяснении силовых соотношений нужно использовать уечбный плакат, на котором отражена схема сил, действующих в червичном зацеплений.
После окончании изложения преподаватель задает вопросы на закрепление новой темы:
а) Чему равна радиальная сила на червяк?
б) от чего зависит ширина венца червячного колеса.
Преподаватель выясняет непонятные учащимся моменты.
Далее выдает домашнее задание и объясняет учащимся, что от них требуется на следующем занятии. В заключении, проверив карточки, выставляет оценки.
5.2. Сценарий второго занятия
Преподаватель приветствует учащихся, отмечает присутствующих и отсутствующих, выясняет готовность учащихся к занятию. Сообщает, какие элементы будут рассмотрены в ходе урока:
1. Расчет на контактную выносливость;
2. Расчет на выносливость при изгибе;
3. КПД передачи
4. Тепловой расчет
5. Конструктивные элементы передачи.
Далее проверяет усвоение учащимися прошлого материала. Он проводит фронтальный опрос.
а. Основные виды разрушения зубьев.
б. Каково минимальное число зубьев колеса?
в. Из каких соображений выбирают число витков червяка?
Далее преподаватель обстоятельно излагает новый материал. демонстрирует по ходу модель передачи, обращается к учащимся.
После изложения материала преподаватель на закреплении задает пару вопросов.
1. От чего зависит коэффициент нагрузки К, каково его значение?
2. Назовите основные факторы, влияющие на КПД передачи.
3. Почему для червичных передач опасен перегрев?
В заключении преподаватель выдает домашнее задание, повторить и решить задачу. Подводит итоги занятия: выставить оценки, выясняет непонятные учащимся моменты.
6. МЕТОДИЧЕСКИЕ РЕКОМЕНДАЦИИ ПРОВЕДЕНИЯ ЗАНЯТИЙ
Изучение каждой детали или устройства должно вестись в определенной последовательности, единой для всех изучаемых объектов, а именно:
1. Назначение, устройство, принцип работы; 2. достоинства, недостатки, область применения; 3. краткие сведения о материалах и конструктивных формах; 4. основные расчеты (геометрический расчет, действующие силы, расчеты на прочность, долговечность и т.д.); 5. краткие сведения о выборах основных параметров, допускаемых напраяжений.
При выводе расчетных зависимостей основное внимание должно быть уделено на исходное положение, допущения и границы применимости полученных формул. Следует избегать громоздких математических преобразований.
При изложении темы важную роль играют чертежи и рисунки, поэтому все чертежи необходимо выполнять четко и ясно. Следует применять соответствующие темы плакаты.
Преподавание должно иметь практическую направленность по возможности. По возможности все теоретические положения иллюстрировать соответствующими примерами из техники. Необходимо постоянно обращать внимание учащихся на на прикладной характер изучаемого материала, показывать им где они могут встретиться с тем или иным теоретическим положением. При изучении материала следует использовать наглядные пособия, модели, демонстрационные стенды.
Преподавателю следует обращать внимание на мировоззренческую и методологическую направленность изложения учебного материала, отражать современную технологию.
Заключение
Дипломный проект “Проектирование червячной передачи с разработкой методики преподавания в техникумах” (115 стр.) состоит из двух частей: расчетно-пояснительной записки и графической части. Расчетно-пояснительная записка включает исследовательскую часть, расчетно-конструкторскую часть, часть БЖД и методическую часть.
При прохождении преддипломной практики в сельхозтехникуме мной была изучена программа обучения по технической механики, в частности, программа по теме “Червячная передача”, применяемые ТСО и наглядные пособия, соблюдения санитарно-гигиенических требований в кабинете, а также методика преподавания темы “” Червячная передача преподавателем СХТ. Все данные нашли свое отражение в исследовательской части.
В расчетно-конструкторской части отпроектирован червячный редуктор по заданным значениям: мощность Рк=5кВт; частота вращения вала конфейера Пк=80об/мм; угловая скорость >к>=8,37 рад/с.
В части БЖД рассмотрены санитарно-гигиенические требования, предъявляемые к кабинету деталей машин, меры безопасности в кабинете ДМ, спреотировано общее временное освещение кабинета размерами (12х6х3,2), также рассмотрен противопожарный режим в кабинете ДМ.
В методической части составлены: графическая структура темы: календарный план по программе; план, конспект и сценарий двух занятий, а также даны методические рекомендации при проведении темы “Червячная передача”.
Графическая часть выполнена на 10 листах формата А1.
Дипломный проект по заданию выполнен.