Золотое сечение – одно из ярких проявлений гармоничности в природе
Содержание
1. Введение
2. Золотое сечение
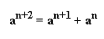
3. Числа Фобиначчи
4. Филотаксис
5. Принципы формообразования в природе
6. Заключение
7. Список используемой литературы
Введение
Человек различает окружающие его предметы по форме. Интерес к форме какого-либо предмета может быть продиктован жизненной необходимостью, а может быть вызван красотой формы. Форма, в основе построения которой лежат сочетание симметрии и золотого сечения, способствует наилучшему зрительному восприятию и появлению ощущения красоты и гармонии. Целое всегда состоит из частей, части разной величины находятся в определенном отношении друг к другу и к целому. Принцип золотого сечения – высшее проявление структурного и функционального совершенства целого и его частей в искусстве, науке, технике и природе.
О золотом сечении знали еще в древнем Египте и Вавилоне, в Индии и Китае. Великий Пифагор создал тайную школу, где изучалась мистическая суть «золотого сечения». Евклид применил его, создавая свою геометрию, а Фидий — свои бессмертные скульптуры. Платон рассказывал, что Вселенная устроена согласно «золотому сечению». А Аристотель нашел соответствие «золотого сечения» этическому закону. Высшую гармонию «золотого сечения» проповедовали Леонардо да Винчи и Микеланджело, ведь красота и «золотое сечение» — это одно и то же. Христианские мистики рисовали на стенах своих монастырей пентаграммы «золотого сечения», таким образом, спасаясь от Дьявола. При этом ученые — от Пачоли до Эйнштейна — искали, но так и не нашли его точного значения. Бесконечный ряд после запятой — 1,6180339887... Странная, загадочная, необъяснимая вещь: эта божественная пропорция мистическим образом сопутствует всему живому. Неживая природа не знает, что такое «золотое сечение». Но вы непременно увидите эту пропорцию и в изгибах морских раковин, и в форме цветов, и в облике жуков, и в красивом человеческом теле. Все живое и все красивое — все подчиняется божественному закону, имя которому — «золотое сечение».
Золотое Сечение
Золотое сечение (золотая пропорция) — пропорциональное деление отрезка на неравные части, при котором весь отрезок так относится к большей части, как сама большая часть относится к меньшей; или другими словами, меньший отрезок так относится к большему, как больший ко всему a : b = b : c или с : b = b : а.

Рис. 1. Геометрическое изображение золотой пропорции
Практическое знакомство с золотым сечением начинают с деления отрезка прямой в золотой пропорции с помощью циркуля и линейки.

Рис. 2. Деление отрезка прямой по золотому сечению. BC = 1/2 AB; CD = BC
Из точки В восставляется перпендикуляр, равный половине АВ. Полученная точка С соединяется линией с точкой А. На полученной линии откладывается отрезок ВС, заканчивающийся точкой D. Отрезок AD переносится на прямую АВ. Полученная при этом точка Е делит отрезок АВ в соотношении золотой пропорции.
Отрезки золотой пропорции выражаются бесконечной иррациональной дробью AE = 0,618..., если АВ принять за единицу, ВЕ = 0,382... Для практических целей часто используют приближенные значения 0,62 и 0,38. Если отрезок АВ принять за 100 частей, то большая часть отрезка равна 62, а меньшая – 38 частям.
Свойства золотого сечения описываются уравнением:

Одно
из решений которого равно:

Второе решение называется основанием золотой пропорции и обозначается: φ

Число φ обладает уникальными математическими свойствами. Это единственное число, кроме нуля, удовлетворяющее рекуррентному соотношению:
В
геометрии существуют различные способы
построения золотой пропорции, причем
характерно, что для построения достаточно
взять самые простые геометрические
фигуры – квадрат или прямоугольный
треугольник с соотношением катетов
1:2. Если с середины стороны квадрата
провести окружность радиусом, равным
диагонали полуквадрата, то на ее
пересечении с продолженной стороной
квадрата получим отрезок, который меньше
стороны квадрата в соответствии с
золотой пропорцией. Еще проще построение
золотой пропорции в прямоугольном
треугольнике 1:2:
. Достаточно провести две дуги окружности,
пересекающиеся в одной точке на
гипотенузе, и большой катет будет
разделен в соответствии с золотой
пропорцией.
Золотое сечение можно увидеть и в пентаграмме - так называли греки звездчатый многоугольник. Он служит символом Пифагорейского союза – религиозной секты и научной школы по главе с Пифагором, которая проповедовала братскую любовь к друг другу, отречение от внешнего мира, общность имущества и т.д. На подобных устоях основывались очень многие секты. Но Пифагорийский союз отличало от других то, что пифагорейцы считали возможным добиться очищения духа при помощи математики. По их теории, в основу мирового порядка положены числа. Мир, считали они, состоит из противоположностей, а гармония приводит противоположности к единству. Гармония же заключается в числовых отношениях. Пифагорейцы приписывали числам различные свойства. Так, четные числа они называли женскими, нечетные (кроме 1) – мужскими. Число 5 – как сумма первого женского числа (2) и первого мужского (3) – считалось символом любви. Отсюда такое внимание к пентаграмме, имеющей 5 углов.
Благоговейное отношение к пентаграмме было характерно и для средневековых мистиков, которые многое заимствовали у пифагорейцев. В средние века считалось, что пентаграмма служит охранным знаком от сатаны. Вспомним, например, как описывает Гете проникновение дьявола Мефистофеля в келью доктора Фауста, на которой была начертана пентаграмма. Мефистофель сначала послал черного пуделя отгрызть кончик двери с частью пентаграммы. Только после этого он смог предстать перед Фаустом.
Интересно, что стороны пентаграммы, пресекаясь, образуют правильный пятиугольник, в котором пресечение диагоналей дает нам новую пентаграмму, а в пересечении ее сторон мы снова видим правильный пятиугольник, открывающий возможность построения новой пентаграммы. И так далее до бесконечности.
Золотой прямоугольник обладает многими необычными свойствами. Отрезав от него квадрат, сторона которого равна меньшей стороне прямоугольника, мы снова получим золотой прямоугольник меньших размеров. Продолжая отрезать квадраты, мы будем получать все меньшие и меньшие золотые прямоугольники (рис.3)

Рис. 3. Золотой прямоугольник
Тем самым будет построен пример совершенного квадрируемого прямоугольника бесконечного порядка. Точки, делящие стороны прямоугольников в среднем и крайнем отношении, лежат на логарифмической спирали, закручивающейся внутрь.
Полюс спирали лежит на пересечении пунктирных диагоналей. Разумеется, «вращающиеся квадраты», как их принято называть, могут не только закручивать, но и раскручивать спираль. Для этого лишь требуется строить не уменьшающиеся, а все увеличивающиеся квадраты. Логарифмическая спираль – единственный тип спирали, не меняющей своей формы при увеличении размеров. Если в логарифмической спирали из центра О провести прямую, то образующиеся отрезки ОА, ОВ, ОС, ОD и т. д., полученные при пересечении прямой с витками спирали, образуют геометрическую прогрессию, то есть ОА/ОВ=ОВ/ОС=ОС/OD=…= m, где m – постоянное число.
Отрезки радиуса, заключенного между последовательными витками спирали, также образуют прогрессию с отношением АВ/ВС=ВС/СD=…=n. Частным случаем спирали является такая, которая отвечает значению n, равному Ф, т. е. золотой пропорции. Такая спираль называется «кривой гармонического возрастания».
Согласно современным представлениям золотое деление – это асимметричная симметрия. В науку о симметрии вошли такие понятия, как статическая и динамическая симметрия. Статическая симметрия характеризует покой, равновесие, а динамическая – движение, рост. Так, в природе статическая симметрия представлена строением кристаллов, а в искусстве характеризует покой, равновесие и неподвижность. Динамическая симметрия выражает активность, характеризует движение, развитие, ритм, она – свидетельство жизни. Статической симметрии свойственны равные отрезки, равные величины. Динамической симметрии свойственно увеличение отрезков или их уменьшение, и оно выражается в величинах золотого сечения возрастающего или убывающего ряда.
Числа Фобиначчи
В математике хорошо известна последовательность чисел 1,1,2,3,5,8,13,21,..., называемая числами Фибоначчи (ряд Фибоначчи) и образуемая по рекуррентной формуле:
где n - натуральное число и начальные члены равны 1 и 1.
Особенность последовательности чисел состоит в том, что каждый ее член, начиная с третьего, равен сумме двух предыдущих 2 + 3 = 5; 3 + 5 = 8; 5 + 8 = 13, 8 + 13 = 21; 13 + 21 = 34 и т.д., а отношение смежных чисел ряда приближается к отношению золотого деления. Так, 21 : 34 = 0,617, а 34 : 55 = 0,618. Это отношение обозначается символом Ф. Только это отношение - 0,618 : 0,382 - дает непрерывное деление отрезка прямой в золотой пропорции, увеличение его или уменьшение до бесконечности, когда меньший отрезок так относится к большему, как больший ко всему.
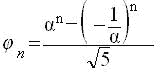
Ярким примером проявления чисел Фибоначчи в живой природе является филлотаксис Французский математик Бине показал, как связаны числа Фибоначчи и основание золотой пропорции:

Эта
формула интересна тем, что справа
находятся иррациональные числа α и
,
а слева всегда целое. Нужно отметить
асимметричность знаменателя правой
части формулы 5. Из последней формулы
легко получить следующее соотношение
:
которое вместе с формулами показывает глубокую связь между числами Фибоначчи и основанием золотой пропорции. В этих можно заметить почти «мистическое» присутствие числа 5.
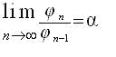
Если в рекурсивной последовательности, образуемой по формуле 4, задать произвольные начальные члены, то предел отношения двух соседних членов этого ряда все равно будет стремиться к α (формула 6). Даже некоторое количество арифметических ошибок в вычислении φ>i> при 1<i<<n, не повлияют на этот результат.
Основание золотой пропорции является инвариантом рекурсивных соотношений 4 и 6. В этом проявляется «устойчивость» золотого сечения, одного из принципов организации живой материи.
Так же, основание золотой пропорции является решением двух экзотических рекурсивных последовательностей (рис 4.)
|
|
|
Рис. 4 Рекурсивных последовательности
Фибоначчи так же занимался решением практических нужд торговли: с помощью какого наименьшего количества гирь можно взвесить товар? Фибоначчи доказал, что оптимальной является такая система гирь: 1, 2, 4, 8, 16... Ряд Фибоначчи (1, 1, 2, 3, 5, 8) и «двоичный» ряд гирь 1, 2, 4, 8, 16... на первый взгляд совершенно разные. Но алгоритмы их построения весьма похожи друг на друга: в первом случае каждое число есть сумма предыдущего числа с самим собой 2 = 1 + 1; 4 = 2 + 2..., во втором – это сумма двух предыдущх чисел 2 = 1 + 1, 3 = 2 + 1, 5 = 3 + 2....
Ряд Фибоначчи мог бы остаться только математическим казусом, если бы не то обстоятельство, что все исследователи золотого деления в растительном и в животном мире, не говоря уже об искусстве, неизменно приходили к этому ряду как арифметическому выражению закона золотого деления.
Присутствие золотой пропорции и чисел Фибоначчи в живой природе позволяют говорить о некотором едином механизме их возникновения. Числа Фибоначчи и золотое сечение являются математическим описанием некоторого формообразующего процесса. На микроуровне (целочисленном) количественная характеристика этого процесса проявляется как числа Фибоначчи, а на макроуровне (статистическом) как основание золотой пропорции - число α. Если такой формообразующий процесс является законом живой природы, то с его помощью можно объяснить наличие золотой пропорции в соотношении частей тела человека и животных, а также явление филлотаксиса.
Филлотаксис
Характерной чертой строения растений и их развития является спиральность. Еще Гете, который был не только великим поэтом, но и естествоиспытателем, считал спиральность одним из характерных признаков всех организмов, проявлением самой сокровенной сущности жизни. Спирально закручиваются усики растений, по спирали происходит рост ткани в стволах деревьев, по спирали расположены семечки в подсолнечнике, спиральные движения (нутации) наблюдаются при росте корней и побегов. Очевидно, в этом проявляется наследственность организации растений, а ее корни следует искать на клеточном и молекулярном уровнях.
Исследования показали, что движение протоплазмы в клетке часто спиральное. Рост клеток также может быть спиральным, как показал ученый Кастл. В жидкой среде клетки встречаются спиральные нити волокон – цитонем. И, наконец, носители информации – молекулы ДНК – также скручены в спираль. Следует отметить, что термин «спираль» не отражает точно строение молекул ДНК; более правильно говорить о винтовом расположении полипептидных цепей в этой молекуле. Все сведения о физиологических особенностях живых существ хранятся в микроскопической молекуле ДНК, строение которой также содержит в себе закон золотой пропорции. Молекула ДНК состоит из двух вертикально переплетенных между собой спиралей. Длина каждой из этих спиралей составляет 34 ангстрема, ширина 21 ангстрема. (1 ангстрем - одна стомиллионная доля сантиметра). Так вот 21 и 34 - это цифры, следующие друг за другом в последовательности чисел Фибоначчи, то есть соотношение длины и ширины логарифмической спирали молекулы ДНК несет в себе формулу золотого сечения 1:1,618.
Во многих других случаях, рассмотренных в ботанике, речь также идет, по существу, не о спирали, а о винтовом расположении элементов структуры; к сожалению, термины часто смешивают.
Нет сомнений, что наследственная спиральность является одним из основных свойств организмов, она отражает один из существенных признаков живого. На первый взгляд, кажется, что в кристаллах неорганических веществ спиральность или винтовая структура отсутствуют. Однако более глубокие исследования показали, что винтовое расположение атомов наблюдается и в некоторых кристаллах и выражается в образовании так называемых винтовых дислокаций. Такие кристаллы состоят из единственной винтообразной изогнутой атомной плоскости. При каждом обороте вокруг оси эта плоскость поднимается на один шаг винта, равный межатомному расстоянию. Следует добавить, что кристаллы с такой винтовой структурой обладают сверхпрочностью. От винтовой структуры молекул ДНК до закручивания усиков растений – таковы формы проявления спиральности на различных уровнях организации растений. Отчетливо проявляется эта особенность организации растений в закономерностях листорасположения.
Существует несколько способов листорасположения. В первом листья побега располагаются строго один под другим, образуя вертикальные ряды – ортостихи. Условная спираль, соединяющая места расположения листьев на побеге, называется генетической, или основной спиралью, точнее, винтовой линией и делится на ряд листовых циклов. Генетическим этот винт называется потому, что расположение листьев в нем отвечает порядку появления в нем листьев. Проекция на плоскость листорасположения позволяет в долях окружности выразить угол расхождения листьев.
Винтовое расположение листьев выражают дробью, числитель которой равен числу оборотов по стеблю воображаемого винта одного листового цикла, а знаменатель- числу листьев в данном цикле, совпадающему с числом ортостих на стебле. Эта дробь позволяет рассчитать и угол расхождения листьев.
Оказалось, что каждое растение характеризуется своим листорасположением. Так, у липы, вяза, бука, злаков листорасположение описывается формулой 1/2, у дуба и вишни – 2/5, у малины, груши, тополя, барбариса – 3/8, у миндаля, облепихи – 5/13 и т.д. Нетрудно видеть, что в формулах листорасположения встречаются числа Фибоначчи, расположенные через одно.
Посмотрим на сосновую шишку. Чешуйки на ее поверхности расположены строго закономерно - по двум спиралям, которые пересекаются приблизительно под прямым углом. Число таких спиралей у сосновых шишек равно 8 и 13 или 13 и 21 . Такие же спирали видны в поперечных разрезах почек; здесь числа спиралей относятся
как числа 3/5, 5/8, 8/13. В корзинках подсолнечника семена также расположены по
двум спиралям, их число составляет обычно 34 и 55, 55 и 89. Здесь вновь мы видим закономерное сочетание чисел Фибоначчи, расположенных рядом: 2/3, 3/5, 5/8, 13/21 и т.д. Их отношение в пределе стремится к числу = 0,61803…
Рассмотренную закономерность расположения листьев, чешуек, семян называют филлотаксисом.
При
изменении формулы листорасположения
изменяется и угол расхождения листьев.
Формула 1/2 характеризует двурядное
расположение листьев под углом
друг
от друга. При формуле 1/3 угол между
листьями будет
,
а при формуле 2/5 -
и т.д. В предельном случае, когда отношение
чисел в формуле будет отвечать золотой
пропорции - 0,38196… угол расхождения
листьев станет равным
,
который был назван «идеальным» углом,
или углом золотой пропорции (
=Ф2). Установлено, что при расположении
листьев под идеальным углом ни один
лист не будет располагаться точно над
другим, чем создаются лучшие условия
для фотосинтеза.
Принципы формообразования в природе
Закономерности «золотой» симметрии проявляются в энергетических переходах элементарных частиц, в строении некоторых химических соединений, в планетарных и космических системах, в генных структурах живых организмов. Эти закономерности, как указано выше, есть в строении отдельных органов человека и тела в целом, а также проявляются в биоритмах и функционировании головного мозга и зрительного восприятия.
Все, что приобретало какую-то форму, образовывалось, росло, стремилось занять место в пространстве и сохранить себя. Это стремление находит осуществление в основном в двух вариантах – рост вверх или расстилание по поверхности земли и закручивание по спирали.
Раковина закручена по спирали. Если ее развернуть, то получается длина, немного уступающая длине змеи. Небольшая десятисантиметровая раковина имеет спираль длиной 35 см. Спирали очень распространены в природе. Представление о золотом сечении будет неполным, если не сказать о спирали.

Рис. 5. Спираль Архимеда
Форма спирально завитой раковины привлекла внимание Архимеда. Он изучал ее и вывел уравнение спирали. Спираль, вычерченная по этому уравнению, называется его именем. Увеличение ее шага всегда равномерно. В настоящее время спираль Архимеда широко применяется в технике.
Еще Гете подчеркивал тенденцию природы к спиральности. Винтообразное и спиралевидное расположение листьев на ветках деревьев подметили давно. Спираль увидели в расположении семян подсолнечника, в шишках сосны, ананасах, кактусах и т.д. Совместная работа ботаников и математиков пролила свет на эти удивительные явления природы. Выяснилось, что в расположении листьев на ветке (филотаксис), семян подсолнечника, шишек сосны проявляет себя ряд Фибоначчи, а стало быть, проявляет себя закон золотого сечения. Паук плетет паутину спиралеобразно. Спиралью закручивается ураган. Испуганное стадо северных оленей разбегается по спирали. Молекула ДНК закручена двойной спиралью. Гете называл спираль «кривой жизни».
Среди придорожных трав растет ничем не примечательное растение – цикорий. Приглядимся к нему внимательно.(Рис. 6) От основного стебля образовался отросток. Тут же расположился первый листок.

Рис. 6. Цикорий
Отросток делает сильный выброс в пространство, останавливается, выпускает листок, но уже короче первого, снова делает выброс в пространство, но уже меньшей силы, выпускает листок еще меньшего размера и снова выброс. Если первый выброс принять за 100 единиц, то второй равен 62 единицам, третий – 38, четвертый – 24 и т.д. Длина лепестков тоже подчинена золотой пропорции. В росте, завоевании пространства растение сохраняло определенные пропорции. Импульсы его роста постепенно уменьшались в пропорции золотого сечения.

Рис. 7. Ящерица живородящая
В ящерице (Рис. 7) с первого взгляда улавливаются приятные для нашего глаза пропорции – длина ее хвоста так относится к длине остального тела, как 62 к 38.
И в растительном, и в животном мире настойчиво пробивается формообразующая тенденция природы – симметрия относительно направления роста и движения. Здесь золотое сечение проявляется в пропорциях частей перпендикулярно к направлению роста.
Природа осуществила деление на симметричные части и золотые пропорции. В частях проявляется повторение строения целого.
Сердце бьется непрерывно – от рождения человека до его смерти. Его работа должна быть оптимальной, обусловленной законами самоорганизации биологических систем. Отклонения от оптимального режима вызывают различные заболевания. А так как золотая пропорция является одним из критериев самоорганизации в живой природе, естественно предположить, что и в работе сердца возможно проявление этого критерия.
При работе сердца возникает электрический ток, который можно уловить специальным прибором и получить кривую – электрокардиограмму (ЭКГ) с характерными зубцами, отражающими различные циклы работы сердца. На ЭКГ человека выделяются два участка различной длительности, соответствующие систолической и диастолической деятельности сердца. В.Цветков установил, что у человека и у других млекопитающих имеется оптимальная («золотая») частота сердцебиения, при которой длительности систолы, диастолы и полного сердечного цикла соотносятся между собой в пропорции 0,382 : 0,618 : 1 , т.е. в полном соответствии с золотой пропорцией. Так, например, для человека эта частота равна 63 ударам в минуту, для собак – 94 , что отвечает реальной частоте сердцебиения в состоянии покоя.
Систолическое давление крови в аорте равно 0,382 , а диастолическое – 0,618 от среднего давления крови в аорте. Доля объема левого желудочка при ударном выбросе крови по отношению к конечнодиастолическому объему у десяти видов млекопитающих в состоянии покоя составляет 0,37-0,4 , что в среднем также отвечает золотой пропорции. Таким образом, работа сердца в отношении временных циклов, изменения давления крови и объемов желудочков оптимизировано по одному и тому же принципу – по правилу золотой пропорции.
Художники, ученые, модельеры, дизайнеры делают свои расчеты, чертежи или наброски, исходя из соотношения золотого сечения. Они используют мерки с тела человека, сотворенного также по принципу золотой сечения. Леонардо Да Винчи и Ле Корбюзье перед тем как создавать свои шедевры брали параметры человеческого тела, созданного по закону Золотой пропорции. Пропорции различных частей нашего тела составляют число, очень близкое к золотому сечению. Если эти пропорции совпадают с формулой золотого сечения, то внешность или тело человека считается идеально сложенными. Принцип расчета золотой меры на теле человека можно изобразить в виде схемы представленной ниже.

M/m=1,618
Первый пример золотого сечения в строении тела человека:
Если принять центром человеческого тела точку пупа, а расстояние между ступней человека и точкой пупа за единицу измерения, то рост человека эквивалентен числу 1.618.
Кроме этого есть и еще несколько основных золотых пропорции нашего тела:
расстояние от кончиков пальцев до запястья и от запястья до локтя равно 1:1.618
расстояние от уровня плеча до макушки головы и размера головы равно 1:1.618
расстояние от точки пупа до макушки головы и от уровня плеча до макушки головы равно 1:1.618
расстояние точки пупа до коленей и от коленей до ступней равно 1:1.618
расстояние от кончика подбородка до кончика верхней губы и от кончика верхней губы до ноздрей равно 1:1.618
расстояние от кончика подбородка до верхней линии бровей и от верхней линии бровей до макушки равно 1:1.618
расстояние от кончика подбородка до верхней линии бровей и от верхней линии бровей до макушки равно 1:1.618
Золотое сечение в чертах лица человека как критерий совершенной красоты.
В строении черт лица человека также есть множество примеров, приближающихся по значению к формуле золотого сечения. Однако не бросайтесь тотчас же за линейкой, чтобы обмерять лица всех людей. Потому что точные соответствия золотому сечению, по мнению ученых и людей искусства, художников и скульпторов, существуют только у людей с совершенной красотой. Собственно точное наличие золотой пропорции в лице человека и есть идеал красоты для человеческого взора.
К примеру, если мы суммируем ширину двух передних верхних зубов и разделим эту сумму на высоту зубов, то, получив при этом число золотого сечения, можно утверждать, что строение этих зубов идеально.

На человеческом лице существуют и иные воплощения правила золотого сечения. Приведем несколько таких соотношений:
Высота лица / ширина лица,
Центральная точка соединения губ до основания носа / длина носа.
Высота лица / расстояние от кончика подбородка до центральной точки соединения губ
Ширина рта / ширина носа,
Ширина носа / расстояние между ноздрями,
Расстояние между зрачками / расстояние между бровями.
Рука человека
Достаточно лишь приблизить сейчас вашу ладонь к себе и внимательно посмотреть на указательный палец, и вы сразу же найдете в нем формулу золотого сечения. Каждый палец нашей руки состоит из трех фаланг.
Сумма двух первых фаланг пальца в соотношении со всей длиной пальца и дает число золотого сечения (за исключением большого пальца).
Кроме того, соотношение между средним пальцем и мизинцем также равно числу золотого сечения. 4
У человека 2 руки, пальцы на каждой руке состоят из 3 фаланг (за исключением большого пальца). На каждой руке имеется по 5 пальцев, то есть всего 10, но за исключением двух двухфаланговых больших пальцев только 8 пальцев создано по принципу золотого сечения. Тогда как все эти цифры 2, 3, 5 и 8 есть числа последовательности Фибоначчи.
Золотое сечение присутствует в строении всех кристаллов, но большинство кристаллов микроскопически малы, так что мы не можем разглядеть их невооруженным глазом. Однако снежинки, также представляющие собой водные кристаллы, вполне доступны нашему взору. Все изысканной красоты фигуры, которые образуют снежинки, все оси, окружности и геометрические фигуры в снежинках также всегда без исключений построены по совершенной четкой формуле золотого сечения.
Во Вселенной все известные человечеству галактики и все тела в них существуют в форме спирали, соответствующей формуле золотого сечения. Принципу Золотого Сечения подчинены и периоды обращения планет Солнечной системы.
Строение всех встречающихся в природе живых организмов и неживых объектов, не имеющих никакой связи и подобия между собой, спланировано по определенной математической формуле. Это является самым ярким доказательством их осознанной сотворенности согласно некоему проекту, замыслу. Формула золотого сечения и золотые пропорции очень хорошо известны всем людям искусства, ибо это главные правила эстетики. Любое произведение искусства, спроектированное в точном соответствии с пропорциями золотого сечения, являет собой совершенную эстетическую форму.
По этому закону Великого Божественного Творения созданы галактики, сотворены растения и микроорганизмы, тело человека, кристаллы, живые существа, молекула ДНК и законы физики, тогда как ученые и люди искусства лишь изучают этот закон и стараются подражать ему, воплощать этот закон в своих творениях.
Вне сомнения, что все в нашем мире, в окружающей нас жизни сотворено Всевышним Господом без какого либо подобия. Тогда как люди только копируют и подражают примерам, существующим в природе, которые Он сотворил.
Мы лишь воспроизводим с большей или меньшей степенью мастерства подобия совершенства форм жизни, что окружают нас повсеместно.
Заключение
Идея о гармоничности мира и систем, связанная с отношениями противоположностей внутри объекта, не нова. Она восходит к философии Древней Греции. "Бог, — учил великий философ и геометр Пифагор, — это единство, а мир состоит из противоположностей. То, что приводит противоположности к единству и создает все в космосе, есть гармония. Гармония является божественной и заключается в числовых отношениях..." В наши дни идея гармонии систем приобретает все большее признание. Предпринимаются усилия по выявлению меры структурной гармонии систем, исходя из противоположностей в объекте, ибо, как пишет Э. М. Сороко, "гармония не обладает каким-либо смыслом вне противоречивости" Принято считать, что объекты, содержащие в себе «золотое сечение», воспринимаются людьми как наиболее гармоничные.
Наверное, трудно найти надежную меру для объективной оценки самой красоты, и одной логикой тут не обойдешься. Однако здесь поможет опыт тех, для кого поиск красоты был самим смыслом жизни, кто сделал это своей профессией. Это, прежде всего, люди искусства, как мы их называем: художники, архитекторы, скульпторы, музыканты, писатели. Но это и люди точных наук, - прежде всего, математики.
Доверяя глазу больше, чем другим органам чувств, человек в первую очередь учился различать окружающие его предметы по форме. Интерес к форме какого-либо предмета может быть продиктован жизненной необходимостью, а может быть вызван красотой формы. Форма, в основе построения которой лежат сочетание симметрии и золотого сечения, способствует наилучшему зрительному восприятию и появлению ощущения красоты и гармонии. Целое всегда состоит из частей, части разной величины находятся в определенном отношении друг к другу и к целому. Принцип золотого сечения - высшее проявление структурного и функционального совершенства целого и его частей в искусстве, науке, технике и природе. Эту мысль разделяли и разделяют многие выдающиеся современные ученые, доказывая в своих исследованиях, что истинная красота всегда функциональна. В их числе и авиаконструкторы. И архитекторы, и антропологи, и многие другие.

