Тестирование как метод педагогического контроля
Содержание
Традиционные
методы педагогического
контроля.....................................................................................................
Тестирование - как метод педагогического контроля.....................................................................................................
Формирование оценочной шкалы тестового контроля.....................................................................................................
Требования, предъявляемые к преподаВАтелю при составлении тестовых заданий...............................................
достоинства и недостатки тестирования........................
Список использованных источников......................................
1. Традиционные формы педагогического контроля
Методы обучения в их традиционных вариантах иногда подразделены на методы преподавания, методы учения и методы контроля /8/.
Педагогический контроль выполняет целый ряд функций в педагогическом процессе: оценочную, стимулирующую, развивающую, обучающую, диагностическую, воспитательную и др.
Процесс контроля это одна из наиболее трудоемких и ответственных операций в обучении, связанная с острыми психологическими ситуациями как для учащихся, так и для преподавателя. С другой стороны его правильная постановка способствует улучшению качества подготовки специалистов /1/.
В сложившемся педагогическом процессе различают несколько видов контроля: предварительный, текущий, тематический, рубежный, итоговый и выпускной /8/.
Систему контроля образуют экзамены и зачеты, устный опрос, контрольные работы, коллоквиумы, рефераты, семинары, лабораторные работы, отчеты по производственной практике. Такие методы контролирования успеваемости студентов в настоящее время используют большинство учебных заведений. Выбор форм контроля зависит от цели, содержания, методов, времени и места /6/.
Перечисленные методы диагностирования успеваемости учащихся имеют определенные недостатки. Рассмотрим некоторые из них /7/.
Могут возникать трудности, связанные с особенностями преподавательской работы:
довольно часто проявляются несовпадение требований разных преподавателей, отличия в их уровне строгости при оценке одного и того же ответа;
различие в профессиональной квалификации;
при организации текущих проверок знаний большого числа студентов, когда оценивание проводится, главным образом, лишь по формальным критериям, наблюдается загруженность преподавателя рутинной мало творческой работой, связанной с большим объемом информации, которую требуется подготовить, обработать и проанализировать за относительно короткий промежуток времени;
возможная небеспристрастность преподавателя (по психологическим и иным причинам) к оценке ответов некоторых студентов;
иногда оценки, выставляемые студентам, оказываются недостоверными из-за опасения преподавателя, что они будут использованы для оценивания работы самого преподавателя.
Трудности, связанные со спецификой традиционной формы проверки знаний. Такие, как отсутствие четко сформулированных стандартов знаний и конкретно очерченных объемов умений, достаточных для каждой положительной оценки (часто преподаватель мучается с вопросом: "Какую оценку поставить - "неуд" или все же можно оценить как "удовлетворительно"?”).
Трудности, связанные со студентами: использование шпаргалок, списывание, "взаимопомощь" на экзамене, что искажает достоверность оценки знаний студентов и мешает преподавателю объективно взглянуть на качество своей педагогической работы.
Отсутствие объективных критериев оценки и эффективных механизмов сравнения результатов обучения по данной дисциплине (специальности) в различных ВУЗах, что особенно актуально для выработки верной стратегии подготовки кадров. Принятая, преимущественно, методика приема экзаменов по 3-4 вопросам в билете не позволяет оценить полноту освоения материала и провоцирует списывание.
На современном этапе при оценке знаний студентов перечисленные проблемы в большей степени решаются использованием такой формы контроля, как тестирование.
2. Тестирование - как метод педагогического
контроля
Для диагностики успешности обучения разрабатываются специальные методы, которые разными авторами называются тестами учебных достижений, тестами успешности, дидактическими тестами и даже тестами учителя (под последними могут также подразумеваться тесты, предназначенные для диагностики профессиональных качеств педагогов). Как утверждает А.Анастази, по численности этот тип тестов занимает первое место.
В литературе встречается следующее определение тестов достижений /8/.
Тесты - это достаточно краткие, стандартизированные или не стандартизированные пробы, испытания, позволяющие за сравнительно короткие промежутки времени оценить преподавателями и студентами результативность познавательной деятельности студентов, т.е. оценить степень и качество достижения каждым студентом целей обучения (целей изучения).
Тесты достижений предназначены для того, чтобы оценить успешность овладения конкретными знаниями и даже отдельными разделами учебных дисциплин, и являются более объективным показателем обученности, чем оценка.
Тесты достижений отличаются от собственно психологических тестов (способностей, интеллекта). Их отличие от тестов способностей состоит, во-первых, в том, что с их помощью изучают успешность овладения конкретным, ограниченным определенными рамками, учебным материалом, например, разделом математики или курсом английского языка. На формирование способностей (например, пространственных) влияние обучения также сказывается, но оно не является единственным фактором, определяющим уровень их развития.
Во-вторых, различие между тестами определяются целями их применения. Тесты достижений применяются для оценки успешности овладения конкретными знаниями с целью определения эффективности программ, учебников и методов обучения, особенностей работы отдельных учителей, педагогических коллективов и т.д., т.е. с помощью этих тестов диагностируют прошлый опыт, результат усвоения тех или иных дисциплин или их разделов.
Вместе с тем нельзя отрицать, что тесты достижений также могут в определенной степени предсказывать темпы продвижения учащегося в той или иной дисциплине, поскольку имеющийся на момент тестирования высокий или невысокий уровень овладения знаниями не может не отразиться на дальнейшем процессе обучения.
Для того, чтобы правильно ответить на вопросы, входящие в тест достижений, необходимы знания конкретных фактов, дат и др. Старательный студент, обладающий хорошей памятью, без труда может найти правильные ответы в заданиях теста достижений.
Наряду с тестами достижений, предназначенными для оценки усвоения знаний по конкретным дисциплинам или их циклам, разрабатываются и более широко ориентированные тесты. Это, например, тесты на оценку отдельных навыков. Еще более широко ориентированными являются тесты для изучения умений, которые могут пригодиться при овладении рядом дисциплин, например, навыки работы с учебником, математическими таблицами, энциклопедиями и словарями.
Существуют также тесты, направленные на оценку влияния обучения на формирование логического мышления, способности рассуждать, строить выводы на основе анализа определенного круга данных и т.д. Эти тесты в наибольшей степени приближаются по своему содержанию к тестам интеллекта и высоко коррелируют с последними. Поскольку тесты достижений предназначены для оценки эффективности обучения по конкретным предметам, то обязательным участником формулирования отдельных заданий должен стать преподаватель.
Отдельные тесты достижений можно объединять в тестовые батареи, что позволяет получать профили показателей успешности обучения по разным дисциплинам. Обычно тестовые батареи предназначаются для разных образовательно-возрастных уровней и не всегда дают результаты, которые можно сопоставлять друг с другом для получения целостной картины успешности обучения от курса к курсу. Однако в последнее время созданы батареи, позволяющие получать и такие данные.
По форме проведения тесты могут быть индивидуальными и групповыми, устными и письменными, бланковыми, предметными, аппаратурными и компьютерными, вербальными и невербальными. При этом каждый тест имеет несколько составных частей: руководство по работе с тестом, тестовую тетрадь с заданиями и, если необходимо, стимульный материал или аппаратуру, лист ответов (для бланковых методик), шаблоны для обработки данных.
В руководстве приводятся данные о целях тестирования, выборке, для которой тест предназначен, результатах проверки на надежность, способах обработки и оценки результатов. Задания теста, сгруппированные в субтесты (группы заданий, объединенные одной инструкцией), помещены в специальной тестовой тетради (тестовые тетради могут быть использованы многократно, поскольку правильные ответы отмечаются на отдельных бланках). Если тестирование проводится с одним испытуемым, то такие тесты носят название индивидуальных, если с несколькими - групповых. Каждый тип тестов имеет свои достоинства и недостатки. Преимуществом групповых тестов является возможность охвата больших групп испытуемых одновременно (до нескольких сот человек), упрощение функций экспериментатора (чтение инструкций, точное соблюдение времени), более единообразные условия проведения, возможность обработки данных на ЭВМ и др.
Основным недостатком групповых тестов является снижение возможностей у экспериментатора добиться взаимопонимания с испытуемыми, заинтересовать их. Кроме того, при групповом тестировании затруднен контроль за функциональным состоянием испытуемых, таким, как тревожность, утомление и др. Иногда для того, чтобы понять причины низких результатов по тесту какого-либо студента, следует провести дополнительное индивидуальное собеседование. Индивидуальные тесты лишены этих недостатков.
Тестирование широко используется в учебных заведениях для тренировочного, промежуточного и итогового контроля знаний, а также для обучения и самоподготовки учащихся.
Как уже указывалось, результаты тестирования могут выступать и как оценка качества преподавания, а также как оценка самих испытательных материалов /9,12,5,8/.
Не меньший интерес представляет изучение результатов тестирования для определения качества лекции или семинара /2/. Например, пусть в потоке у лектора несколько групп, и во всех проведено тестирование по заданному разделу курса. В тесте имеется определенное количество теоретических вопросов и практических задач. Каждый вопрос соответствует какой-либо теме. По этой же теме в тесте прилагается практическая задача. Если студенты во всех группах плохо справились с каким-либо теоретическим заданием и практической задачей к этому вопросу, следовательно, на лекции и на семинарах не уделено достаточного внимания этой теме (хотя необходимо учитывать, что группы неравномерны по контингенту).
В настоящее время наиболее часто используются следующие варианты тестовых контрольных мероприятий /5/:
"автоматический", когда обучаемый выполняет задание в непосредственном диалоге с ЭВМ, результаты сразу переносятся в блок обработки;
“полуавтоматический”, когда задания выполняются письменно, а ответы со специальных бланков вводятся в ЭВМ (решения не проверяются);
“автоматизированный”, когда задания выполняются письменно, решения проверяются преподавателем, а в ЭВМ вводятся результаты проверки.
Особенностью первых двух является отстраненность преподавателя от проверки результатов испытаний. В этом случае, казалось бы, их объективность повышается. Однако, при этом утрачивается значительная часть информации, которую можно было бы получить при анализе результатов тестирования с использованием человеческого фактора.
В “автоматическом” режиме такой потери можно избежать. Но при использовании такого метода на сегодняшний день возможно появление некоторых специфических проблем.
Отсутствие достаточного парка ЭВМ. Не все учебные заведения могут позволить себе оснастить классы дорогостоящим компьютерным оборудованием в достаточном количестве.
Отсутствие навыков пользователя ЭВМ у обучаемых. Иногда приходится работать со студентами, у которых по каким-то причинам нет достаточной компьютерной подготовки, или же они вообще никогда не общались с компьютером.
Сложность и дороговизна разработки программного обеспечения.
Существует проблема распознания ответов произвольной формы в открытых текстовых заданиях.
“Автоматический” вариант применяется на кафедре “ВТ и САПР” в СибАДИ при изучении таких дисциплин, как “Информатика” и “Теории вероятности и математической статистики”. По подробней об этом будет сказано дальше.
В “автоматизированном” варианте система тестирования включает в себя испытательный материал - в качестве инструмента измерений, преподавателя-проверяющего - в качестве независимого эксперта и компьютерную оболочку, выполняющую функции обработки результатов и учета ошибок измерения, выявления статистических закономерностей, сравнения результатов испытаний с прогнозируемыми, среднестатистическими, а также между собой.
Одним из наиболее актуальных направлений развития компьютерных технологий в образовании является разработка специализированных систем проверки знаний студентов. Их активное использование помогает поддерживать нужный образовательный уровень студентов, предоставляет преподавателю возможность уделять больше внимания индивидуальной работе со студентами /7/.
В порядке эксперимента в Московском Государственном Университете Экономики, Статистики и Информатики по некоторым дисциплинам было введено сетевое тестирование в качестве итогового контроля знаний. Сетевое тестирование там дало хорошие результаты. Как форма контрольных мероприятий, она особенно удобна при наличии доступа в систему с личного компьютера. В сравнении с традиционным опросом или экзаменом сетевое тестирование экономит время, активизирует процесс изучения материала. Также к достоинствам можно отнести простоту входа-выхода в систему; удобный интерфейс; минимальность информации, необходимой для регистрации студента (Ф.И.О., группа, № зачетной книжки, пароль); возможность автоматической (ручной) проверки правильности данных студентами ответов преподавателем в любое время; сохранность данных в системе (в течении любого необходимого периода времени); индивидуальность тестирования (студент вводит свой пароль, без которого никто другой войти и выполнить тестирование за него не сможет) /9/.
Положительной стороной данного опыта является то, что студенты находятся в одинаковых условиях, исключаются жалобы на необъективность экзаменатора.
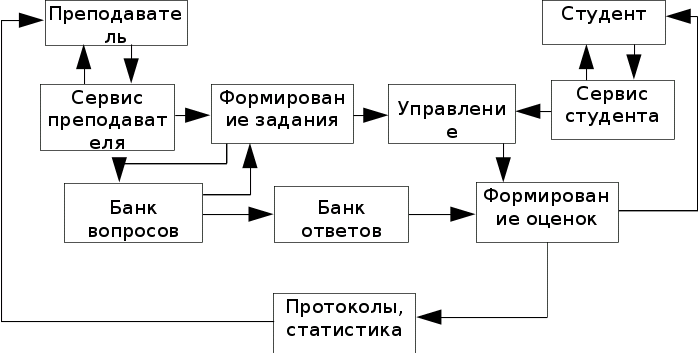
Приведем другой пример использования компьютеров при тестировании. Коллективом математиков МГУ была разработана компьютерная система контроля знаний, блок схема которой рассмотрена на рисунке 1.
Рассмотрим каждый блок в отдельности.
Банк вопросов. Хранилище всех вопросов и заданий, предлагаемых студентам при проверке знаний. По каждой теме в банк вводятся вопросы и задачи двух уровней минимального, рассчитанного на получение студентом удовлетворительной оценки, и повышенного, предназначенного для студентов, претендующих на более высокую оценку.
Для каждого из двух упомянутых уровней формулируется значительное число вопросов одинаковой трудности, которые покрывают все содержание теоретического курса и практических занятий по данной теме.

Рисунок 1 - Блок схема компьютерной системы контроля знаний
Вопросы и задачи заносятся в банк, как правило, вместе с несколькими (обычно 5-10) вариантами ответов. Эти варианты сообщаются студенту одновременно с формулировкой задания, и он должен выбрать из них верный. Возможно, что полным правильным ответом является набор некоторого количества приведенных вариантов.
Банк ответов. Содержит правильные ответы к каждому заданию, компьютер сверяет данный студентом ответ с содержанием банка.
Сервис преподавателя. Включает широкие возможности варьирования объема проверочной работы и условий ее проведения. Однако, преподаватель не может изменять формулировки вопросов и условия задач, а также оценки ответов на каждый из них.
Формирование задания. В соответствии с указаниями преподавателя этот блок создает сценарий проверочной работы для каждого студента, случайным образом выбирая из банка вопросов определяемое преподавателем количество заданий по каждой теме.
Сервис студента. Задания предъявляются последовательно, по одному и остаются на экране любое время в пределах отведенного. Отвечать на вопросы можно в произвольном порядке.
Блок управления. Обеспечивает нормальное функционирование системы проверки знаний и позволяет вводить в процессе работы необходимые коррективы.
Блок формирования оценок. Осуществляет сравнение ответа студента с содержанием банка ответов, и в соответствии с выбранным режимом оценивания, фиксирует оценку ответа в баллах.
Протоколы, статистика. Записывает в память компьютера фамилию студента, дату экзамена, распределение набранных баллов.
В такой системе, как утверждают авторы исключено угадывание и списывание. Подавляющее большинство вопросов сформулировано не традиционно, поэтому готовых ответов на них в учебниках нет, следовательно у студентов на экзамене появляется возможность разрешенного доступа к литературе.
В настоящее время компьютерное тестирование успешно используется также в СибАДИ на кафедре “ВТ и САПР” при изучении курса “Информатика” /8/. После определенного цикла лабораторных работ студенту предлагаются тесты по определенной теме данного курса. Тесты включают в себя вопросы по правильному написанию и оформлению пройденных программных операторов или конструкций. Так, например, в одной из предлагаемых задач теста необходимо указать правильное написание оператора ввода простой переменной. На экране представлено несколько вариантов ответов, среди которых может быть несколько правильных, а не только один.
Также тесты включают в себя небольшие фрагменты программ, просмотрев которые, студенты должны определить, что выполняет данный фрагмент, и вычислить значение, полученное в результате решения данной задачи. Для выполнения таких тестов студент должен знать не только конструкции программных операторов, но и уметь логически мыслить, а также анализировать ответы.
В разработанных тестах содержится по 10 вопросов. Для обработки тестов была написана контролирующая программа.
Во время контрольных мероприятий студент за компьютером отвечает на вопросы, высвечивающиеся на экране, и в конце тестирования получает оценку по пятибалльной шкале.
Раньше при старой системе проведения экзамена по курсу “Информатика” требовалось довольно много времени для опроса всех студентов. В настоящее время теоретической частью экзамена является тестирование. Для охвата всей темы в тесте предлагается 30-40 вопросов. По окончании проведения контроля оценку ставит сама машина.
На этой же кафедре (“ВТ и САПР”) метод компьютерного тестирования вот уже несколько лет применяется в курсе “Теории вероятности и математической статистики” /10/. На практическом занятии после обсуждения определений, формул и типовых задач студенты начинают самостоятельную работу с тестами. Тестирование рассчитано на 40 минут. При такой организации работы преподаватель выступает в роли консультанта, имеет возможность обсудить практически с каждым наиболее трудные моменты и ошибки. За отведенное время студент успевает разобрать 10-15 задач вместо обычных 3-4.
Рассмотрим еще один пример использования тестирования для контроля успеваемости студентов на примере кафедры общей и неорганической химии ГАНГ им. Губкина /2/. В данном случае без применения ЭВМ.
После проведения статистических исследований по изучению тестирования как метода педагогического контроля было выявлено, что в тесте должно быть 15-20 заданий. Они помогают определить, владеет ли студент основными понятиями, закономерностями, умеет ли правильно записать формулы, а также как полученные знания помогают ему при решении практических задач.
Задания предлагаются, как правило, с ответами в “закрытой форме”, когда нужно выбрать один из нескольких предложенных ответов или в “открытой форме”, когда нужно вставить пропущенное слово. В этом случае, когда ответ однозначен, он оценивается по двухбалльной системе - 1 или 0, если задание имеет несколько правильных ответов, возможны три оценки -0, 0.5 и 1. Введение в тест заданий с многовариантными ответами развивает у студента потребность в поиске разных путей решения задачи, что необходимо для достижения основной цели обучения в вузе - умения самостоятельно выбирать способ выполнения поставленной задачи.
Анализ полученных результатов показал, что в течение семестра у студентов, способных к обучению от теста к тесту увеличивается число полных ответов на задания с многовариантными ответами. Можно, конечно, вместо одного задания с многовариантным ответом дать несколько с альтернативным, но это значительно увеличит число заданий в тесте и позволит проверить только уровень знаний, но не будет способствовать использованию тестов для развития навыков.
По мнению исследователей такой методики раздел курса считается проработанным, если выполнено 70% заданий.
Необходимо заметить, что тесты, создаваемые с привлечением компьютерных технологий или же без них, должны быть максимально просты в использовании (особенно на ЭВМ), и не требовали специальной подготовки для работы на компьютере.
3. Формирование оценочной шкалы тестового
контроля
При создании тестов возникают определенные трудности в части формирования шкалы оценок правильности выполнения заданий студентами /11/.
Оценка знаний - один из существенных показателей, определяющих степень усвоения студентами учебного материала, развития мышления, самостоятельности. Кроме того, оценка служит одним из оснований для решения вопроса о назначении стипендии и ее размере (повышении за высокие учебные достижения), переводе с курса на курс, выдаче диплома. Оценка должна побуждать студента к повышению качества учебной деятельности /6/.
В существующих системах тестирования предполагается, что преподаватель-экзаменатор заранее выбирает определенную шкалу оценок, т.е. устанавливает, например, что, если испытуемый набирает от 31 до 50 баллов, то он получает оценку “отлично”, от 25 до 30 баллов -”хорошо”, от 20 до 24 - “удовлетворительно”, менее 20 - “неудовлетворительно”.
Очевидно, что при формировании такой шкалы оценок велика доля субъективизма, поскольку здесь многое будет зависеть от опыта, интуиции, компетентности, профессионализма преподавателя. Кроме того, требования, предъявляемые разными преподавателями к уровню знаний студентов, колеблются в очень широких пределах.
На сегодня еще часто встречается метод “проб и ошибок” при формировании шкалы оценок. Поэтому реальные знания учащегося не получают объективного отражения - как негативные последствия - снижается стимулирующее воздействие экзаменационной оценки на познавательную деятельность студента, на качество учебного процесса в целом.
В некоторых тестовых системах оценивание результатов производится только по факту правильности ответа, т.е. ход решения в задачах не проверяется и не оценивается /5/. Таковы, например, закрытые задания с однозначным числовым ответом или бинарные тесты. Для таких заданий в машину вводится ответ, который и сравнивается с эталоном. В данном случае, как показали исследования, наиболее удобной является десятибалльная шкала. Ее преимущества состоят в том, что она более “подробна”, чем пятибалльная, а также легко осуществляется психологическая адаптация, так как на практике многие преподаватели неформально расширяют пятибалльную шкалу до десятибалльной, используя дробные оценки (с минусом и плюсом).
Изучив различные информационные источники, я сделал вывод, что не существует четких рекомендаций по составлению шкал оценок, т.к. обучение студентов происходит по множеству дисциплин и невозможно по каждому разделу данной дисциплины рекомендовать однотипные шкалы оценок, а также по причине того, что по каждому предмету существует свое определенное количество часов для прохождения данного курса.
С моей точки зрения, необходимо, чтобы оценочную шкалу формировала группа преподавателей с целью выполнения одного из основных требований тестирования - объективности контроля.
4. Требования, предъявляемые к ПРЕПОДАВАТЕЛЮ при
составлении тестовых заданий
При составлении заданий теста следует соблюдать ряд правил, необходимых для создания надежного, сбалансированного инструмента оценки успешности овладения определенными учебными дисциплинами или их разделами. Так, необходимо проанализировать содержание заданий с позиции равной представленности в тесте разных учебных тем, понятий, действий и т.д. Тест не должен быть нагружен второстепенными терминами, несущественными деталями с акцентом на механическую память, которая может быть задействована, если в тест включать точные формулировки из учебника или фрагменты из него. Задания теста должны быть сформулированы четко, кратко и недвусмысленно, чтобы все учащиеся понимали смысл того, что у них спрашивается. Важно проследить, чтобы ни одно задание теста не могло служить подсказкой для ответа на другое /8/.
Варианты ответов на каждое задание должны подбираться таким образом, чтобы исключались возможности простой догадки или отбрасывания заведомо неподходящего ответа.
Важно выбирать наиболее приемлемую форму ответов на задания. Учитывая, что задаваемый вопрос должен быть сформулирован коротко, желательно также кратко и однозначно формулировать ответы. Например, удобна альтернативная форма ответов, когда учащийся должен подчеркнуть одно из перечисленных решений “да-нет”, “верно-неверно” /8/.
Задачи для тестов должны быть информативными, отрабатывать одно или несколько понятий формулы, определения и т.д. При этом тестовые задачи не могут быть слишком громоздкими или слишком простыми. Это не задачи для устного счета. Вариантов ответов на задачу должно быть, по возможности, не менее пяти. В качестве неверных ответов желательно использовать наиболее типичные ошибки /10/.
5. Достоинства и недостатки тестирования.
Одним из недостатков тестового метода контроля знаний студентов является то, что создание тестов, их унификация и анализ - это большая кропотливая работа /12/.
Чтобы довести тест до полной готовности к применению необходимо несколько лет собирать статистические данные, хотя бы с потоком студентов 100-120 человек /2/.
Возможно возникновение и других трудностей /11/. Довольно часто встречается значительный субъективизм в формировании содержания самих тестов, в отборе и формулировке тестовых вопросов, многое также зависит от конкретной тестовой системы, от того, сколько времени отводится на контроль знаний, от структуры включенных в тестовое задание вопросов и т.д.
Но не смотря на указанные недостатки тестирования, как метода педагогического контроля, его положительные качества во многом говорят о целесообразности использования такой технологии в учебных заведениях.
К достоинствам следует отнести:
как было сказано, большая объективность и, как следствие, большее позитивное стимулирующее воздействие на познавательную деятельность студента, учащегося;
исключается воздействие негативного влияния на результаты тестирования таких факторов как настроение, уровень квалификации и др. характеристики конкретного преподавателя;
ориентированность на современные технические средства на использование в среде компьютерных (автоматизированных) обучающих систем;
универсальность, охват всех стадий процесса обучения.
Отметим другие достоинства .Тестированный опрос многофункционален. Он позволяет быстрее понять, как дальше работать с данным студентом, а также помогает лектору скорректировать курс /2/.
В итоге следует заметить, что использование с 1 курса тестирования студентов поможет объективно провести аттестацию вуза, которая проводится с целью установления соответствия содержания, уровня и качества подготовки выпускников требованиям государственных образовательных стандартов.
Систематическое проведение контрольных мероприятий с помощью составленных на высшем уровне инструментов контроля позволяет ВУЗам формировать высококлассных специалистов в различных областях знаний, готовых применять накопленный багаж знаний в любую минуту.
Именно в таких специалистах и в настоящее время, и в будущем нуждается наша страна, чтобы с их помощью провести быстрое оздоровление экономики.
Список использованных источников
Айнштейн В.Г., Гольцова И.Г. Об адекватности экзаменационных оценок//Высшее образование в России. №3, 1993. С. 40-42. /8/
Аллахвердиева Д.Т. Опыт применения тестов для дидактической экспертизы обучения//Высшее образование в России. №2, 1993. С. 102-104. /7/
Антипенко Н.Ф. Информатика в инженерно-технических ВУЗах// Повышение эффективности учебно-воспитательного процесса: Новые идеи, формы, методы: Материалы научно-методической конференции. Омск, 23-27 марта 1998 г. - Омск: Изд-во СибАДИ, 1998. - 156 с. /10/
Кирилкин А. Можно ли бороться со “шпаргализацией”//Высшее образование в России. №2, 1995. С. 126-128. /5/
Куклин В.Ж., Мешалкин В.И., Наводнов В.Г., Савельев Б.А. О компьютерной технологии оценки качества знаний//Высшее образование в России. №3, 1993. С. 146-153. /9/
Рогинский В.М. Азбука педагогического труда (Пособие для начинающего преподавателя технического вуза). - М.: Высш.шк., 1990. - 112 с. /12/
Садовничий В.А. Компьютерная система проверки знаний студентов//Высшее образование в России. №3, 1994. С. 20-26. /6/
Смирнов С.Д. Педагогика и психология высшего образования: От деятельности к личности: Уч. пособие. М. 1995 - 271 с. /1/
Тихомиров В., Рубин Ю., Самойлов В., Шевченко К. Информационные технологии для будущих экономистов//Высшее образование в России. №1, 1999. С. 113-116. /2/
Тыркова Н.П. Методика преподавания теории вероятностей и математической статистики с использованием персональных компьютеров//Повышение эффективности учебно-воспитательного процесса: Новые идеи, формы, методы: Материалы научно-методической конференции. Омск, 23-27 марта 1998 г. - Омск: Изд-во СибАДИ, 1998. - 156 с. /11/
Хубаев Г. О построении шкалы оценок в системах тестирования//Высшее образование в России. №1, 1996. С. 122-125. /4/
Щапов А., Тихомирова Н., Ершиков С., Лобова Т. Тестовый контроль в системе рейтинга//Высшее образование в России. №3, 1995. С. 100-102. /3/