Абстрактно-дедуктивный метод введения и формирования математических понятий в 10-11 классах
Абстрактно-дедуктивный метод введения и формирования математических понятий в 10-11 кл.
С точки зрения математики в "абстрактно-дедуктивный метод" входят многие приемы доказательства. Абстрактно-дедуктивным методом установления истины и исследования связи между предложениями становится логическое доказательство.
Формирование понятий – сложный психологический процесс. Он осуществляется и протекает по следующей схеме:
ощущения -> восприятие -> представление -> понятие
Процесс формирования понятий состоит из мотивации введения понятия, выделения его существенных свойств, усвоения определения, применения понятия, понимания связи изучаемого понятия с ранее изученными понятиями. Формирование понятия осуществляется в несколько этапов:
1. мотивация (подчеркивается важность изучения понятия, активизируется целенаправленная деятельность школьников, возбуждается интерес к изучению понятия с помощью привлечения средств нематематического содержания, выполнения специальных упражнений, объясняющих необходимость развития математической теории);
2. выявление существенных свойств понятия (выполнение упражнений, где выделяются существенные свойства изучаемого понятия);
3. формулировка определения понятия (выполнение действий на распознавание объектов, принадлежащих понятию, конструирование объектов, относящихся к объему понятия).
Выделяются два пути формирования понятий (рис. 1).

Рис. 1. Пути формирования понятий
Объем понятия раскрывается с помощью классификации. Под классификацией часто понимают последовательное, многоступенчатое разбиение множества на классы с помощью некоторого свойства.
Классификация понятий - выяснение объема понятий, т.е. разделение множества объектов, составляющих объем родового понятия, на виды. Это разделение основано на сходстве объектов одного вида и отличии их от объектов других видов. Правильная классификация понятий предполагает соблюдение некоторых условий:
1. Классификация должна проводиться по определенному признаку, остающемуся неизменным в процессе классификации.
2. Понятия, получающиеся в результате классификации, должны быть взаимно независимыми, т.е. их пересечение должно быть пустым множеством.
3. Сумма объемов понятий, получающихся при классификации, должна равняться объему исходного понятия.
4. В процессе классификации необходимо переходить к ближайшему в данном родовом понятии виду.
Классификация натуральных чисел (рис. 2) и классификация треугольников по сторонам и углам (рис. 3), позволяют наблюдать выполнение этих четырех условий.

Рис. 2. Классификация натуральных чисел

Рис. 3. Классификация треугольников
В методическом смысле полезными в обучении математике могут оказаться и схемы, на которых изображена зависимость изучаемых объектов. Например, в курсе планиметрии рассмотрим класс четурехугольников (рис. 4):

Рис. 4. Схема четурехугольников
Заключительным этапом формирования понятия является его определение. Определить понятие - это значит перечислить его существенные свойства. Определение понятия - это предложение, в котором раскрывается содержание понятия, т. е. совокупность условий, необходимых и достаточных для выделения класса объектов, принадлежащих определяемому понятию.
Явные и неявные определения. Явные и неявные определения различаются в зависимости от своей структуры. Явные определения содержат прямое указание на существенные признаки определяемого понятия; определяемое и определяющее в них выражено четко и однозначно. Например, «Углом называется фигура, образованная двумя лучами, выходящими из одной точки»; «Прямоугольник есть параллелограмм с прямым углом».
Явное определение объектов, обозначение выражений, дескрипция («Выражение a + a +... + a (n слагаемых) ввиду его важности кратко обозначают na. Символ na обозначает сумму n слагаемых, каждое из которых равно a »).
Дескрипциями называются определения математических объектов путем указания их свойств (“То число, которое будучи умножено на длину диаметра, дает длину его окружности” - дескрипция числа p).
Неявные определения объектов не содержат четкого и однозначного определяющего элемента, в них содержание определяемого может быть установлено через некоторый контекст.
Номинальные и реальные определения. Все определения, которые применяются в математике и других науках, делятся на номинальные и реальные, в зависимости от того, что определяется - знаковое выражение (термин, символ) или реальный объект, обозначаемый им. С помощью номинального определения вводится новый термин, символ или выражение как сокращения для более сложных выражений из ранее введенных терминов или символов, или уточняется значение уже введенного термина или символа. Номинальные определения являются средством обогащения языка науки и уточнения семантики его выражений (“Квадратным корнем из неотрицательного числа а называется такое неотрицательное число х, что х2 = а”).
С помощью реальных определений фиксируются характеристические свойства самих определяемых объектов. Деление определений на номинальные и реальные не связано с их формальной структурой. Одно и то же определение можно представить и как номинальное, и как реальное. Например, пусть дано реальное определение: «Пятиугольник – есть плоская геометрическая фигура, ограниченная пятью сторонами». Это же определение можно переформулировать как номинальное: «Пятиугольником называется плоская геометрическая фигура, ограниченная пятью сторонами».
Контекстуальные и индуктивные определения. В математике начальных классов часто применяются контекстуальные определения, в которых определение нового неизвестного термина, понятия выясняется из смысла прочитанного, сводится к указанию содержащих его контекстов («больше», «меньше», «равно»).
Индуктивными называются определения, которые позволяют из сходных объектов (теории) путем применения к ним конкретных операций получать новые объекты. Например, по индукции вводит c я определение натурального числа в математике.
Аксиоматические определения. Если определения исходных понятий даются посредством исходных понятий некоторой теории через ее аксиомы, то это аксиоматические определения. При аксиоматическом построении математической теории некоторые понятия остаются неопределенными (например, точка, плоскость и расстояние в аксиоматике А.Н. Колмогорова). Определением этих понятий можно считать систему аксиом, описывающих их свойства.
Определения через род и видовые отличия. Классическими определениями называются определения через род и видовое отличие. Их можно рассматривать как частный вид номинальных определений. В них определяемое выделяется из предметов некоторой области, которая при этом явно упоминается в определении (род), путем указания характеристического свойства определяемого (видовое отличие). Например:
«Квадрат - прямоугольник с равными сторонами».
«Ромб - параллелограмм, у которого все стороны равны».
«Параллелограммом называется четырехугольник, противоположные стороны которого параллельны».
«Прямоугольник есть параллелограмм с прямым углом».
Общая схема определения “через ближайший род и видовое отличие” может быть записана на языке множеств (классов):
B = { x / x € A и P (x) }
(класс B состоит из объектов x, принадлежащих A - ближайшему роду и обладающих свойством P - видовое отличие) или на языке свойств:
x € B <=> x € A и P (x), или B (x) <=> A (x) и P(x)
(объект x обладает свойством В тогда и только тогда, когда он обладает свойством А и свойством Р).
В школьном курсе математике определения через род и видовое отличие: Длина ломаной. Периметр многоугольника (прямоугольника, квадрата). Квадрат. Куб. Круг. Радиус окружности (круга). Биссектриса угла. Развернутый угол. Прямой угол. Градус. Острый угол. Тупой угол. Виды треугольников по величине углов. Фигуры, симметричные относительно точки (центр симметрии). Перпендикулярные и параллельные прямые.
Генетические определения. Широкое распространение в школьном курсе математики получили генетические (конструктивные) определения, т.е. такие определения, в которых описывается или указывается способ его происхождения, образования, возникновения, построения. Генетические определения представляют собой разновидность определения через род и видовые отличия.
Например: «Сферой называется поверхность, полученная вращением полуокружности вокруг своего диаметра»; «Шар – это геометрическое тело, образованное вращением полуокружности вокруг диаметра».
Анализируя школьный курс математики, можно выделить следующие генетические определения понятий: Отрезок. Луч. Равносторонний треугольник. Координатный луч. Равные фигуры. Площадь прямоугольника. Площадь квадрата. Объем прямоугольного параллелепипеда. Окружность. Дуга окружности. Сектор. Угол и его элементы. Равные углы. Длина окружности. Площадь круга.
Определение через абстракцию. Определения, связанные с выделением такого типа объектов через установление между ними отношений равенства, равнозначности, тождества, получили название определений через абстракцию. В таком определении данное математическое понятие определяется как семейство классов эквивалентности по некоторому отношению эквивалентности. Например, натуральное число n - это характеристика класса эквивалентных конечных множеств, состоящих из n элементов.
Остенсивные определения - определения значений слов путем непосредственного показа, демонстрации предметов. Часто применяются в начальной школе (понятия отрезка, окружности, угла и др.). Постепенно с развитием математического опыта и накоплением определенного числа понятий на смену остенсивным понятиям приходят вербальные понятия. Вербальные понятия – это понятия, когда значения неизвестных выражений определяются через выражения, значения которых известны.
Определение называется корректным, если выполняются два условия:
а) отсутствует порочный круг и связанная с ним возможность исключения нововведенных терминов (“Решение уравнения - это то число, которое является его решением”);
б) отсутствует омонимия: каждый термин встречается не более одного раза в качестве определяемого.
Доказательство теоремы состоит в том, чтобы показать, что если выполняется условие, то из него логически следует заключение, т. е., приняв, что P истинно, в соответствии с правилами вывода показать, что G истинно, и тем самым получить возможность утвердить, что данное высказывание (теорема) истинно в целом.
Доказательство включает в себя три основных элемента:
1. Тезис (главная цель доказательства - установить истинность тезиса). Форма выражения тезиса - суждение.
2. Аргументы (основания) доказательства - положения, на которые опирается доказательство и из которых при условии их истинности необходимо следует истинность доказываемого тезиса. Форма выражения аргументов - суждения. Связывая аргументы, приходим к умозаключению, которые строятся по определенным правилам. Аргументы, на которые можно опереться при доказательстве: аксиомы, определения, ранее доказанные теоремы.
3. Демонстрация - логический процесс взаимосвязи суждений, в результате которого осуществляется переход от аргументов к тезису.
Известно, что имея некоторую (прямую) теорему (P => G), можно образовать новые теоремы, и не одну:
G => P - обратная;
__
P => G - противоположная;
__
G => P - контрапозитивная (обратная противоположной или противоположнообратная).
Между этими четырьмя видами теорем существует тесная связь:
__
а) (P =>G) и (G => P) - одновременно истинны или ложны;
__
б) (G =>P) и (P => G) - одновременно истинны или ложны.
Изучая какую-либо теорему школьного курса математики, учитель должен придерживаться следующей последовательности:
Постановка вопроса (создание проблемной ситуации).
Обращение к опыту учащихся.
Высказывание предположения.
Поиск возможных путей решения.
Доказательство найденного факта.
Проведение доказательства в максимально простой форме.
Установление зависимости доказанной теоремы от ранее известных.
Процесс изучения школьниками теоремы включает следующие этапы: мотивация изучения теоремы; ознакомление с фактом, отраженным в теореме; формулировка теоремы и выяснение смысла каждого слова в формулировке теоремы; усвоение содержания теоремы; запоминание формулировки теоремы; ознакомление со способом доказательства; доказательство теоремы; применение теоремы; установление связей теоремы с ранее изученными теоремами.
При доказательстве математических утверждений используются разные абстрактно-дедуктивные математические методы.
Для того, чтобы учащиеся овладели прямым и косвенным доказательствами, необходимо сформировать у них определенную последовательность умений:
- умение искать доказательство,
- умение проводить доказательство,
- умение оформлять доказательство теоремы.
Функции и графики
Пусть даны две переменные х и у. Говорят, что переменная у является функцией от переменной х, если задана такая зависимость между этими переменными, которая позволяет для каждого, значения х однозначно определить значение у.
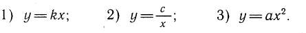
Примеры функций:
1. y = kx+b.
2. у= |х|.
3. у = х2.
4. у= 1/х, х>0
5. у = √х.
В каждом из этих примеров указана формула, позволяющая для каждого значения переменной х однозначно вычислить значение переменной у.
Для того чтобы задать функцию, нужно:
указать множество всех возможных значений переменной х. Это множество, которое мы будем обозначать D, называют областью определения функции;
указать правило, по которому каждому числу х из множества D сопоставляется число у, определяемое числом х. Это число у называется значением функции в точке х. Переменную х называют аргументом.
Функция обычно обозначается одной буквой, например f. Значение функции f в точке х обозначается f (х).
Итак, если задана функция
f,
то задано множество чисел D
и каждому числу x
D
сопоставлено число
y
= f(x).
Пусть задана функция f.
с областью определения D.
Рассмотрим координатную
плоскость. По оси абсцисс будем откладывать
значение аргумента, а по оси ординат —
значение функции. Для каждого числа x
D
можно вычислить y
= f(x)
и построить точку М
(х; f
(х)). Множество всех
таких точек образует кривую, называемую
графиком функции / в заданной системе
координат.
Итак, графиком функции f называется множество точек плоскости с координатами (х; f(х)), где х пробегает область определения функции f.
На рисунке 2 изображены графики функций, которые были приведены в качестве примера в начале параграфа.
Рассмотренные нами ранее простейшие зависимости определяют три важнейшие функции:

Эти функции являются стандартными примерами функций из трех классов, с которыми мы будем часто сталкиваться в дальнейшем: линейных, дробно-линейных и квадратичных.

Рис. 2
Для того чтобы определить переменную у как функцию от переменной х, нужно задать множество значений аргумента х и указать правило вычисления значений у в зависимости от х. Сначала обсудим, как задается правило вычисления значений. Во всех приведенных ранее примерах правило вычисления задавалось формулой, содержащей определенные операции.
Обучаясь математике, мы знакомились с различными действиями, операциями над числами. Например, используя только сложение и умножение, мы можем из числа х получить новые числа, скажем 3х, 3х + 5, х3 + 3х + 5 и т. д. Уже такого рода выражения, многочлены, могут служить для построения довольно богатого запаса функций.
Использование деления
сильно расширяет этот запас, позволяет
образовать выражения вида
и т. п. Функции, которые строятся как
отношения многочленов, называют
рациональными.
Операция деления отличается
от сложения и умножения тем, что она не
всегда определена — в знаменателе дроби
нельзя ставить нуль. Поэтому, например,
в выражение
можно подставить любые числа, кроме х=1
и х=-1,
при которых знаменатель равен нулю.
Появление новых операций и введение специальных знаков для их обозначения приводят к дальнейшему обогащению наших возможностей — извлечение корня, переход к модулю числа и т. п.
Например, пусть f
(х) равно числу —1,
если х<0,
равно нулю, если х = 0,
и равно 1, если х>0.
Этими словами мы
описали некоторое правило вычисления,
применимое к любому числу. Обозначим
число f
(х), найденное по этому
правилу, через sgn
х (от
латинского слова signum,
что означает «знак»).
Теперь мы с помощью символа для обозначения
новой операции можем строить новые
формулы, например

Если функция задана формулой и не указано никаких ограничений, ее областью определения считается множество всех значений аргумента, при которых выполнимы все операции, участвующие в этой формуле. Это множество называют естественной областью определения данной функции.
Так, естественной областью
определения функции
является
множество чисел х, для
которых
,
т. е. промежуток [— 1; 1].
Еще раз обратим внимание на то, что две важные операции — деление и извлечение корня четной степени — выполнимы не всегда (нельзя разделить на нуль, нельзя извлечь корень четной степени из отрицательного числа). Это ограничение надо помнить и учитывать при нахождении области определения функции, в задании которой участвуют указанные операции.
Значения функции
вычисляются
путем последовательного выполнения
операций: возведение в квадрат, прибавление
единицы, извлечение квадратного корня.
Можно сказать, что функция
является «сложной функцией», составленной
из более простых: и=х2,
u
= u+l,
у=√u.
Итак, правила вычисления значений функции могут задаваться формулами, полученными с помощью известных нам ранее действий над числами.
Другой важный способ задания функции — табличный. В таблице можно непосредственно указать значения функции, однако лишь для конечного набора значений аргумента.
Вычисление значений функции может быть запрограммировано в калькуляторе. Вычислительное устройство может служить для вас способом задания новой функции. Современные вычислительные машины снабжены клавишами, позволяющими немедленно вычислить значения многих полезных функций.
Наконец, часто функцию задают с помощью графика. Графический способ задания функции очень удобен: он дает возможность наглядно представить свойства функции. Приведем примеры.
На рисунке 3 изображены вольтамперные характеристики некоторых электрических элементов, т.е. графически заданные зависимости напряжения от силы тока. Они получены не по готовой формуле, а экспериментально.
На рисунке 4 изображена кардиограмма работы человеческого сердца. Ее можно считать графиком изменения электрического потенциала на волокнах сердечной мышцы во время сердечного цикла.

Рассмотрим функцию y = f(x), график которой изображен на схеме II. Что можно сказать о свойствах функции f, глядя на график?
Спроектируем точки графика на ось х. Мы получим отрезок [а; б]. Этот промежуток является областью определения функции. Действительно, каждая прямая, параллельная оси у, проходящая через точку этого отрезка, пересекает график ровно в одной точке; вертикальные прямые, проходящие через точки х вне отрезка [а; б], график не пересекают.
Рассмотрим точки пересечения графика с осью х. На чертеже это х>1>, х>2>, х>3>, х>4>. В этих точках функция обращается в нуль. Числа х>1>, х>2>, х>3>, х>4>.являются решениями уравнения f(x) = 0 и называются корнями функции (или ее нулями).
Корни функции f разбивают область определения на промежутки, в каждом из которых функция сохраняет постоянный знак. Функция положительна на промежутках [а;х>1>), (х>1>;х>2>), (х>4>;b] и отрицательна на промежутках (х>1>;х>2>), (х>3>;х>4>).
Объединение промежутков представляет [а;х>1>), (х>2>;х>3>), и (х>4>;b] собой решение неравенства f (х) > 0, а объединение промежутков (х>1>; х>2>) и (х>3>;х>4>).— решение неравенства f(x)<0.
4) График функции можно сравнить с профилем дороги, которая то поднимается в гору, то опускается в ложбину. Самые верхние и самые нижние точки этой дороги («вершины») играют важную роль при описании графика. Они соответствуют значениям аргумента, обозначенным на графике т>1>, т>2>, т>3>.
Производная и ее применение
Часто нас интересует не значение какой-либо величины, а ее изменение. Например, сила упругости пружины пропорциональна удлинению пружины; работа есть изменение энергии; средняя скорость — это отношение перемещения к промежутку времени, за который было совершено это перемещение, и т. д.
При сравнении значения функции f в некоторой фиксированной точке х>0> со значениями этой функции в различных точках х, лежащих в окрестности х>0>, удобно выражать разность f (х) — f (х>0>) через разность х — х>0>, пользуясь понятиями «приращение аргумента» и «приращение функции». Объясним их смысл.
Пусть х — произвольная точка, лежащая в некоторой окрестности фиксированной точки х>0>. Разность х — х>0> называется приращением независимой переменной (или приращением аргумента) в точке х>0> и обозначается ∆х;. Таким образом,
∆х=х-х>0>,
откуда следует, что х=х>0>+∆х
Говорят также, что Первоначальное значение аргумента х>0> получило приращение ∆х. Вследствие этого значение функции f изменится на величину
f(x) – f(x>0>) = f(x>0>+∆х) – f(x>0>)
Эта разность называется приращением функции f в точке х>0>, соответствующим приращению ∆х, и обозначается символом ∆f (читается «дельта эф»), т. е. по определению
∆f = f(x>0>+∆х) – f(x>0>)
откуда
f(x) = f(x>0>+∆х) = f(x>0>) ∆f
Обратите внимание: при фиксированном x>0> приращение ∆f есть функция от ∆х.
∆f называют также приращением зависимой переменной и обозначают через ∆у для функции y = f(x).
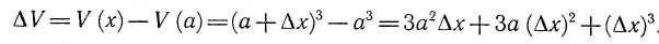
Пример: Дан куб с ребром а. Выразим погрешность ∆V, допущенную при вычислении объема этого куба, если погрешность при измерении длины ребра равна ∆х. По определению приращения х = a + ∆x, тогда

Рассмотрим график функции y = f(x). Геометрический смысл приращений ∆х и ∆f (приращение ∆f обозначают также ∆у) можно понять, рассмотрев рисунок 80.
Прямую l,
проходящую через любые две точки графика
функции l,
называют секущей к графику f.
Угловой коэффициент k
секущей, проходящей через точки (х>0>;
y0) и (х;
у), равен
.
Его удобно выразить через приращения ∆х и ∆у.

(Напомним, что угловой коэффициент прямой y = kx+b равен тангенсу угла а, который эта прямая образует с осью абсцисс.)
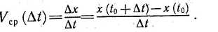
С помощью введенных обозначений приращений удобно также выражать среднюю скорость движения за промежуток времени [t>0>;t>0>+∆t]. Если точка движется по прямой и известна ее координата х(t), то

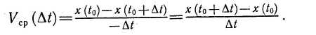
Эта формула верна и для ∆t<0 (для промежутка [t>0> + ∆t; t>0>]). В самом деле, в этом случае перемещение точки равно х (t>0>) — x(t>0> + ∆x); длительность промежутка времени равна —∆t, и, следовательно,

Аналогично выражение
называют
средней скоростью изменения функции
на промежутке с концами x>0>
и x>0>+∆х.
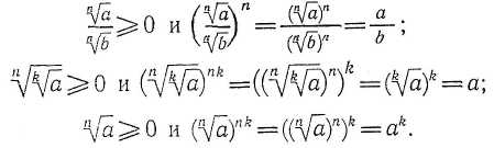
Первообразная и интеграл
Вспомним пример из механики. Если в начальный момент времени t = 0 скорость тела равна 0, т. е. u (0) = 0, то при свободном падении тело к моменту времени t пройдет путь
(1)
Формула (1) была найдена Галилеем экспериментально. Дифференцированием находим скорость:
(2)
Второе дифференцирование дает ускорение:

т. е. ускорение постоянно.
Более типично для механики иное положение: известно ускорение точки a(t) (в нашем случае оно постоянно), требуется найти закон изменения скорости u (t), а также найти координату s (t). Иными словами, по заданной производной u′(t), равной a (t), надо найти u (t), а затем по производной s′(t), равной u (t), найти s (t).
Для решения таких задач служит операция интегрирования, обратная операции дифференцирования.
Определение. Функция F называется первообразной для функции f на заданном промежутке, если для всех х из этого промежутка
F'(x)=f(x).
Показательная и логарифмическая функции
1. Определение корня. С понятием квадратного корня из числа, а вы уже знакомы: это такое число, квадрат которого равен а. Аналогично определяется корень п-й степени из числа а, где п — произвольное натуральное число.
Определение. Корнем п-й степени из числа а называется такое число, п-я степень которого равна а.
Пример 1. Корень третьей степени из числа 27 равен 3, так как З3 = 27. Числа 2 и - 2 являются корнями шестой степени из числа 64, поскольку 26 = 64 и (- 2)6 = 64.
Согласно данному определению
корень п-я степени
из числа а —
это решение уравнения хп
= а. Число корней этого
уравнения зависит от п
и а.
Рассмотрим функцию f
(х) = хп.
Как известно, на
промежутке [0; ∞) эта функция при любом
п возрастает
и принимает все значения из промежутка
[0; ∞). По теореме о корне уравнение хп
= а для любого а
[0; оо) имеет неотрицательный корень и
притом только один. Его называют
арифметическим корнем
п-й степени из числа an
обозначают
;
число п называется
показателем корня, а
само число а —
подкоренным выражением.
Знак корня √ называют
также радикалом.
Определение. Арифметическим корнем п-й степени из числа а называют неотрицательное число, п-я степень которого равна а.
При четных п
функция f(x)
= xn
четна. Отсюда следует,
что если а>0, то уравнение хп
= а, кроме корня х>1>
=
,
имеет также корень х>2>
= -
,.
Если а
= 0, то корень один: х =
0; если а<0, то это
уравнение корней не имеет, поскольку
четная степень любого числа неотрицательна.
Итак, при четном п существуют два корня п-й степени из любого положительного числа а; корень п-й степени из числа 0 равен нулю; корней -четной степени из отрицательных чисел не существует.
При нечетных значениях п
функция f(x)
= xn
возрастает на всей
числовой прямой; ее область значений —
множество всех действительных чисел.
Применяя теорему о корне, находим, что
уравнение хп
— а имеет один корень
при любом а и, в частности, при а<0. Этот
корень для любого значения а
(в том числе и а
отрицательного)
обозначают

Итак, при нечетном п существует корень п-й степени из любого числа а и притом только один.
Для корней нечетной степени справедливо равенство

В самом деле,

т.е. число —
есть
корень n-й
степени из — а. Но
такой корень при нечетном п
единственный.
Следовательно,

Равенство
(при нечетном п)
позволяет выразить корень нечетной
степени из отрицательного числа через
арифметический корень той же степени.
Например,
.
Замечание. Для любого действительного х

Замечание.
Удобно считать, что корень первой степени
из числа а равен
а. Как вы уже знаете, корень второй
степени из числа называют квадратным
корнем, а показатель
2 корня при записи опускают (например,
корень квадратный из 7 обозначают просто
)
Корень третьей степени называют
кубическим корнем.
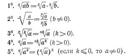
2. Основные свойства корней. Напомним известные вам свойства арифметических корней л-й степени.
Для любого натурального п, целого k и любых неотрицательных чисел а и b выполнены равенства:

Докажем свойство 10.
По определению
—
это такое неотрицательное число, п-я
степень которого
равна ab.
Число
·
неотрицательно.
Поэтому достаточно проверить справедливость
равенства (
·
)п=ab
которое вытекает из
свойств степени с натуральным показателем
и определения корня n-й
степени: (
·
)п=(
)n(
)n=ab
Аналогично доказываются следующие три свойства:

Докажем теперь свойство
50.
Заметим, что n-я
степень числа (
)k
равна ak:

По определению арифметического
корня (
)k=
k
(так как
).