Линия "Формализация и моделирование" учебного курса "Информатика"
1
МИНИСТЕРСТВО ОБЩЕГО И ПРОФФЕССИОНАЛЬНОГО ОБРАЗОВАНИЯ РОССИЙСКОЙ ФЕДЕРАЦИИ
НОВОСИБИРСКИЙ ГОСУДАРСТВЕННЫЙ ПЕДАГОГИЧЕСКИЙ УНИВЕРСИТЕТ
КАФЕДРА ИНФОРМАТИКИ И ДИСКРЕТНОЙ МАТЕМАТИКИ
Купина Лариса Викторовна
студентка 5 курса специальность «Информатика»
математического факультета
Линия «Формализация и моделирование» учебного курса «Информатика»
Курсовая
Научный руководитель:
Гришаева Алевтина Петровна
Новосибирск 2004
СОДЕРЖАНИЕ
|
Содержание |
|
Введение |
|
Содержание линии «Моделирование и формализация» |
|
Подходы к раскрытию понятий «информационная модель», «информационное моделирование» |
|
4.1. Методические рекомендации по изложению теоретического материала . |
|
Информационное моделирование и электронные таблицы |
|
Подходы к раскрытию понятий «информационная модель», «информационное моделирование». |
|
Табличные информационные модели. |
|
Элементы системного анализа в курсе информатики |
|
Линия моделирования и базы данных |
|
Проектирование баз данных |
|
Информационное моделирование и электронные таблицы |
|
Моделирование знаний в курсе информатики |
|
Требования к знаниям и умениям учащихся по линии формализации и моделирования |
|
Примерное содержание и планирование линии «Формализация и моделирование» в базовом курсе средней школы по учебнику Макаровой Н.В. «информатика 7 – 9 кл.» |
|
Урок по изучению понятия модели |
|
Заключение |
|
схема1 «Содержательная структура линии формализация и моделирование») |
|
Список использованной литературы. |
ВВЕДЕНИЕ
В настоящее время информатика и информационные технологии мощным потоком влились в нашу жизнь. Трудно назвать другую область человеческой деятельности, которая развивалась бы так стремительно и порождала такое разнообразие проблем, как информатизация и компьютеризация общества.
История развития информационных технологий характеризуется быстрым изменением концептуальных представлений, технических средств, методов и сфер применения. В современном мире весьма актуальным для большинства людей стало умение пользоваться информационными технологиями. Проникновение ПК во все сферы жизни общества убеждает в том, что культура общения с ПК становится частью общей культуры человека – термины «Word», «Excel», «Internet» стали такими же обыденными, как «телефон», «телеграф», «телевизор». Но далеко не все понимают разницу между простым «нажиманием клавиш» и целенаправленной работой на компьютере, умением четко поставить задачу, и правильно подойдя к ее решению, используя программные средства (наиболее подходящие) прийти к ожидаемому результату.
Курс информатики был введен в школу как средство обеспечения компьютерной грамотности учащихся, подготовки школьников к практической деятельности, к труду в информационном обществе.
Важной содержательной линией в курсе информатике является линия «Формализация и моделирование».
Перед учителем информатики стоят различные цели. Одной из них является развитие логического и алгоритмического мышления школьников. Правильный подход к преподаванию линии «Формализация и моделирование» позволит оказать существенное влияние на общее развитие и формирование мировоззрения учащихся, а также решить многие задачи в полном их объеме.
Уроки, ориентированные на моделирование, должны выполнять развивающую, общеобразовательную функцию, поскольку при их изучении учащиеся продолжают знакомство еще с одним методом познания окружающей действительности – методом компьютерного моделирования.
В своей работе :
попытаюсь отобразить наиболее существенные стороны линии «Формализация и моделирование»;
представлю разработку урока по изучению понятия «модель» на примере математической модели;
представлю изложение темы «Введение в информационное моделирование» и др.
Содержание линии «Моделирование и формализация»
В обязательном минимуме содержания образования по информатике присутствует линия «Моделирование и формализация» Содержание этой линии определено следующим перечнем понятий:
моделирование как метод познания,
формализация,
материальные и информационные модели,
информационное моделирование,
основные типы информационных моделей.
Линия моделирования, наряду с линией информации и информационных процессов, является теоретической основой базового курса информатики. Дальнейшее развитие общеобразовательного курса информатики должно быть связано, прежде всего, с углублением этих содержательных линий.
Содержательная структура линии формализации и моделирования представлена на схеме1. ( схема1 )
Подходы к раскрытию понятий «информационная модель», «информационное моделирование»
Подходы к раскрытию темы в учебной литературе на примере учебника Макаровой Н.В. «Информатика 7-9 кл.»
Место, которое занимает тема информационного моделирования и информационной модели, в учебнике Макаровой Н.В. 7-9 кл. отличается объемностью и доступностью теоретического материала, который легко воспринимается и запоминается обучающимися. Обилие примеров, рисунков, схем, таблиц в учебнике и простота изложения материала способствует более легкому усвоению даже очень сложных для учеников тем. Так же к учебнику прилагается задачник по моделированию, в котором сформулированы понятия моделирования в разных программных средах (графический редактор, текстовый процессор, электронные таблицы, БД). В этих учебных пособиях полностью отображается образовательный минимум содержания образования линии «Моделирование и формализация».
В учебнике изучение моделирования основано по принципу «от простого к сложному» - с представления об объектах. Для того, чтобы перейти к моделям, нужно четко представлять себе что такое сам объект, его свойства и характеристики. Когда учащийся отчетливо видит объект, ему не составляет особого труда разобраться в модели, и форме ее представления.
Формирование представления о моделировании и формализации у обучающихся можно начать со следующего рассказа:
В своей деятельности — художественной, научной, практической — человек очень часто создает некоторый образ того объекта (процесса или явления), с которым ему приходится или придется иметь дело, — модель этого объекта. Создание этого образа всегда преследует некую цель. Модель важна не сама по себе, а как инструмент, облегчающий познание или наглядное представление.
Например:
• модель самолета предназначается для исследования его полетных свойств;
• макет будущей застройки района создается с целью оценки предлагаемого архитектурного решения;
• схема, чертеж или рисунок изделия используется для его изготовления;
• макет строения кристаллической решетки молекул какого-либо вещества нужен для наглядного представления расположения атомов в пространстве;
• с помощью текста, описывающего явление или процесс (процесс — это последовательная смена состояний объекта) передаются сведения об этом явлении или процессе другим людям.
Замену реального объекта, явления или процесса его подходящей копией называют моделированием.
Например, когда вы описываете внешность какого-то человека или объясняете прохожему, как пройти в нужное ему место, вы занимаетесь моделированием (строите информационную модель). Когда вы создаете замки из песка на берегу реки или записываете условие задачи в виде формул, вы тоже моделируете.
Прежде чем построить модель объекта (явления, процесса), необходимо выделить составляющие его элементы и связи между ними (провести системный анализ) и «перевести» (отобразить) полученную структуру в какую-либо заранее определенную форму— формализовать информацию. Формализация — это процесс выделения и перевода внутренней структуры предмета, явления или процесса в определенную информационную структуру — форму. Моделирование любой системы невозможно без предварительной формализации. По сути, формализация — это первый и очень важный этап процесса моделирования.
Само слово «модель» вам, конечно, не в новинку. С моделями вы имели дело на уроках физики, химии, биологии, географии, ведь практически любое наглядное пособие является моделью какого-либо фрагмента окружающей действительности или нашего представления о ней: карта и глобус, муляжи и рисунки, схемы и таблицы, периодическая система элементов Д. И. Менделеева и пр.
Модели отражают самое существенное в изучаемых объектах, процессах и явлениях, исходя из поставленной цели моделирования. В этом главная особенность и главное назначение моделей.
Например, из курса географии вы знаете, что силу подземных толчков принято измерять по десятибалльной шкале. По сути, мы имеем дело с простейшей моделью оценки силы этого природного явления. Действительно, отношение «сильнее», действующее в реальном мире, здесь заменено на отношение «больше», имеющее смысл в множестве натуральных чисел: слабейшему подземному точку соответствует число 1, а сильнейшему —10. Полученное упорядоченное множество из десяти чисел — это модель, дающая представление о силе подземных толчков.
Натуральные числа от 111 до 120 вместе с отношением «больше» также можно рассматривать как модель того же природного явления. Вместо целых чисел можно рассмотреть дробные с тем же отношением «больше», например: 1/11, 1/10, 1/9, ..., 1/2.
Наконец, числа можно заменить геометрическими фигурами, например окружностями с единым центром, а отношение «сильнее» заменить отношением «содержать». Тогда совокупность десяти концентрических окружностей также будет являться моделью, с помощью которой можно оценить силу подземных толчков.
Рассмотренный пример позволяет сделать следующие выводы:
1. Не имеет значения, какие объекты выбираются в качестве моделирующих. Важно лишь то, что с их помощью удается отразить наиболее существенные черты (признаки) изучаемого явления или процесса.
2. Никакая модель не может заменить само явление. Но при решении конкретной задачи, когда нас интересует определенное свойство изучаемого процесса или явления, модель оказывается полезным, а подчас и единственным инструментом исследования.
Таким образом, под моделью мы будем понимать совокупность объектов (понятий, свойств, признаков, знаков, геометрических элементов, материальных предметов) и отношений между ними (называемых моделирующими), которые выражают существенные с точки зрения цели моделирования стороны изучаемого объекта, явления или процесса.
Например, такой литературный жанр, как басня или притча, имеет непосредственное отношение к понятию модели, поскольку смысл этого жанра состоит в переносе реальных отношений между людьми на отношения между животными, между вымышленными людьми и пр. Более того, всякое литературное произведение может рассматриваться как модель (информационная), ибо фокусирует внимание читателя на определенных сторонах человеческой жизни.
Строгие правила построения модели сформулировать трудно. Однако человечество накопило богатый опыт в этой сфере деятельности. Можно без преувеличения сказать, что все образование (и школьное, и высшее) — это изучение тех или иных моделей, а также приемов их использования. Так, например, в школьном курсе физики рассматривается много разнообразных уравнений, которые, по сути, представляют собой модели изучаемых явлений или процессов. Если вас просят решить физическую задачу, то вы начинаете, как правило, с поиска подходящего уравнения, т. е. с подбора модели, которая отвечает требованиям вашей задачи. Вы уже заранее предполагаете, что нужно искать модель в виде уравнения.
Мы видим, что и Ньютон в поисках модели, описывающей движение небесных тел, заранее искал ее в виде некоторой математической формулы. Но Тихо Браге составил модель движения планет в виде таблиц, а Кеплер — в виде описаний законов их движения.
Вид модели (макет, математическая модель, последовательность натуральных чисел, текст, таблица, схема, рисунок, система понятий и пр.) должен быть (если это возможно) определен заранее, до исследования явления. Исследование же должно дать конкретную модель данного вида.
Как мы видели, для того чтобы построить модель, которая описывала бы движение планет Солнечной системы, Ньютон ввел универсальное понятие тяготения. Рассмотрим некоторые элементарные факты современного нам мира и попытаемся описать их с единой точки зрения.
Пример 1. Пусть нам надо решить, как расположить мебель в комнате. Грамотно это можно сделать так: заготовить бумажки, воспроизводящие в масштабе размеры мебели, начертить план комнаты в том же масштабе и затем, передвигая макеты дивана, шкафа и прочих предметов, выявить их оптимальное расположение в данной комнате. Если мы найдем удовлетворяющее нас решение, то его можно «переносить» и на реальные объекты.
Пример 2. Всем более чем знакомо явление инфляции. Что это такое? Поясним на примере, моделирующем это явление. Предположим, у вас есть 100 яблок и вы хотите обменять их на нужные вам вещи. Носить все время с собой яблоки неудобно, но можно изготовить 100 бумажек, на каждой из которых написать слово «яблоко». Вы можете спокойно договориться о нужном для вас обмене, предъявляя не настоящие яблоки, а эти бумажки. Но вдруг у вас, не дай Бог, появилась мысль изготовить не 100, а 200 бумажек.
Какое-то время вам удается скрывать, что на самом деле у вас только 100, а не 200 яблок. Но не все вечно в этой жизни, обман раскрылся, и все «держатели» ваших бумажек могут получить уже не по целому яблоку, а только по половине. Знакомая картина.
Что общего между этими, казалось бы, совершенно различными примерами?
Если приглядеться повнимательнее, то можно увидеть, что в них использован один и тот же прием: замена предметов некоторыми знаками, некоторая «игра» с этими знаками, а затем попытка снова вернуться к реальности — с положительным результатом в первом примере, с отрицательным — во втором.
Подобных примеров можно привести множество.
Самым существенным моментом в них является замена реального предмета знаком или совокупностью знаков. Цель этих знаков—что-то сообщить о предмете, выделить его из множества других предметов. Говоря современным языком, знак должен нести информацию о предмете.
Таким образом, мы видим, что понятие информации, так же как и понятие тяготения, возникло из желания найти возможно более общие закономерности описания явлений внешнего мира.
Вопросы
1. Если в примере с землетрясением выбрать не десятибалльную, а пятнадцатибалльную или стобалльную шкалу, может ли она быть моделью для измерения силы подземных толчков?
2. Поясните разницу между технической моделью парусника (макет) и информационной моделью парусника (словесное описание, чертеж).
3. В чем сходство и различие процессов формализации и моделирования?
4. Могут ли разные явления описываться одной и той же моделью? Если да, приведите пример.
5. Можно ли по модели одного вида построить модель того же явления, но другого вида?
6. Вы имеете текст, описывающий некоторое природное явление (например, радугу). Можете ли вы построить по описанию математическую модель явления?
7. Дана математическая модель (например, Р = 2а + 2b). Можно ли по математической модели сразу построить графическую модель или предварительно необходимо сделать что-то еще (проанализировать математическую модель, построить мысленную модель, нарисовать «промежуточную» схему или рисунок и пр.)?
Упражнения
1. Постройте информационные модели вашей комнаты (например, графическое представление и словесное описание). Какую из этих моделей вам легче построить?
2. Постройте какую-либо математическую модель вашей комнаты, например, с целью вычисления объема комнаты или определения того, какой процент площади пола свободен от мебели.
3. Рассмотрим в качестве явления какую-нибудь мелодию. В каком виде можно построить модель данного явления? Постройте эту модель.
4. Постройте несколько моделей движения маятниковых часов. Сравните эти модели.
5. Приведите примеры реализации отношения «больше» в разных предметных областях. Какую из указанных вами реализации данного отношения можно рассматривать как модель другой реализации этого же отношения?
6. Еще раз прочитайте вопрос 6. Если можно, постройте графическую модель. Объясните ваши действия.
7. Формализуйте условие следующей задачи: арбуз весит три килограмма и еще пол-арбуза. Сколько весит арбуз?
Большое внимание в учебнике уделяется разделу «Представление о системе объектов». В этом разделе раскрываются понятия отношений между объектами, связи объектов и вводится понятие о системе объектов (связи и отношения между элементами системы, среда, целостность). Очень доступно с точки зрения учеников излагается тема «Информационная модель системы».
Далее идет раздел «Основы классификации объектов». Изучив этот раздел учащиеся узнают:
- что такое классы и подклассы;
- что такое основание для классификации;
- наследование свойств;
- для чего нужна классификация объектов;
- как провести классификацию;
- как классифицируются компьютерные документы.
В разделе «Классификация моделей» узнают:
- что может служить основанием для классификации моделей;
- классификацию моделей по области использования, способу представления;
- каковы формы представления информационных моделей;
- что такое компьютерная модель.
В разделе «Основные этапы моделирования » изучают:
- что такое моделирование;
- что может служить прототипом для моделирования;
- место моделирования в деятельности человека;
- основные этапы моделирования;
- что такое компьютерная модель;
- что такое компьютерный эксперимент.

Методические рекомендации по изложению теоретического материала
Изучаемые вопросы:
• Место моделирования в базовом курсе.
• Понятие модели; типы информационных моделей.
• Что такое формализация.
• Табличная форма информационных моделей.
Снова вернемся к схеме 1, отражающей содержательную структуру и систему понятий линии «Формализация и моделирование». Как видно из схемы, имеется достаточно обширная область приложений темы моделирования в курсе информатики.
Прежде чем перейти к прикладным вопросам моделирования, необходим вводный разговор, обсуждение некоторых общих понятий, в частности тех, которые обозначены в обязательном минимуме. Для этого в учебном плане должно быть выделено определенное время под тему «Введение в информационное моделирование». Для учителя здесь возникают проблемы как содержательного, так и методического характера, связанные с глубоким научным уровнем понятий, относящихся к этой теме. Методика информационного моделирования связана с вопросами системологии, системного анализа. Степень глубины изучения этих вопросов существенно зависит от уровня подготовленности школьников. В возрасте 14 — 15 лет дети еще с трудом воспринимают абстрактные, обобщенные понятия. Поэтому раскрытие таких понятий должно опираться на простые, доступные ученикам примеры.
В зависимости от количества учебных часов, от уровня подготовленности учеников вопросы формализации и моделирования могут изучаться с разной степенью подробности. Ниже будут рассмотрены три уровня изучения: первый — минимальный, второй — дополненный, третий — углубленный уровень.
В соответствии с тремя отмеченными уровнями можно выделить три типа задач из области информационного моделирования, которые по возрастанию степени сложности для восприятия учащимися располагаются в таком порядке:
1) дана информационная модель объекта; научиться ее понимать, делать выводы, использовать для решения задач;
2) дано множество несистематизированных данных о реальном объекте (системе, процессе); систематизировать и, таким образом, получить информационную модель;
3) дан реальный объект (процесс, система); построить информационную модель, реализовать ее на компьютере, использовать для практических целей.
ИНФОРМАЦИОННОЕ МОДЕЛИРОВАНИЕ
Предметом изучения информатики является информационное моделирование. Тема натурных моделей затрагивается лишь в самом начале, в связи с определением понятия модели и разделением моделей на материальные (натурные) и информационные. В свою очередь, информационное моделирование делится на моделирование объектов и процессов и моделирование знаний. Тема моделирования знаний — это тема искусственного интеллекта, разработка которой в базовом курсе информатики пока носит поисковый характер. Классификация моделей объектов и процессов производится по форме представления. По этому признаку модели делятся на графические, вербальные, табличные, математические и объектно-информационные. Последний тип моделей возник и развивается в компьютерных технологиях: в объектно-ориентированном программировании и современном системном и прикладном ПО. Развитие темы объектного моделирования также можно отнести к поисковому направлению в базовом курсе.
Понятие модели. Типы информационных моделей.
Разговор с учениками по данной теме можно вести в форме беседы. Сам термин «модель» большинству из них знаком. Попросив учеников привести примеры каких-нибудь известных им моделей, учитель наверняка услышит в ответ: «модель автомобиля», «модель самолета» и другие технические примеры. Хотя технические модели не являются предметом изучения информатики, все же стоит остановиться на их обсуждении. Информатика занимается информационными моделями. Однако между понятиями материальной (натурной) и информационной модели есть аналогии. Примеры материальных моделей для учеников более понятны и наглядны. Обсудив на таких примерах некоторые общие свойства моделей, можно будет перейти к разговору о свойствах информационных моделей.
Расширив список натурных моделей (глобус, манекен, макет застройки города и др.), следует обсудить их общие свойства. Все эти модели воспроизводят объект-оригинал в каком-то упрощенном виде. Часто модель воспроизводит только форму реального объекта в уменьшенном масштабе. Могут быть модели, воспроизводящие какие-то функции объекта. Например, заводной автомобильчик может ездить, модель корабля может плавать. Из обобщения всего сказанного следует определение:
Модель — упрощенное подобие реального объекта или процесса.
В любом случае модель не повторяет всех свойств реального объекта, а лишь только те, которые требуются для ее будущего применения. Поэтому важнейшим понятием в моделировании является понятие цели. Цель моделирования — это назначение будущей модели. Цель определяет те свойства объекта-оригинала, которые должны быть воспроизведены в модели.
Полезно отметить, что моделировать можно не только материальные объекты, но и процессы. Например, конструкторы авиационной техники используют аэродинамическую трубу для воспроизведения на земле условий полета самолета. В такой трубе корпус самолета обдувается воздушным потоком. Создается модель полета самолета, т. е. условия, подобные тем, что происходят в реальном полете. На такой модели измеряются нагрузки на корпусе, исследуется прочность самолета и пр. С моделями физических процессов работают физики-экспериментаторы. Например, в лабораторных условиях они моделируют процессы, происходящие в океане, в недрах Земли и т.д. Условимся в дальнейшем термин «объект моделирования» понимать в широком смысле: это может быть и некоторый вещественный объект (предмет, система) и реальный процесс. Закрепив в сознании учеников понимание смысла цепочки «объект моделирования — цель моделирования — модель», можно перейти к разговору об информационных моделях. Самое общее определение:
Информационная модель — это описание объекта моделирования
Иначе можно сказать, что это информация об объекте моделирования. А, как известно, информация может быть представлена в разной форме, поэтому существуют различные формы информационных моделей. В их числе, словесные, или вербальные, модели, графические, математические, табличные. Следует иметь в виду, что нельзя считать этот список полным и окончательным. В научной и учебной литературе встречаются разные варианты классификаций информационных моделей. Например, еще рассматривают алгоритмические модели, имитационные модели и др. Естественно, что в рамках базового курса мы вынуждены ограничить эту тему. В старших классах при изучении профильных курсов могут быть рассмотрены и другие виды информационных моделей.
Построение информационной модели, так же как и натурной, должно быть связано с целью моделирования. Всякий реальный объект обладает бесконечным числом свойств, поэтому для моделирования должны быть выделены только те свойства, которые соответствуют цели. Процесс выделения существенных для моделирования свойств объекта, связей между ними с целью их описания называется системным анализом.
Форма информационной модели также зависит от цели ее создания. Если важным требованием к модели является ее наглядность, то обычно выбирают графическую форму. Примеры графических моделей: карта местности, чертеж, электрическая схема, график изменения температуры тела со временем. Следует обратить внимание учеников на различные назначения этих графических моделей. На примере графика температуры можно обсудить то обстоятельство, что та же самая информация могла бы быть представлена и в другой форме. Зависимость температуры от времени можно отразить в числовой таблице — табличная модель, можно описать в виде математической функции — математическая модель. Для разных целей могут оказаться удобными разные формы модели. С точки зрения наглядности, наиболее подходящей является графическая форма.
А что обозначает слово «формализация»? Это все то, о чем говорилось выше.
Формализация — это замена реального объекта или процесса его формальным описанием, т. е. его информационной моделью.
Построив информационную модель, человек использует ее вместо объекта-оригинала для изучения свойств этого объекта, прогнозирования его поведения и пр. Прежде чем строить какое-то сложное сооружение, например мост, конструкторы делают его чертежи, проводят расчеты прочности, допустимых нагрузок. Таким образом, вместо реального моста они имеют дело с его модельным описанием в виде чертежей, математических формул. Если же конструкторы пожелают воспроизвести мост в уменьшенном размере, то это уже будет натурная модель — макет моста.
Табличные информационные модели. Одной из самых распространенных форм представления информационных моделей являются таблицы. Очень часто в табличной форме представляется информация в различных документах, справочниках, учебниках. Табличная форма придает лаконичность и наглядность данным, структурирует данные, позволяет увидеть закономерности в характере данных.
Умение представлять данные в табличной форме — очень полезный общеметодический навык. Практически все школьные предметы используют таблицы, но ни один из них не учит школьников методике построения таблиц. Эту задачу должна взять на себя информатика. Приведение данных к табличной форме является одним из приемов систематизации информации — типовой задачи информатики.
Среди разделов базового курса, относящихся к линии информационных технологий, непосредственное отношение к таблицам имеют базы данных и электронные таблицы. Предварительный разговор о таблицах, их классификации, приемах оформления является полезной пропедевтикой к изучению этих технологий.
Вводится классификация таблиц. Описывается два типа таблиц: таблицы типа «объект — свойство» и «объект — объект». Это наиболее простые и наиболее часто встречающиеся типы таблиц. Кроме того, даны примеры применения двоичных матриц.
Двоичные матрицы используются в тех случаях, когда нужно отразить наличие или отсутствие связей между отдельными элементами некоторой системы. С помощью двоичных матриц удобно представлять сетевые структуры.
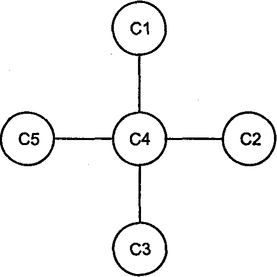
Пример. Дана двоичная матрица, отражающая связи между различными серверами компьютерной сети (табл. 1).
Таблица 1.
|
С1 |
С2 |
СЗ |
С4 |
С5 |
|
|
С1 |
1 |
0 |
0 |
1 |
0 |
|
С2 |
0 |
1 |
0 |
1 |
0 |
|
СЗ |
0 |
0 |
1 |
1 |
0 |
|
С4 |
1 |
1 |
1 |
1 |
1 |
|
С5 |
0 |
0 |
0 |
1 |
1 |
Из таблицы 1 ученики должны определить, какой из пяти серверов является узловым?
Решение. Поскольку по данному определению узловым называется тот сервер, с которым непосредственно связаны все другие серверы, то в матрице нужно искать строку, состоящую только из единиц. Это строка — С 4. Значит сервер С4 является узловым.
В
торое
задание, связанное с этой же таблицей,
может быть следующим: нарисовать схему
этой компьютерной сети, изобразив
серверы кружками, а связи между ними
линиями.

Элементы системного анализа в курсе информатики
Изучаемые вопросы:
• Понятие системы.
• В чем суть системного подхода.
• Структура системы; использование графов для отображения структуры.
• Развитие системного мышления учащихся.
Второй, дополнительный уровень изучения темы моделирования в базовом курсе связан с обсуждением таких понятий, как: система, структура, граф, деревья, сети. Необходимо отметить, что эти понятия постепенно начинают проникать в перечень обязательных для изучения в рамках базового курса. Перечисленные понятия относятся к области, которая в науке называется системологией (теорией систем). Знания элементов системологии придают целостность и понятийную полноту содержательной линии «Формализация и моделирование».
Понятие «система» часто употребляется как в научных дисциплинах, так и в повседневной жизни. Примеров тому достаточно много: Солнечная система, периодическая система химических элементов, системы растений и животных, система образования, система транспорта, файловая система, операционная система и многое другое. Во многих случаях понятие системы считается интуитивно ясным. Однако для информатики оно является одним из фундаментальных и требует разъяснения.
Под системой понимается любой объект, состоящий из множества взаимосвязанных частей, и существующий как единое целое.
В информатике понятие «система» употребляется достаточно часто. Совокупность взаимосвязанных данных, предназначенных для обработки на компьютере — система данных. Совокупность взаимосвязанных программ определенного назначения — программные системы (ОС, системы программирования, пакеты прикладных программ и др.). Информационные системы — одно из важнейших приложений компьютерных технологий.
Основным методическим принципом информационного моделирования является системный подход, согласно которому всякий объект моделирования рассматривается как система. Из всего множества элементов, свойств и связей выделяются лишь те, которые являются существенными для целей моделирования. В этом и заключается сущность системного анализа. Задача системного анализа, который проводит исследователь — упорядочить свои представления об изучаемом объекте, для того чтобы в дальнейшем отразить их в информационной модели.
Сама информационная модель представляет собой также некоторую систему параметров и отношений между ними. Эти параметры и отношения могут быть представлены в разной форме: графической, математической, табличной и др. Таким образом, просматривается следующий порядок этапов перехода от реального объекта к информационной модели:
|
Реальный объект |
|
Системный анализ |
|
Система данных, существенных для моделирования |
|
Информационная модель |
Важной характеристикой всякой системы является ее структура. Структура — это определенный порядок объединения элементов, составляющих систему. Другой вариант определения, встречающийся в литературе: структура — это множество связей между элементами системы. Наиболее удобным и наглядным способом представления структуры систем являются графы. Описываются основные правила представления графов, вводятся понятия вершина, дуга, ребро, ориентированный граф, дерево, сеть. Обычно у учащихся не вызывает проблем понимание схем, представленных в форме графа: граф родственных связей, граф системы связанных между собой населенных пунктов и др.
Важной разновидностью графов являются деревья. Дерево — это графическое представление иерархической структуры системы. Обычно это системы, между элементами которых установлены отношения подчиненности или вхождения друг в друга: системы власти, административные системы, системы классификации в природе и др. Ученики знакомы с понятием «дерево» применительно к системе файлов на дисках компьютера. Многим из них известен смысл понятия «родословное дерево».
Подводя итог, можно сказать, что второй уровень изучения темы «Введение в информационное моделирование» более подробно раскрывает суть системного анализа, знакомит учащихся с таким важным инструментом формализации, как графы.
Третий, углубленный уровень изучения общих вопросов моделирования можно характеризовать как переход от ознакомительного обучения к выработке навыков активного использования методов системного анализа.
Дидактические цели:
• Научить учеников рассматривать окружающие объекты как системы взаимосвязанных элементов; осознавать, в чем проявляется системный эффект в результате объединения отдельных элементов в единое целое.
• Раскрыть смысл модели «черного ящика». Этот подход характерен для кибернетики и применяется он в тех случаях, когда внутреннее устройство системы не раскрывается, а система рассматривается лишь с точки зрения ее взаимодействия с окружающей средой. В таком случае основными понятиями, характеризующими систему, являются не ее состав и структура, а ее «входы» и «выходы».
• Дать представление о некоторых методах системного анализа, в частности, декомпозиции, классификации.
• Научить читать информационные модели, представленные в виде графов и строить граф-модели.
• Научить учеников разбираться в различных типах таблиц, подбирать наиболее подходящий тип таблицы для организации данных, грамотно оформлять таблицы.
Содержательная линия формализации и моделирования выполняет в базовом курсе информатики важную педагогическую задачу: развитие системного мышления учащихся. Эффективная работа с большими объемами информации невозможна без навыков ее систематизации. Компьютер предоставляет пользователю удобные инструменты для этой работы, но систематизацию данных пользователь должен выполнять сам.
Информационное моделирование — это прикладной раздел информатики, связанный с самыми разнообразными предметными областями: техникой, экономикой, естественными и общественными науками и пр. Поэтому практическим решением задач моделирования занимаются специалисты в соответствующих областях. В рамках школьного курса информатики информационное моделирование может быть предметом профильного курса, смежного с другими школьными дисциплинами: физикой, биологией, экономикой и др. Базовый курс информатики дает лишь начальные понятия о моделировании, систематизации данных, знакомит с компьютерными технологиями, применяемыми для информационного моделирования.
Линия моделирования и базы данных
Изучаемые вопросы:
• Признаки компьютерной информационной модели.
• Является ли база данных информационной моделью.
• Задачи, решаемые на готовой базе данных.
• Проектирование базы данных (БД) — задача для углубленного курса.
О
бщая
схема этапов решения практической
задачи на ЭВМ методами информационного
моделирования выглядит следующим
образом (рис. 1):
Два первых этапа относятся к предметной области решаемой задачи. На третьем этапе происходит выбор подходящего инструментального средства в составе программного обеспечения ЭВМ для реализации модели. Такими средствами могут быть: электронные таблицы, СУБД, системы программирования, математические пакеты, специализированные системы моделирования общего назначения или ориентированные на данную предметную область. В базовом курсе информатики изучаются первые три из перечисленных программных средств.
Основные признаки компьютерной информационной модели:
• наличие реального объекта моделирования;
• отражение ограниченного множества свойств объекта по принципу целесообразности;
• реализация модели с помощью определенных компьютерных средств;
• возможность манипулирования моделью, активного ее использования.
Ответ на вопрос: «является ли база данных информационной моделью?» будем искать, исходя их сформулированных выше критериев.
П
ервый
критерий: наличие предметной
области, некоторого реального объекта
(системы), к которым относится БД,
практически всегда выполняется.
Например, если в БД содержатся сведения
о книгах в библиотеке, значит, объектом
моделирования является книжный фонд
библиотеки. Если БД содержит анкетные
данные сотрудников предприятия, значит,
она моделирует кадровый состав этого
предприятия. Если в БД хранятся сведения
о результатах сдачи экзаменов абитуриентами
в институт, следовательно, она моделирует
процесс вступительных экзаменов и
т. п.
Удовлетворение второму критерию также несложно обосновать. Каждый из моделируемых объектов (как перечисленные выше, так и любые другие) обладает гораздо большим числом свойств, характеристик, атрибутов, чем те, что отражены в БД. Отбор атрибутов, включаемых в БД, происходит в процессе проектирования базы, когда главным критерием является критерий целесообразности, т. е. соответствия цели создания БД, требованиям к ее последующим эксплуатационным свойствам. Например, в БД книжного фонда библиотеки не имеет смысла вносить такие характеристики книги, как ее вес, адрес типографии, где была напечатана книга, годы жизни автора и пр.
Третий критерий, очевидно, выполняется, поскольку речь идет о компьютерной базе данных, созданной в среде некоторой СУБД.
База данных — не «мертвое хранилище» информации. Она создается для постоянного, активного использования хранящейся в ней информации. Прикладные программы или СУБД, обслуживающие базу данных, позволяют ее пополнять, изменять, осуществлять поиск информации, сортировку, группировку данных, получение отчетных документов и пр. Таким образом, четвертый критерий компьютерной информационной модели также справедлив для БД.
В рамках обсуждаемой темы перед учителем информатики стоят две педагогические задачи: научить использовать готовые информационные модели; научить разрабатывать информационные модели. В минимальном варианте изучения базового курса предпочтение отдается первой задаче. В таком варианте ученикам могут быть предложены задачи следующего типа: имеется готовая база данных; требуется осуществить поиск нужной информации;
выполнить сортировку данных по некоторому ключу; сформировать отчет с нужной информацией. Решение этой задачи не требует вмешательства в готовую модель.
Другой тип задач: расширить информационное содержание базы данных. Например, имеется реляционная база данных, содержащая сведения о книгах в библиотеке:
БИБЛИОТЕКА (НОМЕР, ШИФР, АВТОР, НАЗВАНИЕ)
Требуется изменить структуру БД таким образом, чтобы из нее можно было узнать, находится ли книга в настоящее время в библиотеке, и если книга выдана, то когда и кому.
Новые цели требуют внесения изменений в модель, в структуру базы данных. Ученики должны спланировать добавление новых полей, определить их типы. Решение может быть таким: после добавления полей база данных будет иметь следующую структуру:
БИБЛИОТЕКА (НОМЕР, ШИФР, АВТОР, НАЗВАНИЕ, НАЛИЧИЕ, ЧИТАТЕЛЬ, ДАТА)
Здесь добавлены поля:
— НАЛИЧИЕ — поле логического типа; принимает значение True, если книга находится в библиотеке, и значение False, если выдана читателю;
— ЧИТАТЕЛЬ — поле числового (или символьного) типа; содержит номер читательского билета человека, взявшего книгу;
— ДАТА — поле типа «дата»; указывает день выдачи книги.
Несмотря на все сказанное выше, не следует преувеличивать в интерпретации каждого задания на работу с базой данных, как задачи моделирования. И на минимальном уровне изучения темы можно предлагать ученикам простые задачи на разработку баз данных, решение которых очевидно. К числу таких задач, например, относится задача разработки баз данных типа записной книжки с адресами знакомых, телефонного справочника и пр.
Проектирование баз данных. Проектирование базы данных заключается в теоретическом построении информационной модели определенной структуры. Известны три основные структуры, используемые при организации данных в БД: иерархическая (деревья), сетевая и табличная (реляционная). В последнее время чаще всего создаются БД реляционного типа. Доказано, что табличная структура является универсальной и может быть применена в любом случае. В базовом курсе информатики изучаются базы данных реляционной структуры.
Если объект моделирования представляет собой достаточно сложную систему, то проектирование БД становится нетривиальной задачей. Для небольших учебных БД ошибки при проектировании не столь существенны. Но если создается большая база, в которой будут сохраняться многие тысячи записей, то ошибки при проектировании могут стоить очень дорого. Основные последствия неправильного проектирования — избыточность информации, ее противоречивость, потеря целостности, т.е. взаимосвязи между данными. В результате БД может оказаться неработоспособной и потребовать дорогостоящей переделки.
Теория реляционных баз данных была разработана в 1970-х гг. Е.Коддом. Он предложил технологию проектирования баз данных, в результате применения которой в полученной БД не возникает отмеченных выше недостатков. Сущность этой технологии сводится к приведению таблиц, составляющих БД, к третьей нормальной форме. Этот процесс называется нормализацией данных: сначала все данные, которые планируется включить в БД, представляются в первой нормальной форме, затем преобразуются ко второй и на последнем шаге — к третьей нормальной форме. Проиллюстрируем процесс нормализации данных на примере.
Ставится задача: создать БД, содержащую сведения о посещении пациентами поликлиники своего участкового врача. Сначала строится одна таблица, в которую заносятся фамилия пациента, его дата рождения, номер участка, к которому приписан пациент, фамилия участкового врача, дата посещения врача и установленный диагноз болезни. Ниже приведен пример такой таблицы.
Таблица 2
БД «Поликлиника»
|
Фамилия пациента |
Дата рождения |
Номер участка |
Фамилия врача |
Дата посещения |
Диагноз |
|
Лосев О.И. |
20.04.65 |
2 |
Петрова О.И. |
11.04.98 |
грипп |
|
Орлова Е.Ю. |
25.01.47 |
1 |
Андреева И. В. |
05.05.98 |
ОРЗ |
|
Лосев О.И. |
20.04.65 |
2 |
Петрова О.И. |
26.07.98 |
бронхит |
|
Дуров М.Т. |
05.03.30 |
2 |
Петрова О.И. |
14.03.98 |
стенокардия |
|
Жукова Л. Г. |
30.01.70 |
2 |
Петрова О.И. |
11.04.98 |
ангина |
|
Орлова Е.Ю. |
25.01.47 |
1 |
Андреева И. В. |
11.07.98 |
гастрит |
|
Быкова А.А. |
01.04.75 |
1 |
Андреева И. В. |
15.06.98 |
ОРЗ |
|
Дуров М.Т. |
05.03.30 |
2 |
Петрова О.И. |
26.07.98 |
ОРЗ |
Нетрудно понять недостатки такой организации данных. Во-первых, очевидна избыточность информации: повторение даты рождения одного и того же человека, повторение фамилии врача одного и того же участка. В такой БД велика вероятность иметь недостоверные, противоречивые данные. Например, если на втором участке сменится врач, то придется просматривать всю базу и вносить изменения во все записи, относящиеся к этому участку. При этом велика вероятность что-то пропустить. После каждого нового посещения пациентом больницы потребуется снова вводить его дату рождения, номер участка, фамилию врача, т.е. информацию, уже существующую в БД.
Полученная таблица соответствует первой нормальной форме. Для устранения отмеченных недостатков требуется ее дальнейшая нормализация. Структура такой таблицы (отношения) описывается следующим образом:
ПОЛИКЛИНИКА (ФАМИЛИЯ, ДАТА_РОЖДЕНИЯ, УЧАСТОК, ВРАЧ, ДАТА ПОСЕЩЕНИЯ, ДИАГНОЗ)
Необходимо установить ключ записей. Здесь ключ составной, который включает в себя два поля: ФАМИЛИЯ и ДАТА_ПОСЕЩЕНИЯ. Каждая запись — это информация о конкретном посещении пациентом больницы. Если допустить, что в течение одного дня данный пациент может сделать только один визит к участковому врачу, то в разных записях не будет повторяться комбинация двух полей: фамилии пациента и даты посещения врача.
Согласно определению второй нормальной формы, все неключевые поля должны функционально зависеть от полного ключа. В данной таблице лишь ДИАГНОЗ определяется одновременно фамилией пациента и датой посещения. Остальные поля связаны лишь с фамилией, т. е. от даты посещения они не зависят. Для преобразования ко второй нормальной форме таблицу нужно разбить на две следующие:
ПОСЕЩЕНИЯ (ФАМИЛИЯ, ДАТА ПОСЕЩЕНИЯ, ДИАГНОЗ)
ПАЦИЕНТЫ (ФАМИЛИЯ, ДАТА_РОЖДЕНИЯ, УЧАСТОК, ВРАЧ)
В отношении ПОСЕЩЕНИЯ по-прежнему действует составной ключ из двух полей, а в отношении ПАЦИЕНТЫ — одно ключевое поле ФАМИЛИЯ.
Во втором отношении имеется так называемая транзитивная зависимость. Она отображается следующим образом:

Значение поля ВРАЧ связано с фамилией пациента транзитивно через поле УЧАСТОК. В самом деле, всякий участковый врач приписан к своему участку и обслуживает больных, относящихся к данному участку.
Согласно определению третьей нормальной формы в отношении не должно быть транзитивных зависимостей. Значит, требуется еще одно разбиение отношения ПАЦИЕНТЫ на два отношения.
В итоге получаем базу данных, состоящую из трех отношений:
ПОСЕЩЕНИЯ (ФАМИЛИЯ, ДАТА ПОСЕЩЕНИЯ, ДИАГНОЗ)
ПАЦИЕНТЫ (ФАМИЛИЯ, ДАТА_РОЖДЕНИЯ, УЧАСТОК)
ВРАЧИ (УЧАСТОК, ВРАЧ)
В третьем отношении ключом является номер участка, поскольку он повторяться не может. В то же время возможна ситуация, когда один врач обслуживает больше одного участка. Полученная структура БД удовлетворяет требованиям третьей нормальной формы: в таблицах все неключевые поля полностью функционально зависят от своих ключей и отсутствуют транзитивные зависимости.
Еще одним важным свойством полученной БД является то, что между тремя отношениями существует взаимосвязь через общие поля. Отношения ПОСЕЩЕНИЯ и ПАЦИЕНТЫ связаны общим полем ФАМИЛИЯ. Отношения ПАЦИЕНТЫ и ВРАЧИ связаны через поле УЧАСТОК. Для связанных таблиц существует еще одно понятие: тип связи. Возможны три варианта типа связей: «один — к—одному», «один—ко—многим», «многие — ко — многим». В нашем примере между связанными таблицами существуют связи типа «один — ко — многим», и схематически они отображаются так:

Смысл следующий: у каждого врача (на каждом участке) много пациентов; каждый пациент посещает врача множество раз.
В приведенном примере показана процедура нормализации в строгом соответствии с теорией реляционных баз данных. Понимание смысла этой процедуры очень полезно для учителя.
На примере приведенной выше таблицы ПОЛИКЛИНИКА нужно увидеть три различных типа объектов, к которым относится данная информация: это пациенты поликлиники, врачи и посещения пациентами врачей. Соответственно строятся три таблицы, содержащие атрибуты, относящиеся к этим трем типам объектов и связанные между собой через общие поля.
Информационное моделирование и электронные таблицы
Изучаемые вопросы:
• Что такое математическая модель.
• Понятия: компьютерная математическая модель, численный эксперимент.
• Пример реализации математической модели на электронной таблице.
Электронные таблицы являются удобной инструментальной средой для решения задач математического моделирования.
Что же такое математическая модель? Это описание состояния или поведения некоторой реальной системы (объекта, процесса) на языке математики, т.е. с помощью формул, уравнений и других математических соотношений. Характерная конфигурация всякой математической модели представлена на рис. 2.

Рис.2. Обобщенная структура математической модели
Здесь Х и У — некоторые количественные характеристики моделируемой системы.
Реализация математической модели — это применение определенного метода расчетов значений выходных параметров по значениям входных параметров. Технология электронных таблиц — один из возможных методов реализации математической модели. Другими методами реализации математической модели может быть составление программ на языках программирования, применение математических пакетов (MathCAD, Математика и др.), применение специализированных программных систем для моделирования. Реализованные такими средствами математические модели будем называть компьютерными математическими моделями.
Цель создания компьютерной математической модели — проведение численного эксперимента, позволяющего исследовать моделируемую систему, спрогнозировать ее поведение, подобрать оптимальные параметры и пр.
Итак, характерные признаки компьютерной математической модели следующие:
• наличие реального объекта моделирования;
• наличие количественных характеристик объекта: входных и выходных параметров;
• наличие математической связи между входными и выходными параметрами;
• реализация модели с помощью определенных компьютерных средств.
В качестве примера использования электронных таблиц для математического моделирования рассмотрим задачу о выборе места строительства железнодорожной станции из учебников.
Условие задачи. Пять населенных пунктов расположены вблизи прямолинейного участка железной дороги. Требуется выбрать место строительства железнодорожной станции, исходя из следующего критерия: расстояние от станции до самого удаленного пункта должно быть минимально возможным.
Для решения задачи выбирается система координат, в которой ось Х направлена по железнодорожной линии. В этой системе задаются координаты населенных пунктов. Допустим, что расстояние между самыми удаленными в направлении оси Х пунктами равно 10 км. Начало координат выберем так, чтобы Х-координата самого левого пункта была равна 0. Тогда Х-координата самого правого пункта будет равна 10. Пусть координаты всех населенных пунктов в этой системе будут следующими:
1 - (0, 6); 2 - (2, 4); 3 - (5, -3); 4 - (7, 3); 5 - (10, 2).
В данном списке указан порядковый номер пункта и его координаты.
Ниже приводится проект электронной таблицы (табл. 10.3), решающей эту задачу.
Таблица 3
|
А |
В |
С |
D |
Е |
F |
G |
Н |
I |
|
|
1 |
Шаг= |
2 |
км |
||||||
|
2 |
Координаты |
Положение |
станции |
||||||
|
3 |
№ |
X |
У |
0 |
DЗ+$Е$1 |
ЕЗ+$Е$1 |
FЗ+$Е$1 |
C3+$Е$1 |
НЗ+$Е$1 |
|
4 |
1 |
0 |
6 |
К(1,1) |
R(1,2) |
R(1,3) |
R(1,4) |
R(1,5) |
R(1,6) |
|
5 |
2 |
2 |
4 |
R(2,1) |
R(2,2) |
R(2,3) |
R(2,4) |
R(2,5) |
R(2,6) |
|
6 |
3 |
5 |
-3 |
R(3,1) |
R(3,2) |
R(3,3) |
R(3,4) |
R(3,5) |
R(3,6) |
|
7 |
4 |
7 |
3 |
R(4,1) |
R(4,2) |
R(4,3) |
R(4,4) |
R(4,5) |
R(4,6) |
|
8 |
5 |
10 |
2 |
R(5,1) |
R(5,2) |
R(5,3) |
R(5,4) |
R(5,5) |
R(5,6) |
|
9 |
Макс.: |
Мах (D4.-D8) |
Мах (Е4.-Е8) |
Мах (F4.-F8) |
Мах (G4:G8) |
Мах (Н4:Н8) |
Мах (I4:I8) |
||
|
10 |
Миним. |
расст.: |
Min (D9:D9) |
Для решения задачи применяется метод дискретизации: на участке железной дороги, ограниченном Х координатами от 0 до 10, рассматривается конечное число возможных положений станции, отстоящих друг от друга на равных расстояниях (шаг дискретизации). Для каждого положения станции вычисляются расстояния до каждого населенного пункта и среди них выбирается наибольшее расстояние. Искомым результатом является положение станции, соответствующее минимальному из этих выбранных величин.
Очевидно, что точность найденного решения зависит от шага перемещения станции (шага дискретизации). В приведенной таблице идя уменьшения ее размера выбран довольно грубый шаг, равный 2 км. Тогда на всем участке помещается 5 таких шагов и, следовательно, анализируется 6 возможных положений станции (включая положение, соответствующее Х = 0).
В табл. 3 формулы вычисления расстояний условно обозначены R(i,j). Здесь первый индекс обозначает номер населенного пункта (от 1 до 5), а второй — номер положения станции (от 1 до 6). Вот примеры некоторых формул на языке электронной таблицы МS Ехсеl:
R(1,1) = КОРЕНЬ(($В4-D$3)^2+$С4^2)
R(1, 2) = КОРЕНЬ(($B5D$3)^2+$C5^2) и т.д.
Таблица 4
|
А |
В |
С |
D |
Е |
F |
G |
Н |
I |
|
|
1 |
Шаг= |
2 |
км |
||||||
|
2 |
Координаты |
Положение |
станции |
||||||
|
3 |
№ |
X |
У |
0 |
2 |
4 |
6 |
8 |
10 |
|
4 |
1 |
0 |
6 |
6,00000 |
6,32456 |
7.21110 |
8,48528 |
10,00000 |
11,66190 |
|
5 |
2 |
2 |
4 |
4,47214 |
4,00000 |
4.47214 |
5,65685 |
7,21110 |
8,94427 |
|
6 |
3 |
5 |
-3 |
5,83095 |
4,24264 |
3.16228 |
3,16228 |
4,24264 |
5,83095 |
|
7 |
4 |
7 |
3 |
7,61577 |
5,83095 |
4.24264 |
3,16228 |
3,16228 |
4,24264 |
|
8 |
5 |
10 |
2 |
10,19800 |
8,24621 |
6.32456 |
4,47214 |
2,82843 |
2,00000 |
|
9 |
Макс.: |
10,19800 |
8,24621 |
7.21110 |
8,48528 |
10,00000 |
11,66190 |
||
|
10 |
Миним. |
расст.: |
7.21110 |
В табл. 4 приведены числовые результаты расчетов решения данной задачи. Окончательный ответ следующий: железнодорожную станцию следует размещать в 4 км от начала координат. При этом самым удаленным от нее окажется населенный пункт номер 1 — на расстоянии 7,21 км. Следует иметь в виду, что полученный результат довольно грубый, поскольку его погрешность по порядку величины равна шагу (2 км).
Такой способ решения задачи оказывается, в некотором смысле, полуавтоматическим. Ученик приходит к окончательному ответу, анализируя полученную числовую таблицу. Визуально он определяет, какому положению станции соответствует (в каком столбце таблицы находится) найденное оптимальное расстояние 7,21 км. Если требуется уменьшить шаг дискретизации, то, изменив величину шага в ячейке Е1, нужно будет увеличивать число столбцов в расчетной таблице. Делается это легко, простым копированием столбцов. Максимальный размер электронной таблицы, хотя и ограничен, но все-таки достаточно большой (в Exsel — 256 столбцов). Правда, в этом случае придется подправить формулу в ячейке D10.
Все эти дополнительные проблемы компенсируются прозрачностью модели. Ученик видит все промежуточные результаты расчетов, видит весь механизм работы выбранной модели. Понятие вычислительного эксперимента становится для учеников более содержательным, более наглядным.
Электронная таблица — средство более высокого уровня, чем язык программирования. В то же время задача проектирования расчетной таблицы того же типа, что нами рассмотрена, совсем не тривиальна. Можно говорить о том, что язык электронных таблиц — это своеобразный язык программирования — язык табличных алгоритмов. Следовательно, этап алгоритмизации в табличном способе математического моделирования тоже присутствует. Большим достоинством электронных таблиц является возможность легко осуществлять графическую обработку данных, что бывает очень важным в математическом моделировании.
Моделирование знаний в курсе информатики
Изучаемые вопросы:
• Что такое база знаний.
• Различные типы моделей знаний.
• Логическая модель знаний и Пролог.
Среди разнообразных систем искусственного интеллекта наиболее распространенными являются экспертные системы. В основе экспертной системы лежит база знаний — модель знаний в определенной предметной области, представленная в формализованном виде и сохраненная в памяти компьютера.
Существуют различные типы моделей знаний. Наиболее известные из них — продукционная модель, семантическая сеть, фреймы, логическая модель.
Продукционная модель знаний построена на правилах (они называются продукциями), представляемыми в форме:
ЕСЛИ выполняется некоторое условие ТО выполняется некоторое действие
На основе поступающих данных экспертная система, анализируя имеющиеся правила, принимает решение о необходимых действиях. Например:
ЕСЛИ температура в помещении ≤15° ТО включить отопление
Продукционные модели часто используются в промышленных экспертных системах.
Семантические сети. Семантической сетью называется система понятий и отношений между ними, представленная в форме ориентированного графа. Это одна из наиболее гибких и универсальных форм моделей знаний. На рис. 3 приведен пример, представляющий в форме графа сведения, заключенные в предложении: «Петух Петя является птицей, и он умеет кукарекать».

Рис. 3. Пример семантической сети
Фреймы. Фрейм — это некоторый абстрактный образ, относящийся к определенному типу объектов, понятий. Фрейм объединяет в себе атрибуты (характеристики), свойственные данному объекту. Фрейм имеет имя и состоит из частей, которые называются слотами. Изображается фрейм в виде цепочки:
Имя фрейма = <слот 1><слот 2>...<слот N>
Вот пример фрейма под названием «Битва»:
Битва = <кто?><с кем?><когда?><где?><результат>
Такое представление называется прототипом фрейма. Если же в слоты подставить конкретные значения, то получится экземпляр фрейма. Например:
Битва = <Царевич><Кощей Бессмертный><утром><в чистом поле><победил>
Слоты сами могут быть фреймами. Таким образом, возможны иерархии фреймов, сети фреймов. К фреймам применимо понятие наследования свойств. Для реализации моделей знаний с использованием фреймов хорошо подходит технология объектно-ориенированного программирования.
Логическая модель знаний представляет собой совокупность утверждений. О каждом утверждении можно сказать: истинно оно или ложно. Утверждения делятся на факты и правила. Совокупность фактов представляет собой базу данных, лежащую в основе базы знаний. Правила имеют форму «ЕСЛИ А, ТО Б» (здесь есть сходство с продукционной моделью). Механизм вывода основан на аппарате математической логики (он называется исчислением предикатов первого порядка). Прикладные возможности этой модели весьма ограничены. Логическая модель знаний лежит в основе языка ПРОЛОГ.
ПРОЛОГ является языком логического программирования. Как известно, в программировании для ЭВМ существует несколько различных направлений (парадигм): процедурное программирование, функциональное программирование, логическое программирование, объектно-ориентированное программирование. В языке Пролог реализована логическая парадигма. Однако в рамках базового курса информатики использование Пролога очень ограничено и о программировании, в полном смысле этого слова, здесь речи не идет. Пролог рассматривается лишь как средство построения несложных баз знаний логического типа. При таком подходе систему Пролог можно рассматривать как своеобразную систему управления базами знаний (по аналогии с СУБД). Она позволяет создавать базу знаний и обращаться к ней с запросами.
Реализации Пролога существуют для большинства компьютеров, доступных школам. Поэтому представляется возможным предлагать Пролог в качестве средства для практической работы по теме «Искусственный интеллект и моделирование знаний».
Требования к знаниям и умениям учащихся по линии формализации и моделирования
Учащиеся должны знать:
что такое модель; в чем разница между натурной и информационной моделью;
какие существуют формы представления информационных моделей (графические, табличные, вербальные, математические);
что такое реляционная модель данных; основные элементы реляционной модели: запись, поле, ключ записи;
что такое модель знаний, база знаний;
из чего строится логическая модель знаний;
какие проблемы решает раздел информатики «Искусственный интеллект»;
что такое система, системный анализ, системный подход;
что такое граф, элементы графа;
что такое иерархическая система и дерево;
состав базы знаний на Прологе;
как в Прологе представляются факты и правила;
как в Прологе формулируются запросы (цели).
Учащиеся должны уметь:
приводить примеры натурных и информационных моделей;
проводить в несложных случаях системный анализ объекта (формализацию) с целью построения его информационной модели;
ставить вопросы к моделям и формулировать задачи;
проводить вычислительный эксперимент над простейшей математической моделью;
ориентироваться в таблично-организованной информации;
описывать объект (процесс) в табличной форме для простых случаев;
различать декларативные и процедурные знания, факты и правила.
ориентироваться в информационных моделях на языке графов;
описать несложную иерархическую систему в виде дерева;
построить базу знаний на Прологе для простой предметной области (типа родственных связей);
сформулировать на Прологе запросы к данной базе знаний;
работать на компьютере в среде системы программирования Пролог.
Примерное содержание и планирование линии «Формализация и моделирование» в базовом курсе средней школы по учебнику Макаровой Н.В. «информатика 7 – 9 кл.»
|
№п/п |
№ раздела, темы |
Название раздела, темы |
Определения |
Класс, в котором изучается данная тема |
Количество часов, отведенных на данную тему |
||
|
Всего |
теор |
практ |
|||||
|
1 |
2 |
3 |
4 |
5 |
6 |
7 |
8 |
|
РАЗДЕЛ 2 |
ИНФОРМАЦИОННАЯ КАРТИНА МИРА |
||||||
|
Тема 6. |
Представление об объектах окружающего мира |
7 кл. |
2 |
2 |
0 |
||
|
8 кл. |
0 |
0 |
0 |
||||
|
9 кл. |
0 |
0 |
0 |
||||
|
6.1. |
Что такое объект |
Объект (материальный, нематериальный) |
7 кл. |
1 |
1 |
0 |
|
|
6.2. |
Свойства и параметры объекта |
Параметр (значение, свойство, величина, признаки) |
7 кл. |
||||
|
6.3 |
Действие как характеристика объекта |
Состояние объекта, процесс |
7 кл. |
1 |
1 |
0 |
|
|
6.4 |
Среда существования объекта |
Среда |
7 кл. |
||||
|
Тема 7. |
Информационная модель объекта |
7 кл. |
1 |
1 |
0 |
||
|
8 кл. |
0 |
0 |
0 |
||||
|
9 кл. |
0 |
0 |
0 |
||||
|
7.1. |
Понятие модели |
Модель (предметные и абстрактные), примеры моделей |
7 кл. |
1 |
|||
|
7.2 |
Информационная модель объекта |
Информационная модель, цель, формы представления моделей |
|||||
|
7.3. |
Примеры информационных моделей объектов |
||||||
|
Тема 8. |
Представление о системе объектов |
7 кл. |
3,5 |
2 |
1,5 |
||
|
8 кл. |
0 |
0 |
0 |
||||
|
9 кл. |
0 |
0 |
0 |
||||
|
8.1 |
Отношения объектов |
Пространственные, временные, части и целого, формы и содержания, математические, общественные, примеры отношений |
7 кл. |
1 |
0,5 |
0,5 |
|
|
8.2. |
Связи объектов |
Связи (примеры связей: механические, электромеханические, межличностные, географические, экономические, экологические) |
|||||
|
8.3. |
Понятие о системе |
- Элемент системы, система, цель изучения системы (примеры систем: организационная, техническая, знаковая, биологическая), - связи и отношения между элементами системы (примеры связей: пространственные, временные, социальные, генетические, материальные), - среда, целостность, работоспособность. |
7 кл. |
0,5 |
0,5 |
||
|
8.4. |
Информационная модель системы |
-Система как объект, ее информационная модель (анализ); - информационные модели элементов системы - связи и отношения между элементами - взаимодействие элементов( системный подход, системное мышление) - примеры |
7 кл. |
2 |
1 |
1 |
|
|
Тема 9. |
Основы классификации (объектов) |
7 кл. |
0 |
0 |
0 |
||
|
8 кл. |
3 |
2 |
1 |
||||
|
9 кл. |
0 |
0 |
0 |
||||
|
9.1. |
Классы и классификация |
Класс, классификация (дерево, иерархическая схема) |
8 кл. |
1 |
1 |
0 |
|
|
9.2. |
Основание классификации |
Классификация (группировка по намеченным признакам, основание классификации (несколько признаков)) |
|||||
|
9.3. |
Наследование свойств |
Наследование, роль классификации, |
|||||
|
9.4. |
Примеры классификации различных объектов |
8 кл. |
1 |
0,5 |
0,5 |
||
|
9.5. |
Классификация компьютерных документов |
Текст, графика, таблица, БД, составной документ |
8 кл. |
1 |
0,5 |
0,5 |
|
|
Тема 10. |
Классификация моделей |
7 кл. |
4 |
1 |
3 |
||
|
8 кл. |
6 |
2 |
4 |
||||
|
9 кл. |
4 |
1 |
3 |
||||
|
10.1 |
Виды классификации моделей |
По области использования (учебные, опытные, научно – технические, игровые, имитационные); По фактору времени (статистическая, динамическая) |
8 кл. |
2 |
1 |
1 |
|
|
1 |
2 |
3 |
4 |
5 |
6 |
7 |
8 |
|
10.2. |
Классификация моделей по способу представления |
По способу представления (материальные, абстрактные(мысленные, вербальные, информационные) |
|||||
|
10.3 |
Инструменты моделирования |
Компьютерные и некомпьютерные информационные модели, аппаратная и программная поддержка (прикладные программные среды, среда программирования) |
7 кл. моделирование в графическом и текстовом редакторах |
4 |
1 |
3 |
|
|
8 кл. моделирование в табличном редакторе |
4 |
1 |
3 |
||||
|
9 кл. Моделирование в среде БД |
4 |
1 |
3 |
||||
|
Тема 11. |
Основные этапы моделирования |
7 кл. |
10 |
3 |
7 |
||
|
8 кл. |
12 |
3,5 |
8,5 |
||||
|
9 кл. |
11 |
2,5 |
8,5 |
||||
|
11.1 |
Место моделирования в деятельности человека |
Моделирование (модели материальных объектов, модели явлений, модели процессов, модель системы) Этапы деятельности при исследовании объекта, этапы моделирования, |
7 кл. |
1 |
1 |
0 |
|
|
8 кл. |
2 |
1 |
1 |
||||
|
11.2 |
Постановка задачи |
Описание задачи, цель моделирования, формализация, |
7 кл |
1 |
0,5 |
0,5 |
|
|
8 кл |
2 |
1 |
1 |
||||
|
9 кл |
3 |
1 |
2 |
||||
|
11.3 |
Разработка модели |
Информационная модель, компьютерная модель, алгоритм построения, программная среда |
7 кл |
4 |
1 |
3 |
|
|
8 кл |
4 |
1 |
3 |
||||
|
9 кл |
4 |
1 |
3 |
||||
|
11.4 |
Компьютерный эксперимент |
Компьютерный эксперимент, план эксперимента (тестирование, тест), проведение исследования, анализ результатов. |
7 кл |
3 |
0 |
3 |
|
|
8 кл |
3 |
0 |
3 |
||||
|
9 кл |
3 |
0 |
3 |
||||
|
11.5 |
Анализ результатов моделирования |
Корректировка |
7 кл |
1 |
0,5 |
0,5 |
|
|
8 кл |
1 |
0,5 |
0,5 |
||||
|
9 кл |
1 |
0,5 |
0,5 |
||||
|
Всего за год при нагрузке 2 часа в неделю (по плану 68 часов) |
7 кл. |
20,5 |
9 |
1,5 |
|||
|
8 кл. |
21 |
7,5 |
13,5 |
||||
|
9 кл. |
15 |
3,5 |
11,5 |
УРОК ПО ИЗУЧЕНИЮ ПОНЯТИЯ МОДЕЛИ
Тема урока: Математические (формализованные) модели. Их роль в учебной деятельности и математической постановке задач.
Обоснование темы урока. Начиная с первых лет учебы учащиеся знакомятся с различного вида моделями (схемы, чертежи, графики, макеты и т. д.), но при этом понятия «модель» и «моделирование» не обсуждаются.
Понятие «модель» — сложное и многогранное. Потребность в модели возникает тогда, когда исследование самого объекта невозможно, затруднительно, дорого, требует много времени. Важно обратить внимание учеников на то, что между моделью и объектом должно существовать известное подобие, которое может заключаться в сходстве физических характеристик или функций, в тождестве математического описания и т. д.
Необходимо подчеркнуть, что вся наша деятельность связана с моделированием различных процессов.
Цель урока: сформировать понятие математической модели и ее роли в учебной деятельности (УД).
Задачи урока:
• выдать домашнее задание к следующему уроку;
• проверить домашнее задание к текущему уроку;
• организовать рефлексию учащихся, направленную на их знания о моделях и моделировании;
• организовать обсуждение и выбор лучшего определения модели, предложенного учащимися. Обсудить и обосновать критерии выбора лучшего определения;
• подвести итоги работы с новым материалом;
• организовать самоконтроль учащихся в рамках темы;
• подвести итог урока, выслушать мнения, выставить оценки.
Логическая схема урока (ЛСУ).
Выстраивая ЛСУ при подготовке к уроку, учитель решает целый блок задач, связанных с организацией учебного пространства, таких, как:
• анализ логической завершенности урока и его места и значения в рамках всей изучаемой темы;
• четкое выделение этапов урока: отведение на каждый из них времени, постановка цели каждого этапа и определение круга подзадач, на нем решаемых;
• соотнесение задач урока с его этапами;
• построение схемы объяснения нового материала, расстановка акцентов, нужных для лучшего усвоения;
• разработка методов и приемов, которыми будет пользоваться учитель;
• разработка форм организации УД
и т. д.
ЛСУ может стать основой конспекта урока, который составляют учащиеся.
Сценарий урока
Этап I. Выдача домашнего задания к следующему уроку
Выдача домашнего задания в начале урока позволяет, во-первых, создать мотивацию УД в рамках урока; во-вторых, подчеркнуть значимость домашнего задания;
в-третьих, косвенно дать ученикам информацию о том, чем они будут заниматься на уроке, на что надо будет обратить внимание; в-четвертых, комментировать домашнее задание по ходу всего урока; в-пятых, проконтролировать, все ли ученики его записали.
Этап 11. Проверка домашнего задания к текущему уроку
Проверка выполнения домашнего задания означает:
• фиксацию его наличия;
• выявление затруднений, возникших при его выполнении (если они есть);
• анализ уровня усвоения знаний и умений прошлого урока.
На доске два ученика записывают свои версии домашнего задания. Учитель, проходя по классу, фиксирует наличие домашнего задания и способы его выполнения.
Учащимся предлагается проанализировать записанные на доске решения, т. е. ответить на вопросы:
1) Что в предложенных решениях правильно, а что — нет и почему?
2) В чем сходство и различие решений учащихся с решениями, написанными на доске (в способе решения, в форме записи)?
3) Есть ли другие способы решения, отличные от тех, что записаны на доске?
В ходе обсуждения выбирается лучшее решение. Решение считается лучшим, если оно или наиболее рациональное, или наиболее обоснованное и т. п. Все зависит от цели и задачи, которые ставит учитель. Почему оно лучшее — обосновывается в ходе обсуждения.
В ходе такой фронтальной работы по проверке домашнего задания учитель может оценить уровень освоенности всего учебного материала.
Поясним это на следующем примере.
Домашняя задача: выполнить математическую постановку задачи (МПЗ) нахождения площади круглой пластины с треугольным отверстием.
Два ученика на доске записывают свои версии МПЗ, сделанные дома:
длина стороны треугольника, высота треугольника, радиус круга.
Версия 1
Дано: а –длина стороны треугольника,
h- высота треугольника,
R-радиускруга.
Связь: S=S1-S2;
S1= π * R2 – площадь круга
S2=1/2a* h – площадь треугольника
При: a>0, h >0, вершины треугольника не принадлежат окружности.
Версия 2
Дано: R – радиус круга.
Связь: S = S1-S2;
S1= π * R2 – площадь круга
S2=1/2a* b*sinA – площадь треугольника
При: a>0, b >0, 0<A<180 о вершины треугольника не принадлежат окружности.
Учитель:
1) Проанализируйте предложенные решения (при этом надо определить, что анализировать и с какой целью).
2) Кто выполнил МПЗ первым способом? Вторым способом? Ваши мнения о? предложенных решениях? (Обсуждение.)
3) Кто рассуждал иначе?
Ученик: Я применил в разделе «Связь» для нахождения площади треугольника формулу Герона, так как удобнее производить измерение длин сторон треугольника, чем его высоты и угла.
Учитель показывает это решение с помощью кодоскопа. Подчеркивает, что применение формулы Герона в этой задаче — лучший вариант ее решения, так как наиболее просто реализуется на практике. Предлагает записывать в тетрадь не все решение, а только вывод. Обращает внимание на часть раздела «При»: «вершины треугольника не принадлежат окружности». Показывая бумажную модель задачи, обсуждает с учениками значимость этого замечания. Делается вывод: если вершины треугольника, принадлежат окружности, то цельность пластины круглой формы нарушается, т. е. не выполняется условие задачи.
Этап III. Объяснение нового материала
Учитель напоминает учащимся, что продолжается работа в рамках более общей темы «Этапы подготовки задачи к решению на компьютере» (используется схема этапов из учебника и большой плакат на доске). Очень кратко вспоминается назначение уже изученных этапов, обращается внимание на этап, название которого созвучно теме урока.
Тема урока записывается в тетрадь. Учитель просит учащихся, исходя из темы урока, сформулировать цель их деятельности.
Ученики предлагают следующие цели:
1) понять, что такое модель;
2) узнать, какие они бывают;
3) узнать, в чем заключается их роль в УД.
Учитель помогает ученикам сформулировать цель окончательно: «понять, в чем суть термина «математическая модель» и какова ее роль в УД». Цель записывается в тетрадь.
Учитель предлагает ученикам, опираясь на их знания и умения, зафиксировать процесс работы над новым материалом в виде информационно-логической схемы. Каждый блок схемы — это один из вопросов, выделенный в ходе работы над новым материалом. Количество блоков индивидуально.
Учитель напоминает, что в начале изучения темы «Этапы подготовки задачи к решению на компьютере» было отмечено, что термин «формализованная» в нашем контексте является синонимом термина «математическая». Внимание учеников обращается на термин «модель».
Учитель предлагает вниманию учеников следующие модели:
1) модель двигателя внутреннего сгорания;
2) модель полевой пушки;
3) модель Солнечной системы;
4) модель математического маятника.
Учащиеся приводят примеры моделей, с которыми им приходилось сталкиваться в учебной деятельности: глобус, карта, графики, схемы, чертежи и и. д.
Учитель констатирует, что, судя по количеству названных моделей, опыт работы с ними у учеников достаточно большой, и просит учащихся попытаться дать определение модели.
Заслушиваются несколько определений, но, по общему мнению учеников, «в них чего-то не хватает».
Учитель предлагает обратиться за помощью к учебнику (Каймим В. А. Основы информатики и вычислительной техники. М., 1990. С. 197.): «Как правило, это обычные системы уравнений и неравенств».
Ученики делают вывод, что данное определение подходит не ко всем моделям, а только к математическим.
Учитель предлагает прочитать еще одно определение из учебника (с.201);
«Модели — это отражение наиболее существенных свойств, признаков и отношений явлений, объектов или процессов предметного мира». Затем зачитывается определение, взятое из философского словаря:
«Модель — образец (устройство), воспроизводящий (имитирующий) строение и (или) действие некоторого объекта, процесса или их частей».
Под руководством учителя учащиеся проверяют функциональность второго и третьего определений на рассматриваемых моделях, выделяя при этом различия между моделями и определяя, чем они обусловлены.
Примеры:
Назначение модели Солнечной системы — дать представление о Солнечной системе. Так как модель выполнена в определенном масштабе, то она позволяет сравнить физические размеры планет, их Удаленность от Солнца, друг от друга и т. д.
Назначение модели двигателя внутреннего сгорания — продемонстрировать процесс движения поршня в цилиндре двигателя.
Вывод, который делают после этого ученики: второе и третье определения функциональны, т, е. ими удобно пользоваться на практике. Именно этого не хватало определениям, которые давали сами ребята. Выясняется, что различия между моделями определяются, во-первых, целями, в соответствии с которыми они создаются, во-вторых, объектом и деталями демонстрации (что будет демонстрироваться), в-третьих, степенью их детальности (сходству с предметом, который моделируется).
Учитель, чтобы систематизировать учебный материал, подтвердить и уточнить сделанный вывод, предлагает ученикам прочитать § 46 учебника (с.201 — 203) и проанализировать:
1)совпадают ли сделанные на уроке выводы с выводами, приведенными в учебнике;
2) есть ли в тексте § 46 новая информация о моделях, которая еще не рассматривалась в ходе урока (если да, то надо ее зафиксировать);
3) достигли ли ученики поставленной цели.
В результате анализа текста § 46 учащиеся отмечают:
1) вывод о различиях между моделями, сделанный в ходе урока, очень близок к содержанию учебника, не противоречит ему;
2) информация в учебнике о видах модельных представлений является новой только по терминологии, а не по содержанию. В начале изучения новой темы были рассмотрены модели всех видов:
• графические представления — схема математического маятника;
• словесное описание объекта, базирующееся на понятиях, — математическая постановка задачи (домашнее задание к этому уроку);
• математические модели
(эта модель получена при проверке
домашнего задания);
3) цель урока еще не выполнена.
Учитель просит учеников вернуться к определению математической модели (с. 197 учебника), затем прочитать с. 197— 200 учебника и выделить информацию о преимуществах, которыми обладают математические модели по сравнению с другими видами моделей. Итог анализа фиксируется на доске и в тетрадях.
Выявляются следующие преимущества математической модели:
1) возможность достаточно легкого преобразования в компьютерную модель;
2) универсальность (в том смысле, что большинство природных процессов и объектов могут быть смоделированы, а также в том, что могут существовать несколько математических моделей одного объекта или процесса);
3) полнота (можно выделить сколь угодно большое число параметров, описывающих модель);
4) сравнительная дешевизна исследования;
5) быстрая коррекция модели;
6) безопасность испытания и т. д.
Делаются выводы:
• если задача имеет математическую модель, то она, как правило, решается с помощью ЭВМ;
• в учебной деятельности ученики постоянно сталкиваются с различными моделями (формулы, графики, карты, макеты и т. д.).
Этап IV. Подведение итогов работы
У
читель
напоминает детям, что они должны были
составить информационно-логическую
схему урока, и просит двух-трех учеников
зачитать, что у них получилось. Для
удобства обсуждения учитель показывает
с помощью кодоскопа схему, составленную
им при подготовке к уроку (см. рисунок).
При обсуждении оказывается, что схема учителя и схемы учащихся полностью совпали. Учитель показывает с помощью кодоскопа вопросы для самоконтроля:
1) Что такое модель?
2) Что такое математическая модель?
Информационно-логическая схема урока
3) Назовите примеры математических моделей.
4) Какова роль математических моделей в УД и МПЗ?
5) Назовите виды моделей.
6) Назовите преимущества математических моделей.
Учитель спрашивает учеников, могут ли они ответить на эти вопросы или знают ли они, где можно найти ответы на них. Блиц-опрос показывает, что ответы на вопросы затруднения не вызывают. Учащиеся делают вывод, что цель урока ими выполнена полностью. Учитель еще раз формулирует домашнее задание.
Конец урока.
ЗАКЛЮЧЕНИЕ
В заключении можно сказать, что линия «Формализации и моделирования» достаточно сложна для обучающихся, в следствии чего просто необходим профессиональный, качественный подход к организации учебной деятельности. Эта область не только обеспечивает развитие, но и структурирует мышление и образ действий ребят. В ходе изучения линии учащиеся должны достаточно четко различать все этапы моделирования и уметь использовать их в своей деятельности (и не только в учебной).
схема1
Содержание линии «Моделирование и формализация»

Список использованной литературы
Бешенков В.А., Лыскова В.Ю. , Матвеева Н.В., Ракитина Е.А. Формализация и моделирование.//Информатика и образование.-1999.-№6.-с21-27.
Информатика: 7-9 кл. Задачник по моделированию/Под редакцией Макаровой Н.В. – М., 2001
Информатика: 7-9 кл./ Под редакцией Макаровой Н.В. – М., 2003
Лапчик М.П., Семакин И.Г., Хеннер Е.К. Методика преподавания информатики. – Москва: Академия, 2001.
Лыскова В.Ю. , Ракитина У.Ф. Учебные задачи в курсе информатики.//Информатика и образование.-1998.-№4.-с49-55.
Лыскова В.Ю. , Ракитина У.Ф. Учебные задачи в курсе информатики.//Информатика и образование.-1998.-№4.-с49-55.
Обязательные минимумы содержания образования по информатике и информационным технологиям.
Островская Е.М. Моделирование на компьютере.//Информатика и образование.-1999.-№1.-с54-61.
Пономарева Е.А. , .Урок по изучению понятия модели.//Информатика и образование.-1999.-№6.-с47-50.
Селиванов В.Л., Гришаева А.П, Селиванова Э.Т. Организация учебно – исследовательской работы студентов и школьников по информатике. – Новосибирск: 2003
Семенов А.Л.. Школьная информатика от истоков к будущему.//Информатика и образование.-1998.-№3.-с79-85.