Учёба и труд, их место в психическом развитии младшего школьника, новообразования младшего школьного возраста
Содержание
Введение……………………………………………………………………….3
Глава I. Психические особенности младших школьников и новообразования учащихся начальных классов:
1.1. Особенности обучения в начальных классах……………………6
1.2. Произвольное внимание как одно из центральных новообразований младшего школьного периода и другие психические функции у младшего школьника……………………...10
1.3. Личностная рефлексия как одно из новообразований в младшем школьном периоде…………………………………………………….16
1.4. Интеллектуальная рефлексия у младших школьников………...17
Развитие внутреннего плана действий у младших школьников….................................................................................21
Глава II. Экспериментальное изучение связи успеваемости и успешности обучения младших школьников с развитием свойств внимания:
2.1. Методы исследования…………………………………..............23
2.2. Полученные результаты………………………………………...25
Заключение…………………………………………………………………........30
Библиография………………………………………………………………........33
Приложение……………………………………………………………………...35
Введение
Младший школьный возраст начинается в семь лет, когда ребёнок приступает к обучению в школе, и длится до десяти лет [5], [13]. Ведущей деятельностью данного периода становится учебная деятельность. Младший школьник приступает к усвоению человеческого опыта, представленного в форме научных знаний. Также младший школьный период характеризуется дальнейшим совершенствованием высшей нервной деятельности, костно-мышечного аппарата, развитием психических функций. Младший школьный период занимает особое место в психологии ещё и потому, что этот "период обучения в школе является качественно новым этапом психологического развития человека. Ведь в это время психическое развитие осуществляется главным образом в процессе учебной деятельности и, следовательно, определяется степенью включённости в него самого школьника" [17, C.183]. Несмотря на подготовку к школе, осуществляемую в детском саду и родителями, адаптация к школе требует немалых усилий от ребёнка. Происходит резкое изменение режима всего дня. Учебная деятельность, став ведущей, ставит свой ряд требований к младшему школьнику. Ритм школьной жизни способствует развитию необходимых для успешного обучения навыков и умений. Школьник теперь сам должен распределять своё время, общается с большим количеством детей. Ребёнок меньше двигается, но зато ему приходитья выносить нагрузки, связанные с умственной деятельностью. К тому же у школьника по-прежнему остаётся потребность в игровой деятельности [3, C.32].
Результат решения этих новых, вставших перед ним задач, имеет большое влияние на дальнейшую жизнь школьника. События, происходящие с младшим школьником в школе, сказываются на его дальнейшем личностном развитии. Этот отрезок жизни обладает высокой значимостью, что и определяет актуальность данной работы.
Младший школьный период - это "этап интенсивного социального развития психики, её основных подструктур, выраженного как в процессе социализации индивидных образований, так и в новообразовании в личностной сфере и в формировании субъекта деятельности" [17, C.183]. На данном периоде у учащихся начальных классов основными новообразованиями являются личностная и интеллектуальные рефлексии, становление внутренней речи, самоконтроль, произвольность и осознанность познавательных процессов и поведения [13].
Цель работы: рассмотреть новообразования младшего школьного возраста и определить место учёбы и труда в деятельности учащегося начальных классов.
Объект исследования: развитие учащихся младшего школьного возраста.
Предмет исследования: психологические закономерности обучения в младшем школьном возрасте.
Гипотеза исследования: связь успеваемости и успешности обучения младших школьников с развитием свойств внимания.
Для достижения цели исследования и проверки гипотезы были поставлены следующие задачи:
1. Проанализировать существующие трактовки центрального психологического новообразования младшего школьного периода развития.
2. Изучить взаимосвязь центральных психологических новообразований младшего школьного возраста с новообразованиями дошкольного возраста и психологическим новообразованием кризиса семи лет.
3. Рассмотреть условия развития этих новообразований.
Методы исследования: Для проведения экспериментальной части работы подбор методов осуществлялся в соответствии с целями и задачами исследования. Были использованы методика изучения внимания у школьников третьих-четвёртых классов[15], методика «Да и нет». Для изучения особенностей развития произвольного внимания применялась «Корректурная проба» (тест Бурдона) [9, C. 78].
Глава I. Психические особенности младших школьников и новообразования учащихся начальных классов
Особенности обучения в начальных классах
"Младший школьный возраст – это период в жизни ребёнка с шести до десяти лет, когда он проходит обучение в начальных классах" [14, C. 43]. "В этот период учение является основным видом деятельности, в которой формируется человек" [16, C. 616]. В начальных классах дети приступают к познанию начала наук. На данном этапе преимущественно развивается интеллектуально-познавательная сфера психики. На этом этапе появляется много психических новообразований, совершенствуются и развиваются старые. "Школьный период характеризуется интенсивным развитием познавательных функций, сенсорно-перцептивных, мыслительных, мнемических и др" [17, C.185].
Обычно ученик начальной школы с охотой идёт в это учебное заведение. "Для учащихся первых-третьих классов характерным является стремление к положению школьника (80-63% ответов). С момента поступления в школу центральное место – социальный мотив – стремление к новой социальной позиции школьника" [17, C.185]. В первые дни учёбы в школе большое значение имеет опыт, приобретённый ребёнком дома. Раньше маленький дошкольник был единственным и уникальным существом, но с поступлением в школу, он попадает в среду, где вокруг него такие же "уникальные и единственные". Кроме необходимости приспосабливаться к ритму школьной жизни и новым требованиям, осваивать пространство школы, овладеть способами самоорганизации и организации своего времени младший школьник должен учиться взаимодействовать с одноклассниками. Но главная задача младшего школьника заключается в успешном обучении в школе.
Также важно отметить, что на этапе младшего школьного возраста ребёнок переживает так называемый кризис семи лет. У ребёнка изменяются восприятие своего места в системе отношений. "Меняется социальная ситуация развития, и ребёнок оказывается на границе нового возрастного периода" [8, C.251]. Ребёнок осознаёт своё место в мире общественных отношений и приобретает новую социальную позицию школьника, которая непосредственно связана с учебной деятельностью. Этот процесс коренным образом меняет его самосознание, что приводит к переоценке ценностей. Учёба приобретает громадное значение для школьника, поэтому, например, цепь неудач ребёнка в этой ведущей на данном этапе деятельности может привести к формированию устойчивых комплексов или даже синдрому хронической неуспеваемости [8, C. 255].
Конечно, чтобы учение стало ведущей деятельностью, оно и по-особому должно быть организованно. Важным элементом учебной деятельности является игра, в процессе которой ребёнок учится взаимодействовать со сверстниками, осваивает социальные роли, требования и правила, принятые в человеческом обществе. Игра, которая принимает социальную окраску, развивает чувства соперничества и сотрудничества. В течение игры младшие школьники усваивают такие понятия как равенство, подчинение, справедливость, несправедливость. Обычно младшие школьники предпочитают компанию своих сверстников одного с ними пола. Продолжается усвоение норм поведения, присущих их полу и одобряемых обществом. К тому же младшие школьники не могут долго сидеть на одном месте. Они нуждаются в движении. Урок должен содержать не только объяснение нового материала, его закрепление и повторение старого. Но также должно отводиться время различным двигательным действия, играм, подвижной деятельности.
Учитывая, что у дошкольников игра была ведущей деятельностью, учебная деятельность, которая становится ведущей на данном этапе развития, непосредственно связанна с игрой. Поэтому учебная деятельность может возникнуть только на определённой стадии развития игры.
Благодаря учебной деятельности рамки восприятия ребёнком окружающего мира расширяются. Неосознанные и вымышленные страхи прошлых лет сменяются более осознанными (уроки, природные явления, уколы).
"К важнейшим личностным характеристикам младшего школьника относятся: доверчивое подчинение авторитету, повышенная восприимчивость, внимательность, наивно-игровое отношение ко многому из того, с чем он сталкивается" [3, C.32]. В поведении учащегося начальных классов видны послушание, конформизм и подражательность.
Обучение в школе является для детей достаточно новой и поэтому интересной деятельностью, при этом они сталкиваются и с рядом трудностей. "Школьники первоначально, естественно, не умеют самостоятельно формулировать учебные задачи и выполнять действия по их решению. "До поры до времени им помогает в этом учитель, но постепенно соответствующие умения они приобретают сами (именно в этом процессе у них формируется самостоятельно осуществляемая учебная деятельность, умение учиться" [3, C.97]. Дети в этом возрасте обладают долей импульсивности, капризности, упрямства. Волевые процессы ещё недостаточно развиты у младших школьников. Но постепенно умение проявлять волевые усилия появляется в умственной деятельности и поведении школьников. У школьников формируются произвольные умственные действия, например, намеренное запоминание, волевое внимание, направленное и стойкое наблюдение, упорство в решении разнообразных задач. Поэтому возрастает значение оценки результатов деятельности школьника со стороны взрослых. "Учебно-познавательная деятельность школьника как социально и индивидуально значимая по существу имеет двойственную стимуляцию: внутреннюю, когда школьник получает удовлетворение, приобретая новые знания и умения, и внешнюю, когда его достижения в познании оцениваются учителем" [17, C.203] Оценка со стороны учителя является стимулом для учащегося. Эта оценка сильно влияет также и на самооценку учащегося. Причём, потребность в оценке и сила переживаний намного выше у более слабых учеников [7, C.43]. Оценка выступает в роли поощрения. Оценка учителя помогает ребёнку со временем самостоятельно научиться оценивать свою работу. Причём это должна быть не просто оценка результата, но и самих действий школьника, выбранного им способа для решения какой-либо конкретной задачи. Учитель в начальных классах школы не может ограничиться просто отметкой в журнале как оценкой деятельности ученика. Здесь важна содержательная оценка, то есть преподавателю необходимо объяснить школьнику, почему поставлена именно эта оценка, выделить положительные и отрицательные стороны работы ребёнка. В последствии педагог, оценивая учебную деятельность детей, её результаты и процесс, формирует у детей критерии оценки. [8, C.67].
Учебная деятельность побуждается различными мотивами. У ребёнка появляется стремление к саморазвитию и познавательная потребность. "Это интерес к содержательной стороне учебной деятельности, к тому, что изучается, и интерес к процессу деятельности – как, какими способами достигаются результаты, решаются учебные задачи" [8, C.255]. Но не только результат учебной деятельности, оценка мотивируют маленького школьника, а также и сам процесс учебной деятельности: развитие и совершенствование себя самого как личности, своих талантов, способностей. "Школьник, становясь субъектом познавательной деятельности в общей системе учебно-воспитательных воздействий, в это же время приобретает личностные свойства и личностное отношение к тому, что он делает, и процессу обучения в целом" [17, C. 206].
"Своеобразие и сложность учебно-познавательной деятельности школьного периода заключается в том, что она осуществляется преимущественно в условиях непосредственного общения с учителями и учениками класса и школы" [17, C.202]. В начале младшие школьники всецело опираются на мнение учителя. Они смотрят на отношение преподавателя к различным ученикам и даже могут перенять это отношение. Но в процессе общения со своими одноклассниками и учебной деятельности младшие школьники относятся к себе уже более критично. Они начинают оценивать как плохие, так и хорошие поступки. Хотя по–прежнему "центральное место в учебном процессе занимает общение ученика с учителем" [17, C.202].
В младшем школьном возрасте складываются наиболее благоприятные возможности для формирования нравственных и социальных качеств, положительных черт личности. Податливость и известная внушаемость школьников, их доверчивость, склонность к подражанию, огромный авторитет, которым пользуется учитель, создают благоприятные предпосылки для формирования высоконравственной личности.
Преобладающий тип мышления - наглядно-образное, а процесс целостного восприятия еще недостаточно сформирован, внимание носит часто непроизвольный характер. Первоклассники обращают внимание на то, что ярче выделяется: величину, форму, цвет или окраску.
Ребёнку предстоит ещё долгий и тернистый путь обучения в школе, на протяжении которого он будет осваивать новые предметы, новые навыки, новые умения. Он будет самосовершенствоваться и развивать свои способности, но основы для их дальнейшего формирования закладываются именно в первые годы обучения.
1.2 Произвольное внимание как одно из центральных новообразований младшего школьного периода и другие психические функции у младшего школьника
Безусловно, учебная деятельность требует усидчивости, организации своего времени, аккуратности, ответственности и, конечно, внимания. Высокий уровень развития свойств внимания положительно влияет на успешность обучения. Тогда как у дошкольников преобладало непроизвольное внимание, естественно, первое время оно же и лидирует у учащихся начальных классов. Дети, начинающие обучаться в школе, чаще всего страдают от рассеянности или неразвитости своего внимания. Развивать и совершенствовать внимание столь же важно, как и учить письму, счету, чтению. Внимание выражается в точном выполнении связанных с ним действий. Образы, получаемые при внимательном восприятии, отличаются ясностью и отчетливостью. При наличии внимания мыслительные процессы протекают быстрее и правильнее, движения выполняются более аккуратно и четко.
Внимание дошкольника отражает его интересы по отношению к окружающим предметам и выполняемым с ними действиями. Ребенок сосредоточен на предмете или действии только до тех пор, пока не угасает его интерес к этому предмету или действию. Появление нового предмета вызывает переключение внимания, поэтому дети редко длительное время занимаются одним и тем же. Постепенно в связи с требованиями школы произвольное внимание развивается и затем становиться ведущим. Без достаточной сформированности произвольного внимания, развитие которого является одной из важнейших задач школы, учебный процесс невозможен. Также происходит развитие устойчивости внимания (оно составляет 10-20 минут в младших классах). "На первом этапе (8-10 лет) прогрессивный характер развития внимания обеспечивается ростом всех его сторон, но в разной степени". Но именно произвольное внимание занимает одно из центральных мест среди новообразований младшего школьного возраста. Будучи учеником начальных классов, ребёнок начинает постигать способы направления своего внимания к различным частям целостных ситуаций. Когда преподаватель привлекает внимание учащихся к какому-либо учебному материалу, им приходится достаточно долго удерживать его. При обучении детей в начальных классах внешние впечатления могут стать отвлекающим фактором, но младшие школьники уже в состоянии концентрироваться и на неинтересных фактах и действиях [8, C. 45]. Произвольное внимание обеспечивает школьнику контроль за процессом своей деятельности.
Для продуктивной деятельности на уроке младшим школьникам необходимо развивать переключение, то есть переход от одного вида деятельности к другой, от одного рода занятий к другому [3, C.19].
Конечно, внимание как психическая функция по-разному развита у различных детей. Свойства внимания могут отличаться у детей. Эти свойства бывают развиты в неодинаковой степени. "Одни ученики имеют устойчивое, но плохо переключаемое внимание, они довольно долго и старательно решают одну задачу, но быстро перейти к следующей им трудно. Другие легко переключаются в процессе учебной работы, но так же легко отвлекаются на посторонние моменты. У третьих хорошая организованность внимания сочетается с его малым объемом". [8, с.262]. Невнимательные ученики характеризуются сильной отвлекаемостью, низким уровнем устойчивости, распределения и переключения внимания и плохим умением концентрироваться [12].
Факт того, что внимание на начальной стадии обучения не развито, слабо организовано, имеет небольшой объем, плохо распределяемо, неустойчиво, что во многом объясняется недостаточной зрелостью нейрофизиологических механизмов, обеспечивающих процессы внимания [13, C.50]. Интенсивно развиваясь на протяжении младшего школьного возраста, резко (в 2,1 раза) увеличивается объем внимания, повышается его устойчивость, развиваются навыки переключения и распределения [13, C. 57]. «К 9—10 годам дети становятся способны достаточно долго сохранять и выполнять произвольно заданную программу действий» [13].
Различные свойства внимания неодинаково используются в школьных дисциплинах. Например, ведущая роль при овладении математикой принадлежит объему внимания. Объём внимания является количеством объектов, воспринимаемых одновременно с достаточной ясностью и отчетливостью. Для ребенка младшего школьного возраста каждая буква является отдельным объектом. Объем внимания начинающего читать ребенка очень мал, но по мере овладения техникой чтения, приобретения опыта увеличивается и объем внимания, необходимый для беглого чтения. Основное условие расширения объема внимания - наличие навыков и умений систематизации, объединения по смыслу, группировки воспринимаемого материала.
Успешность усвоения русского языка связана с точностью распределения внимания, а обучение чтению — с устойчивостью внимания [13, С.57-80]. Если бы можно было легко развить различные свойства внимания, то успеваемость школьников по различным школьным дисциплинам, несомненно, возросла. Однако проблема заключается в том, что различные свойства внимания в неравной степени поддаются развитию. Объём внимания индивидуален, поэтому он наименее подвержен влиянию. Зато свойства распределения и устойчивости внимания можно и стоит тренировать. Конечно, для развития внимания немаловажное значение имеют и индивидуально-типологические особенности личности. Разные сочетания свойств нервной системы могут способствовать развитию каких-то свойств внимания, а другим препятствовать. Считается, что людям с сильной и подвижной нервной системой более характерно устойчивое, легко распределяемое и переключаемое внимание. Те люди, которые имеют инертную или слабую нервную систему, часто характеризуются неустойчивым, плохо распределяемым вниманием.
Однако фактор успешности – это организованность внимания, то есть умение своевременно и эффективно применить свойства внимания в различной деятельности. И даже обладая слабо развитыми свойствами внимания, ученик, умеющий правильно организовывать его, может быть весьма успешен в учебной деятельности. Так ошибки из-за «невнимательности» у младших школьников можно объяснить незрелостью нейрофизиологических механизмов, начальным этапом в овладении навыками организации учебной деятельности и прочими причинами, связанными с периодом адаптации к новым условиям школы [13]. Поэтому особенно важно в первом классе проводить занятия по развитию свойств внимания.
Дальнейшее развитие в младшем школьном периоде получает воображение. Творчество играет важную роль в жизни любого человека, а оно невозможно без воображения. К тому же раз игра всё ещё важна для младших школьников, в этой деятельности воображение активно используется. Благодаря воображению человек может прогнозировать результат своих действий. К тому же, воображение неразрывно связанно с памятью. Материал для воображения частично предоставляется памятью, а память использует образы воображения.
Память у младших школьников развивается в двух направлениях – произвольности и осмысленности. Что касается непроизвольности, то учащиеся легче запоминают учебный материал, который вызвал у них интерес. Это происходит у них непроизвольно. То же самое можно сказать и о материале, преподнесенном в игровой форме, ярких наглядных пособиях, иллюстрациях. Но в отличие от дошкольников учащиеся младших классов способны произвольно и целенаправленно запоминать неинтересный им материал, ведь обучение в школе в основном строится с опорой на произвольную память [8].
Младшие школьники характеризуются хорошей механической памятью. Но необходимо развивать смысловую память, потому что механическое заучивание текстов в младших классов может привести к будущим проблемам в учебной деятельности [3]. Осмысленный материал легче запоминается, а механически зазубренный производиться без понимания текста. Для того чтобы развить смысловую память, преподаватель должен научить детей простейшим мнемоническим приёмам. Например, прослеживание основных смысловых линий, составление плана, деление текста на смысловые части и озаглавливание этих частей, воспроизведение материала вслух или про себя.
Во время учебной деятельности развивается процесс сравнения. Вначале в сравнении учащиеся легко выделяют различия и труднее сходство. Затем дети учатся выделять яркие, броские признаки, в том числе и существенные. Развиваются процессы обобщения [3]. Содержание понятий и обобщений определяется в основном наглядно воспринимаемыми признаками предметов. В этом возрасте мышление ребенка тесно связано с его личным опытом и потому чаще всего в предметах и явлениях он выделяет те стороны, которые говорят об их применении, действии с ними. В младшем школьном возрасте у детей постепенно развивается способность к анализу, которая как мыслительное действие предполагает разложение целого на части, выделение путем сравнения общего и частного, различение существенного и несущественного в предметах и явлениях. Ребёнок начинает овладевать анализом, выделяя в предметах и явлениях различные свойства и признаки. Но умение выделять определённые свойства в предметах и явлениях даётся младшим школьникам с большим трудом. Обычно в первом классе дети выделяют лишь два-три свойства у какого-либо предмета. Но по мере обучения, расширения кругозора учащихся и знакомства с различными аспектами действительности такая способность, безусловно, совершенствуется. При различных учебных задачах, например, выделении корня в родственных словах, кратком пересказе текста или выборе заголовка для отрывка, младшим школьникам приходится учиться выделять общее и существенное. Детям приходится учиться умению отвлечься от несущественных деталей, что даётся им с не меньшими усилиями, чем выделение существенного.
Приемы логического анализа необходимы учащимся уже в первом классе, без овладения ими не происходит полноценного усвоения учебного материала. Именно в начальной школе происходит развитие важнейших психических функций, необходимых для успешной учёбы в будущем. Именно поэтому младший школьный период имеет такое огромное значение в жизни каждого человека.
1.3 Личностная рефлексия как одно из новообразований в младшем школьном периоде
Два других важных новообразования младшего школьного периода – это личностная рефлексия и рефлексия интеллектуальная. Рефлексия (от лат "reflexio" – "обращение назад") – это процесс самопознания субьектом внутренних психических актов и состояний. Понятие рефлексии первоначально возникло в философии и означало размышления индивида о происходящем в его сознании. Рефлексия в общей психологии – это познание субъектом внутренних психических актов и состояний. Личностная рефлексия понимается как осознание действующим лицом того, как он воспринимается партнёром по общению. Когда человек анализирует себя и своё поведение во взаимоотношениях с другими людьми и пытается представить, что о нём думают окружающие, он, таким образом, приходит к некоторому познанию своего «я». Это способствует пониманию особенностей своего характера, как положительных, так и негативных. Такого рода самопознание играет существенную роль в процессе самовоспитания.
Отличие личностной рефлексии от интеллектуальной рефлексии заключается в том, что оценивание положения происходит не на базе заданных (объективных, логических, общепризнанных и т.п.) оснований, а на оценке по собственным, часто глубоко субъективным критериям, которые могут иметь морально-нравственную, этическую, культурологическую природу. Поэтому можно сделать вывод, что процесс личностной рефлексии как одного из механизмов саморазвития личности достаточно индивидуален.
Личностная рефлексия как деятельность самопознания, как процесс получения явного знания о себе самом, ведёт к исследованию своего поведения, своих личностных особенностей, отношений с людьми, своего поведения. В младшем школьном возрасте, когда ряд факторов, влияющих на самооценку, заметно расширяется, глубина и интенсивность рефлексии зависит от многих социальных (социальное происхождение и среда), индивидуально-типологических (степень интраверсии-экстраверсии) и биографических (условия семейного воспитания, отношения со сверстниками). [19, С.18-20]. Условиями для развития личностной рефлексии могут стать какие-то необычные или озадачивающие ситуации в общении, необходимость понять переживания другого человека.
В младшем школьном возрасте личностная рефлексия как одно из новообразований данного периода имеет ряд особенностей. Постепенно у учащихся появляется своя точка зрения на всё, охватывающее их. Конечно, мнение окружающих влияет на самооценку младших школьников. Обычно, отвечая на вопрос, что о них думают другие, учащиеся начальных классов концентрируют своё внимание на конкретных делах, и лишь в средней школе дети начинают постигать особенности своего характера. Оценочные представления младших школьников достаточно ситуативны, и критерии их оценок довольно относительны.
1.4. Интеллектуальная рефлексия у младших школьников
Интеллектуальную рефлексию традиционно выделяют как одно из важнейших новообразований младшего школьного периода развития. Но изучение этого новообразования сопряжено с рядом трудностей. Как таковой чёткой формулировки понятия "интеллектуальная рефлексия" не существует. Несмотря на активное использование этого термина, это понятие не имеет однозначной определённости. Описание проблемы рефлексии есть в работах Я.М.Пономарёва, В.В.Давыдова, О.В.Долженко, Э.В.Ильенкова.
В современной психологии сложилась определенная традиция выделять рефлексию в качестве центрального новообразования младшего школьного периода развития. Трудности в изучении данного новообразования возникают уже при поиске дефиниции этого понятия и выяснении тех психологических фактов, которые с достаточной ясностью характеризовали бы генезис рефлексии в младшем школьном возрасте, как одного их главных психологических оснований построения обучения в начальной школе.
Анализ литературных источников показывает, что активное использование в психологии заимствованного из философии понятия рефлексии, не привело к его однозначной, содержательной и структурной определённости. Если теоретические, общепсихологические трактовки рефлексии непосредственно связаны с философским определением этого понятия, то экспериментальные исследования выполнены преимущественно в контексте возрастной психологии и направлены на выделение главных функций рефлексии в онтогенезе. Можно выделить три направления экспериментальных исследований рефлексии в педагогической и возрастной психологии.
Согласно одному из направлений в изучении рефлексии, основанном на выдвинутом С.Л. Рубинштейном требовании к психологическому познанию, необходимо изучать содержание и внутренний смысл психического факта, исходя из контекста реальной жизни и деятельности субъекта. Исследования, выполненные в ракурсе данного понимания рефлексии, раскрывают характер осознанной регуляции поведения, деятельности, психических процессов и состояний человека, определяют содержание рефлексии на разных ступенях онтогенеза.
В школьные годы дети становятся способны не только запоминать информацию, но и размышлять о том, как они это делают. Интеллектуальная рефлексия – это осмысление ребёнком своих действий, в процессе которого он осознаёт схемы и правила его деятельности. Рефлексия как особый вид познавательной деятельности заключается в уточнении своих знаний в выяснении основания своих знаний, в раскрытии их сущности через анализ и обобщение [14].
Интеллектуальная рефлексия определяется как умение субъекта оценивать, выделять, анализировать и соотносить с предметной ситуацией собственные действия. Основой интеллектуальной рефлексии являются мыслительные операции: анализ, синтез, построение умозаключений, обобщений, аналогий, сопоставлений, оценок, выводов. Также важными функциями интеллектуальной рефлексии являются критичность анализа, логичность обоснования, обобщённость систематизация, составление собственных представлений, накопление опыта [14].
Рефлексия, по мнению некоторых исследователей, неразрывно связанна с самооценкой, воображением и развитием речи. В теории учебной деятельности Д.Б. Эльконина и В.В. Давыдова, с процессом учебная деятельность развивает у младших школьников способность к рефлексии, являющейся одним из трех компонентов теоретического мышления (анализ, планирование, рефлексия). Г.А. Цукерман предлагает изучать рефлексию как способность человека определять границы своего знания и находить способы перехода этих границ. Выходить за границы наличной ситуации и собственных возможностей — главная функция рефлексии и обобщенная характеристика умения учиться.
В современной теории учебной деятельности выделяют, как правило, три основные сферы проявления рефлексии (деятельность и мышление; коммуникация и кооперация; самосознание). Механизм порождения рефлексии определяется как процесс осознания оснований собственных действий и способности различения собственного знания и незнания.
Интеллектуальная рефлексия неразрывно связанна со сферой общения. Предпосылки учебной деятельности складываются на основе игровой деятельности, где громадную роль играет воображение, которое является в дошкольном периоде центральным новообразованием. Благодаря игре, ребёнок овладевает навыками общения и приобретает рефлексивную позицию в общении. Поэтому рефлексия непосредственно связанна с общением ребёнка с окружающими.
Недостаточное развитие рефлексии чаще всего связано с неполноценным развитием общения в дошкольном детстве, с бедным содержанием игрового взаимодействия детей и их предметной деятельности, и, как следствие, с недостатками в развитии воображения .
Способность к рефлексии формируется и развивается у детей при выполнении действий контроля и оценки. Осознание ребенком смысла и содержания собственных действий становится возможным только тогда, когда он умеет самостоятельно рассказать о своем действии, подробно объяснить, что и для чего он делает. Ведь хорошо известно: когда человек объясняет что-то кому-либо другому, он сам лучше начинает понимать то, что объясняет. Поэтому на первых порах обучения любому действию (математическому, грамматическому и др.) необходимо требовать от ребенка не только самостоятельного и правильного выполнения этого действия, но и развернутого словесного разъяснения всех совершаемых операций.
1.5 Развитие внутреннего плана действий у младших школьников.
Внутренний план действий - это способность выполнять действия в уме. Это умение является одной из универсальных характеристик человеческого сознания и представляет собой ключевое условие для развития интеллекта [12]. С точки зрения классификации психических явлений, внутренний план действий не относится ни к одному из традиционно выделяемых психических процессов, а представляет собой нерасторжимое единство, сплав внимания, мышления, воображения и памяти [19].
Несмотря на исключительную важность внутреннего плана действий для человеческой психики, эта способность в условиях традиционно школьного обучения формируется лишь в основном при устном счёте на уроках математике и устном разбор слов и предложений на занятиях русским языком.
Внутренний план действий тесно связан с воображением. Условием для развития внутреннего плана действий является общение с людьми, в ходе которого происходит усвоение социального опыта и средств его осмысления. Как и любое психическое действие становление внутреннего плана действий проходит в своём развитии несколько этапов. Сначала это внешнее, практическое действие с материальными предметами. Затем реальный предмет заменяется его схемой, изображением. На финальном этапе после фазы проговаривания действия с предметом "про себя" следует умственное действие, т. е. действием «в уме».
В своём развитии такую последовательность проходят все умственные действия (счет, чтение, выполнение арифметических операций и т. д.). Наиболее наглядный пример — обучение счету: 1) сначала ребенок учится пересчитывать и складывать реальные предметы, 2) учится проделывать то же самое с их изображениями (например, считает нарисованные кружочки), 3) может дать правильный ответ, уже не пересчитывая пальцем каждый кружок, а совершая аналогичное действие в плане восприятия, лишь переводя взор, но по-прежнему сопровождая счет громким проговариванием; 4) после этого действие проговаривается шепотом и, наконец, 5) действие окончательно переходит в умственный план, ребенок становится способен к устному счету.
Развитие внутреннего плана действий обеспечивает способность ориентироваться в условиях задачи, выделять среди них наиболее существенные, планировать ход решения, предусматривать и оценивать возможные варианты и т. д. «Чем больше «шагов» своих действий может предусмотреть ребенок и чем тщательнее он может сопоставить их разные варианты, тем более успешно он будет контролировать фактическое решение задачи. Необходимость контроля и самоконтроля в учебной деятельности, а также ряд других ее особенностей (например, требование словесного отчета, оценка) создают благоприятные условия для формирования у младших школьников способности к планированию и выполнению действий про себя, во внутреннем плане» [4, с.83].
Помимо устного счёта и разбора предложений развитию внутреннего плана действий у младших школьников способствуют различные игры, в особенности шахматы, «пятнашки», шашки.
Глава 2. Экспериментальное изучение связи успеваемости и успешности обучения младших школьников с развитием свойств внимания.
2.1 Методы исследования.
Высокий уровень развития свойств внимания положительно влияет на успешность обучения у младших школьников [12], [19]. Большинство неуспевающих учащихся начальных классов характеризуются низким уровнем развития устойчивости, распределения и переключения внимания [12]. Особенно важную роль точность распределения внимания играет при усвоении русского языка, устойчивость внимания при обучении чтению. [13]. Как правило, у учеников, хорошо успевающих по школьным дисциплинам, степень интеграции основных свойств внимания — объема, устойчивости, концентрированности, распределения и переключения выше [14].
Чем более развиты свойства внимания, тем эффективнее обычно ученик справляется с учебными заданиями. Но и среди слабо успевающих учеников встречаются дети с объективно высокими свойствами внимания [12]. Поэтому в данном исследовании были протестированы две группы детей: хорошо успевающие и слабо успевающие по школьным дисциплинам. Были протестированы ученики третьих классов по методике «Да и нет». Также была использована корректурная проба: таблица Бурдона (5-минутный вариант заполнения) [9]. При работе с корректурной пробой Бурдона цель работы было измерение количественных характеристик внимания. В работе использовался бланк теста Бурдона в модификации, предложенной советским психологом П.А. Рудиком. В ходе работы каждому испытуемому были выданы листы с тестом Бурдона. Выполнению данной работы предшествовало упражнение, осуществляемое в специальной части бланка теста. Испытуемый должен был зачеркивать в бланке всегда четыре буквы: А, М, К, З. Работа шла построчно. Время, отведённое на выполнение задания, составляет пять минут.
Методика «Да и нет», также использованная для выявление уровня развития произвольного внимания, представляет собой некую модификацию известной детской игры «Да» и «Нет» не говорите, черного и белого не берите». По ходу игры ведущий задает ее участникам такие вопросы, на которые проще всего ответить словами «Да» и «Нет», а также употребив названия белого и черного цветов. Но именно этого по правилам игры делать нельзя. Для предлагаемой методики здесь запрещается отвечать на вопросы словами «Да» и «Нет». Испытуемым были заданны вопросы, среди которых- были такие, которые провоцировали ребенка высказывать свое отношение к школе и учению. Испытуемому задаются следующие вопросы:
1. Ты хочешь идти в школу?
2. Ты любишь, когда тебе читают сказки?
3. Ты любишь смотреть мультфильмы?
4. Ты хочешь пойти в школу не осенью, а только через год?
5. Ты любишь гулять?
6. Ты любишь играть?
7. Ты хочешь учиться?
8. Ты любишь болеть?
Затем детям была предложена игра в вопросы и ответы по типу игры в фанты с запретами : «Да» и «Нет» не говорите, белого и черного не берите». По ходу игры ребенку задавали ряд вопросов. Ребенок должен был отвечать как можно быстрее и при этом выполнять инструкцию:
1) не называть запрещенных цветов, например черного и белого;
2) не называть дважды один и тот же цвет;
Также была проведена методика изучения внимания у школьников 3-4 классов [15]. Здесь испытуемым нужно было исправить в предложенном тексте ошибки. Текс, данный учащимся, содержал десять ошибок:
Старые лебеди склонили перед ним гордые шеи. Зимой в саду расцвели яблони. Взрослые и дети толпились на берегу. Внизу над ними растилась ледяная пустыня. В ответ я киваю ему рукой. Солнце доходило до верхушек деревьев и тряталось за ними. Сорняки шипучи и плодовиты. Настоле лежала карта нашего города. Самолёт сюда, чтобы помочь людям. Скоро удалось мне на машине.
1.2 Полученные результаты
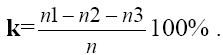
При обработке результатов корректурной пробы - таблицы Бурдона, вычислялся показатель концентрации внимания k. Для этого необходимо было подсчитать:
- общее количество правильно зачеркнутых букв - n1>; >
- количество пропусков букв А М К З - n>2>>; >количество ошибочно зачеркнутых букв - n3>;>
- общее количество в просмотренных строках букв А, М, К, З, подлежащих вычеркиванию - n.
П
оказатель
концентрации внимания k вычисляется
как отношение:
В зависимости величины этого коэффициента можно было получить качественную оценку.
Очень
хороший
-
81...
100%
Хороший -61...
80%
Средний -41... 60%
Плохой -21... 40%.
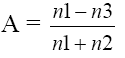
Коэффициент точности и аккуратности внимания А вычислялся по формуле:

Полученные результаты показывают, что дети с хорошей успеваемостью, как правило, имеют достаточно высокий уровень концентрации внимания и его точности. У большинства слабо успевающих детей уровень внимания средний или низкий. Хотя среди второй группы учащихся имеются и школьники с достаточно высоким уровнем внимания.
При ответе на заданные вопросы в методике «Да и нет» испытуемым нужно было постоянно помнить правила игры и отвечать определённым образом, контролируя свои ответы. При этом от них также требовалось одновременное обдумывание своих ответов, чтобы не произнести запрещённых слов. Эти действия были бы невозможны без определенного развития произвольности. Некоторые дети постарались облегчить поставленную задачу различными способами и, например, давали повторяющийся односложный ответ (например, «хочу»). Это действие лишало смысла их ответов. Для таких детей самым главным было лишь соблюдение формальности правила игры. Некоторые просто подменяли слова «да» и «нет» соответствующими движениями головы. Тем самым они соблюдали условия игры и не утруждали себя поиском адекватного ответа, что в достаточной степени сложно. Многие дети довольно долго молчали и обдумывали свой ответ прежде, чем дать содержательный ответ, не включающей запретные слова.
Обработка результатов проводится путем подсчета баллов, начисляющихся за ошибки, под которыми понимаются только слова «да» и «нет», «чёрное», «белое». Употребление детьми просторечной лексики (слова «ага», «не-а» и т.п.) не рассматриваются в качестве ошибки. Также не считается ошибкой бессмысленный ответ, если он удовлетворяет формальному правилу игры. Каждая ошибка оценивалась в 1 балл. Если ребенок правильно ответил на все вопросы, за его результат выставляется 0 (ноль). Таким образом, чем хуже выполнено задание, тем выше суммарный балл.
При обработке результатов методики изучения внимание у школьников третьих-четвёртых классов высшую оценку получали ученики, не пропустившие в тексте ни одной или не заметившие одной-двух ошибок. Средний уровень показали учащиеся, упустившие из своего внимания 3-4 ошибки в тексте. Низкий уровень внимания у учеников, не обнаруживших более пяти ошибок.
Полученные данные дают возможность выяснить, существует ли связь между успеваемостью и уровнем развития произвольного внимания.
Расчёт коэффициента корреляции между успеваемостью и уровнем развития произвольного внимания производился по следующей формуле:
,
где r
-коэффициент ранговой корреляции
d – разность рангов,
n - число предложенных.
Полученное значение корреляции (r=0.94, p<0,05) является показателем умеренной тесноты связи. Как видно из полученных данных, внимательные дети учатся лучше, чем невнимательные, не означает, что уровень развития произвольного внимания линейно связан с успеваемостью во всем диапазоне изменчивости этих показателей. Корреляционный анализ взаимосвязи свойств внимания и успеваемости отдельно в группах хорошо успевающих и слабо успевающих учеников обнаружил у невнимательных учеников большую зависимость успеваемости от уровня развития произвольного внимания. Учитывая, что уровень этих показателей у невнимательных учащихся достоверно ниже по сравнению с внимательными, можно предполагать, что это у существенно ограничивает возможности успешного выполнения учебных заданий. Однако, среди неуспевающих учеников есть ребята с достаточно неплохим показателем уровня внимания. Следовательно достаточно развитое произвольное внимание не может гарантировать успешность обучения.
Проведенное экспериментальное исследование подтвердило гипотезу и позволило сделать следующие выводы:
Хорошо успевающие ученики обычно имеют достаточно высокий уровень внимания.
Благодаря корреляционному анализу выявлена взаимосвязь свойств внимания и успеваемости. Дети с более высокий показателем сформированности произвольного внимания, в основном, имеют более высокую успеваемость.
Но, учитывая факт, что и среди слабо успевающих учеников есть такие, которые имеют достаточно высокий уровень произвольного внимания, можно сделать вывод, что какие-то другие психологические факторы оказывают влияния на процесс обучения этих учащихся (например, слабая мотивация к учёбе, лень).
В процессе школьного обучения происходит недостаточное и весьма хаотичное развитие произвольного внимания (в основном, при устном счёте на уроках математики). Поэтому необходимо дополнительные занятие по развитию произвольного внимания.
Заключение
Работа была посвящена особенностям обучения в младших классах и новообразованиям у учащихся начальной школы. В первой части работы был сделан теоретический анализ литературы, посвященный данной тематике, на основе которого были сделаны выводы о важной роли данного периода как стартового этапа в школьной жизни ребёнка. Также были рассмотрено появление ряда новообразований. У психологии имеются разные ответы на вопрос, что является центральным психологическим новообразованием младшего школьного периода развития. Это и рефлексия, и планирование, и произвольное внимание. Причем за каждым из ответов существует довольно стройная и аргументированная психологическая теория. В качестве основных новообразований в младшем школьном возрасте выделяют произвольность, внутренний план действия и личностная и интеллектуальная рефлексия. Для успешного обучения в школе у ребёнка должен сформироваться достаточных уровень их развития. При обучении в начальных классах должны учитываться и психические особенности учащихся. Для более продуктивного обучения на уроке надо учитывать специфику памяти детей, которое, в основном, имеет наглядно-образный характер. В начальных класса, когда запоминание, в основном, носит механический характер, основанный на силе впечатления или на многократном повторении акта восприятия, дети должны осваивать различные способы запоминания. Но раз учащиеся только учатся разным способам запоминания, учитель должен знать об особенностях памяти младших школьников, чтобы лучше строить процесс урока. Свои особенности имеют и другие новообразования такие, как внутренний план действий – способность выполнять действия в уме. По мере овладения учебной деятельностью и усвоения основ научных знаний школьник постепенно приобщается к системе научных понятий, его умственные операции становятся менее связанными с конкретной практической деятельностью или наглядной опорой. Дети овладевают приемами мыслительной деятельности, приобретают способность действовать «в уме» и анализировать процесс собственных рассуждений.
Дальнейшее развитие получает и интеллектуальная рефлексия. И хотя ребёнок ещё недостаточно осознаёт собственные мыслительные операции и малоспособен к внутреннему наблюдению, он "под давлением спора и возражений ребенок начинает пытаться оправдать свою мысль в глазах других и начинает наблюдать собственное мышление, т. е. искать и различать с помощью интроспекции мотивы, которые его ведут, и направление, которому он следует" [10]. Таким образом, младший школьник только начинает овладевать рефлексией, то есть способностью рассматривать и оценивать собственные действия, умением анализировать содержание и процесс своей мыслительной деятельности. У учащихся на данном периоде появляется личностная рефлексия. То есть они начинают оценивать свои поступки и своё поведение. Этим и другим психическим и физическим особенностям младших школьников уделяется достаточно много внимания в современной психологии.
Однако одним из основных факторов, который имеет значение не только для хорошей учёбы в младших классах и последующей средней школе, но и для будущей жизни, становиться такое новообразование как произвольное внимание. На основе экспериментальной работы выяснено, что у школьников младшего школьного возраста произвольное внимание занимает особое место. Обнаружена благодаря анализу и проведённому исследованию достаточно тесная корреляционная связь между успеваемостью и уровнем развития произвольного внимания. Однако развитое произвольное внимание не может гарантировать школьнику, что он преуспеет в своей ведущей деятельности – учёбе. Как показывают результаты, среди слабо успевающих учеников встречаются и достаточно внимательные ребята. Следовательно, и другие факторы оказывают влияние на успешность обучения.
Так как обучение в школе достаточно сложный в виду своей новизны вид деятельности для ребёнка, необходимо учитывать особенности учебной и трудовой деятельности в это время, а также появившиеся новообразования.
Библиография
1. Ананьев Б.Г. О проблемах современного человекопознания. - М.: Наука. – 1997. – С. 10-67.
2. Выготский Л.С. Собр. соч.: В 6 т. Т. 4. М.: Просвещение. - 1984. – 280 с.
3. Гамезо М.В., Орлова Л.М. Возрастная и педагогическая психология: Учебник. – М.: МГОПУ; АНОО НОУ, 1999. – С. 68-80.
4. Давыдов В.В. Психическое развитие в младшем школьном возрасте //Возрастная и педагогическая психология. — М.: Просвещение. - 1973. – С. 34-50.
5. Дубровина И.В. Об индивидуальных особенностях школьников. — М.: Наука. - 1975. – С. 12-89.
6. Заика Е.В. Игры для развития внутреннего плана действий школьников //Вопросы психологии. — 1994. — N 5.
7. Люблинская А.А. Учителю о психологии младшего школьника: Пособие для учителя. – М.: Просвещение. - 1977. – С.40-89.
8. Кулагина И.Ю., Колюцкий В.Н. Возрастная психология. – М.: Творческий центр «Сфера». - 2001. – 462 с.
9. Кидряшкина Т.А. Методы исследования внимания: Учеб. пособие. – Челябинск: УЮрГУ. – 1999 – С. 60-72.
10. Младший школьник. Запорожец А.В. Избранные психологические труды. — М.: Наука.- 1986. – С. 34-41.
11. Младший школьник: Психодиагностика и коррекция развития/ М.В. Гамезо, В.С.Герасимова, Л.М. Орлова. – М.: МГОПУ. - 1995. – С. 5-55.
12. Понарядова Г. М. О внимании младших школьников с различной успеваемостью // Вопр. психол. 1982. № 2. С. 51-59.
13. Практическая психология образования, М.: Творческий центр «Сфера». – 1997- 260 с.
14. Психологический словарь. Под ред. Зинченко В.П., Мещерякова Б.Г. М.,1996.
15. Ратанова Т.А., Золотарева Л.Н., Шляхта Н.Ф.. Методы изучения и психодиагностика личности. - М.: МГОПУ. – С.55-57.
16. Рубинштейн С.Л. Основы общей психологии. М.: Просвещение. – 1946.- С.307-311.
17. Рыбалко Е.Ф. Возрастная и дифференциальная психология: Учеб. пособие. – Л.: ЛГУ. - 1990. – 339с.
18. Сидоренко Е. В. Методы математической обработки в психологии - CПб.: ООО "Речь". – 2001. - С.52.
19. Солодухова О. Г. Индивидуальные особенности внимания и мыслительной деятельности учащихся: Автореф. канд. дис. М., 1976. – 22с.
20. Эльконин Д.Б. Детская психология. М., 1960.
Приложение
Результаты группы хорошо успевающих учеников:
|
Группа хорошо успевающих учеников |
Показатель концентрации внимания k |
Уровень концентрации внимания |
Коэффициент точности и аккуратности внимания А |
Средний балл успеваемости |
|
Антон Б. |
47 |
средний |
0.74 |
4,3 |
|
Елена Б. |
90 |
высокий |
1 |
5,0 |
|
Александр К. |
44 |
средний |
0.6 |
4,1 |
|
Максим С. |
66 |
выше среднего |
0.9 |
4,05 |
|
Екатерина К. |
72 |
выше среднего |
1 |
4,72 |
|
Иван Р. |
40 |
довольно низкий |
0.55 |
4,22 |
|
Светлана М. |
62 |
выше среднего |
0.8 |
4,9 |
|
Ирина П. |
69 |
выше среднего, |
0.8 |
4,83 |
|
Анна Б. |
58 |
средний |
0.7 |
4,77 |
|
Кристина Н.. |
88 |
высокий |
1 |
4,97 |
|
Валерий В. |
77 |
выше среднего |
1 |
4,02 |
Результаты группы слабо успевающих учеников:
|
Группа слабо успевающих учеников |
Показатель концентрации внимания k |
Уровень концентрации внимания |
Коэффициент точности и аккуратности внимания А |
Средний балл успеваемости |
|
Евгений А. |
34 |
довольно низкий |
0.5 |
3,63 |
|
Илья Л. |
42 |
средний |
0.6 |
3,33 |
|
Георгий А. |
66 |
выше среднего, хороший. |
0.9 |
3,43 |
|
Артур Г. |
39 |
довольно низкий |
0.5 |
3,38 |
|
Андрей А. |
33 |
довольно низкий |
0.5 |
3,01 |
|
Павел К. |
57 |
средний |
0.8 |
3,05 |
|
Василий С. |
74 |
выше среднего, хороший. |
1 |
3,97 |
|
Денис Р. |
43 |
средний |
0.6 |
3,52 |
|
Алина К. |
55 |
средний |
0.7 |
3,54 |
Результаты группы хорошо успевающих учеников:
|
Показатель уровня внимания в рангах |
Средняя успеваемость |
|
|
Антон Б. |
9 |
8 |
|
Елена Б. |
1 |
1 |
|
Александр К. |
10 |
11 |
|
Максим С. |
6 |
7 |
|
Екатерина К. |
4 |
6 |
|
Иван Р. |
11 |
9 |
|
Светлана М. |
7 |
3 |
|
Ирина П. |
5 |
4 |
|
Анна Б. |
8 |
5 |
|
Кристина Н.. |
2 |
2 |
|
Валерий В. |
3 |
10 |
Результаты группы слабо успевающих учеников:
|
Показатель уровня внимания в рангах |
Средняя успеваемость |
|
|
Евгений А. |
8 |
2 |
|
Илья Л. |
5 |
7 |
|
Георгий А. |
2 |
5 |
|
Артур Г. |
7 |
6 |
|
Андрей А. |
9 |
9 |
|
Павел К. |
3 |
8 |
|
Василий С. |
1 |
1 |
|
Денис Р. |
6 |
4 |
|
Алина К. |
4 |
3 |
2