Факультативні заняття з біології
План
Вступ
Розділ1. Місце факультативу в шкільному курсі біології
1.1 Патогенні мікроорганізми і здоров`я людини
1.2 Факультатив як одна із ефективних форм роботи вчителя в позаурочний час
1.3 Форми і методи роботи вчителя на факультативах
Розділ 2.Факультативний курс “Мікроорганізми і здоров`я людини”
2.1 Зміст і методика факультативного курсу
2.2 Загальна характеристика та методика проведення занять з факультативного курсу “Мікроорганізми і здоров`я людини” (плани-конспекти деяких занять)
Розділ 3. Проведення дослідження ефективності роботи факультативного курсу “Мікроорганізми і здоров`я людини”
Висновки
Список використаних джерел
Вступ
Навчальні плани середньої школи містять факультативні заняття, які пропонуються учням на вибір. Їх мета — розвинути індивідуальні інтереси і здібності учнів на тому навчальному матеріалі, до якого кожний з них має найбільший потяг.
Факультативи є однією з гнучких форм більш повного відображення в шкільній освіті сучасних досягнень науки, техніки, культури й обліку місцевих особливостей кожної школи, що дозволяє вносити істотні доповнення в зміст освіти, трудової і технічної підготовки учнів без зміни навчального плану, програм і підручників основного курсу середньої школи.
Факультативні заняття розширюють розумовий кругозір школярів, розвивають їхні пізнавальні інтереси. Тому факультативні заняття є однієї з форм професійної орієнтації, деякою мірою закладають фундамент майбутньої спеціальності. Факультативні заняття установлюють певні зв`язки між загальною освітою і майбутньою спеціальністю молодої людини.
Мікроорганізми перебувають скрізь: у грунті, воді, повітрі, на предметах, які нас оточують, на продуктах харчування, на рослинах, на поверхні тіла і в шлунково-кишковому тракті людини. Мікроорганізми можуть бути як корисними, так і патогенними. Досить часто мікроорганізми викликають різні захворювання. Тому вивчення факультативного курсу “Мікроорганізми і здоров`я людини” учнями 9 класу актуальне, оскількит вони одержують знання з біології людини, зокрема факультативні заняття сприятимують санітарно-гігєнічному вихованню учнів.
Мета даної роботи – з`ясувати особливості проведення факультативу “Мікроорганізми і здоров`я людини” та запропонувати розробку його занять.
Виходячи з поставленої мети перед нами постали такі завдання:
з`ясувати місце факультативу “Мікроорганізми і здоров`я людини” в шкільному курсі біології;
розглянути та охарактеризувати патогенні мікроорганізми людини, їх вплив на їх здоров`я;
охарактеризувати основні форми та методи роботи на факультативних заняттях;
запропонувати розробку факультативного курсу “Мікроорганізми і здоров`я людини”;
визначити ефективність роботи факультативного курсу “Мікроорганізми і здоров`я людини”.
В ході виконання поставлених завдань були застосовані методи: аналіз літературних джерел, планування та моделювання програми курсу, обробка одержаних результатів.
Структура бакалаврської роботи: робота містить вступ, три розділи (5 підрозділів), висновки та список використаних джерел (14).
Розділ1. Місце факультативу в шкільному курсі біології
1.1 Патогенні мікроорганізми і здоров`я людини
Питання про природу інфекційних захворювань людини здавна цікавило багатьох дослідників. Завдяки відкриттям Л.Пастера, обґрунтуванню значення хвороботворних мікроорганізмів у виникненні різних хвороб, ідентифікації їх (тріада Генле—Коха) вдалося правильно підійти до розкриття суті цієї надзвичайно важливої проблеми.
Мікроорганізми, які можуть спричинити захворювання людини, тварин і рослин, дістали назву патогенних або хвороботворних.
М. В. Земсков зі співавторами (1977) наводять схему можливої еволюції мікроорганізмів, в якій припускається, що симбіоз у формі паразитизму призвів до виникнення патогенних мікробів, а останні диференціювалися на облігатних (суворих) паразитів, некропаразитів і токсиногенних сапрофітів [3].
Думку про виникнення хвороботворних мікробів із сапрофітних поділяють багато вчених, гадаючи, що патогенні мікроорганізми можуть походити від сапрофітів у випадку набуття ними плазмідів вірулентності. Отже, в результаті зміни генетичного матеріалу утворилися різноманітні види мікроорганізмів, у тому числі й патогенні, які за певних умов зумовлюють різні захворювання людини, тварин і рослин.
Патогенні види мікробів у процесі свого еволюційного розвитку пристосувалися до паразитичного типу живлення в тканинах і рідинах організму хазяїна. Інфікований організм відповідає на проникнення патогена відповідними реакціями, які виражаються у виявленні симптомів хвороби, а також у різних захисних пристосуваннях.
Крім патогенних, існують і так звані умовно патогенні мікроорганізми, які входять до нормальної мікрофлори тіла людини. Тому результати проникнення в організм патогенних мікробів залежать не тільки від реактивності макроорганізму, а й від складу нормальної мікрофлори, що може проявляти себе як антагоністично, так і синергічно [3].
До патогенних мікроорганізмів належать багато представників бактерій, грибів, мікоплазм, рикетсій, вірусів і найпростіших. Патогенність є видовою ознакою мікроорганізму, яка характеризує його здатність спричиняти інфекційне захворювання. Іншими словами, це комплекс хвороботворних властивостей даного мікроба, які виробились у боротьбі за існування і пристосування до паразитичного способу життя в людському, тваринному або рослинному організмах.
Патогенні мікроорганізми характеризуються своєю специфічністю. Кожен представник різних видів патогенних мікробів може зумовити якусь певну хворобу з характерними тільки для неї ознаками. Специфічність інфекції є важливою ознакою; вона проявляється у вибірковості ураження тканин і органів, локалізації збудників, клінічній картині хвороби тощо. Патогенність визначається вірулентністю, агресивністю і токсиногенністю.
Вірулентність означає ступінь патогенності даної культури (штаму) мікроба. Якщо патогенність є сталою видовою ознакою мікроорганізму, то вірулентність є його індивідуальною властивістю, яка може змінюватися під впливом природних умов (світла, температури, висушування тощо). Вірулентність можна підвищувати і ослаблювати пасажуванням на сприйнятливих лабораторних тваринах, трансформацією, трансдукцією, дією антимікробних препаратів, пересіванням з одного на інше поживне середовище тощо. Механізм підвищення і зниження вірулентності докладно ще не з'ясовано. Однак слід зазначити, що штучне зниження вірулентності патогенних мікроорганізмів широко використовують при виготовленні вакцин [3].
Для характеристики патогенних мікробів установлено одиницю вірулентності — Dcl (Dosis certata letalis), яка являє собою таку кількість живих мікробів, від якої повинні загинути всі 100 % тварин, що їх взято для досліду. Dlm (Dosis letalis minima) — найменша кількість живих мікроорганізмів, які спричиняють за певний час загибель близько 80 % відповідних лабораторних тварин. Сублетальна доза може вбивати приблизно від 5 до 10 % досліджуваних тварин.
Певна кількість патогенних мікроорганізмів, що здатна викликати інфекційне захворювання, дістала назву інфікуючої дози (ІД). Наприклад, такою дозою, встановленою в дослідах на добровольцях для Shigella dysenteriae, є 10—100 бактеріальних клітин збудника дизентерії. Вірулентність патогенних мікробів пов'язана з їхньою агресивністю, токсиногенністю, інвазійністю, капсулоутворенням та іншими властивостями.
Агресивність — це здатність бактерій проникати в організм, закріплюватись в ньому, розмножуватися і поширюватися. Матеріальною основою агресивності є фактори інвазивності, агресини, полісахариди тощо. Фактори інвазивності, або поширення, — це низка ферментів, що їх виробляють мікроби й за допомогою яких проникають в організм і поширюються в ньому. В 1970 р. було виділено із рідини набряклого корбункула сибірки речовину, яка при додаванні до несмертельної дози збудника цієї хвороби спричиняла загибель тварини. Ці речовини назвали агресинами (О. Бейль) [3].
Бактеріальні полісахариди капсул і клітин, наприклад стрептококів, пригнічують фагоцитоз і разом з агресинами сприяють закріпленню і розмноженню бактерій в інфікованому організмі.
Токсини. В основі патогенності переважної більшості мікробів — збудників інфекційних хвороб людського, тваринного і рослинного організмів — лежить їхня токсиногенність, тобто здатність утворювати токсини — різні за хімічним складом речовини, які можуть зумовлювати специфічні розлади і навіть смерть інфікованого організму. За характером утворення, токсини поділяють на екзотоксини й ендотоксини, які відрізняються між собою за хімічною структурою.
Екзотоксини — це отруйні речовини, що виділяються в середовище мікробною клітиною як продукт життєдіяльності. Вони є простими білками, які характеризуються різко вираженою токсичністю, тобто у дуже малих дозах токсично діють на сприйнятливі організми. Екзотоксини характеризуються вибірковістю — здатністю вражати окремі тканини й органи організму; наприклад, дифтерійний ендотоксин уражає надниркові залози і серцевий м'яз, а правцевий — рухові нервові клітини. Вони нестійкі щодо високої температури, світла, кисню, дуже швидко руйнуються при кип'ятінні.
До мікробів, яким притаманна найбільша здатність виділяти екзотоксини, відносять збудників: правця, дифтерії, ботулізму, газової анаеробної інфекції, холери та інші. Грампозитивні бактерії з родів Streptococcus, Staphylococcus і Clostridium in vitro утворюють різноманітні цитолітичні токсини. Нині відомо понад 50 екзотоксинів бактерій; їх поділяють на три класи. До класу А належать холероген, який виділяється збудником холери, гістотоксин, дермонекротоксин, що секретуються збудником дифтерії, летальний токсин збудника сибірки тощо. Клас В включає нейротоксин збудника бутулізму, тетаноспазмін правця та деякі інші. До класу С відносять ентеротоксин збудника дизентерії, «мишачий токсин», що його утворює збудник чуми, та інші [3]
Ендотоксини — сполуки, які найчастіше пов'язані з певними структурами мікробних клітин і можуть вивільнятися тільки після автолізу (руйнування) клітин. За хімічним складом вони набагато складніші за екзотоксини, оскільки містять білки, ліпіди і полісахариди. Ці токсини являють собою комплекси ліпополісахаридів з білками клітинних оболонок грамнегативних бактерій. Їх було виділено майже з усіх патогенних грамнегативних бактерій, насамперед з представників родів Salmonella, Shigella і Escherichia.
Ендотоксини цих бактерій виявляють два види активності — пірогенність (здатність підвищувати температуру тіла) і токсичність. Вони більш термостійкі, ніж екзотоксини, можуть витримувати нагрівання до і понад 100 °С, меншою мірою токсичні і не мають специфічності. Щоб добути ендотоксини in vitro, використовують хімічні або фізичні чинники, що призводять до руйнування мікробної клітини зі звільненням з неї необхідних токсинів.
Останнім часом встановлено, що гени, які визначають синтез бактеріальних токсинів, переважно локалізовані в профагах або плазмідах. Наприклад, виявлено, що у бактерій Corynebacterium diphtheriae, Staphylococcus aureus та інших гени токсиногенності локалізуються в ДНК помірного фага, а в кишковій паличці — в плазмідах. У всіх цих випадках втрата бактерією профагів або плазмід робить її не здатною утворювати токсини. Токсиноутворення відновлюється з введенням у таку клітину профага чи плазміди.
Функціональне значення токсинів ще повністю не з'ясовано. Багато нетоксиногенних бактерій так само успішно ростуть і розмножуються в організмі хазяїна, як і токсиногенні. Отже, токсиноутворення не є обов'язковою видовою ознакою мікробів.
Токсини бактерій, зокрема екзотоксини, є найсильнішими із відомих хімічних і біологічних отрут. Показники сили їхньої дії (Dlm, LD5o) визначають на чутливих лабораторних тваринах. Наприклад, у 1 мл дифтерійного токсину, з якого виготовляють анатоксин, міститься 10 000 Dlm для морської свинки. 1 мл правцевого токсину має 200 000 Dlm для білої миші, а в 1 мл екзотоксину, який виділяється збудником ботулізму, міститься (залежно від типу збудника) від 60 000 до 1 000 000 Dlm для морської свинки. Одержано правцевий, дифтерійний та інші токсини в очищеному вигляді, які характеризуються більш високою токсичністю для чутливих лабораторних тварин. Крім бактерій, токсиногенні властивості мають й такі ульт-рамІкроорганізми, як рикетсії та віруси.
Інфекцією (лат. infectio — зараження) називають складні біологічні процеси, які виникають в організмі людини, тварини або рослини в результаті проникнення і розмноження в ньому патогенних мікроорганізмів — збудників хвороби. Історично сформована взаємодія сприйнятливого людського організму і патогенного мікроба за певних умов середовища дістала назву інфекційного процесу. Часто термін «інфекція» ототожнюють з поняттям «інфекційне захворювання». Однак визначення інфекційної хвороби як одного з найвищих ступенів прояву інфекційного процесу, очевидно, більш правильне. З біологічної точки зору інфекційний процес є різновидом паразитизму.
Між організмом хазяїна і мікробами, які проникли до нього, відбувається складна боротьба. Якщо організм не може протистояти патогенним мікробам і паралізувати їхню шкідливу дію, а зовнішнє середовище сприяє розвиткові мікроорганізмів, виникає інфекційне захворювання.
Отже, для виникнення і розвитку інфекційного процесу необхідні три складники: а) наявність патогенного мікроба; б) проникнення його в сприйнятливий макроорганізм; в) певні умови зовнішнього середовища, в якому відбувається взаємодія між мікро- і макроорганізмом.
Дуже важливе значення для виникнення інфекційного процесу має стан макроорганізму. Ступінь його участі в інфекційному процесі може залежати від виду і генотипу, реактивності, розладу функції центральної нервової системи (ЦНС), білкового голодування, наявності вітамінів, гормонів та інших факторів. Залежно від стану, в якому перебуває макроорганізм, а також впливу зовнішнього середовища інфекційний процес може закінчитися загибеллю хвороботворного мікроорганізму, загибеллю макроорганізму або встановленням взаємної адаптації між ними.
Проникнення в макроорганізм патогенного мікроба не завжди спричиняється до захворювання; в багатьох випадках воно обмежується короткочасним інфікуванням без прояву хвороби або відносно тривалим носінням збудників інфекції макроорганізмом. Саме завдяки цьому інфекція може траплятися набагато частіше, ніж інфекційні хвороби.
Вплив виду і генотипу. Організм людини є сприйнятливим до збудників гонореї і менінгококового менінгіту, а майже всі тварини до них резистентні (несприйнятливі). Подібні приклади свідчать про наявність у макроорганізмів видової резистентності (опірності). В літературі наводяться численні приклади генотипової резистентності. Наприклад, збудник сибірки здебільшого уражає травоїдних тварин. Поряд з цим є дані про те, що генотип алжирських овець робить їх відносно резистентними до цієї хвороби [3].
Реактивність макроорганізму, його імунобіологічна готовність знешкодити патогенні мікроби тісно пов'язані зі станом довкілля, умовами життя і побуту, характером праці й харчування, санітарно-гігієнічними умовами тощо.
На сприйнятливість макроорганізму до інфекції певним чином впливають вік і стать у зв'язку з фізіологічними особливостями. Наприклад, до одних інфекційних хвороб діти більш сприйнятливі, до інших, навпаки, менш сприйнятливі, ніж дорослі. Різна вікова резистентність до інфекції залежить від характеру обміну речовин, функцій органів внутрішньої секреції і особливостей імунітету.
На підвищення сприйнятливості до інфекційних хвороб особливо впливає характер харчування. Зокрема, білкове голодування супроводиться порушенням білкового обміну, що призводить до зменшення синтезу специфічних антитіл, зниження активності фагоцитів. У результаті голодування макроорганізм може втрачати не лише індивідуальний, а й видовий імунітет.
Значно впливають на сприйнятливість до інфекційних захворювань гіповітамінози. Наприклад, гіповітаміноз С зумовлює зниження опірності до туберкульозу, дифтерії, стрептококових, стафілококових та інших захворювань, а гіповітаміноз А сприяє розвиткові ксе-рофталмії, шкірних уражень, бронхопневмонії, грипу тощо.
Погані санітарно-гігієнічні умови праці й побуту, фізична і розумова перевтома, пов'язані з нерівномірним розподілом робочого часу і порушенням режиму життя, зумовлюють ослаблення захисних механізмів проти багатьох інфекційних захворювань. Охолодження, а також перегрівання знижують стійкість організму до патогенних і умовно патогенних мікроорганізмів, сприяють розвиткові пневмоній та інших захворювань.
Відомо, що видалення надниркових залоз, гіпофіза або щитовидної залози у тварин помітно знижує стійкість їх до різних інфекційних захворювань [13].
З літератури відомо, що гормон кортизон пригнічує запальний процес, а отже, сприяє розвиткові інфекції, соматотропний гормон, навпаки, активізує запальну реакцію, виявляючи цим самим проти-інфекційну дію. Отже, роль гормонів у виникненні та розвитку інфекційного процесу безсумнівна і неоднотипна.
На сприйнятливість організму до інфекції особливо впливає порушення нормальної діяльності ЦНС. Введення заразного матеріалу (в основному нейротропних збудників) у мозок дослідним тваринам здебільшого закінчувалось їхньою смертю. Психічні розлади також знижують регулюючу функцію ЦНС. Встановлено, що у психічно хворих набагато частіше спостерігаються інфекційні хвороби, ніж у нормальних людей.
Джерелом інфекції є заражений організм людини або тварини.
Розрізняють такі шляхи передачі інфекції від людини.
1. Контактно-побутовий шлях, коли захворювання передається безпосередньо або через предмети, що оточують хворого.
2. Повітряно-крапельний шлях, коли інфекція передається через крапельки слини, що потрапляють у повітря при розмові, чханні, кашлі. Так можуть передаватися туберкульоз, грип, коклюш, дифтерія, кір тощо.
3. Передача інфекції через воду, в яку потрапляють мікроби з виділеннями хворих (холера, черевний тиф, дизентерія та ін.).
4. Через заражені харчові продукти.
5. Через укуси кровосисних членистоногих (наприклад, малярія).
6. Через грунт: наприклад, кишкові захворювання, правець.
У динаміці розвитку інфекційного процесу розрізняють такі періоди: інкубаційний, провісників (продромальний), розпалу хвороби і період реконвалесценції (одужання). Першою особливістю інфекційного процесу є те, що ознаки захворювання виявляються не відразу після зараження, а через певний прихований, інкубаційний період. Він може тривати від кількох годин до кількох днів (дифтерія) і навіть тижнів (черевний тиф). Протягом інкубаційного періоду відбувається розмноження й нагромадження мікробів та їхніх отрут, підвищення реактивності організму до збудника і його токсинів, що й виражається у виявленні і розвитку ознак захворювання.
За інкубаційним періодом настає продромальний (період провісників хвороби), що характеризується наявністю деяких загальних ознак захворювання: невеликим підвищенням температури, загальним нездужанням тощо. У період розпалу хвороби інфекційний процес, досягши високої інтенсивності, тримається на цьому рівні певний час, що є неоднаковим при різних захворюваннях.
За сприятливого перебігу хвороба переходить у стадію одужання, першою ознакою якого є спадання температури, поліпшення загального самопочуття і т.п. При багатьох інфекційних захворюваннях клінічне одужування не збігається за часом зі звільненням інфікованого організму від збудника хвороби [3,244].
Форми інфекцій. Розрізняють інфекції гострі та хронічні, явні та приховані, мішані та вторинні. Гострі інфекції часто характеризуються раптовим початком та порівняно короткочасним перебігом (грип, кір, скарлатина та ін.). Деякі інфекції, наприклад, туберкульоз, бруцельоз, малярія найчастіше мають хронічний характер і відзначаються тривалим перебігом.
В окремих випадках інфекція може бути мішаною, коли одночасно відбувається зараження збудниками двох або більше патогенних видів. Часто інфекція може зумовлювати ослаблення організму, який стає схильним до інших захворювань. Так, наприклад, після грипу або кору розвивається запалення легень, дитина, хвора на кір, захворює на дифтерію або навпаки. В таких випадках говорять про вторинну інфекцію.
Якщо організм, що переніс якусь інфекційну хворобу, в результаті повторного зараження знову захворює на ту саму хворобу, то говорять про реінфекцію. Суперінфекція — це повторне зараження організму, в якого ще перебігає основне захворювання. Загострення процесу в період видужання називається рецидивом.
Питання про спадкову передачу інфекційних захворювань досі ще остаточно не з'ясоване. Багато дослідників заперечують можливість у людини такої передачі, зумовленої інфікованими статевими клітинами. Разом з цим експериментальне доведено можливість передачі заразних хвороб від хворої матері плоду через плаценту (стафілококові захворювання, черевний і поворотний тиф, вірусний гепатит, сифіліс, СНІД та ін.) і під час родів (бленорея новонароджених).
Інфекційні хвороби поділяють на екзогенні та ендогенні. При екзогенних зараженнях збудник проникає в макроорганізм ззовні — від хворих, бацилоносіїв, через заражені ним харчові продукти, воду, повітря, предмети, Грунт тощо. Ендогенні хвороби, які ще називають аутоінфекціями, виникають в результаті активування власних мікроорганізмів, це може статися внаслідок порушення відносної сталості внутрішнього середовища макроорганізму, впливу зовнішніх факторів.
Характер поширення інфекційних захворювань серед населення може бути різний. Якщо спостерігаються окремі випадки інфекційних хвороб, то говорять про спорадичні (поодинокі) захворювання.
Значна кількість випадків інфекційного захворювання, пов'язаних між собою спільним джерелом або спільними шляхами поширення, називається епідемією (епізоотією— серед тварин). Якщо епідемія досягає надзвичайно великих розмірів, охоплюючи цілі країни і навіть континенти, її називають пандемією.
З історії відомі приклади багатьох пандемій у минулому. Так, у VI та XIV ст. спостерігалися пандемії чуми, а з 1817 по 1963 р. було сім пандемій холери. У 1972—1973 рр. вірус грипу спричинив пандемію, яка охопила 2,5 млрд людей, майже на 1,5 млрд чоловік більше, ніж пандемія цього захворювання у 1957 р.
Хвороби людини. У 1882 р. Р.Кох відкрив туберкульозну паличку — збудника інфекційного захворювання, яке має хронічний перебіг у людини, свійських і диких тварин, птахів, —туберкульозу. Це пряма або дещо зігнута «паличка» з заокругленими кінцями завдовжки 1—4 мкм (рис. 1). Туберкульозні палички нерухомі, іноді вони мають здуття на кінцях; спор і капсул не утворюють, грампозитивні, досить стійкі до високої температури, висушування, кислот.
У поширенні цієї хвороби особливо важливу роль відіграють умови життя. Війни, голод, безробіття, економічні кризи, стихійні лиха тощо спричинюють різке зростання захворювання населення на туберкульоз. Сучасна економічна криза в Україні ще раз підтвердила цю істину. З 1991 по 2001 р. кількість хворих на туберкульоз у нашій країні збільшилась майже у 2 рази.
Одна з найдавніших відомих інфекційних хвороб людини — холера. Збудники її — бактерії, що за формою нагадують кому (рис. 2).
Відкрив збудників холери Р. Кох. Холерний вібріон належить до грамнегативних бактерій, не утворює капсул і спор, це рухливий монотрих.
Вид Vibrio cholerae поділяється на чотири біовари: cholerae, eltor, proteus і albensis. Перші два біовари є збудниками холери у людей. Холерні вібріони утворюють екзотоксин холероген, який виявляє ентеротоксичну дію і відіграє важливу роль у патогенезі цієї інфекційної хвороби. Збудники холери при зниженій температурі можуть зберігатися в грунті до 2 місяців, у випорожненнях — до 5 місяців, а в морській і річковій воді — до 4 тижнів. На харчових продуктах вони можуть існувати до 10 діб.

Рис. 1. Чиста культура туберкульозних бактерій (Mycobacterium tuberculosis): 1 — тип, який уражує людину; 2 — тип, який уражує биків; 3 — тип, який уражує птицю

Рис. 2. Холерний вібріон (Vibrio cholerae)
Поширений і в наш час у багатьох країнах, збудник холери належить до біовару eltor. Його було відкрито в 1906 р. на карантинній станції Ель-Тор (Саудівська Аравія), звідси він і дістав свою назву. Він є дуже інфекційним, набагато стійкішим проти антибіотиків, ніж інші біовари холери.
Епідемії холери не припиняються й дотепер. Так, наприкінці січня 1991 р- вона почалася в Перу, а до кінця червня в семи країнах Латинської Америки на холеру захворіло біля мільйона чоловік, три тисячі з яких померло. У 1994 р. в Дагестані епідемія холери захопила майже всі райони; десятки людей померли від цієї тяжкої недуги. Останніми роками холера з'явилась і в Україні в Криму, Одеській, Миколаївській та інших областях [3].
Дифтерія. Дифтерійні коринебактерії (Corynebacterium diphtheriae) — прямі або злегка зігнуті палички, поліморфні, грампозити-вні, неспороносні аеробні або факультативне анаеробні організми; в бульйонній культурі утворюють сильні екзотоксини. Джерелом інфекції є хворі на дифтерію і носії. Хвороба передається повітряно-крапельним шляхом, а також через різні предмети [3].
У 90-х роках в Україні різко зросла захворюваність населення на дифтерію. Так, влітку 1993 р. було зареєстровано біля 2 тисяч інфікованих, з яких 50 чоловік померло, у тому числі 15 дітей. В Україні було об'явлено надзвичайний стан, і тільки масова імунізація стала надійним заслоном проти епідемії.
1.2 Факультатив як одна із ефективних форм роботи вчителя в позаурочний час
Перед факультативними курсами, так само як і перед основними біологічними дисциплінами, постає задача всіляко сприяти загальному навчанню школярів. Поряд з цим факультативні заняття повинні не тільки підтримувати і зміцнювати інтерес учнів до природи, але й орієнтувати їх на професії, пов'язані з її вивченням. Ці дві основні задачі не є ізольованими, вони тісно зв'язані між собою.
Серед загальноосвітніх задач, поставлених перед факультативами, особливе значення має виховання наукового, діалектико-матеріалістичного світогляду. Воно ведеться шляхом розширення і поглиблення загальбіологічних понять, залучення фактів з історії науки, що показують розвиток наукових проблем, критику релігійних догм і ідеалістичних трактувань.
Оскільки загальбіологічні поняття можуть бути розкриті лише на спеціальному матеріалі, виникає задача — відібрати для вивчення відповідні питання [12].
Світоглядні і загальбіологічні ідеї звичайно тісної зв'язані з конкретним матеріалом, а він нерідко належить до різних областей біології, тому вирішити весь комплект загальноосвітніх задач, нехай обмежений одним поняттям, навряд чи можна в одному курсі, тим більше що цей комплекс не єдиний, оскільки, крім загальбіологічних понять, факультативний курс повинний містити визначені політехнічні і спеціальні відомості.
Виходячи з задач політехнічної підготовки, факультативні курси повинні бути побудовані так, щоб при вивченні їхні школярі могли одержати визначену суму знань про наукові основи мікробіологічних виробництв і спеціальних служб, включаючи відомості про біологічні основи мікроорганізмів, їх види, значення в природі, негативний та позитивний їх вплив.
Необхідно врахувати задачі гігієнічної пропаганди: вплив промислового та природного оточення на людину і на здоров'я людини, основні принципи культивування мікроорганізмів.
З метою профорієнтації учнів на медичні і педагогічні спеціальності необхідно дати школярам знання по фізіології і гігієні людини, а для пропаганди мікробіологічних знань по фізіології та морфології мікроорганізмів та бактерій.
Поглиблене вивчання біології повинне не тільки збагачувати учнів новими знаннями, але і розвивати їхні здібності, знайомити з методами наукового дослідження, привчати до самостійної роботи. Виходячи з цієї вимоги, перед факультативними курсами постає ряд задач, пов'язаних як зі стимуляцією загального розвитку учнів, так і з виробленням у них спеціальних навичок, необхідних для роботи в області мікробіології.
До спеціальних навичок варто віднести здатність орієнтуватися в живому об'єкті по словесному описі і площинному малюнку, чітко фіксувати факти, користатися оптичними приладами (лупою, мікроскопом), уміти препарувати, складати і читати біологічні графіки, визначати види мікроорганізмів, користуватися біологічною символікою, мати елементарні навички біологічного експериментування. При складанні факультативних програм слід враховувати не тільки зміст предмета, але і види діяльності учнів.
Визначення видів мікроорганізмів вимагає знання морфологічної термінології, уміння зіставляти описи з натуральними природними об'єктами, знаходити й оцінювати важливі для систематики ознаки, добре представляти структуру визначника і порядок роботи з ним. Використання визначника допомагає розширити знання про видову структуру мікроорганізмів, привчає до уважності й акуратності. Однак на факультативних заняттях цей вид діяльності може знайти лише обмежене застосування. Робота з визначником вимагає великої напруги і спочатку часто закінчується помилковими висновками, що нерідко викликає втрату інтересу до предмета.
Мікроскопіювання має широке застосування в біологічній, медичній і сільськогосподарській практиці. Не випадково в школах деяких країн (Німеччини) навіть викладається спеціальний курс з мікроскопічної техніки.
Крім чисто технічних навичок, які здобуваються учнями в процесі роботи з мікрооб'єктами, цей вид діяльності дозволяє успішно вирішувати ряд задач до розвитку деяких важливих якостей: уміти відбирати значимі для спостереження ознаки, критично відноситися до препарату, співвідносити видимі розміри з дійсними, по окремих зрізах судити про об'ємне розташування об'єкта.
Робота з мікропрепаратами повинна активізувати мислення учнів. Школярі повинні навчитися відрізняти дійсні структури від артефактів (наприклад, клітини від пухирців повітря), виділяти потрібні об'єкти, керуючись малюнками й описами, правильно фіксувати видимі об'єкти і пояснювати їх. Робота з мікроскопом може бути використана і для розвитку конструктивної уяви в учнів, оскільки стереоскопічний образ об'єкта може бути отриманий тільки на основі відтворення загальної картини по окремих об`єктах [12].
Залучення цих методів сприяє як розвитку розумових здібностей учнів, так і оволодінню деякими спеціальними навичками.
Зміст програм усіх факультативних курсів з біології дає можливість не тільки ознайомити учнів із проблемами біологічної науки, з її теоретичними узагальненнями, але і на матеріалі конкретних наук показати розвиток процесу наукового пізнання, дати поняття про сучасні методи дослідження.
Як показав досвід роботи шкіл, форми проведення факультативних занять можуть бути різноманітними. Це групи в школі, керовані викладачем відповідного предмета, ученим науково-дослідного інституту, міжшкільні факультативи, організовані при навчальних закладах, наукових установах чи однієї зі шкіл [12].
Створювати біологічні факультативи в кожній школі досить важко, якщо врахувати недолік кваліфікованих кадрів, труднощі з матеріальною базою, кількістю учнів, що бажають займатися факультативом даного профілю. У цих умовах спеціалізація шкіл на викладанні певних факультативів дасть можливість найбільше повно врахувати інтереси учнів усього району. Міжшкільні факультативи вже знайшли застосування в практиці роботи шкіл [10].
1.3 Форми і методи роботи вчителя на факультативах
При виборі форм організації навчального процесу і методів роботи на факультативних заняттях необхідно враховувати зміст факультативного курсу, рівень розвитку і підготовленості учнів, інтерес учнів до визначених розділів предмета.
Одна з найголовніших вимог до методів полягає в тому, щоб вони стимулювали активну роботу думки учнів, розвивали самостійність їхнього мислення, сприяли творчої різнобічної діяльності.
На факультативних заняттях можуть бути використані наступні методи навчання: лекції, бесіди, дискусії, самостійні роботи як практичного характеру, так і роботи з додатковою літературою.
Застосовуючи кожної з методів, можна одержати різні результати. Зупинимося на деяких методах, що найбільше часто застосовуються на факультативних заняттях даного профілю.
Лекції. На факультативних заняттях можна частину матеріалу викладати лекційно, особливо питання, що вимагають розкриття широких закономірностей явищ природи, а також матеріал узагальнюючого характеру. Лекція повинна бути побудована так, щоб викликати інтерес до її змісту, збудити творчу думку, привести до пошуків відповіді на багато питань. Такі знання діючі. Не можна перетворювати лекцію в зведення готових наукових істин, які можна тільки зрозуміти і запам'ятати без підкріплення їх загальними ідеями і без показу перспектив розвитку науки. Такі знання малоефективні .у тому розумінні, що вони не ведуть до творчої діяльності і наукових пошуків, а отже, і не розвивають.
Відомий психолог Л. С. Виготський з цього приводу писав: «...тільки те навчання є гарним, котре забігає вперед розвитку», тобто стимулює перехід до наступного його етапу. Відсутність цієї важливої умови негативно позначається на формуванні особистості. Ця думка з усією визначеністю висловлюється в тій же роботі. Продовжимо цитату: «...навчання, що орієнтується на вже завершені цикли розвитку» виявляється бездіяльним з погляду загального розвитку дитини, воно не веде за собою процесу розвитку, а саме плететься в нього в хвості» [5].
Особливе значення для успішної роботи учнів на лекції має правильне вичленовування основних питань і активізація пізнавальної діяльності школярів. Завдання необхідно формулювати так, щоб воно було зрозумілим, цікавим і вимагало відомої напруги думки при рішенні. Завдання повинне бути посильним і в той же час не дуже легким. Те ж відноситься і до бесіди. Вона повинна базуватися на відомому матеріалі й одночасно з цим включати інформацію, що повідомляє нові факти.
Самостійна робота. При організації учнів для самостійної роботи можуть бути застосовані різні форми навчання: індивідуальні, групові, фронтальні. Фронтально розглянувши теоретичний матеріал і роз'яснивши суть самостійної роботи, вчитель організує робочі групи. Як правило, число робочих груп і завдання цим групам визначаються наявністю матеріалу й устаткування, інтересами учнів і рівнем їхньої самостійності. Різні групи одержують різні завдання. Тут зручно користатися письмовими інструкціями, що оформляются у вигляді інструктивної картки [5].
В умовах факультативних занять школярі виявляють підвищену цікавість до навчальної роботи, тому варто забезпечити роботою всіх учнів, особливе виконання експериментальної частини завдання всіма членами групи.
Самостійна робота на факультативних заняттях повинна займати більше місце, ніж на всіх інших навчальних заняттях, але і трохи відрізнятися від самостійної роботи з обов'язкового курсу середньої школи.
Самостійна робота учнів по факультативним курсам повинна в більшій мері носити пошуковий проблемний характер, що випливає з більш широкої установки факультативних занять на розвиток інтересів у здібностей учнів. Відомий радянський психолог С. Л. Рубинштейн [1], говорячи про формування розумових здібностей, указував, що простої повідомлення знань учням, пряме “научення” діям і тренування в їхньому виконанні впливають на розумовий розвиток дітей. «Але, крім прямого научення і тренування,— писав він,— існує й інший, звичайно, більш важкий, але і більш плідний шлях - шлях управління самостійною розумовою роботою учнів. На відміну від прямого научения, це шлях виховання, шлях власне розвитку самостійного мислення. Це і шлях формування розумових здібностей учнів». Ця ідея радянського психолога реалізується в принципі проблемного навчання.
Вивчення основ науки полягає не тільки в засвоєнні її змісту, але й в оволодінні її методами. В оволодінні методами науки головну роль відіграють практичні роботи. Ці роботи можуть передувати вивченню теоретичного матеріалу, збігатися з його вивченням і вивчатися після.
Найважливіше місце серед методів самостійної практичної роботи займають спостереження й експерименти. Вони виконують подвійну функцію. З одного боку, як методи наукового дослідження, спостереження й експерименти є частиною змісту навчання; з іншого боку, у міру того як учні опановують ними, спостереження й експерименти стають методом, за допомогою якого учні можуть здобувати нові знання. Опановуючи цим методом самостійної роботи, школярі опановують логікою експериментального доказу і спростування, що в значній мірі сприяє їхньому розумовому розвитку [12].
У науковому експерименті, як відомо, виділяють чотири основних етапи: 1) розробка робочої гіпотези і способів її перевірки; 2) конструювання досліду; 3) практичне експериментування; 4) обробка результатів експерименту, висновки про правильність чи помилковості вихідної гіпотези.
Не завжди в навчальному процесі на матеріалі тих чи інших уроків можна вичленувати всі ці етапи. Між, тим з кожним з них учні повинні бути ознайомлені.
У факультативний курс можна ввести і такі задачі, що вимагають від школярів відтворення всіх етапів експерименту. Але було б неправильно ототожнювати вирішення експериментальної задачі з науковим дослідженням. Як і будь-яке педагогічне явище, воно повинне бути спрямоване на досягнення визначеного навчально-виховного ефекту. Отже, у навчальному досліді кожний з перерахованих етапів наукового експерименту може стати об'єктом самостійної діяльності школярів і формулюватися у вигляді відповідної навчальної задачі.
Задачу на формування гіпотези можна поставити в тому випадку, коли в розпорядженні учнів є необхідні знання чи матеріал спостереження, з якого можна вивести припущення.
У задачах на доказ як умову дається кінцевий висновок з досвіду, учнем же доручається запропонувати конструкцію досліду і, провівши його, довести правильність висновку. Основна мета задач цього типу — познайомити учнів із принципами конструювання досліду. Експериментальна частина може проводитися лабораторно учнями чи демонстраційно вчителем.
Рішення задач на доказ дозволяє з'ясувати наявність теоретичних знань в учнів і особливості їхнього конструктивного мислення.
Висновок з досліду може бути також запропонований учням як самостійну задачу. Учні при проведенні самостійних лабораторних робіт, демонстрацій дослідів, а також наукових експериментів, показаних в навчальних фільмах, спостерігають процеси і дають їм пояснення.
Для закріплення й обліку теоретичних і практичних знань можна застосовувати фронтальні й індивідуальні методи перевірки [12].
Один з найбільше широко застосовуваних на факультативних заняттях методів закріплення матеріалу — підсумкова узагальнююча бесіда. Ця бесіда звичайно проводиться у формі семінарського заняття. Для успішного проведення семінару необхідно на самому початку вивчення теми намітити ключові питання і на них акцентувати увага учнів, повідомити їм, якими методами буде вивчатися те чи інше питання теми, визначити тематику доповідей і співдоповідей, розподілити завдання, повідомити питання, що будуть обговорюватися на семінарі.
Крім тих методів опитування, що практикуються на основних предметах біологічного циклу, на факультативних заняттях можна застосовувати залікові заняття, що дозволяють забезпечити фронтальну перевірку всіх учнів факультативної групи. Ці заняття звичайно проводяться після вивчення чергової теми. Вони включають як теоретичні питання, так і практичні роботи.
Форми фронтальної перевірки можна змінювати. Вона може складатися з індивідуальної бесіди з кожним учнем, з виконанням контрольного завдання робочою групою з наступною бесідою вчителя з кожним її членом, можливі і такі форми, коли залікове завдання дається всій групі й оцінюється колективна робота.
В останньому випадку кожній робочій групі видається заліковий лист, у якому, містяться експериментальні задачі і теоретичні питання. Учні повинні самостійно відібрати необхідне устаткування для вирішення задачі, провести експериментальні і контрольні досліди, узагальнити результати і здати їх викладачу. У процесі відповідей проводиться бесіда і з теоретичних питань, зазначеним у завданні. За виконану роботу і позитивну відповідь у журнал виставляється залік.
Звичайно групи працюють з різною швидкістю, і, якщо одне з завдань буде виконано раніш терміну, учні будуть байдикувати. Щоб цього не сталося, крім обов'язкових завдань, у заліковий листок можуть бути включені завдання додаткові. Вони, як правило, містять матеріал, який відсутній у навчальному посібнику, але відомий школярам з лекції чи рекомендованих книг.
Така форма фронтальної перевірки дозволяє не тільки охопити практично всіх учнів, що займаються у факультативній групі, але й одержати ряд додаткових знань. Крім того, відкривається можливість перевірити самі завдання, внести в них необхідні корективи. Іноді це приходиться робити безпосередньо в ході заняття.
Після того як перевірені результати роботи всіх груп, доцільно розібрати помилки і ще раз зупинитися на незрозумілих питаннях.
Завдання-питання для перевірочних робіт зручно оформити у виді залікового листка. Один заліковий листок видається на групу учнів, що заповнюють його колективно.
Серед індивідуальних форм перевірки знань найбільш широке поширення одержують реферати і курсові завдання, виконувані окремими учнями чи групою. Звіти можуть бути використані для перевірки не тільки знань, але і для контролю над усією групою.
Ставити на обговорення доцільно курсові завдання не тільки в стадії завершення. Іноді корисно розібрати і попередні результати, з'ясувати, що не виходить, а іноді і поміняти тему. У ході бесіди вдається перевірити не тільки знання теоретичних питань курсу, але і конструктивні здатності учнів.
Слід зазначити, що ці прийоми не вичерпують усіх методів перевірки засвоєння вивченого матеріалу, а лише доповнюють ті традиційні методи, що використовуються при вивченні основних курсів.
Система оцінок на факультативних заняттях повинна бути дуже гнучкої, що заохочує добре працюючих учнів.
Розділ 2. Факультативний курс “Мікроорганізми і здоров`я людини”
2.1 Зміст і методика факультативного курсу
Проведення даного факультативного курсу передбачено в 9-му класі загальноосвітньої школи. Програма курсу розрахована на 17 занять (34 години). Передбачено виконання навчального плану за один навчальний рік.
Таблиця 1. Розподіл навчального матеріалу за темами
|
№ п/п |
Тема заняття |
Методи роботи на занятті |
Кількість годин |
|
Теоретичний курс |
|||
|
1 |
Загальні уявлення про мікробіологію. Поняття про мікроскопіювання, методи виготовлення мікропрепаратів |
Лекція, бесіда |
2 |
|
2 |
Поживні середовища, їх види та мета використання |
Лекція, доповіді |
4 |
|
3 |
Методи стерилізації поживних середовищ, посуду та інструментів |
Лекція, демонстрація |
4 |
|
Лабораторно-практичний курс |
|||
|
4 |
Мікроскопічне вивчення основних форм бактерій |
Лабораторна робота |
2 |
|
5 |
Фарбування мікроорганізмів |
Лабораторна робота |
4 |
|
6 |
Мікрофлора тіла людини |
Семінарське заняття |
2 |
|
7 |
Дослідження мікрофлори тіла людини |
Лабораторна робота |
2 |
|
8 |
Дослідження мікрофлори ротової порожнини |
Лабораторна робата |
2 |
|
9 |
Санітарно-мікробіологічний контроль об`єктів довкілля та якості продуктів харчування |
Семінарське заняття |
2 |
|
10 |
Санітарно-мікробіологічний контроль у закладах методом змивів |
Лабораторна робота |
2 |
|
11 |
Мікробіологічний контроль хлібобулочних виробів |
Лабораторна робота |
2 |
|
12 |
Бактеріологічний аналіз молока |
Лабораторна робота |
2 |
|
13 |
Мікробіологічне дослідження м`ясних продуктів |
Лабораторна робота |
2 |
|
14. |
Підсумкове залікове заняття |
Залік у формі письмової роботи |
2 |
Пропонований нами розподіл годин факультативного курсу передбачає включення занять як лекційного, так і лабораторно-практичного характеру, що дає змогу виконати завдання які передбачає програма факультативу, та закріпити на практиці набуті знання, навчитися самостійно виконувати завдання та проводити демонстраційні досліди. Для даного факультативу пропонуємо цікаві заняття по визначенню якості молочних та м`сних продуктів.
Для проведення семінарських занять рекомендуємо використати реферати та доповіді учнів на теми: “Різновиди форм бактерій та методи їх вивчення”, “Характеристика основних патогенних мікроорганізмів мікрофлори тіла людини”, “Характеритика патогенних мікроорганізмів ротової порожнини, захворювання, які вони викликають”, Мета та значення санітарно-мікробіологічного контролю об`єктів довкілля”.
Підсумкове заняття проводиться у формі письмової контрольної роботи. Контрольна робота складається з 2 варіантів, кожен з яких містить по 3 питання.
Варіант 1.
Які ви знаєте методи стерилізації? Опишіть їх.
Поясніть в чому полягає суть санітарно-мікробіологічного контроль об`єктів довкілля та якості продуктів харчування.
Опишіть методику виготовлення препарату методом «висяча крапля».
Варіант 2.
Які ви знаєте поживні середовища? Охарактеризуйте їх застосування.
Дайте характеристику мікрофлори тіла людини.
Опишіть методику виготовлення препарату методом «роздавлена крапля».
2.2 Загальна характеристика та методика проведення занять з факультативного курсу “Мікроорганізми і здоров`я людини” (плани-конспекти деяких занять)
Лекція: Поживні середовища
Мета: ознайомити учнів з видами поживних середовищ та методами їх приготування, основними областями застосування
План лекції:
Поняття про поживне середовище
Види поживних середовищ
Рецепти приготування середовищ
Матеріал лекції
Для нагромадження, вирощування, виділення і зберігання мікроорганізмів у лабораторних умовах використовують різні поживні середовища. Виготовляють такі середовища з продуктів рослинного і тваринного походження.
Для нормального росту і розвитку мікроорганізмів поживні середовища повинні містити всі необхідні елементи: макро- і мікроелементи, вітаміни, стимулятори росту тощо. Вони також мусять мати певні фізико-хімічні властивості: рН середовища, вологість, температуру, осмотичні властивості, окисно-відновний потенціал. Крім цього, обов'язковою рисою поживних середовищ повинна бути стерильність.
За складом поживні середовища поділяють на природні та штучні. Природні поживні середовища можуть містити такі натуральні продукти: молоко, відвар м'яса, овочі, картоплю, пивне сусло, хліб тощо. Штучні поживні середовища виготовляють або з хімічних речовин і натуральних продуктів (напівсинтетичні), або тільки з різних хімічних сполук (синтетичні).
За призначенням розрізняють прості, або звичайні, спеціальні та диференціально-діагностичні поживні середовища. До звичайних середовищ належать м'ясо-пептонний бульйон, м'ясо-пептонний агар, м'ясо-пептонний желатин та інші, на яких вирощують більшість сапрофітних і патогенних мікробів. На спеціальних середовищах (агар з кров'ю, агар із сироваткою, кров'яний телуритовий агар, жовткові середовища тощо) вирощують ті види мікроорганізмів, які не ростуть на простих поживних середовищах. До спеціальних належать також і елективні середовища, на яких створюються сприятливі умови для росту якого-небудь одного виду мікробів (бобовий агар, картопляний агар, сінна настоянка та інші).
Диференціально-діагностичні поживні середовища (наприклад, середовища Ендо для кишкової палички, середовище Штерна для сальмонел та інші) дають змогу швидко відрізнити одні види мікроорганізмів від інших.
За консистенцією середовища бувають рідкі, напіврідкі та тверді. Для вивчення фізіолого-біохімічних особливостей, а також для нагромадження мікробної біомаси (або продуктів її обміну) доцільно використовувати рідкі поживні середовища. Тверді середовища найчастіше застосовують для виділення чистих культур, підрахунку кількості бактерій та інших діагностичних цілей. Тверді поживні середовища виготовляють з рідких, додаючи до останніх 1,5—2,5 %-го агар-агару (виготовляється з морських водоростей) або 10—15 % желатину (суміш білкових речовин тваринного походження).
У мікробіологічній практиці широко застосовують також сухі поживні середовища, які випускаються у вигляді порошків (наприклад, сухий агар, сухий поживний агар, сухий агар Ендо, середовище Плоскірєва тощо), і якщо їх правильно зберігати, то вони довгий час не втрачатимуть своїх властивостей. Використання таких середовищ в навчальних лабораторіях є доцільним, бо заощаджує час при підготовці лабораторних занять.
Рецепти приготування поживних середовищ.
М'ясо-пептонний бульйон. Для виготовлення найуживаніших поживних середовищ — м'ясо-пептонного бульйону (МПБ), м'ясо-пептонного агару (МПА), м'ясо-пептонного желатину (МПЖ) та інших — насамперед треба приготувати м'ясну воду, оскільки вона є основою всіх цих середовищ. З цією метою свіжу телятину або яловичину звільняють від жиру, сухожилків, фасцій і пропускають через м'ясорубку. До 0,5 кг фаршу додають у два рази більше води, розмішують і настоюють протягом 2 год при температурі 37—39 °С. Одержаний настій проціджують через марлю і кип'ятять 20 хв до зсідання білків. Потім його фільтрують через вату або паперовий фільтр і стерилізують в автоклаві протягом 30 хв при температурі 120 °С і тискові 1 атм.
До 1 л м'ясної води додають 5 г кухонної солі, 10г пептону і кип'ятять до повного розчинення пептону. Додають насичений розчин бікарбонату натрію до слабколужної реакції і знову піддають кип'ятінню протягом 20 хв. Потім доливають водою до початкового об'єму і фільтрують, розливають в колби і пробірки та стерилізують протягом 20 хв в автоклаві при температурі 120 °С. Готовий бульйон повинен бути прозорим і мати янтарно "жовтий колір. Для скорочення часу це середовище часто виготовляють із готових бульйонних кубиків.
М'ясо-пептонний агар виготовляють із м'ясо-пептонного бульйону, додаючи 2—2,5 % подрібненого промитого агару. Суміш кип'ятять до повного розчинення агару, помішуючи її. Потім гарячий розчин фільтрують через ватяно-марлевий фільтр і стерилізують протягом 5 хв при температурі 115 °С у колбах, закритих ватними пробками.
М'ясо-пептонний желатин. До 1 л м'ясо-пептонного бульйону додають 100—150 г желатину і залишають для розбухання, підігрівають до повного розчинення желатину. Встановлюють слаб-колужну реакцію і кип'ятять протягом 5 хв. Далі розчин охолоджують до 40—50 °С, додають змішаний з водою білок курячого яйця і знову підігрівають. При цьому білки випадають в осад і середовище стає прозорим. Його фільтрують гарячим і стерилізують текучою парою (метод тиндалізації).
Бобовий агар. 100г білої квасолі або бобів заливають 1 л води і обережно кип'ятять, уникаючи розтріскування бобів і перетворювання крохмалю на клейстер. Гарячий відвар фільтрують і додають 2 % агару. Агар розплавлюють в автоклаві, осаджують колоїдні частинки. Одержане середовище фільтрують і стерилізують так само, як і при виготовленні інших агарових середовищ.
Картопляне поживне середовище. З неушкоджених бульб картоплі вирізають плоскі шматочки, поверхню яких натирають крейдою для нейтралізації кислої реакції клітинного соку, і розкладають їх у чашки Петрі на зволожений фільтрувальний папір. У разі застосування пробірок краще вирізувати із бульб циліндричні шматочки за допомогою коркового свердла. Чашки і пробірки з картопляним середовищем стерилізують в автоклаві протягом 10 хв при тискові 0,5 атм. На цьому середовищі добре вирощуються картопляна паличка та інші гетеротрофні мікроорганізми.
Сусло-агар. До пивного сусла додають 2 % очищеного агару. Середовище розварюють в автоклаві з відкритим вентилем і використовують для вирощування молочнокислих бактерій і дріжджів.
Щоб приготувати поживне середовище із молока, збиране молоко розливають у пробірки приблизно по 10 мл, закривають ватними тампонами і стерилізують методом тиндалізації. В молочному середовищі містяться всі поживні речовини, необхідні для гетеротрофних мікроорганізмів.
Сухий поживний агар. У навчальних мікробіологічних лабораторіях найчастіше виготовляються поживні середовища з порошку сухого поживного агару або інших видів сухих поживних середовищ (залежно від мети занять), що випускаються мікробіологічною промисловістю. Для цього беруть 5 г порошку сухого поживного агару на 100 мл холодної дистильованої води, старанно розмішують і нагрівають, помішуючи, до повного розчинення агару. Якщо розчин мутний, його фільтрують, а потім розливають у пробірки і стерилізують в автоклаві протягом 20 хв при 120°С.
Розливання поживних середовищ. Для проведення лабораторних занять у навчальних лабораторіях поживні середовища виготовляють, як правило, про запас і зберігають у великих колбах. Перед або на початку заняття середовища розливають у пробірки або чашки Петрі (залежно від мети занять). Тверді поживні середовища перед розливанням необхідно розплавити в автоклаві з відкритим вентилем або на водяній бані.
Після розплавлення середовище розливають у чашки Петрі, пробірки або інший посуд (залежно від мети роботи), дотримуючись умов стерильності. Для цього на полум'ї спиртівки або газового пальника обпалюють горла колб, пробірок, корки тощо. Посуд із середовищем піддають стерилізації.
Таким чином, можемо підвести підсумок, що за складом поживні середовища поділяють на природні та штучні, за призначенням розрізняють прості, або звичайні, спеціальні та диференціально-діагностичні поживні середовища, за консистенцією середовища бувають рідкі, напіврідкі та тверді. Для виготовлення найуживаніших поживних середовищ — м'ясо-пептонного бульйону (МПБ), м'ясо-пептонного агару (МПА), м'ясо-пептонного желатину (МПЖ) та інших — насамперед треба приготувати м'ясну воду, оскільки вона є основою всіх цих середовищ. Існує значні кількість рецептів приготування поживних середовищ. Розливання середовища проводять в колби, чашки Петрі.
Лекція: Методи стерилізації поживних середовищ, посуду та інструментів
Мета: дати поняття про стерилізацію, охарактеризувати способи стерилізації, апаратуру, яка використовується.
План лекції:
Поняття про стерилізацію
Основні види стерилізації та їх характеристика
Стерилізацією називається повне знищення мікробів та їхніх спор у поживних середовищах, посуді, на інструментах тощо. Серед методів стерилізації розрізнюють фізичні, хімічні, механічні. Фізичні грунтуються на дії високої температури і ультрафіолетового опромінювання, хімічні — на використанні хімічних антисептичних речовин. Фільтрування рідин через бактеріальні фільтри належить до механічних методів стерилізації. У мікробіологічній практиці найчастіше застосовують стерилізацію за допомогою високої температури (так звана термічна стерилізація).
Прожарювання на полум'ї. Цей метод дає добрі результати при стерилізації невеличких за розмірами лабораторних інструментів. Обпалюванням або прожарюванням на полум'ї спиртівки стерилізують бактеріологічні петлі, препарувальні голки, ланцети, пінцети, предметні та накривні скельця, скляні палички, ножиці, шпателі тощо.

Рис. 3. Апарат Коха:
Стерилізація сухим жаром. Чисті колби, чашки Петрі, пробірки, піпетки, різний скляний посуд, загорнутий в папір, стерилізують у спеціальній сушильній шафі при температурі 160—170 °С протягом 2 год. Стерильні предмети виймають з сушильної шафи, коли температура знизиться до кімнатної.
Стерилізація кип'ятінням. Шприци, голки, гумові предмети, хірургічні інструменти стерилізують кип'ятінням у спеціальних стерилізаторах протягом 30 хв. Для зменшення жорсткості води та підвищення температури кипіння у стерилізатори додають 1—2 %-й розчин NaHCO,.
Стерилізація текучою парою, або тиндалізація. Цей метод застосовується для стерилізації речовин, що руйнуються або змінюють властивості при нагріванні (деякі поживні середовища, сироватки, вітаміни тощо). Стерилізацію текучою парою проводять в автоклаві з відкритим паровідвідним краном або використовують апарат Коха (рис. 3). Вона проводиться при температурі 56—58 °С по 30 хв протягом 5—6 днів поспіль.
Стерилізація парою під тиском. Найбільш надійним способом стерилізації поживних середовищ, посуду і матеріалів є стерилізація парою під тиском в автоклавах (рис. 4). При звичайному атмосферному тиску температура водяної пари дорівнює 100 °С. При підвищенні тиску пари температура її значно підвищується. Спільна дія високої температури і тиску пари спричинюють швидку загибель не тільки вегетативних клітин мікробів, а й їхніх спор.
Пастеризація. Метод, запропонований Л. Пастером, застосовується для знезараження харчових продуктів: молока, соків, пива, вина тощо. При цьому матеріал нагрівається при температурі 50—65 °С протягом 15—30 хв або при 70—80 °С — 5—10 хв. Цей метод використовують для знищення неспороносних мікробів. Він може проводитися в термостаті або на водяній бані.
Стерилізація ультрафіолетовими променями. З цією метою використовують бактерицидні лампи. Метод застосовується для стерилізації повітря в мікробіологічних лабораторіях, боксах, операційних, а також деяких предметів і матеріалів. Час опромінення — 20 хв.

А Б В
Рис. 4. Автоклави: А — вертикальний АВ-1; Б — горизонтальний АГ-1; В — автоматичний АШ-250
Під хімічною стерилізацією, або дезінфекцією розуміють знезаражування матеріалів, предметів тощо за допомогою хімічних речовин. У мікробіологічних лабораторіях найчастіше ви-користовують розчин карболової кислоти (3—5 %), лізолу (1—3 %), формаліну (4 %), хлораміну (1—5 %), хлорного вапна (10—20 %) та інші. Борну кислоту, гліцерин, фенол та деякі інші хімічні речовини часто використовують як консерванти при виготовленні лікувальних і діагностичних сироваток, вакцин тощо.
До механічної стерилізації належить фільтрування. Найчастіше стерилізацію фільтруванням застосовують для рідин, що змінюють свої властивості при нагріванні (сироватки, деякі поживні середовища, що містять білки тощо). Фільтрування рідин проводять через спеціальні дрібнопористі фільтри (свічки Шамберлана що їх виготовляють із каоліну, піску і кварцу, фільтри Бергефельда - з інфузорної землі, фільтри Зейтца - із азбесту, а також мембранні фільтри, виготовлені з нітроклітковини). Пори таких фільтрів пропускають рідину, а бактерії затримують.
Лабораторні заняття
Тема: Мікроскопічне вивчення основних форм бактерій
Мета: Навчити учнів визначати та розрізняти основні форми бактерій
Матеріали та обладнання: 1) мікроскопи; 2) предметні та накривні скельця; 3) чашки Петрі; 4) спиртівки; 5) скляні палички; 6) бактеріологічні петлі; 7) елективні культури сінної палички, азотобактера, сарцини, простокваша, настій гною, фіксовані препарати; 8) кедрова олія; 9) набір фарб; 10) промивалка з дистильованою водою.
Основні відомості. Для вивчення морфології бактерій використовують різні настої, а також чисті культури, які зберігаються в колекції шкільного кабінету. З цією метою виготовляють препарати живих і вбитих мікроорганізмів. Для вивчення мікрококів використовують препарати з настоїв і чистих культур Micrococcus roseus, M. albus, які на поживному агарі утворюють червонувато-жовті колонії. Для вивчення під мікроспопом використовуємо метод мікроскопіювання (роздавлена крапля, висяча крапля).
Кулясті бактерії, з'єднані попарно (диплококи), добре вивчати на препаратах, виготовлених з елективної культури азотобактера. Кулеподібні бактерії, що мають вигляд пакунків по 8—16 клітин, можна вивчати на препаратах, виготовлених з культур Sarcina urea, S. flava, які трапляються в грунтах, воді та повітрі. Ці культури часто висіваються з повітря на поживний агар і через 3—4 доби утворюють добре помітні колонії жовтого кольору. На препаратах кисломолочних продуктів вивчають кулясті бактерії, що мають вигляд ланцюжка, наприклад Streptococcus lactis.
Типових представників найчисленнішої групи паличкоподібних бактерій найкраще вивчати на препаратах з культур сінної палички (Bacillus sub>tilis) або картопляної палички (В. mesentericus), вирощених на твердих поживних середовищах. На препаратах сінної палички можна спостерігати не тільки поодинокі бактерії, а й дипло- та стрептобактерії.
У настоях з гною або грунту, а також у зубному нальоті часто трапляються зігнуті та звивисті форми бактерій: вібріони, спірили і спірохети — Vibrio buccalis, Spirillum volutans, Spirochaeta buccalis.
Щоб ознайомитися з нитчастими формами бактерій, можна вивчати воду з водойм, де є вохристий осад, або елективну культуру залізобактерій з роду Leptothrix, вирощену на середовищі Виноградського.
Інстируктивна картка.
На стерильних предметних скельцях виготовляємо препарати живих і фіксованих культур бактерій: Micrococcus aurantiacus, Azotobacter chroococcum, Streptococcus lactis, Sarcina flava, S. urea, Bacillus sub>tilis, Leptothix ochraceae, а також препарати з настою гною методом «роздавлена крапля».
На твердому поживному середовищі, за допомогою бактеріологічної петлі, прожареної на полум'ї спиртівки, відберіть частинку колоній цієї культури, перенесіть у краплину дистильовану води на предметному склі та накривають накривним скельцем. Краї накривного скельця слід заздалегідь змажте вазеліном.
Виготовлені препарати живих і вбитих мікроорганізмів старанно вивчіть під мікроскопом при великому збільшенні у сухій та імерсійній системах.
У зашиті для лабораторних робіт детально зарисовують досліджувані об'єкти.
Тема: Фарбування мікроорганізмів
Мета: Навчити учні виготовляти тимчасові фарбовані препарати мікроорганізмів
Матеріали та обладнання: 1) мікроскопи; 2) предметні та накривні скельця; 3) спиртівка; 4) бактеріологічні петлі; 5) промивалки з дистильованою водою; 6) фільтрувальний папір; 7) метиленовий синій, 8) карболовий генціанвіолет; 9) розчин Люголя; 10) фуксин; 11) кедрова олія; 12) спирт; 13) досліджувані культури.
Основні відомості. Мікроорганізми фарбують при вивченні внутрішньої будови клітини, а також з діагностичною метою. Фарбування мікробів — це складний фізико-хімічний процес, обумовлений механізмами електроадсорбції, капілярності, хімічної спорідненості між барвником і об'єктом. Просте фарбування мікробів здійснюється за допомогою якогось одного барвника: метиленового синього, фуксину тощо. При складних методах фарбування на препарат послідовно наносять барвники, які відрізняються як за хімічним складом, так і за кольором, що дозволяє виявляти певні структури клітин і диференціювати види мікробів один від одного.
До складних методів належить фарбування мікроорганізмів за Грамом. Цей метод застосовується переважно з діагностичною метою. За цим методом фарбування всі мікроби поділяються на дві групи: грампозитивні,які набувають синьо-фіолетового кольору, і грамнегативні,які внаслідок того ж фарбування знебарвлюються при додаванні спирту, а при дофарбовуванні фуксином отримують рожевий колір.
Вважають, що здатність бактерій фарбуватися за Грамом пов'язана з молекулярною організацією і хімічним складом їхньої клітинної оболонки. Проте результати фарбування за Грамом теж залежать і від техніки виготовлення мазка (він повинен бути тонким), віку досліджуваної культури і тривалості фарбування.
Для фарбування за Грамом доцільно на одному предметному склі поряд з мазком із досліджуваної культури робити мазок із відомих грампозитивних або грамнегативних мікробів (для контролю). До найпоширеніших грампозитивних мікроорганізмів належать майже всі кулясті бактерії, молочнокислі бактерії, спороносні бацили, дріжджі та багато інших. До грамнегативних — азотобактер, оцтовокислі бактерії, кишкова паличка, протей, чудесна паличка, спірохети тощо.
Інструктивна картка.
На зафіксований мазок досліджуваної культури покладіть клаптик фільтрувального паперу і нанесіть на нього 2—3 краплі розчину карболового генціанвіолету.
Витримайте фарбу протягом 1—2 хв. Потім зніміть папірець.
На препарат подійте 2—3 краплями розчину Люголя протягом 1—2 хв.
Злийте розчин Люголя, і обробіть мазок етиловим спиртом протягом 30 сек.
Препарат старанно промийте дистильованою водою, дофарбуюте фуксином (1 хв), знову промийте водою і висушують.
Виготовлений препарат розгляньте під мікроскопом за допомогою імерсійної системи.
Тема: Дослідження мікрофлори тіла людини
Мета: ознайомити учнів з основним видовим складом мікроорганізмів мікрофлори тіла людини
Матеріали та обладнання: 1) мікроскопи і накривні скельця; 2) стерильні чашки Петрі; 3) спиртівки; 4) пінцети; 5) бактеріологічні петлі; 6) пробірки зі стерильним поживним середовищем; 7) стерильна вата; 8) 0,85 %-й розчин NaCl; 9) фуксин.
Основні відомості. До складу так званої мікрофлори тіла людини належать такі найпоширеніші представники мікросвіту: Sarcina, Streptococcus, Micrococcus, Bacillus (шкіра), Neisseria, Lactobacillus, Bacteroides, Spidllum, Spirochaeta (ротова порожнина), Staphyllococcus, Pneumococcus, Streptococcus, Micrococcus (дихальні шляхи), Sarcina, St. faecalis, Bacteroides, Escherichia, Bifidobacterium, Lactobacillus, Clostridium perfringens, Candida (шлунково-кишковий тракт) та багато інших.
Ознайомлення з мікрофлорою тіла людини має дуже важливе значення, оскільки порушення санітарно-гігієнічного режиму є причиною різних важких захворювань, особливо шлунково-кишкових (дифтерія, холера та інші).
Мікрофлору тіла людини можна визначати різними методами. Для цього роблять посіви з пальців рук, зіву, випорожнень тощо.
Інструктивна картка.
Розплавлене на водяній бані поживне середовище з пробірок вилийте у стерильні чашки Петрі, які залиште на 5 хв для застигання.
Доторканням пальців до поверхні поживного середовища (утворення так званих «відбитків») проведіть посів мікроорганізмів.
Використайте інший метод посіву, який проведіть за допомогою бактеріологічної петлі зі змиву рук. Щоб отримати змив, пінцетом візьміть стерильний ватний тампон, змочіть його в 0,85 %-му розчині NaCl і протріть шкіру між пальцями, нігті тощо.
Тампон покладіть у пробірку зі стерильним глюкозо-пептонним середовищем і перемішуйте деякий час, обережно обертаючи пробірку між долонями.
Засіяні чашки Петрі розмістіть у термостаті при температурі 37 °С на 24 год.
Вийміть чашки і витримайте їх протягом 2—3 днів при кімнатній температурі.
Проведіть вивчення утворених культур під мікроскопом, виявіть їхні культуральні, морфологічні та інші властивості.
Тема: Дослідження мікрофлори ротової порожнини
Мета: ознайомити учнів з методикою дослідження мікрофлори ротової порожнини
Матеріали та обладнання: 1) бритви; 2) зубочистки або сірники; 3) стерильна вода. Інше обладнання таке саме, як і для попередньої роботи.
Основні відомості. У ротовій порожнині людини можна виявити чимало різних видів мікроорганізмів, оскільки умови є сприятливими для їхнього розвитку. Тут є достатня кількість поживних речовин, оптимальна температура і слабколужна реакція. Чимало мікроорганізмів заноситься в ротову порожнину ззовні разом із їжею, водою і повітрям. Особливо велику кількість бактерій можна виявити у порожнині рота біля шийок зубів і в проміжках між ними. Наявність каріозних зубів є причиною дуже великої кількості бактерій у ротовій порожнині. Ці мікроби вважаються нешкідливими. Однак при пошкодженні слизових оболонок багато які з них можуть проникати в тканини тіла і спричиняти різні захворювання (рис. 5).

Рис. 5. Мікрофлора зубного нальоту (за Зиковим та співавт., 1997): 1 — Leptothrix; 2 — Diplostreptococcus; З — Borrelia buccalis; 4 — Treponema microdentinum; 5 — Diplococcus; 6 - В. fasiforme; 7 - В. macsimum buccalis
Інструктивна картка.
На стерильне предметне скло нанесіть краплину дистильованої води.
За допомогою зубочистки відберіть трохи зубного нальоту, змішують з водою і виготовте фіксований мікропрепарат: мазок висушіть, фіксуючи на полум'ї спиртівки і пофарбуйте фуксином. Потім препарат промийте дистильованою водою і знову висушіть.
Виготовлений мікропрепарат розгляньте під мікроскопом за допомогою імерсійної системи, опишіть і замалюйте у зошиті роботи.
Розділ 3.Санітарно-мікробіологічний контроль об'єктів довкілля та якості продуктів харчування
Мета: сформувати основні поняття про санітарно-мікробіологічний контроль, з якою метою він проводиться, ознайомити учнів з методиками проведення такого контролю.
Санітарно-мікробіологічний контроль об'єктів довкілля і особливо продуктів харчування людини є одним із найважливіших завдань державного санітарного нагляду. Він проводиться з метою профілактики інфекційних захворювань людини, насамперед мікробної природи, адже різні об'єкти довкілля — вода, ґрунт, повітря, одяг, посуд, харчові продукти тощо, забруднені збудниками інфекції, можуть спричинити виникнення спалахів дифтерії, холери, сальмонельозних токсикоінфекцій, сифілісу та інших важких захворювань.
Кількість патогенних мікроорганізмів у довкіллі не є сталою, їх значно менше, ніж сапрофітних. Тому вчені вимушені шукати об'єктивні показники зараження довкілля хвороботворними мікробами, Такими індикаторами забруднення вважаються санітарно-показові мікроорганізми — представники нормальної мікрофлори організму людини і тварин, — які виділяються з екскрементами в зовнішнє середовище.
У довкілля можуть потрапляти патогенні мікроби, епідеміологічне пов'язані з відповідними виділеннями. Тому наявність санітарно-показового мікроорганізму побічно вказує на вірогідність наявності збудника інфекції.
До санітарно-показових мікроорганізмів відносять кишкову паличку, клостридій перфрінгенс, ентерококи, картопляну паличку, протеї, паличку синього гною, кишковий бактеріофаг. При санітарній оцінці повітря такими бактеріями-індикаторами є гемолітичні стрептококи, стафілококи тощо. У випадку загрози виникнення епідемії інфекційного захворювання проводяться спеціальні мікробіологічні дослідження для виявлення збудника інфекції.
У навчальних лабораторіях оцінюють санітарний стан повітря, води, ґрунту та інших об'єктів за двома основними бактеріологічними показниками: загальній кількості мікроорганізмів на одиницю об'єму або площі, а також за наявністю у середовищі санітарно-показових мікробів.
Тема: Санітарно-мікробіологічний контроль у закладах методом змивів
Мета: навчити учні впровадити дослідження забрудненості в приміщеннях методом змивів.
Матеріали та обладнання: 1) мікроскопи; 2) предметні та накривні скельця; 3) стерильні чашки Петрі; 4) спиртівки; 5) стерильні колби і пробірки; 6) стерильна вата; 7) поживні середовища МПА і Кесслера, диференціально-діагностичне середовище Ендо; 8) стерильні серветки; 9) прилад для підрахунку кількості колоній.
Основні відомості. В закладах громадського харчування, продовольчих магазинах санітарно-бактеріологічний контроль є обов'язковим і здійснюється органами санітарного нагляду в плановому порядку, а також позапланово за епідемічними показниками. Такий контроль необхідно проводити і в навчальних закладах, особливо студентських їдальнях, буфетах, аудиторіях тощо.
Як показник санітарного стану діючого закладу широко використовується характеристика мікробного засівання поверхні різних об'єктів — приладів та обладнання, інвентарю, одягу, рук персоналу.
Основними тестами мікробної забрудненості предметів є загальна кількість мікроорганізмів на одиницю поверхні досліджуваного предмета (мікробне число) і наявність на предметах санітарно-показових мікроорганізмів Е. соlі і С. perfringens, як показників фекального забруднення.
Інструкція до виконання роботи.
Основним методом взяття проб для дослідження мікробної забрудненості поверхні будь-якого предмету є його змив з певної площі.
Стерильною серветкою або ватним тампоном, змоченими у стерильній воді, протріть певну площу поверхні об'єкта і перенесіть серветку в пробірку зі стерильною водою.
Обережно збовтайте суміш для десорбції мікроорганізмів і одержану завись (суспензію) використайте для аналізу.
В їдальнях, буфетах тощо після миття перевірте столовий та кухонний посуд, а після прибирання — внутрішні поверхні мийних ванн.
Змиви з рук, рушників і санітарного одягу проведіть до початку і після роботи.
Визначте за методу Коха кількість мікроорганізмів (мікробне число) у змивах часто і виразіть на одиницю поверхні досліджуваного об'єкта (на 1 см2)
Проведіть розрахунки за одержаними даними.
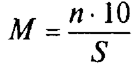
Залежно від ступеня мікробного засівання із різних розведень змиву беруть по 1 мл і висівають на МПА в чашках за загальноприйнятою методикою. Мікробне число визначають за такою формулою:

де М — мікробне число; п — кількість мікроорганізмів, які містяться в 1 мл вихідного розведення змиву (для визначення цієї кількості число колоній, які виросли на МПА в чашках, перераховують з огляду на розведення); 10 — кількість рідини, яка використовувалася для десорбції мікрофлори, мл; S — площа, з якої зроблено змив, см2.
Санітарний стан поверхні досліджуваного об'єкта вважається дуже добрим, якщо загальна кількість мікробів на 1 см2 складає не більше 100, добрим — якщо їх від 100 до 1000, задовільним — якщо мікробів понад 1000, поганим — якщо їх більше 10000.
Тема: Мікробіологічний контроль хлібобулочних виробів
Мета: розглянути основні мікроорганізми, які присутні в хлібобулочних виробах, встановити їх значення
Матеріали та обладнання: 1) мікроскопи; 2) предметні та накривні скельця; 3) стерильні чашки Петрі та пробірки; 4) спиртівки; 5) скляні палички; 6) стерильні колби (100 мл); 7) стерильні піпетки; 8) розплавлене стерильне поживне середовище МПА; 9) пшеничне та житнє борошно; 10) дріжджі,
Основні відомості. У хлібопекарному виробництві мікроорганізми мають важливе значення. Наприклад, такі мікроби, як дріжджі та молочнокислі бактерії, спеціально використовуються для виготовлення тіста. Інші види мікроорганізмів, які потрапляють у сировину із зовнішнього середовища, можуть знижувати якість сировини, викликати псування готової продукції і бути причиною харчових отруєнь.
Сировина, яка використовується в хлібопеченні, завжди буває засіяна мікробами. Так, мікрофлора борошна походить переважно від мікрофлори зерна. Кількісний і якісний склад мікроорганізмів борошна залежить від ступеня зараженості зерна, способу його розмелювання та очистки. Загальна кількість мікробів у 1 г борошна може доходити до 3 млн. Проте ця цифра міняється залежно від вмісту вологи, тривалості зберігання тощо.
Якість борошна значною мірою визначає вміст у ній неспороносних Erwina herbicola і спороносних Bacillus mesentericus та Bacillus sub>tilis мікробів. Картопляна і сінна палички є найпоширенішими збудниками мікробного процесу псування хліба, хвороби, яку ще називають картопляною. Спори цих бактерій дуже термостійкі, завдяки чому вони зберігаються в хлібі під час його випікання. При повільному охолодженні такого хліба, створюються сприятливі умови для проростання спор, що спричинює в ньому гнильні процеси. У цьому випадку м'якуш хліба стає липким і набуває неприємного запаху. Такий хліб не придатний для споживання. Картопляна хвороба найчастіше вражає пшеничний хліб влітку. Пшеничний і житній хліб часто уражується також і так званою крейдяною хворобою, при якій на м'якуші хліба з'являється білий мучнистий наліт. Це міцелій цвільових грибів і дріжджеподібних мікроорганізмів.
Інструкція до проведення роботи.
Для виявлення спор картопляної і сінної паличок розведіть досліджуване борошно (від 1:102 до 1:105) у простерилізованій водогінній воді.
Суміш старанно збовтайте і нагрійте при температурі 95-97 °С протягом 10 хв. При цьому вегетативні клітини бактерій гинуть, а спори залишаються живими.
Проведіть висівання у МПА взявши 1 мл розведеного борошна, і засіяні чашки Петрі розмістіть у термостаті при температурі 37 °С на 1—2 доби.
По закінченні інкубації оцініть якість борошна. Для цього вивчіть морфологічні й культуральні властивості мікроорганізмів, які виросли на агарових пластинках, та, користуючись альбомами-визначниками, виявіть серед них картопляну і сінну палички.
Проведіть підрахунки кількості колоній цих спорових бактерій (при цьому візміть до уваги, що кожна колонія утворилася з однієї спори) і визначте кількість спор у 1 г борошна (число колоній множать на розведення борошна).
При наявності в 1 г борошна до 200 спор якість його вважається нормальною, якщо кількість спор є в межах від 200 до 1000 — сумнівною, а понад 1000 — таке борошно непридатне для використання.
Тема: Бактеріологічний аналіз молока
Мета: провести аналіз молока, як найпоширенішого продукту харчування з метою встановлення його якості
Матеріали та обладнання: 1) мікроскопи і все необхідне для мікроскопування; 2) стерильні чашки Петрі та пробірки; 3) циліндри; 4) стерильні піпетки Мора (1 мл); 5) редуктазник з нагрітою до 40 °С водою; 6) розплавлений МПА і середовище Ендо; 7) пробірки зі стерильним середовищем Буліра і поплавками; 8) насичений розчин метиленового синього; 9) стерильне та свіже молоко.
Основні відомості. Молоко є найпоширенішим продуктом харчування людини. В ньому містяться білки, амінокислоти, вуглеводи, молочний жир, вітаміни А, С, D, групи В, Е, РР та збалансований склад мінеральних речовин тощо.
Молоко являє собою дуже сприятливе середовище для розмноження та зберігання різних видів мікроорганізмів. Кількість їх у 1 мл молока може сягати кількох мільйонів. Засівання молока мікробами відбувається переважно під час доїння і зберігання. Найчастіше в молоці переважають мікрококи, молочнокислі бактерії та інші. У забрудненому молоці міститься значна кількість представників групи кишкової палички, а також маслянокислі та гнильні бактерії. За певних умов у молоко потрапляють патогенні мікроби, що може спричинитися до виникнення епідемій серед населення.
У навчальних лабораторіях найчастіше визначають загальну кількість мікроорганізмів у молоці (мікробне число), колі-титр і пробу на редуктазу. Визначення в молоці патогенних мікробів здійснюється в спеціальних мікробіологічних лабораторіях.
Для оцінки засіяності молока мікробами часто використовують такий орієнтовний метод, як проба на редуктазу. Мікроорганізми молока в процесі життєдіяльності виробляють ферменти типу редуктаз, які каталізують відновні процеси в молоці. Час, необхідний для відновлення фарби-індикатора, обернено пропорціональний кількості мікробів у молоці. Основна різниця між визначенням кількості мікроорганізмів на чашках Петрі і редуктазною пробою полягає в тому, що в першому випадку визначають кількість колоній, а в другому -— біохімічну активність мікрофлори молока.
Проба на редуктазу проводиться за такою методикою. У стерильні пробірки з гумовими корками вливають по 20 мл сирого молока, підігрітого до 40 °С і по 1 мл 2,5 %-го розчину метиленового синього. Пробірки закорковують і тричі перемішують, обережно повертаючи. Після цього пробірки ставлять на водяну баню або в термостат при температурі 38-40 °С. Спостереження за забарвленням молока проводять через 20 хв, 2 год і 5,5 год. Дослідження закінчують після повного знебарвлення метиленового синього. Верхній шар молока в пробірках інколи залишається синім, але це не береться до уваги. Залежно від часу знебарвлення, проби відносять до одного із чотирьох класів молока (табл. 2).
Для визначення колі-титру молока використовують здатність до газоутворення групи бактерій кишкової палички на рідкому середовищі Буліра.
Таблиця 2 Визначення класу молока
|
Показник |
Клас |
|||
|
І |
II |
III |
IV |
|
|
Час, затрачений на знебарвлення, год |
1/2 |
1/2 |
1/3 |
1/3 |
|
Кількість мікробів у 1 мл молока, млн |
-0,5 |
0,5-4 |
4-20 |
>20 |
|
Якість молока |
Добра |
Задовільна |
Сумнівна |
Незадовільна |
У пробірку з середовищем Буліра вносять 1 мл суспензії відповідного розведення молока. Засіяні пробірки ставлять у термостат при температурі 42 °С на дві доби. Одержані результати визначення колі-титру також дозволяють віднести молоко до якогось із чотирьох класів. Якщо колі-титр становить 10-1, то таке молоко має добру якість і належить до першого класу. До другого класу відносять молоко, колі-титр якого становить 10-2. Дуже забруднене молоко має колі-титр 10-6 і належить до четвертого класу.
Інструкція до проведення роботи.
Проведіть відбір проби молока. Об'єм проби молока повинен бути не меншим за 50 мл.
Помістіть пробу в стерильний посуд.
Приготуйте мазок молока, зафіксуйте його, пофарбуйте і розгляньте під мікроскопом.
При визначенні мікробного числа молока чашковим методом спочатку із відібраної проби приготуйте розведення (10-7-10-9) за допомогою простерилізованої водогінної води. При глибинному посіві із розведень молока, які знебарвлюються резазурином до 20 хв (розведення 10-5 і 10-6), стерильною піпеткою висійте по 1 мл суспензії в стерильні чашки Петрі. При знебарвленні молока резазурином більш ніж через 20 хв проведіть посів з розведень 10-3, 10-4, 10-5 у чашки і залийте розплавленим і охолодженим до 50 °С МПА.
Суміш обережно перемішайте і розмістіть у термостаті при температурі 30 °С.
Після триденної інкубації підрахуйте кількість колоній бактерій, які виросли на МПА, а на четвертий день — кількість колоній дріжджових і цвільових грибів. Потім визначте їх кількість з розрахунку на 1 мл молока.
Існує шкала оцінки якості молока за кількістю мікробів у 1 мл. До першого класу належить молоко, в 1 мл якого налічується до 500 000 мікробів, до другого — від 500 000 до 4 000 000, до третього — від 4 000 000 до 20 000 000 і до четвертого — понад 20 мільйонів. Якість молока першого класу вважається доброю, другого — задовільною, третього — сумнівною, четвертого — незадовільною.
Тема: Мікробіологічне дослідження м'яса
Мета: навчити учнів проводити дослідження м`ясних продуктів на наявність мікроорганізмів
Матеріали та обладнання: 1) мікроскоп і все необхідне для мікроскопування; 2) спиртівки; 3) водяна баня; 4) стерильні чашки Петрі та пробірки; 5) МПА; МПЖ; 6) свіже і несвіже м'ясо; 7) набір фарб для фарбування мікропрепаратів за Грамом.
Основні відомості. В крові, м'язах і паренхіматозних органах (серце, печінка, легені) здорових тварин мікроорганізмів, як правило, немає. М'ясо забитих тварин містить ту чи іншу кількість мікробів. Це пов'язано з засіванням його в процесі обробки. М'ясо засівається мікрофлорою як ендогенного, так і екзогенного походження. Забруднення м'яса екзогенною мікрофлорою найчастіше відбувається при неправильному зберіганні та транспортуванні.
Згідно з ГОСТом, свіжість м'яса забійних тварин, птиці та субпродуктів визначається за такими органолептичними показниками: зовнішнім виглядом і кольором поверхні туші та м'язів на розрізі, консистенцією, запахом, станом жиру, сухожиль, прозорості й аромату бульйону тощо. М'ясо сумнівної свіжості (хоча б за одним із цих показників) піддають негайному хімічному та мікробіологічному аналізам.
Якщо м'ясо зберігається при температурі, яка сприяє розвиткові мікробів, то в ньому починають швидко розвиватися різні мікроорганізми, насамперед гнильні. Внаслідок розкладання ними складних азотних сполук (білки) виділяються гази, які мають неприємний запах. При цьому змінюється видовий склад мікрофлори, замість кокоподібних інтенсивно починають розвиватися паличкоподібні форми, спочатку аероби Bacillus sub>tilis, В. mesentericus, В. mycoides, а дещо пізніше анаеробні бактерії Clostridium putrificus, C. histoliticum, C. sporogenes, Proteus vulgaris та інші.
Цвільові гриби утворюють на м'ясі осередки зараження у вигляді плям різного кольору: зелені, бурі, темно-брунатні, чорні тощо.
Вони спричинюють підвищення рН м'яса, що сприяє розвиткові гнильних бактерій.
Санітарний і санітарно-бактеріологічний контроль м'яса і м'ясних продуктів здійснюється ветеринарними та медичними установами. В навчальних мікробіологічних лабораторіях дослідження м'яса можна проводити для визначення його свіжості та придатності для харчування. З цією метою найчастіше використовують методи визначення свіжості м'яса в мазку-відбитку, а також визначення загальної кількості (мікробного числа) мікробів у м'ясі шляхом підрахунку колоній, які виросли на твердому поживному середовищі.
На мікропрепаратах зі свіжого м'яса, взятого з поверхні зразка, в полі зору мікроскопа виявляються тільки поодинокі коки і палички. В середніх шарах м'яса мікроби виявляються дуже рідко. Препарати, як правило, забарвлюються погано.
У препаратах із несвіжого м'яса в полі зору мікроскопа видно десятки різних мікроорганізмів, особливо у мазках-відбитках, виготовлених з поверхні м'яса. Препарати добре забарвлюються. Під час мікроскопування визначають середню кількість мікробів у 20—30 полях зору і результати зіставляють з даними табл. 3.
Таблиця 3 Ознаки свіжості м'яса
|
Якість м'яса |
Дані мікроскопування |
|
Свіже |
На препаратах-відбитках мікробів немає або в полі зору виявляються поодинокі клітини коків, дріжджів і паличок. Відсутні залишки розкладу тканин м'яса. |
|
Сумнівної свіжості |
У полі зору мікроскопа виявляються до 30 коків і паличок. Видно сліди розкладеної м'язової тканини. |
|
Несвіже |
На мікропрепаратах у полі зору понад 30 мікробів, переважно грамнегативних паличок, та велика кількість розкладеної м'язової тканини. |
Інструктивна картка № 1.
Стерильними ножицями або скальпелем з поверхні та з середини зразка виріжте шматочки м'яса завбільшки 2,0-2,5 см.
Для виготовлення мазків-відбитків шматочки зрізаною стороною притисніть до стерильного предметного скла. Потім мазок-відбиток висушіть на повітрі, зафіксуйте на полум'ї спиртівки й зафарбуйте за Грамом.
Виготовлені препарати розгляньте під мікроскопом при великому збільшенні.
Визначте якість м`яса за одержаними даними мікроскопіювання та з допомогою таблиці 3.
Інструктивна картка № 2. Визначення мікробного числа в м'ясі.
Відібраний зразок м'яса (100—150 г) помістіть на 1 — 2 хв у кип'яток, щоб вбити мікроби на його поверхні.
Стерильним скальпелем виріжте із середніх шарів зразка шматочок масою 1 г і покладіть його в стерильну ступку. Сюди ж додайте 3—5 г стерильного піску і старанно розітріть, водночас додаючи стерильної води до розведення 1:10.
З одержаної суспензії зробіть серію розведень. Готові розведення залиште на 1—2 хв для відстоювання, а потім стерильною піпеткою (1 мл) перенесіть у стерильну чашку Петрі, залийте розплавленим МПА, обережно перемішайте і поставте у термостат при температурі 37 °С на дві доби.
По закінченні інкубації проведіть підрахунки кількості колоній, які виросли на поживному середовищі, та перерахуйте їх на 1 г м'яса, враховуючи розведення.
Розділ 3. Проведення дослідження ефективності роботи факультативного курсу “Мікроорганізми і здоров`я людини”
Даний факультативний курс проводився в 9 класі школи ліцею № 15 м. Чернігова. З метою визначення ефективності роботи факультативного курсу нами було запропоновано тестові запитання ознайомлюючого характеру.
Питання для визначення рівня обізнаності учнів
Які на вашу думку мікроорганізми відносяться до патогенних для людини?
а) всі;
б) мікроорганізми рослин;
в) лише ті, які паразитують в організмі людини;
г) бактерії;
д) ті, що містять тільки в ґрунтах.
Стерилізація це....
а) неповне знищення мікробів та їх спор;
б) повне знищення мікробів та їх спор;
в) не знищуються мікроби та їх спори.
Фарбування мікроорганізмів проводять переважно за допомогою барвника:
а) фуксину;
б) метиленового синього;
в) брильянтового зеленого;
г) метилоранжевого;
д) йоду.
Промивання мазка проводять
а) дистильованою водою;
б) ефіром;
в) спиртом;
г) розчином Люголя;
д) содою.
Для посівів мікроорганізмів використовуються
а) колби на 1 л;
б) пробірки;
в) чашки Петрі;
г) хімічні стакани;
д) предметні скельця.
Нормальна мікрофлора тіла людини містить:
а) патогенні організми мікросвіту;
б) віруси;
в) не містить ніяких організмів мікросвіту;
г) містить різні мікроорганізми та бактерії.
Мікробне число визначається за методом...
а) Кука;
б) Пастера;
в) Фельгена;
г) Коха;
д) Мора.
Про свіжість м`ясних продуктів свідчить наявність та кількість ....
а) коків;
б) паличок;
в) стрептококів;
г) цвільових грибів;
д) коків і паличок.
Якість молока вважається “доброю” якщо клітин мікробів в ньому міститься:
а) 1,2 млн.
б) 0,5 млн.
в) 4 млн.
г) 10 млн.
д) 20 млн.
Мікроорганізми до ротової порожнини потрапляють переважно...
а) з їжею;
б) з забрудненими руками;
в) з повітрям та водою;
г) мід час лікування;
д) із засобами гігієни.
Опитування проводилося дворазово – до і після виконання програми факультативу.
Результати відповідей наведені в таблиці 4.
Таблиця 4. Результати відповідей учнів на питання ознайомлюючого характеру
|
№ запитання |
Кількість відповідей до експерименту |
Кількість відповідей після експерименту |
||
|
загальна |
правильних |
загальна |
правильних |
|
|
1 |
25 |
10 |
25 |
15 |
|
2 |
25 |
12 |
25 |
16 |
|
3 |
25 |
13 |
25 |
16 |
|
4 |
25 |
17 |
25 |
15 |
|
5 |
25 |
8 |
25 |
18 |
|
6 |
25 |
10 |
25 |
17 |
|
7 |
25 |
14 |
25 |
10 |
|
8 |
25 |
7 |
25 |
12 |
|
9 |
25 |
9 |
25 |
15 |
|
10 |
25 |
7 |
25 |
16 |
|
Разом |
250 |
107 |
250 |
150 |
За одержаними данними експерименту були побудовані діаграми співвідношення якостей відповідей до і після проведення експерименту відповідно до кожного питання (рис. 5.)
Н
омер
питання
Р
Кількість правильних відповідей
ис. 5. Зміна рівня обізнаності учнів після виконання програми факультативного курсу “Мікроорганізми і здоров`я людини”На основі одержаних даних був розрахований коефіцієнт Ст`юдента (t):

n>1 >– загальна кількість відповідей до експерименту;
n>2 >– загальна кількість відповідей після експерименту;
m>1> – кількість правильних відповідей до експерименту;
m>2> – кількість правильних відповідей після експерименту;
р>1> = m>1>/n>1>, р>2> = m>2>/n>2>.
р>1> = 107/250 = 0,428;р>2> = 150/250 = 0,600
t = 3,91.
Виходячи з даних таблиць Ст`юдента похибка експерименту становить ‹ 0,1 %, що свідчить про достовірність отриманих результатів.
Після проведення занять факультативного курсу “Мікроорганізми і здоров`я людини” рівень обізнаності з даних питань значно покращився. Одержані дані свідчать про те, що досить вагоме місце в позашкільному та позакласному курсі з біології значне місце займають факультативи, а використання на них цікавого матеріалу викликає значний інтерес в учнів, зацікавленість такого роду проблемами, спонукає до творчого пошуку.
Висновки
Курс “Мікроорганізми і здоров`я людини” сприяє як загальному навчанню учнів 9 класу, так і підтриманню, зміцненню зацікавленості природою. В той же час курс орієнтує учнів на професійну діяльність мікробіологів, медичних працівників.
Вивчення факультативного курсу “Мікроорганізми і здоров`я людини” оптимальне в 9-класі загальноосвітньої школи. В 9 класі учні вже мають основний запас біологічних знань, а даний факультативний курс дає можливість більш повно познайомити учнів зі світом мікроорганізмів.
Розроблено програму факультативу, який складається з 34 годин (17 занять): лекції (29 %), лабораторні та семінари (71 %).
Досліджено ефективності вивчення курсу “Мікроорганізми і здоров`я людини” показало підвищення рівня знань учнів з мікробіології, анатомії., фізіології та гігієни людини.
Список використаних джерел
Альтшуллер Р.С. Формы организации и эффективность факультативних занятий. // Биология в школе, 1975. - № 4. – С. 22.
Бруновт Є.П., Малахова Г.Я., Соколова Є.А. Уроки анатомії, фізіології та гігієни людини. – К.: Рад. школа, 1986. – 235 с.
Векірчик К.М. Мікробіологія з основами вірусології: Підручник. – К.: Либідь, 2001. – 312 с.
Векірчик К.М. Практикум з мікробіології: Навч. посібник. - К.: Либідь, 2001. – 144 с.
Верзілін М.М., Корсунська В.М. Загальна методика викладання біології. – К.: Вища школа, 1980. – 345 с.
Воронин Л.Г., Маш Р.Д. Методика проведения опытов и наблюдений по анатомии, физиологии и гигиене человека. – М.: Просвещение, 1983. – 220 с.
Зверев И.Д. Книга для чтения по анатомии, физиологии и гигиене человека. – М.: Просвещение, 1983. – 300 с.
Зверев И.Д., Мягкова А.Н. Общая методика преподавания биологии в средней школе. – М.: Просвещение, 1985. – 285 с.
Калинова Г.С., Мягкова А.Н. Методика обучения биологии. – М.: просвещение, 1985. – 305 с.
Кузнецова В.І. Методика викладання біології. – Х.: Торсінг, 2001. – 176 с.
Матяш Н.Ю., Шабатура М.Н. Біологія людини, 9 кл. Зошит для лабораторних, практичних і контрольних робіт. - Х.: Торсінг, 2000. – 25 с.
Методика преподавания факультативных курсов по биологии.. – М.: Просвещение, 1981. – 175 с.
Подолян-Шумило М.Г., Познанський С.С. Шкільна гігієна. – К.: Вища школа, 1981. – 256 с.
Пяткін В.К, Кривошеїн С.М. Мікробіологія. – К.,1990. – 320 с.
Хрипкова А.Г., Колесов Д.Е. Гигиена и здоровье школьников. – М.: Просвещение, 1988. – 300 с.