Формирование основных понятий о высокомолекулярных веществах в курсе средней школы с экологической составляющей
«Формирование основных понятий о ВМС в курсе средней школы с экологической составляющей»
СОДЕРЖАНИЕ
Содержание
Глава 1. МЕСТО СИНТЕТИЧЕСКИХ ВЫСОКОМОЛЕКУЛЯРНЫХ ВЕЩЕСТВ И ПОЛИМЕРНЫХ МАТЕРИАЛОВ НА ИХ ОСНОВЕ В ШКОЛЬНОМ КУРСЕ ХИМИИ
1.1 Историческая справка
1.2 Синтетические высокомолекулярные вещества и полимерные материалы на их основе в школьных программах по химии
1.2.1 Понятие о высокомолекулярных соединениях
1.2.2 Синтетические каучуки
1.2.3 Синтетические волокна
Глава II. ЭКОЛОГИЧЕСКАЯ ПРОБЛЕМАТИКА, СВЯЗАННАЯ С СИНТЕТИЧЕСКИМИ ВЫСОКОМОЛЕКУЛЯРНЫМИ ВЕЩЕСТВАМИ И ПОЛИМЕРНЫМИ МАТЕРИАЛАМИ НА ИХ ОСНОВЕ
2.1 Полимеры в решении сырьевой проблемы
2.2 Поливинилхлорид и материалы на его основе
2.3 Пенополистирол в строительстве - это опасно или нет?
2.4 Разрушающиеся пластмассы. Биополимеры Фоторазрушение
Синтетические биоразрушаемые пластики. Растворимые пластики
2.5 Разложение или повторное использование отходов?
Глава 3. ИЗУЧЕНИЕ СИНТЕТИЧЕСКИХ ВЫСОКОМОЛЕКУЛЯРНЫХ ВЕЩЕСТВ НА УРОКЕ ПО ХИМИИ В СРЕДНЕЙ ШКОЛЕ
3.1 План урока. Ход урока
3.2 Задачи
3.3 Тесты
ЗАКЛЮЧЕНИЕ
Литература
ВВЕДЕНИЕ
Человеческое общество по мере своего развития входит во все большую зависимость от сырьевых ресурсов окружающей среды. Масштабы потребления некоторых веществ минерального происхождения уже приближаются, а в будущем могут превысить естественные возможности природы.
Совершенно новые перспективы в планете создания материалов с заданными свойствами открывает химия полимеров. В настоящее время трудно найти отрасль народного хозяйства, где бы ни применялись полимеры; из которых получены материалы с малой плотностью, высокой прочностью, устойчивостью к агрессивным средам, простотой переработки в изделия и т. д.
Основную массу используемых полимеров (около 2/3) составляют полученные более полувека назад полиэтилен, полипропилен, полистирол. Области использования этих полимеров весьма разнообразны - машиностроение, электротехника, транспорт, медицина, строительство и т. д.
С применением полимеров в значительной степени связан прогресс в строительной практике и архитектуре. Внедрение новых полимерных строительных материалов способствует разработке эффективных конструкций, развитию индустриальных методов их производства, созданию красивых, прочных и экономичных зданий.
Актуальность состоит в том, что важной экологической проблемой, связанной с внедрением полимерных материалов, является скопление твердых отходов, среди которых значительную часть составляют полимерные пластмассы, обладающие чрезвычайно высокой устойчивостью.
Материал этой курсовой соответствует трем уровням знаний. Прежде всего, вы получите общую информацию о синтетических высокомолекулярных веществах и процессах полимеризации и поликонденсации. Далее, вы подробно узнаете о некоторых направлениях развития химии полимеров, об их применении в современном мире и о том, какое значение они могут иметь в будущем. И, наконец, общей для всей работы будет очень важная тема: «Изучение синтетических высокомолекулярных веществ в учебно-воспитательном процессе средней школы».
Целью моей работы является освещение основных наиболее остро стоящих во всем мире экологических проблем, связанных с высокомолекулярными соединениями, и возможные пути их решения.
Задачи:
Обзор состояния данного вопроса в современной российской школе.
Анализ школьных программ и учебников, а также другой литературы, показывающих как высокомолекулярные соединения изучаются в средней школе.
Составить план урока, на котором была бы успешно проведена экологизация знаний.
Глава 1. МЕСТО СИНТЕТИЧЕСКИХ ВЫСОКОМОЛЕКУЛЯРНЫХ ВЕЩЕСТВ И ПОЛИМЕРНЫХ МАТЕРИАЛОВ НА ИХ ОСНОВЕ В ШКОЛЬНОМ КУРСЕ ХИМИИ
1.1 Историческая справка
Термин “полимеризация” был введен в науку И.Берцелиусом в 1833 г. для обозначения особого вида изомерии, при которой вещества (полимеры), имеющие одинаковый состав, обладают различной молекулярной массой, например этилен и бутилен, кислород и озон. Такое содержание термина не соответствует современным представлениям о полимерах. “Истинные” полимеры к тому времени еще не были известны.
Химия полимеров возникла в связи с созданием А.М.Бутлеровым теории химического строения. А.М.Бутлеров изучал связь между строением и относительной устойчивостью молекул, проявляющейся в реакциях полимеризации. Дальнейшее свое развитие наука о полимерах получила главным образом благодаря интенсивным поискам способов синтеза каучука.
С начала 20-х годов 20 века развиваются также теоретические представления о строении полимеров.
Вначале предполагалось, что такие биополимеры, как целлюлоза, крахмал, каучук, белки, а также некоторые синтетические полимеры, сходные с ними по свойствам (например, полиизопрен), состоят из малых молекул, обладающих необычной способностью ассоциировать в растворе в комплексы коллоидной природы благодаря нековалентным связям (теория “малых блоков”).
Автором принципиально нового представления о полимерах как о веществах, состоящих из макромолекул, частиц необычайно большой молекулярной массы, был Г. Штаудингер.
1.2 Синтетические высокомолекулярные вещества и полимерные материалы на их основе в школьных программах по химии
В программе школьного курса химии на изучении «Cинтетические высокомолекулярные вещества и полимерные материалы на их основе» отводиться 5 часов; эта тема разбита на следующие подразделы: Общие понятия химии высокомолекулярных соединений: мономер, полимер, структурное звено, степень полимеризации, средняя молекулярная масса. Основные методы синтеза высокомолекулярных соединений - полимеризация и поликонденсация.
Линейная, разветвленная и пространственная структура полимеров. Аморфное и кристаллическое строение.
Зависимость свойств полимеров от строения. Термопластичные и термореактивные полимеры. Полиэтилен, полипропилен, полистирол, полиметилметакрилат.
Фенолформальдегидные смолы, их строение, свойства, применение. Композиты, особенности их свойств, перспективы использования. Проблема синтеза каучука и ее решение.
Многообразие видов синтетических каучуков, их специфические свойства, применение. Стереорегулярные каучуки. Синтетические волокна.
Полиэфирное (лавсан) и полиамидное (капрон) волокна, их строение, свойства, практическое использование. Экологические аспекты данной темы в школьной литературе изложены очень поверхностно или не изложены вовсе.
В школьных учебниках «Химия. 10 класс»/Г. Е. Рудзитис, Ф. Г. Фельдман, «Химия. 11 класс»/Г. Е. Рудзитис, Ф. Г. Фельдман и Пособие по химии для поступающих в вузы/ Г. П. Хомченко, на эту тему выделено три основных параграфа: § 1.Понятие о высокомолекулярных соединениях, § 2. Синтетические каучуки, § 3. Синтетические волокна, и мы будем рассматривать каждый параграф более подробно.
1.2.1 Понятие о высокомолекулярных соединениях
Полимеры, получаемые в реакциях полимеризации.
Строение молекул. Полимеризация – это последовательное соединение одинаковых молекул в более крупные [1, 3].
При повышенной температуре и давлении или в присутствии катализаторов молекулы этилена соединяются друг с другом вследствие разрыва двойной связи. В упрощенном виде такую реакцию можно выразить так [2]:

Полимеризация характерна для многих органических веществ, в молекулах которых имеются двойные или тройные связи, например:

В результате таких реакций образуются высокомолекулярные соединения, которые называются полимерами (греч. «поли»- много, «мерос»- часть). Вещества, из которых получают полимеры, называются мономерами, а молекулы полимеров – макромолекулами (греч. «макрос»- большой, длинный).
Буква n показывает, сколько молекул мономера взаимно соединилось в процессе полимеризации; её называют степенью полимеризации, а многократно повторяющиеся в макромолекуле группы атомов – структурными звеньями. Например, структурные звенья полиэтилена и полипропилена такие:
и

Характерно, что степень полимеризации не является величиной постоянной. Так, при полимеризации этилена могут образоваться макромолекулы, у которых число n колеблется от 300 до 100 000. Поэтому обычно указываемая для данного полимера относительная молекулярная масса является его средней молекулярной массой.
Рассмотрим два представителя полимеров – полиэтилен и полипропилен. Они относятся к так называемым линейным полимером, хотя фактически имеют зигзагообразное строение. Их молекулы сильно изогнуты в различных направлениях , иногда даже свернуты в клубки.
В процессе полимеризации, например, пропилена, может образоваться полимер со стереонерегулярной структурой:

Стереонерегулярной эта структура называется потому, что радикалы –CH>3 >в ней размещены хаотически – по одну и другую стороны цепи. Обычно в процессе полимеризации образуются полимеры со стереонерегулярной структурой [1].
Получение. Еще недавно полиэтилен ( — CH>2 >— CH>2> — )>n> получали под высоким давлением при повышенной температуре. Реализация такого производственного процесса была весьма сложной. В последнее время полимеризацию проводят при атмосферном давлении и комнатной температуре в присутствии триэтилалюминия и хлорида титана.
Синтезированный таким путем полиэтилен плавится при более высокой температуре и обладает большей механической прочностью, так как имеет большую молекулярную массу и меньше ответвлений. Подобным образом получают полипропилен, поливинилхлорид, полистирол, полиметилметакрилат и некоторые другие полимеры.
Физические свойства. Полиэтилен значительно легче воды, его плотность примерно 0,92 г/см3. Он эластичен, в тонком слое бесцветный, прозрачный, на ощупь несколько жирный, напоминающий парафин. Если кусочек полиэтилена нагреть, то уже при температуре 110 °С он становится мягким и легко изменяет форму, но при очень сильном нагревании полиэтилен разлагается. При охлаждении полиэтилен затвердевает и сохраняет приданную ему форму.
Свойство тел изменить форму в нагретом состоянии и сохранять её после охлаждения называют термопастичностью.
Полипропилен отличается от полиэтилена более высокой температурой плавления (плавится при температуре 160 – 180°С) и большей механической прочностью.
Химические свойства. Полиэтилен и полипропилен обладают свойствами предельных углеводородов. При обычных условиях эти полимеры не реагируют ни с серной кислотой, ни со щелочами. (Концентрированная азотная кислота разрушает полиэтилен, особенно при нагревании.) Они не обесцвечивают бромную воду и раствор перманганата калия даже при нагревании.
Применения. Полиэтилен и полипропилен химически устойчивы, механически прочны, поэтому их широко применяют при изготовлении оборудования в различных отраслях промышленности (аппараты, трубы, сосуды и т. д.). Они обладают высокими электроизоляционными свойствами. Полиэтилен и полипропилен в тонком слое хорошо пропускают ультрафиолетовые лучи. Пленки из этих материалов используются вместо стекла в парниках и теплицах. Их применяют также для упаковки разных продуктов [1] .
Но у Хомченко [3] то, что изложено про многие синтетические высокомолекулярные вещества, отличается от [1], и мы рассмотрим некоторые эти вещества:
Поливинилхлорид- продукт полимеризации хлористого винила CH>2>=CHCl. Этот полимер обладает ценными свойствами: он не горюч, легко окрашивается. Широко применяется для изоляции проводов и кабелей.
Тефлон - продукт полимеризации тетрафторэтилена CF>2>=CF>2>. Это самое инертное органическое вещество, обладает высокой морозо- и теплоустойчивостью. [3]
Полимеры, получаемые в реакциях поликонденсации.
Строение молекул. Реакция поликонденсации – процесс образования высокомолекулярных соединений из низкомолекулярных, которые сопровождается выделением простых низкомолекулярных продуктов (H>2>O, NH>3>, HCl и др.) [3, 5]. Рассмотрим, как при реакции поликонденсации образуются фенолформальдегидные смолы. Известно, что в молекуле фенола в положениях 2, 4 и 6 атомы водорода весьма подвижны, а для альдегидов характерны реакции присоединения, обусловленные наличием в них -связи. В связи с этим реакцию фенола с формальдегидом можно отразить так:

Это промежуточное соединение затем реагируют с другими молекулами фенола:

Далее образовавшийся продукт реагируют с другими молекулами метаналя, а затем – с молекулами фенола и т. д. В результате этих реакций получаются высокомолекулярное вещество – фенолформальдегидная смола и побочный продукт – вода.
При повышенной температуре и давлении между разветвленными молекулами полимера происходит химическое взаимодействие и образуется полимер с пространственной структурой. Такой материал теряет термопластичность и становится более прочными.
Полимеры, которые при повышенной температуре не размягчаются и не плавятся в отличие от термопластичных полимеров, называются термореактивными.
Применение. Из фенолформальдегидного полимера (смолы), добавляя различные наполнители (древесная мука, хлопчатобумажная ткань, стеклянное волокно, различные красители и т. д.), получают фенолформальдегидные пластмассы, которые сокращенно называют фенолпластами [1, 3] .
Еще в [3] изложено, что фенопласты- важнейшие заменители цветных и черных металлов во многих отраслях промышленности. Из них изготовляются большое количество изделий широкого потребления, электроизоляционные материалы и строительные детали [3] .
1.2.2 Синтетические каучуки
В России нет природных источников получения натурального каучука, поэтому необходимо было получить его синтетическим путем [2].
Под руководством академика С. В. Лебедева впервые в мире был разработан метод промышленного производства синтетического каучука из 1,3-бутадиена (1932 г.). Его получали из этилового спирта. В настоящее время для получения синтетических каучуков в основном используются углеводороды, содержащиеся в нефтяных газах и продуктах переработки нефти.
Производство бутадиенового каучука основывается на полимеризации 1,3-бутадиена в присутствии катализатора:

где n может достигать нескольких тысяч.
О

Впоследствии на основе изучения пространственного строения природного каучука ученым удалось решать проблему синтеза не только дивинилового каучука, но и изопренового каучука стереорегулярного строения [1, 2, 3] .
Некоторые синтетические каучуки получают из различных мономеров в результате их совместимой полимеризации, называемой сополимеризацией. Так, например, при сополимеризации 1,3-бутадиена со стиролом синтезируют бутадиенстирольный каучук [1]:

Для улучшения качества натуральных и синтетических каучуков их превращают в резину. Резина - это вулканизированный каучук. Сущность вулканизации состоит в том, что атомы серы присоединяются к линейным молекулам каучука по месту двойных связей и как бы сшивают эти молекулы друг с другом. Резина прочнее каучука и более устойчива к изменению температуры [2, 3].
1.2.3 Синтетические волокна
Этот раздел в [1 ,2] изложен очень хорошо, но в [3] - очень мало по объему.
Волокнами называют материалы, получаемые из натуральных и синтетических, органических и неорганических веществ, имеющие очень малые поперечные размеры, их длина должна не меньше чем в 100 раз превышать диаметр. Например: хлопковое волокно, шелк, шерсть, капрон и др. [5]. Капрон относится к полиамидным волокнам. Для его производства используются некоторые производные аминокислот, например, капролактам. Его можно рассматривать как продукт внутримолекулярного взаимодействия карбоксильной группы и аминогруппы молекулы 6-аминогексановой
кислоты:

Упрощенно превращение капролактами в полимер, из которого производят капроновое волокно, можно представить следующим образом. Капролактам в присутствии воды превращается в 6-аминогексановую кислоту, молекулы которой реагируют друг с другом:
В результате этой реакции образуется высокомолекулярное вещество, макромолекулы которого имеют линейную структуру. Отделенные звенья полимера являются остатками 6-аминогексановой кислоты [1, 2]:
Полимер представляет собой твердое вещество, размягчающееся при температуре 210 °С и плавящееся при 225 °С. Для получения волокон капрон плавят, пропускают через фильеры. Струи полимера охлаждаются потоком холодного воздуха и превращаются в волоконца, при скручивании которых образуются нити [2].
Капроновая смола используются для получения пластмасс. Из них изготовляют различные детали машин, шестерни, вкладыши для подшипников и т. д. Предметы из капроновых пластмасс обладают исключительно большой прочностью и износоустойчивостью [1].
Лавсан- полиэфирное волокно. По своему составу лавсан – сложный эфир терефталевой кислоты и этиленгликоля. Этиленгликоль - это двухатомный спирт. Терефталевая кислота- процесс окисления n-кислол. При
взаимодействии последней с этиленгликолем получается сложный эфир:

При поликонденсации этого эфира образуется высокомолекулярное вещество – лавсан:

Промышленный процесс получения лавсана более сложный. Волокно лавсан добавляют к шерсти для изготовления немнущихся высококачественных тканей и трикотажа. Его применяют также для производства транспортерных лент, ремней, занавесей, парусов и т. д. [1].
В этой главе мы узнали о полимерах и их структуре и о ступенчатой полимеризации и поликонденсации. И в следующей главе мы будем рассматривать связанные с ними экологические вопросы.
ГЛАВА II. ЭКОЛОГИЧЕСКАЯ ПРОБЛЕМАТИКА, СВЯЗАННАЯ С СИНТЕТИЧЕСКИМИ ВЫСОКОМОЛЕКУЛЯРНЫМИ ВЕЩЕСТВАМИ И ПОЛИМЕРНЫМИ МАТЕРИАЛАМИ НА ИХ ОСНОВЕ
2.1 Полимеры в решении сырьевой проблемы
Человеческое общество по мере своего развития входит во все большую зависимость от сырьевых ресурсов окружающей среды. Масштабы потребления некоторых веществ минерального происхождения уже приближаются, а в будущем могут превысить естественные возможности природы.
Совершенно новые перспективы в планете создания материалов с заданными свойствами открывает химия полимеры. В настоящее время трудно найти отрасль народного хозяйства, где бы ни применялись полимеры; из которых получены материалы с малой плотностью, высокой прочностью, устойчивостью к агрессивным средам, простатой переработки в изделия и т. д. Синтетические высокомолекулярные соединение получают из низкомолекулярных соединений путем полимеризации, полиприсоединении и поликонденсации.
По прогнозам полиолефины и в будущем будут играть решающую роль.
Гигантские молекулы обеспечили новыми материалами не только промышленности, но они помогли обуть и одеть человечество.
Предполагают, что в XXI в. на каждого человека будет выпускаться 9-12 кг волокна, причем максимальная доля синтетики составляет 70%.
Развитие химии полимеров обеспечило снижение расхода древесины на нужды мебельной промышленности и строительства. Создание композиционных материалов на основе полимеров и древесины позволило использовать не только малоценные породы, но и отходы древесины.
Таким образом, в настоящее время в нашем распоряжении имеется широкая гамма полимеров, которые продолжают завоевывать мир.
Однако при использовании полимерных материалов следует учитывать несколько весьма важных обстоятельств. По своему качественному составу большинство полимеров относятся к органическим соединениям, содержащие значительное количество углерода и водорода; поэтому они горючи (это 1-й отрицательный фактор). Термическое разложение при горении полимеров часто сопровождается выделением большого количества токсичных газообразных соединениях. (CO, HCN, HCl и др.; это 2-й отрицательный фактор).
Важной экологической проблемой связанной с внедрением полимерных материалов является скопление твердых отходов, среди которых значительную часть составляют полимерные пластмассы, обладающие чрезвычайно высокой устойчивостью.
В России, например, количество полимерных отходов сопоставимо с ежегодным объемом выпуска пластмасс. С отходами полимерных материалов за частую невозможно справиться, поэтому, например, создаются полимерные материалы со специальными добавками. Отслужив свой век, эти материалы легко деструктируют под действием света, тепла и специальных микробов [6,8].
2.2 Поливинилхлорид и материалы на его основе
Поливинилхлорид (ПВХ) один из наиболее широко применяемых полимерных материалов и объемы производства его неуклонно возрастают, так как растет спрос на изделия из него. Это связано с тем, что механические свойства ПВХ материалов меняются в очень широких пределах, например от полной гибкости (искусственная кожа) до значительной жесткости (строительные профили), и зависят от состава исходной полимерной композиции. ПВХ материалы химически инертны и имеют хорошую свето- и погодостойкость. Они имеют одни из самых высоких электроизоляционных свойств среди полимеров и относятся к группе трудногорючих материалов. Снижение горючести у пластифицированных композиций достигается путем применения антипиренов.
Многие экстремистски настроенные члены различных организаций по защите окружающей среды и производители аналогичных материалов заявляют, что:
ПВХ высокогорючий материал;
Изделия из ПВХ во время эксплуатации выделяют большое количество ядовитых веществ, в том числе высокотоксичный винилхлорид (ВХ);
Производство и утилизация ПВХ приводит к образованию супертоксичных полихлорированных дибензопарадиоксинов (ПХДД) и бензофуранов (ПХДФ);
Изделия из ПВХ невозможно повторно использовать;
Производство и потребление ПВХ сопряжено с большими энергетическими затратами.
Для оценки правомочности таких заявлений приведем некоторые данные научных исследований и эксплуатации изделий из ПВХ.
Однако уже отмечалось ранее, что ПВХ – трудногорючий материал. Он горит только непосредственно в зоне огня. Вне пламени ПВХ гаснет. Благодаря этому его применяют в качестве полимерного замедлителя горения. В современных ПВХ пластиках применяются антипирены повышенной эффективности и с минимальным негативным воздействием на окружающую среду.
Винилхлорид из ПВХ и изделий из него не выделяется ни при каких условиях. Современные предприятия производят ПВХ с содержанием остаточного ВХ менее 10 млн-1. более того на некоторых производствах этот показатель снижен в 10 раз и составляет 1 млн-1. При разложении ПВХ (терморазложение, старение) деполимеризации не происходит.
Ученые-эксперты из университетов Германии и Швеции в течение трех лет изучали разные ПВХ продукты при захоронении их в земле. При этом определяли возможность выделения ВХ и аддитивов в процессе деградации ПВХ в земле. Результаты показали, что ПВХ устойчив в условиях захоронения в земле. Выделение пластификаторов и стабилизаторов может иметь место, но в таких количествах, которые не представляют опасности для окружающей среды, а ВХ не выделяется вообще.
Существуют данные о выделении свинца в воду из ПВХ труб, содержащих свинцовый термостабилизатор. Установлено, что содержание свинца в воде даже после использования ряда провоцирующих условий было в 8-10 раз меньше ПДК, установленной ВОЗ.
В процессе производства и сжигания ПВХ в окружающую среду могут выделяться ПХДД и ПХДФ. Однако эмиссия этих веществ находится на существенно более низком уровне, чем считалось ранее. Исследования, выполненные в Голландии, показали, что эмиссия диоксинов при неконтролируемом сжигании ПВХ и древесины составляет 6,67 мкг на тонну. Для сравнения, при неконтролируемом сжигании чистой древесины этих веществ образуется 3-28 мкг на тонну. На количество образующихся ПХДД и ПХДФ при сжигании прежде всего влияет конструкция печей и рабочие характеристики процесса, а вовсе не присутствие или отсутствие ПВХ в горящем материале.
Имеются данные, свидетельствующие о присутствии ПХДД и ПХДФ в природе до 1990 г., т.е. задолго до начала производства хлорорганических веществ и хлора. Присутствие ПХДД и ПХДФ в образцах почвы объясняется сжиганием природного топлива (древесина, уголь). По мере накопления экспериментальных данных становится очевидным, что и с особой супертоксичностью ПХДД и ПХДФ не совсем все ясно.
Разработано много способов рециклинга (повторного использования) ПВХ материалов. Часть из них реализована в промышленности. Например, в Германии работают 7 предприятий по переработке отходов ПВХ. Фирма VEKA перерабатывает оконные рамы после 30-40 лет эксплуатации по собственной технологии. Новые строительные профили с внутренними элементами выпускаются из рециклированного ПВХ. На рынок поступают трубы, напольные покрытия и другие изделия из вторичного ПВХ.
Для утилизации ПВХ отходов применяются и химические методы. Окислительное щелочное разрушение жестких ПВХ гранул превращает их в щавелевую кислоту и углекислый газ. Постоянно совершенствуются методы сжигания. Разработан экологически прогрессивный способ сжигания городских отходов с предварительной их газификацией и гомогенным горением. Данный способ разработан в Объединенном институте химической физики РАН и апробирован на зарубежных заводах, при этом доказано, что гомогенный синтез диоксинов из газообразных продуктов сгорания невозможен.
Использование ПВХ изделий приводит к существенной экономии энергии.
Известно, что окна занимают около 20% площади ограждающих конструкций зданий и через них теряется до 50% тепловой энергии. Применение оконных профилей из ПВХ со стеклопакетами позволяет практически исключить эти потери. Соответственно снижается нагрузка на производство тепловой энергии. Нужно меньше сжигать топлива (угль, мазут), а это, как известно, способствует улучшению экологической обстановки.
Использование ПВХ изделий имеет больше преимуществ в области экологии, чем недостатков. Строительные профили из ПВХ (окна, двери и др. изделия) предотвращают вырубку леса. Человеку предоставлена возможность не рубить живое дерево, а использовать материалы-заменители, в том числе и ПВХ, изделия из которых могут эксплуатироваться десятки лет. Это будет способствовать снижению экологической нагрузки от производства других материалов (дерево, металлы и др.), а также обеспечит время необходимое для восстановления экологических систем.
2.3 Пенополистирол в строительстве - это опасно или нет?
В России продолжается строительный "бум". В городах строятся многоэтажные жилые дома, в зеленых зонах - частные коттеджи. На садовых участках менее обеспеченные граждане возводят домики из пеноблоков или других современных и недорогих материалов. И мало кто задумывается о последствиях такого строительства для его собственного здоровья. Достаточно заглянуть на сайт любой строительной фирмы, и вы увидите, что самый недорогой и популярный материал - пенополистирол. Свойства пенополистирола требуют дополнительного изучения.
У пенополистирола существуют три неотъемлемых отрицательных свойства, исходящих из его природы, к которым надо относиться просто осторожно, с пониманием этих процессов. Во-первых, это пожарная опасность. Во-вторых, это недолговечность. И, в-третьих, это экологическая небезопасность. Эти свойства требуют дополнительных исследований. Они не требуют запрещения материала, но они требуют дополнительного - внимательного - к нему отношения и дополнительных исследований. Пенополистирол во время горения выделяет много токсичных веществ, это - раз. Полистирол - это стирол, который заполимеризован, у него молекулы длинные и объемные. На самом деле, 100-процентной полимеризации никогда не бывает. А раз не бывает 100-процентной полимеризации, значит, стирол в этом объеме остается.
А стирол - это вещество, которое, вообще говоря, токсично. Он - такой же, как бензол, как этилбензол, он - из той категории веществ, с которыми лучше не иметь дела. Причем не будем говорить об острой мгновенной токсичности. Мы будем говорить о токсичности хронической, той, которая действует на людей - не на крыс, а именно на людей, - в течение десятилетий, малыми дозами, ниже критических, ниже ПДК. Опыты такие поставлены.
Люди живут в обстановке, когда в жилой атмосфере есть стирол, (пусть концентрации и ниже ПДК); проходит год, два, три - и дальше находится работа врачам. Стирол оказывает сильное воздействие на печень, от этих микродоз стирола достается сердцу, у женщин - особые проблемы... В общем, токсический гепатит - так или иначе, мы кружимся вокруг этого диагноза. Кроме стирола, выделяются и другие вещества, включая фенол, формальдегид, этилбензол и так далее. Это - работа для санитарных врачей. Санитарные врачи, естественно, живут одним днем. Когда им приносят на проверку, скажем, пенополистирол той или иной новой марки, что они делают? - Они на мышах и на крысах изучают смывы водой, смывы спиртом... Но это же все - кратковременные вещи, опыт на 5-10 лет никто же не ставит. А в данном случае люди говорят именно об этом - об опыте на 5-10 лет. И такие опыты в мире известны - когда люди много лет работали в такой атмосфере. Пенополистирол - не самый хороший материал. Просто люди должны это знать - они имеют право на это знание. Вторая сторона дела - сам полистирол, то есть уже не в пенном виде, а просто как полимер, например - в виде чашек или тарелок. Есть профессии, когда люди этим часто пользуются. На работе их кормят из такой посуды -выделяется стирол.
Полистирольные плитки - ими облицовывают помещения. И там при определенных температурах (30, 40, 50 градусов в ванной или, скажем, в кухне, у плиты это нормально) выделяется стирол. Причем есть факты, есть случаи, описанные в журнальных статьях, когда выделение бывает достаточно высокое - много выше ПДК, причем - не только стирола. "Свойства пенополистирола меняются от воздействия неконтролируемых, случайных факторов, и выбор данного материала в качестве утеплителя экономически не выгоден (при эксплуатации здания более 10 лет) и потенциально опасен" [7, 9] .
2.4 Разрушающиеся пластмассы
Большинство пластмасс не разлагаются в окружающей среде, так как живые организмы – деструкторы (грибы и бактерии) не имеют ферментов, необходимых для их разрушения. Известны два важные вида разрушающихся пластмасс:
1.Биополимеры. Это высокомолекулярные соединения, которые производятся живыми организмами и которые деструкторы способы разлагать.
2.Синтетические пластики, специально разработанные так, что они разрушаться в природных условиях. Таких пластики бывают, трех видов:
Фоторазрушающиеся пластики - полимерные материалы, разрушающиеся на свету
Синтетические биоразрушаемые пластики, подверженные действию бактерий
Растворимые пластики, которые растворяются в воде.
Биополимеры
Полигидроксибутаноаты – это природные полиэфиры, вырабатываемые некоторыми бактериями и используемые ими как источник энергии. Микроорганизмы, имеющиеся в почве, во внутренних водоемах, в океане способны разрушить эти полимеры. Полное разрушение полигидроксибутаноатов в окружающей среде обычно происходит в течение 9 месяцев. За все, однако, нужно платить: произвести эти полимеры почти в 15 раз дороже, чем полиэтилен.
Фоторазрушение
Карбонильные группы C=O поглощают излучение в диапазоне длин волн 170-360 нм. Это соответствует ближней ультрафиолетовой области солнечного спектра. Эти группы можно внедрить в полимер в качестве энергетических ловушек. Поглощение энергии приведет к разрыву соседних с карбонильной группой связей, и полимер может распасться на фрагменты, которые будут подвержены биоразрушению.
Синтетические биоразрушаемые пластики
Некоторые пластиковые мешки изготовлены из полиэтилена, в который внедрены гранулы крахмала. Когда мешок выбрасывают, имеющиеся в почве микроорганизмы поедают крахмал. В результате мешок разваливается на очень малые куски остатков полиэтилена, биодеградация которых происходит более быстро.
Растворимые пластики
Если с загрязненным больничным бельем обращаться ненадлежащим образом, есть риск распространения инфекции. Опасности можно избежать, если использованное белье поместить в пакет из растворимого пластика. Грязное белье надежно хранится, пока пакет не отправят в стиральную машину: там пакет растворяется в воде и не мешает стирке.
Растворимые пластиковые пакеты изготавливают из поливинилового спирта. Это новый полимер, получаемый гидролизом или алколизом из другого полимера, поливинилацетата [13, 14].
2.5 Разложение или повторное использование отходов?
Для изготовления всякой вещи, включая предметы из пластмассы, требуется энергия. Часть энергии идет на производство собственно материала, в данном случае полимера, остальное требуется для переработки, то есть изготовления конечного изделия.
Основная часть энергия тратится на производство пластмассы, так что исходя, из целей энергосбережения можно заключить, что повторное использование – это дело полезное.
Ситуации здесь, однако, сложнее, чем в случае стекла. Находящееся в употреблении стекло в основном одного типа и всего-то трех цветов.
Сколько же стоит сбор и сортировка пластмассовых отходов? И для чего можно использовать полученный из вторичного сырья пластик? Есть много областей применения, для которых бывший в употреблении пластик непригоден. Например, большинству людей не нравится, если пищевые продукты упаковывают в такой пластик.
Тем не менее, в Великобритании 60 компаний заняты рециклом полимерного вторичного сырья, они возвращают около 150 000 тонн полимерных материалов в год. Две трети повторно используемых пластиков получают из промышленных отходов, и большая часть – это «чистые» материалы: отходы непластифицированного при изготовлении оконных рам, отслужившие свое ящики и корпуса автомобильных аккумуляторов из полипропилена.
Пока экономически невыгодно заниматься рециклом смесей различных пластиков из бытовых отходов. Когда это станет возможным, было бы неплохо вернуться к нынешним пластиковым отходам, произвести их сортировку и повторно использовать. Этого иногда нельзя будет сделать, если мы будем выбрасывать отслужившие изделия из пластиков на свалки вместе с другими отходами. Так что, может быть. Нам следует сейчас собирать пластиковые отходы отдельно от других, с тем, чтобы будущие поколения имели ресурсы, которые можно было бы использовать. [13, 14].
В этой главе мы рассмотрели некоторые (на самом деле их гораздо больше) экологические вопросы, связанные с удалением и повторным использованием отходов из пластмасс. И в следующей главе мы будем рассматривать, способы проведения уроков в школе по этой теме.
ГЛАВА 3. ИЗУЧЕНИЕ СИНТЕТИЧЕСКИХ ВЫСОКОМОЛЕКУЛЯРНЫХ ВЕЩЕСТВ НА УРОКЕ ПО ХИМИИ В СРЕДНЕЙ ШКОЛЕ
3.1 План урока
Урок 1. Тема урок. Понятие о высокомолекулярных соединениях
Цель урока: Систематизировать и углубить знания учащихся о высокомолекулярных веществах.
Задачи: 1. ввести понятия – мономер, полимер, степень полимеризации, структурное звено, средняя молекулярная масса. 2. Ознакомить с разными структурами полимеров (линейной, разветвлённой и др.). 3. научить доказывать влияние строения полимеров на их свойства. Ученики должны узнать сущность реакций полимеризации и поликонденсации, уметь записывать уравнения химических реакций.
Материалы и оборудование: модели молекул этилена, пропилена, хлорвинила, стирола; выставка изделий из пластмасс и полимеров.
Тип урока: комбинированный, с элементами беседы и лекции.
Ход урока
1.Организационый момент, т.е. приветствие, проверка присутствующих (1-2 мин.).
I. Опрос домашнего задания и подготовка к восприятию нового материала (10-12 мин.).
Фронтальная беседа.
Вопросы:
Какие углеводороды вы знаете?
Ответ: В органической химии различают предельные углеводороды (алканы), непредельные (алкены, алкадиены и алкины) и ароматические углеводороды.
2.Какие углеводороды называются непредельными и как их подразделяют? Напишите общие формулы непредельных углеводородов?
Ответ. Непредельными называются углеводороды, молекулы которых содержат кратные (двойные или тройные) связи. Общая формула углеводородов, содержащих одну двойную связь (алкенов) – CnH>2>>n>. Общая формула углеводородов с двумя двойными связями (диенов) - CnH>2>>n>>-2>. Такую же формулу имеют УВ с одной тройной связью (алкины).
Какие из углеводородов способны вступать в реакцию полимеризации?
Ответ: В реакции полимеризации способны вступать алкены, диеновые углеводороды, алкины. Из ароматических углеводородов стирол участвует в реакциях полимеризации.
Почему именно из этих углеводородов можно получить полимеры?
Ответ: Непредельные углеводороды вступают в реакцию полимеризации из-за наличия у них в молекулах кратных связей, которые разрываются вследствие соединения молекул друг с другом.
Участие стирола
в реакции полимеризации объясняется
тем, что в боковой цепи его молекул
содержится непредельный радикал винил.
II. Изучение нового материала (20-25 мин.).
Полимеры – высокомолекулярные соединения, вещества с большой молекулярной массой (от нескольких тысяч до нескольких миллионов), в которых атомы, соединенные химическими связями, образуют линейные или разветвленные цепи, а также пространственные трехмерные структуры. К полимерам относятся многочисленные природные соединения: белки, нуклеиновые кислоты, целлюлоза, крахмал, каучук и другие органические вещества. Большое число полимеров получают синтетическим путем на основе простейших соединений элементов природного происхождения путем реакций полимеризации, поликонденсации, и химических превращений.
1.Значение высокомолекулярных соединений.
2.Основные понятия (например, реакций полимеризации этилена):
мономер, полимер, структурное звено, степень полимеризации.
3. Геометрическая структура или форма макромолекулы полимеры:
линейная, разветвленная, пространственная.

4. Характеристика молекулярной массы полимера.
5. Свойства полимеров:
высокая механическая прочность, не имеют определённой температуры плавления и кипения, отсутствие летучести, вязкость растворов, нерастворимость в воде.
6. Способы получения (синтеза) полимеров:
а) Реакция полимеризации; б) Реакция поликонденсации
1. Полимеризация - это процесс образования высокомолекулярных соединений по цепному механизму без выделения низкомолекулярного соединения.
2. Полиприсоединения - это процесс образования высокомолекулярных соединений по ступенчатому механизму без выделения низкомолекулярных продуктов.
поликонденсация – это получение высокомолекулярного соединения по ступенчатому механизму с выделением низкомолекулярного продукта.
7. Экологические проблемы, связанные с полимерами.
Синтетические полимеры имеют определенные преимущества по сравнению с другими материалами (например, древесиной или сталью), поэтому они находят широкое практическое применение. Однако ликвидация отходов, содержащих синтетические полимеры, представляет чрезвычайно серьезную экологическую проблему. Например, при сжигании поливинилхлорида на мусоросжигательных заводах могут образовываться диоксины и выделяться тяжелые металлы. Кроме того, синтетические полимеры имеют низкую термостойкость, при нагревании они разлагаются с образованием токсичных продуктов. Некоторые синтетические полимеры выделяют вредные для здоровья пары (особенно фенолформальдегидные смолы, используемые в качестве связывающих веществ в древесно-стружечных плитах и покрытиях).
Знаете ли вы что…
1. Сложность повторного использования резины из старых шин связана с тем, что она вулканизированная.
Американские ученые обнаружили в горячих источниках Йеллоустонского национального парка бактерии, которые способны переваривать серные мостики в вулканизированной резине. Получается сырая резина, которая в количестве до 20 % можно вводить в массу для изготовления новых шин.
2. Применение отслужившим шинам свое автомобильным шинам нашла австралийская фирма «Марвел-Линк». Там из старых шин делают резиновый порошок, который можно использовать тремя способами. Во-первых, порошок из старой резины можно в количестве до 50 % добавлять в новую резину при изготовлении новых шин. Во-вторых, после специальной обработки такой порошок сильно поглощает нефть и может использоваться для сбора нефти, разлитой при разных авариях, в том числе и с поверхности воды. В-третьих, резиновым порошком можно засыпать городские свалки, ведь сейчас для этого тратится ценный стройматериал – крупный карьерный песок.
8.Общий вывод по уроку.
III. Закрепление знаний по пройденной теме (5 мин.).
1.Задание на дом.
Записи в тетради, упражнения 1-3.
2. Фронтальная беседа.
а) Почему структурным звеном полиэтилена считают − CH>2> − CH>2>− , а не − CH>2> − ?
б) Широко распространённый полимер полихлорвинил (поливинилхлорид) имеет строение:

Найдите структурное звено полимера и определите структурную формулу мономера.
в) Полиэтилен с молекулярной массой около 500 представляет собой вязкую жидкость. Вычислите степенью полимеризации такого полиэтилена.
Урок 2. Тема. Синтетические волокна
Цель урока: 1. Обобщить и углубить знания учащихся о волокнах, их классификации, строении, свойствах. Ввести понятие синтетических волокон.
Научить записывать в общем виде уравнения получения синтетических волокон 3. Научить учащихся сравнивать, обобщать, высказывать суждение о свойствах веществ на основе их строения.
Тип урока: лекция.
Ход урока
I. Подготовка к восприятию нового материала.
Фронтальная беседа.
1. Как классифицируют волокна?
2. Какие вы знаете волокна? Каковы их свойства? Где они применяются?
II. Изучение нового материала.
1. Кратко о классификации волокон.
Демонстрация: «Коллекция волокон», «Образцы синтетических волокон».
2. Синтетическое волокно – лавсан: объяснить его название, сырьё, свойства и применения.
3. Синтетическое волокно – капрон: сырьё, свойства и применения.
III. Закрепление новых знаний.
1.Задание на дом.
Записи в тетради, упражнения 1-2, подготовка к практической работе.
Для практической работы перечертить таблицу, только написать полиэтилен, поливинилхлорид, фенол-формальдегидные смолы, капрон, полистирол. Для волокон – таблица, выписать хлопок, шерсть, лавсан, капрон.
2.Фронтальная беседа:
Самостоятельная работа по карточкам (на 10 мин.) по одному вопросу.
Карточка №1. Широко распространённый полимер полихлорвинил (поливинилхлорид) имеет строение:

Найдите структурное звено полимера и определение структурную формулу мономера.
Карточка №2. Какими признаками должны характеризоваться вещества, вступающие в реакции: а) полимеризации; б) поликонденсации? Приведите примеры.
Карточка №3. Опишите свойства полиэтилена и полипропилена. Где они применяются?
Урок 3. Тема. Распознание пластмасс и химических волокон.
Тип урока: Практическая работа
Цель урока: 1. Закрепить и углубить знания учащихся о пластмассах и химических волокнах. 2.Научить умению определять пластмассы и химические волокна, соблюдать правила по технике безопасности при работе с органическими веществами.
Ход урока
I. Подготовка к выполнению практической работы.
1. Беседа учителя о правилах по технике безопасности при работе с органическими веществами. 2. Порядок выполнения работы (беседа).
II. Проведение практической работы.
Для проведения практической работы использовать, свои таблицы и практическую работу, в учебнике для 11 класса [1].
Распознавание пластмасс следует начать с внешнего осмотра, а затем перейти к исследованию их отношения к нагреванию и горению. Потом испытывают действие на них растворителей.
Распознавание волокон начинают с их сжигания. При этом прослеживают, с какой скоростью происходит горение, исследуют запах продуктов разложения, свойства остатка, который образуется после горения. Затем проверяют действие на волокна кислот, щелочей и растворителей.
Например, в отдельных пакетах под номерами разложены разные пластмассы: № 1– поливинилхлорид; № 2 – полиэтилен; № 3 – полистирол; № 4 – фенол-формальдегидная пластмасса; №5 –капрон. В других пакетах под номерами – образцы волокон: № 1 – шерсть; № 2- хлопок; № 3 – вискоза; № 4 – ацетатное волокно; № 5 – лавсан. Учащиеся берут из каждого пакета образцы волокон и пластмасс и исследуют их (по продуктам сжигания, действию кислот, щелочей и т. д.). После определения данного образца они ставят соответствующий номер в своей таблице.
2. Приведение в порядок своего рабочего места. Выводы по работе, необходимые записи.
III. Закрепление знаний, умений, навыков.
Подготовка к следующей теме.
3.2 Задачи
Важную роль в процессе подготовки к экзамену по химии играют задачи. Их решение способствует неформальному усвоению теоретического курса. Они включаются в экзаменационные билеты. При этом мы будем рассматривать некоторые наиболее типовые задачи с решениями [5, 11, 12].
Углеводород А, который легче воздуха, присоединяет в присутствии хлорида ртути (II) хлороводород и превращается при этом в вещество В, которое при определенных условиях образует вещество С, имеющее тот же качественный и количественный состав, но гораздо большую относительную молекулярную массу. Приведите формулы веществ А, В, С. Напишите уравнение реакций.
Ответ: A - C>2>H>2>,, B - CH>2>=CHCl, C - (-CH>2>-CHCl-)>n> .
Составьте уравнение реакции полимеризации углеводорода C>4>H>8> с разветвленным углеродным скелетом.
Ответ: n(CH>3>)>2>CCH>2>→(-CH>2>-C(CH>3>)>2>-)>n> .
3. Напишите уравнение между бутадиеном и стиролом, приводящее к образованию полимера регулярного строения.
Ответ: nC>6>H>5>CHCH>2>+nH>2>CCH-CHCH>2>→(-CH>2>-CH(C>6>H>5>)-CH>2>-CH=
CH-CH>2>-)>n> .
4. Исходя из неорганических веществ, получите полимер с четырьмя атомами углерода в элементарном звене.
Ответ: CaO→CaC>2>→C>2>H>2>→HC C-CHCH>2>→H>2>CCH-CH
=CH>2>→(-CH>2>CHCHCH>2>-)>n> .
Предложите способы получения из этанола двух полимеров с разным числом атомов углерода в элементарном звене.
Ответ: 1) C>2>H>5>OH→C>2>H>4>→(-CH>2>-CH>2>-)>n>;
2) C>2>H>5>OH→H>2>CCH-CHCH>2>→(-CH>2>-CHCH-CH>2>-)>n> .
Органическое стекло представляет собой полимер метилового спирта метакриловой кислоты – простейшей непредельной карбоновой кислоты с разветвленным скелетом. Напишите уравнение реакции образования оргстекла.
Ответ:
nCH>2>
-COOCH>3>→
Какую массу каучука можно получить из 100 кг. 96%-ного этанола, если выход реакции Лебедева составляет 60%, а реакции полимеризации – 80%?
Ответ: 27 кг. каучука.
8. Определите среднюю степень полимеризации в образце бутадиенового каучука, средняя молярная масса которого равна 100000 г/моль. Изобразите структуру мономерного звена.
Ответ: 1850.
Сравните массовые доли углерода в полимере и мономере, если полимер получен в результате реакции: а) полимеризации;
б) поликонденсации с выделением воды. Ответ мотивируйте.
Ответ: а) массовые доли одинаковы;
б) в полимере массовая доля углерода больше.
Определите строение непредельного углеводорода с открытой цепью углеродных атомов, на полное каталитическое гидрирование 1,62 г. которого потребовалось 1,34 л. водорода (н.у.). Исходный углеводород широко используется в промышленности для производства каучука.
Ответ: бутадиен-1,3.
К 1,12 л. бесцветного газа (н.у.), полученного из карбида кальция, присоединили хлороводород, образовавшийся при действии концентрированной серной кислоты на 2,93 г. поваренной соли. Продукт присоединения хлороводорода полимеризовался с образованием 2,2 г. полимера. Какой полимер был получен? Каков выход превращения мономера в полимер (в % от теоретического)?
Ответ: 70,4% поливинилхлорида.
12. Определите среднюю степень полимеризации в образце природного каучука, средняя молярная масса которого равна 200 000 г/моль. Изобразите структуру мономерного звена.
Решение:
Природный каучук представляет собой полиизопрен, в котором большинство звеньев находится в цис-конфигурации. Получение каучука из изопрена можно представить как 1,4-присоединение:
.
Каждое мономерное звено имеет молекулярную формулу С>5>Н>8> и молярную массу 68 г/моль. В одной молекуле полимера в среднем содержится 200 000 /68=2940 мономерных звеньев.
Ответ: Степень полимеризации – 2940.
13. 28,2 г. фенола нагрели с избытком формальдегида в присутствии кислоты. При этом образовалось 5,116 г воды. Определите среднюю молярную массу полученного высокомолекулярного продукта реакции, считая, что поликонденсация протекает только линейно и фенол полностью вступает в реакцию.
Решение:
Уравнение линейной поликонденсации фенола и формальдегида можно записать следующим образом:


OH





n
+(n+1)CH>2>O










OH
OH OH
















CH>2>
CH>2>








+(n-1)H>2>O
n-2
Согласно этому уравнению отношение количеств воды и фенола равно (n-1)/n, что позволяет найти значение n. Количество веществ v(C>6>H>5>OH)= =28,2/94=0,300 моль, v(H>2>O)=5,116/18=0,2842 моль.
v(H>2>O)/ v(C>6>H>5>OH)=0,2842/0,300=(n-1)/n,
откуда п =19. Молярная масса продукта конденсации равна:
M=M(C>6>H>4>OH)+17. M(CH>2>C>6>H>3>OH)+M(CH>2>C>6>H>4>OH)=
=93+17.106+107=2002 г/моль.
Ответ: 2002 г/ моль.
14. Сколько тонн 2-метил-1,3-бутадиена можно получить из 180 тонн 2-метил-бутана, если выход продукта составляет в массовых долях 0,89, или 89%, по сравнению с теоретическим?
Решение:

Ответ: 151,3 m 2-метил-1,3-бутадиена.
15. Сколько
по объему 1,3-бутадиена можно получить
из 800 л. раствора содержащего в массовых
долях 0,96, или 96% этилового спирта (
г/см3)?
Решение:

Ответ: 149,6 м3 бутадиена.
16. Составьте уравнение реакций, при помощи которых можно осуществить следующие превращения:

Ответ:
поливинилхлорид
17. Напишите уравнения реакций, при помощи которых можно осуществить следующие превращения и назовите продукты реакции:

Ответ:
1)

2)

3)
18. При полимеризации 140г изобутилена в присутствии серной кислоты был получен диизобутилен. Непрореагировавший изобутилен отогнали, а на диизобутилен подействовали бромом, причем было израсходовано 120г брома. Определите процент выхода диизобутилена.
Ответ: 60%.
19. Определите среднюю степень полимеризации в образце хлоропренового каучука, средняя молярная масса которого равна 120 000 г/моль. Изобразите структуру мономерного звена этого полимера.
Решение. Хлоропрен по строению напоминает изопрен, имея атом хлора на месте метильной группы изопрена. Полимеризация хлоропрена в положения 1,4 дает полимер:

n CH>2>=C–CH=CH>2> → –CH>2>–C=CH–CH>2>–
| |
Cl Cln
хлоропрен
хлоропреновый каучук
Структура мономерного звена:
–СН>2>−С=СН−СН>2>−
|
Сl
Молярная масса М (C>4>H>5>Cl)= 88,5 г/моль. Средняя степень полимеризации n = M (каучука)/ М (мономера) = 120000 : 88,5 = 1356.
Ответ. n=1356. [16,20, 21]
3.3 Тесты
К природным высокомолекулярным соединениям относится:
а. полиэтилен
б. глюкоза
в. сахароза
г. клетчатка (+)
2) Белковые молекулы из аминокислот образуются по реакции.
а. замещения
б. поликонденсации (+)
в. полимеризации
г. разложения
3) Какому классу синтетических высокомолекулярных соединений родственны в химическом отношении белки?
а. полиолефинам
б. поликарбонатам
в. полиамидам (+)
г. полиэфирам
д. полиуретанам
4) Процесс соединения одинаковых молекул в более крупные молекулы:
а. поликонденсация
б. изомеризация
в. полимеризация (+)
г. гидратация
5). Структурным звеном полиэтилена является:
а. CH>3>-CH=CH>2>
б. –CH>2>–CH>2>– (+)
в. –CH–CH>2>–
|
СН>3>
г. СH>2>=CH>2>
6). Полиэтилен получают, используя реакцию
а. полимеризации (+)
б. поликонденсации
в. гидрирование
г. изомеризации
7). Элементарным звеном бутадиенового каучука является:
а.–CH>2>–CH=CH–CH>2>– (+)
б. CH>2>=CH–CH=CH>2>
в. –CH>2>–CH>2>–CH>2>–CH>2>–
г.–CH>2>–CH>2>–
8). Элементарное звено –CH>2>–CH>2>– имеется в макромолекулах:
а. бутадиенового каучука
б. полиэтилена (+)
в. полипропилена
г. бутадиенстирольного каучука
9). Высокомолекулярные соединения получают в результате:
а. гидролиза и этерификации
б. этерификации и поликонденсации
в. полимеризации и поликонденсации (+)
г. полимеризации и гидролиза
10). К биополимерам относятся:
а. белки (+)
б. капрон
в. натуральный каучук (+)
г. полистирол
д. сахароза
11). Структурное звено полипропилена:
а. CH>3>–CH=CH>2>
б. –CH>2>–CH>2>–
в. –CH–CH>2>– (+)
|
СН>3>
г.CH>2>=CH>2>
12). Полиэтилен получают реакцией полимеризации:
а. бутена
б. этана
в. изопропена
г. этена (+)
13). Элементарное звено –CH>2>−CH=CH−CH>2>− имеется в макромолекулах:
а. полиэтилена
б. бутадиенового каучука (+)
в. бутадиенстирольного каучука
г полистирола
14). Каучук получают, используя реакцию
а. этерификации
б. дегидрирование
в. «серебряного зеркала»
г. полимеризации (+)
д. поликонденсации
15). Формула мономера для получения полипропилена
а. CH>3>−CH=CH>2 >(+)
б. CH>2>=CH>2>
в. –CH-CH>2>
|
СН>3>
г.CH>2>=CH−CH=CH>2>
16). Какие полимеры обладают термопластичностью:
а. полистирол (+)
б. фенолформальдегидная смола
в. карболит
г. полиэтилен (+)
17). Мономер для получения полиэтилена:
а. CF>2>=CF>2>
б. CН>2>=CH−СН>3>
в.CH>2>=CH>2> (+)
г.-CH>2>-CH>2>-
18). В результате реакции поликонденсации может образоваться:
а. полипропилен
б. полистирол
в. бутадиенстирольный каучук
г. фенолформальдегидная смола (+)
19). Первичные спирты могут использоваться:
а. в процессе крекинга
б. в реакциях полимеризации (+)
в. для получения сложных эфиров
г. для синтеза углеводов
20). Как называется процесс получения резины из каучука при нагревании его с серой:
а. поликонденсация
б. вулканизация (+)
в. окисление
г. гидрирование
21). Полимер, имеющий следующее строение
Н
СН>3>
\ ∕
С=С
∕ \
–СН>2
>СН>2>–n
Смешали с избытком серы и нагрели. Продукт реакции называется:
а. резина
б. стирол
в. эбонит (+)
г. изопреновый каучук
22). Для того чтобы началась реакция полимеризации, к мономеру добавляют пероксид водорода. Какую роль выполняет пероксид водорода?
а. катализатора
б. ингибитора
в. инициатора (+)
г. индикатора
23). Сырьем для промышленного производства ацетатного волокна служит:
а. целлюлоза (+)
б. натуральный каучук
в. лавсан
г. поливинилхлорид
24). Полимеризацией, какого вещества получают волокно капрон:
а. ацетилена
б. винилхлорида
в. капролактама (+)
г. 6-аминогексановой кислоты
25). Какое из данных веществ является полиэфирным волокном:
а. целлюлоза
б. лавсан (+)
в. ацетатное
г. хлопковое
26). К каким волокнам относится вискозное волокно:
а. растительного происхождения
б. синтетическим
в. животного происхождения
г. искусственным (+)
27). В чем растворяется натуральный шелк:
а. NaOH (10%) (+)
б. NaOH (5%)
в. HCl
г. ацетоне
28). Какую реакцию дают продукты разложения хлопка:
а. окрашиваются в желтый цвет
б. окрашивают синюю лакмусовую бумажку в красный цвет (+)
в. набухают
г. обесцвечивают раствор KMnO>4>
29). В чем не растворяется целлулоид:
а. бензоле (+)
б. феноле
в. HNO>3>
г. дихлорэтане (+)
30). Сополимеризацией каких веществ получают бутадиенстирольный каучук:
а. стирола и метилметакрилата
б. фенола и формальдегида
в.1,3-бутадиена и стирола (+)
г. этиленгликоля и терефталевой кислоты
31).Укажите название высокомолекулярных веществ природного про исхождения:
а) крахмал +
б) полиэтилен
в) глюкоза
г) целлюлоза +
32). Какое волокно содержит амидную связь:
а) лавсан
б) ацетатное +
в) капрон
г) хлопковое
33). Натуральный каучук представляет собой:
а) цис- форму полибутадиена
б) транс- форму полиизопрена
в) транс- форму полибутадиена
г) ) цис- форму полиизопрена +
34). Чему равна степень полимеризации полипропилена со средней мо лярной массой 100000 г/моль?
а) 2300
б) 2375
в) 2381 +
г) 2392
35). Какие из перечисленных волокон относятся к химическим?
а) хлопковое
б) вискозное +
в) лавсан +
г) шерстяное
36). Какие два вещества из перечисленных ниже взаимодействуют между собой с образованием мономера, используемого для получения волокна лавсан:
а) этиленгликоль +
б) глицерин
в) бензойная кислота
г) терефталевая кислота +
37). К синтетическим волокнам относятся:
а) льняное
б) лавсан +
в) капрон +
г) ацетатное
38). Укажите массовую долю хлора в поливинилхлориде (%):
а) 55,8
б) 56,8 +
в) 57,0
г) 58,8
39). Какой каучук называют дивиниловым:
а) изопреновый стереорегулярного строения
б) изопреновый с транс- формой макромолекул +
в) бутадиеновый стереорегулярного строения
г) бутадиеновый нерегулярного строения +
40).Волокно капрон представляет собой:
а) продукт реакции полимеризации аминокапроновой кислоты
б) продукт реакции сополимеризации этиленгликоля и терефталевой кислоты
в) продукт реакции поликонденсации 6- аминогексановой кислоты +
г) продукт реакции поликонденсации γ- аминокапроновой кислоты
41).Какой каучук получается при полимеризации 2- хлорбутадиена- 1,3?
а) дивиниловый
б) изопреновый
в) хлоропреновый +
г) бутадиеновый
42).Охарактеризуйте процесс вулканизации каучука
а) повышает прочность каучука +
б) является химическим процессом +
в) является физическим процессом
г) для этой цели используется сера +
43).Для получения искусственного волокна целлюлозу:
а) взаимодействием с хлором
б) взаимодействием с хлороводородом
в) обрабатывают азотной кислотой
г) обрабатывают уксусным ангидридом +
44).Сколько изопреновых звеньев должна содержать макромолекула натурального каучука при молярной массе, равной одному миллиону?
а) 16700
б) 15700
в) 14700 +
г) 14800
45).Средняя относительная молекулярная масса целлюлозы равна 586602. Рассчитайте степень поликонденсации макромолекулы:
а) 3550
б) 3601
в) 3621 +
г) 3653 [22]
3.4 Тесты с экологическим содержанием
Соединение, образующееся при сгорании ВМС, приводящее к образованию сернистой кислоты:
а)

б)
+
в)

г)

2. Основные вещества, которые загрязняют и ухудшают качество природных вод:
а) нефтепродукты +
б) фенолы +
в) соединения углерода (карбонаты, гидрокарбонаты)
г) фенолформальдегидные смолы +
д) соединения кремния (кремнезем, силикаты)
3. Высокомолекулярные природные соединения, служащие структурными частями живых организмов и играющие важную роль в процессах жизнедеятельности:
а) ксенобиотики
б) ДНК +
в) жиры
г) биополимеры +
4. Искусственный загрязнитель атмосферного воздуха:
а) морские (кристаллы соли)
б) внеземные (космическая пыль)
в) сжигание ископаемого топлива (торф, уголь, нефть) +
г) континентальные (выветривание, вулканы)
5. Процесс расщепления углеводов отсутствии кислорода, конечным продуктом которого является молочная и пировиноградная кислота:
а) пиролиз
б) электролиз
в) гликолиз
г) гидролиз +
6. Биохимический процесс превращения продуктов разложения органических остатков в высокомолекулярные вещества при участии микроорганизмов:
а) гумификация
б) мутация
в) гипертония
г) эвтрофикация +
7. Приемы правильной утилизации полимерных отходов:
а) сжигание
б) сбор полимерных отходов и их закапывание +
в) вторичная переработка +
г) выбрасывание на свалку
8. Для очистки моря от загрязнения нефтью применяют:
а) каучуковые гранулы из старых автомобильных шин +
б) пемзогранулы
в) древесный уголь
г) керамзитовые гранулы
9. При горении высокомолекулярных соединений образуются токсичные продукты:
а) хлорвинил +
б) диоксины +
в) аммиак
г) водяные пары
д) угарный газ
10. Термореактивные полимеры не подлежат вторичной переработке, так как:
а) не сохраняют способности вновь переходить в вязкотекучие при повторном нагревании +
б) при их нагревании выделяются ядовитые вещества
в) не растворяются в воде
г) полимер «стареет»
11. Высокомолекулярные соединения, содержащиеся в ядрах клеточных организмов, являющиеся носителем генетической информации6
а) РНК
б) ДНК +
в) АТФ
г) рибосома
12. Сложный белок, содержащий небелковый компонент:
а) протеид +
б) протеин
в) витамин
г) пигмент
13. Белок, образующийся из другого сложного белка плазмы крови под действием фермента ромбина:
а) фибрин +
б) фибропласт
в) фитоцид
г) фитотрон
14. Высокомолекулярное органическое вещество почвы, образующееся в результате гумификации органических остатков:
а) фульвокислоты
б) ульмин
в) гумин
г) гумус +
15. В клетках животных и человека глюкоза:
а) является источником энергии +
б) выполняет запасающую функцию
в) участвует в процессе фотосинтеза
г) является катализатором
16. Конечным продуктом гидролиза крахмала является:
а) сахароза
б) глюкоза +
в) целлюлоза
г) этанол
17. При гидролизе сахарозы образуется:
а) глюкоза и фруктоза +
б) крахмал
в) глюкоза и этанол
г) целлюлоза
18. Высокомолекулярные соединения образуются в результате реакции:
а) гидролиза и этерификации
б) этерификации и поликонденсации
в) полимеризации и поликонденсации +
г) полимеризации и гидролиза
19. При производстве и использовании ДСП в окружающую среду выделяется:
а) аммиак и углекислый газ
б) фенол и формальдегид +
в) этанол и вода
г) угарный газ и метан
20. Основной поставщик фенола и формальдегида в атмосферу:
а) медицина
б) деревообрабатывающая промышленность +
в) химическая промышленность +
г) пищевая промышленность
21. ПДК фенола в воздухе:
а) 1 мг/м3
б) 20 мг/м3
в) 17 мг/м3
г) 5 мг/м3 +
22 ПДК фенола в сточных водах:
а) 20 мг/м3
б) 1-2 мг/м3 +
в) 12 мг/м3
г) 4 мг/м3
23. Один из отходов при производстве фенолформальдегидных смол:
а) ацетон
б) кумол
в) фенольная смола +
г) метиловый спирт
24. Один из методов утилизации ПВХ:
а) гидролиз
б) газификация
в) гомогенное горение
г) окислительное щелочное разрушение +
25. Одно из наиболее опасных соединений, которое выделяется при горении ДСП:
а) циановодород +
б) серная кислота
в) азотная кислота
г) бензапирен [23]
|
Количество выполненных заданий (в %) |
Оценка |
|
35 |
неудовлетворительно |
|
50 |
удовлетворительно |
|
70 |
хорошо |
|
100 |
отлично |
3.4 Вопросы
1. Какие вещества называют высокомолекулярными? Приведите примеры.
2. В результате, каких реакций получают высокомолекулярные соединения?
Ответ. Высокомолекулярные соединения можно получать с помощью реакций полимеризации, поликонденсации, полиприсоединения.
3. Чем отличаются реакции полимеризации и поликонденсации?
4. Какого значение высокомолекулярных веществ?
5.Какие реакции называют реакциями полимеризации? Напишите уравнение реакции полимеризации пропилена.
Ответ. Полимеризация – это процесс соединения большого числа одинаковых молекул (мономеров) в одну большую молекулу (полимер). 6.Могут ли образовывать полимеры галогенпроизводные непредельных углеводородов?
Ответ: Да, могут. Например, галогенпроизводное ацетилена – винилхлорид способен полимеризоваться:

винилхлоридполивинилхлорид
При полимеризации
тетрафторэтилена
образуется политетрафторэтилен
(-CF>2>-CF>2>)>n>.
7. Как ученым удалось выяснить строение макромолекул природного каучука?
Ответ: При нагревании без доступа воздуха натуральный каучук распадается с образованием 2- метил-1,3- бутадиена (изопрена). Это означает, что молекулы натурального каучука построены из фрагментов молекул изопрена
8. Каковы физические и химические свойства природного каучука?
Ответ. Физические свойства: природный каучук – упругое аморфное вещество, очень эластичен, водогазонепроницаем, не растворяется в воде, растворяется в бензине, хлороформе и сероуглероде.
Химические свойства: натуральный каучук – непредельное соединение и способен к реакциям присоединения. В частности, он реагирует с серой, атомы которой сшивают вместе различные полиизопреновые цепи.
9. Чем отличаются каучуки от резины?
Ответ. Резина – это продукт реакции каучука с серой. Она обладает значительно большей прочностью, но меньшей эластичностью, чем каучук.
10. Напишите уравнение реакции полимеризации 1,3 – бутадиена:
nCH>2>=CH-CH=CH>2>→(-CH>2>-CH=CH-CH>2>)n
11. Напишите уравнение реакции получения поливинилхлорида из ацетилена:
Ответ: CH=CH+HCL→CH>2>=CHCL
12. Перечислите области применения формальдегида. На каких свойствах основано его использование?
Ответ. Важнейший из альдегидов - формальдегид – применяется для получения фенолформальдегидной смолы и пластмасс на ее основе. В основе этого процесса – реакция поликонденсации фенола с формальдегидом.
13. Что такое фенопласты?
Ответ. Фенопласты – это пластмассы, изготовленные из фенолформальдегидной смолы в сочетании с различными наполнителями.
14. Как образуется целлюлоза в природе? Составьте соответствующие уравнение реакций.
Ответ. Целлюлоза образуется в результате реакций фотосинтеза:
6 CO>2>+6H>2>O→C>6>H>12>O>6>+6O>2>
n C>6>H>12>O>6>→(C>6>H>10>O>5>)n+nH>2>O
15. Какие волокна получают из целлюлозы и чем они отличаются друг от друга?
Ответ. Из целлюлозы получат искусственные волокна: ацетатное и вискозное. Они отличаются химическим составом, ацетатное волокно- это триацетат целлюлозы [C>6>H>7>O>2>(OCOCH>3>)>3>]n, а вискозное – это просто определенным образом обработанная целлюлоза.
16. Какие элементы входят в состав белков? Охарактеризуйте строение белковых молекул.
Ответ. В состав всех белков входят углеводород, водород, кислород и азот. Большинство белков содержит также серу.
Белки – это природные полимеры, состоящие из остатков аминокислот, соединенных пептидными связями. Последовательность аминокислотных остатков называется первичной структурой белка. Полипептидная цепь скручена в пространстве в спираль за счет водородных связей между группами –NH и –CO-. Пространственная структура полипептидной цепи называется вторичной структурой. Трехмерная конфигурация закрученной спирали в пространстве, образованная за счет дисульфидных мостиков –S-S- между цистеиновыми остатками и ионных взаимодействий, называется третичной структурой.
17. Какие группы атомов и типы связей наиболее характерны для большинства белковых молекул?
Ответ. Во всех белковых молекулах есть пептидная связь –NH – CO- между аминокислотными остатками и водородные связи между группами –NH и –CO-.
В белках, в состав которых входит аминокислота цистеин, между различными фрагментами полипептидной цепи образуется дисульфидный мостик –S-S-.
18. Где белки встречаются в природе и каково их назначение?
Ответ. Белки – основной компонент клеток и тканей всех живых организмов. Значение белков состоит в том, что они являются катализаторами всех химических процессов в живых организмах.
19. Опишите физические и химические свойства белков.
Ответ. Физические свойства: глобулярные белки растворимы в воде или образуют коллоидные растворы; фибриллярные белки в воде не растворимы. Химические свойства. 1). Денатурация – разрушение вторичной и третичной структуры белка с сохранением первичной структуры. Происходит при нагревании или действии растворителей. 2). Гидролиз белков – разрушение первичной структуры в кислом или щелочном растворе с образованием аминокислот.
3). Качественная реакция на белки - красно – фиолетовое окрашивание при действии солей меди (II) в щелочном растворе (биуретовая реакция).
20. Как можно доказать наличие белков в продуктах питания, в шерстяных и шелковых тканях?
Ответ. Это можно доказать с помощью цветных качественных реакций, например биуретовой реакции.
21. Дайте общую характеристику роли белков в процессах жизнедеятельности человека и животных.
Ответ. В живых организмах белки играют роль строительного материала. Из них построены мышцы, части суставов, кожа, волосы. Другой тип белков – ферменты – играют роль катализаторов химических процессов в живых организмах. Кроме того, некоторые белки выполняют транспортные функции, перенося вещества из одной части организма в другую.
22. Какие вещества относятся к высокомолекулярным соединениям, а какие - к мономерам и полимерам? На конкретных примерах поясните, чем отличается строение их молекул.
Ответ. ВМС – это соединения с большой молекулярной массой. ВМС – полимеры, молекулы которых содержат повторяющиеся фрагменты. Полимеры получают путем соединения большого числа молекул мономеров. Например, полимер поливинилхлорид (-CH>2>-CHCL)n получают из мономера винилхлорида CH>2>=CHCL
23. Поясните, что такое «структурное звено» и «степень полимеризации».
Ответ. Структурное звено – это повторяющийся фрагмент в молекуле полимера. Например, в поливинилхлориде (-CH>2>-CHCL)n структурное звено - CH>2 >- CHCL. Число структурных звеньев в молекуле полимера называется степенью полимеризации.
24. На конкретном примере покажите возможность образования полимера со стереорегулярным и стереонерегулярным строением.
Ответ. При полимеризации пропилена получают полипропилен:
nCH>2>=CH-CH>3> → (-CH>2>-CH-)n
|
СН>3>
Если в образующемся полимере группы – CH>3> расположены хаотично по одну и другую сторону цепи, то это - стереонерегулярный полимер. Можно подобрать такие условия процесса полимеризации (в первую очередь катализатор), что группы – CH>3> ,будут располагаться только по одну из сторон цепи или по обе стороны, но строго регулярно, В этом случае получится стереорегулярный полимер.
25. Охарактеризуйте процесс получения полиэтилена и полипропилена в промышленности. Составьте уравнения соответствующих реакций:
Ответ: полимеризацию этилена nCH>2>=CH>2>→(-CH>2>-CH>2>-)n
и пропилена nCH>2>=CH−СН>3 >→(-CH>2>-CH-)n
|
СН>3>
проводят при комнатной температуре и атмосферном давлении с катализаторами Al(C>2>H>5>)>3> и TiCl>4>
26. Опишите свойства полиэтилена, полипропилена и тефлона. Где они применяются?
Ответ. Полиэтилен (-CH>2>-CH>2>-)n - прозрачный материал, обладающий высокой химический стойкостью, плохо проводит тепло и электричество. Его применяют для изоляции пленок и в качестве упаковочного материала.
Полипропилен (-CH>2>-CH-)n по свойствам похож на полиэтилен, но
|
СН>3>
плавится при более высокой температуре и механически более прочен. Из него изготавливают трубы, канаты, рыболовные сети.
Тефлон или политетрафторэтилен (-CF>2>-CF>2>-)n –термостойкое и химически чрезвычайно инертное вещество. По химической устойчивости он превосходит благородные металлы. Его используют для изготовления деталей аппаратов, работающих в агрессивных средах.
27. Составьте уравнения реакций, в которых образуются поливинилхлорид, полистирол, полиметилметакрилат. Где применяются эти полимеры?
Ответ.
nCH>2>=CHCl→(-CH>2>-CHCl-)n поливинилхлорид
поливинилхлорид применяется для изготовления искусственной кожи, труб, изоляционных материалов.
>n>CH>2>=CH-C>6>H>5>→(-CH>2>-CH−)>n>полистирол
|
С>6>Н>5>
Полистирол применяется для изготовления труб, изоляционных материалов и пенопластов.
Из полиметилметакрилата изготовляют очень прочное органическое стекло.
28. На конкретных примерах поясните, чем отличаются реакции поликонденсации от реакций полимеризации.
Ответ. При полимеризации происходит реакция соединения молекул мономера в молекулу полимера:
>n>CH>2>=CHCl→(-CH>2>-CHCl-)>n>
При поликонденсации реакция соединения сопровождается выделением низкомолекулярного продукта, например воды:
29. В чем сущность процесса образования фенолформальдегидной смолы? Какие фенопласты из нее получают?
Ответ. Фенолформальдегидная смола - это высокомолекулярное вещество, которое образуется при поликонденсации фенола и формальдегида. Добавляя к смоле различные наполнители, получают фенол-формальдегидные пластмассы (фенопласты), такие как текстолит, карболит и другие.
30. Какие полимеры называют термопластическими, а какие – термореактивными? Приведите примеры.
Ответ. Термопластические полимеры при нагревании размягчаются и изменяют форму, которую сохраняют после охлаждения. К ним относятся полиэтилен и полипропилен. Термореактивные полимеры при нагревании не плавятся и не размягчаются. К ним относятся фенопласты.
31. Поясните, кем и когда впервые в мире был разработан метод производства каучука. Составьте уравнения.
Ответ. Первый синтетический каучук был получен из бутадиена по методу С.В. Лебедева в 1932 г.

32. Для получения бутадиеного и дивинилового каучуков используется один и тот же мономер. Поясните, почему эти каучуки отличаются по своим свойствам?
Ответ. Дивиниловый каучук имеет стереорегулярное строение, поэтому он по эластичности превосходит природный каучук. Бутадиеновый каучук имеет нерегулярное строение, поэтому он менее эластичен, чем природный каучук.
33. Составьте уравнение образования хлоропренового каучука из 2-хлор-1,3-бутадиена.
Ответ. >n>CH>2>=CCl-CH=CH>2>→(-CH>2>-CCl=CH-CH>2>-)>n>
34. Охарактеризуйте известного вам синтетического каучука и поясните, для каких технических целей они применяются?
Ответ. 1) Бутадиеновый каучук – это полибутадиен с нерегулярным строением. Он применяется для производства кабелей и бытовых предметов.
2). Дивиниловый каучук – это полибутадиен с регулярным строением, он имеет высокую износостойкость и эластичность. Применяется в производстве шин.
35. Чем отличается каучук от резины?
Ответ. Резина – это продукт реакции каучука с серой. Она обладает значительно большей прочностью, но меньшей эластичностью, чем каучук.
36. Какие условия следует соблюдать при долгом хранении автокамер, шин, резиновых трубопроводов и других изделий? Почему?
Ответ. Резину нельзя хранить при очень низкой температуре, т.к. это приведет к частичной кристаллизации каучука и потере и при высокой температуре, поскольку при этом разрушаются сульфидные мостики между полиизопреновыми цепями и также ухудшаются механические свойства резины.
37. Какие основные виды волокон вам известны? Приведите примеры.
Ответ. Основные виды волокон природные, искусственные и синтетические. Пример природного волокна – хлопок (C>6>H>10>O>5>)n, пример искусственного ацетатное волокно [C>6>H>7>O>2>(OCOH>3>)>3>]n. Синтетического волокна например, капрон [-NH-(CH>2>)>5>-CО-]n
38. Чем отличаются искусственные волокна от синтетических? Приведите примеры.
Ответ. Искусственные волокна получают путем химической модификации природных веществ. Например, ацетатное волокно
[C>6>H>7>O>2>(OCOCH>3>)>3>]>n> получают в синтеза без использования природных соединений.
39. Назовите наиболее известное вам полиамидное волокно. Охарактеризуйте свойства и получение этого волокна.
Ответ. Самое известное полиамидное волокно – капрон
[-NH-(CH>2>)>5>-CO-]>n>.
Его получают поликонденсацией 6-аминогенсановой кислоты, образующейся при гидролизе капролактама. Капрон обладает высокой прочностью, однако разрушающиеся кислотами и не выдерживает высоких температур.
40. Составьте уравнение реакции окисления n-ксилола. Для каких целей используется продукт реакции?
Продукт реакции – терефталевая кислота используется для получения синтетического волокна лавсана.
41. По какому признаку лавсан относят к полиэфирным волокнам?
Ответ. Лавсан (полиэтилентерефталат), образуется при поликонденсации сложного эфира этиленгликоля и терефталевой кислоты. В молекулах лавсана есть сложноэфирные связи –O-CO-, поэтому лавсан относят к полиэфирным волокнам.
42. Каковы характерные свойства лавсана? Где его применяют?
Ответ. Лавсан обладает высокой прочностью и хорошей химической стойкостью. Его применяют для изготовления не мнущихся тканей, производства ремней, парусов, транспортных лент.
43. Углеводородное сырье (нефть, каменный уголь, природный газ) является источником для синтеза полиэтилена, фенопластов.
Приведите уравнения соответствующих реакций.
Ответ. Полиэтилен можно синтезировать из природного газа:

Фенопласты получают из фенола и формальдегида:
Необходимый для этого фенол выделяют из каменноугольной смолы, который получают каменного угля. Формальдегид получают окислением метана:CH>4>+O>2>→H>2>C=O+H>2>O
44. Приведите примеры природных волокон растительного и животного происхождения. Каковы некоторые недостатки этих волокон перед синтетическими?
45. В чем преимущества искусственных волокон перед природными?
46. В чем проявляется различие свойств полиэтилена высокого и низкого давления? Чем это различие объясняется?
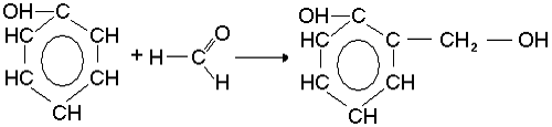
47. Формальдегид может полимеризоваться по месту двойной связи, образуя полиформальдегид, в цепи которого последовательно чередуются атомы углерода и кислорода. Составьте схему реакции полимеризации формальдегида. Какими свойствами обладает полиформальдегид?
H-COH→ …CH>2> – O – CH>2> – O – CH>2> – O – CH>2> – O …
Данный полимер обладает хорошими механическими свойствами и используется для изготовления деталей машин, пленок, волокон.[21, 22]
ЗАКЛЮЧЕНИЕ
Во все времена химия служит человеку в его практической деятельности. Большую роль играет химия в современной промышленности. Среди важнейших продуктов следует назвать пластмассы, каучуки и резины, синтетические волокна и многое другое. В настоящее время химическая промышленность выпускает несколько десятков тысяч наименований продукции.
Химия и химическая промышленность являются одним из наиболее существенных источников загрязнения окружающей среды. Для решения задач в области охраны окружающей среды необходимо осуществить комплекс мер, многие из которых решаются путем применения химических, физических или биохимических методов.
Среди многочисленных веществ, встречающихся в природе, резко выделяется группа соединений, отличающихся от других особыми физическими свойствами, высокой вязкостью растворов, способностью образовывать волокна, пленки и т.д. К этим веществам относятся целлюлоза, лигнин, пентозаны, крахмал, белки и нуклеиновые кислоты, широко распространенные в растительном и животном мире, где они образуются в результате жизнедеятельности организмов.
Высокомолекулярные соединения получили свое название вследствие большой величины их молекулярного веса, отличающие их от низкомолекулярных веществ, молекулярный вес которых лишь сравнительно редко достигает нескольких сотен. В настоящее время принято относить к ВМС вещества с молекулярным весом более 5000.
Молекулы ВМС называют макромолекулами, а химию ВМС – химией макромолекул и макромолекулярной химией.
В результате многочисленных соединений, осуществленных огромной армией химиков, физиков и технологов, было установлено не только строение некоторых природных ВМС, но и найдены пути синтеза их заменителей из доступных видов сырья. Возникли новые виды промышленности, началось производство синтетического каучука, искусственных синтетических волокон, пластических масс, лаков и красок, заменителей кожи и т.д. На первых парах синтетические материалы носили характер заменителей природных материалов. В настоящее время в результате успехов в химии и физике ВМС и усовершенствования технологий их производства, благодаря принципиальной возможности сочетать в одном веществе любые желаемые свойства, синтетические ВМС постепенно проникают во все области промышленности, где они становятся совершенно незаменимыми конструкционными и антикоррозийными материалами. Однако с эксплуатацией и утилизацией ВМС связаны не малые проблемы, которые нужно своевременно решать.
ЛИТЕРАТУРА
1. Рудзитис Г. Е., Фельдман Ф. Г. Химия: Органическая химия. Основы общей химии (Обобщение и углубление знаний):Учеб. Для 11 класса.-М.: Просвещение, 2004.- 160с.
Рудзитис Г. Е., Фельдман Ф. Г. Химия: 10-й класс.:Учеб. Для общеобразоват. учреждений. - М.: ООО «Издательство АСТ»: ООО «Издательство АСстрель», 2004.- 159с.
Хомченко Г. П. Пособие по химии для поступающих в вузы.- 3-е изд. Испр. И доп. М.:ООО Издательство Новая Волна», Издатель Умеренков, 2004.- 464с.
Гузей Л. С. и др. Химия, 11 класс/ Л.С. Гузей, Р.П. Суровцева, Г.Г. Лысова - М.: "Дрофа", 1999. -240c.
Вивюрский В.Я. Вопросы, упражнения и задачи по органической химии с ответами и решениями. - М.: Гуманит. Изд. Центр ВАДОС, 1999. - 688с.
Воробьев В. А., Андрианов Р. А. Технология полимеров. - М.: Высш. школа, 1990. - 303с.
Николаев А. Ф. Синтетические полимеры и пластические массы на их основе. - М.: «Химия», 1992. - 768с.
Бачурин Д. Г. Исследование и применение полимеров в промышленности.-М.:1990. - 112с.
Башкатов Т. В., Шигалин Я. Л. Технология синтетических каучуков. - М. «Химия», 1990. - 334с.
Фурне Ф. Синтетические волокна. Получения и переработка. - М.: «Химия», 1995. - 684с.
Патапов В. М. , Татаринчик С. Н., Аверина А. В. Задачи и упражнение по органической химии. - М.: «Химия», 1997. - 144с.
Мовсумзаде Э. М. и др. Химия в вопросах и ответах с использованием ЭВМ./Э. М. Мовсумзаде, Г. А. Аббасова, Т. Г. Захарочкина. - М.: Высш. школа,1991. - 191с.
Химия и жизнь (Солтерсовская химия) Часть II Химические новеллы: Пер. с англ. – М.: РХТУ им. Д. И. Менделеева, 1997 437с., ил.
Химия и жизнь (Солтерсовская химия) Часть III Химические новеллы: Пер. с англ. – М.: РХТУ им. Д. И. Менделеева, 1997. - 437с.
Энциклопедия полимеров. Ред. Коллегия: Каргин В. А. и др. т.3.- М.: Сов. энциклопедия, 1972.
Кузьменко Н. Е., Еремин В. В. Химия. 2400 задач для школьников и поступающих в вузы.- М.: Дрофа, 1999.- 560 с.
Исидоров В. А. Экологическая химия: Учебное пособие для вузов. – СПб: Химиздат, 2001. – 304 с.
Селезнев А. В. Некоторые представления о свойствах поливинилхлорида и материалов на его основе // Экология и промышленность России.- 2001.- №11.- с. 35-37.
Микитюк А. Д. Обобщение сведений о реакциях полимеризации // Химия в школе.- 2002.- №4.- с. 56-62.
Вивюрский В.Я. Вопросы, упражнения и задачи по органической химии с ответами и решениями. - М.: Гуманит. Изд. Центр ВАДОС, 1999. - 688с.
Патапов В. М. , Татаринчик С. Н., Аверина А. В. Задачи и упражнение по органической химии. - М.: «Химия», 1997. - 144с.
Барковский Е. В., Врублевский А. И. Тесты по химии, Минск, Юнипресс, 2002
Химия: Большой справочник для школьников и поступающих в вузы / Е. А. Алферова, Н. С. Ахметов, Н. В. Богомолова и др. М.: Дрофа, 1999. 485-498




