Система оценки качества образования
Вариант 1
1.Под качеством образования понимается
а) характеристика системы образования, отражающая степень соответствия реально достигаемых образовательных результатов нормативным требованиям, социальным и личностным ожиданиям;
б) количественный показатель, соответствующий числу положительных оценок за какую – либо работу или количеству «хорошистов» и «отличников» в конце четверти или года;
в) конечный продукт обучения в элитном образовательном учреждении, услуги которого высоко оценены социумом и соответствующими и контролирующими структурами;
г) знания, умения и навыки, приобретаемые учениками в процессе обучения и используемые ими в повседневной жизни.
2.Компетенция в переводе с латинского означает
а) способность приобретать знания;
б) умение выполнять какую – либо работу;
в) круг вопросов, в которых человек хорошо осведомлен;
г) список умений.
3.Советом Европы были приняты ключевые компетенции, к которым относятся компетенции:
а) проявляющиеся в умении писать и думать;
б) выявляющие способности к учению, исследованию, думанию, общению, кооперации, взаимодействию, умению делать дело и доводить его до конца, адаптироваться к себе, принимать себя;
в) политические, социальные, межкультурные, коммуникативные, информационные и учебные;
г) общенаучные,предметные, общепрофессиональные, познавательные, междисциплинарные, деятельностные.
4.К учебным компетенциям относятся:
а) понимание различий между людьми;
б) способность брать на себя ответственность;
в) владение несколькими языками;
г) способность учиться всю жизнь.
5.ОСОКО расшифровывается как
а) общероссийская система оценки качества образования;
б) особенности системы общего контроля обучения;
в) общие социальные основы качественного обучения;
г) основы системы оценивания классического образования.
6.Основными элементами или подсистемами ОСОКО являются:
а) информационная. экспертная и правовая;
б) государственная, частно – предпринимательская и индивидуальная;
в) диагностическая, мониторинговая и экспертная;
г) основная, средне - специальная и высшая.
7.Ученику было предложено выполнить задание:
Функция y = f (x) определена на промежутке (-5;6). На рисунке изображен график ее производной. При каком х функция y=f(x) принимает наибольшее значение?

Ученик ответил: « х = -2». Верно ли ответил ученик? В бланке ответов укажите свой вариант верного ответа. При выполнении этого задания ученик может продемонстрировать наличие ключевых компетентностей:
а) умение выявлять и использовать аналогии, выдвигать и проверять гипотезы;
б) оценивание задачи как подходящей под данный способ действия или выходящей за границы способа;
в) умение находить информацию, заданную в явном или неявном виде;
г) определение границы собственного знания и незнания и осуществления запроса на недостающую информацию.
8.По определению Л.М. Фридмана контроль – это
качество система образование обучение
а) проверка, надзор;
б) мнение о ценностях, уровне или значении кого или чего – нибудь;
в) процесс сравнения, сличения, установления одинаковости или различий объекта и эталона;
г) разновидность учебной деятельности, которая состоит в определении соответствия учебных действий условиям учебной задачи.
9. По степени взаимодействия учителя и ученика выделяют следующие виды контроля
а) внешний, взаимный, самоконтроль;
б) систематический, эпизодический, итоговый;
в) продуктивный, репродуктивный, реконструктивно – вариаетивный;
г) предварительный, текущий, итоговый.
10. Если функция контроля состоит в сверке полученного решения с имеющимся ответом или образцом такого выполнения, то такой контроль называют
а) пошаговым;
б) итоговым ( контроль по конечному результату);
в) текущим;
г) фронтальным.
11. Если контроль используется для оценки результатов обучения, достигнутых в конце работы над данным курсом, то такой контроль называют
а) предварительным;
б) итоговым;
в) текущим;
г) фронтальным.
12. Противники балльной системы оценивания знаний учащихся предлагали заменить отметки на
а) экзамены;
б) отзывы педагогического коллектива об успехах и неуспехах учеников;
в) оценочные характеристики, собрание работ учащихся;
г) «листы открытого учета знаний».
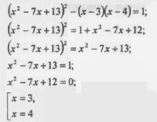
13.Ученику на экзамене в 9 классе было предложено задание: «Решите уравнение (х -7х +13) – ( х – 4) = 1, за правильное выполнение которого можно получить 6 баллов. Учение записал решение в следующем виде

Ответ:3,4.
Данное решение можно оценить на
а) 6 баллов, так как решение выполнено правильно и можно допустить, что часть вычислений ученик провел в уме;
б) 0 баллов, так как допущена грубая ошибка, которая могла бы привести к делению на нуль и потере корней;
в) 2 балла, так как часть вычислений выполнена верно, но имеется грубая ошибка;
г) 4 балла, так как имеются погрешности в оформлении решения.
14. К традиционным формам контроля относятся:
а) мониторинг;
б) рейтинговая система контроля;
в) портфолио;
г) диктант.
15. Синонимом слова «рейтинг» является:
а) подлинная оценка;
б) оценка, учитывающая предысторию;
в) эмоциональная оценка;
г) систематическое наблюдение.
16. По процедуре проведения тесты подразделяются на:
а) стандартизированные и нестандартизированные;
б) критериально – ориентированные и прогностические;
в) открытого и закрытого типа;
г) вербальные, невербальные.
17. Количество дистракторов (ответов) в тестовом задании должно быть:
а) не менее двух;
б) больше трех, но меньше десяти;
в) не более пятнадцати;
г) чем больше, тем лучше.
Список использованных источников
1.Звонников В.И., Челышков М.Б. Современные средства оценивания результатов обучения: учебное пособие для студентов высших учебных заведений. Изд-во Академия ИЦ, 2009
2.Ефремова Н.Ф.Современные тестовые технологии в образовании. -М.,2003
3.Болотов В.А. Основные подходы к созданию общероссийской системы оценки качества образования.-М,2005