Средства массовой информации: информирование и предвыборная агитация (законодательные дозволения и запреты)
Кафедра «Философия и история»
Реферат
Тема «Средства массовой информации: информирование и предвыборная агитация (законодательные дозволения и запреты)»
Брянск 2008
Содержание
Введение
Глава I. Общие условия информирования избирателей
1. НОрМАтИВНАя бАзА И ОСНОВНые ПрИНцИПы ИНФОрМАцИОННОГО ОбеСПеЧеНИя ВыбОрОВ
2. ОрГАНИзАцИИ СМИ – уЧАСтНИКИ ИзбИрАтельНОГО ПрОцеССА
3. ОрГАНИзАцИИ СМИ И ИНФОрМИрОВАНИе ИзбИрАтелей
4. Разграничение понятий информирования и агитации и связанные с этим ограничения свободы массовой информации
Глава II. Понятие, формы и условия ведения предвыборной агитации в средствах массовой информации
1. ПОНятИе ПредВыбОрНОй АГИтАцИИ. Агитационный период
2. Формы и порядок ведения предвыборной агитации в СМИ
3. Особенности агитационной кампании
Глава III. Особенности участия отдельных организаций СМИ в избирательных кампаниях и их ответственность
1. Особенности участия организаций телерадиовещания, редакций периодических печатных изданий, Интернета в избирательных кампаниях
2. Ответственность организаций СМИ
Заключение
Список использованной литературы
Приложения
Введение
Выборы - политический процесс, занимающий одно из центральных мест в общественной жизни. Непременный атрибут любого политического процесса - это средства массовой информации. В ходе выборов они осуществляют функции информационного обеспечения и общественного контроля, неразрывно связанные между собой. Значимость изучения работы средств массовой информации в части информирования и предвыборной агитации граждан объясняются такими факторами, как наличие противоречий в законодательной и нормативной базе по изучаемому вопросу, а также недостаточная апробация теоретических положений на практике.
Национальная ассоциация телевещателей считает, что долг телевидения в период избирательной кампании - служить интересам не политиков и партий, а избирателей (думается, сказанное в полной мере относится и к иным видам средств массовой информации). Этой же позиции придерживаются и те, кто представляет органы власти. Однако из данной посылки следует два взаимоисключающих вывода. Первый из них наиболее ёмко выражен в интервью члена Центральной избирательной комиссии РФ С.В.Большакова «Независимой газете»: «Надо осознать, что есть деятельность средств массовой информации в обычном режиме, а есть выборы, где должно действовать особое правовое регулирование… Журналисты должны, наконец, понять, что предвыборная агитация - это одно, а свобода слова - другое». Иными словами, свобода массовой информации в избирательном процессе должна быть существенно ограничена в целях объективного информирования избирателей. Прямо противоположная позиция высказывается многими исследователями названной проблемы. Суть её состоит в том, что, выполняя, в результате соответствующих ограничений, лишь роль «подставки для микрофона», СМИ оставляют избирателя «один на один» с кандидатами, что предоставит последним благоприятную возможность представить себя в исключительно выгодном свете, и информация о кандидатах не будет настолько полной и объективной, насколько это необходимо для обеспечения результатов выборов, отражающих действительную волю граждан. То есть в целях объективного информирования избирателей и обеспечения действительно свободных выборов ограничения свободы массовой информации в избирательном процессе должны быть минимальными.
Видимо, истина лежит где-то посередине этих двух крайних точек зрения. Нельзя исходить из того, что выборы - это «чрезвычайная ситуация» в жизни общественного организма. Но нельзя согласиться и с тем, что в регулировании деятельности СМИ в избирательном процессе не должно быть никаких особенностей, никаких ограничений. Ограничения должны быть, но должны быть такими, чтобы ни одна из двух ценностей - свобода слова и свободные выборы - не ограничивалась более другой.
Главной целью данной работы является изучение дозволений и запретов, а также ответственности средств массовой информации в отношении предвыборного информирования и агитации граждан страны.
Для достижения поставленной цели в процессе изучения вопроса необходимо решить следующие задачи:
Изучить нормативную базу и основные принципы информационного обеспечения выборов;
Проанализировать работу организаций СМИ как участников избирательного процесса и информирование ими избирателей;
Разобраться в чем различаются понятия информирование и агитация;
Освоить понятие предвыборной агитации и агитационного периода;
Изучить формы и порядок ведения предвыборной агитации в СМИ, а также порядок предоставления средств массовой информации для проведения предвыборной агитации;
Проанализировать ответственность организаций СМИ;
Изучить особенности участия организаций телерадиовещания, редакций периодических печатных изданий, Интернета в избирательных кампаниях.
Объектом исследования в данной работе является работа средств массовой информации в ходе предвыборного информирования и агитации. Предметом исследования – отношения, возникающие между отдельными организациями СМИ и кандидатами, политическими партиями, а также их нормативно-правовое обеспечение.
Методологической базой работы являются общие научные методы, среди которых можно выделить диалектический, индуктивный, дедуктивный методы, а также специфические – систематизация, детализация, выступающие в качестве инструментов познания и достижения цели проводимого исследования.
В ходе написания работы были изучены основные нормативно-правовые акты, регламентирующие данный вид правоотношений, т. е. Конституция РФ, ФЗ от 12 июня 2002 года №67-ФЗ «Об основных гарантиях избирательных прав и права на участие в референдуме граждан Российской Федерации», Закон РФ от 27 декабря 1991 года №2124-1 «О средствах массовой информации», а также работы авторов А.А. Глискова, М.В. Гришиной, А.Г. Головина, Черотайкина и других. Работа изложена на 50 листах основного текста, состоит из 3 глав, включает 3 приложения, список использованной литературы.
Глава I. Общие условия информирования избирателей
1. НОрМАтИВНАя бАзА И ОСНОВНые ПрИНцИПы ИНФОрМАцИОННОГО ОбеСПеЧеНИя ВыбОрОВ
При освещении подготовки и проведения выборов, взаимодействии с кандидатами и политическими партиями организациям телерадиовещания и редакциям периодических печатных изданий необходимо руководствоваться:
Конституцией Российской Федерации;
законодательством о выборах, основу которого составляет Федеральный закон от 12 июня 2002 года №67-ФЗ «Об основных гарантиях избирательных прав и права на участие в референдуме граждан Российской Федерации» (Федеральный закон об основных гарантиях). В ходе федеральных избирательных кампаний организациям СМИ следует также руководствоваться положениями Федерального закона от 18 мая 2005 года № 51-ФЗ «О выборах депутатов Государственной Думы Федерального Собрания Российской Федерации» (Федеральный закон о выборах депутатов) или Федерального закона от 10 января 2003 года №19-ФЗ «О выборах Президента Российской Федерации» (Федеральный закон о выборах Президента) соответственно. При этом необходимо учитывать все изменения, внесенные за последние годы в названные законы. При освещении избирательных кампаний, проводимых в субъектах Российской Федерации, следует также руководствоваться избирательным законодательством соответствующего субъекта Российской Федерации;
Законом Российской Федерации от 27 декабря 1991 года №2124-1 «О средствах массовой информации» Закон о (СМИ);
Уголовным кодексом Российской Федерации (далее –УК), Кодексом Российской Федерации об административных правонарушениях (КоАП), Гражданским кодексом Российской Федерации (далее –ГК), Гражданским процессуальным кодексом Российской Федерации;
иными федеральными законами;
постановлениями Центральной избирательной комиссии Российской Федерации, решениями иных избирательных комиссий;
нормативными актами органов исполнительной власти, уполномоченных в сфере массовых коммуникаций. [9, c. 7–8]
Сущность понятия «информационное обеспечение выборов»
Согласно статье 44 Федерального закона об основных гарантиях информационное обеспечение выборов включает в себя информирование избирателей, предвыборную агитацию и способствует осознанному волеизъявлению граждан, гласности выборов.
Концепция института информационного обеспечения выборов с его внутренней дифференциацией на информирование избирателей и предвыборную агитацию, впервые была закреплена в 2002 году в действующем Федеральном законе об основных гарантиях. Эта концепция, направленная на наиболее полное регулирование информационных отношений, которые складываются в ходе избирательной кампании, была реализована в связи с необходимостью адекватной реакции на проведение «грязных» предвыборных агитационных кампаний, «информационных войн».
Отсутствие четких правовых критериев, разделяющих информационные и агитационные материалы, позволяло ранее вести предвыборную агитацию под предлогом необходимости объективного информирования граждан.
В рамках названной концепции федеральный законодатель впервые закрепил принципы информирования избирателей: объективность, достоверность, соблюдение равенства прав кандидатов, избирательных объединений, а также свободу деятельности организаций СМИ по информированию избирателей. Конституционность этого законоположения подтверждена в Постановлении Конституционного Суда Российской Федерации от 30 октября 2003 года №15-П. Осуществляя информирование избирателей, организации СМИ не должны допускать, чтобы в их информационных материалах содержались признаки предвыборной агитации.
В Федеральном законе об основных гарантиях записано, что необходимо не нарушать равенство кандидатов, политических партий. Согласно пункту 1 статьи 39 Федерального закона об основных гарантиях все кандидаты обладают равными правами и несут равные обязанности, за исключением случаев, установленных этим Федеральным законом. Принцип равноправия кандидатов означает недопустимость дискриминации по признаку пола, расы, национальности, партийной принадлежности, рода деятельности, занимаемой должности и тому подобного. [9, c. 8]
В преамбуле Федерального закона «О политических партиях» указывается, что в Российской Федерации признаются политическое многообразие, многопартийность. Исходя из этого конституционного принципа государством гарантируется равенство политических партий перед законом независимо от изложенных в их учредительных и программных документах идеологии, целей и задач.
Соблюдение принципа равноправия кандидатов, политических партий обеспечивается установлением в Федеральном законе об основных гарантиях, Федеральном законе о выборах депутатов, Федеральном законе о выборах Президента целого ряда важных гарантий их участия в избирательном процессе. В сфере информационного обеспечения выборов эти гарантии заключаются, например, в следующем:
при осуществлении информирования избирателей в информационных программах о предвыборных мероприятиях кандидатов, политических партий не допускается оказывать предпочтение какому-либо кандидату, какой-либо политической партии, в том числе по времени освещения их предвыборной деятельности, объему печатной площади, отведенной для таких сообщений (пункт 5 статьи 45 Федерального закона об основных гарантиях);
устанавливается обязанность государственных и муниципальных организаций телерадиовещания, а также редакций государственных и муниципальных периодических печатных изданий обеспечивать равные условия проведения предвыборной агитации зарегистрированным кандидатам, политическим партиям (пункт 1 статьи 50 Федерального закона об основных гарантиях), в частности, предоставить в случаях, предусмотренных законом, бесплатное эфирное время и бесплатную печатную площадь в равных объемах всем кандидатам, политическим партиям, не отказывать в предоставлении платного эфирного времени в случае, если иным кандидатам, политическим партиям такое эфирное время предоставляется, не взимать с разных кандидатов, политических партий разный размер оплаты за предоставленное эфирное время, печатную площадь, равные по объему и иным параметрам.
Принцип равенства кандидатов, политических партий при осуществлении организациями СМИ информирования избирателей означает недопустимость замалчивания общественно значимой информации об одних кандидатах, политических партиях в сочетании с постоянным информированием о любых, даже о самых незначительных действиях другого кандидата, другой политической партии, обнародования имеющейся негативной информации об одном кандидате и замалчивание аналогичной информации о другом и тому подобное.
Если говорить коротко, принцип равенства кандидатов, политических партий при информировании избирателей нарушается в случае несбалансированной подачи информации о кандидатах, политических партиях, предвзятого подхода к различным кандидатам, политическим партиям. Поэтому представители СМИ, как указано в постановлении Конституционного Суда Российской Федерации от 30 октября 2003 года №15-П, действуя на основе редакционной независимости и вырабатываемых журналистским сообществом норм саморегуляции, то есть правил профессии и этических принципов, должны занимать этичные и взвешенные позиции и освещать избирательные кампании справедливым, сбалансированным и беспристрастным образом. [9, c. 9–10]
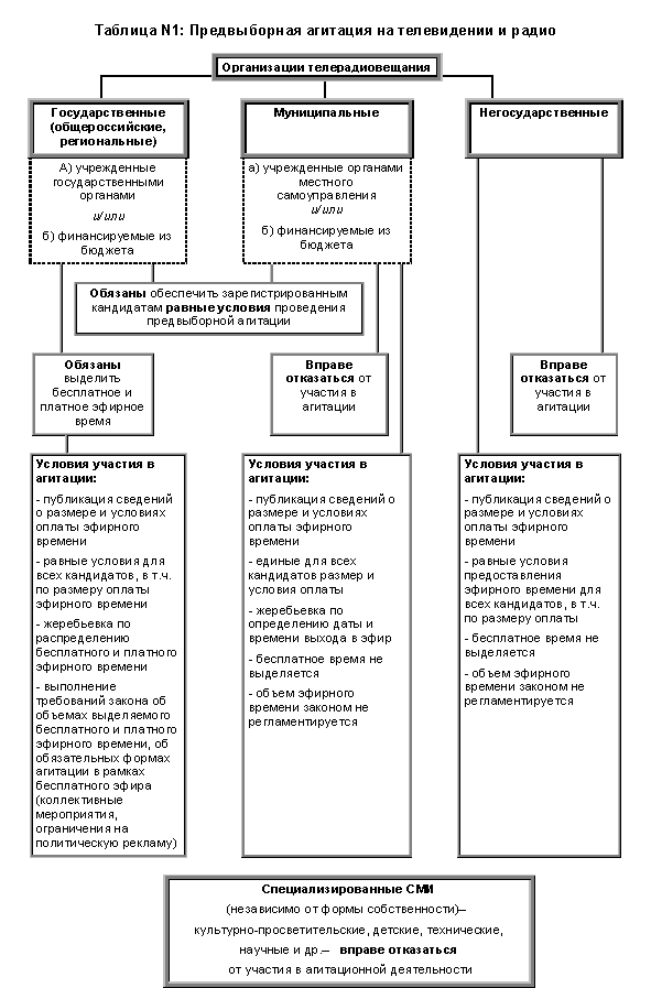
2. ОрГАНИзАцИИ СМИ – уЧАСтНИКИ ИзбИрАтельНОГО ПрОцеССА
Участвовать в избирательной кампании, информируя избирателей, могут любые организации СМИ независимо от формы собственности, территории распространения их продукции и любых иных обстоятельств.
Участвовать в избирательной кампании путем предоставления эфирного времени, печатной площади для проведения предвыборной агитации могут только те организации СМИ, которые не позднее чем через тридцать дней со дня официального опубликования решения о назначении выборов опубликовали сведения о размере (в валюте Российской Федерации) и других условиях оплаты эфирного времени, печатной площади, а также в этот же срок представили указанные сведения и уведомление о готовности предоставить эфирное время, печатную площадь для проведения предвыборной агитации в избирательную комиссию, организующую выборы, или указанную в законе нижестоящую избирательную комиссию.
Например, если решение о назначении выборов опубликовано 5 сентября, то указанные публикация и уведомление должны состояться не позднее 5 октября.
Обязаны предоставлять эфирное время, печатную площадь государственные организации СМИ, если они в соответствии с законом не освобождены от этой обязанности.
Негосударственные организации СМИ (за исключением редакций периодических печатных изданий, учрежденных избирательными объединениями, кандидатами) могут предоставлять эфирное время, печатную площадь в соответствующих СМИ зарегистрированным кандидатам, политическим партиям только в том случае, если выпускаемые ими СМИ зарегистрированы не менее чем за один год до начала избирательной кампании.
Накануне выборов появляется довольно много новых негосударственных периодических печатных изданий и организаций телерадиовещания, создаваемых специально «под выборы». В связи с этим возникает вопрос – могут ли такие СМИ участвовать в избирательной кампании? В данном случае определяющим является ответ на вопрос, кем были учреждены СМИ, выпускаемые такими негосударственными организациями. Согласно общему правилу, установленному пунктом 4 статьи 50 Федерального закона об основных гарантиях, негосударственные организации, выпускающие СМИ, учрежденные менее чем за один год до начала избирательной кампании, не вправе предоставлять зарегистрированным кандидатам, избирательным объединениям эфирное время, печатную площадь. Исключение предусмотрено только для редакций негосударственных периодических печатных изданий, учрежденных самими избирательными объединениями (в том числе их структурными подразделениями) и кандидатами: они вправе предоставлять печатную площадь для проведения предвыборной агитации независимо от того, когда они были учреждены.
Освещать избирательную кампанию, производить и распространять аналитические, информационные передачи о выборах с соблюдением требований закона вправе любые организации СМИ, независимо от времени учреждения выпускаемых ими СМИ.
Также, если СМИ учреждено более чем за год до начала избирательной кампании, а затем менее чем за год до начала избирательной кампании прошло перерегистрацию, выпускающая его организация вправе предоставлять эфирное время, печатную площадь для проведения предвыборной агитации, поскольку Федеральный закон об основных гарантиях содержит требование только к дате первоначальной регистрации СМИ.
Это требование учитывает негативную практику выборов прошлых лет и направлено на лишение организаций СМИ, создаваемых непосредственно «под выборы», возможности предоставления эфирного времени, печатной площади для предвыборной агитации.
В соответствии с пунктом 1 статьи 47 Федерального закона об основных гарантиях информационное обеспечение выборов соответствующего уровня осуществляется с использованием государственных, муниципальных и негосударственных организаций телерадиовещания, редакций государственных, муниципальных и негосударственных периодических печатных изданий.
Исходя их указанного положения, а также положений статей 51, 52 Федерального закона об основных гарантиях, статей 84, 86, 87 Бюджетного кодекса Российской Федерации общероссийские государственные организации СМИ осуществляют информационное обеспечение федеральных выборов, региональные государственные организации СМИ – федеральных и региональных выборов, муниципальные организации СМИ – муниципальных выборов.
Таким образом, законом субъекта Российской Федерации о выборах в органы местного самоуправления может быть предусмотрена только обязанность муниципальных организаций СМИ осуществлять информационное обеспечение выборов в органы местного самоуправления. Что же касается обязанности государственных общероссийских и региональных организаций СМИ осуществлять информационное обеспечение выборов, проводимых на территории субъектов Российской Федерации и на территории муниципальных образований, то, исходя из смысла пункта 1 статьи 47 Федерального закона об основных гарантиях, она существует только лишь в отношении информационного обеспечения выборов соответствующих уровней.
В соответствии со статьей 44 Федерального закона об основных гарантиях информационное обеспечение выборов призвано способствовать осознанному волеизъявлению граждан, гласности выборов. С учетом этого положение пункта 1 статьи 47 названного Федерального закона, согласно которому информационное обеспечение выборов соответствующего уровня осуществляется с использованием государственных, муниципальных и негосударственных организаций телерадиовещания, не следует рассматривать как запрет региональным государственным организациям телерадиовещания участвовать в любой форме в информационном обеспечении выборов в органы местного самоуправления.
Принимая во внимание положения пунктов 3 и 4 статьи 48 Федерального закона об основных гарантиях, а также исходя из принципа свободы договора, отраженного в пункте 1 статьи 1 и нормах статьи 421 ГК, полагаем, что региональная организация телерадиовещания вправе предоставлять зарегистрированным кандидатам, избирательным объединениям на выборах в органы местного самоуправления на территории соответствующего субъекта Российской Федерации эфирное время для проведения предвыборной агитации за плату. При этом такая организация телерадиовещания должна выполнять требования статей 50 и 51, пункта 5 статьи 59 и иных норм Федерального закона об основных гарантиях.
Закон о СМИ под специализированным средством массовой информации понимает такое средство массовой информации, для регистрации или распространения продукции которого этим Законом установлены специальные правила. Федеральный закон об основных гарантиях вкладывает в это понятие более широкий смысл: в пункте 7 статьи 50 специализированными названы культурно-просветительские, детские, технические, научные и другие издания. Поэтому при решении вопроса о том, является ли какое-либо средство массовой информации специализированным, следует исходить из тематической направленности его публикаций. Если издание полностью посвящено той или иной отрасли промышленности или отдельной науке, его следует считать специализированным и признавать за его редакцией право на отказ от предоставления печатной площади для публикации агитационных материалов.
Так же может быть решен вопрос и в отношении локальных изданий государственных вузов. Они, как правило, носят узкоспециальный характер, обусловленный теми направлениями обучения в вузе. Редакции таких изданий тоже имеют право отказаться от предоставления печатной площади для публикации агитационных материалов, так как их обязанность предоставлять печатную площадь для агитации, носящей политический характер, вступала бы в противоречие с принципом деполитизации государственных и муниципальных образовательных учреждений, заложенным в пункте 5 статьи 1 Закона Российской Федерации «Об образовании».
В соответствии с частью 3 статьи 52 Федерального закона о выборах депутатов редакции региональных государственных периодических печатных изданий, выходящих не реже одного раза в неделю, в период проведения избирательной кампании по выборам депутатов Государственной Думы безвозмездно предоставляют избирательным комиссиям субъектов Российской Федерации не менее одной сотой от еженедельного объема печатной площади издания. [9, c. 10–14]
Согласно части 2 статьи 59 Федерального закона о выборах депутатов общий еженедельный минимальный объем бесплатной печатной площади, которую каждая из редакций государственных периодических печатных изданий предоставляет политическим партиям или региональным группам кандидатов для проведения предвыборной агитации, должен составлять не менее 10 процентов от общего объема еженедельной печатной площади соответствующего издания в пределах агитационного периода в СМИ. Часть 5 статьи 59 названного Федерального закона обязывает редакции государственных периодических печатных изданий, выходящих не реже одного раза в неделю, резервировать платную печатную площадь для проведения предвыборной агитации. Общий объем такой печатной площади не может быть меньше общего объема бесплатной печатной площади, указанной выше, но не должен превышать его более чем в два раза.
Увеличения периодичности выпуска или объема периодического печатного издания в период избирательной кампании законодательство не требует.
Таким образом, действующее законодательство устанавливает вполне приемлемые для редакций периодических печатных изданий минимальные требования к объему предоставляемой и резервируемой в ходе избирательной кампании по выборам депутатов Государственной Думы Федерального Собрания Российской Федерации печатной площади. Полагаем, что эти требования вполне могут быть реализованы редакциями газет, которые должны, соблюдая приведенные выше минимальные требования, предоставить печатную площадь в ходе указанной избирательной кампании в рациональном объеме, не ущемляющем интересы редакции газеты, и в то же время обеспечивающем надлежащее информационное обеспечение выборов.
При наличии у организации СМИ учредителя (соучредителя) – государственного органа или организации такая организация считается государственной в смысле части 2 статьи 54 Федерального закона о выборах депутатов вне зависимости от того, получала ли она государственную поддержку и имеется ли в ее уставном (складочном) капитале государственная доля.
3. ОрГАНИзАцИИ СМИ И ИНФОрМИрОВАНИе ИзбИрАтелей
Согласно подпункту 46 статьи 2 Федерального закона об основных гарантиях под организациями, осуществляющими выпуск СМИ, понимаются организации, осуществляющие теле- и (или) радиовещание, редакции периодических печатных изданий. Принцип свободного информирования избирателей означает, что никто не вправе влиять на деятельность организаций СМИ, осуществляемую в соответствии с законом, вмешиваться в нее. Объемы, конкретное содержание материалов, содержащих информацию о выборах, время их выхода в свет (в эфир), их расположение в информационных блоках новостей и иные вопросы их распространения определяются организациями СМИ самостоятельно, а не в соответствии с предписаниями органов государственной власти, органов местного самоуправления, иных субъектов. Данные материалы не могут подвергаться какой-либо цензуре (часть 5 статьи 29 Конституции Российской Федерации).
Агитационные материалы политических партий могут появиться в СМИ не ранее чем за 28 дней до дня голосования (часть 2 статьи 56 Федерального закона о выборах депутатов).
В соответствии с пунктом 5 статьи 45 Федерального закона об основных гарантиях при осуществлении информировании избирателей не допускается оказывать предпочтение какому-либо кандидату, в том числе по времени освещения его предвыборной деятельности, объему печатной площади, отведенной для таких сообщений. Это требование закона является императивным и обязательным для исполнения всеми организациями СМИ. Закон совершенно справедливо не оставляет в данном случае этим организациям права руководствоваться в информировании избирателей своими субъективными предпочтениями. Если организация СМИ пренебрегает принципом равноправия кандидатов так, как это показано в приведенном примере (то есть при проведении предвыборных мероприятий кандидатом обходит эти мероприятия вниманием), она нарушает закон, в связи с чем кандидат, чьи права нарушены, может обратиться в избирательную комиссию с правомерным требованием о привлечении организации СМИ к ответственности по статье 5.5 КоАП. [9, c. 15–17]
Как установлено пунктом 7 статьи 40 Федерального закона об основных гарантиях, должностным лицам, журналистам, иным творческим работникам организаций, осуществляющих выпуск средств массовой информации, если указанные лица являются кандидатами либо их доверенными лицами или уполномоченными представителями по финансовым вопросам, доверенными лицами или уполномоченными представителями избирательных объединений, запрещается участвовать в освещении избирательной кампании через СМИ.
Из данного положения Федерального закона об основных гарантиях следует, что запрет распространяется только на избирательную тематику и не препятствует ведению аналитической программы в случае, если в ней нет тем, связанных с освещением избирательной кампании. Этот запрет должен соблюдаться ведущим телепрограммы с момента его выдвижения в качестве кандидата и до момента его регистрации кандидатом.
Если внештатный журналист одновременно является должностным лицом, ему необходимо учитывать запрет использовать преимущества должностного или служебного положения, заключающиеся среди прочего в преимущественном доступе к государственным и муниципальным средствам массовой информации в целях проведения сбора подписей или предвыборной агитации (подпункт «е» пункта 5 статьи 40 Федерального закона об основных гарантиях).
Согласно пункту 2 статьи 40 Федерального закона об основных гарантиях со дня регистрации кандидат, работающий в организации телерадиовещания в качестве ведущего телепрограммы, должен быть освобожден от выполнения служебных обязанностей на время участия в выборах. В подтверждение этого факта не позднее чем через пять дней со дня регистрации он обязан представить в избирательную комиссию заверенную копию соответствующего приказа (распоряжения). Указанная норма в силу статьи 52 Закона о СМИ в полной мере распространяется как на тех авторов, которые связаны с редакцией средства массовой информации трудовыми или иными договорными отношениями, так и иных, признаваемых ею своими внештатными авторами или корреспондентами, при выполнении ими поручений редакции.
При выпуске в период избирательной кампании информационных материалов о текущей деятельности должностного лица, представителя любой профессии, полагаем, следует воздерживаться от указания партийной принадлежности, партийного статуса этого лица, чтобы не нарушать положение пункта 8 части 7 статьи 55 Федерального закона о выборах депутатов, поскольку в таком указании прослеживается агитационная цель.
Вместе с тем при освещении предвыборной деятельности кандидата вполне допустимо информировать о занимаемой им должности, роде его занятий, так как это отвечает целям информирования граждан о выборах и о кандидатах.
Действующее законодательство о выборах допускает выпуск аналитических передач, посвященных избирательной кампании в период ее проведения. Однако эти передачи должны соответствовать принципам объективности и достоверности, не нарушать равенство прав кандидатов. Вместе с тем исходя из законодательства о выборах аналитической не может считаться передача, в ряде выпусков которой систематически подается односторонняя (негативная или позитивная) информация об одном или нескольких кандидатах, замалчивается информация о других кандидатах, смешиваются факты и предположения, информация и комментарий к ней. Такая передача носит признаки предвыборной агитации. Законодательство о выборах не содержит регулирования в отношении выпуска юмористических передач. По аналогии, для того, чтобы такие передачи не были признаны агитационными, они не должны нарушать принцип равенства кандидатов, политических партий.
Можно приглашать в радиоэфир (вне рамок выделенного в соответствии с законом для предвыборной агитации эфирного времени) общественно-политического деятеля, который сам не участвует выборах, чтобы он прокомментировал ход кампании с элементами критики или одобрения тех или иных партий, если подобные действия имеют целью информирование избирателей и отвечают его принципам (пункт 2 статьи 45 Федерального закона об основных гарантиях).
Если же таким образом ведется целенаправленная линия по формированию определенного отношения избирателей к конкретному кандидату, политической партии, то подобные действия перейдут в категорию предвыборной агитации и могут быть квалифицированы как правонарушающая предвыборная агитация (в отношении соответствующих представителей СМИ – в случае установления наличия у них агитационной цели). Для того чтобы избежать подобной ситуации, рекомендуется перед эфиром ознакомить общественно-политического деятеля с понятием и признаками предвыборной агитации (подпункт 4 статьи 2,пункт 2 статьи 48 Федерального закона об основных гарантиях).
Согласно пункту 5 статьи 45 Федерального закона об основных гарантиях недопустимо оказывать предпочтение тем или иным кандидатам, политическим партиям при осуществлении информирования избирателей об их предвыборных мероприятиях. Однако закон не устанавливает какой-либо очередности освещения предвыборных мероприятий кандидатов, и политических партий, подразумевая лишь недопустимость замалчивания деятельности одних кандидатов и чрезмерное освещение деятельности других. Размещать информацию о предвыборных мероприятиях можно, например, в хронологическом порядке их проведения.
Пункт статьи Федерального закона об основных гарантиях содержит требования к сообщениям о проведении предвыборных мероприятий в информационных программах. Аналитические передачи, информирующие о выборах, должны быть объективными, достоверными, в них должно соблюдаться равенство кандидатов, политических партий.
Сообщаемая в такой передаче информация должна быть четко отделена выступающим от комментария к этой информации. Вместе с тем, если цикл аналитических передач, даже с соблюдением перечисленных требований, будет целенаправленно и систематически положительно характеризовать одного кандидата, одну партию и замалчивать информацию о других кандидатах, партиях (либо целенаправленно характеризовать их отрицательно), деятельность по выпуску этих передач может быть при установлении наличия агитационной цели квалифицирована как агитационная. В данном случае также может быть поставлен вопрос о соблюдении организацией телерадиовещания принципов информирования избирателей. [9, c. 15–17]
Согласно пункту 2 статьи 40 Федерального закона об основных гарантиях депутаты Государственной Думы, Президент Российской Федерации в период избирательной кампании не слагают с себя полномочия и остаются при исполнении своих обязанностей. Аккредитованные в Государственной Думе корреспонденты могут показывать, что происходит в ходе принятия законов Государственной Думой, в том числе освещая позицию депутата по тому или иному закону, что является информированием. Освещение официальной деятельности Президента Российской Федерации, например, государственного визита в период избирательной кампании, также будет информированием.
Отметим, что такого рода информация вообще не относится к информированию избирателей о выборах и не регулируется законодательством о выборах, если только в данной информации не будет указываться, что соответствующее должностное лицо является кандидатом. Вместе с тем, например, фильм о кандидате – должностном лице, содержащий его биографию, включая факты служебной деятельности в прошлом, следует, по нашему мнению, расценивать как агитационный материал, который должен распространяться с соблюдением требований к распространению агитационных материалов.
В соответствии с Федеральным законом об основных гарантиях информация о судимостях кандидата доводится до избирателей посредством включения этой информации в избирательный бюллетень (пункт 7 статьи 63) и размещения ее на информационном стенде в помещении для голосования (пункт 4 статьи 61). Таким образом, эту информацию до избирателя доводят избирательные комиссии. Они делают это на основании сведений о судимостях, указанных кандидатом в соответствии с требованиям статьи 33 Федерального закона об основных гарантиях в письменном заявлении о согласии баллотироваться по конкретному избирательному округу. Непредставление, то есть сокрытие кандидатом сведений о судимостях является нарушением действующего законодательства. Поэтому организация, осуществляющая выпуск СМИ, вправе довести ставшую ей известной информацию о судимости кандидата, которую последний скрыл, до организующей выборы избирательной комиссии, чтобы она успела прореагировать должным образом.
Выдвижение региональным отделением политической партии кандидата в депутаты законодательного (представительного) органа государственной власти субъекта Российской Федерации не является основанием для ограничения права политической партии распространять информацию о партии, не связанную с участием региональных отделений партии в региональных выборах (а при совмещении региональных выборов с федеральными – проводить предвыборную агитацию) на каналах общероссийских организаций телерадиовещания.
4. Разграничение понятий информирования и агитации и связанные с этим ограничения свободы массовой информации
Новеллой Федерального Закона «Об основных гарантиях…» стало разграничение информирования избирателей (в том числе публикация опросов общественного мнения) и предвыборной агитации. Оба эти процесса объединяются понятием «информационное обеспечение выборов». Выиграло от этого, в первую очередь журналистское сообщество, получившее гарантии осуществления своих прав в конфликтный и напряженный для деятельности организаций СМИ период выборов.
По смыслу ФЗ «Об основных гарантиях…» информирование - это любая информация, связанная с избирательным процессом, не содержащая признаков предвыборной агитации (например, информация о ходе подготовки и проведения выборов, о сроках и порядке совершения избирательных действий, о законодательстве Российской Федерации о выборах и т.д.). В соответствие с п.4 ст.45 ФЗ «Об основных гарантиях…» деятельность организаций, осуществляющих выпуск средств массовой информации, по информированию избирателей осуществляется свободно. В п.3 той же статьи сказано, что информирование избирателей осуществляют избирательные комиссии. Из данного положения закона непонятно, отводится ли здесь средствам массовой информации лишь роль «рупора», или они являются самостоятельным субъектом информирования. Анализ п.1 ст.46 («информирование избирателей осуществляют… организации, осуществляющие выпуск средств массовой информации») приводит к выводу, что СМИ могут самостоятельно информировать граждан. В то же время декларированная свобода информирования граждан весьма сомнительна. Например, в информационных теле- и радиопрограммах, публикациях в периодических печатных изданиях сообщения о проведении предвыборных мероприятий должны даваться исключительно отдельным информационным блоком, без комментариев. Однако законодательного определения термина «комментарий» не существует, поэтому что считать комментарием, неясно; теоретически комментарий - любая информация, предшествующая данному информационному блоку либо непосредственно за ним следующая.
В то же время, осуществляя свою социальную функцию в ходе избирательного процесса - информирование избирателей, объективное и достоверное, - журналисты рискуют оказаться обвиненными в проведении предвыборной агитации, которую по закону они вести не имеют права. Остро стоит проблема определения границ предвыборной агитации, поскольку их определение является также и определением рамок свободы осуществления организациями СМИ своей деятельности в ходе выборов. В соответствии с п.4 ст.2 ФЗ «Об основных гарантиях…» под предвыборной агитацией понимается деятельность, осуществляемая в период избирательной кампании и имеющая целью побудить или побуждающая избирателей к голосованию за кандидата, список кандидатов или против него (них), либо против всех кандидатов (против всех списков кандидатов). Если сравнить данную формулировку со ст.2 прежнего Федерального Закона «Об основных гарантиях избирательных прав и права на участие в референдуме граждан РФ» от 19 сентября 1997 года, то можно выявить ряд существенных изменений в подходе законодателя к определению понятия предвыборной агитации.
Во-первых, имеет место возвращение к формулировке Закона 1994 года, когда деятельность, побуждающая граждан к участию в выборах, была выведена за пределы понятия предвыборной агитации. Это положение закона обладает двоякой сущностью. Формулировка 1999 года имела целью обеспечить принцип добровольности участия граждан в выборах, но в то же время лишала избирательные комиссии возможности обратиться при низкой явке избирателей в день голосования к гражданам с призывом голосовать активнее. Новая формулировка дает такую возможность не только избирательным комиссиям, но и всем желающим, в том числе тем, кому законом запрещено участвовать в проведении предвыборной агитации (например, представителям СМИ). Поэтому, по нашему мнению, разумнее было бы сохранить в этой части определение предвыборной агитации, данное в законе 1997 года с оговоркой о том, что данное требование не распространяется на избирательные комиссии.
Во-вторых, деятельность, побуждающая избирателей голосовать против всех кандидатов, включена в понятие предвыборной агитации, а деятельность, побуждающая граждан к неучастию в выборах (что может сорвать проведение выборов даже в большей степени) - нет. [13]
Стоит отметить еще и следующую интересную особенность. Пункт 2 ст.46 ФЗ «Об основных гарантиях…» предъявляет определенные требования к публикации опросов общественного мнения: необходимость указывать определенные сведения. Неуказание хотя бы одного сведения из установленного законом перечня ведет к признанию данной публикации предвыборной агитацией. В то же время установленный для публикации опросов пятидневный мораторий (п.3 ст.46), имеющий целью минимизировать прессинг «общественного мнения», оказываемого на избирателя, естественно, не распространяется на материалы, являющиеся предвыборной агитацией. Поэтому материал, по внешней форме представляющий собой опрос, но по сути им не являющийся, может быть опубликован в тот период, когда публикация опросов запрещена, что приводит к элиминации цели, которую ставил перед собой законодатель.
Казалось бы, в новом законе достаточно четко определены временные рамки, в пределах которых указанные в законе действия будут считаться предвыборной агитацией, - «в период избирательной кампании». Однако в п.19 той же ст.2, в которой дано определение предвыборной агитации, избирательная кампания определяется как «деятельность по подготовке и проведению выборов, осуществляемая в период со дня официального опубликования (публикации) решения уполномоченного на то должностного лица, государственного органа, органа местного самоуправления о назначении (проведении) выборов до дня представления избирательной комиссией, организующей выборы, отчета о расходовании средств соответствующего бюджета, выделенных на подготовку и проведение выборов». Получается, что предвыборная агитация может вестись и после дня голосования? Но это абсурдно.
Кандидаты вправе самостоятельно определять содержание, формы и методы своей агитации.
Законодатель счел необходимым дать подробный перечень тех действий, которые являются агитационными. Это, несомненно, должно было способствовать устранению неопределенности, субъективизма при определении того, что является предвыборной агитацией, а что - не является. Однако формулировки п.2 ст.48 ФЗ «Об основных гарантиях…», закрепляющего названный перечень, крайне размыты, к тому же перечень не является закрытым. Цель, которую преследовал законодатель, не достигнута: отнесение тех или иных действий к предвыборной агитации по-прежнему остается на усмотрение избирательных комиссий и судей. Этим самым произвольно ограничивается свобода массовой информации. Фактически журналисты, участвующие в освещении избирательной кампании, лишаются на этот период некоторых из своих прав, предусмотренных Законом «О средствах массовой информации», например, права «излагать свои личные суждения и оценки в сообщениях и материалах, предназначенных для распространения за его подписью» (пп.9 п.1 ст.47).
Так, пп. «б» п.2 ст.48 устанавливает, что предвыборной агитацией является выражение предпочтения в отношении кого-либо из кандидатов, избирательных объединений, избирательных блоков, в частности указание на то, за какого из кандидатов, за какой из списков кандидатов, за какое из избирательных объединений, за какой из избирательных блоков будет голосовать избиратель. Исходя из буквального толкования данной нормы закона, указание на то, против какого кандидата, списка кандидатов, избирательного объединений или блока будет голосовать избиратель, агитацией не является. [14]
Введение в перечень действий, являющихся предвыборной агитацией, описания возможных последствий избрания или неизбрания кандидата (списка кандидатов) (пп. «в» п.2 ст.48) ставит преграду на пути выхода в свет в период избирательной кампании аналитических программ и статей, поскольку их основное содержание как раз и заключается в таком описании и прогнозировании.
Формулировка пп. «г» - «распространение информации с явным преобладанием сведений о каких-либо кандидатах, об избирательных объединениях, избирательных блоках в сочетании с позитивными либо негативными комментариями» также требует уточнения в виде законодательного установления пределов соотношения общего объема эфирного времени и печатной площади, выделяемого на информирование избирателей и объема эфирного времени и печатной площади, посвященного конкретному кандидату (избирательному объединению, блоку).
Установленное же пп. «д» отнесение к агитации информации о деятельности кандидата, не связанной с его профессиональной деятельностью или исполнением им своих служебных (должностных) обязанностей, вообще лишает СМИ возможности каким-либо образом проинформировать избирателей о том либо ином кандидате. Фактически избиратель узнает о кандидате лишь то, что кандидат пожелает сообщить о себе.
Чтобы избежать обвинений в проведении агитации, многие российские СМИ приступили к выработке собственных правил работы в период избирательной кампании. Например, широко известна так называемая «памятка журналисту НТВ», которая запрещает последнему проявлять во время выборов свои политические симпатии и антипатии; подменять информацию об освещаемом эпизоде политической борьбы изложением своего понимания происходящего; оперировать недостаточно проверенной информацией; представлять партию или кандидата вследствие использования такой информации в незаслуженно положительном свете, либо, напротив, причинять им ущерб распространением такой информации; злоупотреблять цитированием мнения отдельных избирателей; использовать случайные высказывания кандидатов, не несущие существенной информации об их позициях; исходить из «презумпции виновности» кандидатов; уделять внимание второстепенным подробностям и т.п.21
Таким образом, роль журналиста в избирательном процессе сводится к бесстрастному сопоставлению мнений и фактов, к роли проводника между аудиторией и кандидатами, который вынужден тщательно скрывать свое собственное мнение.
ГЛАВА II. ПОНЯТИЕ, ФОРМЫ И УСЛОВИЯ ВЕДЕНИЯ ПРЕДВЫБОРНОЙ АГИТАЦИИ В СРЕДСТВАХ МАССОВОЙ ИНФОРМАЦИИ
1. ПОНятИе ПредВыбОрНОй АГИтАцИИ. Агитационный период
Предвыборная агитация - деятельность граждан Российской Федерации, кандидатов, избирательных объединений, избирательных блоков, общественных объединений, имеющая целью побудить или побуждающая избирателей к участию в выборах, а также к голосованию за тех или иных кандидатов (списки кандидатов) или против них (Федеральный закон «Об основных гарантиях избирательных прав и права на участие в референдуме граждан Российской Федерации», ст.2). Исходя из данного определения, можно вывести определения предвыборной агитации в средствах массовой информации, которое будет звучать следующим образом: предвыборная агитация через СМИ - деятельность граждан, избирательных объединений, избирательных блоков, кандидатов в депутаты и других участников избирательного процесса по подготовке и распространению через СМИ в установленных законом формах информации, имеющей целью побудить избирателей принять участие в голосовании за или против тех или иных кандидатов, федеральных списков кандидатов.
Содержание информационных материалов, размещаемых в СМИ или распространяемых иным способом, должно быть объективным, достоверным, не нарушать равенство кандидатов, политических партий. Именно соблюдение этих принципов позволяет считать какой-либо материал, размещенный в СМИ, информационным. Нарушение же указанных принципов с агитационной целью может повлечь за собой признание материала агитационным.
К примеру, если информация о кандидате, политической партии является объективной, достоверной, но подается систематически, с целью побудить избирателей голосовать за или против какого-либо одного кандидата, список кандидатов, в то время как сведения о других кандидатах, политических партиях замалчиваются, то распространение такой информации можно расценивать как предвыборную агитацию.
Агитационной следует считать, помимо деятельности по распространению прямых призывов голосовать определенным образом (т.е. деятельности, имеющей целью побудить избирателей голосовать за или против кандидата, списка кандидатов), целенаправленную деятельность по систематическому распространению информации о кандидатах, политических партиях в основном позитивного (или в основном негативного) содержания, заведомо недостоверной информации, а также связанную с выборами, с участниками избирательного процесса информационную деятельность с использованием специальных приемов подачи информации, например таких, как смешение информации и комментария, фактов, и предположений и тому подобное. [10, с. 45–50]
Выводы правоприменительного органа (избирательной комиссии, иного органа, уполномоченного на осуществление функций по контролю и надзору в сфере массовых коммуникаций) об агитационном характере материала, распространенного с нарушением правил предвыборной агитации, и материалы о привлечении в связи с этим организации СМИ к ответственности подлежат оценке судом в ходе рассмотрения соответствующего дела.
Согласно подпункту 4 статьи 2 Федерального закона об основных гарантиях предвыборной агитацией признается деятельность, осуществляемая в период избирательной кампании и имеющая целью побудить или побуждающая избирателей к голосованию за кандидата, кандидатов, список, списки кандидатов или против него (них). Таким образом, деятельность признается агитационной в случае ее направленности на позиционирование в сознании избирателей определенных лиц в качестве кандидатов на соответствующих выборах и распространения призывов голосовать за или против таких кандидатов. В случае осуществления этой деятельности до выдвижения гражданина в качестве кандидата и, соответственно, до создания его избирательного фонда и при условии, что такая деятельность осуществлялась с финансовыми затратами, к проводящим агитацию лицам могут быть применены предусмотренные законом меры ответственности за нарушение установленных законодательством о выборах и референдумах порядка и условий проведения предвыборной агитации, агитации по вопросам референдума на каналах организаций СМИ (статьи 5.5, 5.8, 5.10 КоАП), а также за финансирование избирательной кампании кандидата помимо средств избирательного фонда – вплоть до мер государственно-правовой ответственности, выражающихся в отказе в регистрации или отмене регистрации (если виновным лицом является кандидат). [9, c. 22–24]
Исходя из определения предвыборной агитации в его взаимосвязи с пунктом 1 части 1 статьи 55 Федерального закона о выборах депутатов, в период с начала избирательной кампании до выдвижения политической партией федерального списка кандидатов этой партией не должны распространяться призывы голосовать за федеральный список кандидатов или против него, либо за кандидата (кандидатов) или против него (них). Распространение иной рекламы (информации о деятельности политической партии), поскольку она не подпадает под определение предвыборной агитации, до выдвижения федерального списка кандидатов допустимо. После выдвижения федерального списка кандидатов на любую политическую рекламу распространяется правовой режим предвыборной агитации, в том числе требования о сроках проведения предвыборной агитации в СМИ.
Законодательство о выборах не предъявляет к информации, распространяемой в порядке проведения предвыборной агитации, требования достоверности. Поэтому с точки зрения избирательного законодательства не имеет значения, соответствуют ли действительности приводимые в агитационных материалах данные. Редакция СМИ не несет ответственности за достоверность конкретных данных (например, показателей экономического развития региона, сведений о численности членов партии и т п.), приведенных в агитационном материале кандидата, избирательного объединения.
Размещение в СМИ поздравлений с праздниками от имени политической партии, выдвинувшей федеральный список кандидатов, либо от имени кандидатов, включенных в этот федеральный список может рассматриваться как деятельность, способствующая созданию положительного или отрицательного отношения избирателей к таким политической партии, кандидатам, то есть, в соответствии с подпунктом «е» пункта 2 статьи 48 Федерального закона об основных гарантиях, пунктом 6 части 1 статьи 55 Федерального закона о выборах депутатов, как предвыборная агитация.
Предвыборная агитация в СМИ должна проводиться с соблюдением требований, предъявляемых федеральными законами к такой агитации, в том числе по оплате из соответствующего избирательного фонда. Также следует учитывать, что распространение от имени гражданина, являющегося кандидатом, поздравлений, не оплаченных из средств избирательного фонда выдвинувшей его политической партии, в соответствии с пунктом 8 части 4 статьи 46 Федерального закона о выборах депутатов квалифицируется как использование преимуществ должностного или служебного положения.
Приглашения от имени политической партии на встречу с кандидатом, на субботник, а также на другие мероприятия, проводимые кандидатом либо политической партией в период избирательной кампании, исходя из определения предвыборной агитации, перечня форм и методов ее проведения, должны расцениваться как разновидность агитационных материалов, порядок изготовления и распространения которых, в том числе через СМИ, установлен законодательством о выборах.
Мнение телеведущего относительно одного или нескольких кандидатов, высказанное в эфире, будет считаться предвыборной агитацией, если будет установлено наличие в действиях телеведущего агитационной цели. Согласно пункту 21 статьи 48 Федерального закона об основных гарантиях действия, совершаемые при осуществлении представителями организаций СМИ профессиональной деятельности и указанные в подпункте «а» пункта 2 указанной статьи (прямые призывы голосовать «за» или «против» кандидатов, списки кандидатов), признаются предвыборной агитацией в случае, если эти действия совершены с целью побудить избирателей голосовать за кандидата, кандидатов, список, списки кандидатов или против него (них).
Таким образом, если телеведущий, например, неоднократно высказывает мнение о каком-либо из кандидатов, способствуя созданию отрицательного отношения к нему, это может свидетельствовать о наличии у него агитационной цели и, соответственно, о нарушении им запрета, установленного подпунктом «ж» пункта 7 статьи 48 Федерального закона об основных гарантиях.
Деятельность, имеющая целью побудить или побуждающая избирателей к неучастию в выборах, не является предвыборной агитацией (подпункт 4 статьи 2 Федерального закона об основных гарантиях). При определенных обстоятельствах такая деятельность может оцениваться как воспрепятствование осуществлению избирательных прав граждан, например, если она сопряжена с подкупом, физическим или психологическим насилием, использованием должностного или служебного положения, что влечет привлечение виновного лица (виновных лиц) к уголовной ответственности по статье 141 УК. [9, c. 24–27]
Агитационный период
Действия, о которых идет речь, не регулируются законодательством о выборах. Следовательно, соответствующих ограничений на размещение на правах рекламы в эфире организаций телерадиовещания информации о деятельности политических партий до официального опубликования решения о назначении выборов депутатов Государственной Думы не существует.
Согласно пункту 1 статьи 49 Федерального закона об основных гарантиях агитационный период начинается со дня выдвижения кандидата, списка кандидатов, а в соответствии с пунктом 5 статьи 48 Федерального закона об основных гарантиях, расходы на проведение предвыборной агитации осуществляются исключительно за счет средств избирательных фондов.
Осуществление в период избирательной кампании деятельности, подпадающей под признаки предвыборной агитации (подпункт 4 статьи 2, пункт 2 статьи 48 Федерального закона об основных гарантиях), до момента выдвижения кандидата, списка кандидатов, а при осуществлении в связи с этой деятельностью финансовых затрат – до создания избирательного фонда кандидата может быть расценено как попытка обойти закон. Подобные действия – при условии последующего выдвижения данным лицом своей кандидатуры на выборную должность – могут повлечь за собой отказ в регистрации кандидата на основании подпункта «з» пункта 24 статьи 38 Федерального закона об основных гарантиях, а также привлечение кандидата к ответственности по ряду статей КоАП (5.10, 5.18).
Предвыборная агитация на каналах организаций телерадиовещания и в периодических печатных изданиях проводится в период, который начинается за 28 дней до дня голосования и прекращается в ноль часов по местному времени за сутки до дня голосования. Например, если день голосования – 2 декабря, то указанная предвыборная агитация может начинаться с 3 ноября и должна быть прекращена в ноль часов 1 декабря. Если день голосования – 2 марта, то начало предвыборной агитации в организациях СМИ – 2 февраля, окончание – в ноль часов 1 марта.
В соответствии с пунктом 2 статьи 49 Федерального закона об основных гарантиях предвыборная агитация на каналах организаций телерадиовещания и в периодических печатных изданиях начинается за 28 дней до дня голосования. Если организация СМИ предоставит эфирное время или печатную площадь кандидату, политической партии для распространения информации, носящей признаки предвыборной агитации, в рамках периода избирательной кампании, но ранее даты, с которой начинается агитационный период в СМИ, это будет нарушением закона. Информация о кандидатах, распространяемая ранее чем за 28 дней до дня голосования (равно как и информация, распространяемая в течение 28 дней до дня голосования) не является предвыборной агитацией при условии, что она не подпадает под понятие предвыборной агитации (подпункт 4 статьи 2 Федерального закона об основных гарантиях) и не имеет признаков агитационных действий (пункт 2 статьи 48 Федерального закона об основных гарантиях). Информируя о кандидатах, журналисты должны соблюдать принципы беспристрастности, объективности, достоверности, равенства прав кандидатов, политических партий. [9, c. 28–30]
2. Формы и порядок ведения предвыборной агитации в СМИ
Закон предусмотрел множественность форм предвыборной агитации через СМИ. Однако это многообразие относится в основном к электронным СМИ. «Предвыборная агитация через средства массовой информации проводится в виде публичных дебатов, дискуссий, «круглых столов», пресс-конференций, интервью, выступлений, политической рекламы, показа телеочерков, видеофильмов о зарегистрированном кандидате, избирательном объединении, избирательном блоке и в иных не запрещенных законом формах». [2, статья 52] Предвыборная агитация на телевидении, на радио и в периодических печатных изданиях представлена приложениях № 1 и №2 соответственно.
Почти ничего из сказанного не относится к печатным СМИ. Что бы это значило? Видимо, из-за максимального воздействия электронных СМИ в них были наиболее заинтересованы участники избирательного процесса. Это и отразилось на законодательной регламентации. Но при этом остались без заслуженного внимания некоторые спорные вопросы о допустимости и границах использования в печатных СМИ художественных произведений, изобразительных средств (рисунки, карикатуры) для целей предвыборной агитации.
Известно, что в Интернете размещаются электронные версии изданий, не идентичные их печатным вариантам. Известно также, что в этой информационной сфере периодически обновляемые сайты вполне отвечают признакам средства массовой информации.
Предвыборная борьба в этой сфере сейчас уже не кажется чем-то фантастическим, подобно звездным войнам. Видимо, по этим и многим другим вопросам еще потребуются разъяснения Центральной избирательной комиссии.
Особенно обстоятельно разработаны нормы, обеспечивающие равенство в использовании СМИ для целей предвыборной агитации. Но ведь как легко благодаря тому же закону обходить эти препоны. Вспомним знакомые всем сюжеты, когда лидер общественного движения месяцами не сходит с экранов телевидения. Вот он любовно изображен на фоне нового жилого массива, на закладке очередного храма, на открытии памятника поэту, на юбилейных торжествах театра, на выступлении перед университетской аудиторией, на открытии автомагистрали, на палубе линкора, на балу любителей пива и пр., и др., и т.п., и т.д.
И все это не считается агитацией, поскольку может быть признано репортажем о выполнении данным лицом своих служебных обязанностей.
Не снимает этого парадокса и указание закона о том, что в информационных теле- и радиопрограммах сообщения о проведении предвыборных мероприятий должны даваться отдельным блоком без комментариев и без предпочтения какому-либо кандидату, избирательному объединению и блоку, в том числе и по времени освещения их предвыборной деятельности.
Информационные программы по определению сообщают о событиях общественной значимости (событийная, фактическая информация) и не должны сопровождаться какими-либо оценками, мнениями, суждениями об этих событиях и действующих в них лицах (оценочная информация). Из теории и практики пропаганды хорошо известно, что агитационно-пропагандистский эффект обусловлен не только буквальным значением сказанного, но и общим контекстом сообщения, подбором фактов, невербальными средствами выразительности и пр.
В случае претензий к СМИ по поводу нарушения упомянутого предписания закона может потребоваться экспертиза спорной информационной программы.
Чтобы хотя бы отчасти защитить телевидение и телезрителя, не заполняя самое зрелищное время нудными формами предвыборной агитации, теперь установлено, что одна треть общего объема бесплатного эфирного времени, выделенного для предвыборной агитации, отводится под «круглые столы» и другие аналогичные совместные агитационные мероприятия. Они, конечно, потребуют более высокого мастерства ведущих тележурналистов и могут оказаться не по силам некоторым участникам избирательной борьбы, как это было на прошлых выборах.
Отказ кандидата или региональной группы кандидатов от участия в совместных агитационных мероприятиях не компенсируется увеличением соответствующей доли бесплатного эфирного времени.
Оставшаяся часть (две трети) бесплатного эфирного времени распределяется в равных долях между кандидатами, региональными группами кандидатов, избирательными объединениями, избирательными блоками и используется ими для самопрезентации по своему усмотрению. Можно ожидать, что форму подачи агитматериала они будут выбирать выгодную для себя, а не для избирателей. И здесь уж работники телевидения ничего поделать не смогут, а всякая попытка защитить интересы телезрителей будет восприниматься как нарушение прав искателей депутатских мест.
Что же касается использования платного эфирного времени, то форма предвыборной агитации и условия участия журналиста (ведущего) в процессе теле-, радиопередачи определяется договором, содержание которого зависит от соглашения между заказчиком и исполнителем.
При нарушении сторонами законодательных предписаний и условий договора он по решению суда расторгается, а если нарушения имеют место со стороны кандидата (объединения, блока), то высвободившееся эфирное время организация телерадиовещания не вправе использовать для целей предвыборной агитации.
Прерывать передачу любых предвыборных агитационных материалов, в частности, рекламой товаров, работ и услуг запрещается. Запрещено также перекрывать передачу предвыборных агитационных материалов на каналах государственных СМИ трансляцией иных теле- и радиопрограмм.
Теперь о формах предвыборной агитации в печатных СМИ. Как уже отмечалось, закон почти ничего не говорит об этом, лишь несколько слов - в специальной статье об условиях ведения предвыборной агитации через периодические печатные издания. Здесь он ограничился следующими положениями.
Прежде всего, в связи с вопросом о равенстве претендентов на услуги прессы вскользь упоминаются такие полиграфические тонкости, как место на полосе, шрифт и другие условия.
Далее указывается, что публикация предвыборных материалов не должна сопровождаться редакционными комментариями в какой бы то ни было форме, а также заголовками и иллюстрациями, не согласованными с кандидатами, избирательными объединениями, избирательными блоками.
И, наконец, во всех материалах, помещаемых в печатных СМИ, должно быть указано, за счет избирательного фонда какого кандидата, избирательного объединения или блока, оплачена данная публикация. А если публикация произведена бесплатно, то об этом должно быть сообщено и указано, какому кандидату (объединению, блоку) была предоставлена возможность размещения данной публикации в счет доли бесплатной печатной площади.
Столь скупая по сравнению с электронными СМИ регламентация агитационной деятельности печатных изданий возмещается положениями Закона о СМИ, которые преимущественно относятся к печатной прессе.
Закон признает предвыборной агитацией рекламу коммерческой и иной деятельности кандидатов, избирательных объединений и блоков, доверенных лиц и уполномоченных представителей, а также организаций, учредителями, собственниками или членами руководящих органов которых являются эти лица.
Такая реклама осуществляется только за счет средств соответствующего избирательного фонда, а в государственных СМИ она должна быть ограничена размерами доли платного эфирного времени и платной печатной площади, выделенных для ведения предвыборной агитации данному кандидату.
Реклама деятельности перечисленных лиц относится на счет избирательного фонда того кандидата, которого представляют или поддерживают эти лица.
3. Особенности агитационной кампании
На этапе агитационной компании реализуются планы и стратегические замыслы, созданные на подготовительном этапе. Компания может быть направлена, на создание положительного имиджа кандидата, так и на разрушение имиджа соперников. В целом этот этап состоит из совокупности различных мероприятий, на которых используется определенный набор методов агитационного воздействия.
Агитационные листовки. Также существуют настенные и предназначены для раздачи в руки, агитационные и презентационные, сигнально-информационные.
Существуют следующие виды настенных листовок:
1.Ориентирующие на борьбу – первая часть создает образ врага или негативную установку на восприятие оппонента. Основная часть: указывает путь борьбы с врагом или формирует положительное восприятие кандидата.
2.Биографические – с изложением краткой биографии кандидата, создающие желаемый образ последнего.
3.Програмные – с кратким изложением программы.
Агитационная листовка для раздачи избирателям зачастую содержит еще минимум полезной информации (листовки с экологическими телефонами, правилами поведения в экстренных ситуациях и тд.).
Характерной особенностью листовок является доминирующие желание закрепить образ кандидата с помощью «ключевых сигналов» (портреты, сопровожденные фразой типа «это наш кандидат», «это свой человек»), как показала практика лучше воспринимались небольшие по размеру, доходчивые по содержанию, адресные цветные листовки.
Агитация на страницах печати. Спецвыпуски газет. Через печать осуществлялось формирование определенного имиджа кандидата в депутаты (его человеческое лицо – образование, карьера, хобби, образ хорошего семьянина, заслуги перед жителями города/области, республики, фото с политическими лидерами). Специальный выпуск газеты представляет собой особый вид агитационной продукции, соединяющий в себе достоинства листовки, плаката и газеты. С одной стороны он позволяет кратко представить кандидата в виде лозунгов, афоризмов, большой фотографией, с другой стороны имеется возможность представить интересующемуся избирателю развернутую программу. [8, с. 32]
Перед разработкой избирательных компаний стоят четыре вопроса касающихся использования специальных выпусков газет.
1.Необходимость применения данного вида агитации, его роль в избирательной компании;
2.Выбор типа спецвыпуска, либо на базе уже существующего издания, либо издание оригинальной газеты, определение его объема, формата тиража;
3.Содержание, оформление спецвыпуска;
4.Количество спецвыпусков, время выхода, способы распространения.
В идеале в ходе избирательной кампании должны быть задействованы все каналы коммуникации, по которым к избирателям может попасть информация о кандидатах на выборные должности. Однако на практике не всегда существуют возможности для этого, приходится выбирать наиболее эффективные, для конкретных обстоятельств проведения кампания, средства агитации, выбирать каналы коммуникации пользующиеся наибольшей популярностью у населения, через которые возможно более полно донести информацию о кандидате, при минимуме затрат.
Необходимость применения данного средства агитации, роль в избирательной кампании.
Решение о применении спецвыпуска принимается в зависимости от уровня выборов, общих характеристик округа, где происходят выборы, степени распространения СМИ, в том числе и электронных, особенностей электората.
Необходимо отметить, что на выборах любого уровня кем-либо из кандидатов используется в предвыборной борьбе спецвыпуски, в зависимости от уровня выборов, изменяется их роль в избирательной кампании. С точки зрения уровня выборов роль спецвыпусков меняется следующим образом.
1. Местные выборы в представительские органы власти субъектов федерации и органы местного самоуправления. Размер округов колеблется от 17 до 70 тыс. избирателей, тираж спецвыпуска соответственно 6000-25000 экземпляров. Организационно доставка не вызывает особых проблем. В случае выборов в сельской местности, либо в районах, где принимаются не все каналы, значение спецвыпусков возрастает.
2. В избирательных компаниях с возрастанием уровня выборов повышается значение электронных СМИ, эта тенденция характерна для стран с устоявшейся демократией, так и для России. Роль спецвыпусков на общефедеральном уровне гораздо скромнее, в основном из-за технических сложностей – чтобы газета «сработала» она должна попасть в каждую квартиру.
3. Избирательная кампания по выборам глав администрации крупных городов и субъектов федерации занимают промежуточное положение между федеральными и региональными выборами. С одной стороны уже значительна роль электронных СМИ, с другой спецвыпуски газет не отошли окончательно на задний план. [8, c. 33–35]
В зависимости от географического расположения округов изменяются многие его характеристики, непосредственно влияющие на характер использования специальных выпусков газет. Географические округа делятся на городские и сельские, ниже приведены их основные особенности.
Городские округа.
1.Центральные (многоэтажная застройка).
высокая концентрация населения;
высокая насыщенность электронными СМИ;
высокий образовательный уровень
довольно высокий уровень достатка;
значительное количество подписных изданий;
2.Окраины.
средняя концентрация населения;
более низкая, по сравнению с центральными районами, насыщенность электронными СМИ;
более низкий уровень достатка;
меньшее количество выписываемых изданий;
более низкий образовательный уровень.
Сельские округа.
низкая концентрация населения, большие расстояния между избирательными участками;
низкая насыщенность электронными и печатными СМИ. Общеизвестное – снижение уровня жизни и возросшая стоимость подписки сильно сократили тиражи всех газет, особенно это, заметно в сельской местности. На селе единственным источником информации является телевидение и радио. К тому же многие телевизионные программы на селе просто не принимаются, да и количество телевизионных приемников гораздо меньше чем в городе. Поэтому для селян приход любой газеты – событие.
низкий уровень достатка;
низкий образовательный уровень;
доверие к прессе существующее по сию пору, особенно в деревнях, на окраинах городов усиливает влияние данного вида агитации.
«От двери к двери». Наиболее дорогостоящая и наиболее эффективная (при соответствующей организации) акция. На протяжении выборов агитаторы обходят поквартирно свои участки от 1 до 3 раз, их задача обойти все квартиры и убедить максимальное количество избирателей проголосовать за своего кандидата. В процессе работы агитаторы вступают в контакт с жителями, стараются расположить их к себе, раздают агитационную продукцию, выясняют настроение избирателей, формируют благоприятный образ кандидата. В случае необходимости они также занимаются организацией встреч с кандидатом или его доверенными лицами. Акция может носить как агитационный, так и контрагитационный характер. По опыту работы – наибольшая эффективность, если на каждые 500 избирателей приходится один агитатор. [8, с. 37] Отсюда ее дороговизна, при выборах в государственную думу численность округа 500-600 тыс. избирателей, соответственно агитаторов надо порядка тысячи человек. На выборах в государственную думу только коммунисты смогли полноценно использовать возможность этой акции, т.к. обладали необходимыми для этого ресурсами – людьми, членами КПРФ готовыми работать бесплатно, «за идею».
Адресная предвыборная реклама. В зависимости от фантазии, а порою недостатка средств, избирательные объединениями используются нестандартные акции. Достаточно широко используются листовки в виде отрывного талона с наказом поддержать ту или иную кандидатуру, предполагается, что передать ее надо представителю кандидата в день выборов.
День выборов. Этот день чрезвычайно важен, недаром широко распространена поговорка «неважно как проголосуют, важно, как подсчитают». Все выборы проводимые у нас с 1990г. отмечены фальсификациями, по данным В. Суховольского во время выборов Президента РСФСР в 1991г. было сфальсифицировано 4 миллиона; во время референдума 25 апреля 1993г. 7-8 миллионов; во время выборов в государственную думу 12 декабря 1993г. - 9 миллионов голосов. По выборам 1995г. данных нет, размеры фальсификаций на них были не меньшими. В настоящий момент известны шесть основных видов фальсификаций:
подбрасывание бюллетеней;
принуждение к голосованию;
порча бюллетеней, поданных за нежелательного кандидата;
перестановка результатов голосования, голоса поданные за кандидата А приписываются кандидату Б;
подмена бюллетеней;
изъятие бюллетеней заполненных в пользу нежелательного кандидата;
манипуляция с численностью избирателей;
Для недопущения подобных деяний, вообще и в отношении своей партии в частности в день выборов на участки выставляются наблюдатели и члены избирательных комиссий, с правом совещательного голоса которых имеют право назначать претенденты на депутатские мандаты. [8, c. 39] Однако, не смотря на казалось бы очевидную необходимость контроля за ходом выборов, большинство кандидатов, партий, предвыборных блоков, объединений не выставляют своих наблюдателей на избирательные участки.
Глава III. Особенности участия отдельных организаций СМИ в избирательных кампаниях и их ответственность
1. Особенности участия организаций телерадиовещания, редакций периодических печатных изданий, Интернета в избирательных кампаниях
Агитационная деятельность, в том числе осуществляемая на телевидении и радио, может проводиться с привлечением лиц, высказывания или действия которых способствуют избранию того или иного кандидата, содержат призывы голосовать за него. Категории лиц, которые не могут привлекаться к агитации, установлены пунктами 6, 7 статьи 48 Федерального закона об основных гарантиях (лица, которые не достигнут возрастаь18 лет на день голосования; лица, замещающие государственные должности и выборные муниципальные должности, и т.д.). Эти ограничения, установленные законом, должны соблюдаться. В остальном кандидат свободен привлекать третьих лиц к участию в агитации за него. То же относится и к флагам, плакатам, символике, демонстрируемым кандидатом в эфире. Однако для того чтобы привлечение третьих лиц и использование визуальных агитационных материалов в эфире не было неожиданностью для организации телерадиовещания, представляется разумным оговаривать конкретные формы агитационных мероприятий в эфире, их участников и оформление в договоре между кандидатом и организацией, предоставляющей ему эфирное время, который обязательно должен заключаться в силу пункта 11 статьи 50 Федерального закона об основных гарантиях.
С целью обеспечения действия положений законодательства Российской Федерации об интеллектуальной собственности телерадиокомпания вправе потребовать у кандидата необходимые документы, подтверждающие соблюдение авторских прав при подготовке агитационного материала. Этот момент также рекомендуется оговаривать в договоре о предоставлении эфирного времени.
По смыслу положений пункта 1 статьи 47, пунктов 1 и 10 статьи 50, пунктов 1 и 2 статьи 51 Федерального закона об основных гарантиях в их системной взаимосвязи предусмотренная законом обязанность региональной государственной организации телерадиовещания предоставить зарегистрированным кандидатам бесплатное эфирное время для проведения предвыборной агитации предполагает, что соответствующая организация телерадиовещания обязана обеспечить свободную реализацию права зарегистрированных кандидатов на проведение предвыборной агитации в рамках такого бесплатного эфирного времени. Введение организацией телерадиовещания таких условий предоставления бесплатного эфирного времени, при которых зарегистрированные кандидаты могут реализовать названное право, только оплатив изготовление агитационных видеоматериалов, не соответствует сущности института бесплатного предоставления эфирного времени. Предоставляемое на равных условиях бесплатное эфирное время призвано обеспечить равенство прав зарегистрированных кандидатов вне зависимости от объема средств избирательных фондов. При установлении организацией телерадиовещания названных выше условий, зарегистрированные кандидаты вынуждены оплачивать проведение предвыборной агитации в рамках бесплатного эфирного времени. Отсутствие же достаточных средств в избирательном фонде зарегистрированного кандидата, с учетом требований пункта 5 статьи 48 Федерального закона об основных гарантиях, будет фактически означать невозможность проведения этим кандидатом такой предвыборной агитации. [9, c. 54–56]
С учетом изложенного полагаем, что организации телерадиовещания следует изыскивать возможность обеспечения реализации зарегистрированными кандидатами права на проведение предвыборной агитации в рамках бесплатного эфирного времени путем выступления в прямом эфире, не требующего какой-либо оплаты. Если организация телерадиовещания не усматривает такой возможности, она должна обеспечить бесплатную запись таких выступлений с последующим выпуском их в эфир.
В качестве ограничения при проведении предвыборной агитации предусмотрена новая норма, согласно которой зарегистрированный кандидат, избирательное объединение не вправе в телевизионном эфире, предоставленном им индивидуально для проведения предвыборной агитации, распространять призывы голосовать против своих оппонентов на выборах, а также иную информацию, способствующую созданию отрицательного отношения избирателей к оппонентам. Следует помнить, что эта норма распространяется только на телеэфир, не затрагивая радиоэфир и печатные СМИ, а также – только на индивидуальные агитационные материалы кандидатов и избирательных объединений, не затрагивая совместные агитационные мероприятия.
В рамках совместных агитационных мероприятий – «круглых столов», теледебатов и т.п., то есть в режиме свободной дискуссии, возможность критиковать оппонентов сохраняется. Концепция этого нового ограничения в определенной степени схожа с концепцией запрета недобросовестной рекламы. Статья 5 Федерального закона «О рекламе» говорит о недопустимости недобросовестной рекламы, под которой понимается, в частности, реклама, которая содержит некорректные сравнения рекламируемого товара с находящимися в обороте товарами, которые произведены другими изготовителями или реализуются другими продавцами; порочит честь, достоинство или деловую репутацию лица, в том числе конкурента. Данное требование закона снабжено достаточно серьезным механизмом ответственности.
За его нарушение участник избирательного процесса может быть привлечен к административной ответственности по статье 5.8 КоАП. Кроме того, неоднократное несоблюдение кандидатом, избирательным объединением рассматриваемого ограничения предполагает возможность отмены судом регистрации этого кандидата, соответствующего списка кандидатов.
На выборах депутатов Государственной Думы половина общего объема бесплатного эфирного времени должна быть предоставлена политическим партиям для совместного проведения дискуссий, «круглых столов», иных совместных агитационных мероприятий. Формы проведения указанных агитационных мероприятий могут оговариваться заранее всеми заинтересованными сторонами, при этом определяющая роль принадлежит организации телерадиовещания, предоставляющей эфирное время.
Проведение дебатов является одним из наиболее действенных способов ознакомления с позициями кандидатов по вопросам, представляющим общественный интерес, выявления их качеств публичных политиков, привлечения избирателей к обсуждаемым вопросам и их побуждения к участию в избирательном процессе: как правило, за дебатами наблюдают значительное число избирателей.
Федеральным законом об основных гарантиях предусмотрена возможность установления законом обязанности личного участия зарегистрированных кандидатов в совместных мероприятиях. Так, на выборах Президента Российской Федерации согласно пунктам 7–9 статьи 52 Федерального закона о выборах Президента в совместных агитационных мероприятиях, проводимых на каналах общероссийских государственных организаций телерадиовещания, зарегистрированные кандидаты могут участвовать только лично. Представители зарегистрированного кандидата к участию в совместных агитационных мероприятиях не допускаются, за исключением случая, когда зарегистрированный кандидат по вынуждающим к тому обстоятельствам (болезнь, выполнение должностных обязанностей) не может участвовать в совместном агитационном мероприятии. В таком случае, а также при проведении совместных агитационных мероприятий на каналах региональных государственных организаций телерадиовещания, вместо зарегистрированного кандидата в дебатах может участвовать его доверенное лицо. Согласно части 6 статьи 55 Федерального закона о выборах депутатов при проведении агитационных мероприятий от имени политической партии вправе выступать кандидаты, уполномоченные на то политической партией, а также уполномоченные представители и доверенные лица политической партии. [9, c. 56–58]
Федеральный закон о выборах депутатов (часть 3 и 4 статьи 58), вместе с тем, прямо предусматривает возможность отказа политической партии от участия в совместных агитационных мероприятиях с получением высвободившейся доли эфирного времени для размещения агитационных материалов этой политической партии.
Эфирное время, отведенное для проведения совместного агитационного мероприятия, в том числе в случае, если в указанном мероприятии может принять участие только один участник, не уменьшается, за исключением случаев, предусмотренных законом. На выборах депутатов Государственной Думы частью 7 статьи 58 Федерального закона о выборах депутатов предусмотрены случаи уменьшения доли эфирного времени, выделенного для проведения совместного агитационного мероприятия, после проведения жеребьевки, но не позднее чем за 5 дней до выхода совместного агитационного мероприятия в эфир.
Эфирное время должно предоставляться в период, когда передачи собирают наибольшую аудиторию. Право и обязанность определить это время принадлежит организации телерадиовещания (при этом следует учитывать, что многие эксперты сходятся во мнении, что утренний праймтайм приходится на период с 7.00 до 9.00, а вечерний – начинается с 19.00 и длится на разных телеканалах и в разные дни недели до 22.00–24.00). Поэтому при подготовке и проведении выборов организации телерадиовещания следует самостоятельно скорректировать сетку вещания с учетом требований Федерального закона об основных гарантиях.
Исходя из принципа равноправия кандидатов, политических партий, понятие «время выхода в эфир» означает определенный временной интервал. Федеральный закон о выборах депутатов устанавливает только обязательные условия, необходимые для заключения такого договора. Дополнительные условия предусматриваются соглашением сторон, однако, исходя из статьи 1 ГК, условия договора не должны препятствовать реализации прав кандидатов на пользование эфирным временем, печатной площадью, гарантированными законом.
При наличии технической возможности и соблюдения равенства прав кандидатов, безусловно, следует предоставить эфир в другой день. Вместе с тем возможны и иные варианты реализации прав кандидата, при этом желательно, чтобы эти варианты были заранее оговорены в договоре о предоставлении эфирного времени. Рекомендуется в договорах о предоставлении платного эфирного времени оговорить данную ситуацию с учетом того, что организация телерадиовещания обязана обеспечить равенство условий предоставления эфирного времени всем кандидатам. [9, c. 60–61]
Особенности участия периодических печатных изданий.
Федеральным законом об основных гарантиях не установлено требование об обязательном предоставлении бесплатной печатной площади редакциями государственных и муниципальных периодических печатных изданий. Объемы платной и бесплатной печатной площади устанавливаются конкретными законами о выборах применительно к периодическим печатным изданиями соответствующего уровня. Федеральным законом о выборах депутатов (статья 59) установлено, что политические партии, зарегистрировавшие федеральные списки кандидатов, и региональные группы кандидатов имеют право на предоставление им бесплатной печатной площади соответственно в общероссийских государственных периодических печатных изданиях и региональных государственных периодических печатных изданиях, выходящих не реже одного раза в неделю, на следующих условиях: равный объем предоставляемой печатной площади, равноценное место на полосе, одинаковый размер шрифта и иные равные условия. Общий еженедельный минимальный объем бесплатной печатной площади, которую каждая из редакций государственных периодических печатных изданий предоставляет политическим партиям или региональным группам кандидатов, должен составлять не менее 10 процентов от общего объема еженедельной печатной площади соответствующего издания в пределах агитационного периода в СМИ. Информация об общем объеме бесплатной печатной площади, которую редакция государственного периодического печатного издания предоставляет для проведения предвыборной агитации, должна быть опубликована в этом издании не позднее чем через 30 дней со дня официального опубликования (публикации) решения о назначении выборов депутатов Государственной Думы.
Общий объем бесплатной печатной площади, которую редакция государственного периодического печатного издания предоставляет для проведения предвыборной агитации, распределяется между политическими партиями, региональными группами кандидатов путем деления этого объема на число политических партий или региональных групп кандидатов, имеющих право на предоставление бесплатной печатной площади в данном периодическом печатном издании. [9, c. 64–65]
Кроме того, редакции государственных периодических печатных изданий, выходящих не реже одного раза в неделю, обязаны резервировать платную печатную площадь для проведения предвыборной агитации политическими партиями, региональными группами кандидатов. Общий объем платной печатной площади, резервируемой каждой редакцией периодического печатного издания, не может быть меньше общего объема бесплатной печатной площади, но не должен превышать его более чем в два раза.
Положения пункта 7 статьи 52 Федерального закона об основных гарантиях направлены на обеспечение реализации принципа равенства кандидатов. Они подразумевают, что редакция не вправе, например, увеличить тираж газеты с опубликованными в ней агитационными материалами какого-либо кандидата с целью предоставления последнему преимущества над остальными кандидатами. Однако закон не говорит о том, что редакция не вправе изменять тираж и периодичность. Подобное толкование было бы расширительным и не соответствовало бы смыслу нормы. Согласно части 1 статьи 28 Закона о СМИ тираж периодического печатного издания определяется главным редактором по согласованию с издателем. Периодичность выпуска СМИ может быть изменена, о чем учредитель обязан в соответствии со статьей 11 Закона о СМИ уведомить регистрирующий орган.
Изменение тиража и периодичности выхода периодического печатного издания может быть плановым мероприятием издателя и редакции, которое не связано с избирательной кампанией, хотя и приходится на агитационный период. Некоторые редакции могут специально пойти на это с целью, не связанной с конкретным кандидатом, – повысить собственный рейтинг за счет интереса читателей к той или иной избирательной кампании. Это не запрещено законом. Основное требование следующее – всем кандидатам должны быть обеспечены равные условия. Все кандидаты должны иметь доступ к равным объемам печатной площади. Согласно пункту 5 статьи 50 Федерального закона об основных гарантиях условия оплаты печатной площади должны быть едины для всех кандидатов (это требование не распространяется только на редакции негосударственных периодических печатных изданий, учрежденных кандидатами, избирательными объединениями).
Сведения о размере и условиях оплаты печатной площади в соответствии с пунктом 6 статьи 50 Федерального закона об основных гарантиях должны быть опубликованы соответствующей редакцией периодического печатного издания не позднее чем через 30 дней со дня официального опубликования решения о назначении выборов и в этот же срок представлены в избирательную комиссию, организующую выборы, либо нижестоящую избирательную комиссию, указанную в законе. Если эти сведения представлены с учетом планируемого изменения тиража и периодичности и все кандидаты должны будут производить оплату на равных условиях, то принцип равенства кандидатов не нарушается.
Региональные страницы общероссийских изданий имеются во многих субъектах Российской Федерации. В определении их статуса необходимо, прежде всего, исходить из наличия или отсутствия у них самостоятельной регистрации. И Федеральный закон об основных гарантиях (пункт 5 статьи 47), и Закон о СМИ (статья 8) для дифференциации периодических печатных изданий берут за основу территорию их распространения. В соответствии с указанными нормами к региональным периодическим печатным изданиям относятся те из них, которые зарегистрированы для распространения на территориях менее чем половины субъектов Российской Федерации. Региональная страница общероссийского издания, как правило, выходит в пределах одного субъекта Российской Федерации.
Если выпуск региональной страницы осуществляет региональная редакция, действующая на основании договора с центральной редакцией общероссийского периодического печатного издания, такая региональная страница в соответствии с Законом о СМИ должна быть зарегистрирована в установленном порядке, и при этом она относится к региональным изданиям. При отсутствии же самостоятельной регистрации такая региональная страница не может быть отнесена к региональным периодическим печатным изданиям.
На выпускаемые редакциями зарегистрированных периодических печатных изданий специальные выпуски распространяется правовой режим основного СМИ. Специальные выпуски должны иметь выходные данные основного издания, выходить в течение ограниченного срока, помимо собственного названия в них должно быть указано название основного издания. Самостоятельной регистрации специальных выпусков периодического печатного издания не требуется. [9, c. 65–68]
В соответствии с частью 9 статьи 57 Федерального закона о выборах депутатов редакции негосударственных периодических печатных изданий, учрежденных политическими партиями (в том числе их структурными подразделениями) и зарегистрированных менее чем за один год до дня официального опубликования (публикации) решения о назначении выборов вправе предоставлять политическим партиям платную печатную площадь при условии соблюдения требований, предусмотренных частями 10 и 11 указанной статьи. Согласно пункту 3 статьи 3 Федерального закона «О политических партиях» структурным подразделением политической партии является ее региональное отделение; иные структурные подразделения политической партии (местные и первичные отделения) создаются в случаях и порядке, предусмотренных ее уставом. Таким образом, на периодические печатные издания, учрежденные региональными и местными отделениями политической партии, распространяется указанная преференция. Периодическое печатное издание, учрежденное политической партией, по существу имеет равный статус с любым иным периодическим печатным изданием (при этом оно имеет ряд рассмотренных выше преференций). Выпуск такого периодического печатного издания не является рекламой политической партии, в связи с чем финансирование выпуска этого периодического печатного издания не обязательно должно производиться из избирательного фонда политической партии. Оплате из фонда (на счет редакции издания) подлежит размещение в данном периодическом печатном издании предвыборной агитации политической партии.
Не следует смешивать два самостоятельных действия: опубликование на платной основе агитационного материала; продажу части тиража газеты с агитационным материалом кандидату. Печатная площадь на платной основе предоставляется зарегистрированному кандидату только по расценкам, декларированным в печати не позднее чем через 30 дней со дня официального опубликования решения о назначении выборов. Применение льготных расценок, если они необоснованно занижены либо завышены, законом запрещено (пункт 5 статьи 59 Федерального закона об основных гарантиях). Что касается выкупа части тиража газет, то это действие регулируется гражданским правом и реализуется в рамках обычного договора купли-продажи. Покупателем может быть любой гражданин, в том числе кандидат в депутаты. Однако если зарегистрированный кандидат покупает тираж газеты с агитационным материалом для его распространения, то он должен оплатить его исключительно из средств избирательного фонда.
В соответствии с частями 5, 6 и 11 статьи 57, частью 5 статьи 59 Федерального закона о выборах депутатов редакции государственных периодических печатных изданий обязаны предоставлять политическим партиям печатную площадь для проведения предвыборной агитации.
Невыполнение указанными субъектами, за исключением редакций государственных периодических печатных изданий, которые выходят реже одного раза в неделю, требований части 11 статьи 57 Федерального закона о выборах депутатов об опубликовании сведений о размере (в валюте Российской Федерации) и других условиях оплаты печатной площади влечет ответственность согласно статье 5.5 КоАП и не освобождает их от выполнения такой обязанности. [9, c. 68–73]
Участие организаций Интернет-СМИ в информационном обеспечении выборов
В соответствии со статьей 24 Закона о СМИ правила, установленные данным Законом для периодических печатных изданий, применяются в отношении периодического распространения тиражом тысяча и более экземпляров текстов, созданных с помощью компьютеров и (или) хранящихся в их банках и базах данных, а равно в отношении иных средств массовой информации, продукция которых распространяется в виде печатных сообщений, материалов, изображений; правила, установленные данным Законом для радио- и телепрограмм, применяются в отношении периодического распространения массовой информации через системы телетекста, видеотекста и иные телекоммуникационные сети, если законодательством Российской Федерации не установлено иное.
С учетом приведенной нормы в ее взаимосвязи со статьей 2 Закона о СМИ на интернет-ресурсы, зарегистрированные в качестве СМИ, следует распространять требование части 11 статьи 57 Федерального закона о выборах депутатов. Выпускающие такие СМИ лица, в том случае если они желают предоставлять свои интернет-ресурсы политическим партиям для проведения предвыборной агитации, должны исполнить требование указанной нормы Федерального закона о выборах депутатов. На них также распространяются иные нормы, регламентирующие порядок проведения предвыборной агитации через СМИ.
Если интернет-ресурс не зарегистрирован в качестве СМИ, размещение на нем агитационных материалов, по сути, является формой выпуска и распространения аудиовизуальных и иных агитационных материалов, в связи с чем такое размещение должно осуществляться с соблюдением требований статьи 61 Федерального закона о выборах депутатов. Исходя из этих требований:
все агитационные материалы, размещаемые на указанных интернет ресурсах, должны изготавливаться на территории Российской Федерации. Это положение, на наш взгляд имеет важное значение с учетом наличия соблазнительной для заинтересованных субъектов возможности осуществления «агитационной экспансии» с зарубежных интернет-серверов;
все аудиовизуальные агитационные материалы, размещаемые на указанных интернет-ресурсах, должны содержать наименование, юридический адрес и ИНН организации (фамилию, имя, отчество лица и наименование субъекта Российской Федерации, района, города, иного населенного пункта, где находится место его жительства), изготовившей (изготовившего) данные материалы, наименование организации (фамилию, имя, отчество лица), заказавшей (заказавшего) их, а также информацию о дате выпуска этих материалов и указание об оплате их изготовления из средств соответствующего избирательного фонда.
Не требуется, на наш взгляд, информация о тираже, так как для материалов, размещаемых в Интернете, она в данном контексте не имеет смысла;
экземпляры аудиовизуальных агитационных материалов, фотографии (в данном случае, возможно, распечатки, скриншоты) иных агитационных материалов до начала их распространения (в данном случае – до размещения в Сети) должны быть представлены политической партией, выдвинувшей федеральный список кандидатов, в Центральную избирательную комиссию Российской Федерации. Вместе с указанными материалами должны быть также представлены сведения о месте нахождения (об адресе места жительства) организации (лица), изготовившей и заказавшей (изготовившего и заказавшего) эти материалы;
запрещается изготовление агитационных материалов без предварительной оплаты за счет средств соответствующего избирательного фонда и без указания необходимых данных, перечисленных выше;
запрещается распространение агитационных материалов без предварительного их представления в Центральную избирательную комиссию Российской Федерации с указанными выше необходимыми сведениями, а также с нарушением правил использования в агитационных материалах изображений и высказываний физических лиц.
К зарегистрированным в качестве СМИ в установленном порядке интернет-СМИ (периодические печатные издания в Интернете, интернетрадио и интернет-телевидение) с учетом положений статей 2 и 24 Закона о СМИ в их взаимосвязи следует применять требование пункта 2 статьи 49 Федерального закона об основных гарантиях. Агитация в интернет-СМИ должна разрешаться в период, который начинается за 28 дней до дня голосования и прекращается в ноль часов по местному времени за одни сутки до дня голосования. [9, c. 73–75]
Исходя из определений массовой информации, СМИ, закрепленных в статье 2 Закона о СМИ, и положений статьи 24 названного Закона, полагаем, что в отношении редакций зарегистрированных электронных периодических зданий, распространяемых в сети Интернет, перечисленные в вопросе нормы избирательного законодательства применимы в соответствующей части на тех же основаниях, что и в отношении редакций периодических печатных изданий.
С учетом положений статей 2 и 24 Закона о СМИ в их взаимосвязи на журналистов редакции электронного периодического издания, распространяемого в сети Интернет, перечисленные в вопросе нормы избирательного законодательства распространяются на тех же основаниях, что и в отношении журналистов редакций периодических печатных изданий.
В отношении электронных периодических изданий, распространяемых в сети Интернет, действуют с учетом положений статей 2 и 24 Закона о СМИ в их взаимосвязи те же ограничения, которые установлены законодательством для редакций периодических печатных изданий.
В частности, публикация агитационных материалов кандидатов, избирательных объединений не должна сопровождаться редакционными комментариями в какой бы то ни было форме, а также заголовками и иллюстрациями, не согласованными с соответствующим кандидатом, избирательным объединением (пункт 5 статьи 52 Федерального закона об основных гарантиях).
Во всех агитационных материалах должна помещаться информация о том, за счет средств избирательного фонда какого кандидата, избирательного объединения была произведена оплата соответствующей публикации. Ответственность за выполнение этого требования несет в данном случае редакция электронного периодического издания, распространяемого в сети Интернет (пункт 6 статьи 52).
Редакции указанных изданий не должны также допускать к публикации агитационные материалы, содержащие признаки экстремизма. [9, c. 76–77]
2. Ответственность организаций СМИ
Принятый 5 ноября 1999 г. Государственной Думой ФЗ «Об административной ответственности юридических лиц за нарушение законодательства Российской Федерации о выборах и референдумах» (далее — Закон) призван в известной степени оживить российское избирательное законодательство и сориентирован, в частности, на укрепление порядка организации и проведения предвыборной агитации и агитации при проведении референдума. Закон состоит из 25 статей, половина из них отведена на регулирование процессуальных вопросов привлечения к административной ответственности. Конкретные составы административных правонарушений сформулированы в ст. 2–11 Закона, правовой режим СМИ непосредственно затрагивается в ст. 3–5, 11. Закон выступает частью законодательства об административных правонарушениях, однако имеет в этом массиве правового регулирования самостоятельное значение.
Из существующих видов юридической ответственности на юридические лица может распространяться лишь гражданская и административная ответственность. Поэтому основаниями этой инициативы законодателей можно считать нынешнюю не всегда удачную практику гражданско-правового разрешения предвыборных конфликтов, а также необходимость усиления прямого государственного контроля за этим принципиально важным моментом жизни общества. [11, с. 41]
Нормы рассматриваемого Закона, непосредственно касающиеся деятельности СМИ, исходят из положений ст.40.8 КоАП: «Нарушение средством массовой информации, журналистом условий проведения предвыборной агитации, предусмотренных избирательным законодательством (законодательством о референдуме), — влечет наложение на главного редактора, иное ответственное лицо, либо журналиста штрафа в размере от десяти до пятидесяти минимальных размеров оплаты труда».
Положения ст.3 Закона, как следует из ее содержания, в части опубликования информации касаются официальных сообщений, распространяемых, как правило, в печатных СМИ, причем предпочтение в статье именно печатных СМИ объяснить трудно. Так, например, нарушение правил публикации результатов опросов общественного мнения (которые относятся к неофициальной информации) в газете может подпадать под действие этой статьи, а обнародование этой же информации в телепрограмме — нет, что неоправданно ставит разные виды СМИ в неравное положение. [11, c. 42]
Таким образом возможно толкование, что статья распространяется на деятельность, в первую очередь, официальных изданий и на деятельность прочих печатных СМИ, публикующих официальную информацию,— однако, положения ст.3 не распространяются на порядок публикации неофициальных сообщений. Возможен и другой вариант толкования обозначенной статьи, с нашей точки зрения, некорректный, а именно: правила ст.3 распространяются на публикацию любыми печатными СМИ любых сообщений, связанных с подготовкой и проведением выборов. Некорректность последнего толкования заключается в том, что электронным СМИ дается своеобразное разрешение на нарушение норм опубликования соответствующей информации. [11, c. 43] И хотя, например, норма п.5 ст.38 ФЗ «Об основных гарантиях избирательных прав и права на участие в референдуме граждан РФ» должна применяться в отношении к любым видам СМИ, ответственность в ст.3 Закона установлена только для печатных СМИ.
Нарушение условий рекламирования коммерческой деятельности — следующий состав административного правонарушения, установленный в ст.5 Закона. Реклама коммерческой деятельности кандидатов и иных перечисленных в статье лиц приравнивается к агитационным сообщениям, распространяемым при помощи СМИ за плату. СМИ несут ответственность по ст.5 за несоблюдение норм законов о выборах в части нарушения порядка обеспечения требований по участию (неучастию) таких СМИ в проведении предвыборной агитации, по обеспечению равенства кандидатов при заключении договоров на предоставление эфирного времени (печатной площади).
Закон в ст.11 устанавливает ответственность за непредставление возможности обнародовать опровержение или иное разъяснение в защиту чести, достоинства и деловой репутации — в случаях, когда это обязательно. Данная норма ст. 11 непосредственно связана с положениями п.6 ст.45 ФЗ «Об основных гарантиях избирательных прав и права на участие в референдуме граждан РФ». Однако по тексту последнего положения также возможны различные толкования. Для их сравнения приведем п.6 ст.45 ФЗ «Об основных гарантиях избирательных прав и права на участие в референдуме граждан РФ»: «Теле-, радиопрограммы на каналах организаций, осуществляющих теле- и (или) радиовещание, указанных в п. 1 ст. 39 настоящего Федерального закона, и редакции периодических печатных изданий, указанных в п. 1 ст. 39 настоящего Федерального закона, участвуя в избирательных кампаниях, не вправе допускать обнародование (опубликование) информации, способной нанести ущерб чести, достоинству или деловой репутации зарегистрированных кандидатов, если эти теле-, радиопрограммы и периодические печатные издания не могут предоставить зарегистрированному кандидату возможность обнародовать (опубликовать) опровержение или иное разъяснение в защиту его чести, достоинства или деловой репутации до окончания срока предвыборной агитации. Непредоставление зарегистрированному кандидату возможности обнародовать (опубликовать) до окончания срока предвыборной агитации опровержение или иное разъяснение в защиту его чести, достоинства или деловой репутации в теле-, радиопрограммах на каналах организаций, осуществляющих теле- и (или) радиовещание, указанных в п. 1 ст. 39 настоящего Федерального закона, и в периодических печатных изданиях, указанных в п. 1 ст. 39 настоящего Федерального закона, которые обнародовали (опубликовали) информацию, способную нанести ущерб чести, достоинству или деловой репутации зарегистрированного кандидата, может являться основанием для привлечения этих организаций, осуществляющих теле- и (или) радиовещание, и редакций периодических печатных изданий и их должностных лиц к ответственности, установленной законодательством Российской Федерации».
Во-первых, можно охарактеризовать положение о том, что «непредоставление зарегистрированному кандидату возможности обнародовать до окончания срока предвыборной агитации опровержение или иное разъяснение в защиту его чести, достоинства или деловой репутации может явиться основанием привлечения к ответственности» как возложение на соответствующие организации обязанности, поскольку на основании первой части п.6 ст.45 предоставление такой возможности является обязательной, при условии технологической возможности) обнародовать опровержение.
Во-вторых, возможно другое толкование, по которому ст.11 также непосредственно касается второй смысловой части п.6 ст.45 ФЗ «Об основных гарантиях избирательных прав и права на участие в референдуме граждан РФ», однако эта часть не увязывается с первой частью п.6 ст.45, поскольку в ней говорится о принципиально иной обязанности «государственных» СМИ не допускать обнародование информации, наносящей ущерб чести и достоинству, при отсутствии технической (либо организационной) возможности обнародовать опровержение. [10, c. 51–53] Таким образом, непредоставление возможности обнародовать опровержение влечет санкцию без указания на обязанных субъектов, какой является и ст.11 Закона. Иными словами, ст.11 опирающаяся на вторую смысловую часть п.6 ст.45, установлена «на вырост», до тех пор, пока не появится непосредственно и четко прописанная обязанность предоставлять возможность кандидату обнародовать до окончания срока предвыборной агитации свое опровержение. В данном случае важны подходы логического толкования рассматриваемых норм. Действительно, конкретная обязанность не установлена в первой части п.6, однако, она, как представляется, вытекает из смысла этого положения. Закон «Об административной ответственности юридического лица за нарушение законодательства РФ о выборах и референдумах» имел целью решить вполне конкретные проблемы, возникающие во время текущего и предстоящего избирательного процесса. Поэтому ст.11 найдет свое применение в контексте п.6 ст.45.
В целом же рассматриваемый закон предполагает основным признаком субъектов ответственности статус юридического лица. В российской практике утвердилась модель, по которой редакция периодического издания и организация-вещатель регистрируются в качестве юридического лица. Однако из закона «О средствах массовой информации» не следует, что каждое СМИ обязано иметь именно такой правовой статус (ст.19). К такому же выводу мы пришли в предыдущее главе. Вполне допустима ситуация, когда функции редакции СМИ осуществляет общественное объединение, не зарегистрировавшееся как юридическое лицо; редакцией может быть и обычный трудовой коллектив журналистов со своим уставом; также это может быть отдел юридического лица (например, крупного промышленного предприятия), который сам юридическим лицом не является; функции редакции может формально выполнять и физическое лицо. Вещатель также не обязан иметь статус юридического лица. При изложенных обстоятельствах Закон не может применяться к подобным субъектам. Но ради справедливости надо отметить, что это нисколько не избавляет таких субъектов от необходимости соблюдать законодательство о выборах, поскольку есть и другие виды юридической ответственности за нарушения законодательства о выборах, поскольку есть и КоАП, устанавливающий административную ответственность физических лиц.
Федеральный закон «Об административной ответственности юридических лиц за нарушение законодательства Российской Федерации о выборах и референдумах» подходит к перечню составов ответственности весьма выборочно. Четкую систему ответственности в этом законе зафиксировать сложно: различные субъекты ответственности, различные этапы избирательного процесса (хотя большинство составов предусмотрено за деяния, которые относятся к порядку проведения предвыборной агитации), кроме того, есть много других положений законодательства о выборах, оставшихся без подкрепления механизмами ответственности. [11, c. 45]
В период выборов, естественно, продолжают действовать законодательные акты, регулирующие деятельность и ответственность СМИ в обычных условиях. Уместно напомнить о них.
Проведение в регионах выборов ознаменовалось ростом других способов сведения счетов обиженных кандидатов с прессой: посредством судебных исков о защите чести, достоинства и деловой репутации, опороченных опубликованными материалами. Действительные или мнимые нарушения такого рода стали подлинным бедствием для СМИ, угрожая потерей репутации в результате принудительных по решению суда опровержений и финансовыми потерями в результате возмещения пострадавшим убытков и компенсации морального вреда, как это предусматривают ст. 150-152 ГК РФ. В прошедших региональных выборах имели место случаи возбуждения уголовного преследования и даже осуждения работников СМИ в связи с публикациями, порочащими кандидатов на выборную должность. Нужно особенно остерегаться совершения таких уголовно наказуемых деяний, как оскорбление, т.е. унижение чести и достоинства кандидата в неприличной форме (ст. 130 ч. 2 УК РФ), и клевета, т.е. распространение заведомо ложных сведений, порочащих честь, достоинство и деловую репутацию кандидата (ст. 129, ч. 2 УК РФ). В этих случаях штрафом можно и не отделаться: нарушителю грозят также исправительные работы и даже арест и лишение свободы.
В целом, можно сделать вывод о том, что на сегодняшний день отсутствие единого законодательного акта, в котором бы содержались нормы по ответственности СМИ, весьма затрудняет решение возникающих на практике вопросов. Мало того, что не все нарушения могут быть выявлены и квалифицированы, но многие из них остаются безнаказанными, поскольку элементарно отсутствуют нормы, способные их разрешить. Все это требует дополнительных законодательных разработок и уточнений.
Заключение
Рассмотрев все поставленные в начале данной работы вопросы и проделав анализ действующего законодательства, мы можем сделать следующие выводы:
СМИ играют весьма существенную роль в проведении предвыборной агитации, т.к. оказывают влияние на формирование общественного мнения и, зачастую, являются единственным источником (по крайней мере, основным) информации по выборам.
Несмотря на то, что законодателем, казалось бы, предусмотрен достаточно обширный перечень форм предвыборной агитации в СМИ, существует ряд недостатков, например, весьма поверхностно, если не сказать большего, регулируется роль Интернета, хотя его значение при проведении предвыборной агитации велико.
Из-за большого количества неточностей и двусмысленностей, содержащихся в действующем законодательстве, на практике возникает много спорных ситуаций, решение которых очень затруднительно. Поэтому имеют место нарушения ведения предвыборной агитации при отсутствии у субъектов вины или умысла.
Как бы то ни было, выборы и СМИ всегда будут неразлучны. Участники выборов всегда будут и враждовать со СМИ и в тоже время сотрудничать. Одним СМИ они будут пытаться перекрыть доступ к информации и аудитории, другим, как бы это дорого не было, будут платить за политическую рекламу (Приложение 3). Это будет всегда, если пользоваться математическим языком, то это аксиома.
Делая реферат, читая и обрабатывая информацию, я все больше и больше уверялся в том, что пока нашим СМИ недостает профессионализма в своей деятельности, это в наш то век, который считается информационным. Пока почти нет тех профессиональных журналистов, которые могут в корне поменять ситуацию. А если появляется настоящий профессионал, то СМИ, где он работает, становиться гораздо полезней для аудитории и для участников выборов, которые уважают Закон.
Необходимо максимально продвинуть закон в том направлении, чтобы, с одной стороны, поставить заслон «черному пиару», а с другой - предоставить СМИ возможность действовать свободно, без оглядки на избирательные комиссии. Но судя по-нынешнему законодательству нам до этого довольно далеко (хорошо если я ошибаюсь). Акцентирую внимание, что речь о СМИ, выполняющих свои социальные функции, а не о деятельности журналистов-пиарщиков. Это люди, отличающиеся по целям, которые они преследуют в предвыборной кампании. Одни хотят заработать денег, пиарщики, другие делают ту работу, которая им нравится, они-то и дают нам возможность сделать правильный выбор.
Функция журналиста - информировать других не менее умных, просто занятых в данный момент времени другими делами, людей по актуальным вопросам действительности. И не больше.
Формула идеальных выборов так же проста, как и сложна: кандидаты, уважающие Закон + независимые СМИ = Демократические выборы.
Очень скудно в законе регламентируется ответственность СМИ за нарушения, допускаемые ими в ходе осуществления предвыборной агитации.
Все перечисленное говорит о том, что в настоящий момент деятельность СМИ в предвыборной агитации определена законодателем весьма поверхностно, имеет много недостатков и требует дополнительного регулирования.
СПИСОК ИСПОЛЬЗОВАННОЙ ЛИТЕРАТУРЫ
Конституция Российской Федерации;
Федеральный закон от 12 июня 2002 года №67-ФЗ «Об основных гарантиях избирательных прав и права на участие в референдуме граждан Российской Федерации» (Федеральный закон об основных гарантиях);
Положения Федерального закона от 18 мая 2005 года № 51-ФЗ «О выборах депутатов Государственной Думы Федерального Собрания Российской Федерации» (Федеральный закон о выборах депутатов) или Федерального закона от 10 января 2003 года №19-ФЗ «О выборах Президента Российской Федерации» (Федеральный закон о выборах Президента) соответственно;
Закон Российской Федерации от 27 декабря 1991 года №2124-1 «О средствах массовой информации» Закон о (СМИ);
Уголовный кодекс Российской Федерации;
Кодекс Российской Федерации об административных правонарушениях (КоАП);
Гражданский кодекс Российской Федерации, Гражданский процессуальный кодекс Российской Федерации;
Глисков А.А., Н.Д., Прокопорский Г.М., «СМИ и Выборы». – М., ТЕИС, 1999
М.В. Гришина, А.Г. Головин. Средства массовой информации и выборы: вопросы и ответы.– Центризберком, Москва 2007;
Черотайкин Б.Е. СМИ и выборы (юридические рекомендации);
Шевердяев С. Усиление ответственности СМИ за нарушение правил проведения предвыборной агитации. Законодательство и практика СМИ. 1999. №12(64);
www.izbirkom.ru
www.cikrf.ru
www.egd.ru
Приложение 1
Предвыборная агитация на телевидении и радио

ПРИЛОЖЕНИЕ 2
Предвыборная агитация в периодических печатных изданиях

Приложение 3
Расценки на политическую рекламу в газете “Аргументы и Факты-Урал” по выборам мэра г. Екатеринбурга, назначенным на 7 декабря 2003 года.
|
Модуль |
Доля полосы |
Площадь в кв.см |
Цена, $ |
|
1 |
1/48 |
15,2 |
3290 |
|
2 |
1/24 |
32,3 |
6070 |
|
3 |
1/16 |
49,0 |
8855 |
|
4 |
1/12 |
68,0 |
11600 |
|
6 |
1/8 |
103,7 |
15685 |
|
8 |
1/6 |
139,4 |
18975 |
|
9 |
1/6 |
157,3 |
21500 |
|
10 |
1/5 |
174,2 |
24035 |
|
12 |
1/4 |
211,5 |
30870 |
|
14 |
1/4 |
244,0 |
36430 |
|
15 |
1/4 |
264,4 |
39215 |
|
16 |
1/3 |
280,0 |
42000 |
|
18 |
1/3 |
317,2 |
46046 |
|
20 |
1/3 |
355,8 |
51610 |
|
21 |
1/3 |
372,1 |
54395 |
|
24 |
1/2 |
428,0 |
60215 |
|
48 |
1 полоса |
864,5 |
99800 |