Реакция Абрамова
Реакция Абрамова
Абрамова
реакция,
гидроксиалкилирование
органических гидрофосфорильных
соединений (в т.ч. тиогидро- и
иминогидрофосфорильных) альдегидами
и кетонами в присут. оснований (напр.,
алкоголятов или аминов) или к-т:

где X, Y-обычно R"O, R", R''2N, Н, ОН; R и R"-opг. радикалы; R'-opг. радикал или Н.
Абрамова
реакция осуществляется по механизму
нуклеоф. присоединения. При использовании
фосфинистых к-т процесс протекает
автокаталитически. Легкость протекания
р-ции определяется электрофильностью
карбонильного соед.; напр., хлораль
реагирует с диалкилфосфитами энергично
и с саморазогреванием, альдегиды и
кетоны, не содержащие в
положении
к карбонильной группе электроноакцепторных
заместителей,-медленно. При нагревании
в присут. к-т продукты р-ции часто
распадаются до исходных в-в, а в присут.
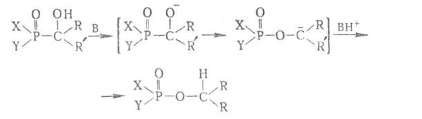
оснований (В) претерпевают внутримолекулярную
изомеризацию:

Важная
модификация Абрамова реакции - взаимод.
альдегидов и кетонов с силилфосфитами
или силилфосфонитами:

Родственный
Абрамова реакции процесс-присоединение
к альдегидам и кетонам фосфористой или
фосфорноватистой к-ты, приводящее
к
гидроксифосфоновым,
фосфонистым
или
фосфиновым к-там.
Абрамова реакцию применяют в пром-сти, напр. для синтеза хлорофоса из диметилфосфита и хлораля.
Р-ция открыта А. Е. Арбузовым и М. М. Азоновским в 1947 на примере взаимод. диэтилацетофосфоната с диэтилфосфитом Na, позднее подробно изучалась В. С. Абрамовым.
Список литературы
Абрамов B.C., в кн.: Химия и применение фосфорорганических соединений, М., 1957, с. 218-22;
Пудовик А.Н. [и др.], в кн.: Реакция и методы исследования органических соединений, кн. 19, М., 1968, с. 45-59;
Thiem J. [u.a.], "Chemische Berichte", 1977, Bd 110, № 9, S. 3190-3200;
Wroblewski A., Konieczko W,. "Monatshefte fur Chemie", 1984, Bd 115, № 6/7, S. 785-91.
Для подготовки данной работы были использованы материалы с сайта http://www.xumuk.ru/