Реакция Габриеля
Реакция Габриеля
Синтез
первичных аминов алкилированием
фталимида К алкилгалогенидами с
последующим расщеплением образующегося
N-замещенного фталимида:

Для
получения алкилфталимидов без р-рителя
или в неполярных р-рителях требуется
длит. нагревание при 100-200 °С. Применение
полярных р-рителей (ацетонитрила,
ацетона, ДМФА, ДМСО и др.) позволяет
снизить т-ру р-ции (вплоть до комнатной)
и использовать вместо фталимида К имид
в присут. К2СО3 или Na2COj. Активность
алкилгалогенидов падает в ряду: RI >
RBr > RС1
RF.
При получении низших жирных аминов
замена алкилгалогенидов тозилатами
(эфирами и-толуолсульфокислоты) часто
дает лучшие выходы. Вместо фталимида
иногда используют сукцинимид. N -
Алкилфталимиды расщепляются нагреванием
со щелочами, к-тами или лучше всего с
гидразингидратом (особенно в синтезе
аминов, содержащих чувствительные к
гидролизу группировки):

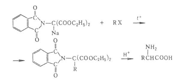
Вариант
Г. р. - получение
аминокислот
алкилированием Na-производного
фталимидомалонового эфира алкилгалогенидами
с послед. гидролизом (наз. также Сёренсена
р-цией), напр.:

Г. р. позволяет получать первичные амины без примеси вторичных или третичных. Р-цию широко применяют для синтеза алифатич. и жирноароматич. аминов, аминоалкил-галогенидов, аминоспиртов, аминотиолов, диаминов, аминонитрилов, аминоальдегидов и др. Р-цию наблюдали впервые в 1884 К. Грабе и А. Пикте, с 1887 она подробно изучалась 3. Габриелем.
Список литературы
Вейганд К., Хилыстаг Г., Методы эксперимента в органической химии, пер. с нем.. М., 1968, с. 413
Gibson M.S., Bradshaw R. W., "Angew. Chem.", 1968, Jahr&80, H. 23, S. 986-96.
Для подготовки данной работы были использованы материалы с сайта http://www.xumuk.ru/