Каучук и резина и их промышленное получение
содержание
|
Введение..................................................... |
||
|
Глава 1. |
Каучуки............................................ |
|
|
1.1. |
Природный каучук................................... |
|
|
1.2. |
Синтетический каучук............................... |
|
|
Глава 2. |
Резины и их промышленное получение................. |
|
|
2.1. |
Ингредиенты резиновых смесей....................... |
|
|
2.2. |
Изготовление резиновых изделий..................... |
|
|
Глава 3. |
Кремнийорганические высокомолекулярные соединения и их области получения............................... |
|
|
3.1. |
Стеклопласты....................................... |
|
|
3.2. |
Стеклотекстолиты................................... |
|
|
3.3. |
Стекловолокниты.................................... |
|
|
3.4. |
СВАМ............................................... |
|
|
Заключение................................................... |
||
|
Список литературы............................................ |
||
введение
Ученые добились успеха и сегодня более одной трети резины, производимой в мире, изготовляется из синтетического каучука. Каучук и резина внести огромный вклад в технический прогресс последнего столетия. Вспомним хотя бы о минах и разнообразных изоляционных материалах, и нам станет ясна роль каучука в важнейших отраслях хозяйства. Каучук делает нашу жизнь удобнее.
Но вряд ли найдется другое природное сырье, добыча которого так была связана с кровью, произволом и безграничной колониальной эксплуатацией. Сотни тысяч негров и индейцев погибли от болезней и непосильного труда на плантациях белых колонизаторов. Их насмерть забивали бесчеловечные надсмотрщики – Европа и Америка все настоятельнее требовали каучука, и бесправные рабы-туземцы вынуждены были добывать его.
Когда испанские конквистадоры в XVI веке высадились в Южной Америке, их внимание привлекли мячи, которыми индейцы пользовались в спортивных играх. Эти мячи были сделаны из неизвестного в Испании упругого и пластичного вещества, получаемого индейцами из сока каких-то деревьев. Индейцы находили ему и другое применение. Изготавливали из него водонепроницаемую обувь или обрабатывали им ткань, чтобы сделать ее непромокаемой. Слухи о странном веществе достигли Испании. Вначале это показалось интересным, но вскоре о диковинных игрушках просто забыли. И суда отправились в опасные путешествия на за ними, а за золотом. Когда гораздо позже французский ученый Шарль де ля Кондамин напомнил об этом веществе, его сообщение восприняли как занятный курьез. Однако этим деревом, которое росло в огромных девственных лесах Амазонки, в последующие годы продолжали интересоваться и наблюдали, как местные жители добывали его сок – каучук. Каучуки – это эластичные материалы, из которых методом вулканизации (нагреванием с серой) получают резину. Из каучуков изготавливают покрышки и камеры для колес самолетов, автомобилей и велосипедов. Они применяются для электроизоляции, производства промышленных товаров и медицинских приборов.
Глава 1. Каучуки
1.1. Природный каучук
Натуральный (природный) каучук – это высоко-молекулярный непредельный углеводород элементарного состава (С>5>Н>8>)n, его относительная молекулярная масса колеблется в пределах 150000-500000. Рурирование каучука приводит к предельному углеводороду состава (С>5>Н>10>)n, озонирование – к озониду (С>5>Н>8>О>3>)n. Из продуктов сухой перегонки каучука (М.Фарадей) был выделен изопрен:
nН>2> nО>3>
(С>5>Н>10>)n ← (С>5>Н>8>)n → (С>5>Н>8>О>3>)n
↓t0
СН>2>=С-СН=СН>2>
|
СН>3> изопрен
Р.Штаудингером (1931 г.) была предложена гипотеза об изопренаизном строении каучука, содержащего цепочки последовательно соединенных остатков изопрена. Тщательно выполненное озонирование подтвердило предположение Р.Штаудингера – продукты озонирования на 95% состоят из левулинового альдегида:
...-СН>2>-С=СН-СН>2>-СН>2>-С=СН-СН>2>-СН>2>-С=СН-СН>2>-...
| | |
СН>3> СН>3> СН>3>
Натуральный каучук
↓nО>3>
О – О О – О О - О
| | | | | |
...-СН>2>-С СН-СН>2>-СН>2>-С СН-СН>2>-СН>2>-С СН-СН>2>-...
| О | О | 0
СН>3> СН>3> СН>3>
Озонид натурального каучука
-nН>2>О>2> ↓ nН>2>О
О О О О О О
║ ║ ║ ║ ║ ║
...-СН>2>-С + СН-СН>2>-СН>2>-С + СН-СН>2>-СН>2>-С + СН-СН>2>-...
| | |
СН>3> СН>3> СН>3>
Левуниловый альдегид

Методом рентгеноструктурного анализа установлено цис-1,4-строение изопреноидной цепи, при котором метиленовые СН>2>-группы расположены по одну сторону от двойной связи:

Макромолекула каучука имеет спиральное строение с периодом идентичности 0,913 нм и содержит более 1000 изопреновых остатков. Строение макромолекулы каучука обеспечивает его высокую эластичность – наиболее важное техническое свойство. Каучук обладает поразительной способностью обратимо растягиваться до 900% первоначальной длины.
Разновидностью каучука является менее эластичная гуттаперча, или балата, - сок некоторых каучуконосных растений, произрастающих в Индии и на Малайском полуострове. В отличие от каучука молекула гуттаперчи короче и имеет транс-1,4-строение с периодом идентичности 0,504 нм.
Выдающееся техническое значение натурального каучука, отсутствие в ряде стран, в том числе в Советском Союзе, экономически рентабельных источников, стремление располагать материалами, превосходящими по ряду свойств (масло-, морозостойкость, прочность к стиранию) натуральный каучук, стимулировали исследования по получению синтетического каучука. [6]
1.2. Синтетический каучук
Синтетический каучук в промышленном масштабе впервые получен в 1931 году в СССР по способу С.В.Лебедева. На полузаводской установке было получено 260 кг синтетического каучука из дивинила, а в 1932 году впервые в мире осуществлен его промышленный синтез. В Германии каучук был синтезирован в 1936-1937 годах, а в США – в 1942 году.
Сырьем для получения синтетического каучука по способу Лебедева служит этиловый спирт. Теперь разработано получение бутадиена из бутана через каталитическое дегидрирование последнего.
Мономерами для синтетического каучука служат преимущественно сопряженные диеновые углеводороды: дивинил, изопрен, хлоропрен, полимеризующиеся по радикальному или ионному механизму. Для улучшения технических свойств каучука диены часто полимеризуют совместно с мономерами, содержащими активный винильный остаток (например, с акрилонитратом, со стиролом):

Подобный процесс, получивший название сополимеризации, имеет широкое промышленное применение.
Дивинил (1,3-бутадиен) – важнейший мономер для синтетического каучука – может быть полимеризован по радикальному или ионному механизму. В первом промышленном синтезе каучука инициатором полимеризации был металлический натрий, на поверхности которого происходила адсорбция и поляризация 1,3-бутадиена; механизм этой реакции анионный:
nСН>2>=СН-СН=СН>2>
↓Na
...- СН>2>=СН-СН=СН>2>- [-СН>2>=СН-СН=СН>2>-]m -СН>2>=СН-СН=СН>2>
Изопрен в присутствии металлоорганических комплексов легко превращается в синтетический каучук, физико-механические свойства которого подобны свойствам натурального.
Сополимерные каучуки имеют наибольшее техническое применение. К ним относятся бутадиен-стирольный каучук, получаемый сополимеризацией 1,3-бутадиена и стирола, он является лучшей маркой синтетического каучука для автомобильных покрышек.
Строение бутадиен-стирольного сополимера не выяснено, предполагаемую структуру отдельных звеньев можно изобразить следующей схемой:
nСН>2>=СН-СН=СН>2> + mСН>2>=СН-С>6>Н>5>
1,3-бутадиен стирол
...-СН>2>-СН=СН-(СН>2>)>2>-СН-СН>2>-СН=СН-(СН>2>)>2>-СН=СН-СН>2>-...
|
С>6>Н>5>
или
...-СН>2>-СН=СН-(СН>2>)>2>-СН-СН>2>-СН=СН-(СН>2>)>2>-СН-...
| |
С>6>Н>5 > С>6>Н>5>
Бутадиен-нитрильный каучук – сополимер 1,3-бутадиена и акрилонитрила – обладает вязкостью натурального каучука, однако превышает его по устойчивости к стиранию, масло- и бензиностойкости.
Бутилкаучук – сополимер изобутилена и 1,3-бутадиена, вводимого для придания каучуку способности к вулканизации, получается низкотемпературной ионной полимеризацией в присутствии фторида бора (III). Он обладает высокой химической стойкостью и газонепроницаемостью, является хорошим изолятором для проводов и кабелей. Предполагаемая структура сополимера:
СН>3> СН>3> СН>3>
| | |
nСН>2>=С + mСН>2>=СН-СН=СН>2> → ...-СН>2>-С-СН>2>=СН-СН>2>-С-...
| | |
СН>3> СН>3> СН>3>
Изобутилен
Сопряженные диеновые углеводороды при ионной полимеризации в зависимости от характера катализатора образуют различно построенные полимерные цепи. Различают два типа цепеобразования: цис-1,4, транс-1,4 и цис-1,2. Полимеризация изопрена в присутствии триалкилалюминия и хлорида титана (IV) приводит у цис-1,4-полимеру, в котором цис-построеные остатки диена связаны друг с другом в положении 1,4:

При полимеризации смешанным гидридом алюминия и щелочного металла в присутствии хлорида титана (IV) преобладает полимер транс-1,4-строения, в котором остатки транс-диена связаны в положении 1,4:

Диены с неконцевыми двойными связями полимеризуются с трудом, так как пространственные предприятия затрудняют их адсорбцию на активных центрах катализатора.
Один из видов синтетического каучука получают из ацетилена. При полимеризации ацетилена образуется винилацетилен СН≡С-СН=СН>2>. Винилацетилен присоединяет молекулу хлористого водорода, при этом получается 2-хлорбутадиен-1,3 (хлоропрен):
Cl
|
СН≡С-СН=СН>2> + НCl → СН>2>=С-СН=СН>2>
Хлоропрен – бесцветная жидкость, кипящая при 590С. Он самопроизвольно весьма легко полимеризуется, образуя сначала пластическую массу, сходную с невулканизированным каучуком, а в дальнейшем – твердый продукт (вулканизация без серы):
СН>2>=СН-ССl=СН>2> + СН>2>=СН-ССl=СН>2> + СН>2>=СН-ССl=СН>2> +...→
: : :
→ ...СН>2>-СН=ССl-СН>2>-СН>2>-СН=ССl-СН>2>- ... –СН>2>-СН=ССl-СН>2>-...
: : :
Такое строение доказывается тем, что при окислении этого вида синтетического каучука образуется янтарная кислота, формула которой СООН-СН>2>-СН>2>-СООН. Места разрыва углеродной цепи показаны на схеме пунктиром.
Хлоропреновый каучук благодаря своей негорючести, термостойкости, светостойкости, а также устойчивости к воздействию масел находит широкое применение в производстве резино-технических изделий.
Каучуки на основе кремнийорганических соединений отличаются сохранением эластических свойств как при низких, так и при высоких температурах; каучуки на основе фторорганических соединений сочетают высокую термостойкость с почти абсолютной химической устойчивостью; каучуки, полученные сополимеризацией дивинила с акрилонитрилом, хорошо выдерживают действие бензина и других нефтепродуктов. [3]
Натуральный и синтетический каучуки не могут быть непосредственно использованы для химических целей вследствие термической нестойкости, непрочности к стиранию и способности к набуханию и растворению в органических растворителях.
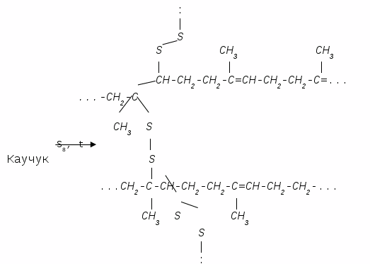
Важнейшим процессом превращения каучука в технический продукт – резину – является вулканизация, в результате которой происходит резкое изменение физико-механических свойств каучуков: повышается термостойкость, механическая прочность, устойчивость к действию растворителей и т.д.
В 1939 году два американца Гудвир и Хейвардс после многолетних и упорных опытов обнаружили, что при обработке сырого каучука серой происходит его вулканизация. После такой обработки каучук теряет вязкость, становится гораздо эластичнее и сохраняет эту эластичность в широком температурном интервале.
Сущность вулканизации заключается в образовании новых поперечных связей между полимерными цепями. При вулканизации серой мостики образуют дисульфидные группы, а при радикальной вулканизации появляются поперечные связи между полимерными цепями:
СН>3>
|
...-СН>2>-С-СН>2>-СН>2>-
|
S
|
S
|
...-СН>2>-С-СН>2>-СН>2>-
|
СН>3>
СН>3>
|
...-СН>2>-С-СН>2>-СН>2>-
|
...-СН>2>-С-СН>2>-СН>2>-
| |
СН>3> :
Для получения резиновых изделий сначала формуют изделия из смеси каучука с серой, а также так называемыми наполнителями – сажей, мелом, глиной и некоторыми органическими соединениями, которые служат ускорителями вулканизации. Затем изделия подвергаются нагреванию – горячей вулканизации.
При холодной вулканизации, которая применяется для тонких и мелких изделий (прорезиненные ткани, тонкие трубки и т.д.), их непродолжительное время обрабатывают раствором серы в сероуглероде или в хлористой сере. Каучук с большим содержанием серы (до 32%) представляет собой твердое неэластичное вещество и называется эбонитом; применяется он как изолятор в электроприборах.
В результате вулканизации сера химически связывается с каучуком. Кроме того, в вулканизированном каучуке содержится в виде мельчайших частиц и свободная сера.
Теперь открылись новые области применения каучука. Резину, полученную из него, начали применять в качестве амортизаторов на автомашинах и мотоциклах. Позднее такие амортизаторы превратились в современные шины и камеры.
Бурное развитие электротехники сделало резину необходимым изоляционным материалом для электрических проводов и кабелей. Каучук очень подходил для этой цели, так как не проводил тока, а его эластичность делала провода с изоляцией гибкими.
В Германии в 1935 году началось производство синтетического каучука в больших количествах. Во вращающиеся горизонтально расположенные автоклавы накачивают бутадиен и при охлаждении прибавляют регулятор полимеризации – диоксан и ускоритель – металлический натрий. От слов бутадиен и натрий образовано название «буна». В зависимости от степени полимеризации получают буна-85 или буна-115. Если этот буна-каучук с высоким молекулярным весом подвергнуть вулканизации, получается резина, которая имеет высокую прочность на истирание, теплостойка и не стареет, однако обладает низкой эластичностью и невысокой прочностью на разрыв и растяжение. Лишь твердая резина, изготовленная из буна-85, в некоторой степени удовлетворяла необходимым требованиям.
Открытие Гудвира и Хейворда, которые в 1840 году обнаружили, что каучук-сырец, смешанный при нагревании с серой, превращается в эластичную массу, создало основу для широкого применения каучука. Ведь только при вулканизации каучук-сырец теряет свою клейкость, приобретает прочность и эластичность – становится резиной с ее ценными качествами. В зависимости от содержания серы и состава наполнителей, добавляемых при вулканизации, получают различные сорта резины, отвечающие любым требованиям.
Небольшое количество серы при вулканизации превращает пластический каучук в эластичную резину. Уже при введении 0,15% серы каучук меняет свойства. Вообще же количество вводимой при вулканизации серы колеблется от 2 до 5%. [7]
Глава 2. Резины и их промышленное получение
Резину изготавливают с помощью вулканизации. Вулканизация – это название смеси каучука с небольшим количеством серы и наполнителем, предварительно сформированной в виде будущего изделия.
Каучук применяется для изготовления резины. Для этого составляют так называемую резиновую смесь, в которую кроме каучука вводят еще целый ряд ингредиентов, каждый из которых имеет определенное название. Первый из них является вулканизирующим агентом (чаще всего мера). В результате вулканизации каучук превращается в прочную, эластичную, упругую массу – резину.
В результате вулканизации молекулы каучука «сливаются» между собой дисульфидными мостиками в одну трехмерную макромолекулу, и образуется пространственный полимер – резина:

Каучуки, вулканизированные только в смеси с вулканизирующими агентами, не обладают необходимыми для различных целей жесткостью, сопротивлением растяжению, истиранию и разрыву. Эти свойства можно придать каучуку, добавляя в резиновую смесь так называемые наполнители.
С целью предупреждения «старения» каучука, т.е. потери каучуком эластичности и других ценных свойств, в резиновую смесь вводят различные стабилизаторы – антиокислители (например, фенил-в-нафтиламин). Чтобы ускорить процесс вулканизации, в резиновую смесь вводят небольшие количества органических соединений, которые называют ускорителями (меркаптобензтиазол, дифенилгуанидин и др.). Оказалось, что наиболее эффективного использования ускорителей вулканизации необходимо присутствие некоторых других химических веществ (обычно смесей металлов), наиболее эффективно в присутствии растворимых в каучуке мыл (солей жирных кислот), которые могут образоваться в процессе вулканизации.
2.1. Ингредиенты резиновых смесей
Для получения высококачественной резины, которую можно переработать в различные изделия, в каучук необходимо добавить ряд примесей.
Большую роль среди них играют так называемые ускорители вулканизации – органические соединения, содержащие серу или азот. Они значительно сокращают время и снижают температуру процесса, а иногда позволяют проводить его вообще без нагревания (холодная вулканизация). Благодаря этим добавкам можно уменьшить количество вводимой серы.
Очень важны также противостарители, которые уменьшают влияние кислорода воздуха на резину. С течением времени кислород присоединяется к оставшимся в молекулах резины двойным связям и усиливает тем самым образование сетчатых молекул, при этом резина теряет свои характерные качества и становится твердой и ломкой. Противостарители – это антиокислители.
Еще на заре применения каучука-сырца, когда он был довольно дорог, предприимчивые фабриканты нашли дешевый способ увеличить его количество. В каучук-сырец стали добавлять наполнители – сажу, мел, окись цинка и т.д. Каково же было удивление, когда оказалось, что обработанный таким образом каучук не только увеличивается в весе, но и в ряде случаев, приобретал лучшие свойства – увеличивалось сопротивление разрыву и растяжению, твердость. Вскоре стали различать две группы наполнителей:
активные наполнители, которые улучшают качество каучука. К ним среди прочих относятся активная газовая сажа, окись цинка и каолин;
инертные наполнители, которые лишь увеличивают вес продукта, например, сажа, мел и тяжелый шпат.
Наиболее активным наполнителем оказалась поверхностноактивная газовая сажа, которая может быть получена сжиганием газа при недостатке кислорода. Сегодня нет ни одного сорта резины, который не содержал бы различных примесей и наполнителей. Правильный выбор и соответствующее соотношение количества этих примесей определяют качество резины. В этой области, несомненно, предстоит еще интересные и важные открытия.
Примеси и наполнители могут составлять значительную часть общего веса, а нередко вообще превышают вес самого каучука. Как многообразны и сложны могут быть примеси, добавляемые в каучук-сырец, видно на примере резины для автомобильных шин.
Смешение каучука с ингредиентами проводится в специальных аппаратах – резиносмесителях, в которых каучук перетирается вместе с ингредиентами. Вулканизирующий агент вводится в резиновую смесь в последний момент приготовления резиновой смеси во избежание преждевременной вулканизации.
Готовую резиновую смесь, состоящую из каучука, вулканизирующего агента, ускорителя вулканизации, активатора, наполнителей, стабилизатора и т.п., направляют на завершающий процесс резинового производства – вулканизацию. Вулканизацию проводят или после формования из резиновой смеси соответствующих изделий (труб, рукавов, листов и других), или одновременно с процессом формования изделий. Вулканизация протекает при нагревании.
Чтобы повысить эксплуатационные качества некоторых видов резиновых изделий, например, шин, транспортных шин, приводных ремней и т.п., в конструкцию таких изделий вводят корд-безуточную ткань из крученой пряжи, служащую тканевой основой изделий (их каркасом).
Ингредиенты резиновых смесей: главное – это каучук; ускорители процесса вулканизации (дифенилгуанидин, дитио-бис-бензтиазол (альтакс), тетраметилтиурамдисульфид (тиурам), маркаптобензотиавзол (каптакс); мягчители (дибутилфталат, жирные кислоты, вазелин, сосновая смола, рубракс, парафин); противостарители (фенолы, воск, фенил-в-нафтиламин); активные наполнители (сажа, двуокись кремния, цинковые белила, каолин); красители. Ингредиенты улучшают технологические свойства резиновых смесей и повышают качество получаемых изделий. [2]
2.2. Изготовление резиновых изделий
Производство резиновых изделий состоит из трех основных стадий: приготовления сырой резиновой смеси, формования изделия и его вулканизации.
Приготовление сырых резиновых смесей включает операции:
подготовка каучука и ингредиентов (развеска, дозировка, прорезинивание тканей, раскрой, получение заготовок и т.п.);
приготовление сырой резиновой смеси (смешение);
листование полученных смесей. [2]
Глава 3. Кремнийорганические
высокомолекулярные соединения и их
области получения
Кремний, как и углерод, находится в IV группе периодической системы и по типу простейших соединений является аналогом последнего.
Исследователей давно привлекала перспектива получения полимерных соединений, сочетающих теплостойкость хрупкого кварца и пластичность неустойчивых к нагреванию полиакрилатов или полистиролов.
Открытие К.А.Андриановым в 1937 году способности алкил- и арилалксисиланов при гидролизе превращаться в полимерные кремнийорганические соединения привело к получению принципиально новых соединений, имеющих весьма отдаленную аналогию с природными полимерами.
Большая перспективность использования органических соединений кремния в технике была отмечена еще в 1923 году Б.А. Долговым.
Изменяя строение кремнийорганических полимеров и варьируя в них соотношение кремния, кислорода и углерода, удалось получить продукты с разнообразными свойствами. По строению полимерных цепей различают несколько типов кремнийорганических полимеров.
| | | |
...-Si-Si-Si-Si-...
| | | |
Полиорганосиланы
| | |
...-Si-(С)n-Si-(С)n-Si-...
| | |
Полиорганокарбосиланы
| |
...-Si-О-(С)n-О-Si-О-(С)n-О-...
| |
Полиорганокарбоксилоксаны
| | |
...-Si-О-Si-О-Si-...
| | |
Полиорганосилоксаны
Осуществлены синтезы кремнийорганических полимеров с циклосетчатой заданной структурой, обладающей высокими диэлектрическими показателями:
| | |
...-О-Si-(OSi)2n-O-Si-O-
| | |
О О
| |
(-Si-)2n (-Si-)2n
| |
О О
| | |
...-О-Si-(OSi)2n-O-Si-O-
| | |
Термин «органо» означает, что кремний в полимерной цепи свободными валентностями связан с органическими остатками. Наибольшее практическое применение получили силоксановые высокомолекулярные соединения.
Помимо строения полимерной цепи, кремнийорганические полимеры отличаются остатками, связанными с атомами кремния, образующими полимерную цепь. Обычно это алкильные (арильные) радикалы, реже алкоксильные группы.
Кремневодороды – силаны – очень неустойчивые соединения, самовозгорающиеся на воздухе.
Первые члены ряда силанов – газы или легкокипящие жидкости: силан SiH>4> (температура кипения –1120С), дисилан Si>2>H>6> (температура кипения –150С), трисилан Si>3>H>8> (температура кипения +530С).
Так же мало устойчивы и очень реакционноспособны хлорпроизводные силанов: хлорсилан SiH>3>Cl, трихлорсилан SiHCl>3> (силанохлороформ), четыреххлористый кремний SiCl>4>. Все эти вещества энергично гидролизуются с водой. Так, с цинк- и магнийорганическими соединениями они дают кремнийорганические соединения – алкилсиланы:

Практически вместо магнийгалоизоорганических соединений применяют галоидный алкил и магний:

Более устойчивыми являются алкилсиланы, в которых нет атомов водорода при кремнии, - тетраалкилсиланы.
Получение кремнийорганических полимеров.
Полимеры часто получают двумя способами: поликонденсации и ступенчатой полимеризации.
П
олиорганосилоксаны
обладают ценными физико-химическими
свойствами и нашли большое техническое
применение. Способ их получения
заключается в гидролизе мономерных
кремнийорганических соединений,
содержащих способные к гидролизу группы.
Наибольшее значение имеют хлор- и
алкоксиметилсиланы. При гидролизе водой
в присутствии щелочных или кислых
катализаторов сначала образуются
силанолы, которые затем поликонденсируются
с образованием полисилоксановых
полимеров:
В зависимости от относительной молекулярной массы полисилоксаны представляют собой подвижные или вязкие жидкости или эластичные твердые вещества.
Высокая прочность связи -Si-O- делает ее устойчивой к воздействию теплоты и окислителей. Большая разница в электроотрицательности кремния и углерода придает подвижность –органическим радикалам и определяет повышенную гибкость полисилоксановых цепей. Вследствие этого полисилоксановые цепи имеют спиральное строение, при котором компенсируется полярность связи -Si-O-, а сами цепи оказываются окруженными нейтральными углеводородными радикалами (рис.1). Подобное строение полисилоксановых полимеров объясняет их специфические свойства: термостабильность, хорошие диэлектрические свойства, незначительные силы межмолекулярного сцепления, резко отличающие их от углеродных полимеров.

Рис.1. Строение полисилоксановых полимеров
Кремнийорганические соединения получили разнообразное техническое применение. Они придают материалам гидрофобность (стеклу, керамике, бетону, текстилю), образуют на поверхности самых различных материалов пленки, отталкивающие воду. Так, диметилдихлорсилан, адсорбированный на поверхности керамического материала, при гидролизе водой образует пленку толщиной 1,9-10-5 см, состоящую примерно из 300 молекул. Причина гидрофобности заключается в ориентации молекул кремнийорганического полимера: углеводородные радикалы направлены наружу, а кислород – в сторону гидрофильной поверхности.
Гидрофобизация стекла (обычно метилхлорсиланами) повышает точность и воспроизводимость результатов при работе и лабораторной посудой и уменьшает обледенение стекол самолетов и автомашин.
Гидрофобизация строительных материалов (бетона, известняка, кирпича) предохраняет их от преждевременного разрушения под влиянием атмосферных условий, а в некоторых случаях является непременным условием их применения (гипс, гипсосилановый бетон). Хорошие результаты дают водные растворы алкилсиликонатов натрия.
Текстильные материалы после гидрофобизации не смачиваются и не пропускают воду, однако сохраняют проницательность для воздуха и водяных паров. Влагопоглощение понижается примерно в 20 раз при расходе 1,5-2,5% кремнийорганического соединения от массы текстиля.
Кренийорганические теплоносители (мономерные и полимерные эфиры кремниевой кислоты) термоустойчивы, не коррозируют большинство материалов, почти негорючи и поэтому с успехом заменяют такие распространенные теплоносители, как воду, водяной пар, топочные газы.
Силиконовые жидкости (полимерные метилсилоксаны, метилдифенилсилоксаны) вследствие малой зависимости вязкости от температуры успешно применяются в качестве гидравлических масел. В пределах от +500С до –700С минеральные масла изменяют вязкость в 400 раз, а метилсилоксаны – в 29 раз.
Полиметилфенилсилоксаны образуют термоустойчивые смазки различных трущихся металлических поверхностей. Метилсиликоновые масла являются эффективными пеногасителями, они химически инертны и применяются в минимальных концентрациях (1:1000, 1:10000).
Силиконовые смолы используют в качестве изоляционных лаков, защитных покрытий, стойких и к высокой температуре, и к химическим воздействиям. Их обычно получают из метилтрихлорсилана, диметилдихлорсилана, финилтрихлорсилана, дифенилдихлорсилана, которые гидролизуются и поликонденсируются при нагревании в инертных растворителях. Смешанные с термостойкими наполнителями, они выдерживают нагревание в течение нескольких часов при 5000С и нескольких суток до 2500С.
Кремнийорганические соединения выгодно отличаются от каучуков: а) прежде всего незначительной изменчивостью свойств в широком интервале температур и, следовательно, высокой морозостойкостью (при рабочих температурах до 2000С их механические свойства мало меняются, при –600С они также сохраняют упругость); б) значительной химической стойкостью, особенно к кислороду и озону, гидрофобностью; в) негорючестью при нагревании без соприкосновения с пламенем; г) диэлектрическими свойствами.
Силиконовые каучуки (состоят из полимера, наполнителя и вулканизатора) представляют собой обычные линейные полидиметилсилоксаны с относительной молекулярной массой 250000-450000. Нагревание приводит к сшивке линейных полимеров поперечными связками.
Наполнители, например, различные типы аэрогелей оксида кремния (IV), улучшают механические свойства полимеров, повышают их прочность при растяжении и придают способность к удлинению до 60%. Вулканизацию проводят в присутствии перекисей. Силиконовые каучуки применяют в качестве электроизоляционного материала, прокладок различной аппаратуры и электродвигателей.
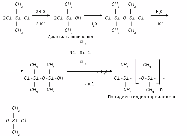
Кремнийорганические соединения получают из алкилхлорсиланов или аркилхлорсиланов. Это SiCl>2>(СН>2>)>2>, Si(С>2>Н>5>)>2>Cl>2>, С>6>Н>5>SiCl>3>. Схема последовательного гидролиза и поликонденсации при получении кремнийорганических полимеров следующая:
СН>3> СН>3>
| |
Cl-Si-Cl + 2Н>2>О → НО-Si-ОН + 2НCl ;
| |
СН>3> СН>3>
СН>3> СН>3> СН>3> СН>3>
| | | |
НО-Si-ОН + НО-Si-ОН → НО-Si-О-Si-ОН + Н>2>О
| | | |
СН>3> СН>3> СН>3> СН>3>
И так дальше до образования полимера, имеющего формулу:
На основе кремнийорганических смол изготавливают прессовочные и слоистые материалы. Характеристика различных типов этих материалов проведена в таблице 1.
Таблица 1
Прессовочные и слоистые материалы
|
Показатели |
КМС-9 |
КМК-718 |
К-41-5 |
КМС-9 |
СКМ-1 |
|
Наполнитель |
Минеральный |
Асбест, кварц |
Асбестовое волокно |
Стеклянное волокно |
Стеклянная ткань |
|
1 |
2 |
3 |
4 |
5 |
6 |
|
Плотность, г/см3 |
1,8-2,1 |
1,82 |
1,9 |
1,8-2,0 |
1,6-1,77 |
|
Предел прочности, кг/см2: |
|||||
|
- при растяжении |
- |
- |
230 |
- |
2575 |
|
- при сжатии |
850-900 |
- |
1325 |
- |
1600 |
|
- при изгибе |
300 |
300 |
500 |
400 |
140 |
|
Удельное поверхностное сопротивление, МОм |
- |
1000-10000 |
1000 |
107 |
1,12*108 |
|
Удельное объемное сопротивление, МОм/см3 |
108 |
106 |
104 |
107 |
5*107 |
|
Электрическая прочность, кВ/мм |
13 |
5 |
2 |
4 |
10*11,5 |
|
Диэлектрическая постоянная, Гц |
7 |
9 |
- |
4,7 |
4,5 |
Различают следующие виды материалов, сделанных на основе кремнийорганических соединений.
3.1. Стеклопласты
Стеклопласты – пластические массы, у которых связующим веществом служат синтетические полимеры, а наполнителем или армирующим материалом – стеклянное волокно или стеклянная ткань, придающие стеклопластикам особую прочность.
Большинство изделий из стеклопластиков изготавливают с применением в качестве связующих ненасыщенных полиэфиров – полиэфирмалоинатов или полиэфиракрилатов, а также эпоксидных и кремнийорганических полимеров.
В зависимости от взятого связующего стеклопластики могут перерабатываться в изделия при обычной температуре без давления или при небольшом давлении. Наибольшее значение приобретают стеклопластики, которые могут перерабатываться в изделия методом так называемого «контактного» формования с постепенным нанесением слоев связующего на каркас из армирующего материала.
Стеклопластики могут применяться для изготовления таких крупногабаритных изделий, как корпуса мелких судов, шлюпки, кузова автомобилей, крыши железнодорожных вагонов и т.п. Пока изделия можно изготавливать только с помощью «контактного» метода формования, т.е. по существу вручную, но нет сомнения, что в ближайшем будущем производство таких изделий будет механизировано и стеклопластики благодаря своей исключительной прочности и дешевизне найдут самое широкое применение во многих отраслях народного хозяйства. В зависимости от вида армирующего материала стеклопластики делятся на следующие группы:
А) Стеклотекстолиты – пластики, армированные стеклянными тканями. Изделия получаются обычно методом «контактного» формования.
Б) Стекловолокниты – пластики, в которых армирующим наполнителем служит войлок из стеклянного волокна. Перерабатываются методом литья или прессования.
В) Анизотропные стеклопластики – пластики с армирующим материалом в виде однонаправленной стеклянной нити. Изделия получают методом намотки стеклянного волокна, предварительно обработанного синтетическим полимером.
Г) Изотропные стеклопластики – пластики, армированные стекломатами (рубленое стеклянное волокно). Перерабатываются методом контактного формования.
Стеклопласты – материалы, полученные из синтетических смол и наполнителей. В качестве наполнителя используются стекловолокнистые материалы. Разновидности промышленно выпускаемых стеклопластиков приведены в таблице 2.
3.2. Стеклотекстолиты
Стеклотекстолиты – это слоистые листовые материалы, получаемые методом горячего прессования уложенных правильными рядами полотнищ стеклянной ткани, пропитанной связующими. Они используются при изготовлении фюзеляжей самолетов, кузовов автомобилей, судов.
Таблица 2
Свойства стеклопластов
|
Показатели |
Стеклотекстолиты электроизоляционные |
Стеклотекстолиты конструкционные КАСТ-В |
Стеклотекстолиты конструкционные ВФСТ-С |
Анизотропные СВАМ |
Анизотропные ЭФ-32-39 |
Волокниты марки ВАГ-4 |
Волокниты марки САГ-4 |
|
1 |
2 |
3 |
4 |
5 |
6 |
7 |
8 |
|
Наполнитель |
Ткань |
Ткань |
Ткань |
Ориентированное волокно |
Ткань |
Волокно рубленое |
Волокно параллельное |
|
Плотность г/см3 |
1,65-1,85 |
1,75-1,85 |
1,55-1,85 |
1,9 |
1,67-1,7 |
1,7-1,8 |
1,7-1,8 |
|
Водопоглощаемость, % |
2 |
0,85-1,5 |
1,7 |
0,1-1,3 |
0,28 |
0,5 |
0,5 |
|
Предел прочности, кг/см2 |
|||||||
|
- при растяжении |
900 |
2700-3200 |
3600-4000 |
9000-9500 |
2250-4180 |
800 |
200 |
|
- при сжатии |
- |
- |
- |
4200 |
3000 |
1300 |
1300 |
|
- при изгибе |
1200-1300 |
1600 |
2900 |
1600-4600 |
3220-4150 |
>1000 |
>1000 |
3.3. Стекловолокниты
Стекловолокниты готовят из волокон и связующего прямым или литьевым прессованием при высоком давлении. Они используются для изготовления деталей для обшивки вагонов, облицовочных панелей, строительных конструкций, оконных переплетов, огнестойких перегородок, вкладышей, подшипников, фрикционных деталей, термостойких изделий и как электроизоляционный материал.
3.4. СВАМ
Стекловолокнистый анизотропный материал (СВАМ) – получают путем параллельной их укладки при одновременном нанесении на них связующего. Из СВАМ изготавливают трубы, стойкие к воздействию химических реагентов, как электроизоляционный материал в радиотехнике и радиоэлектронике.
заключение
Народнохозяйственное значение каучука (являющегося основной составной частью резины) очень велико. Громадные и все возрастающие количества каучука потребляют автомобильная, авиационная и тракторная промышленность. Большое количество его идет на изготовление приводных ремней и транспортных лент, шлангов и рукавов, электроизоляционных изделий, прорезиненных тканей, изделий широкого потребления (обувь, спортивные товары, игрушки), изделий санитарии и гигиены и многое другое. Достаточно привести данные о ежегодном мировом производстве натурального и синтетического каучука – свыше 4 миллионов тонн, чтобы принять роль каучука в жизни человека.
Каучуки непосредственно связаны с высокомолекулярными кремнийорганическими соединениями.
Например, силиконовые (силоксановые каучуки).
R R
| |
...-Si-О-Si-О-...
| |
R R
Химические соединения, вырабатываемые промышленностью основного органического синтеза служат полупродуктами для производства пластических масс, синтетических волокон, синтетических каучуков, синтетических моющих средств и многого другого.
список литературы
Грандберг И.И. Органическая химия. – М.: Высшая школа, 1980. – 463 с.
Жиряков В.Г. Органическая химия. – М.: Химия, 1974. – 407 с.
Павлов Б.А. и др. Курс органической химии. – М.: Химия, 1972. – 648 с.
Перекалин В.В. и др. Органическая химия. – М.: Просвещение, 1982. – 543 с.
Третьяков Ю.Д. Химия: Справочные материалы. – М.: Просвещение, 1984. – 239 с.
Фурмер И.Э. Общая химическая технология. – М.: Высшая школа, 1987. – 334 с.
Хомченко Г.П. Химия для поступающих в ВУЗы. – Высшая школа, 1985. – 357 с.
Шпсусцус З. Путешествие в мир органической химии. – М.: Мир, 1967. – 218 с.