Будущее предпринимательства в России (работа 1)
Введение .
Любая нация гордится плодами деятельности своих предпринимателей. Но любая нация и каждый ее отдельный представитель гордятся и своей причастностью к воплощению какой-либо конкретной предпринимательской идеи. Предпринимательство как одна из конкретных форм проявления общественных отношений способствует не только повышению материального и духовного потенциала общества, не только создает благоприятную почву для практической реализации способностей и талантов каждого индивида, но и ведет к единению нации, сохранению ее национального духа и национальной гордости.
К сожалению, в России ситуация все еще остается иной. Традиционная коммунистическая модель общественного развития всегда базировалась на необходимости подавления предпринимательского духа в обществе и предпринимателя как носителя такого духа. Опыт перестройки (особенно ее начального периода) показал, что отказываясь на словах от традиционной коммунистической модели общественного развития, фактически мы во многом продолжаем именно эту линию. Мы уже достаточно отчетливо осознали, что, оказывается, мало провозгласить тезис, разрешающий предпринимательство, что мало принять какие-то законы, способствующие этому... Удивительное дело — ðàçðåøåíèå ïîëó÷åíî, à "ïðåäïðèíèìàòåëüñêîãî áóма" не наблюдается! Почему? Разве страна бедна ресурсами? Или кризис перепроизводства? Что, у нас нет людей, способных осуществлять значительные предпринимательские проекты?
Всеобщее неприятие предпринимательства постепенно переходит в осознание необходимости создания условий для его быстрейшего и эффективного развития. За предпринимательством в России будущее, процесс накопления критической массы неизбежно приведет к "предпринимательскому буму". Поэтому на данном этапе чрезвычайно важно изучить поведение предпринимателя , чтобы в последствии не допускать ошибок , сделанных ранее . Далее я попытаюсь изложить материал о предпринимательстве , о его сущности , видах , субъектах , развитии , гос. поддержке .
Глава I Ïðåäïðèíèìàòåëüñòâî : ñóùíîñòü, âèäû, ñóáúåêòû.
На сегодняшний день в мире не существует общепринятого определения предпринимательства. Американский ученый, профессор Роберт Хизрич определяет "предпринимательство как процесс создания чего-то нового, что обладает стоимостью, а предпринимателя — êàê ÷åëîâåêà, êîòîðûé çàòðà÷èâàåò íà ýòî âñå íåîáõîäèìîå âðåìÿ è ñèëû, áåðåò íà ñåáÿ âåñü ôèíàíñîвый, психологический и социальный риск, получая в награду деньги и удовлетворение достигнутым1*. В американской учебной и научной литературе дается множество и других определений, характеризующих предпринимательство и предпринимателя с экономической, политэкономической, психологической, управленческой и других точек зрения.
Английский профессор Алан Хоскинг утверждает: "Индивидуальным предпринимателем является лицо, которое ведет дело за свой счет, лично занимается управлением бизнесом и несет личную ответственность за обеспечение необходимыми ñðåäñòâàìè, ñàìîñòîÿòåëüíî ïðèíèìàåò ðåøåíèÿ. Åãî âîçíàãраждением является полученная в результате предпринимательской деятельности прибыль и чувство удовлетворения, которое он испытывает от занятия свободным предпринимательством. Но наряду с этим он должен принять на себя весь риск потерь в случае банкротства его предприятия2*.
Ни за рубежом, ни у нас пока еще не создана общепринятая экономическая теория предпринимательства , хотя потребность в такой теории давно уже стала весьма насущной. "Три волны" развития теории предпринимательской функции — òàê óñëîâíî ìîæíî îõàðàêòåðèçîâàòü ðàçâèòèå ïðîöåññà íàó÷íîãî îñìûñëåíèÿ ïðàêòèêè ïðåäïðèíèìàòåëüñòâà.
"Первая волна", которая возникла еще в XVIII â., áûëà ñâÿзана с концентрацией внимания на несении предпринимателем риска. "Вторая волна" в научном осмыслении предпринимательства связана с выделением инновационности как его основной отличительной черты. "Третья волна" отличается сосредоточением внимания на особых личностных качествах предпринимателя (способность реагировать на изменения экономической и общественной ситуации, самостоятельность в выборе и принятии решений, наличие управленческих способностей) и на роли предпринимательства как регулирующего начала в уравновешивающей экономической системе.
Современный этап развития теории предпринимательской функции можно отнести к "четвертой волне", появление которой связывается с переносом акцента на управленческий аспект в анализе действий предпринимателя, а следовательно — ñ ïåреходом на междисциплинарный уровень анализа проблем предпринимательства.
В настоящее время в теоретических исследованиях уделяется внимание не только предпринимательству как способу ведения дел на самостоятельной, независимой основе, но и внутрифирменному предпринимательству, или интрапренерству . Термин "интрапренер" был введен в оборот американским исследователем Г. Пиншо. Он же впервые использовал и другой термин, производный от первого, — "èíòðàêàïèòàë".
Появление интрапренерства связано с тем фактором, что многие крупные производственные структуры переходят на предпринимательскую форму организации производства. Поскольку предпринимательство предполагает обязательное наличие свободы творчества, то подразделения целостных производственных структур получают право на свободу действий, что подразумевает и наличие и н т р а к а п и т а л а — капитала, необходимого для реализации идей, лежащих в основе внутрифирменного предпринимательства3.
Предпринимательство — ýòî îñîáûé âèä ýêîномической активности (под которой мы понимаем целесообразную деятельность, направленную на извлечение прибыли), которая основана на самостоятельной инициативе, ответственности и инновационной предпринимательской идее.
Экономическая активность представляет собой форму участия индивида в общественном производстве и способ получения финансовых средств для обеспечения жизнедеятельности его самого и членов его семьи. Такой формой участия индивида в общественном производстве является одна общественная функциональная обязанность или их комбинация, когда он выступает в качестве:
• ñîáñòâåííèêà êàêèõ-ëèáî îáúåêòîâ, íåäâèæèìîñòè è ò. ä., ïðèíîñÿùèõ åìó ïîñòîÿííûé è ãàðàíòèðîâàííûé äîõîä (ñîáñòâåííèê ïðåäïðèÿòèÿ èëè äîìà, ñäàâàåìîãî â àðåíду, и т. д.);
• íàåìíîãî ðàáîòíèêà, ïðîäàþùåãî ñâîþ ðàáî÷óþ ñèëó (òîкарь на заводе, учитель в школе и т. д.);
• èíäèâèäóàëüíîãî ïðîèçâîäèòåëÿ ("ñâîáîäíûé" õóäîæíèê, æèâóùèé íà äîõîäû îò ðåàëèçàöèè ñâîèõ ïðîèçâåäåíèé, èëè âîäèòåëü, èñïîëüçóþùèé àâòîìîáèëü â êà÷åñòâå òàêñè è æèâóùèé íà äîõîäû îò òàêîé äåÿòåëüíîñòè, è ò. ä.);
• ãîñóäàðñòâåííîãî èëè ìóíèöèïàëüíîãî ñëóæàùåãî;
• ìåíåäæåðà (óïðàâëÿþùèé ÷óæèì ïðåäïðèÿòèåì);
• ïåíñèîíåðà (ïàññèâíàÿ ôîðìà ó÷àñòèÿ â îáùåñòâåííîì ïðîèçâîäñòâå êàê ñëåäñòâèå ïðîøëîé àêòèâíîñòè);
• ó÷àùåãîñÿ èëè ñòóäåíòà (êàê ïîäãîòîâèòåëüíûé ýòàï ê ó÷àñòèþ â áóäóùåì îáùåñòâåííîì ïðîèçâîäñòâå â êàêîé-ëèáî êîíêðåòíîé ôîðìå);
• áåçðàáîòíîãî (êàê âûíóæäåííàÿ ôîðìà íåó÷àñòèÿ èëè ïðèîñòàíîâêè ó÷àñòèÿ â îáùåñòâåííîì ïðîèçâîäñòâå);
• çàíÿòîãî îáîðîííî-îõðàííîé äåÿòåëüíîñòüþ (àðìèÿ, ìèлиция, госбезопасность);
• âîâëå÷åííîãî â ýêîíîìè÷åñêè ïðåñòóïíóþ äåÿòåëüíîñòü (ðýêåò, âîðîâñòâî è äð.).
Предпринимательство выступает в качестве особого вида экономической активности, ибо его начальный этап связан, как правило, лишь с идеей — ðåçóëüòàòîì ìûñëèòåëüíîé äåÿòåëüíîсти, впоследствии принимающей материализованную форму.
Предпринимательство характеризуется обязательным наличием инновационного момента — áóäü òî ïðîèçâîäñòâî íîâîãî òîâàðà, ñìåíà ïðîôèëÿ äåÿòåëüíîñòè èëè îñíîâàíèå íîâîãî ïðåäïðèÿòèÿ. Íîâàÿ ñèñòåìà óïðàâëåíèÿ ïðîèçâîäством, качеством, внедрение новых методов организации производства или новых технологий — ýòî òîæå èííîâàöèîííûå ìîìåíòû.
Основным субъектом предпринимательской активности выступает предприниматель. Однако предприниматель — íå åäèíñòâåííûé ñóáúåêò, â ëþáîì ñëó÷àå îí âûíóæäåí âçàèìîдействовать с потребителем как основным его контрагентом, а также с государством, которое в различных ситуациях может выступать в качестве помощника или противника. И потребитель и государство также относятся к категории субъектов предпринимательской активности, как и наемный работник (если, конечно, предприниматель работает не в одиночку), и партнеры по бизнесу (если производство не носит изолированного от общественных связей характера) (рис. 1).
Рисунок 1 Субъекты предпринимательской деятельности
Во взаимоотношениях предпринимателя и потребителя предприниматель относится к категории активного субъекта, а потребителю свойственна прежде всего пассивная роль. При анализе стороны этих взаимоотношений потребитель выполняет роль индикатора предпринимательского процесса. Это понятно, поэтому все то, что составляет предмет деятельности предпринимателя, имеет право на реализацию только в случае позитивной (положительной) экспертной оценки потребителя. Такая оценка осуществляется потребителем и выступает как готовность последнего приобрести тот или иной товар. Предприниматель, при планировании и организации своей деятельности никоим образом не может игнорировать настроения, желания, интересы, ожидания, оценки потребителя.
У предпринимателя в условиях рыночной системы отношений нет иного пути воздействия на потребителя, кроме как действовать в унисон с его интересами. Однако такая ситуация вовсе не означает, что предприниматель обязан действовать только в строгом соответствии с уже выявленными интересами потребителя. Сам предприниматель может формировать спрос потребителя, создавать новые покупательские потребности (ну кто из потребителей предполагал приобрести видеомагнитофон, когда он еще не производился, а только готовился к производству?). К этому как раз и сводится положение о двух способах организации предпринимательской активности: на основе выявленного интереса потребителя или на основе "навязывания" ему нового товара.
Таким образом, целью предпринимателя выступает необходимость "завоевать' потребителя, создать круг собственных потребителей.
Основными средствами воздействия предпринимателя на потребителя выступают следующие факторы:
• íîâèçíà òîâàðà è åãî ñîîòâåòñòâèå èíòåðåñó ïîòðåáèòåëÿ;
• êà÷åñòâî;
• öåíà, äîñòóïíîñòü òîâàðà;
• ñòåïåíü óíèâåðñàëüíîñòè òîâàðà;
• âíåøíèé âèä è óïàêîâêà;
• ïîçèòèâíûå îòëè÷èòåëüíûå õàðàêòåðèñòèêè òîâàðà îò òîваров других производителей и возможность потребителя ознакомиться с такими отличиями;
• âîçìîæíîñòü âîñïîëüçîâàòüñÿ óñëóãàìè ïîñëåïðîäàæíîго сервиса;
• ñîîòâåòñòâèå îáùåïðèíÿòûì èëè ãîñóäàðñòâåííûì ñòàíдартам;
• ïðåñòèæíîñòü è ïðèâëåêàòåëüíîñòü ðåêëàìû òîâàðà è ò. ä.
Вывод, который можно было бы сделать из рассматриваемой проблемы, сводится к следующему: если с точки зрения общественного производства именно предприниматель выступает в роли активного субъекта, то с точки зрения самого предпринимательского процесса, его содержания и эффективности активную роль играет потребитель, и предприниматель не может игнорировать этот факт.
Роль государства как субъекта предпринимательского процесса может быть различной в зависимости от общественных условий, ситуации, складывающейся в сфере деловой активности, и тех целей, какие ставит перед собой государство.
В зависимости от конкретной ситуации государство может быть:
• тормозом развития предпринимательства, когда оно создает крайне неблагоприятную обстановку для развития предпринимательства или даже запрещает его;
• посторонним наблюдателем, когда государство прямо не противодействует развитию предпринимательства, но в то же время и не способствует этому развитию;
• ускорителем предпринимательского процесса, когда государство ведет постоянный и активный поиск мер по вовлечению в предпринимательский процесс новых экономических агентов (нередко такая целенаправленная деятельность государства вызывает "взрыв" предпринимательской активности и приводит к "буму" предпринимательства).
Каковы же функции государства как ускорителя предпринимательского процесса?
Во-первых, государство берет на себя образовательные функции, т. е. функции по профессиональной подготовке и воспитанию предпринимательских кадров. При этом во внимание принимается тот факт, что осуществление предпринимательской деятельности в современной ситуации возможно лишь при условии умелого сочетания по крайней мере трех основных элементов и их эффективного использования в практической деятельности:
а) общеэкономической теории;
б) конкретных экономических (предпринимательских) знаний;
в) количественных методов в предпринимательстве, т. е. умения осуществлять предпринимательские расчеты применительно к любой планируемой сделке или операции, а также умения предусмотреть движение средств на счетах своего предприятия при планировании и осуществлении какой-либо сделки.
Во-вторых, государство поддерживает в финансовом отношении только что вступивших или вступающих в сферу деловой активности предпринимателей. Обычно с этой целью государством разрабатываются специальные программы поддержки предпринимателей, в которых учитываются меры по льготному кредитованию. Особые льготы предоставляются тем, кто берется за реализацию каких-либо предпринимательских проектов.
В-третьих, государство обычно также берет на себя функции создания для предпринимателей требуемой предпринимательской инфраструктуры, т. е. всех тех вспомогательных (с точки зрения основного содержания предпринимательских проектов) структур, которые могли бы оказать предпринимателю услуги, необходимые для эффективной реализации проектов. Государство обычно снабжает предпринимателя необходимой (чаще всего маркетинговой) информацией, берет на себя также расходы по ведению научных, научно-технических, проектно-изыскательских и иных работ с предоставлением их результатов предпринимателям на безвозмездной или льготной основе. Государство также стремится к учреждению консультационных, юридических и иных фирм, облегчающих деятельность предпринимателей, а также берет на себя функции по подготовке кадров нужной квалификации для предпринимательских структур.
Наемный работник как реализатор идей предпринимателя также относится к группе субъектов предпринимательского процесса. Именно от него зависит эффективность и качество реализации предпринимательской идеи.
Известно, что каждому экономическому субъекту свойственны свои собственные интересы. Что касается предпринимателя и наемного работника, то часть их планов совпадает (чем выше прибыль, тем выше заработная плата, к примеру), а часть носит полярно противоположный характер (предприниматель не заинтересован в высокой оплате труда, а наемный работник заинтересован). В таких случаях стороны вынуждены идти на поиск компромиссных вариантов, что в общем-то и составляет основу взаимоотношений этих двух субъектов предпринимательского процесса.
В рамках таких взаимоотношений предприниматель обозначает для себя определенные проблемы в своей повседневной деятельности и старается разрешить их с наибольшим эффектом. Какие же это проблемы?
Прежде всего, подбор кадров нужной специализации и требуемого у ровня квалификации. Эта проблема разрешается двумя возможными путями:
• ïîäãîòîâêà òàêèõ êàäðîâ íà ñîáñòâåííîé èíôîðìàöèîíной и финансовой базе (но такой путь не всегда эффективен по понятным причинам);
• ïðèâëå÷åíèå êàäðîâ, çàíÿòûõ â äðóãèõ ïðåäïðèíèìàòåëüских или производственных структурах , для чего требуется создание для работников лучших, более привлекательных .
Другой проблемой выступает необходимость вовлечения наемного работника в интерес предпринимательской структуры. При этом различают две формы:
• âîâëå÷åíèå íàåìíîãî ðàáîòíèêà â ïðîèçâîäñòâåííûé èíтерес предпринимательской структуры;
• âîâëå÷åíèå íàåìíîãî ðàáîòíèêà â êîììåð÷åñêèé èíòåðåñ ôèðìû.
Первая форма свойственна европейской системе организации труда, когда каждый наемный работник точно знает свои производственные функции и выполняет их с присущей ему умелостью.
Вторая форма характерна для японо-американской системы организации труда, когда каждый наемный работник заинтересован не только в должном исполнении своих производственных функций, но и обеспокоен общим результатом деятельности предпринимательской структуры. Эта форма вовлечения работника является, конечно, более эффективной по сравнению с первой и наиболее привлекательной как с точки зрения предпринимателя, так и с точки зрения общества.
Форма вовлечения наемного работника в интерес предпринимательской структуры зависит от используемой предпринимателем системы оплаты труда. На сегодняшний различают следующие :
Твердая гарантированная заработная плата.
Твердая гарантированная заработная плата с ежемесячной (ежеквартальной или ежегодной) премией,
Сдельная заработная плата.
С использованием коэффициента эффективности.
Сдельно-премиальная заработная плата.
Тарифная заработная плата.
Почасовая заработная плата.
Правда, все эти формы оплаты труда способствуют вовлечению работника лишь в производственный (но не в коммерческий) интерес фирмы. Для работника в такой ситуации главное — âûïîëíèòü íàäëåæàùèì îáðàçîì ñâîè îáÿçàííîñòè à êàков будет общий результат деятельности фирмы, предприятия, коллектива, для него не так важно.
Для вовлечения работника в коммерческий интерес фирмы важно создать такую ситуацию, когда работник одновременно будет заинтересован как в своих личных результатах, так и в результатах коллективной деятельности. Такой двоякий интерес работника можно стимулировать только одним-единственным средством — óñòàíîâëåíèåì ïðèåìëåìîãî óðîâíÿ çàðàáîòíîé ïëàòû.
В современных условиях хозяйствования каждый предприниматель функционирует в условиях достаточно глубокой специализации производства, возникшей на основе разделения труда.
Любой предприниматель нуждается в эффективных партнерских связях: только в таком случае он может эффективно действовать в рамках того или иного фрагмента целостного производственного процесса. Идеальной является ситуация, когда все предприниматели образуют относительно изолированную от общего экономического процесса цепочку партнерских связей. Если взять для анализа целостный процесс производства, то он состоит как бы из множества фрагментов, каждый из которых фокусируется в конкретной деятельности предпринимателя (рис. 2).

Рисунок 2 Структура производственного процесса:
1 — äîáû÷à è çàãîòîâêà ñûðüÿ; 2 — ïðîèçâîäñòâî ìàøèí è îáîðóäîвания для добычи и заготовки сырья; 3 — ïåðåðàáîòêà ñûðüÿ è èçãîòîâëåíèå ïîëóôàáðèêàòîâ; 4 — ïðîèçâîäñòâî ìàøèí è îáîðóäîвания для переработки сырья и изготовления полуфабрикатов; 5 — ïðîèçâîäñòâî ìàøèí è îáîðóäîâàíèÿ äëÿ ïðîèçâîäñòâà ãîòîâûõ ê ïîòðåáëåíèþ òîâàðîâ; 6 — ïðîèçâîäñòâî ãîòîâûõ ê ïîòðåáëåíèþ òîâàðîâ; 7 — ðåàëèçàöèÿ ãîòîâûõ ê ïîòðåáëåíèþ òîâàðîâ; 8 — ïðîèçâîäñòâî îáîðóäîâàíèÿ äëÿ ïðåäïðèÿòèé ïî ðåàëèçàöèè ãîòîâûõ ê ïîòðåáëåíèþ òîâàðîâ
В условиях рынка от предпринимателя требуется умение — è äàæå ïðåäðàñïîëîæåííîñòü — äåéñòâîâàòü â ñîþçå ñ äðóãèми предпринимателями и вести постоянный поиск наиболее эффективных партнерских связей, в ходе которого предприниматель осуществляет переориентацию своей деятельности.
Партнерские связи (реальные и потенциальные) играют весьма важную роль в предпринимательстве. Каждый предприниматель при планировании своей деятельности, при разработке бизнес-плана обязательно учитывает возможность установления необходимых партнерских связей. К примеру, если Вы планируете производить, скажем, кухонную мебель, то Вы, естественно, обязательно постараетесь определить, где, у кого и на каких условиях предположительно (и есть ли такая возможность) Вы сможете приобретать все необходимое для организации производства (древесину, иные компоненты, фурнитуру, оборудование, машины и т. д.). Без такого подхода невозможно планирование предпринимательской деятельности.
Выбор партнерских связей зависит от целого ряда факторов. Партнерские связи можно классифицировать следующим образом.
1. Долговременные (или постоянные).
2. Кратковременные (или на определенный срок).
3. Случайные.
Таким образом, при планировании своей деятельности предприниматель рассматривает партнера (партнеров) как субъект предпринимательского процесса, от формы взаимоотношений с которым зависит уровень эффективности его деятельности.
Целью предпринимательской активности является производство и предложение рынку такого товара, на который имеется спрос и который приносит предпринимателю прибыль. Прибыль — ýòî èçëèøåê äîõîäîâ íàä ðàñõîäàìè, ïîлучаемый в результате реализации принятого предпринимательского решения по производству и поставке на рынок товара, в отношении которого предпринимателем выявлен не удовлетворяемый или скрытый спрос потребителя.
Однако получение прибыли свойственно не только предпринимательской, но и любой другой форме деловой активности. В этой связи важно обратить внимание на выделение такой экономической категории, как предпринимательская прибыль, или предпринимательский доход. Доходы от инновационной деятельности, т. е. от введения новых методов и приемов организации производства, и составляют предпринимательский доход. Под предпринимательским доходом следует понимать прежде всего дополнительный доход, доход от управления, излишек, получаемый предпринимателем благодаря его природным качествам или особому умению анализировать и по-новому комбинировать факторы производства в зависимости от внешних условий.
Другими словами, прибыль предпринимателя (если речь идет действительно о предпринимателе, а не об обычном деловом человеке) складывается как бы из двух элементов:
• îáû÷íàÿ ïðèáûëü äåëîâîãî ÷åëîâåêà;
• èçëèøåê íàä îáû÷íîé ïðèáûëüþ äåëîâîãî ÷åëîâåêà.
Второй элемент и выступает в качестве предпринимательского дохода (прибыли), т. е. формы общественного вознаграждения за проявленный инновационный подход, новаторство в производстве.
Всякий предприниматель, таким образом, выступает в качестве делового человека, но не всякий деловой человек может быть отнесен к категории предпринимателей, если речь идет о действительном феномене предпринимателя.
Развитие предпринимательства возможно лишь при наличии необходимых субъектов такого рода деятельности. Эти субъекты и делают возможным развитие рыночных отношений (а не наоборот, как это видится многим в России). Появление субъектов предпринимательства подразумевает наличие определенной общественной ситуации, когда идеологическая, политическая и социально-экономическая обстановка провоцирует "предпринимательский бум".
Осуществление предпринимательской деятельности на эффективном уровне, таким образом, возможно лишь при наличии определенной общественной ситуации — предпринимательской среды, под которой понимается прежде всего рынок, рыночная система отношений, а также личная свобода предпринимателя, т. е. его личная независимость, позволяющая принять такое предпринимательское решение, которое, с его точки зрения, будет наиболее эффективным, действенным и максимально прибыльным.
Предпринимательство как особая форма экономической активности может осуществляться как в государственном, так и в частном секторе экономики. В соответствии с этим различают: а) предпринимательство государственное; б) предпринимательство частное.
Государственные предпринимательство есть форма осуществления экономической активности от имени предприятия, учрежденного: а) государственными органами управления, которые уполномочены (в соответствии с действующим законодательством) управлять государственным имуществом (государственное предприятие), или б) органами местного самоуправления (муниципальное предприятие). Собственность такого рода предприятий есть форма обособления части государственного или муниципального имущества, части бюджетных средств, других источников. Важной характеристикой таких предприятий выступает то обстоятельство, что они отвечают по своим обязательствам только имуществом, находящимся в их собственности (ни государство не отвечает по их обязательствам, ни они сами не отвечают по обязательствам государства).
Частное предпринимательство есть форма осуществления экономической активности от имени предприятия (если оно зарегистрировано в качестве такового) или предпринимателя (если такая деятельность осуществляется без найма рабочей силы, в форме индивидуальной трудовой деятельности).
Конечно, каждый из этих видов — ãîñóäàðñòâåííîå è ÷àñòное предпринимательство — èìååò ñâîè îòëè÷èòåëüíûå ïðèзнаки, но основные принципы их осуществления во многом совпадают. И в том и в другом случае осуществление такой деятельности предполагает инициативность, ответственность, инновационный подход, стремление к максимизации прибыли. Схожей является и типология обоих видов предпринимательства.
Предпринимательство как форма инициативной деятельности, направленной на извлечение прибыли (предпринимательского дохода), предполагает:
1) осуществление непосредственных производительных функций, т. е. производство товара (продукта) или оказание услуги (например, машиностроительная фирма, туристская компания, инжиниринговая фирма или конструкторское бюро);
2) осуществление посреднических функций, т. е. оказание услуг, связанных с продвижением товара на рынок и его передачей в надлежащем (общественно приемлемом) виде от непосредственного производителя такого товара его потребителю.
Общественное понимание проблемы сводится к тому, что, с одной стороны, приоритетное значение имеет первый тип предпринимательской деятельности, поскольку общественное богатство (как обобщенный итог уровня и качества жизни каждого члена общества) зависит от состояния дел именно в сфере материального производства, научно-технических и сервисных услуг. С другой стороны, такое общественное отношение к этому типу предпринимательства на практике не носит действительно приоритетного характера — îáùåñòâî ñïîñîáñòâóåò ðàçвитию и второго типа предпринимательской деятельности, т.е. посредничества. Почему? Прежде всего потому, что уровень и качество жизни, удобство и комфорт каждого члена общества в немалой степени зависят от уровня развития в обществе посреднической сферы (удобная для покупателя организация торговли, реклама, доставка товаров на дом, заказ товара по почте, телефону и т. д.); то же самое относится и к потребителям товаров производственного назначения.
Но такое общественное восприятие посреднической деятельности не является единственной и основной причиной. Главное заключается в другом — ïîñðåäíè÷åñêàÿ ïðåäïðèíèìàòåëüская деятельность, ее наличие и усложнение до разумных пределов ведет:
1) ê óâåëè÷åíèþ ïðîèçâîäèòåëüíîñòè òðóäà íåïîñðåäñòâåíных производителей товаров на основе углубления специализации;
2) ê óñêîðåíèþ òåìïîâ îáîðà÷èâàåìîñòè (êðóãîîáîðîòà) êàпитала;
3) ê íàñûùåíèþ òîâàðíûõ ðûíêîâ äî îáúåêòèâíî òðåáóåмых размеров и функционированию непосредственных товаропроизводителей в соответствии с интересами конечных потребителей (поскольку посредник специализируется главным образом на изучении потребительского спроса и заказе или приобретении только той продукции, потребительский интерес к которой он уже выявил; любую продукцию, производимую непосредственным товаропроизводителем, он приобретать не будет).
Предпринимательская деятельность, связанная с непосредственным производством товаров, может носить:
1) òðàäèöèîíàëèñòñêèé õàðàêòåð {традиционалистское предпринимательство),
2) èííîâàöèîííûé õàðàêòåð (èííîâàöèîííàÿ ïðåäïðèíèìàтельская деятельность, инновационное предпринимательство).
Предпринимательство в сфере непосредственного производства товаров может, таким образом, ориентироваться на производство и поставку на рынок традиционных или инновационных товаров. Практика предпринимательской деятельности в любой ее форме включает в себя инновационный процесс. Приводимое выше деление типов предпринимательской деятельности основывается на убеждении, что производство и поставка на рынок традиционных товаров осуществляется также с использованием каких-то новых методов или приемов, связанных с организацией производства, техническими элементами производства или изменениями качественных характеристик производимого товара.
Рынок, как известно, представляет собой место встречи двух основных субъектов экономических (хозяйственных) отношений. А раз это так, то на рынке должны присутствовать или сами производитель и потребитель, или же их представители.
Лица (юридические или физические), представляющие интересы производителя или потребителя (а часто и действующие от их имени), но сами не являющиеся таковыми, называются посредниками.
Предпринимательская активность в сфере посредничества позволяет совместить в самые сжатые сроки экономические интересы производителя и потребителя. Посредничество, с точки зрения производителя, повышает степень эффективности работы последнего, поскольку дает возможность сосредоточить свою активность только на самом производстве, передавая посреднику функции по продвижению товара к потребителю. Кроме того, включение посредника в отношения между производителем и потребителем существенно сокращает срок оборачиваемости капитала, а значит, повышает прибыльность производства.
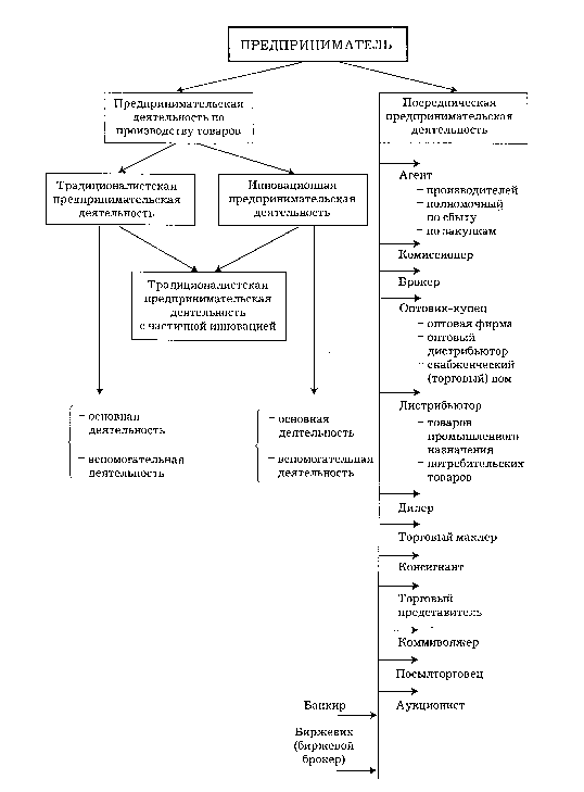
Предпринимательская деятельность в посредничестве осуществляется всегда в какой-то конкретной форме. Самой распространенной формой посредничества является агентирование, т.е. такой тип отношений, в которых агент выступает посредником между производителем и потребителем.
Агент — ëèöî, äåéñòâóþùåå îò èìåíè è â èíòåðåñàõ ïðîизводителя товара или потребителя. Лицо, в интересах и от имени которого действует агент, называется принципалом. Принципалом может быть как собственник товара, поручающий агенту продать его, так и потребитель товара, поручающий агенту купить этот требуемый товар.
Таким образом, посредничество с участием агента включает взаимоотношения уже не двух, а трех субъектов (рис. 3).
Рисунок 3 Схема отношений производителя и потребителя с участием агента .
Типы агентов
Различают несколько типов агентов:
1) àãåíòû ïðîèçâîäèòåëåé;
2) ïîëíîìî÷íûå àãåíòû ïî ñáûòó;
3) àãåíòû ïî çàêóïêàì.
Агенты производителей (представители производителей) — ïðåäñòàâëÿþò èíòåðåñû äâóõ èëè íåñêîëüêèõ ïðîèçâîдителей дополняющих друг друга товаров.
Полномочные агенты по сбыту получают право на сбыт всей продукции и представляют собой как бы отдел сбыта, но не входят в структуру фирмы-производителя, а взаимодействуют с ней на договорных условиях.
Агенты по закупкам чаще всего занимаются подбором нужного товарного ассортимента (например, для мелких розничных торговцев).
Брокерство
Брокер — ïîñðåäíèê ïðè çàêëþ÷åíèè ñäåëîê, ñïåöèàëèçèрующийся по определенным видам товаров или услуг, действует по поручению и за счет клиентов, получая от них специальное вознаграждение. Относится к категории профессиональных деловых посредников.
Комиссия
Иногда агент выступает в качестве оптовика-комиссионера, который самостоятельно распоряжается товаром, принимая его на комиссию. Комиссионер действует на основе договора комиссии, заключаемого между комиссионером (агентом) и принципалом, который в таком случае выступает в виде комитента.
Комиссионные операции — ýòî ðàçíîâèäíîñòü òîðãîâî-ïîñðåäíè÷åñêèõ îïåðàöèé, ñîâåðøàåìûõ îäíîé ñòîðîíîé (êîмиссионером) по поручению другой стороны (комитента) от своего имени, но за счет комитента. Отношения сторон регулируются договором комиссии.
Комиссионер — ïîñðåäíèê, ôèçè÷åñêîå èëè þðèäè÷åñêîå ëèöî, ñîâåðøàþùåå çà îïðåäåëåííîå âîçíàãðàæäåíèå (êîìèññèîííîå âîçíàãраждение) сделки в пользу и за счет комитента, но от своего имени.
Комитент — ëèöî (îáû÷íî ïðîèçâîäèòåëü èëè ñîáñòâåííèê òîвара), дающее поручение другому лицу (комиссионеру) заключить определенную сделку или ряд сделок от имени последнего, но за счет комитента.
Делькредере
Отношения между комиссионером и комитентом, регулируемые договором комиссии, могут включать и обязательство, которое комиссионер дает комитенту и содержание которого сводится к гарантии того, что заключаемый комиссионером договор с какой-либо третьей стороной будет исполнен. Такое обязательство (вернее — ðó÷àòåëüñòâî) íàçûâàåòñÿ делькредере и предполагает передачу комиссионеру дополнительного вознаграждения.
Индент
В межстрановых отношениях нередко используют тактику разовых комиссионных поручений — индентов. Это разновидность комиссионной операции, когда импортер одной страны дает поручение комиссионеру другой страны на покупку определенной партии какого-либо конкретного товара.
Консигнация
К комиссионным операциям относят и операции консигнации. Это вид торгово-посреднической операции, когда консигнатор (посредник) продает товар со своего склада на основе договора поручения (реже — êîíñèãíàöèîííîãî ñîãëàøåíèÿ).
Консигнатор обычно действует в сфере отношений между консигнантом и розничными торговцами. Деятельность консигнатора, которым обычно является собственник складских помещений и одновременно купец-оптовик, сводится к тому, что он принимает у консигнанта товары на ответственное хранение с целью их последующей реализации (обычно — îïòîì). Íî ïðè ýòîì äàåò îáÿçàòåëüñòâî íå ïðîäàòü, à ëèøü ïðåäëîæèòü òîâàð ïîòåíöèàëüному покупателю при первой появившейся возможности (при упущенной возможности он обычно несет ответственность).
Схема взаимоотношений при осуществлении консигнационной операции такова (рис. 4):

Рисунок 4 Схема отношений производителя и потребителя с участием консигнатора (посредника)
Наибольшее распространение консигнация получила в сфере оптовых поставок розничным торговцам (в этом смысле консигнационные склады можно сравнить с российскими оптовыми базами). Крупные комиссионные фирмы обычно наряду с посредническими оказывают и другие виды услуг — ïðèíèìàþò íà ñåáÿ îòâåòñòâåííîñòü çà òðàíñïîðòèðîâêó, îñóùåñòâëÿþò ñòðàõîâàíèå, ãàðàíòèéíîå îáñëóæèâàíèå è ò. ä.
Довольно часто посредники выступают в форме оптовиков-купцов (в США, к примеру, на их долю приходится более половины общего оптового оборота).
Оптовики-купцы — íåçàâèñèìûå êîììåð÷åñêèå ïðåäïðèятия, приобретающие право собственности на все товары, с которыми они имеют дело. Это профессиональный вид предпринимательской деятельности. Предпринимательский доход складывается из разницы между оптовой ценой покупки товаров оптовиком-купцом и оптовой ценой продажи. Оптовик-купец обычно продает товар розничным торговцам. Оптовики-купцы функционируют в различных формах:
1) îïòîâàÿ ôèðìà,
2) îïòîâûé äèñòðèáüþòîð,
снабженческий (торговый) дом.
Торговый маклер — ýòî ïðåäïðèíèìàòåëü-ïîñðåäíèê, êîторый сам не участвует в заключении сделки, а только указывает на возможность ее заключения. Обычно его функции сводятся к тому, что он лишь сводит партнеров по сделке. Предпринимательский доход он получает в форме маклерского вознаграждения, размер которого зависит от суммы заключенной сделки. Маклер также занимается посреднической деятельностью при заключении торговых сделок на биржах. Обычно маклер на российских биржах ведет торги.
Дистрибьютор — ïîñðåäíèê, ñïåöèàëèçèðóþùèéñÿ íà ïðèîáðåòåíèè òîâàðîâ ó ïðîèçâîäèòåëåé è ðåàëèçóþùèé èõ (ðàñïðåäåëÿþùèé) ñâîèì ïîñòîÿííûì êëèåíòàì. Ðàçëè÷àþò äèстрибьюторов товаров промышленного назначения (их партнерами являются предприниматели, производящие товары, готовые к потреблению) и дистрибьюторов, продающих товары розничным торговцам.
Весьма распространенной формой посреднических операций служит дилерство. К дилерам относятся посреднические структуры, под которыми могут пониматься как юридические, так и физические лица. Обычно дилер осуществляет перепродажу товаров от своего имени и за свой счет. Дилерская прибыль образуется за счет разницы между ценой приобретения товаров и ценой продажи товаров самим дилером. По особому договору с продавцами дилер может предоставлять им информацию о рынке, оказывать услуги по рекламе, а также осуществлять послепродажное обслуживание реализуемых товаров.
К посредникам относятся также и джобберы — ñóáúåêòû ïîñðåäíè÷åñêîé ñôåðû, êîòîðûå îáëàäàþò çàïàñàìè ãîòîâîé ïðîäóêöèè, îáåñïå÷èâàþò õðàíåíèå è ïîñòàâêó (òðàíñïîðòèðîâку) товаров. Однако основные принципы их деятельности аналогичны агентским функциям. Обращение к услугам джобберов целесообразно в том случае, если для производителя по каким-либо причинам неэффективно создавать собственную сбытовую сеть (сеть продавцов), или же в случае, когда он стремится выйти за рамки той территории, где расположены его собственные сбытовые (торговые) учреждения.
Посылторговец — ïðåäïðèíèìàòåëü-ïîñðåäíèê, êîòîðûé çàíèìàåòñÿ ðåàëèçàöèåé òîâàðîâ ïóòåì ðàññûëêè êàòàëîãîâ òîваров потенциальным покупателям. В этом случае посредник должен предусмотреть наличие у него складского помещения. Кроме того, обычно предусматривается наличие (или возможность использования) какого-либо эффективного вида транспорта.
Торговый представитель как самостоятельный предприниматель также относится к категории посредников. Он одновременно может представлять интересы нескольких принципалов.
Коммивояжер — ïðåäïðèíèìàòåëü-ïîñðåäíèê, êîòîðûé íå òîëüêî ïðîäàåò, íî è äîñòàâëÿåò òîâàð ïîêóïàòåëþ (ïðîäàæà ñ äîñòàâêîé). Ê êîììèâîÿæåðàì îáû÷íî îòíîñÿò ðàçúåçäíûõ ïðåäставителей торговых фирм, которые предлагают покупателям товары по имеющимся образцам. Коммивояжеры обеспечивают достаточно эффективную рекламу товарам и создают прочные каналы сбыта продукции, а также ее послепродажного обслуживания.
Аукционная форма торговли также относится к категории посреднических операций. В осуществлении таких операций участвуют три субъекта взаимоотношений (рис.5).

Рисунок 5 Схема отношений при аукционной сделке
Аукционатор — ëèöî, ïåðåäàþùåå òîâàð àóêöèîíèñòó ïî äîãîвору для его последующей реализации на аукционе в соответствии с условиями договора и правилами аукциона. Аукционист — ëèöî, ïðîâîäÿùåå àóêöèîí.
Аукционеры — ó÷àñòâóþùèå â àóêöèîíå ïîòåíöèàëüíûå ïîêóпатели.
Аукцион представляет собой публичный торг. Это соревнование покупателей за право приобретения товара, выставляемого на аукционную продажу. Товары, выставляемые на аукцион, имеют стартовую цену и обычно предлагаются к продаже лотами.
Стартовая цена — íà÷àëüíàÿ öåíà, íàçíà÷àåìàÿ àóêöèîíàòîðîì è àóêöèîíèñòîì â àóêöèîííîì äîãîâîðå, ñ êîòîðîé íà÷èíàåòñÿ òîðã âî âðåìÿ ïðîâåäåíèÿ àóêöèîíà.
Лот — íåäåëèìàÿ ïàðòèÿ òîâàðà, âûñòàâëÿåìàÿ íà àóêöèîííóþ ïðîäàæó. Âñå ëîòû ïîä íîìåðàìè îáû÷íî âûñòàâëÿþòñÿ äëÿ ïðåäâàрительного осмотра до начала аукциона. Товар (лот) считается проданным после третьего удара молотка аукциониста тому аукционеру, который предложил наивысшую цену. На международные аукционы выставляются пушнина, скаковые лошади, пряности, чай, табак, шерсть, ряд других товаров, включая антиквариат.
Биржевое предпринимательство по сравнению с другими формами профессиональной предпринимательской деятельности имеет ряд специфических особенностей, что позволяет выделить его в особый тип и классифицировать как самостоятельное направление деловой практики. Во-первых, биржи представляют собой посреднические структуры. При этом, однако, они выделяются из всего ряда посредников тем, что практически ни один предприниматель не обходится без обращения к ним. Во-вторых, биржи обслуживают клиентов — ýòî èõ ãëàâíàÿ ôóíêöèÿ.
Неотъемлемым элементом биржевой торговли всегда выступала спекуляция. Она присуща экономическим (торговым) отношениям, основу которых составляет обмен. А обмен всегда (или в подавляющем большинстве случаев) распадается на две отдельные операции — ïðîäàæó è ïîêóïêó. Â óñëîâèÿõ íåîïðåделенности рынка и отсутствия достоверной информации это делает возможным осуществление операций по "деланию денег" без обращения к процессу производства. Спекуляция определяется как торговля в надежде получить прибыль от изменения рыночной цены. Она связана с ожиданиями продавцов относительно повышения или понижения цен. Спекулянтов в зависимости от направленности их действий называют быками и медведями.
Бык — áèðæåâîé èãðîê, ïîëàãàþùèé, ÷òî öåíû ñêîðî âîçðàñòóò, è ñêóïàþùèé ïî ýòîé ïðè÷èíå èëè ñîõðàíÿþùèé ðàíåå ïðèîáðåòåíные контракты. Спекулянт, играющий на повышение.
Медведь — áèðæåâîé èãðîê, ïîëàãàþùèé, ÷òî öåíû âñêîðå ïîéдут на снижение, и по этой причине продающий контракты. Спекулянт, играющий на понижение.
К сделкам спекулятивного характера относится хеджирование (от "хеджировать" — îãðàæäàòü, ñòðàõîâàòü ñåáÿ îò âîçможных потерь).
Хедж — ñòðàõîâêà îò öåíîâûõ ðèñêîâ èëè ôüþ÷åðñíûé êîíòðàêò ïî ñòðàõîâàíèþ îò öåíîâûõ ðèñêîâ. Хедже? — ôèðìà, îñóùåñòâëÿþùàÿ õåäæèðîâàíèå.
Предпринимательство в биржевой деятельности может быть связано: 1) ñ îðãàíèçàöèåé äåÿòåëüíîñòè áèðæè êàê êîìмерческой структуры; 2) ñ îðãàíèçàöèåé áðîêåðñêîé êîíòîðû èëè áðîêåðñêîé ôèðìû.
Осуществлением всех операций на бирже занимаются биржевые брокеры — ïîñðåäíèêè, êîòîðûå ñîäåéñòâóþò ñîвершению сделок между заинтересованными сторонами — êëèåíòàìè. Сделки заключаются брокерами обычно от имени,

Брокерские места на бирже продаются и покупаются. Продажи брокерских мест осуществляет биржевой комитет. Профессионалы-брокеры работают в биржевом зале. Клиент (или заказчик), т. е. тот, кто хочет продать или купить акции, может получить информацию по телефону от брокера, представляющего его интересы по поручению и за счет клиента. Они могут также действовать от своего имени, но за счет доверителя на основе заключенных с клиентами соглашений. За совершение сделок брокер получает брокерское вознаграждение или в размере, согласованном с клиентом, или по таксе, установленной биржевым клиентом. Схема осуществления операций на бирже приведена на рис. 6
Рисунок 6 Схема отношений по биржевой сделке:
1 — ïîðó÷åíèå ïðîäàâöà áðîêåðó; 2 — ïîðó÷åíèå ïîêóïàòåëÿ áðîêåру; 3 — ñîâåðøåíèå ñäåëêè â ñîîòâåòñòâèè ñ ïîðó÷åíèÿìè ïðîäàâöà è ïîêóïàòåëÿ
Вывод. Предпринимательская деятельность может осуществляться, как мы уже отмечали, в различных формах. Эти формы взаимодополняют друг друга, превращая процесс производства и продвижения товаров и услуг к потребителю в целостный и достаточно эффективный процесс (рис.7).

Рисунок 7 Типология предпринимательской деятельности
Глава II Ðàçâèòèå ìàëîãî áèçíåñà â Ðîññèéñêîé Ôåäåðàöèè.
В реформировании российской экономики еще со времен перестройки малые предприятия (МП) взяли на себя роль создателя почвы для новой системы хозяйствования. Доминирующий сегодня частный сектор зарождался именно в сфере малого бизнеса. И вполне закономерно, что к настоящему времени, по официальным данным, на долю частных субъектов малого предпринимательства в общем количестве частных, государственных и муниципальных, общественных МП приходится 84%. Малые предприятия, располагая 3,4°о стоимости основных средств экономики России и 14°о числа занятых, производят 12% ВВП и дают всей прибыли по народному хозяйству. Это говорит о широких, но еще далеко не полностью раскрытых внутренних возможностях развития малого предпринимательства.
В 90-е годы стабильно росла доля МП в общем объеме ВВП. Это - весомый факт, особенно на фоне продолжающегося спада практически во всех сферах российской экономики. По официальным статистическим данным Госкомстата РФ, на 1.01.1996 г. в России насчитывалось 877 тыс. малых предприятий, на которых было занято 8,9 млн. человек (по среднесписочному составу), а с учетом вторичной занятости - 13,8 млн. человек. В отраслевой структуре доминирует торгово-посредническая деятельность, а в региональной структуре -Центральный экономический район с ядром в Москве (табл. 1, 2).
В развитии малого предпринимательства за последние 1-2 года наметились кардинально новые тенденции, выразившиеся в первую очередь в существенном замедлении темпов роста числа малых предприятий. Если в начале 90-х годов для динамики развития МП был характерен устойчивый рост как их числа, так и количества занятых при среднегодовых значениях приростов на уровне около 80%, то в 1994 г. прирост числа МП составил лишь 4%, а в 1995 г. произошло уже снижение их числа на 2,2°о.
Для углубленного понимания нынешней ситуации с развитием российских МП необходимо критически рассмотреть некоторые страницы "новейшей истории".
Российское малое предпринимательство в своем становлении за последние десять лет уже прошло два этапа и находится накануне вхождения в новый, четвертый, этап. Первый и наиболее яркий из них наблюдался еще в условиях бывшего СССР в конце 80-х годов. Огромные льготы всех видов, в том числе за счет средств госбюджета, в целом более благоприятное положение дел в экономике обусловили отношение ветеранов к данному периоду как к "золотому веку" малого предпринимательства. Действительно, происходило очень быстрое и легкое накопление капиталов, развивались производство дефицитных товаров широкого потребления и сфера всевозможных и столь же дефицитных тогда бытовых услуг, розничной торговли, общественного питания и пр.
Изнанкой "золотого века" было, однако, то, что малые предприятия выполняли роль канала перекачки ресурсов командно управляемых госпредприятий в теневую экономику, в пользу полукриминального и просто криминального псевдорыночного предпринимательства. Самое печальное последствие такой перекачки заключалось и заключается в том, что средства, накапливаемые в мартом предпринимательстве методом "доразграбления" госсектора, за небольшим исключением практически навсегда уходили из сферы накопления и не использовались для развития национального производства и его инфраструктуры.
|
Таблица 1 |
|||
|
Отраслевая структура малого предпринимательства (в %) |
|||
|
- |
Отраслевая структура числа МП |
Отраслевая структура полной численности занятых на МП |
Структура производства продукции (работ, услуг) по основным отраслям МП |
|
Промышленность |
14,6 |
24,0 |
20,0 |
|
Сельское хозяйство |
1,1 |
0,8 |
0,3 |
|
Лесное хозяйство |
0,05 |
0,05 |
|
|
Транспорт и связь |
2,3 |
2,2 |
|
|
Строительство |
16,6 |
29,9 |
16,3 |
|
Торговля и общественное |
|||
|
питание |
42,7 |
24,6 |
50,5 |
|
Материально-техническое |
|||
|
снабжение и сбыт |
1,8 |
1,3 |
6,0 |
|
Информационное обслужи- |
|||
|
вание |
0,8 |
0,5 |
0,2 |
|
Общая коммерческая |
|||
|
деятельность |
4,8 |
3,9 |
2,5 |
|
Прочая деятельность в ма- |
|||
|
териальном производстве |
1.5 |
1,4 |
0,7 |
|
Бытовые услуги, жилищ- |
|||
|
ное хозяйство |
1,8 |
1,1 |
3,3 |
|
Здравоохранение, спорт, |
|||
|
социальное обеспечение |
1,9 |
1,3 |
0,1 |
|
Народное образование |
0,9 |
1,0 |
0,04 |
|
Культура и искусство |
0,9 |
0,7 |
0,06 |
|
Наука и научное обслужи- |
|||
|
вание |
5,6 |
5,3 |
|
|
Финансы, пенсионное |
|||
|
обеспечение |
1,3 |
0,9 |
|
|
Прочие |
1,05 |
3,15 |
|
Таблица 2 |
|
|
Региональная структура малого предпринимательства (в %) |
|
|
Экономические районы |
Доля в общем числе МП |
|
Центральный, |
30,5 |
|
в том числе Москва |
20,0 |
|
Северный |
2,9 |
|
Северо-западный |
9,6 |
|
Волго-вятский |
2,9 |
|
Центрально-Черноземный |
2.7 |
|
Поволжский |
9,6 |
|
Северо-Кавказский |
9,8 |
|
Уральский |
10,6 |
|
Западно-Сибирский |
10,5 |
|
Восточно-Сибирский |
5,2 |
|
Дальневосточный |
5,0 |
4
Конечно, в развитии МП имели место не только негативные процессы. В годы перестройки малый бизнес включился в общий, всячески поддерживаемый правительством процесс бурного развития кооперативного движения. И разгосударствление, и обучение широких масс населения основам предпринимательства происходили через развитие кооперации и малого бизнеса.
Однако нельзя не заметить, что "золотой век" малого бизнеса и вменяемые ему функции ускорителя реформ во многом оказались в жестком противоречии с другими направлениями экономических преобразований, а точнее - с неудачной попыткой проведения реформ сверху, в жестко-унитарных традициях, с опорой исключительно на аппарат государственной власти и управления. Попытки центрального правительства как-то ограничивать возможности получения дутых доходов от разницы между фиксированными ценами госсектора и свободными ценами негосударственных предприятий, регламентировать деятельность МП, использовать рычаги налогообложения наталкивались на явную недееспособность государственного аппарата.
Необходим был кардинально иной экономический курс, который воплотился уже в новой России в реформах типа шоковой терапии. Начался новый, второй, этап и в развитии российского малого предпринимательства.
1992 год - год шоковой терапии - характеризовался самыми высокими с середины 80-х годов темпами роста числа малых предприятий (в 2,1 раза) и численности занятых в них. Этот факт носит феноменальный характер, поскольку осуществленная тогда либерализация цен и введение налогового прессинга сильно подорвали финансовую базу малого предпринимательства. Бурная инфляция привела, с одной стороны, к обесценению сбережений населения, а с другой - к резкому увеличению процентных ставок банковского кредита. Это вызвало настоящий паралич инвестиционной деятельности, не преодоленный до сих пор.
Статистические данные показывают, что абсолютным лидером по увеличению числа малых предприятий стала тогда сфера науки и научного обслуживания. В ней число малых предприятий возросло в 3,4 раза. Количество малых предприятий в сфере сельского хозяйства увеличилось в 3,1 раза. Затем следуют материально-техническое снабжение и общая коммерческая деятельность по обеспечению функционирования рынка (2,9 раза). К ним тесно примыкает сфера народного образования (2,8 раза).5
В то же время в 1992 г. в общей структуре российского малого предпринимательства произошло резкое уменьшение доли МП в сфере материального производства.
По широко распространенному мнению, модель шоковой терапии была малоконструктивна для быстрого и эффективного развития экономики страны и, в частности, сферы малого предпринимательства. Но следует признать, что в условиях активизации рыночных реформ МП продемонстрировали и свои позитивные возможности. Важнейшими функциями МП в условиях шоковой терапии стали социальное демпфирование, обеспечение выживания значительных слоев населения в условиях острого кризиса через самозанятость, предоставление возможности получения дополнительных (помимо основной, часто формальной занятости) средств к существованию.
Вместо своего рода кормушки с сильным криминальным оттенком, что было присуще периоду перестройки, в сфере МП стала образовываться нормальная конкурентная прорыночная среда, характеризующаяся борьбой малых предприятий за выживание на основе повышения качества и разнообразия товаров и услуг. Сказанное, правда, не означает, что криминальные структуры оставили малый бизнес в покое.
Феноменальный рост числа МП в 1992 г. имеет свое объяснение. Бурное развитие торгово-посреднического малого предпринимательства стало ответной реакцией на подрыв первоначальной финансовой базы. Либерализация внешней торговли еще в условиях бывшего СССР и снятие запретов на частную торговлю внутри страны создали благоприятные условия для любой торговой деятельности.
Падение потребительского платежеспособного спроса торговое малое предпринимательство тогда активно компенсировало импортом товаров, хотя и не очень качественных (типа продукции китайского производства), но пользовавшихся ажиотажным спросом у российского потребителя. Быстрая оборачиваемость мелких торговых капиталов превращала их в капиталы средних размеров. Более того, мелкая торговля быстро реагировала на нарастающую социально-экономическую дифференциацию российского общества, группируясь в нишах обслуживания как массовых потребителей, так и потребителей с высоким уровнем доходов. Достаточно быстро рядом с мелкими торговыми палатками стали возникать элитные магазины, владельцы и работники которых нередко начинали с "челночной" деятельности. К позитивной роли торговой и посреднической деятельности МП следует отнести и их участие в создании новых хозяйственных связей. Инициированная либерализацией цен рядом других факторов (сдача позиций ВПК, утрата рынков стран Восточной Европы и пр.) полная "закупорка" ранее сложившихся каналов взаимосвязей между производителями, поставщиками и торговлей открыла широкое поле для деятельности малых фирм по снабжению и сбыту продукции. Конечно, для новых хозяйственных связей в полном объеме нужен новый технологический каркас экономики с соответствующими рыночными, высокоэффективными каналами движения товаров от производителей к потребителям. В стратегическом плане задача создания такого каркаса малому бизнесу не по силам, так как требует многих лет и огромных капитальных вложений.
Однако малый бизнес смог сыграть роль катализатора первых шагов движения к новой системе внутри кооперационных связей в российской экономике. Кроме того, он выполнял роль демпфера, спасающего многие предприятия от немедленного краха из-за разрыва прежних, хотя и неэффективных, но все же работавших хозяйственных связей.
Рывок малого предпринимательства в сторону торговой и посреднической деятельности стал также закономерной реакцией на введенный правительством налоговый прессинг. В бывшем СССР не было и в принципе не могло быть налоговой системы, адекватной рыночным условиям. Поэтому введение в практику хозяйственной жизни даже элементов нормальной налоговой ответственности должно было вызвать у не привыкших к этому предпринимателей естественную реакцию отторжения. Но дело в том, что на эту реакцию наложился явный экстремизм правительственной налоговой политики, направленной на изъятие до 70-90% доходов малых предприятий. При этом правительство и не рассчитывало на то, что кто-либо 6удет сразу же платить налоги в полной мере. Предпринимателей тем самым подталкивали к тому, чтобы искать и находить способы сокрытия доходов от налогообложения. Торговля и посредничество, ориентированные на работу с трудно контролируемыми наличными средствами, открывали большие возможности для ухода от налогов.
В целом ситуация 1992 г. может быть охарактеризована общепринятым термином "грюндерство". Малое предпринимательство было составным элементом этого массового процесса учредительства. Биржи, банки, страховые фирмы, крупные частные и полугосударственные акционерные предприятия возникали по всей России в невероятных количествах. Люди впервые в жизни получили свободу для самостоятельной предпринимательской деятельности, право заниматься финансовым планированием, что ранее было абсолютной монополией государственных структур и их чиновников. Такие мотивации в сочетании с развалом государственных, прежде всего бюджетных предприятий и организаций, с надеждой на получение высоких доходом от достаточно простых видов работ и услуг не могли не породить крупномасштабного грюндерства. Подобное грюндерство объясняется не столько экономическими причинами, сколько общими законам социальной психологии в их приложении к очевидной для Росси ситуации кардинального общественного перелома
Иллюстрацией к вышесказанному может служить массовое появление эфемерных фермерских хозяйств в суровых климатических зонах и на низкокачественных почвах, где с точки зрения экономической целесообразности таких хозяйств в принципе не может быть даже в самой развитой рыночной стране. Многие малые предприятия появлялись на свет не в силу экономической целесообразности, не имея какой-либо программы долговременного развития, а только из общей надежды, мечты их организаторов на достаточно абстрактную " лучшую жизнь" (в основном в стиле привлекательных трафаретов общества свободного предпринимательства и всеобщего потребления). В определенном смысле психологические ожидания скорого процветания доминировали над трезвым экономическим расчетом и даже здравым смыслом.
Именно этим объясняется феномен бурного появления многочисленных частных мелких научных фирм в условиях очень быстрого свертывания какого-либо спроса на научную продукцию из-за острейшего инвестиционного кризиса, спада инновационной активности и фантастического дефицита бюджетов всех уровней. Психологически это явление объясняется еще и тем, что научная деятельность, личность исследователя в течение многих предшествовавших десятилетий были в состоянии явной невостребованности. Новые условия давали бывшим научным сотрудникам надежду на самостоятельный выход из того тупикового положения, в котором они находились в государственных академических, отраслевых и прочих научных учреждениях в 70-е и в 80-е годы.
Грюндерство, как показывает исторический опыт, всегда ограничено во времени. Уже к 1995 г. оказались практически исчерпаны ниши и возможности сверхприбыльной торгово-посреднической деятельности. Многие из возникших ранее малых предприятий преимущественно торгово-посреднической или, например, научно-консультационной ориентации либо прекратили свое существование, либо диверсифицировались. Такая ситуация закономерно должна была генерировать новые тенденции в развитии российского малого предпринимательства. Обозначился очередной, третий этап качественных изменений в динамике и структуре малого предпринимательства, сопровождавшийся, как было отмечено выше, значительным сокращением прироста числа МП.
Главными причинами приостановки роста числа малых предприятий являлись резкое сужение границ сфер, характеризовавшихся легко достигаемой высокой доходностью, исчерпание психологических ожиданий беспредельных финансовых возможностей самостоятельной предпринимательской деятельности. В нормальной рыночной экономике малое предпринимательство в большинстве случаев и о доходности, и по границам потенциальных возможностей уступает среднему и крупному бизнесу. Оно идет вслед за ними в роли хотя и вполне достойного, но все же аутсайдера. Если в России еще в 1992-94 гг. вся экономика, включая малый бизнес, жила по стохастическим законам первоначального накопления капиталов, то к 1995 г. все четче стали действовать закономерности цивилизованной рыночной системы. Реже встречались случаи, когда какое-либо малое предприятие легко скупало дорогостоящие здания и даже средние производственные предприятия. Нормой становился доход на одного занятого в МП на уровне, колеблющемся вокруг средней заработной платы по стране.
В экономике России стала прослеживаться тенденция к началу новой, рыночной концентрации и централизации капиталов, а также самой хозяйственной деятельности. Получил развитие процесс поглощения предприятий. Часто наиболее рентабельные малые предприятия оказываются первой жертвой таких поглощений. Например, в Москве на месте еще недавно многочисленных индивидуальных торговых ларьков возникли хорошо оформленные торговые павильоны, принадлежащие той или иной крупной фирме. Менее рентабельные МП также не выдерживают экономической конкуренции со средними и крупными фирмами и вынуждены свертывать свою деятельность. В этом смысле на нынешнем этапе российских реформ процессы централизации и концентрации капиталов также противостоят увеличению численности МП. Но в дальнейшем, как мы полагаем, новые крупные и средние предприятия будут самым активным образом стимулировать создание новых МП в структуре формируемых новых хозяйственно-технологических цепочек.
На кардинальное замедление прироста числа МП в 1994-1995 гг. повлияло и завершение перерегистрации малых предприятий, созданных еще по законам бывшего СССР. Действующие МП в ходе перерегистрации принимали новые организационные формы, а прекратившие свою работу - просто ликвидировались. Поскольку величина числившихся зарегистрированными, но реально не функционировавших МП была достаточно велика, их официальная ликвидация внесла существенный вклад в общее замедление темпов роста числа малых предприятий России. Фактор перерегистрации и ликвидации не работающих предприятий в полной мере проявил себя в 1995 г. в связи с введением в практику хозяйственной деятельности нового Гражданского кодекса (ГК). В соответствии с положениями его первой части малые предприятия, имеющие форму товариществ (а это очень распространенная хозяйственная форма малых предприятий), должны переоформить свои учредительские документы, приняв другие, предусмотренные ГК хозяйственные формы. Если учесть, что даже по официальным оценкам Госкомстата РФ, более трети зарегистрированных малых предприятий либо не приступали к хозяйственной деятельности, либо приостановили ее, не ликвидировавшись, то очевидно, что начавшаяся в 1995 г. перерегистрация и соответственно официальная ликвидация реально не функционирующих малых предприятий должны привести к дальнейшему существенному снижению числа малых предприятий в России. А с учетом того, что в ряде российских регионов реально действует чуть более половины зарегистрированных МП (по данным Госкомстата РФ), перерегистрация внесет определенные коррективы и в региональную структуру малого предпринимательства страны.
Замедление роста числа новых малых предприятий объясняется еще и тем, что не проявил свою силу - и в экономическом, и в социальном плане - такой мощный фактор увеличения малых предприятия, как рост безработицы. Несмотря на все прогнозы ее бурного увеличения, вплоть до 1996 г. официальная безработица оставалась на уровне 2-3% экономически активного населения. Реальная безработица может быть на порядок выше, на что указывают альтернативные расчеты экспертов профсоюзных объединений, международных организаций и пр. Но тем не менее официальный статус работающих (пусть даже на "полуживых" предприятиях), пока он действует, создает социально-психологический эффект, при котором люди отказываются заниматься иной самостоятельной деятельностью, в том числе пробовать свои силы в сфере малого бизнеса. Более распространенным оказывается случайный, часто нигде не регистрируемый вспомогательный заработок от мелких перепродаж или выполнения подсобных работ. Но как только правительство России на деле, а не на словах пойдет на банкротства многочисленных нерентабельных предприятий, рост официальной безработицы, несомненно, вызовет новую волну увеличения числа МП.
Наиболее существенным негативным моментом была и остается криминализация малого предпринимательства. В этой связи очень показателен наиболее типичный ответ на вопрос выборочных обследований руководителей малых предприятий о влиянии на их деятельность криминальных структур. Значительная часть респондентов отвечают, что они вообще ничего не знают о криминальных структурах. В нынешней ситуации такой ответ указывает не на преодоление зависимости МП от криминальных структур, а как раз наоборот - на особо сильную их зависимость от этих структур и даже на прямую вовлеченность в эти структуры и страх перед ними. Криминальность продолжает оставаться существенным фактором, препятствующим нормальному развитию российского малого предпринимательства,
Резкий спад темпов прироста числа МП по-разному нашел отражение в отдельных отраслях. Хотя и несколько замедлившись, но впервые за несколько прошедших лет опережающими темпами увеличилось количество МП в строительстве и на транспорте (на 18 и 19% в 1995 г.). В торговле и сфере общественного питания число МП уменьшилось примерно на 10%. В общей коммерческой деятельности по обеспечению функционирования рынка, в науке и научном обслуживании произошло абсолютное сокращение числа малых предприятий (-18,7 и -5,6%).
Динамика числа МП в региональном разрезе показывает некоторое опережение роста числа малых предприятий в регионах Северного Кавказа и Севера Европейской части России. Хотя существенных изменений в региональной структуре МП не произошло, все же можно заметить позитивный процесс постепенного более равномерного распределения малых предприятий по различным экономическим районам России.
В 1995 г. среднесписочная численность занятых в МП по сравнению с 1994 г. увеличилась на 0,8% Конечно, величина прироста невелика, но она подтверждает данные социологических опросов, в ходе которых руководители МП высказывали мнение о необходимости увеличения численности персонала предприятий. И, что очень важно, они указывают на то, что настало время перехода от полулегальной занятости к нормальной, адекватной действующим законам.
Особо надо отметить усиление инвестиционной активности МП. Общий объем их капитальных вложений за 1995 г. возрос в 4 раза, причем в промышленности -в 7,4 раза.
Можно констатировать, что в 1994-1995 гг. проводимая российским правительством политика умеренно-жесткой финансовой стабилизации, с одной стороны, сопровождалась значительным замедлением темпов роста количества МП , но с другой стороны, имела выраженный санационный эффект. В стране стала формироваться принципиально новая экономическая ситуация, в которой МП начали играть роль, характерную для малого предпринимательства в нормальной рыночной экономике.
Политика государственной поддержки МП осуществлялась на базе налоговых льгот, создания (хотя еще и в незавершенном виде) цивилизованного законодательного пространства, информационной поддержки, обучения кадров, формирования сети бизнес-парков, налаживания эффективной координации в этой области между федеральным центром и субъектами Федерации, а также с местными органами власти.
Малые предприятия в борьбе за выживание научились самостоятельно приспосабливаться к сложностям рынка. Так, для повышения своей жизнеспособности МП активно диверсифицируют хозяйственную и инвестиционную деятельность. Более чем половина МП неторгового профиля помимо основной деятельности в 1995 г. занималась еще и торговлей как несложной, но относительно прибыльной деятельностью с быстрым сроком оборачиваемости капиталов. А торговые капиталы все чаще устремляются в производство, хотя и в самых простых его формах.
В целом мы полагаем, что новый рывок в динамике числа МП, в увеличении их макроэкономического веса по всем показателям неизбежен. Его следует ожидать по мере накопления предпосылок для формирования целостной системы рыночного хозяйствования, решительных шагов в области демонополизации экономики, дебюрократизации управления и, конечно, общего перехода к фазе оживления и подъема производства и производственного инвестирования.
Для закрепления и дальнейшего развития позитивных тенденций роста российского малого предпринимательства, кардинального расширения поля его деятельности требуется активизация государственной поддержки МП на всех уровнях. В первую очередь в поддержке нуждается сфера кредитования и страхования малого бизнеса, стимулирования его инвестиционной активности. Настоятельной необходимостью является декриминализация малого бизнеса. Чрезвычайно важно также расширение инновационной и научной деятельности МП в интересах развития всех сфер российской экономики. Начало реального подъема в экономике позволит перейти к четвертому этапу по-настоящему рыночного развития российского малого предпринимательства.
Глава III Ïðîãðàììà ãîñóäàðñòâåííîé ïîääåðæêè ðàçâèòèÿ ìàëîãî ïðåäïðèíèìàòåëüñòâà â Ðîññèéñêîé Ôåäåðàöèè .
"Считаю поддержку малого бизнеса непременным условием дальнейшего развития экономики, становления среднего класса и в конечном итоге - успеха реформ".
Б.Ельцин
Предпринимательство как особая форма экономической активности, как конкретная форма обеспечения самозанятости части населения и создания новых рабочих мест пользуется правительственной поддержкой во всех промышленно развитых странах (в остальных странах большое распространение получает так называемое уличное предпринимательство). Суть правительственной (государственной) поддержки сводится чаще всего к выработке конкретных мер по трем направлениям:
консультационное сопровождение процесса создания и функционирования вновь созданных фирм на начальном этапе (1-3 года с момента образования фирмы); в США, к примеру, с этой целью на территории страны действуют региональные отделения правительственного "Агентства по малому бизнесу";
îêàçàíèå îïðåäåëåííîé ôèíàíñîâîé ïîääåðæêè âíîâü ñîçäàâàåìîé ñòðóêòóðå èëè ïðåäîñòàâëåíèå òàêîé ñòðóêòóðå îïðåäåëåííûõ ëüãîò (îáû÷íî â ñôåðå íàëîãîîáëîæåíèÿ);
îêàçàíèå òåõíè÷åñêîé, íàó÷íî-òåõíè÷åñêîé èëè òåõíîëîãè÷åñêîé ïîìîùè ìàëîìîùíûì â ôèíàíñîâîì îòíîøåíèè ïðåäïðèíèìàòåëüñêèì ñòðóêòóðàì (â Íèäåðëàíäàõ, ê ïðèìåðó, ñîçäàíû ðåãèîíàëüíûå íàó÷íî-òåõíè÷åñêèå áþðî, êîòîðûå íà áåçâîçìåçäíîé îñíîâå ïî çàÿâêàì ìàëûõ ïðåäïðèÿòèé ó÷àñòâóþò â ðàçðåøåíèè èõ íàó÷íî-òåõíè÷åñêèõ è òåõíîëîãè÷åñêèõ ïðîáëåì, ñâÿçàííûõ ñ ïðîèçâîäñòâåííûì ïðîöåññîì).
Наше государство , также как и другие пытается поддерживать малый бизнес. Так например , 1995 году был принят Закон Российской Федерации "О государственной поддержке малого предпринимательства в Российской Федерации". А на основании этого закона Постановлением Правительства РФ от 4 декабря 1995 года был образован Федеральный фонд поддержки малого предпринимательства. Согласно Закону Фонд определен государственным заказчиком Федеральной программы государственной поддержки развития малого предпринимательства в Российской Федерации .
Основной задачей Фонда является финансовое обеспечение федеральной политики в области государственной поддержки малого предпринимательства в Российской Федерации и создание эффективно действующего финансового механизма для реализации Федеральной программы государственной поддержки малого предпринимательства, участие в финансировании региональных (межрегиональных) программ, а также проектов и мероприятий, направленных на поддержку и развитие малого предпринимательства.
Во исполнение этой задачи реализуются основные направления деятельности:
Выработка финансовой стратегии по привлечению российского и международного банковского капитала, а также других кредитно-финансовых организаций под государственные гарантии Правительства Российской Федерации для обеспечения развития малого бизнеса в Российской Федерации.
Содействие формированию льготного налогового режима для работающих в сфере малого бизнеса.
Формирование системы лизинга как одной из наиболее перспективных возможностей создания и развития производственного базиса малого и среднего предпринимательства.
Содействие развитию внешнеэкономической активности субъектов малого предпринимательства.
Подготовку и переподготовку кадров для работы в структурах малого предпринимательства.
Создание условий для успешного развития предпринимательской деятельности путем формирования благоприятной инфраструктуры.
Информационное и нормативно-правовое обеспечение деятельности малых предпринимателей.
Развитие рекламно-выставочной и издательской деятельности в сфере малого предпринимательства.
Развитие инновационной деятельности в предпринимательских структурах, содействие в освоении новых технологий и изобретений.
Для реализации мероприятий Федеральной программы государственной поддержки малого предпринимательства при участии Фонда созданы 76 региональных фондов и центров. Они находятся под реальным контролем местных органов власти. Региональные фонды начинают брать на себя ключевую роль по проектному и финансовому управлению региональными программами развития малого предпринимательства на основе использования ресурсов Федерального фонда и регионов.
Одним из результатов деятельности Федерального фонда поддержки малого предпринимательства , утвержденная 7 июня 1996 года постановлением Государственной Думы № 444-II ГД , Федеральная программа государственной поддержки малого предпринимательства в Российской Федерации на 1996-1997 годы . Основные разработчики проекта Минэкономики России, Федеральный фонд поддержки малого предпринимательства, ГКРП России, ГКАП России, Миннауки России, Фонд содействия развитию малых форм предприятий в научно-технической сфере, Институт малого предпринимательства Высшей школы экономики Минэкономики России и Госкомвуза России.
Целью Программы является обеспечение устойчивого развития малого предпринимательства в производственной, инновационной и других сферах как неотъемлемой части новой структуры экономики, важнейшего направления создания новых рабочих мест и эффективных институциональных преобразований.
Задачи Программы
Создание правовых, экономических и организационных условий для устойчивого развития малого предпринимательства в качестве важнейшего условия подъема и структурной перестройки российской экономики, т.е. дальнейшее развитие системы нормативно-правового обеспечения предпринимательской деятельности, отражение в законодательных и других нормативных актах Российской Федерации и субъектов Российской Федерации интересов малого предпринимательства и особенностей субъектов малого предпринимательства с целью устранения их менее благоприятного положения в экономике по сравнению с более крупными предприятиями, содействия проявлению и развитию их конкурентных и социально-экономических преимуществ;
целенаправленное формирование системы государственной и общественной поддержки малого предпринимательства. Предусматривается соединение созданных в рамках Федеральной программы государственной поддержки малого предпринимательства в Российской Федерации на 1994-1995 годы отдельных звеньев и элементов инфраструктуры федерального и регионального уровня в систему, включающую разветвленную сеть инфраструктурных объектов (фонды, центры и агентства поддержки предпринимательства, выставочные и демонстрационно-дилерские центры, технопарки, бизнес-инкубаторы, информационные, консалтинговые и учебно-деловые центры, лизинговые компании, центры ремесел и т.д.).;
создание новых рабочих мест, открытие и поддержка малых предприятий в производственной, инновационной и социальной сферах для обеспечения рынка отечественными товарами и услугами, поддержание деловой и инвестиционной активности, развитие конкуренции на рынке товаров и услуг. Реализация мероприятий по обеспечению производственной и инновационной поддержки малых предприятий позволит создать условия для увеличения выпуска пользующейся спросом конкурентоспособной продукции, поддержки отечественных товаропроизводителей, повышения технического уровня производства и качества продукции субъектов малого предпринимательства, усиления их роли в развитии производственного потенциала рыночной экономики и ее научно-технической базы, интенсивного развития всех видов деятельности в сфере научно-исследовательских и опытно-конструкторских работ, освоения и передачи в сферу малого предпринимательства новых технологий, патентов и лицензий. Осуществление указанных мероприятий позволит создать значительное количество новых малых предприятий, особенно в кризисно-депрессивных районах, и новых рабочих мест, прежде всего для женщин, молодежи, уволенных в запас военнослужащих, вынужденных переселенцев. Для обеспечения действенной защиты предпринимателей и работников малых предприятий будет осуществлен комплекс мер по борьбе с рэкетом, коррупцией, создана и расширена сеть фирм, обеспечивающих безопасность функционирования малых предприятий и производящих специальные охранные средства.;
инициирование финансово-кредитных и инвестиционных механизмов, а также новых источников финансирования предпринимательской деятельности, прежде всего за счет собственных возможностей эффективно развивающихся малых предприятий. В 1996-1997 годах финансово-кредитная и инвестиционная поддержка малого предпринимательства должна сочетать оптимизацию налоговых льгот, развитие системы кредитования и создание благоприятного инвестиционного климата с участием специализированных фондов и других финансовых институтов. Сочетание мер прямой и косвенной поддержки должно способствовать формированию необходимого стартового капитала для вновь создаваемых, а также развитию существующих малых предприятий и преодолению негативной тенденции ухода этих предприятий от налогообложения. В 1996-1997 годах будут сохранены установленные действующим законодательством налоговые льготы для субъектов малого предпринимательства. Предстоит упростить систему учета и отчетности субъектов малого предпринимательства в целях получения основной информации, необходимой для решения вопросов налогообложения. В ходе реализации Программы предусматривается формирование гарантийного и лизингового фондов, способствующих в условиях повышенных рисков кредитованию и инвестированию в наиболее эффективные проекты и предприятия. Должен быть разработан порядок, при котором не менее 20 процентов средств, поступающих от приватизации в Федеральный фонд поддержки малого предпринимательства, используется для осуществления региональных инвестиционных программ. Будет введен в действие механизм размещения среди субъектов малого предпринимательства не менее 15 процентов объемов заказов на производство и поставку продукции, товаров и услуг для федеральных государственных нужд. ;
широкое распространение типовых элементов инфраструктуры, созданных в рамках программных разработок в 1994-1995 годах. Практически в каждом регионе Российской Федерации будут созданы и начнут действовать новые информационные центры, что позволит значительно улучшить информационное обеспечение малого предпринимательства. Будут реализованы меры по широкой пропаганде и популяризации возможностей и достижений в сфере малого предпринимательства, оказана необходимая помощь средствам массовой информации, освещающим эти вопросы. В ходе выполнения соответствующих мероприятий предполагается завершить в целом работу по созданию системы государственной поддержки малого предпринимательства на федеральном и региональном уровнях, отработать и внедрить механизм координации и обмена опытом по осуществлению программ поддержки малого предпринимательства, реализуемых при техническом содействии международных организаций. При усилении значения государственных органов поддержки предпринимательства должна возрастать роль общественных организаций в отстаивании законных интересов предпринимателей, создании благоприятного климата в обществе, привлечении средств массовой информации, использовании конкретных позитивных результатов деятельности малых предприятий.
Механизм реализации Программы
Программа направлена на создание условий поддержки малых предприятий на федеральном уровне путем инициирования разработки и создания правовой базы, гибкого финансово-кредитного механизма, целостной системы информационного и кадрового обеспечения, единой статистической базы, типовых программных решений по объектам инфраструктуры в тесной увязке с мероприятиями региональных программ поддержки малого предпринимательства.
Отличительной особенностью Программы является более четкое разграничение полномочий и ответственности Российской Федерации и ее субъектов за решение вопросов поддержки и регулирования малого предпринимательства.
Государственный комитет Российской Федерации по поддержке и развитию малого предпринимательства и Федеральный фонд поддержки малого предпринимательства осуществляют контрольные функции, позволяющие установить зависимость между затратами на осуществление Программы и конечными результатами, и обеспечивают тем самым эффективное использование средств, выделяемых на реализацию Программы.
Координация деятельности федеральных органов исполнительной власти и органов исполнительной власти субъектов Российской Федерации, Федерального фонда поддержки малого предпринимательства, а также общественных объединений предпринимателей по выполнению мероприятий Программы осуществляется Государственным комитетом Российской Федерации по поддержке и развитию малого предпринимательства, который определяет первоочередность выполнения мероприятий с учетом приоритетных направлений Программы и наличия средств в Федеральном фонде поддержки малого предпринимательства.
Программа предусматривает поэтапное выполнение намечаемых мероприятий, более тесную увязку основных элементов государственной политики в области малого предпринимательства с основными механизмами реформирования российской экономики.
Программа должна в максимальной степени интегрировать интересы и возможности всех структур федерального и регионального уровней, занимающихся поддержкой малого предпринимательства.
Оказание субъектам Российской Федерации финансовой поддержки будет осуществляться Федеральным фондом поддержки малого предпринимательства только при наличии у них утвержденных программ поддержки малого предпринимательства и выделении из соответствующих бюджетов средств на их реализацию.
Подводя итог вышеизложенному в этой главе , хочу сказать ,что правительство начинает принимать меры для повышения темпов развития малого предпринимательства . Очень радует тот факт , что наконец-то был принят закон о развитии предпринимательства т.е. появился первый государственный документ давший начало развитию инфраструктуры поддержки малого предпринимательства. Начавший свою деятельность Федеральный фонд поддержки малого предпринимательства явился первым государственным органом занимающимся исключительно вопросами поддержки малого бизнеса ( причем имеющим реальное финансирование так например на реализацию мероприятий Федеральной программы в 1996 году Фонду выделено из бюджета 386,6 млрд. рублей, собственные средства Федерального фонда составляют в настоящее время около 60,0 млрд. рублей) . Разработанная им целевая программа поддержки уже в прошлом 1996 году принесла реальные результаты : общий доход от использования собственных средств в 1996 году составил более 14,5 млрд. рублей. Так же произошли некоторые позитивные изменения в области финансово-экономической и информационной поддержки российского малого предпринимательства, формирования его инфраструктуры. Все это позволяет сделать вывод: начавшиеся изменения в сфере предпринимательства , показывают что меры государственной поддержки малого бизнеса и дальнейшем будут способствовать его развитию и процветанию .
ЗАКЛЮЧЕНИЕ
В настоящее время многое говорится о возрождении российского предпринимательства. Однако, если быть точным, то, что сегодня происходит в социально-экономической жизни России, есть попытка вторичного возрождения предпринимательства в нашей стране. Первая попытка (после октября 1917 ã.) áûëà ïðåäïðèíÿòà â ïðîöåññå ðåàëèçàöèè òàê íàçûâàåìîé íîвой экономической политики (НЭП), единственной — êàê ïðåäставлялось в то время — ôîðìû âûâîäà Ðîññèè èç ýêîíîìè÷åского и социального кризиса.
Наличие в любом обществе условий для предпринимательства, существование в таком обществе предпринимательского корпуса — ýòî íå òîëüêî äàíü ìîäå. Ýòî è ïîêàçàòåëü óðîâíÿ ýêîíîìè÷åñêîé ñâîáîäû ãðàæäàí, è îòðàæåíèå ïîíèìàíèÿ ïðîгрессивного характера предпринимательства со стороны представителей властных структур, определяющих, разрабатывающих и реализующих экономическую политику, в том числе и в отношении предпринимательства.
Видимо, было бы неверно соглашаться с распространенным тезисом о том, что будущее России — çà ïðåäïðèíèìàòåëüñòâîì. Áóäóùåå Ðîññèè — çà âñåìè íàìè è âî ìíîãîì áóäåò îïðåäåляться нашей способностью выработать эффективную концепцию бытоуложения. Но будущее России — è çà ïðåäïðèíèìàтелями. Поэтому требуется профессиональный подход каждого, кто решил заняться этой формой экономической деятельности, к исполнению своих предпринимательских функций.
Чудинов С.Ю.
13 ноября 1997
Литература :
Агеев А. И. Предпринимательство: проблемы собственности и культуры. -М., 1991. Ââåäåíèå è ãë. 1, ñ. -15.
Бусыгин А. Предпринимательство : Основной курс . ,1997 -М.,1997
Виленский А. Этапы развития малого бизнеса. Вопросы экономики . 1996 . -№7 . - С.38-41.
Грачев И. Развитие малого предпринимательства // Деньги и кредит . 1997 . -№1 .-С.15-21.
Грузинов В., Грибов В. Предпринимательство формы и методы организации предпринимательской деятельности // Экономика предприятия . - М., 1996
Иващенко А. А. Товарная биржа. - М., 1991.
Карлоф Б. Деловая стратегия. -М., 1991, ñ. 121-125.
Котлер Ф. Основы маркетинга. -М„ 1990, ñ. 339-405, 468-473, 477-479.
Курс экономики : Учебник . Основы предпринимательства . - М.,1997
Кадзума Татеис и. Вечный дух предпринимательства. Практическая философия бизнесмена. -М., 1990.
Маршалл А. Принципы политической экономии. - М., 1984, ò. III, ãë. Ø, ñ. 53—73.
Паловкин П.,Савченко В. Проблемы определения экономической сущности и содержания предпринимательства . Вестник МГУ , сер.6, Экономика . 1996 . - №2. -С.3-15.
Прохоров В. Развитие малого бизнеса // Экономика и жизнь . 1996 . -№34 . -С.1-3.
Шулус А. Становление системы поддержки малого предпринимательства в России ( спецкурс ) // Российский экономический журнал . 1997 . - №5-6,7. -С.84-101,83-99 .
Шумпетер И. Теория экономического развития. -М., 1982 ñ. 184-194,211-225.
Хизрич Р., Питере М. Предпринимательство, или как завести собственное дело и добиться успеха. вып. 1. Ì., ãë. 1, ñ. 11-50.
Хоскинг А. Среда предпринимательства . Курс предпринимательства . -М. , 1993 . - С.22-25
1 Хизрич Р, Питере М. Предпринимательство. Вып. 1. М., 1991, с. 20.
2 См. Там же
3 *Хоскинг А. Курс предпринимательства. М., 1993, с. 28. **См.: Предпринимательство в конце XX века. М., 1992, с. 20.
4 Виленский А. Малый бизнес : трудности роста .
5 Виленский А. Малый бизнес : трудности роста . (см.табл1)