Совершенствование методов экономической эффективности инвестиционных проектов
Библиографический список.
Федеральный Закон РФ "Об инвестиционной деятельности, осуществляемой в форме капитальных вложений" от 25.02.99 №.
Постановление Правительства РФ от 12.11.99 № 1249 "Положение о предоставлении государственных гарантий под инвестиционные проекты социальной и народно-хозяйственной значимости".
Е.М. Бородина, Ю.С. Голикова, Н.В. Колчина "Финансы предприятий". М., 1995г.
Джей К. Шим, Джоел Г. Сигел "Финансовый менеджмент " М., 1996г.
И.Я. Лукасевич "Анализ финансовых операций", М., 2001г.
Р.Брейли ., С. Мейерс "Принципы корпоративных финансов" пер. с англ. М., 97г.
"Финансы" , пер.с англ., М., 2000г.
В.Г. Золотогоров "Инвестиционное проектирование", Минск ИП"Экоперспектива" 1998г.
Е.М. Четыркин "Финансовый анализ производственных инвестиций" М.: "Дело" 1998г.
Шапиро В.Д. "Управление проектами" СПб, 1996г.
Экономика-учебник/ под ред. А.С. Булатова. М., 1997г.
Холт Р., Барнес С., "Планирование инвестиций"/ пер. с англ. М.: Дело Лтд, 1994г.
Пособие по подготовке инвестиционных проектов в нефтедобывающей области. Мн.: НПЭЦ-ЭКО, 1996г.
Золотогоров В.Г. "Энциклопедический словарь по экономике", Мн.: Полымя, 1997г.
Инвестиционное проектирование: Практическое руководство по экономическому обоснованию инвестиционных проектов/ Под ред. С.И. Шумилина М.: АО: "Финистатинформ", 2000г.
Липсиц И.В. "Инвестиционный проект: методы подготовки анализа". Учебно.-справочное пособие М. : БЕК, 2000г.
Евланов Л.Г. "Теория и практика принятия решений" М.: экономика, 1984г.
Крейнина М.Н. "Анализ финансового состояния инвестиционной привлекательности акционерных обществ в промышленности, строительстве и торговле" М.: 1994г.
Хикс Дж.Р "Стоимость и капитал" М., 1993г.
Ю.К. Перский "Предприятие и макроэкономическая среда(начало мезоэкономики)". ПГУ 2000г.
Агапова Т.А., Серегина С.Ф. "Макроэкономика" учебник. М.,1999г.
Офсейчук М.Р. Сидельникова Л.Б. "Методы инвестирования капитала" М., 1996г.
С. Глазьев. "Стабилизация и экономический рост" //Вопросы экономики. №1,1997 г.
Е. Кондратенко "Инвестиционные ресурсы – проблемы аккумуляции" // Экономист. №7, 1997 г.
А. Мартынов. "Активизация инвестиционной политики" //Экономист. №9, 1997г.
Я. Уринсон. "О мерах по оживлению инвестиционного процесса в России" //Вопросы экономики. №3 2000 г.
Газета "Экономика и жизнь" № 1-10 за 2001 год.
Гальперин В.М., "Макроэкономика" М.: Изд-во Моск. Ун-та, 1994 г.
Мэнкью Н.Г. "Макроэкономика", М., 1994г.
Н.Л. Шагас, Е.А. Туманова "Макроэкономика - 2", М.: "ТЕИС" 1999г.
"История экономических учений", учебник под ред. А.Г. Худокормова. М.: Инфра –М 1999 г.
ГЛАВА 1. Теоретические аспекты инвестиционного анализа.
Общие подходы к определению инвестиций. Основные модели инвестиций в экономической науке.
Инвестиции – денежные средства, ценные бумаги, иное имущество, в том числе имущественные права, иные права, имеющие денежную оценку, вкладываемые в объекты деятельности предприятия в целях получения прибыли или достижения иного полезного эффекта.
Капитальные вложения – инвестиции в основной капитал (основные средства), в том числе затраты на новое строительство, расширение, реконструкцию и техническое перевооружение предприятия, приобретение машин, оборудования, инструмента, инвентаря, проектно-изыскательские работы и другие затраты, увеличивающие стоимость основных средств.
Под инвестициями или капиталовложениями в самом общем смысле понимается временный отказ экономического субъекта от потребления имеющихся у него в распоряжении ресурсов (капитала) и использование этих ресурсов для увеличения в будущем своего благосостояния.
Простейшим примером инвестиций оказывается расходование денежных средств на приобретение имущества, характеризующегося существенно меньшей ликвидностью - оборудования, недвижимости, финансовых или иных внеоборотных активов.
Основными признаками инвестиционной деятельности, определяющими подходы к ее анализу, являются:
Необратимость, связанная с временной потерей потребительской ценности капитала (например, ликвидности).
Ожидание увеличения исходного уровня благосостояния.
Неопределенность, связанная с отнесением результатов на относительно долгосрочную перспективу.
Принято различать два типа инвестиций: реальные и финансовые (портфельные). При дальнейшем изложении материала речь будет идти в основном о первом из них.
Следует отметить, что в случае реальных инвестиций условием достижения намеченных целей, как правило, оказывается использование (эксплуатация) соответствующих внеоборотных активов для производства некоторой продукции и последующей ее реализации. Сюда же, к примеру, относится использование организационно-технических структур вновь образованного бизнеса для извлечения прибыли в ходе уставной деятельности созданного с привлечением инвестиций предприятия.
В экономической науке различают следующие основные модели инвестиций:
Неокейнсианская модель инвестиций. Неокейнсианская модель построена на сравнении объема предполагаемых инвестиций с альтернативными способами использования денег. По этой модели сравниваются доходность проекта, требующего капиталовложений и альтернативные варианты вложения денег.
(1.1)
Если проект, требующий капиталовложений в размере I>0 >, будет приносить ежегодный доход Т в течении N лет, то инвесторы вложат в него деньги только в том случае, когда I>0><PV(T). Если ставка процента увеличивается, то PV(T) падает и часть инвестиционных проектов, которые при прежней ставке процента были выгодными, становятся убыточными.
Неоклассическая модель инвестиций. В неоклассической модели инвестиций в основные фонды предприятия сравниваются издержки и выгоды фирм, владеющих инвестиционными товарами.
Общий объем расходов на инвестиции в основные фонды предприятий представляет сумму чистых инвестиций и инвестиций на возмещение износа капитала В данной модели рассматривается 2 вида фирм:
Фирма сдающая капитал в аренду
Фирма арендующая капитал
Реальный доход от сдачи в аренду единицы капитала равен его реальной цене R/P. Реальная цена совпадает с предельной производительностью капитала MPK.
Фирма, сдающая капитал в аренду несет 3 вида издержек:
альтернативные издержки, связанные с упущенным процентом i*P>k>.
издержки изменения цены капитала за время сдачи его в аренду.
издержки от износа.
Суммарные издержки фирмы от сдачи капитала в аренду оценивается в виде:
(1.2)
Реальная прибыль на единицу сданного в аренду капитала составляет:
(1.3)
Чистые инвестиции рассматриваются как функция от нормы прибыли:
(1.4)
При
,
чистые инвестиции фирмы увеличиваются,
и наоборот.
На величину инвестиций
оказывает влияние налоговая политика.
При расчете прибыли для взимания налога
на прибыль корпораций амортизация
рассчитывается исходя из первоначальной
стоимости запаса капитала. Поэтому в
периоды инфляции величина амортизации
занижается, а прибыль – завышается и,
следовательно, налог на прибыль
становиться излишне обременительным
и подрывает стимулы к инвестированию.
Иногда государство для стимулирования инвестиций вводит инвестиционный налоговый кредит – сокращение налоговых платежей фирмы пропорционально стоимости приобретенных инвестиционных товаров. Это ведет к снижению издержек на еденицу капитала и увеличению инвестиций.
Джеймс Тобин предложил следующую интерпретацию принятия фирмами решения об инвестировании. Он ввел показатель, который носит название q Тобина:
> (1.5)
>
В числителе – стоимость капитальных активов фирмы, складывающаяся на рынке ценных бумаг; в знаменателе – стоимость этих благ в случае их приобретения существующим ценам. Тобин полагал, что если q>1, то рыночная стоимость акций компании больше стоимости замещения капитала, поэтому фирме выгодно увеличивать запасы капитала. Если q<1, то наоборот, фирмы не будут замещать капитал по мере его выбытия.
Теория q Тобина представляет собой иную формулировку неоклассической теории инвестиций. Если прибыль фирм от владения капиталом положительна, то владение этими фирмами привлекательно, что повышает рыночную стоимость их акций, а следовательно и q Тобина. Эта модель отражает не только текущую, но и ожидаемую прибыльность капитала, так как зачастую рыночная стоимость акций растет, если в результате изменения экономической политики ожидается повышение в будущем прибыльности компании.
Таким образом, q Тобина полностью согласуется с неоклассической моделью и является просто более удобным индикатором поведения инвестиций. Это одна из причин пристального внимания экономистов к конъюнктуре рынка ценных бумаг, так как колебания рыночной стоимости акций могут указывать на близость спада или подъема.
В неоклассической модели предполагается, что если фирма желает осуществить инвестиции в новый капитал, то средства для этого на финансовом рынке всегда найдутся. Однако фирмы могут столкнуться с ограничениями финансирования, то есть с ограничениями объема средств, которые можно получить на финансовых рынках, что заставляет их инвестировать на основе текущих доходов, а не ожидаемой прибыли. Таким образом, ограничение финансирования снижает объем инвестиций.
Инвестиции в запасы.
Обычно называют 4 причины создания запасов:
предотвращение колебаний объемов производства;
запасы как фактор производства;
защита от исчерпания запасов;
незавершенное производство;
Инвестиции в запасы хорошо описывает модель акселератора. В ней предполагается, что фирма обладает запасами, пропорциональными ее объему выпуска N=BY, где N – уровень запасов; Y – выпуск; В – параметр, 0<B<1.
Инвестиции в запасы равны изменению объема запасов и пропорциональны изменению выпуска. При росте выпуска фирмы осуществляют инвестиции в запасы, при падении выпуска фирмы не инвестируют, позволяя запасам сокращаться.
Все приведенные модели подтверждают убывающий характер зависимости функции инвестиций от реальной ставки процента. Сдвиг инвестиционного спроса на основные производственные фонды вызывается причинами, изменяющими предельную производительность капитала, и изменение экономической политики.
На развитие инвестиционного процесса оказывают влияние многие факторы, но прежде всего оно зависит от состояния финансового рынка, а следовательно, от кредитно-денежной политики государства и, в частности от ставки процента. Природа этой зависимости обусловлена источниками инвестиций. На макроуровне источниками инвестиций являются совокупные национальные сбережения, которые в свою очередь формируются из сбережений населения, государственных сбережений, являющихся результатом фискальной политики правительства, и совокупных накоплений предприятий в виде амортизационных фондов. Источником же инвестиций на микроуровне является прибыль предприятий, направляемая в форме капитальных вложений на развитие производства.
Обратимся к изучению основных мотивов, учитываемых предприятием при принятии инвестиционных решений. Общепризнанным критерием любого выбора является сравнение выгод и затрат. Основным критерием выбора, влияющим на формирование инвестиционного спроса, является сравнение ожидаемой нормы прибыли по инвестиционному проекту и ставки рефинансирования, назначаемой по кредитным ресурсам банками. Однако динамичность инвестиций зависит не только и не столько от мотивации выбора при принятии решения микросубъектами, В значительной степени инвестиционный климат обуславливается теми общеэкономическими условиями, которые сложились в экономике в конкретный период времени, т.е. макроэкономической средой функционирования предприятий. Здесь определяющими факторами являются: уровень эксплуатационных издержек, налоги, уровень технологий, запас основного капитала, политическая ситуация.
В случае, если объем инвестиций оказывается существенным для данного экономического субъекта с точки зрения влияния на его текущее и перспективное финансовое состояние, принятию соответствующих управленческих решений должна предшествовать стадия планирования или проектирования, то есть стадия пред инвестиционных исследований, завершающаяся разработкой инвестиционного проекта.
Инвестиционным проектом называется план или программа мероприятий, связанных с осуществлением капитальных вложений, обоснованием технологий и экономической целесообразности и их последующим возмещением и получением прибыли.
Задача разработки инвестиционного проекта - подготовка информации, необходимой для обоснованного принятия решения относительно осуществления инвестиций.
Основным методом достижения этой цели является математическое моделирование последствий принятия соответствующих решений.
В целях моделирования инвестиционный проект рассматривается во временной развертке, причем анализируемый период (горизонт исследования) разбивается на несколько равных промежутков - интервалов планирования.
Для каждого интервала планирования составляются бюджеты - сметы поступлений и платежей, отражающих результаты всех операций, выполнявшихся в этом временном промежутке. Сальдо такого бюджета - разность между поступлениями и платежами - есть денежный поток инвестиционного проекта на данном интервале планирования.
Если
все составляющие инвестиционного
проекта будут выражены в денежной
оценке, мы получим ряд значений денежных
потоков, описывающих процесс осуществления
инвестиционного
проекта.
В укрупненной
структуре денежный поток инвестиционного
проекта состоит из следующих основных
элементов:
Инвестиционные затраты.
Выручка от реализации продукции.
Производственные затраты.
Налоги.
На начальной стадии осуществления проекта (инвестиционный период) денежные потоки, как правило, оказываются отрицательными. Это отражает отток ресурсов, происходящий в связи с созданием условий для последующей деятельности (например, приобретением внеоборотных активов и формированием чистого оборотного капитала).
После завершения инвестиционного и начала операционного периода, связанного с началом эксплуатации внеоборотных активов, величина денежного потока, как правило, становится положительной.
Дополнительная выручка от реализации продукции, равно как и дополнительные производственные затраты, возникшие в ходе осуществления проекта, могут быть как положительными, так и отрицательными величинами. В первом случае это может быть связано, например, с закрытием убыточного производства, когда спад выручки перекрывается экономией затрат. Во втором случае моделируется снижение затрат в результате их экономии в ходе, например, модернизации оборудования.
Технически задача инвестиционного анализа заключается в определении того, какова будет сумма денежных потоков нарастающим итогом на конец установленного горизонта исследования. В частности, принципиально важно, будет ли она положительна.
В инвестиционном анализе большую роль играют понятия прибыли и денежного потока, а также связанное с ними понятие амортизации.
Экономический смысл понятия "прибыль" заключается в том, что это - прирост капитала. Говоря по-иному, это увеличение благосостояния экономического субъекта, распоряжающегося некоторым объемом ресурсов. Прибыль является главной целью экономической деятельности.
Как правило, прибыль рассчитывается как разность между доходами, полученными от реализации продукции и услуг на заданном временном интервале, и затратами, связанными с производством этой продукции (оказанием услуг).
Необходимо особо отметить, что в теории инвестиционного анализа понятие "прибыль" (впрочем, как и многие другие экономические понятия) не совпадает с его бухгалтерской и фискальной трактовкой.
В инвестиционной деятельности факту получения прибыли предшествует возмещение первоначальных капиталовложений, чему соответствует понятие "амортизация". В случае вложения средств во внеоборотные активы эту функцию выполняют амортизационные отчисления.
Таким образом, обоснование выполнения главных требований, предъявляемых к проекту в сфере реальных инвестиций, строится на расчете сумм амортизационных отчислений и прибыли в пределах установленного горизонта исследования. Эта сумма, в самом общем случае, составит суммарный денежный поток операционного периода.
Понятие "стоимость капитала" тесно связано с экономическим понятием "прибыль".
Ценность капитала в экономике заключается в его способности создавать добавочную стоимость, то есть приносить прибыль. Эта ценность на соответствующем рынке - рынке капиталов - и определяет его стоимость. Таким образом, стоимость капитала - это норма прибыли, определяющая ценность распоряжения капиталом в течение определенного периода времени (как правило - года).
В простейшем случае, когда одна из сторон (продавец, заимодавец, кредитор) передает право на распоряжение капиталом другой стороне (покупателю, заемщику), стоимость капитала выражается в форме процентной ставки.
Величина процентной ставки определяется исходя из рыночных условий (то есть - наличия альтернативных вариантов использования капитала) и степени риска данного варианта. При этом одной из составляющих рыночной стоимости капитала оказывается инфляция.
При выполнении расчетов в постоянных ценах инфляционная компонента из величины процентной ставки может быть исключена. Для этого следует воспользоваться одной из модификаций известной формулы Фишера:
(1.6)
где
r -
реальная процентная ставка, n
- номинальная процентная ставка, i
- темп инфляции. Все ставки и темп инфляции
в данной формуле приводятся в виде
десятичных дробей и должны относиться
к одному и тому же периоду времени.
В общем случае величина процентной ставки соответствует доле основной суммы долга (принципала), которая должна быть выплачена по окончании расчетного периода. Ставки такого рода называются простыми.
Процентные ставки, различающиеся по продолжительности расчетного периода, могут быть сравниваемы между собой через расчет эффективных ставок или ставок сложного процента. Расчет эффективной ставки осуществляется по следующей формуле:
(1.7)
где
e -
эффективная ставка, s
- простая ставка, N
- число периодов начисления процентов
внутри рассматриваемого интервала.
Важнейшей составляющей стоимости капитала является степень риска. Именно вследствие различного риска, связанного с различными формами, направлениями и сроками использования капитала, на рынке капиталов в каждый момент времени могут наблюдаться различные оценки его стоимости.
1.2 Критерии оценки экономической эффективности инвестиционных проектов.
Понятие "дисконтирование" относится к числу ключевых в теории инвестиционного анализа. Буквальный перевод этого слова с английского ("discounting") означает "снижение стоимости, уценка".
Дисконтированием называется операция расчета современной ценности денежных сумм, относящихся к будущим периодам времени.
Противоположная дисконтированию операция - расчет будущей ценности ("future value") исходной денежной суммы - называется наращением или компаундированием и легко иллюстрируется примером увеличения со временем суммы долга при заданной процентной ставке:
(1.8)
где
F -
будущая, а P
- современная ценность (исходная величина)
денежной суммы, r
- процентная ставка (в десятичном
выражении), N
- число периодов начисления процентов.
Трансформация вышеприведенной формулы в случае решения обратной задачи выглядит так:
(1.9)
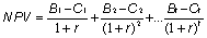
Методы дисконтирования используются в случае необходимости сопоставления величин денежных поступлений и выплат, разнесенных во времени. В частности, ключевой критерий эффективности инвестиций - чистая приведенная стоимость (NPV) - представляет собой сумму всех денежных потоков (поступлений и платежей), возникающих на протяжении рассматриваемого периода, приведенных (пересчитанных) на один момент времени, в качестве которого, как правило, выбирается момент начала осуществления инвестиций.
Как вытекает из всего сказанного выше, процентная ставка, используемая в формуле расчета современной ценности, ничем не отличается от обычной ставки, отражающей, в свою очередь, стоимость капитала. В случае использования методов дисконтирования эта ставка, тем не менее, обычно называется ставкой дисконтирования (возможные варианты: "ставка сравнения", "барьерная ставка", "норма дисконта", "коэффициент приведения" и др.).
От выбора ставки дисконтирования во многом зависит качественная оценка эффективности инвестиционного проекта. Существует большое количество различных методик, позволяющих обосновать использование той или иной величины этой ставки. В самом общем случае можно указать следующие варианты выбора ставки дисконтирования:
Минимальная доходность альтернативного способа использования капитала (например, ставка доходности надежных рыночных ценных бумаг или ставка депозита в надежном банке).
Существующий уровень доходности капитала (например, средневзвешенная стоимость капитала компании).
Стоимость капитала, который может быть использован для осуществления данного инвестиционного проекта (например, ставка по инвестиционным кредитам).
Ожидаемый уровень доходности инвестированного капитала с учетом всех рисков проекта.
Перечисленные выше варианты ставок различаются между собой главным образом степенью риска, являющегося одной из компонент стоимости капитала. В зависимости от типа выбранной ставки дисконтирования должны интерпретироваться и результаты расчетов, связанных с оценкой эффективности инвестиций.
Свое непосредственное использование теория ценности денег во времени находит при построении дисконтированных критериев ценности проекта. Совокупность описываемых критериев позволяет отобрать проекты для дальнейшего рассмотрения, проанализировать проектные альтернативы, оценить проект с точки зрения инвестора и т.д. Принятие соответствующего решения базируется на сравнении полученного расчетного результата с так называемой "точкой отсчета". Кроме того, экспертиза проекта призвана сравнить ситуацию "без проекта" с ситуацией "с проектом", т.е. проанализировать только те изменения в затратах и выгодах, которые обусловлены данным проектом.
Подобный подход не адекватен сопоставлению ситуации до проекта с ситуацией после него, так как сравнение положений до и после проекта не учитывает изменений в капиталовложениях и производстве, которые произошли бы без осуществления проекта, и ведет к неточному подсчету выгод и затрат, относимых на счет проекта. Рассмотрим несколько примеров.
1) Некоторое предприятие обеспечивало ежегодных темп роста производства, равный 1%. Реализация проекта замены оборудования обеспечила увеличение ежегодного темпа роста производства до 5%. Что дал проект предприятию? Итак, в ситуации "без проекта" — 5%, значит проект обеспечил увеличение ежегодного темпа роста производства на 4%.
2) На некотором предприятии прогнозируется падение производства на 7% в год. Руководство предприятия разработало проект, который, хотя и не прекратит падение производства, но все же сократит его темп до 3% в год. Эксперт, сравнивающий ситуацию без проекта и с проектом отвергнет проект на том основании, что произойдет падение производства на 3%, в то время как результатом проекта на самом деле явилось повышение производства по сравнению с тем уровнем, который наблюдался бы, если бы проект не был осуществлен.
Эти примеры наглядно показывают несколько важно при принятии решений измерять и сравнивать не просто все выгоды и затраты по проекту, а их приростные значения.
В условиях совершенной конкуренции критерием эффективности инвестиционного проекта является уровень прибыли, полученной на вложенный капитал. При этом под прибыльностью (доходностью) понимается не просто прирост капитала, а такой темп его роста, который полностью компенсирует общее изменение покупательной способности денег в течение рассматриваемого периода, обеспечивает минимальный уровень доходности и покрывает риск инвестора, связанный с осуществлением проекта.
Таким образом, проблема оценки привлекательности инвестиционного проекта заключается в определении уровня его доходности. В Российской практике инвестиционного проектирования существуют два основных подхода к решению этой проблемы, и методы оценки эффективности инвестиций можно разделить на две группы:
простые или статические;
методы дисконтирования.
К простым методам можно отнести расчет срока окупаемости и простую норму прибыли.
1. Срок окупаемости (Payback period) — это ожидаемый период возмещения первоначальных вложений из чистых поступлений (где чистые поступления представляют собой денежные поступления за вычетом расходов).
2. Простая норма прибыли (Simple rate of return). Данный критерий показывает, какая часть инвестиционных затрат возмещается в виде прибыли в течение одного интервала планирования. Сравнивая рассчитанную величину нормы прибыли с минимальным или средним уровнем доходности, инвестор может прийти к заключению о целесообразности дальнейшего анализа данного инвестиционного проекта.
(1.10)
Преимущества данного метода, как и первого, включают простоту расчетов. Кроме того, оценивается прибыльность проекта. Однако норма прибыли обладает существенными недостатками и также является достаточно грубым методом: не учитывается ценность будущих поступлений (как и в первом случае), существует большая зависимость от выбранной величины чистой прибыли, рассчитанная норма прибыли играет роль средней за весь период.
Дисконтированные критерии, дают возможность избавиться от основного недостатка простых методов оценки — невозможности учета ценности будущих денежных поступлений по отношению к текущему периоду времени и, таким образом, получить корректные оценки эффективности проектов, особенно связанных с долгосрочными вложениями.
В мировой практике в настоящее время наиболее употребимы следующие дисконтированные критерии:
Чистая текущая стоимость (net present value) NPV
Индекс прибыльности (Profitability index) PI
Отношение выгод к затратам (benefit/cost ratio) B/C ratio
Внутренняя норма доходности или прибыльность проекта (internal rate of return) IRR
Период окупаемости (payback period) PB
Введем
дополнительные обозначения:
Bt
— выгоды проекта в год t
Ct
— затраты проекта в год t
t
= 1 ... n — годы жизни проекта
Тогда перечисленные критерии могут быть рассчитаны следующим образом:
1. Чистая текущая стоимость
(1.11)
Инвестору следует отдавать предпочтение только тем проектам, для которых NPV имеет положительное значение. Отрицательное же значение свидетельствует о неэффективности использования денежных средств: норма доходности меньше необходимой.
Из приведенного выше выражения ясно, что абсолютная величина чистого приведенного дохода зависит от двух видов параметров. Первый характеризует инвестиционный процесс объективно и определяются производственным процессом. Ко второму виду следует отнести ставку дисконтирования.
Проанализируем зависимость NPV от ставки r для случая, когда вложения осуществляются в начале процесса, а отдача примерно равномерная. Когда ставка сравнения достигает некоторого значения r*, эффект инвестиций оказывается нулевым. Любая ставка, меньшая, чем r*, соответствует положительной оценке NPV.
При высоком уровне ставки отдельные платежи оказывают малое влияние на NPV. В силу этого различные по продолжительности периодов отдачи варианты могут оказаться практически равноценными по конечному экономическому эффекту. В то же время ясно, что при всех прочих равных условиях проект с более длительным периодом поступлений доходов предпочтительней. В связи с необходимостью учета этого фактора в финансовой литературе обсуждаются некоторые дополнительные показатели, которые базируются на различных подходах к двум частям потока поступлений — в пределах срока окупаемости и за этими пределами. Те поступления, которые охватываются сроком окупаемости, рассматриваются как покрытие инвестиций, остальные поступления считаются чистым доходом и на них дисконтирование не распространяется.
Одним из основных факторов, определяющих величину чистой текущей стоимости проекта, безусловно, является масштаб деятельности, проявляющийся в "физических" объемах инвестиций, производства или продаж. Отсюда вытекает естественное ограничение на применение данного метода для сопоставления различающихся по этой характеристике проектов: большее значение NPV не всегда будет соответствовать более эффективному варианту капиталовложений.
Таким образом, при всех достоинствах этот критерий не позволяет сравнивать проекты с одинаковой NPV, но разной капиталоемкостью. В таких случаях можно использовать следующий критерий:
2. Индекс прибыльности показывает относительную прибыльность проекта, или дисконтированную стоимость денежных поступлений от проекта в расчете на единицу вложений. Он рассчитывается путем деления чистых приведенных поступлений от проекта на стоимость первоначальных вложений:
(1.12)
где:
NPV — чистые
приведенные денежные потоки проекта
();
Со —
первоначальные затраты.
Однако не следует забывать, что очень большие значение индекса прибыльности не всегда соответствуют высокому значению NPV и наоборот. Дело в том, что имеющие высокую чистую текущую стоимость проекты не обязательно эффективны, а значит имеют весьма небольшой индекс прибыльности.
3. Отношение выгоды/затраты
Отношение выгоды/затраты или прибыли/издержки (Benefits to Costs Ratio) рассчитывается по следующей формуле и показывает частное от деления дисконтированного потока выгод на дисконтированный поток затрат
(1.13)
где:
Bt — выгоды в
год t;
Ct
— затраты в год t;
r
— норма дисконта;
t
— год осуществления проекта.
Если B/Cratio больше единицы, то доходность проекта выше, чем требуемая инвесторами, и проект считается привлекательным.
Этот показатель может быть использован для демонстрации того, насколько возможно увеличение затрат без превращения проекта в экономически непривлекательное предприятие. Так, значение данного показателя, равное 1.05, показывает, что при росте затрат на 6% значение индекса прибыльности упадет ниже точки самоокупаемости, которая равна 1.00. Таким образом, становится возможным быстро оценить воздействие на результаты проекта экономического и финансового рисков.
При выборе критерия инвесторы хотят быть уверенными в том, что он даст точную оценку проекта и правильно ранжирует альтернативы.
Во многих случаях NPV и B/Cratio одинаково выбирают лучший из двух проектов. Однако в некоторых ситуациях при выборе одной из нескольких альтернатив данные методы дают противоречивые результаты. (рис. 1-2)

Рис. 1.1 Выбор проекта при бюджетном ограничении
Если оцениваются проекты в условиях строгого бюджетного ограничения С=С*, то не возникает никаких проблем. Границы эффективности совпадают для обоих критериев (NPV = 0 B/Cratio = 1). Проекты лежащие выше на вертикальной линии имеют большую доходность; М предпочитается L и уступает N,

Рис. 1.2 Противоречия NPV и B/Cratio
4. Внутренняя норма рентабельности (Internal Rate of Return) Это значение процентной ставки r, при которой NPV=0. Она имеет конкретный экономический смысл дисконтированной "точки безубыточности" и называется внутренней нормой рентабельности, или, сокращенно, IRR.
В этой точке дисконтированный поток затрат равен дисконтированному потоку выгод. Этот критерий позволяет инвестору данного проекта оценить целесообразность вложения средств. Если банковская учетная ставка больше IRR, то, по-видимому, положив деньги в банк, инвестор сможет получить большую выгоду.
Возвращаясь к графику на рисунке(1.2), видно, что r* — есть не что иное, как IRR. Если капиталовложения осуществляются только за счет привлеченных средств, причем кредит получен по ставке i, то разность (r* — i) показывает эффект инвестиционной (предпринимательской) деятельности. при r*=i доход только окупает инвестиции (инвестиции бесприбыльны), при r*<i инвестиции убыточны.
Еще один вариант интерпретации состоит в трактовке внутренней нормы прибыли как предельного уровня доходности (окупаемости) инвестиций, что может быть критерием целесообразности дополнительных капиталовложений в проект.
За рубежом часто расчет IRR применяют в качестве первого шага количественного анализа капиталовложений. Для дальнейшего анализа отбирают те инвестиционные проекты, IRR которых оценивается величиной не ниже 10—20%.
Внутренняя ставка дохода от проектов, принятых для финансирования, варьируется в зависимости от отрасли экономики и от того, является проект частным или государственным предприятием. Имеются две причины такого положения. Во-первых, различны степени риска. Так, например, разведка полезных ископаемых — более рискованное предприятие, чем орошаемое земледелие, и поэтому инвесторы в горнорудный проект могут потребовать более высокой ставки дохода для компенсации большего риска, которому они подвергаются по сравнению с инвесторами в сельскохозяйственное предприятие. Во-вторых, частные инвесторы, как правило, преследуют только свои интересы при выборе объекта для инвестирования и требуют порой гораздо больший уровень нормы прибыли, нежели государство, осуществляющее социальные задачи.
Точный расчет величины IRR возможен только при помощи компьютера, однако возможен приближенный расчет IRR.
Критерии эффективности инвестиционных проектов, как и любые модели, основаны на определенных предпосылках.:
1. Уровень риска рассматриваемых проектов соответствует среднему уровню риска фирмы в целом.
2. Затраты на капитал постоянны во времени и не зависят от объема инвестиций в проект.
3. Инвестиционные возможности независимы. Не существует никаких связей между рассматриваемыми проектами (т.е. они не являются взаимоисключающими, дополняющими или зависимыми), и денежные потоки любой пары проектов некоррелируемы.
4. Ставка процента, по которой фирма занимает капитал на рынках капитала, равна ставке, которую она может получить, инвестируя свой капитал на этих рынках .
5. Существует "совершенный" рынок капитала, что означает:
а)
никто не обладает достаточной властью
для влияния на цены;
б) любой участник
может взять или дать взаймы столько,
сколько захочет, не оказывая влияния
на цены; 1
в)
трансакционные издержки равны нулю;
г) все участники имеют свободный
доступ к информации;
д) капитал
неограничен.
6. Инвестиционные решения независимы от потребительских.
Кроме названных предположений, необходимо отметить, что критерий IRR неявным образом подразумевает, что денежные поступления в течение функционирования проекта могут быть реинвестированы по ставке, равной IRR, в то время как использование NPV и PI предполагает, что эти промежуточные денежные поступления реинвестируются по ставке, равной требуемой норме доходности или затратам на капитал. Кроме того, PI измеряет продисконтированные денежные поступления в расчете на один рубль денежных оттоков, а NPV измеряет абсолютную величину разницы между продисконтированными денежными поступлениями и платежами.
Однако вышеназванные предпосылки на практике могут не выполняться. Конфликты в ранжировании взаимоисключающих инвестиционных проектов между NPV, IRR и PI могут возникнуть, из-за различных предположений о реинвестициях и из-за разницы между абсолютным денежным значением, измеряемым NPV, и относительной прибыльностью на рубль продисконтированных денежных оттоков, измеряемых PI. В частности, конфликты между этими критериями могут возникать при:
а)
несоответствия объемов денежных оттоков,
необходимых для реализации рассматриваемых
взаимоисключающих проектов;
в)
несоответствия во времени денежных
поступлений, генерируемых рассматриваемыми
взаимоисключающими проектами;
Методы анализа выгод и затрат, рассмотренные выше, применимы к большинству проектов, в которых можно оценить выгоды и затраты. Однако, существует ряд проектов, не позволяющих измерить выгоды. В последних случаях анализ эффективности затрат — единственный способ оценить варианты проекта.
Анализ эффективности затрат применяется для выбора из ряда вариантов наименее дорогого проекта, обеспечивающего выполнение поставленной задачи. К таким проектам относятся проекты в области здравоохранения, питания, общественного управления, жилищного строительства, водоснабжения, т.е. там где результаты будут иметь место на протяжении многих последующих лет. Для определения ценности проекта недостаточно установить затраты на его осуществление и изыскать источник финансирования. Перед принятием решения об осуществлении проекта необходимо оценить все аспекты проекта на протяжении всего периода его существования. Оценка затрат на проекты и положительных результатов проекта в течение всего периода их деятельности, которая часто именуется калькуляцией затрат и доходов за срок службы, составляет основу проектного анализа. Оценка всех аспектов проекта за срок службы предохраняет от незаслуженно поощряемых проектов, которые дают быструю отдачу, но характеризуются отрицательными долгосрочными результатами, а также помогает избежать предубеждения относительно проектов, медленно набирающих силу, но приносящих существенные долгосрочные выгоды.
В принципе, создание модели оценки положительных результатов проектов довольно несложно. Расходы на эксплуатацию, техническое обслуживание и текущий ремонт отражают стоимость материалов, рабочей силы и услуг, требуемых для выпуска продукции проекта и поддержание основных фондов проекта в хорошем рабочем состоянии. Выгоды оцениваются как прирост продукции проекта, помноженный на цену, которую потребитель или пользователи платят или согласятся платить за продукцию проекта. Следующие упрощенные формулы относятся к одному виду ресурсов и одному виду выпускаемой продукции.
Выгоды
= Прирост * Цену за любой год объема
продукции
Затраты = Прирост * Стоимость
за любой год ресурсов
(1.14)
Все относящиеся к проекту затраты и выгоды следует принимать во внимание при оценке проекта, но нельзя их регистрировать дважды, т.е. количественно или качественно. Выгоды иногда заявляются в связи с приростом персонала проекта или увеличением доходов в твердой иностранной валюте в дополнение к подсчитанному экономическому доходу проекта. В предположении, что приток рабочей силы в проект и расходы и накопления иностранной валюты проектом уже были оценены в скрытых ценах, которые отражают их стоимость для экономики, любое увеличение персонала проекта или эффекты обмена иностранной валюты уже учтены и их не следует добавлять или показывать как отдельные выгоды.
Особенностью оценки эффективности инвестиций, вкладываемых в проекты в условиях рыночной экономики, является большая степень неопределенности и непостоянства применительно к перспективным результатам из-за частых и достаточно быстрых изменений в целях, стоимости, технологии и конкуренции. В нынешних условиях дополнительным переменным фактором, влияющим на конечный результат, является инфляция, обусловившая непрерывное изменение процентных ставок, обменного курса национальной валюты, изменение спроса, неустойчивость законодательства и другие. Большие колебания экономической ситуации ведут к повышенному риску долгосрочного планирования, поэтому в западной экономике при оценке эффективности вложений большое значение придается краткосрочным, но определенным возможностям.
Вторая особенность оценки эффективности инвестиций в методиках стран с рыночной экономикой – обязательный учет фактора времени путем дисконтирования затрат и выгод.
Третья особенность – повышенная роль процентной ставки. В условиях социалистической экономики, в оценке эффективности капиталовложений предпочтение отдавалось методам, не учитывающим процентную ставку, либо рекомендующим пониженный норматив, что обеспечивало преимущество долгосрочным проектам в тяжелой промышленности. Применение для дисконтирования не индивидуальной нормы доходности, а фиксированного норматива эффективности капиталовложений не было связано с интересами отдельных инвесторов. Недостаточно точная оценка эффективности инвестиций приводила к тому, что для реализации принимались неэффективные долгосрочные проекты, возникали ситуации дефицита и нехваток, увеличивалось незавершенное строительство, происходило омертвление вложенных средств.
Методы анализа, используемые в странах с рыночной экономикой, основываются на предпосылке, что удачные инвестиционные решения ведут к улучшению качества жизни и к экономическому росту. Следовательно, цель анализа эффективности инвестиций состоит в максимизации общественного или частного благосостояния с учетом ряда ограничений. Каждое инвестиционное решение целесообразно оценивать с двух точек зрения: финансовый анализ – для оценки выгод конкретного инвестора, экономический анализ – для определения эффективности инвестиций для общества. Если в ходе финансового анализа все затраты и выгоды определяются в рыночных ценах, инвестиции распределяются на весь срок службы проекта или срок займа и используется частная ставка дисконтирования, то задачей экономического анализа является максимизация выигрыша в общественном благосостоянии при условии выполнения ряда социальных целей.
Метод определения бухгалтерской рентабельности инвестиций (коэффициента эффективности инвестиций – (ROI) ориентирован на оценку инвестиций на основе не денежных поступлений, а бухгалтерского показателя – дохода фирмы. Этот показатель представляет собой отношение средней величины дохода фирмы по бухгалтерской отчетности к средней величине инвестиций. Показатель ROI приобрел наибольшую популярность при оценке инвестиционных проектов, связанных с разработкой финансовыми организациями и банками новых типов их услуг, так как основные активы этих организаций представляют собой денежные средства, а значит здесь очень мала амортизация и не требуется оборотный капитал. Кроме того, в акционерных обществах, получивших широкое распространение в России, этот показатель ориентирует менеджеров на те инвестиционные проекты, которые прямо связаны с уровнем бухгалтерского дохода, интересующего акционеров в первую очередь.
Методики, предлагаемые зарубежными экономистами, отличаются максимальным учетом всех факторов и условий, воздействующих на эффективность инвестиций, к числу которых относится и валютный фактор. Особенно важен его учет в России, где многие инвестиции осуществляются в иностранной валюте (например, в долларах США). Национальные курсы часто завышают или занижают ценность внутренней валюты, что приводит к ценовому искажению капитала в иностранной валюте. Поэтому ценность вложений в иностранной валюте целесообразно определять, скорректировав общие инвестиции на удельный вес импорта и валютный курс.
По мнению большинства зарубежных экономистов наиболее достоверная оценка эффективности инвестиций достигается с помощью показателей NPV, IRR и PI . Причем, практика использования различных методов показала, что и для частных инвесторов и для государства наиболее обобщающим критерием является чистая текущая стоимость, а показатель внутренней нормы прибыли предпочтительнее и точнее, чем срок окупаемости.
В целом можно констатировать, что разные показатели с разных сторон характеризуют целесообразность инвестиционных проектов и ни одной из характеристик не следует пренебрегать, так как каждая из них несет свой объем информации, и только все они в совокупности могут дать реальное представление о приемлемости инвестиционного проекта.
1.3 Проблемы учета рисков в оценке экономической эффективности инвестиционных проектов.
Виды рисков, существующих в нефтегазодобывающей отрасли, включают: геологический (неопределенность, связанная с недостаточной геологической изученностью объекта), инженерный (неопределенность, связанная с возможностью человеческой ошибки или отказа оборудования) и временной (неопределенность в отношении времени возникновения событий). Все эти риски и вероятности успеха должны быть конкретно изучены опытным геологом или инженером, после чего производится их суммирование и определяется общий риск и вероятность успеха. Самым простым методом является расчет дисконтированного потока наличности для каждого ожидаемого события (каждой скважины, проекта разведки или разработки) и умножение этой величины на фактор успеха для определения ожидаемой стоимости в денежном выражении (EMV). Затем все индивидуальные полученные значения EMV суммируются для получения общей стоимости проекта в денежном выражении. Этот метод используется при оценке недоказанных запасов, а также при принятии решений по вопросам участия в проектах разведки. Он также может быть использован при принятии решения по бурению скважины, будь-то разведочная или эксплуатационная скважина.
Существует множество рисков, связанных с бурением разведочной скважины. Как правило, считается, что основными рисками являются геологические риски. Однако, риски, связанные с бурением, также могут оказывать влияние на оценку риска, особенно, в тех случаях, когда бурятся глубокие скважины или когда бурение проводится в сложных условиях.
Оценка основных геологических рисков подразумевает наличие следующих элементов:
структуры
коллектора (пласта)
материнской породы
изолирующего слоя
Геологоразведчик устанавливает доверительную вероятность (или вероятность успеха) для каждого из этих элементов, Величина этого фактора выражается десятичной дробью и, как правило, находится в диапазоне от 0,3 до 1,00. Точность и качество этих величин зависит от количества данных по каждому элементу, а также от знаний и опыта эксперта. При проведении анализа рисков можно учесть и дополнительные геологические факторы риска, но каждый из этих факторов снизит конечную вероятность успеха. Фактор риска может быть установлен и для бурения, если из статистических данных видно, что некоторые стволы скважин потеряны из-за тяжелых условий бурения, таких как сложная структура пород, наличие мощного слоя глинистого сланца или соленосных интервалов. После того, как величины вероятности успеха для каждой категории рассчитаны, они умножаются друг на друга, результатом чего является суммарная величина вероятности успеха (POS). Например, если геологический объект имеет следующие показатели вероятности успеха:
Структура = 95% или 0.95 вероятности успеха или POS
Коллектор (пласт) = 90% или 0,90 вероятности успеха или POS
Материнская порода = 100% или 1,00 вероятности успеха или POS
Изолирующий слой = 95% или 0.95 вероятности успеха или POS
То, следовательно, суммарная величина вероятности успеха равна
POS= 0,95*0,9*1,00*0,95=0,81 или 81% вероятности успеха (POS).
Впоследствии величина POS используется в формуле для расчета ожидаемой стоимости скважины в денежном выражении (EMV). Для эксплуатационных скважин или скважин с низкой степенью риска POS может рассчитываться путем тщательного изучения данных по бурению, освоению и добычи в данном районе. Например, отношение освоенных добывающих скважин к общему числу пробуренных скважин часто будет иметь значение близкое к величине, полученной в результате геологических расчетов с помощью показателей, речь о которых шла выше.
Как правило, компании пользуются своими собственными классификациями вероятности успеха, где, например, 90% вероятности успеха (POS) соответствует очень низкой степени риска, т.е. существует очень большая вероятность успеха. 80% POS приравнивается к низкой степени риска, т.е. существует большая вероятность успеха и т.д.
Понятие геологического риска пока устойчиво "не прижилось" в геологической литературе и не является общепринятым. Различные исследователи понимают под ним не совсем одно и то же.
Известны различные определения понятия "риск". В наиболее общем виде риск может быть определен как вероятность осуществления некоторого нежелательного события. Существуют различные виды риска в зависимости от объекта, рискованность которого оценивается.
Геологический риск при оценке локального объекта определим как вероятность того, что реальные геологические запасы окажутся ниже ожидаемого уровня или фильтрационно-емкостные характеристики будут хуже тех, что использовались при оценке ресурсов или запасов. Геологический риск, ассоциируемый с локальным объектом, и степень его изученности связаны обратной зависимостью. Чем выше изученность, тем меньше риск получить неверную оценку ресурсного потенциала объекта. С другой стороны, риск есть мера неопределенности: больше неопределенность в оценке параметров - больше риск и наоборот. Это становится совершенно ясным из следующего примера. Допустим, что один объект изучен детальной сейсморазведкой и разведочной скважиной, подтвердившей его продуктивность, а другой лишь выявлен по сейсмическим данным. Ясно, что в первом случае речь может идти лишь о вариациях фильтрационно-емкостных свойств (ФЕС) в области продуктивности объекта в каких-то пределах. Во втором случае объект может оказаться как совершенно пустым, так и продуктивным. Т.е. его ресурсы могут изменяться от нуля до каких-то конечных величин, определяемых емкостью ловушки и максимально возможными ФЕС для данного района. Ясно, что геологический риск во втором случае намного выше.
Различают локальный и зональный риск. Зональный риск конкретного локального геологического объекта - это доля риска этого объекта в составе перспективной зоны или района. Локальный риск относится к конкретному объекту, рассматриваемому изолированно, а не в составе зоны или района, и измеряется дисперсией возможных исходов относительно ожидаемых ресурсов или запасов этого объекта (или ФЕС). Поэтому он может быть оценен с помощью различных мер рассеяния: размаха вариации, дисперсии, среднего квадратического (стандартного) отклонения и т.д., рассчитываемых для трех возможных исходов относительно оцениваемых ресурсов: пессимистического, наиболее вероятного и оптимистического. Наиболее предпочтительной мерой оценки локального риска объекта является коэффициент вариации. Чем выше перечисленные величины, и прежде всего коэффициент вариации, тем выше геологический риск, связанный с данным локальным объектом.
Те же рассуждения можно отнести к оценке каждого отдельного свойства: пористости, эффективной толщины, объема, коэффициента заполнения ловушки и т.д., но это уже более частные характеристики геологического риска в данном понимании.
В такой постановке геологический риск связан с неопределенностью геологической модели и не зависит от абсолютной величины запасов. Т.е. если допустить, что геологическая модель известна абсолютно точно (а такого не бывает даже после окончания разработки месторождения), то коэффициент вариации, а значит и локальный геологический риск будет равен нулю.
В то же время следует указать, что рассчитанная таким образом мера риска лишь косвенным образом связана с инвестиционным риском, который в свою очередь зависит также от абсолютной величины ресурсов, наличия инфраструктуры, стоимости конечной продукции и многих других факторов. Чтобы учесть это, следуя той же логической схеме, наиболее целесообразной представляется следующая последовательность действий:
расчет прогнозных объемов добычи по годам эксплуатации при трех вариантах оценки извлекаемых ресурсов: пессимистической, наиболее вероятной и оптимистической;
построение гипотетических инвестиционных проектов при вышеупомянутых трех схемах эксплуатации месторождений;
количественная оценка эффективности данных инвестиционных проектов по величинам чистой приведенной (дисконтированной) стоимости (NPV) при различных вариантах стоимостных характеристик проектов;
расчет статистических характеристик рассеяния показателя NPV по различным вероятным реализациям проектов;
сравнительная оценка инвестиционного риска освоения локальных объектов по величинам рассчитанных характеристик рассеяния и прежде всего коэффициентов вариации.
Вместо
NPV показателями эффективности
гипотетических реализаций инвестиционных
проектов (или наряду с ними) могут
выступать и другие общепринятые
характеристики: внутренняя норма прибыли
или индекс рентабельности со всеми
особенностями, присущими данным
показателям.
1
ГЛАВА 2. ОСОБЕННОСТИ ИНВЕСТИЦИОННОГО ПРОЕКТИРОВАНИЯ В ЗАО "ЛУКОЙЛ-ПЕРМЬ".
2.1. Общая характеристика ЗАО "ЛУКОЙЛ-ПЕРМЬ".
Закрытое акционерное общество "ЛУКОЙЛ-ПЕРМЬ" является юридическим лицом и действует на основании новой редакции Устава, которая утверждена решением Общего собрания Акционеров 18 июня 1996 года в соответствии с требованиями Федерального Закона "Об акционерных обществах".
Первоначально Общество зарегистрировано администрацией Ленинского района г. Перми Постановлением № 54 от 07.04.92.г.(свидетельство №614 от 07.04.92.г.) и действовало под наименованием Акционерное общество закрытого типа "ЛУКОЙЛ-ПЕРМЬ". 9 ноября 1995 года Общее собрание Акционеров приняло новую редакцию Устава и переименовало Общество в Закрытое Акционерное Общество "ЛУКОЙЛ-ПЕРМЬ".
Акционерами общества являются юридические и физические лица, зарегистрированные в реестре Общества.
Основными видами деятельности Общества являются:
разработка и добыча минерального и углеводородного сырья;
строительство и эксплуатация нефтепроводов;
переработка нефти и реализация нефтепродуктов;
экспорт и импорт нефти и нефтепродуктов;
строительство и эксплуатация заправочных станций и объектов сервисного обслуживания;
транспортно и транспортно-экспедиционные услуги;
инвестиционная деятельность;
производство продукции производственно-технического назначения;
строительно-монтажные работы;
разработка и внедрение экологических программ;
поиск и разведка нефтяных и газовых месторождений;
другие виды производственной и коммерческой деятельности, способствующие развитию Общества и не запрещенные законодательством РФ.
Основные виды продукции, выпускаемые в ЗАО ЛУКОЙЛ-ПЕРМЬ:
нефть, реализуемая на внутреннем рынке и на экспорт;
нефтепродукты, реализуемые на внутреннем и внешнем рынках;
попутный нефтяной газ, реализуемый на внутреннем рынке.
Нефть добывается производственными подразделениями НГДУ "Полазнанефть" и Краснокамский УНД. Нефть добываемая НГДУ "Полазнанефть" идет на переработку на "ЛУКойл-ПНОС" согласно договора на процессинг. Из нефти поставляемой Обществом "ЛУКойл-ПНОС" выпускает широкий ассортимент нефтепродуктов: бензины (в том числе европейские номинации), дизельное топливо и реактивное топливо, мазуты, 40 разновидностей масел (в том числе универсальные всесезонные масла под фирменными названиями "Велс" и "Лукойл", полусинтетическое и синтетическое масло. Нефть добываемая в Краснокамском УНД реализуется на экспорт. Добываемый попутный газ поставляется по газопроводам на ОАО"ПНГП", ТЭЦ и БКРУ 3.).
В декабре 1992 г. было организовано ЗАО ТПК "Нефтьсинтезмаркет". Учредители ГП "ПНОС" и АО "Пермская товарная биржа ".
В 1993 г. "НСМ" приступает к торговле на Пермской товарной бирже опционами нефтепродуктов. АО "Пермская товарная биржа" была преобразована в компанию холдингового типа АО "Пермская Финансово-производственная Группа". Контрольный пакет акций ЗАО ТПК "НСМ" приобретен "ПФПГ". В состав акционеров "ПФПГ" и "НСМ" входит АО "Пермнефть". С этого момента "НСМ" начинает новый этап в своей работе: закупает нефть, финансирует ее переработку на АО "ЛУКойл-ПНОС" и реализует нефтепродукты.
В 1994-1995 гг. в рамках территориального государственного заказа "НСМ" организовывает северные завозы, обеспечивает область необходимым количеством нефтепродуктов и продуктами питания, производит поставки сельским товаропроизводителям. За два года профинансировано около 30% всей добычи пермской нефти, реализовано около шести млн. тонн нефтепродуктов.
В декабре 1995 г. с целью формирования единого регионального производственного комплекса в области разведки, добычи, переработки нефти и реализации нефтепродуктов НК "ЛУКойл" и "ПФПГ" учреждают ЗАО "ЛУКОЙЛ-ПЕРМЬ", которое используя персонал и опыт "НСМ", становится оператором по переработке пермской нефти на ОАО "ЛУКойл-ПНОС" и реализации нефтепродуктов.
Акционерами ЗАО "ЛУКОЙЛ-ПЕРМЬ" являются: ОАО "ЛУКОЙЛ" г. Москва (50% голосующих акций); Российский фонд федерального имущества (19,97%); Министерство государственного имущества (6,6%); Открытое акционерное общество "Пермская финансово-производственная группа" (50%).
В июле 1996 г. ЗАО "ЛУКОЙЛ-ПЕРМЬ" начинает добычу на 15 нефтяных месторождениях в НГДУ "Полазнанефть" и Краснокамском УНД, ранее входившим в состав АО "Пермнефть". В декабре 1996 г. добыт один миллион тонн собственной нефти.
|
Одной из основных задач деятельности компании является увеличение объемов добычи нефти в регионе, главным образом, за счет повышения эффективности использования нефтяных ресурсов северных территорий Пермской области и продвижения в соседние регионы - Удмуртию, республику Коми, Архангельскую область. Успешное развитие ЗАО "ЛУКОЙЛ-Пермь" в первую очередь определяется высоким уровнем менеджемента, грамотной организацией производства и активной сбытовой политикой на внутреннем и внешнем рынках. Важнейшее значение для развития предприятия имеет взаимопонимание между администрацией Пермской области и ОАО "ЛУКОЙЛ" по основным вопросам совершенствования нефтяного комплекса Прикамья. |
Становление компании пришлось на непростые для нашей страны времена. Там больше оснований считать ее развитие успешным. ЗАО "ЛУКОЙЛ-Пермь" является сегодня одной из самых динамично развивающихся региональных нефтяных компаний страны. Предприятие входит в число активных операторов российского нефтяного рынка и экспортеров нефти и нефтепродуктов.
ЗАО "ЛУКОЙЛ-Пермь" осуществляет весь производственный цикл от разведки и разработки нефтяных месторождений до сбыта нефти и нефтепродуктов. Объем добычи компании в 1998 году составил 2,4 млн. тонн нефти, что соответствует четверти объема ежегодной добычи нефти на территории Пермской области. Этот объем был обеспечен разработкой 16 нефтяных месторождений. Кроме того, ЗАО "ЛУКОЙЛ-Пермь" является совладельцем четырех совместных нефтегазодобывающих предприятий с суммарным объемом добычи нефти около 1 млн. тонн в год.
Компания ЗАО "ЛУКОЙЛ-ПЕРМЬ" владеет лицензиями на разработку 22 нефтяных месторождений с совокупным запасом нефти более 60 млн. тонн. Годовой объем добычи нефти составляет 2,5-2,7 млн. тонн нефти. Компания широко использует передовой опыт и новейшие мировые достижения в сфере поисков и разведки нефтяных месторождений, привлекает к сотрудничеству ведущие научные и производственные предприятия страны. Ежегодный прирост разведанных компанией запасов нефти дает полное основание рассчитывать на планомерное увеличение объемов ее добычи как минимум в ближайшие 7-10 лет.
Приоритетом компании является повышение качества эксплуатации месторождений. Основой этому служит комплексная система, реализуемых ЗАО "ЛУКОЙЛ-Пермь" геолого-технических мероприятий. Таких, в частности, как воздействие на призабойную зону скважин, бурение горизонтальных стволов, изменение способов эксплуатации скважин. В минувшем году в результате этого было дополнительно добыто 355 тыс. тонн нефти (14,8 процента от общего объема добычи). Продолжаются геолого-разведочные работы с привлечением специализированных предприятий и использованием самых передовых методов разведки и поиска, включая трехмерную сейсмику и аэрокосмическую фотосъемку.
Компания ЗАО "ЛУКОЙЛ-Пермь" вкладывает значительные средства в развитие технологий и научно-техническое сопровождение производства. Институтом "ПермНИПИнефть" разработана "Схема развития и размещения производства ЗАО "ЛУКОЙЛ-Пермь" на 1998-2005 г.г.". Реализация предложений института по совершенствованию действующего производства, вовлечению новых месторождений в разработку позволит добыть за период до 2005 года почти 18 млн. тонн нефти, сохраняя нефтедобычу рентабельной.
На 1 января 1999 года эксплуатационный фонд нефтяных скважин составил 936 единиц, в том числе действующих - 848. Общая протяженность трубопроводов - 1200 км.
Три четверти объема добываемой ЗАО "ЛУКОЙЛ-Пермь" нефти и 65 процентов ее извлекаемых запасов приходятся на 4 месторождения, расположенные под крупнейшим в России Верхнекамским месторождением калийных солей: Уньвинское, Юрчукское, Чашкинское и Сибирское. Это район самой высокой плотности ресурсов нефти в регионе. Именно с ним связаны наилучшие перспективы развития нефтедобычи в Прикамье. Вместе с тем, этот район отличается исключительной трудностью разработки нефтяных пластов.
Месторождения расположены под соляной толщей на глубине 1600-2500 м. Поэтому весь комплекс работ осуществляется по специально разработанным проектам, учитывающим особенности совместной эксплуатации нефтяных и калийных залежей. Огромное значение придается тщательности геофизического контроля за состоянием эксплуатационных скважин и разработкой месторождений в целом. Кроме того, ЗАО "ЛУКОЙЛ-Пермь" осуществляет комплекс специальных мероприятий по экологической безопасности объектов, что позволяет ему полностью исключить превышения нормативов по загрязнению окружающей среды.
Приоритетом компании в сфере нефтедобычи в этом районе является освоение Сибирского нефтяного месторождения, — крупнейшего из открытых на территории Пермской области за последние 10 лет. В последние два года на его разработку направляется основной объем инвестиций.
Одновременно ЗАО "ЛУКОЙЛ-Пермь" активно развивает нефтедобычу в Коми-пермяцком автономном округе, где расположено его дочернее предприятие — ЗАО "Майкорское". Продолжается реконструкция производственных мощностей НГДУ"Полазнанефть" и Краснокамского УНД, направленная на повышение уровня автоматизации технологических процессов добычи и первичной подготовки нефти, что в конечном итоге повысит их эффективность.
Переработку добываемой нефти ЗАО "ЛУКОЙЛ-Пермь" осуществляет на условиях процессинга на одном из крупнейших промышленных предприятий Урала — 000 "ЛУКОЙЛ-Пермнефтеоргсинтез". В 1998 году объем поставок составлял 280 тыс. тонн в месяц.
Кроме того, более 15 тыс. тонн нефти ЗАО "ЛУКОЙЛ-Пермь" ежемесячно перерабатывало на ОАО "Крекинг" (Саратов) и ОАО "Уфанефтехим" (Уфа, Башкортостан).
"ЛУКОЙЛ-Пермнефтеоргсинтез" ежегодно перерабатывает около 9 млн. тонн сырой нефти. Глубина переработки сегодня достигает 79 процентов. Предприятие проводит реконструкцию, рассчитанную на три фазы обновления производственных мощностей. В 2001 планируется завершить ее второй этап. В результате глубина переработки нефти достигнет уровня 82,6 процента; на 70 процентов по сравнению с показателями 1997 года увеличится выпуск бензинов и на 40 процентов — дизельного топлива.
Сегодня ассортимент выпускаемых предприятием нефтепродуктов насчитывает более 100 наименований: неэтилированные бензины, дизельное и реактивное топливо, мазуты, битумы, кокс, а также около 60 разновидностей смазочных масел различного назначения. Значительный объем производимых "ЛУКОЙЛ-Пермнефтеоргсинтез" нефтепродуктов представляет на российский и международные рынки ЗАО "ЛУКОЙЛ-Пермь".
Основной объем реализации нефтепродуктов ЗАО "ЛУКОЙЛ-Пермь" осуществляет во всех регионах России.
Повышение эффективности менеджмента и проведение гибкой маркетинговой политики позволили компании в минувшем году укрепить свои позиции на завоеванных ранее рынках, расширить сферы своего влияния, увеличив в результате объемы продаж и прибыли.
Объем операций по приобретению сырья за пределами Пермской области и реализации полученных из него нефтепродуктов на 35 процентов превысил уровень продаж продукции, изготовленной из собственной нефти. Компанией было дополнительно привлечено 1,2 млн. тонн сырой нефти для переработки и последующей продажи конечной продукции на внутреннем российском рынке.
В 1998 году поставки на внешний рынок составили пятую часть общего объема продаж. Компания реализовала все экспортные квоты на продажу сырой нефти. Найдены и осуществлены новые эффективные пути поставок за рубеж попутного газа.
Стратегической задачей ЗАО "ЛУКОЙЛ-Пермь" является создание современной компании международного уровня, конкурентоспособной на мировых нефтяных рынках, обладающей высокой инвестиционной привлекательностью.
С этой целью разработана и планомерно осуществляется комплексная программа развития компании. Одним из важнейших условий ее успешного выполнения являются повышение качества менеджмента, технических, технологических, маркетинговых, научных разработок и уровня их реализации.
Значительную роль в международной практике играет также степень открытости компании. В целях повышения эффективности работы ЗАО "ЛУКОЙЛ-Пермь" на мировых финансовых и товарных рынках в 1998 году был проведен международный аудит отчетности компании и оценка стоимости ее активов.
Все большее значение сегодня приобретает использование положительного опыта, накопленного в процессе развития сотрудничества компании с солидными зарубежными партнерами.
ЗАО "ЛУКОЙЛ-Пермь" имеет плодотворные партнерские отношения с SOCO Perm Russia Inc. (США), Minpetno Consortium Ltd. (Лихтенштейн) и Internem Energy Limited (Великобритания). С ними созданы совместные предприятия — 000 "Пермьтекс", 000 "Кама-нефть" и ЗАО "Российская топливная компания", осуществляющие свою деятельность на территории Пермской области. В минувшем году их суммарный объем добычи нефти составил 969 тыс. тонн.
В 1999 году Совет директоров Европейского банка реконструкции и развития принял решение о предоставлении совместному предприятию "Пермьтекс" кредита в размере $45 млн. на развитие нефтедобычи. В середине мая 1999 года кредитное соглашение было подписано в Перми. Причем церемония его подписания произошла через несколько часов после объявления об отставке очередного российского правительства. Это дает полное основание говорить о высоком доверии одного из крупнейших международных финансовых институтов к компании "Пермьтекс", ее российскому совладельцу ЗАО "ЛУКОЙЛ-Пермь" и администрации Пермской области.
000 "Пермьтекс" разрабатывает сегодня новые нефтяные месторождения на севере Пермской области и имеет перспективы выхода к 2001 году на уровень добычи 1 млн. тонн.
Не меньшим значением для развития нефтяного комплекса Пермской области обладает сегодня деятельность 000 "Кама-нефть" и ЗАО "Российская топливная компания" по интенсификации добычи нефти и повышению коэффициента нефтеизвлечения. Их месторождения находятся в завершающей стадии разработки и характеризуются высоким уровнем обводненности. Сегодня эти предприятия ведут серьезную инновационную деятельность, позволяющую им развиваться и извлекать прибыль даже в сложнейших геолого-экономических условиях.
В минувшем году инвестиционная программа ЗАО "ЛУКОЙЛ-Пермь" предусматривала планомерную реализацию комплекса мероприятий по повышению эффективности управления собственными ресурсами с целью усиления стратегических позиций компании.
В 2000 году объем инвестиций компании, включая капитальные и долгосрочные финансовые вложения, составил 429,4 млн. рублей. Инвестиционная программа была на 100 процентов профинансирована из собственных источников.
До 90 процентов инвестиций компании направлены на развитие и укрепление сырьевой базы, а также создание, поддержание и восстановление основных фондов производственной инфраструктуры. Оптимизация источников инвестиций в нефтедобывающее направление определялась на основе расчетов каждого проекта в отдельности и его значения в общем контексте развития компании в целом.
В прошлом году вторым по значимости объектом инвестиций стало создание розничной сети реализации нефтепродуктов. В ближайшие годы на строительство собственных АЭС компания планирует направлять порядка 10-15 процентов фонда развития.
|
Совершенствование структуры управления является одним из основных направлений стратегического развития 3AО "ЛУКОЙЛ-Пермь". В 1999 году компания провела структурную реорганизацию. Ее целью являлось повышение экономической эффективности деятельности за счет децентрализации управленческих процессов. В результате организационная структура управления трансформировалась из линейно-функциональной в дивизиональную. Были сформированы:
Вследствие этого, повысилась функциональная ответственность каждого подразделения за производственный результат. Корпоративный центр сориентирован на формирование стратегии и бюджета компании, эффективное управление финансовыми потоками. |
Дальнейшее совершенствование структуры управления ЗАО “ЛУКОЙЛ-Пермь” имеет целью оптимизацию внутрикорпоративных связей на основе развития отдельных направлений бизнеса. В настоящее время компания в рамках проекта ОАО “ЛУКОЙЛ” разрабатывает системы управления производственными и технологическими процессами, оптимизации выбора геолого-технических мероприятий, методов работы с фондом скважин. Это составные части будущей глобальной системы информационно-аналитического обеспечения всех направлений деятельности ЗАО “ЛУКОЙЛ-Пермь”.
В соответствии с концепцией развития этой глобальной информационно-аналитической системы произведена подготовка к внедрению интегрированной системы управления предприятием SAP R/3. Проведен сравнительный анализ систем, определена стоимость и сроки проекта, сотрудники ЗАО “ЛУКОЙЛ-ПЕРМЬ” ознакомлены с опытом внедрения SAP R/3 в зарубежных и российских нефтяных компаниях, в том числе ОАО “ЛУКОЙЛ”. Для развития информационной системы поддержки принятия управленческих решений формируется общая корпоративная база данных. В рамках проекта создания системы управления разведкой и разработкой нефтяных месторождений, внедряются гео-информационные системы и производится формирование картографических и геологических баз данных.
Совет директоров ЗАО “ЛУКОЙЛ-Пермь” обозначил основные задачи, стоящие перед Обществом в 2001году. В 2001 году предстоит продолжить работу по обеспечению прироста акционерной стоимости Компании в соответствии со стратегическим планом. Необходимо обеспечить выполнение основных параметров бюджета, увеличить объем собственной нефтедобычи на 58 тыс. тонн, сформировать и эффективно разместить ресурс углеводородного сырья в объеме до 7,76 млн. тонн.
Этот год станет знаковым для Группы предприятий “ЛУКОЙЛ-Пермь”. С целью динамичного прироста акционерной стоимости Группы предприятий “ЛУКОЙЛ-Пермь”, организации текущей деятельности по реализации проекта создания Международной нефтяной Компании, а также концентрации материальных и финансовых ресурсов, принято решение об увеличении объема нефтедобычи на 192,4 тыс. тонн, формировании ресурса углеводородного сырья в размере 8736,8 тыс. тонн. Наращивание объемов добычи нефти предполагается осуществить за счет строительства новых скважин, использования новой техники и передовых технологий.
С каждым годом возрастает социальная значимость ЗАО "ЛУКОЙЛ-ПЕРМЬ" в регионе. Компания ЗАО "ЛУКОЙЛ-ПЕРМЬ" - один из крупнейших налогоплательщиков Пермской области. С ее развитием связано создание новых рабочих мест и привлечение крупных инвестиций в экономику Прикамья. При активном участии ЗАО "ЛУКОЙЛ-ПЕРМЬ" строятся школы, больницы, жилье, дороги, мосты, газопроводы.
По итогам Всероссийского конкурса промышленных предприятий, проводимого Торгово-промышленной палатой РФ и Союзом промышленников и предпринимателей России в 1998, 1999, 2000 гг. в номинации "За динамичное развитие" ЗАО "ЛУКОЙЛ-ПЕРМЬ" удостоено первого места среди предприятий топливно-энергетического комплекса страны.
Основными приоритетами в 2001 году признана работа по эффективному использованию инвестиций, росту нефтедобычи, оптимизации затрат, повышению эффективности управления, укреплению финансовой и производственной дисциплины.
2.2. Особенности функционирования вертикально-интегрированных нефтяных компаний.
На сегодняшний день ЗАО "ЛУКОЙЛ-ПЕРМЬ" представляет собой вертикально-интегрированную нефтяную компанию, т.е. материнскую компанию обладающую рядом дочерних и зависимых обществ. ЗАО "ЛУКОЙЛ-БУРЕНИЕ-ПЕРМЬ" осуществляет бурение нефтяных скважин, их обустройство и сдачу под ключ; "Управление Технологического Транспорта" (УТТ) осуществляет все перевозки (людей и грузов); "КАМА-нефть" ,"Пермьтекс" и ряд других компаний осуществляют добычу нефти и весь ресурс передают материнской компании.
Требования нового экономического механизма деятельности хозяйствующих субъектов на стадии перехода к рыночным отношениям, актуальность управления снижения издержек на всех стадиях производственного процесса, принципиально новый характер внутренних экономических отношений между производственно-хозяйственными звеньями, сформировавшимися в вертикально-интегрированных нефтяных компаниях, обусловили необходимость разработки новой методологической основы формирования затрат и калькулирования себестоимости продукции добычи и переработки нефти и газа.
Нефтяная компания как производственно-коммерческая фирма вертикально-интегрированной структуры объеденяет совокупность предприятий-участников, осуществляющих добычу, переработку нефти и реализацию нефтепродуктов конечным потребителям.
Предприятия, входящие в организационную структуру нефтяной компании, объедениены с целью обеспечения наиболее эффективного хозяйствования в условиях рыночной экономики, при котором обеспечивается более жесткий контроль за формированием издержек и цен по всем стадиям от добычи нефти и газа до реализации нефтепродуктов.
В условиях функционирования вертикально-интегрированных нефтяных компаний, входящие в них предприятия могут передавать часть своих функций одному из участников производственного цикла, например, непосредственно нефтяной компании или ее дочерней структуре. В этом случае эти предприятия становятся внутрикорпоративными структурами, с которыми нефтяная компания заключает договоры:
1. С нефтегазодобывающими предприятиями – на покупку нефти;
2. С нефтеперерабатывающими предприятиями – на услуги по переработке нефти;
3. С предприятиями нефтепродуктообеспечения – на услуги по реализации нефтепродуктов конечным потребителям.
Одновременно нефтяная компания оплачивает транспортные расходы АО"Транснефть" и других поставщиков по доставке нефти от нефтегазодобывающих до нефтеперерабатывающих предприятий.
Исходя из сложившейся схемы хозяйственных взаимоотношений между нефтеперерабатывающим предприятием и нефтяной компанией, следует говорить об услугах по переработке давальческой нефти. В широком смысле, под давальческой нефтью понимается нефть, переданная нефтяной компанией, самостоятельным нефтеперерабатывающим предприятием или посредником на переработку для получения определенного ассортимента нефтепродуктов в объемах, предусмотренных договором.
Структура и объемы производства нефтепродуктов, предусмотренные договором, должны определяться прежде всего технологическими возможностями нефтеперерабатывающих предприятий, коммерческими интересами нефтяной компании, государственными интересами в области надежного обеспечения нефтепродуктами отдельных регионов страны, предотвращения кризисных ситуаций, вызываемых дефицитом нефтепродуктов определенного вида на предприятиях жизненно важных отраслей народного хозяйства России: энергетика, транспорт, агропромышленный комплекс).
В связи с образованием вертикально-интегрированных нефтяных компаний произошли принципиальные изменения в условиях формирования затрат на производство нефтепродуктов.
Нефтеперерабатывающие предприятия, как звенья единой хозяйственной системы, уже не осуществляют расчет полной себестоимости, а также каждой единицы вырабатываемой продукции. Они учитывают лишь затраты по переработке нефти, являющиеся основной составной частью суммарной величины услуг по переработке нефти (процессинга), которые оплачивает нефтеперерабатывающему предприятию нефтяная компания.
Затраты по переработке давальческой нефти определяются непосредственно нефтеперерабатывающим предприятием в соответствии с методикой, изложенной во второй части инструкции "По планированию, учету и калькулированию себестоимости продукции на нефтеперерабатывающих предприятиях".
Рентабельность оказания услуг по переработке давальческой нефти определяется на договорной основе между перерабатывающим предприятием и нефтяной компанией. При этом должны учитываться:
состояние рынка и конъюнктура цен на нефтепродукты в зоне размещения нефтеперерабатывающих предприятий, а также в других регионах;
сезонные колебания спроса на определенные виды нефтепродуктов: увеличение в зимний период спроса на зимнее дизельное топливо и котельное топливо (мазут) и летний – на автомобильный бензин, топливо для реактивных двигателей и нефтяной битум;
общая стратегия нефтяной компании в тот или иной период в части концентрации финансовых ресурсов и последующего наиболее эффективного их распределения между хозяйственными субъектами компании.
В смету затрат на производство нефтепродуктов нефтяной компании включаются:
Затраты на покупку нефти у нефтегазодобывающих предприятий, входящих в нефтяную компанию, или других хозяйствующих субъектов, в том числе и посредников;
Оплата услуг АО "Транснефть" и других поставщиков на перекачку, перевалку и налив нефти, т.е. ее транспортировку от нефтегазодобывающих до нефтегазоперерабатывающих прадприятий;
Оплата услуг по переработке нефти;
Затраты нефтяной компании по организации, планированию и управлению производством нефтепродуктов;
Прочие производственные затраты, входящие в состав себестоимости нефтепродуктов в соответствии с установленным законодательством порядком, но не относящееся к ранее перечисленным статьям затрат;
Сумма перечисленных затрат образует производственную себестоимость.
Коммерческие расходы – затраты нефтяной компании по сбыту нефтепродуктов.
Сумма перечисленных затрат образует полную себестоимость.
Затраты разносятся на готовую продукцию. В пределах утвержденных норм безвозвратные потери нефти и нефтепродукты собственного производства (газ, мазут), используемые в качестве технологического топлива, указываются в калькуляции в натуральном выражении без стоимостной оценки.
При определении себестоимости нефтепродуктов на уровне нефтяной компании нефтеперерабатывающее предприятие рассматривается как один передел, на котором из нефти получают весь ассортимент готовых нефтепродуктов, отвечающих по своим требованиям государственным стандартам (ГОСТов) и технических условий (ТУ).
Затраты нефтяной компании по организации, планированию и управлению производством, а также прочие производственные затраты, учитываемые на счете "Общехозяйственные расходы", распределяются по нефтепродуктам в соответствии с принятой учетной политикой.
Расчет себестоимости единицы конкретных нефтепродуктов производится в соответствии с принятой учетной политикой в следующей последовательности:
определяются затраты на производство;
рассчитывается производственная себестоимость всего ассортимента вырабатываемых нефтепродуктов путем распределения суммарных затрат на производство между этими нефтепродуктами;
определяется полная себестоимость.
Все нефтепродукты в зависимости от конъюнктуры рынка, качества и потребительских свойств, а также степени и важности удовлетворения потребностей промышленности, сельского хозяйства и населения делится на основные и попутные.
Попутные нефтепродукты в зависимости от качества и характера их использования оцениваются:
в долях от оптовой цены базисной нефти (средняя цена нефти с учетом акциза и затрат на транспортировку);
в долях от оптовой цены реализации (без налогов).
При определении себестоимости основной продукции на нее относятся все суммарные производственные затраты за вычетом затрат, приходящихся на попутную продукцию.
К основной продукции предполагается отнести авиационные, автомобильные и прямогонные бензины, топливо для реактивных двигателей (авиационный керосин), керосин осветительный, бензины-растворители, дизельное и печное топливо, как наиболее важные и ценные нефтепродукты.
Попутные продукты нефтепереработки в зависимости от качества и направления использования подразделяются на две группы. К первой группе относятся следующие продукты: вакуумный газойль, дистиллятные масляные фракции, котельное топливо (мазут), полугудрон и гудрон. Эти продукты оцениваются с коэффициентом не ниже 0,4 от оптовой цены базисной нефти.
Все остальные продукты относятся ко второй группе и оцениваются по коэффициентам от цены реализации (без налогов). Коэффициенты распределения затрат между основной продукцией и двумя группами попутной продукции определяются самостоятельно нефтяной компанией на основании соотношения сметы затрат на производство к сумме товарной продукции и приоритетом каждой из трех групп нефтепродуктов в уровне рентабельности.
Затраты между основными нефтепродуктами распределяются пропорционально коэффициентам, отражающим соотношение цен этих нефтепродуктов по метод приведенных тонн. На уровень коэффициента по каждому конкретному продукту оказывают влияние и другие факторы, например, уровень себестоимости и количество остатков и т.д. Себестоимость одной тонны всех основных нефтепродуктов определяется по формуле:
C>j>=З>n>->
>О>i>
*Ц>i>>
>/ >
>О>j>*К>j>>
(2.1)>
Где: З>n>- суммарные затраты на производство нефтепродуктов, руб.;
О>i>- объем производства i-того попутного нефтепродукта, тонн;
Ц>i>- оценка i-того попутного нефтепродукта, тонн;
О>i>- объем производства j-того основного нефтепродукта, тонн;
К>j>- коэффициент распределения затрат для j-того основного нефтепродукта.
Плановая калькуляция составляется на все виды нефтепродуктов на основе плановой сметы затрат на производство. Отчетная калькуляция составляется для определения фактической себестоимости отдельных видов готовых нефтепродуктов на основе фактической себестоимости отдельных видов готовых нефтепродуктов на основе фактической сметы затрат на производство.
Плановая и отчетная калькуляция должны быть тождественны как по составу затрат, включаемых в себестоимость продукции, так и по методике их отнесения на отдельные нефтепродукты.
Затраты на производство включаются в себестоимость продукции того периода, к которому они относятся, независимо от их предварительной и последующей оплаты. Учет и списание себестоимости остатков нефтепродуктов осуществляется в соответствии с принятой учетной политикой.
В первую очередь на издержки отрасли отпечаток накладывают особенности залегания углеводородного сырья. Это как правило устья рек, высокогорные и удаленные районы, залегания сырья на большой глубине. Все эти факторы сказываются на увеличении стоимости бурения и удельной стоимости метра проходки.
Оплата труда нефтяников производится с учетом надбавок за выполнение работы вахтовым методом, а также особенностью отрасли является выдача дополнительных видов спецодежды.
От всех других отраслей добывающая отрасль отличается наличием отчислений на воспроизводство минерально-сырьевой базы (ВМСБ). Отвлеченные на эти цели средства используются для: рекультивации земель, мероприятий по предупреждению эрозии почвы и ряда других. Ставка по нормативу отчислений на ВМСБ устанавливается Законодателем.
|
Относительно большая доля прибыли предприятия - нефтегазодобытчика расходуется на научно-исследовательские и опытно-конструкторские работы (НИОКР). Для этих целей сформировано два фонда НИОКР. Один из которых формируется на самом предприятии. Для нефтегазодобывающей отрасли характерны издержки на восстановление нефте- и газопроводов, а также связанные с разрывами, потери от утечки нефти газа. С утечкой добытой нефти связанны издержки на уплату штрафов за загрязнение окружающей среды. Каждая пролитая на землю тонна нефти обходится предприятию в 800 тыс. рублей. При утечки нефти в водоемы ее сбор осуществляется при помощи специального оборудования. |
2.3. Характеристика существующих методик оценки экономической эффективности инвестиционных проектов в ЗАО "ЛУКОЙЛ-ПЕРМЬ".
Все вопросы, связанные с инвестиционной деятельностью на предприятии, по существу регламентируются Федеральным законом “Об инвестиционной деятельности в Российской Федерации, осуществляемой в форме капитальных вложений" от 25 февраля 1999 года, принятого Государственной Думой 15.07.98, и одобренного Советом Федерации 17.07.98. Это Федеральный закон определяет правовые и экономические основы инвестиционной деятельности, осуществляемой в форме капитальных вложений, на территории Российской Федерации, а также устанавливает гарантии равной защиты прав, интересов и имущества субъектов инвестиционной деятельности, независимо от форм собственности. Закон дает определения таким понятиям как: инвестиции, инвестиционная деятельность, капитальные вложения, инвестиционный проект, срок окупаемости, налоговая нагрузка. Инвестиции определяются как денежные средства, ценные бумаги, иное имущество, в том числе имущественные права, иные права, имеющие денежную оценку, вкладываемые в объекты предпринимательской деятельности в целях получения прибыли или достижении другого полезного эффекта.
Федеральным законом регламентируются такие вопросы как: объекты капитальных вложений, государственное регулирование инвестиционной деятельности, государственные гарантии прав субъектов инвестиционной деятельности и защита капитальных вложений, основы регулирования инвестиционной деятельности органами местного самоуправления.
Объектами капитальных вложений в РФ являются находящиеся в частной собственности, государственной, муниципальной и иных формах собственности различные виды вновь создаваемого или модернизируемого имущества, за изъятиями, устанавливаемыми федеральными законами.
Отношения, связанные с инвестиционной деятельность, осуществляемой в форме капитальных вложений иностранными инвесторами на территории РФ, регулируются международными договорами РФ, Гражданским кодексом РФ и иными нормативно правовыми актами РФ.
Государство в соответствии с федеральным законом, и другими нормативно правовыми актами гарантирует всем субъектам инвестиционной деятельности независимо от прав собственности:
обеспечение равных прав при осуществлении инвестиционной деятельности;
гласность в обсуждении инвестиционных проектов;
право обжаловать в суд решения и действия (бездействия) органов государственной власти, органов самоуправления и их должностных лиц;
защиту капитальных вложений.
Все инвестиционные проекты в ЗАО "ЛУКОЙЛ-ПЕРМЬ" рассчитываются с использованием ниже перечисленных методик:
Методические рекомендации по оценке эффективности инвестиционных проектов и их отбору для финансирования. М., 1994. Утверждены Госстроем РФ, Министерством экономики РФ, Министерством финансов РФ, Госкомпромом РФ 31.03.94;
Инструкция по делопроизводству в ЗАО "ЛУКОЙЛ-ПЕРМЬ". Пермь, ЗАО "ЛУКОЙЛ-ПЕРМЬ". Утверждена приказом генерального директора от 15.10.97 № 319.
Временная методика расчета технико-экономических показателей эффективности инвестиционной программы утверждена приказом ЗАО “ЛУКОЙЛ-ПЕРМЬ” от 08.04.98 №97.
Стандарт предприятия ЗАО “ЛУКОЙЛ-ПЕРМЬ” СТП 001-99 введен в действие приказом Генерального директора 07.05.99 № а159.
Методика оценки экономической эффективности геологоразведочных работ в ЗАО "ЛУКОЙЛ-ПЕРМЬ".
1. Временная методика расчета технико-экономических показателей эффективности годовой инвестиционной программы устанавливает порядок проведения расчетов технико-экономических показателей годовой инвестиционной программы ЗАО "ЛУКОЙЛ-ПЕРМЬ". Применение методики обеспечивает экономическое обоснование инвестиционных решений.
Расчет ТЭП проводится методом дисконтированных денежных потоков. При расчете ТЭП используются следующие подходы:
инвестиции осуществляются на базе действующего предприятия со сложившимися и неизменными инфраструктурой, технологическим процессом производства и системой сбыта продукции;
окупаемость инвестиций обеспечивается только за счет доходов, возникающих в связи с инвестициями. Доходы от действующего (на дату составления ИП) производства в расчетах не учитываются;
капитальные вложения оцениваются в действующих (на дату составления ИП) ценах с учетом коэффициента-дефлятора на основе внутрипостроечных титульных списков и/или проектно-сметной документации;
капитальные вложения истекшего и будущих периодов по стройкам/проектам ИП в расчетах не учитываются;
расчет ТЭП проводится только по стройкам/проектам, ввод которых в эксплуатацию намечен в планируемом году. Если по каким-либо стройкам/проектам для получения запланированного дохода требуются дополнительные инвестиции или работы следующего года, то по таким стройкам/проектам учитываются только производимые в планируемом году затраты без учета дохода;
величина эксплуатационных расходов определяется на основе анализа фактической калькуляции затрат на производство с выделением условно-постоянных и условно-переменных затрат. В расчетах экономической эффективности ИП учитываются эксплуатационные затраты только по вновь созданным (приобретенным) активам;
для первого года ИП: инвестиции учитываются в начале каждого квартала в объеме, соответствующем плану капитального строительства; выручка, эксплуатационные расходы, налоги учитываются в начале того квартала, в котором они возникают;
для второго и последующих годов расчета ТЭП ИП – годовые объемы доходов и расходов учитываются единовременно в середине каждого года.
Для разработки ИП формируются сценарные условия, которые отражают значения следующих показателей:
величина инфляции;
валютный курс;
цены на нефть и нефтепродукты на внешнем и внутреннем рынках;
цены на газ;
акциз на нефть;
коммерческие расходы на реализацию нефти и нефтепродуктов;
расходы на производство нефтепродуктов;
минимальная безрисковая ставка доходности;
ставка (норма) дисконта;
прогноз изменения налогов.
Сценарные условия формируются не менее, чем для двух вариантов расчета ТЭП:
в “постоянных ценах” средних на планируемый год;
в “текущих ценах”.
Метод расчета ТЭП “в постоянных ценах” предполагает использование фиксированных на весь период расчета значений цен на продукцию, услуги, оборудование, материалы и т.п. Расчет ТЭП “в текущих ценах” проводится с учетом изменения цен в течение периода расчета, т.е. расчет ТЭП каждого шага расчета (месяца, квартала, года) проводится в ценах именно этого (текущего) шага.
Экономическая эффективность инвестиционного проекта характеризуется системой показателей, отражающих соотношение затрат и финансовых результатов реализации проекта. Затраты и результаты проекта в расчётах экономической эффективности выражаются в виде денежного потока CF (cash flow), который рассчитывается по формуле
CF>i> = ЧП>i> + АО>i> – И , (2.2)
где:
ЧП>i> – чистая прибыль проекта в i-ом году,
АО>i> – амортизационные отчисления в i-ом году от новых активов (вводимых за счет инвестиций),
И – инвестиции в планируемом году.
При оценке экономической эффективности инвестиций соизмерение денежных потоков, образующихся в различные моменты времени, осуществляется путем их приведения (дисконтирования) к планируемому году. В расчетах ТЭП принимается, что в планируемом году производятся все инвестиции и этот год является первым шагом расчета. Поэтому дисконтирование денежного потока планируемого года не проводится. Ставка (норма) годового дисконта рассчитывается по формуле:
>
>
(2.3)
где:
R – минимальная безрисковая норма доходности в год, доли ед.;
I – среднегодовой темп инфляции на протяжении периода расчёта проекта, доли ед. (для расчета ТЭП в “постоянных ценах” I = 0);
B – дополнительное страхование от рисков (технических, политических, финансовых), доли ед. (при расчете без учета специфического риска проекта В=0).
Для определения экономической эффективности инвестиций используют следующую систему показателей.
1) Чистый дисконтированный (приведённый) поток NPV (Net present value) – сумма дисконтированных годовых денежных потоков (CF) за весь периода расчёта проекта:
>
>
(2.4)
где:
D – ставка (норма) дисконта, %;
N – период расчёта, лет;
i – порядковый номер года.
Дисконтированный срок окупаемости инвестиций DPB (Discounted payback period) – выражается в единицах времени и является количественной оценкой промежутка времени, в течение которого происходит полное возмещение инвестиций, т.е. времени от начала реализации ИП до момента, когда дисконтированная сумма поступлений денежных средств от реализации ИП достигает величины инвестиций (т.е. до момента, когда нарастающий NPV достигает нулевого значения):
>
>
(2.5)
3) Индекс доходности (прибыльности) PI (Profitability index). - является относительной величиной и показывает во сколько раз суммарные дисконтированные доходы в результате реализации ИП превышают инвестиции планируемого года:
>
>
(2.6)
4) Внутренняя норма рентабельности IRR (Internal rate of return) – измеряется в процентах и отражает среднегодовую доходность на вложенный капитал. Для проектов связанных с созданием новых производственных мощностей предприятия за счет его собственных средств, внутренняя норма рентабельности рассчитывается путем определения такого значения ставки дисконтирования, при котором чистый приведенный поток за весь период расчёта ИП принимает нулевое значение:
>
>
(2.7)
2. Методика оценки экономической эффективности геологоразведочных работ в ЗАО "ЛУКОЙЛ-ПЕРМЬ" регламентирует:
порядок формирования, состав и объем исходных данных;
способ расчета интегральных показателей экономической эффективности затрат на ГРР;
порядок ранжирования перспективных нефтегазоносных площадей.
Использование данной методики позволяет определить эффективные направления вложения денежных средств в ГРР по геолого-экономическим районам территории деятельности ЗАО "ЛУКОЙЛ-ПЕРМЬ" и определить оптимальное сочетание видов и объема работ на планируемый год и перспективу по выделенным площадям и месторождениям с учетом капитальных затрат, необходимых на разработку приращиваемых запасов.
Информационное обеспечение расчетов:
Оценка экономической эффективности инвестиций в геологоразведочные работы проводится Управлением проектами ЗАО "ЛУКОЙЛ-ПЕРМЬ" на основании исходных данных, получаемых от подразделений ЗАО "ЛУКОЙЛ-ПЕРМЬ".
Управлением разработки нефтяных и газовых месторождений (УРНГМ) на основе первичной геологической информации оценивается:
плотность извлекаемых ресурсов нефти категорий С>3>-Д по площадям;
планируемый объем геофизических работ;
планируемый объем поисково-оценочного бурения.
3. Основываясь на этих данных, с учетом условий ведения ГРР, изученности и обустроенности территорий, выделены районы, условно названные геолого-экономическими. Для каждой площади оцениваются возможные промышленные запасы нефти категории С>1> путем пересчета прогнозных ресурсов в запасы с использованием коэффициентов перевода.
Размер запасов С>1> определяет УРНГМ с учетом данных полученных за счет ГРР предыдущих лет и планируемого периода по выделенным площадям. Пересчет ресурсов в запасы должен периодически обновляться по мере обновления информации, получаемой от ГРР.
По удельным стоимостным показателям, сложившимся на предприятии на дату проведения расчетов, УРНГМ определяет размер финансовых средств, необходимых для проведения запланированного комплекса геолого-разведочных работ. Объем капитальных вложений на ГРР планируемого года утверждается при утверждении годовой инвестиционной программы ЗАО "ЛУКОЙЛ-ПЕРМЬ".
По объему запасов категории С>1 > выделенных площадей УРНГМ определяет объемы добычи нефти и газа, сроки разработки и объем эксплуатационного бурения.
Результатами работ первого этапа и одновременно исходными данными для выполнения расчетов эффективности ГРР являются:
Объем приращиваемых запасов нефти, тыс.т.
Объем приращиваемых запасов газа, млн.м3.
Объем поисково-оценочного бурения, м,(скв.)
Удельная стоимость сесморазведочных работ, тыс.руб./км
Удельная стоимость поисково-оценочного бурения, тыс.руб./м.
8. По удельным стоимостным показателям, сложившимся на предприятии на дату проведения расчетов Управление проектами определяет размер капитальных вложений и эксплуатационных затрат, необходимых для обустройства новых месторождений и добычи нефти и газа за счет приращиваемых запасов категории С>1>. Капитальные вложения в обустройство месторождений определяются с учетом: географического расположения, имеющейся инфраструктуры действующего производства по добычи нефти и газа, экологических особенностей и горно-геологических условий разработки открываемых месторождений.
Для определения дохода от добываемой нефти используются сценарные условия, утвержденные на дату проведения расчетов.
Показатели экономической эффективности ГРР рассчитываются следующим образом:
Для проведения оценки целесообразности проведения ГРР на конкретной площади Управление проектов выполняет расчет интегральных показателей экономической эффективности в соответствии с "Методическими рекомендациями по оценке эффективности инвестиционных проектов и их отбору для финансирования".
Расчет экономической эффективности ГРР представляет собой перспективное имитационное моделирование денежных потоков, образующихся в результате эксплуатации месторождений перспективных площадей.
При моделировании денежных потоков в качестве поступлений денежных средств принимается выручка от реализации дополнительно добытой нефти и/или выработанных из этой нефти нефтепродуктов.
В качестве затрат учитываются: затраты на проведение ГРР планируемого года и будущих лет, капитальные вложения на эксплуатационное бурение и обустройство месторождения, эксплуатациооные расходы по добыче жидкости и производству нефтепродуктов, налоги.
Для начисления амортизации из всего объема затрат на ГРР выделяется только часть, направляемая на бурение скважин и обустройство месторождений. Амортизационные отчисления на вновь вводимые основные фонды начисляются по справочным нормам, действующим в РФ.
Основным результатом расчета является величина накопленного денежного потока (NPV). Дополнительно могут быть рассчитаны: период окупаемости расходов (DPB), индекс прибыльности (PI), внутренняя норма рентабельности (IRR). Указанные показатели экономической эффективности рассчитываются в соответствии с "Методическими рекомендациями по оценке эффективности инвестиционных проектов и их отбору для финансирования", М., 1994.
3. "Методические рекомендации по оценке эффективности инвестиционных проектов и их отбору для финансирования", содержат описание корректных методов расчета эффективности инвестиционных проектов (ИП). В этих целях рекомендации предусматривают:
унификацию терминологии и перечня показателей эффективности ИП, разрабатываемых различными проектными организациями, а также подходов к их определению;
систематизацию и унификацию требований, предъявляемых к предпроектным и проектным материалам при рассмотрении расчетов эффективности ИП, а также к составу, содержанию и полноте исходных данных для проведения этих расчетов;
установление требований к экономическому сопоставлению вариантов технических, организационных и финансовых решений, разрабатываемых в составе отдельного ИП;
учет особенностей реализации отдельных видов ИП, обусловливающих использование нестандартных методов оценки эффективности.
Рекомендации предназначены для предприятий и организаций всех форм собственности, участвующих в разработке, экспертизе и реализации ИП.
Рекомендации используются:
для оценки эффективности и финансовой реализуемости ИП;
для оценки эффективности участия в ИП хозяйствующих субъектов;
для принятия решений о государственной поддержке ИП;
для сравнения альтернативных ИП, вариантов ИП и оценки экономических последствий выбора одного из них;
для оценки экономических последствий отбора для реализации группы ИП из некоторой их совокупности при наличии фиксированных финансовых и других ограничений;
для подготовки заключений по экономическим разделам при проведении государственной, отраслевой и других видов экспертиз обоснований инвестиций, ТЭО, проектов и бизнес-планов;
для принятия экономически обоснованных решений об изменениях в ходе реализации ИП в зависимости от вновь выявляющихся обстоятельств.
Оценка экономической эффективности инвестиционного проекта:
Используются предусмотренные проектом текущие или прогнозные цены на продукты, услуги и материальные ресурсы.
Денежные потоки рассчитываются в тех же валютах, в которых проектом предусматриваются приобретение ресурсов и оплата продукции.
Заработная плата включается в состав операционных издержек в размерах, установленных проектом.
При расчете учитываются налоги, сборы, отчисления и т.п., предусмотренные законодательством, в частности, возмещение НДС за используемые ресурсы, установленные законодательством налоговые льготы и пр.
Если проект предусматривает одновременное осуществление нескольких видов операционной деятельности, в расчете учитываются затраты по каждому из них.
В качестве выходных форм для расчета экономической эффективности проекта рекомендуются таблицы:
отчета о прибылях и об убытках;
денежных потоков с расчетом показателей эффективности.
Во всех рассмотренных методиках оценка стоимости проекта проводится методом дисконтированных потоков денежной наличности (NPV), который имеет мало плюсов. Этот метод прост в расчетах, но в связи с этим не учитываются многие факторы, которые влияют на оценку проекта. Метод дисконтированных потоков не позволяет подсчитать дополнительную стоимость отсрочки решения, поскольку предполагает, что решение не может быть отражено. Существуют недостатки методической базы количественных оценок рисков проектов, которые начинаются с отсутствия однозначного понятийного аппарата (определение самих рисков) и заканчиваются низкой информативностью даже имеющихся их численных значений. При этом, повсеместно отсутствует, являющийся естественным во всех сферах бизнеса, анализ функциональной взаимозависимости показателей доходности (рентабельности, прибыльности) проектов и уровней их рисков. Риск инвестиционного проекта можно определять, как заложенную в проектные решения вероятность неполучения результатов, планируемых его участниками.
На предприятии необходимо модернизировать систему оценки инвестиционных проектов. Для этого предполагается внедрить систему, которая позволит рассчитывать вероятностные характеристики денежных потоков, которые компании будут получать от осуществления инвестиционных проектов с помощью задания вероятностных характеристик вводных данных (объем запасов нефти, цена нефти, уровень издержек и т.д.). Эта система позволит описывать инвестиционные проекты по характеристикам доходность-риск, что является непременным условием для внедрения системы управления активами.
ГЛАВА 3. АНАЛИЗ ПРОЕКТНЫХ РИСКОВ.
3.1. Оценка эффективности текущих инвестиционных проектов.
Предприятие реализует инвестиционный проект по освоению перспективных структур и проведению геолого-разведочных работ. В работе проведен анализ экономической эффективности данного проекта и определены:
Приемлемость проекта по критерию NPV.
Средняя рентабельность, внутренняя норму прибыли, период окупаемости.
Чувствительность и зависимость этого проекта от уровня цен, а также условия, при которых проект будет нерентабелен.
Для реализации проекта планируется провести следующий объем геологоразведочных работ (таблица 3.1).
Таблица 3.1. Планируемый объем геологоразведочных работ.
Показатели |
Единицы измерения |
Значение: |
СейсморазведочныеРаботы |
пог.км. |
2 382 |
|
Млн.руб. |
89 |
|
|
Количество подготовляемых структур |
Ед. |
6 |
|
Прирост запасов С3 |
тыс.т. |
1 200 |
|
Структурное бурение |
м. |
27 135 |
|
Структурное бурение |
Млн.руб. |
5 |
|
Прирост запасов С1 |
тыс.т. |
750 |
|
Кол-во прогнозируемых месторождений |
Ед. |
6 |
Залежи нефти предполагается открыть на 1, 2, 3, 4, 5, 6структурах (таблица 3.2).
Фонд добывающих скважин для разработки запасов нефти на Иньвинской площади составит 22 добывающие скважины. При этом 16 скважин предполагается ввести из разведочного бурения и 6 скважин из эксплуатационного бурения. ППД на данных структурах не планируется.
Валовая добыча нефти по годам отражена на рисунке 3.1.
Таблица 3.2 – Показатели эксплуатации прогнозных месторождений.
|
Структура: |
Фонд добывающих скважин, (скв) |
Мах добыча в год (тыс.т.) |
Накопленная добыча за 10 лет (тыс.т.) |
|
1 |
1 |
3,3 |
26 |
|
2 |
5 |
15,0 |
111 |
|
3 |
4 |
12,4 |
93 |
|
4 |
4 |
12,4 |
91 |
|
5 |
2 |
6,0 |
43 |
|
6 |
6 |
18,3 |
121 |
Р
ис.
3.1 – Валовая добыча нефти по структурам
Капитальные вложения на обустройство месторождений и на оборудование рассчитаны на основании удельных капитальных вложений на обустройство нефтяных месторождений согласно сборника УПБС-НМ для условий Пермской области. Средняя стоимость проходки в эксплуатационном бурении принята по аналогии со стоимостью 1м проходки на Ножовской группе нефтяных месторождений.
Таблица 3.3 Объем капитальных вложений.
|
Структура: |
Капитальные вложения (тыс.$) |
||||
|
Эксплуатационное бурение |
Обустройство |
Оборудование |
Внешние коммуник. |
Всего |
|
|
1 |
0 |
6 |
31 |
638 |
675 |
|
2 |
629 |
30 |
153 |
1 453 |
2 265 |
|
3 |
0 |
24 |
123 |
1 778 |
1 792 |
|
4 |
0 |
24 |
123 |
1 453 |
1 599 |
|
5 |
0 |
12 |
61 |
1 127 |
1 200 |
|
6 |
1 262 |
36 |
184 |
2 593 |
4 071 |
Расчет эффективности инвестиций проведен в постоянных ценах на период 10 лет, ставка дисконтирования 15%.
Себестоимость добычи нефти на новых структурах принята по анологии с себестоимостью добычи нефти на нефтепромысле №2. Размещение нефти и цены реализации представлены в таблице 3.4.
Таблица 3.4. Сценарные условия для расчета ТЭП.
|
Показатель: |
Ед.изм. |
Значение: |
|
Цена нефти сорта Brent Dtd |
$/bll |
18 |
|
Цена нефти сорта URALS |
$/bll |
16 |
|
Цена предприятия на нефть на внутреннем рынке |
$/т |
70 |
|
Курс доллара США |
руб/$ |
30 |
|
Реализация нефти на экспорт |
% |
30% |
|
Реализация нефти на внутреннем рынке |
% |
70% |
Расчет эффективности инвестиционных проектов производится при использовании метода оценки чистого приведенного эффекта (NPV). Этот метод основан на сопоставлении величины исходных инвестиций (IC) с общей суммой дисконтированных денежных поступлений, генерируемых ею в течении прогнозируемого срока. Поскольку приток денежных средств распределен во времени, он дисконтируется доходностью Н.
Общая накопленная величина дисконтированных денежных доходов и чистый приведенный эффект (NPV) соответственно рассчитываются по формулам:
> >
(3.1.)
где:
n – количество прогнозируемых периодов, лет.
(3.2)
О степени эффективности вложения средств в данный проект говорит полученная величина NPV. Очевидно, что если:
NPV > 0, то проект следует принять;
NPV < 0, то проект следует отвергнуть;
NPV = 0, то проект ни прибыльный, ни убыточный.
Необходимо отметить, что показатель NPV отражает прогнозную оценку изменения экономического потенциала инвестора в случае принятия рассматриваемого проекта.
Этот показатель аддитивен во временном аспекте, т.е. NPV различных проектов можно суммировать. Это очень важное свойство, выделяющее этот критерий из всех остальных и позволяющее использовать его в качестве основного критерия при анализе оптимальности инвестиционного портфеля.
Результаты расчета чистого приведенного эффекта трех предлагаемых проектов приведены в Приложении. Как видно, все три проекта имеют положительную величину NPV. Это говорит о том, что принятие любого из проектов принесет прибыль.
Определить величину NPV можно также при помощи коэффициента аннуитета B(n,r).
(3.3)
где:
n – количество периодов (лет);
r – ставка дисконтирования (H).
В этом случае текущая стоимость будущих поступлений рассчитывается по формуле:
PV = C>ср>> >B(n,r) (3.4)
где:
С>ср> – средние поступления за период.
Тогда чистый приведенный эффект определяется по формуле:
NPV = PV – IC (3.5)
В связи с тем, что денежные поступления в течение всех 10-ти лет равны, то, очевидно, что чистая текущая стоимость, рассчитанная вторым способом равна той, что рассчитана первым способом.
Метод оценки внутренней нормы окупаемости (IRR), использует концепцию дисконтированной стоимости. Под внутренней нормой окупаемости понимается значение коэффициента дисконтирования Н, при котором NPV проекта равен нулю.
Смысл расчета этого коэффициента при анализе эффективности планируемых инвестиций заключается в следующем: IRR показывает максимально допустимый относительный уровень расходов, которые могут быть ассоциированы с данным проектом.
Иными словами, этот метод сводится к нахождению такой ставки дисконтирования, при которой текущая стоимость ожидаемых от инвестиционного проекта доходов будет равна текущей стоимости необходимых денежных вложений. Поиск такой ставки определяется итеративным способом.
На основании рассчитанных для каждого инвестиционного проекта величин NPV и IRR можно построить график чистой текущей стоимости, который является полезным инструментом для суммарного выражения характеристик доходности инвестиций. На горизонтальной оси этого графика откладываются различные ставки дисконтирования, а на вертикальной – чистая текущая стоимость инвестиций.
Пересечение графика с осью абсцисс происходит в точке, характеризующей внутреннюю норму окупаемости проекта (Приложение 1-7). Данные для построения графиков сведены в таблицы.
Метод оценки среднего дохода на капиталовложения предполагает сравнение проектов по отношению среднего дохода к вложенным инвестициям. Особенность данного сравнительного метода заключается в том, что он не учитывает времени поступления денежных потоков. Смысл этого метода сводится к определению средней величины чистых денежных потоков, поступления которых ожидаются в будущем вследствие внедрения рассматриваемого инвестиционного проекта, а потом – к вычислению отношения этого показателя к капиталовложениям в данный проект.
(3.6)
Метод определения срока окупаемости инвестиций - один из самых простых и широко распространенных в мировой учетно-аналитической практике. Он не предполагает временной упорядоченности денежных поступлений. Алгоритм расчета срока окупаемости зависит от равномерности распределения прогнозируемых доходов от инвестиций. Срок окупаемости определяется по формуле:
(3.7)
При анализе различных инвестиционных проектов необходимо учитывать, что этот метод оценки имеет ряд существенных недостатков. Во-первых, он не учитывает влияние последних периодов. Во-вторых, поскольку этот метод основан на недисконтированных оценках, он не делает различия между проектами с одинаковой суммой кумулятивных доходов, но различным распределением её по годам.
В связи с этим некоторые специалисты при расчете этого показателя рекомендуют учитывать временной аспект. В этом случае в расчет принимаются денежные потоки, дисконтированные во времени. Вполне понятно, что срок окупаемости в этом случае увеличивается, однако оценка проектов будет более точной. Результаты расчета сроков окупаемости приведены в приложении 2.
Метод определения индекса доходности инвестиций, по сути, является следствием метода чистого приведенного дохода (эффекта).
Индекс рентабельности (или индекс доходности) инвестиций рассчитывается по формуле:
(3.8)
Очевидно, что если:
PI > 1, то проект следует принять;
РI < 1, то проект следует отвергнуть;
PI = 1, то проект ни прибыльный, ни убыточный.
В отличие от чистого приведенного эффекта индекс доходности инвестиций является относительным показателем. Он характеризует уровень доходов на единицу затрат, т.е. эффективность вложений – чем больше значение этого показателя, тем выше отдача с каждого рубля, инвестированного в данный проект.
Метод оценки длительности проекта аналогичен подходу с позиции периода окупаемости, рассчитанном на основе дисконтированных денежных потоков. Главное отличие этого метода заключается в том, что он предполагает анализ всего срока жизненного цикла инвестиций. Длительность инвестиций – это средневзвешенный срок жизненного цикла, где веса – текущие стоимости денежных потоков, полученных в соответствующем периоде. Результаты расчетов приведены в приложениях.
В связи с тем, что коэффициент длительности учитывает денежные поступления на протяжении всего срока жизненного цикла проекта, он несколько корректирует ту оценку, которую можно дать, основываясь лишь на таком показателе, как срок окупаемости.
Финансовый анализ проекта проводится путем анализа отчетов экспертов, включая проведение расчетов различных финансовых коэффициентов и показателей, которые дают возможность получения максимума необходимой для исследования информации. При этом необходимо учитывать, что сами коэффициенты не являются самостоятельными и не несут в себе всю необходимую информацию.
Прежде, чем проводить анализ всех проектов необходимо было учесть величину налогов в денежных потоках. При этом все денежные потоки точно определены, т.е. в данном проекте не делается поправка на риск.
Из приведенных расчетов чистой текущей стоимости видно, во 2-ом проекте NPV имеет лучшее значение, а в 6-м проекте самое низкое значение. Это связано с большими капитальными вложениями и невысокой добычей нефти для этих вложений.
Результаты оценки эффективности инвестиций в освоение структур приведены в таблице.
Таблица 3.5. Результаты оценки эффективности освоения структур.
|
Структура: |
Общие КВ тыс.$ |
DPB Лет |
NPV на конец 10 года тыс.$ |
IRR на конец 10 года % |
PI на конец 10 года Ед. |
|
1 |
675 |
10 |
5 |
15% |
1,01 |
|
2 |
2 265 |
7 |
781 |
27% |
1,37 |
|
3 |
1 792 |
8 |
336 |
20% |
1,18 |
|
4 |
1 599 |
6 |
723 |
29% |
1,45 |
|
5 |
1 200 |
10 |
6 |
15% |
1,01 |
|
6 |
4 071 |
Более 10 |
-687 |
9% |
0,81 |
Как видно из расчетов, лучший показатель IRR получен для 4-го проекта, и для меньших потерь целесообразно внедрять 4 проект.
Все рассмотренные проекты имеют одинаковый жизненный цикл, в течение которого денежные потоки (доходы) от каждого проекта были положительными. Это позволило произвести анализ проектов с точки зрения ранжирования денежных потоков. Т.к. все проекты имеют одинаковые начальные вложения, то на основе рассмотренных денежных потоков можно сказать, что ежегодные денежные потоки второго проекта больше, чем первого и третьего. Следовательно, второй проект более привлекателен.
По строкам окупаемости все проекты имеют значения в пределах 6-10, при жизненном цикле проекта равном 10 лет это является хорошим значением периода окупаемости. Однако, если учитывать стоимость денег во времени и рассчитать текущую окупаемость, используя вместо чистых денежных потоков дисконтированные денежные потоки, то мы получим другие результаты, которые, кроме этого, будут также отличаться друг от друга, т.к. каждый проект имеет свою ставку дисконтирования. Данные ранжирования по этому показателю приведены в приложении. Как видно из таблицы, ни один из проектов не окупится в срок равный 5 лет. Однако проект 2 имеет меньший срок окупаемости, чем 1-й и 3-й, следовательно, он более выгоден.
При расчете доходности инвестиций использовались чистые денежные потоки, т.е. денежные потоки без налогов. И этот показатель оказался наилучшим для 2-го проекта.
Не все представленные проекты являются привлекательными для инвестора. Наиболее приемлемым из всех 3-х проектов является 2-й, главным образом потому, что его показатели наиболее приемлемы для размещения денежных средств из всех, а начальные вложения равны.
Проанализировав перечисленные коэффициенты, можно сделать вывод о том, что для обеспечения возврата средств и прибыльности инвестиций необходимо предпринять мероприятия по увеличению жизненного цикла проектов. На примере проекта 1 можно отметить, что при этих условиях мы получаем положительное NPV, ставка IRR вырастает до величины, выше имеющейся ставки, текущая окупаемость меньше продолжительности работы проекта.
Также можно попытаться снизить действующую ставку дисконтирования, однако это сложнее, из-за экономического положения в России. Поэтому наиболее рациональным представляется увеличение жизненного цикла проекта.
Необходимо учитывать, что:
при изменении нормы дисконта альтернативные варианты могут меняться местами;
наиболее привлекательными, как правило, являются более дорогостоящие проекты;
использование в расчетах различных методов может дать различные результаты.
При проведении инвестиционного анализа необходимо учитывать, что для потенциального инвестора кроме финансовых показателей могут быть важными также другие критерии целесообразности реализации проекта:
интересы сторон, принимающих участие в проекте:
системы бухгалтерского учета;
ценообразование на ресурсы и готовую продукцию;
срок жизни проекта;
риск и неопределенность.
Согласно результатам оценки экономически эффективным при принятых сценарных условиях будет освоение следующих структур: 2, 3, 4. Показатели эффективности инвестиций в освоение 1, 5, 6 структур ниже нормативных значений принятых в ЗАО "ЛУКОЙЛ-ПЕРМЬ".
В таблице 3.6 приведены результаты оценки уровня мировых цен на нефть, при которых эффективное освоение структур с низкими показателями эффективности инвестиций будет соответствовать нормативным значениям эффективности инвестиций, принятым в ЗАО ”ЛУКОЙЛ-ПЕРМЬ”. Критерием оценки принято значение внутренней нормы рентабельности (IRR) 20%.
Таблица 3.6. Уровень мировых цен при которых возможно эффективное использование структур с низкими показателями эффективности инвестиций.
|
Структура: |
Цена нефти BRENT $/bll |
DBP, лет |
IRR, % |
|
1 |
21 |
8 |
21 |
|
5 |
21 |
8 |
20 |
|
6 |
26 |
8 |
21 |
По инвестиционному проекту могут быть сделаны следующие выводы:
1) Экономически эффективным при принятых сценарных условиях будет освоение следующих структур: 2, 3 , 4.
2) Показатели эффективности инвестиций в освоение 1, 5, 6структур ниже принятых показателей в ЗАО"ЛУКОЙЛ-ПЕРМЬ".
3) Эффективное освоение 1и 5 структур возможно при среднем уровне мировых цен на нефть (сорт Brent Dtd) в долгосрочной перспективе 21$/bll, а освоение 6 структуры при цене 26$/bll.
3.2. Учет рисков как направление совершенствования оценки эффективности инвестиционных проектов.
Инвестиция в любой проект сопряжена с определенным риском, что, как уже указывалось, отражается в величине процентной ставки: проект может завершиться неудачей, т.е. оказаться нереализованным, неэффективным или менее эффективным, чем ожидалось. Риск связан с тем, что доход от проекта является случайной, а не детерминированной величиной (т.е. неизвестной в момент принятия решения об инвестировании), равно как и величина убытков. При анализе инвестиционного проекта следует учитывать факторы риска, выявить как можно больше видов рисков и постараться минимизировать общий риск проекта. В настоящее время применяемые на предприятии методики оценки эффективности инвестиционных проектов не учитывают факторы риска, что обеспечивает меньшую достоверность расчетов по инвестиционному проекту.
По своему отношению к риску инвесторы могут быть разделены группы:
склонные к риску (готовые платить за то, чтобы нести риск);
не склонные к риску (готовые платить, чтобы уклониться от риска);
нейтральные к риску (безразличные к наличию или отсутствию риска).
Непосредственно отношение к риску зависит как от целей инвестирования (степени рискованности проекта), так и от финансового положения инициатора (инвестора). Для принятия правильного инвестиционного решения необходимо не только определить величину ожидаемого дохода, степень риска, но и оценить, насколько ожидаемый доход компенсирует предполагаемый риск. Однако сложность заключается в том, что оценка риска осуществления инвестиций в меньшей степени, чем другие способы оценки, поддается формализации. Тем не менее, анализ риска является необходимым и чрезвычайно важным этапом инвестиционной экспертизы.
К сожалению, в настоящее время, ряд бизнес-планов инвестиционных проектов, содержащих раздел анализа рисков, сужает проблему до анализа только финансовых рисков или подменяет анализом банковских рисков, что не отражает весь спектр проектных рисков.
Среди
рассмотренных моделей учетов рисков в
инвестиционном проектировании наиболее
универсальным и учитывающем наибольшее
количество вероятностных рисков
является метод Монте-Карло. Имитационное
моделирование по методу Монте-Карло
(Monte-Carlo Simulation) позволяет построить
математическую модель для проекта с
неопределенными значениями параметров,
и, зная вероятностные распределения
параметров проекта, а также связь между
изменениями параметров (корреляцию)
получить распределение доходности
проекта. Блок-схема, представленная на
рисунке отражает укрупненную схему
работы с моделью. 
Рис 3.2. Блок-схема модели Монте-Карло.
Применение метода имитации Монте-Карло требует использования специальных математических пакетов (например, специализированного программного пакета Гарвардского университета под названием Risk-Master) , в то время, как метод сценариев может быть реализован даже при помощи обыкновенного калькулятора.
Анализ рисков с использованием метода имитационного моделирования Монте-Карло представляет собой “воссоединение” методов анализа чувствительности и анализа сценариев на базе теории вероятностей. Результатом такого комплексного анализа выступает распределение вероятностей возможных результатов проекта (например, вероятность получения NPV<0).
Упоминаемый ранее программный пакет Risk-Master позволяет в диалоговом режиме осуществить процедуру подготовки информации к анализу рисков инвестиционного проекта по методу Монте-Карло и провести сами расчеты.
Первый шаг при применении метода имитации состоит в определении функции распределения каждой переменной, которая оказывает влияние на формирование потока наличности. Как правило, предполагается, что функция распределения являются нормальной, и, следовательно, для того, чтобы задать ее необходимо определить только два момента (математическое ожидание и дисперсию).
Как только функция распределения определена, можно применять процедуру Монте-Карло. Алгоритм метода имитации Монте-Карло состоит в следующем:
Шаг 1. Опираясь на использование статистического пакета, случайным образом выбирается, основываясь на вероятностной функции распределения, значение переменной, которая является одним из параметров определения потока наличности.
Шаг 2. Выбранное значение случайной величины наряду со значениями переменных, которые являются экзогенными переменными используется при подсчете чистой приведенной стоимости проекта.
Шаги 1 и 2 повторяются большое количество раз, например 1000, и полученные 1000 значений чистой приведенной стоимости проекта используются для построения плотности распределения величины чистой приведенной стоимости со своим собственным математическим ожиданием и стандартным отклонением.
Используя значения математического ожидания и стандартного отклонения, можно вычислить коэффициент вариации чистой приведенной стоимости проекта и затем оценить индивидуальный риск проекта, как и в анализе методом сценариев.
Далее необходимо определить минимальное и максимальное значения критической переменной, а для переменной с пошаговым распределением помимо этих двух еще и остальные значения, принимаемые ею. Границы варьирования переменной определяются, просто исходя из всего спектра возможных значений.
По прошлым наблюдениям за переменной можно установить частоту, с которой та принимает соответствующие значения. В этом случае вероятностное распределение есть то же самое частотное распределение, показывающее частоту встречаемости значения, правда, в относительном масштабе (от 0 до 1). Вероятностное распределение регулирует вероятность выбора значений из определенного интервала. В соответствии с заданным распределением модель оценки рисков будет выбирать произвольные значения переменной. До рассмотрения рисков подразумевалось, что переменная принимает одно определенное нами значение с вероятностью 1. И через единственную итерацию расчетов мы получали однозначно определенный результат. В рамках модели вероятностного анализа рисков проводится большое число итераций, позволяющих установить, как ведет себя результативный показатель (в каких пределах колеблется, как распределен) при подстановке в модель различных значений переменной в соответствии с заданным распределением.
Задача аналитика, занимающегося анализом риска, состоит в том, чтобы хотя бы приблизительно определить для исследуемой переменной (фактора) вид вероятностного распределения. При этом основные вероятностные распределения, используемые в анализе рисков, могут быть следующими: нормальное, постоянное, треугольное, пошаговое. Эксперт присваивает переменной вероятностное распределение, исходя из своих количественных ожиданий и делает выбор из двух категорий распределений: симметричных (например, нормальное, постоянное, треугольное) и несимметричных (например, пошаговое распределение).
Существование коррелированных переменных в проектном анализе вызывает порой проблему, не рассмотреть которую означало бы заранее обречь себя на неверные результаты. Ведь без учета коррелированности, скажем, двух переменных - компьютер, посчитав их полностью независимыми, генерирует нереалистичные проектные сценарии.
Проведение расчетных итераций является полностью компьютеризированной частью анализа рисков проекта. 200-500 итераций обычно достаточно для хорошей репрезентативной выборки. В процессе каждой итерации происходит случайный выбор значений ключевых переменных из специфицированного интервала в соответствии с вероятностными распределениями и условиями корреляции. Затем рассчитываются и сохраняются результативные показатели (например, NPV). И так далее, от итерации к итерации.
Завершающая стадия анализа проектных рисков - интерпретация результатов, собранных в процессе итерационных расчетов. Результаты анализа рисков можно представить в виде профиля риска. На нем графически показывается вероятность каждого возможного случая (имеются в виду вероятности возможных значений результативного показателя).
Часто при сравнении вариантов капиталовложений удобнее пользоваться кривой, построенной на основе суммы вероятностей (кумулятивный профиль риска). Такая кривая показывает вероятности того, что результативный показатель проекта будет больше или меньше определенного значения. Проектный риск, таким образом, описывается положением и наклоном кумулятивного профиля риска.
Будем исходить из того, что проект подлежит рассмотрению и считается выгодным, в случае, если NPV > 0. При сравнении нескольких одноцелевых проектов выбирается тот, у которого NPV больше при соблюдении сказанного в предыдущем предложении.
Рассматривается 5 иллюстративных случаев принятия решений. Случаи 1-3 имеют дело с решением инвестировать в отдельно взятый проект, тогда как два последних случая (4, 5) относятся к решению-выбору из альтернативных проектов. В каждом случае рассматривается как кумулятивный, так и некумулятивный профили риска для сравнительных целей. Кумулятивный профиль риска более полезен в случае выбора наилучшего проекта из представленных альтернатив, в то время как некумулятивный профиль риска лучше индуцирует вид распределения и показателен для понимания концепций, связанных с определением математического ожидания. Анализ базируется на показателе чистой текущей стоимости.
Случай 1: Минимальное возможное значение NPV выше, чем нулевое (Рис.3а,кривая 1).

Вероятность отрицательного NPV равна 0, так как нижний конец кумулятивного профиля риска лежит справа от нулевого значения NPV. Так как данный проект имеет положительное значение NPV во всех случаях, ясно, что проект принимается.
Случай 2: Максимальное возможное значение NPV ниже нулевого( рис.3а, кривая 2).
Вероятность положительного NPV равна 0, так как верхний конец кумулятивного профиля риска лежит слева от нулевого значения NPV. Так как данный проект имеет отрицательное значение NPV во всех случаях, ясно, что проект не принимается.
Случай 3: Максимальное значение NPV больше, а минимальное меньше нулевого (рис.3а, кривая 3).
Вероятность нулевого NPV больше, чем 0, но меньше, чем 1, так как вертикаль нулевого NPV пересекает кумулятивный профиль рисков. Так как NPV может быть как отрицательным, так и положительным, решение будет зависеть от предрасположенности к риску инвестора. По-видимому, если математическое ожидание NPV меньше или равно 0 (пик профиля рисков слева от вертикали или вертикаль точно проходит по пику) проект должен отклоняться от дальнейшего рассмотрения.
Случай
4: Непересекающиеся кумулятивные профили
рисков альтернативных (взаимоисключающих)
проектов (рис.3б). 

При фиксированной вероятности отдача проекта В всегда выше, нежели у проекта А. Профиль рисков также говорит о том, что при фиксированной NPV вероятность, с которой та будет достигнута, начиная с некоторого уровня будет выше для проекта В, чем для проекта А.
Случай
5: Пересекающиеся кумулятивные профили
рисков альтернативных проектов (рис.3в).


Склонные к риску инвесторы предпочтут возможность получения высокой прибыли и, таким образом, выберут проект А. Несклонные к риску инвесторы предпочтут возможность нести низкие потери и, вероятно, выберут проект В.
В качестве индикатора риска ожидаемая стоимость может выступать как надежная оценка только в ситуациях, где операция, связанная с данным риском, может быть повторена много раз. В инвестиционном проектировании мера ожидаемой стоимости должна всегда применяться в комбинации с мерой вариации, такой как стандартное отклонение.
Инвестиционное решение не должно базироваться лишь на одном значении ожидаемой стоимости, потому что индивид не может быть равнодушен к различным комбинациям значения показателя отдачи и соответствующей вероятности, из которых складывается ожидаемая стоимость.
Издержки неопределенности или ценность информации, как они иногда называются, - полезное понятие, помогающее определить максимально возможную плату за получение информации, сокращающей неопределенность проекта. Эти издержки можно определить как ожидаемую стоимость возможного выигрыша при решении отклонить проект или как ожидаемую стоимость возможного убытка при решении принять проект.
Ожидаемая
стоимость возможного выигрыша при
решении отклонить проект иллюстрируется
на Рис.4 и равна сумме возможных
положительных значений NPV, перемноженных
на соответствующие вероятности. 
Ожидаемая
стоимость возможного убытка при решении
принять проект, показанная в виде
заштрихованной площади на Рис.5, и равна
сумме возможных отрицательных значений
NPV, перемноженных на соответствующие
вероятности. 
Оценив возможное сокращение издержек неопределенности при приобретении дополнительной информации, инвестор решает, отложить решение принять или отклонить проект и искать дополнительную информацию или принимать решение немедленно. Общее правило таково: инвестору следует отложить решение, если возможное сокращение в издержках неопределенности превосходит издержки добывания дополнительной информации.
Нормированный ожидаемый убыток (НОУ) - отношение ожидаемого убытка к ожидаемой стоимости:
НОУ = ожидаемый убыток/(ожидаемый выигрыш + ожидаемый убыток)
Этот показатель может принимать значения от 0 (отсутствие ожидаемого убытка) до 1 (отстутствие ожидаемого выигрыша). На Рис.5 он представляется как отношение площади под профилем риска слева от нулевого NPV ко всей площади под профилем риска
Проект с вероятностным распределением NPV, таким, что область определения профиля риска NPV выше 0, имеет нормируемый ожидаемый убыток, равный 0, что означает абсолютную неподверженность риску проекта. С другой стороны, проект, область определения профиля риска NPV которого ниже 0, полностью подвержен риску.
Данный показатель определяет риск как следствие двух вещей: наклона и положения профиля риска NPV по отношению к разделяющей вертикали нулевого NPV.
Коэффициент вариации
Он представляет собой стандартное отклонение результативного показателя, деленное на его ожидаемую стоимость. При положительной ожидаемой стоимости чем ниже коэффициент вариации, тем меньше проектный риск.
Как видим, два последних рассмотренных показателя характеризуют риск исследуемого проекта. Однако, если нормируемый ожидаемый убыток есть относительный показатель и дает возможность судить о риске отдельно взятого проекта (скажем, неудовлетворительным считается проект, НОУ которого более 40%), то коэффициент вариации - это абсолютный показатель, и потому представляется более удобным его использовать при сравнении альтернативных проектов.
Показатели предельного уровня
Степень устойчивости проекта по отношению к возможным изменениям условий реализации, а значит и степень риска может быть охарактеризована показателями предельного уровня объемов производства, цен производимой продукции и других параметров проекта. Предельное значение параметра проекта для некоторого t-го года его реализации определяется как такое значение этого параметра в t-ом году, при котором чистая прибыль участника в этом году становится нулевой. Одним из наиболее важных показателей этого типа является рассмотренная ранее точка безубыточности, характеризующая объем продаж, при котором выручка от реализации продукции совпадает с издержками производства. Для подтверждения работоспособности проектируемого производства (на данном шаге расчета) необходимо, чтобы значение точки безубыточности было меньше значений номинальных объемов производства и продаж (на этом шаге). Чем дальше от них значение точки безубыточности (в процентном отношении), тем устойчивее проект. Проект обычно признается устойчивым, если значение точки безубыточности не превышает 75% от номинального объема производства. Подробно данный показатель, а также его плюсы и минусы уже рассматривались ранее.
Как видно, данный показатель никак не связан с вероятностным методом и в отличие от последнего не уточняет вероятности и спектр возможных значений для результативных показателей. Кроме того, каждый показатель предельного уровня характеризует степень устойчивости в зависимости лишь от конкретного параметра проекта (объем производства и т.д.), в то время как вероятностный подход проводит комплексный анализ риска при неопределенности одновременно всех интересуемых параметров проекта, т.е. в последнем случае учитывается синхронность их изменения.
На практике не имеет смысла считать большое количество показателей предельного уровня с надеждой определить риски, так как основная цель расчета такого несомненно важного показателя как точка безубыточности состоит в том, чтобы определить минимально допустимый уровень объема производства на пред инвестиционной фазе, что необходимо при описании проекта и построении его идеи.
Несмотря на свои достоинства, метод Монте-Карло не распространен и не используется слишком широко в бизнесе. Одна из главных причин этого - неопределенность функций плотности переменных, которые используются при подсчете потоков наличности.
Другая проблема, которая возникает как при использовании метода сценариев, так и при использовании метода Монте-Карло, состоит в том, что применение обоих методов не дает однозначного ответа на вопрос о том, следует ли реализовывать данный проект или следует отвергнуть его.
При завершении анализа, проведенного методом Монте-Карло, у эксперта есть значение ожидаемой чистой приведенной стоимости проекта и плотность распределения этой случайной величины. Однако наличие этих данных не обеспечивает аналитика информацией о том, действительно ли прибыльность проекта достаточно велика, чтобы компенсировать риск по проекту, оцененный стандартным отклонением и коэффициентом вариации. Ряд исследователей избегает использования данного метода ввиду сложности построения вероятностной модели и множества вычислений, однако при корректности модели метод дает весьма надежные результаты, позволяющие судить как о доходности проекта, так и о его устойчивости (чувствительности).
В зависимости от результатов завершенного анализа рисков, а также и от того, насколько склонен к риску инвестор, последний принимает решение принять, изменить, или отклонить проект.
Результативность анализа рисков представлена в таблице 3.8.:
Таблица 3.8. Результаты анализа рисков.
|
Полезность оценки рисков |
Ограниченность оценки рисков |
|
1. Совершенствует уровень принятия решений по малоприбыльным проектам. Проект с малым значением NPV может быть принят, в случае если анализ рисков установит, что шансы получить удовлетворительный доход превосходят вероятность неприемлемых убытков. 2. Помогает идентифицировать производственные возможности. Анализ рисков помогает сэкономить деньги, потраченные на получение информации, издержки на получение которой превосходят издержки неопределенности. 3. Освещает сектора проекта, требующие дальнейшего исследования и управляет сбором информации. 4. Выявляет слабые места проекта и дает возможность внести поправки. 5. Предполагает неопределенность и возможные отклонения факторов от базовых уровней. В связи с тем, что присвоение распределений и границ варьирования переменных несет оттенок субъективизма, необходимо критически подходить даже к результатам анализа рисков. |
1. Проблема коррелированных переменных, которые могут привести к обманчивым заключениям при неправильном специфицировании. 2. Анализ рисков предполагает доброкачественность моделей проектного оценивания. Если модель неправильна, то результаты анализа рисков также будут вводить в заблуждение |
В нефтегазовой отрасли особо важен учет геологического риска. На этот вид риска стоит уделять особое внимание.При оценке локального объекта геологический риск определяется как вероятность того, что реальные геологические запасы окажутся ниже ожидаемого уровня или фильтрационно-емкостные характеристики будут хуже тех, что использовались при оценке ресурсов или запасов. Геологический риск, ассоциируемый с локальным объектом, и степень его изученности связаны обратной зависимостью. Чем выше изученность, тем меньше риск получить неверную оценку ресурсного потенциала объекта. С другой стороны, риск есть мера неопределенности: больше неопределенность в оценке параметров - больше риск и наоборот. Если один объект изучен детальной сейсморазведкой и разведочной скважиной, подтвердившей его продуктивность, а другой лишь выявлен по сейсмическим данным. Ясно, что в первом случае речь может идти лишь о вариациях фильтрационно-емкостных свойств (ФЕС) в области продуктивности объекта в каких-то пределах. Во втором случае объект может оказаться как совершенно пустым, так и продуктивным. Т.е. его ресурсы могут изменяться от нуля до каких-то конечных величин, определяемых емкостью ловушки и максимально возможными ФЕС для данного района. Ясно, что геологический риск во втором случае намного выше.
Различают локальный и зональный риск. Зональный риск конкретного локального геологического объекта - это доля риска этого объекта в составе перспективной зоны или района. Локальный риск относится к конкретному объекту, рассматриваемому изолированно, а не в составе зоны или района, и измеряется дисперсией возможных исходов относительно ожидаемых ресурсов или запасов этого объекта (или ФЕС). Поэтому он может быть оценен с помощью различных мер рассеяния: размаха вариации, дисперсии, среднего квадратического (стандартного) отклонения и т.д., рассчитываемых для трех возможных исходов относительно оцениваемых ресурсов: пессимистического, наиболее вероятного и оптимистического. Наиболее предпочтительной мерой оценки локального риска объекта является коэффициент вариации. Чем выше перечисленные величины, и, прежде всего коэффициент вариации, тем выше геологический риск, связанный с данным локальным объектом.
Те же рассуждения можно отнести к оценке каждого отдельного свойства: пористости, эффективной толщины, объема, коэффициента заполнения ловушки и т.д., но это уже более частные характеристики геологического риска в данном понимании.
В такой постановке геологический риск связан с неопределенностью геологической модели и не зависит от абсолютной величины запасов. Т.е. если допустить, что геологическая модель известна абсолютно точно (а такого не бывает даже после окончания разработки месторождения), то коэффициент вариации, а значит и локальный геологический риск будет равен нулю.
В то же время следует указать, что рассчитанная таким образом мера риска лишь косвенным образом связана с инвестиционным риском, который в свою очередь зависит также от абсолютной величины ресурсов, наличия инфраструктуры, стоимости конечной продукции и многих других факторов. Чтобы учесть это, следуя той же логической схеме, предлагается осуществить следующую последовательность действий:
расчет прогнозных объемов добычи по годам эксплуатации при трех вариантах оценки извлекаемых ресурсов: пессимистической, наиболее вероятной и оптимистической;
построение гипотетических инвестиционных проектов при вышеупомянутых трех схемах эксплуатации месторождений;
количественная оценка эффективности данных инвестиционных проектов по величинам чистой приведенной (дисконтированной) стоимости (NPV) при различных вариантах стоимостных характеристик проектов;
расчет статистических характеристик рассеяния показателя NPV по различным вероятным реализациям проектов;
сравнительная оценка инвестиционного риска освоения локальных объектов по величинам рассчитанных характеристик рассеяния и прежде всего коэффициентов вариации.
Вместо
NPV показателями эффективности
гипотетических реализаций инвестиционных
проектов (или наряду с ними) могут
выступать и другие общепринятые
характеристики: внутренняя норма прибыли
или индекс рентабельности со всеми
особенностями, присущими данным
показателям.
Проект как объект
управления описывается совокупностью
значений показателей (характеристик)
проекта. Для удобства анализа и
ранжирования проектов, реализуемых в
ЗАО "ЛУКОЙЛ-ПЕРМЬ" предлагается
следующая схема разделения проектов
по уровням. В основу деления положено
наличие определенного набора рисков
реализации проектов.
I уровень: инвестиционные программы (мегапроект), как совокупность инвестиционных проектов, объединяемых единым направлением или по территориальному признаку;
II уровень: инвестиционные проекты, связанные с приобретением или строительством объектов действующего производства, приобретением доли в уставном капитале предприятий, созданием предприятий, приобретением лицензий на разработку месторождений и т.п.;
III уровень: инвестиционные проекты, связанные с приобретением оборудования, реконструкцией объектов действующего производства и т.п.
На инвестиционные проекты (программы) влияют следующие факторы:
политические:
политическая стабильность внутренней и внешней политики государства;
отношение к проекту (программе) местной администрации;
националистические проявления;
имидж марки “LUKOIL”;
и т.п.
экономические:
имущественные права, в т.ч. на землю;
налоговое законодательство;
уровень инфляции и стабильность национальной валюты;
источники инвестиций;
состояние рынков сбыта (удаленность от коммуникаций);
и т.п.
общество:
отношение местного населения к проекту;
условия и уровень жизни;
общественные организации, СМИ;
и т.п.
техника и технология:
уровень техники и технологии;
уровень развития информационных технологий;
энергетические системы;
транспортные системы;
связь, коммуникация;
и т.п.
экологические:
естественно-климатические условия;
природные ресурсы (кроме углеводородов);
законодательство по защите окружающей среды;
наличие «зеленых» общественных организаций;
и т.п.
В таблице 3.9 представлена экспертная оценка степени влияния факторов окружения на реализацию инвестиционных проектов /программ.
Принята следующая оценка влияния:
0 – не влияет;
1 – слабое влияние;
2 – среднее влияние
3 – сильное влияние.
Таблица 3.9 – степень влияния факторов на реализацию инвестиционных проектов/программ
|
Факторы |
I уровень проектов |
II уровень проектов |
III уровень проектов |
Политические |
3 |
2 |
0 |
|
Экономические |
3 |
3 |
3 |
|
Общественные |
3 |
1 |
0 |
|
Законодательство |
3 |
1 |
0 |
|
Технические |
2 |
3 |
3 |
|
Экологические |
2 |
2 |
2 |
Метод учета рисков Монте – Карло для предприятия в данных условия является наиболее универсальным и оптимальным. Он позволяет учитывать наибольшее количество рисков и наиболее точно их учитывать. Инвестиционное проектирование требует внедрение систему учета рисков, для более точной оценки инвестиционных проектов в условия перехода к рынку.
ВВЕДЕНИЕ.
С переходом нашей страны к рынку и вследствие этого отменой государственного финансирования инвестиционных проектов, все большую актуальность приобретают вопросы, связанные с инвестиционной деятельностью.
Все предприятия в той или иной степени связаны с инвестиционной деятельностью. Принятие решений по инвестиционным проектам осложняется различными факторами: видом инвестиций, стоимостью инвестиционного проекта, множественностью доступных проектов, ограниченностью финансовых ресурсов, доступных для инвестирования, риском, связанным с принятием того или иного решения.
Нередко решения должны приниматься в условиях, когда имеется ряд альтернативных или взаимно независимых проектов. В этом случае необходимо сделать выбор одного или нескольких проектов, основываясь на каких-то критериях. Очевидно, что критериев может быть несколько, а вероятность того, что какой-то один проект будет предпочтительнее других по всем критериям, как правило, значительно меньше единицы.
Весьма существенен, при инвестиционном проектировании фактор риска. Инвестиционная деятельность всегда осуществляется в условиях неопределенности, степень которой может существенно варьировать.
Принятие решений инвестиционного характера, как и любой другой вид управленческой деятельности, основывается на использовании различных формализованных и неформализованных методов. Степень их сочетания определяется разными обстоятельствами, в том числе и тем, насколько менеджер знаком с имеющимся аппаратом, применимым в том или ином конкретном случае. В отечественной и зарубежной практике известен целый ряд формализованных методов, с помощью которых расчёты могут служить основой для принятия решений в области инвестиционной политики. Какого-то универсального метода, пригодного для всех случаев жизни, не существует. Вероятно, управление все же в большей степени является искусством, чем наукой. Тем не менее, имея некоторые оценки, полученные формализованными методами, пусть даже в известной степени условные, легче принимать окончательные решения.
Целью данной работы является совершенствование методов оценки эффективности в инвестиционном проектировании для конкретного предприятия. Одним из направлений такого совершенствования является учет рисков, при котором можно будет делать более качественную оценку текущих инвестиционных проектов. Эта проблема является действительно актуальной не только для ЗАО "Z", но и для большинства российских предприятий.
В дипломной работе поставлены следующие задачи.
Провести сравнительный анализ существующих утвержденных методик оценки экономической эффективности инвестиционных проектов. Изучить альтернативные подходы к определению эффективности инвестиционных проектов.
Исследовать и обобщить законодательные и нормативные акты, регулирующие вопросы инвестиционного анализа, рассмотреть основные экономические модели инвестирования.
Провести комплексный анализ объекта исследования - ЗАО «Z» с определением установок инвестиционной деятельности, дать характеристику текущей инвестиционной деятельности на примере одного реального проекта, реализуемого на данном предприятии.
Провести анализ методов оценки инвестиционных проектов, используемых в практике предприятия. Определить учет факторов времени, инфляции, тенденций рынка, ставки процента, амортизации, и других факторов, которые могут повлиять на результаты расчетов.
Предложить рекомендации по совершенствованию методики оценки инвестиционных проектов, либо методов, которые повысят эффективность расчетов в инвестиционном анализе.
В первой главе диплома рассматриваются теоретические основы инвестиционного анализа, методики и методы, которые реально на практике используются для расчета экономической эффективности инвестиционных проектов. Так же освящаются вопросы правового характера, относящиеся к данной теме.
Вторая глава раскрывает вопросы, связанные с комплексным анализом объекта. Здесь дана краткая история предприятия, освещены вопросы, связанные с особенностью деятельности вертикально-интегрированных компаний.
При написании дипломной работы был использован обширный библиографический материал: монографии, статьи, переводная литература, нормативно-правовые акты.
ЗАКЛЮЧЕНИЕ.
В представленной работе были рассмотрены актуальные для экономики страны в целом и для компании в частности вопросы, а именно методы оценки экономической эффективности инвестиционных проектов, а также учет рисков в данных методах.
В данной работе были описаны основные методики оценки инвестиционных проектов, на основании которых были сделаны выводы о степени предпочтительности каждого из них. В связи с тем, что различные методики склонны давать отличную друг от друга интерпретацию рассматриваемых проектов, сделан вывод о необходимости оценивать проекты с помощью нескольких методик и делать выводы о степени инвестиционной привлекательности проектов, анализируя полученные результаты в совокупности.
В проектной главе был посчитан реальный инвестиционный проект и представлен алгоритм его расчета. В качестве предложения по совершенствованию применяемых методов расчета эффективности проектов представлен метод для учета рисков в инвестиционном проектировании и для получения более точных и достоверных результатов оценки инвестиционных проектов. Этот метод представляют собой имитационное моделирование для анализа рисков инвестиционных проектов. Цели проведения подобных экспериментов могут быть самыми различными – от выявления свойств и закономерностей исследуемой системы, до решения конкретных практических задач. С развитием средств вычислительной техники и программного обеспечения, спектр применения имитации в сфере экономики существенно расширяется. Ее можно использовать как для решения задач внутрифирменного управления, так и для моделирования на макроэкономическом уровне. В заключении следует отметить, что имитационное моделирование позволяет учесть максимально возможное число факторов внешней среды для поддержки принятия управленческих решений и является наиболее действенным средством анализа инвестиционных рисков. Необходимость его применения в отечественной финансовой практике обусловлена особенностями российского рынка, характеризующегося субъективизмом, зависимостью от внеэкономических факторов и высокой степенью неопределенности. Результаты имитации могут быть дополнены вероятностным и статистическим анализом и в целом обеспечивают менеджера наиболее полной информацией о степени влияния ключевых факторов на ожидаемые результаты и возможных сценариях развития событий.
К недостаткам преложенного к применению подхода следует отнести:
трудность понимания и восприятия менеджерами имитационных моделей, учитывающих большое число внешних факторов, вследствие их математической сложности и объемности;
возможность возникновения при разработке реальных моделей необходимости привлечения специалистов или научных консультантов;
относительную неточность полученных результатов, по сравнению с другими методами численного анализа.
Но несмотря на отмеченные недостатки, в настоящее время имитационное моделирование является основой для создания новых перспективных технологий управления и принятия решений в сфере бизнеса, а развитие вычислительной техники и программного обеспечения делает этот метод все более доступным для широкого круга специалистов-практиков.