Финансирование инноваций в общей стратегии фирмы
МИНИСТЕРСТВО ОБЩЕГО И ПРОФЕССИОНАЛЬНОГО ОБРАЗОВАНИЯ РФ
ГОСУДАРСТВЕННЫЙ КОМИТЕТ ПО ВЫСШЕМУ ОБРАЗОВАНИЮ РФ
МЕЖДУНАРОДНАЯ АКАДЕМИЯ ПРЕДПРИНИМАТЕЛЬСТВА
КРАСНОЯРСКИЙ ФИЛИАЛ
КУРСОВАЯ РАБОТА
По курсу: «Финансы, денежное обращение, кредит»
ФИНАНСИРОВАНИЕ ИННОВАЦИЙ В ОБЩЕЙ СТРАТЕГИИ ФИРМЫ
Выполнил: Савченко Я. Н.
Гр. 32
Проверил: Малинова Т.П.
К.э.н., доцент
КРАСНОЯРСК 2000
План:
Введение 3
Теоретическая часть 4
Общая характеристика инновационного процесса 4
Инновация как процесс и явление 4
Место инноватики в общей стратегии фирмы 8
Стратегическая конкурентоспособность организации 10
Инвестиции в инновационном процессе 13
Оценка эффективности инновационных проектов 21
Практическая часть 25
Библиография
ВВЕДЕНИЕ
В условиях жесткой конкурентной борьбы и быстро меняющейся ситуации фирмы должны не только концентрировать внимание на внутреннем состоянии дел, но и вырабатывать долгосрочную стратегию поведения, которая позволяла бы им поспевать за изменениями, происходящими в их окружении. В прошлом многие фирмы могли успешно функционировать, обращая внимание в основном на ежедневную работу, на внутренние проблемы, связанные с повышением эффективности использования ресурсов в текущей деятельности. Сейчас же, хотя и не снимается задача рационального использования потенциала в текущей деятельности, исключительно важным становится осуществление такого управления, которое обеспечивает адаптацию фирмы к быстро меняющимся условиям ведения бизнеса. Ускорение изменений во внешней среде; появление новых потребностей и изменение позиции потребителя; возрастание конкуренции за ресурсы; интернационализация бизнеса; появление новых неожиданных возможностей для бизнеса, открываемых достижениями науки и техники; развитие информационных сетей, делающих возможным молниеносное распространение и получение информации; широкая доступность современных технологий; изменение роли человеческих ресурсов и ряд других причин привели к резкому возрастанию значения стратегического менеджмента.
Необходимо отметить, что в основе стратегического управления лежит фактор адаптации, приспособления фирмы к изменяющимся условиям среды. Очевидно, что для этого фирма должна что-либо изменить в своей структуре, т.е. внедрить инновацию, которая позволит во-первых - сохранить существующее положение фирмы, и, во-вторых – получить новые конкурентные преимущества.
Вместе с тем, инновации требуют финансовых вложений. Для того чтобы получить дополнительную прибыль или сохранить её существующий уровень необходимо осуществить финансовые вложения в разработку и реализацию инноваций. При этом эмпирически установлена зависимость: чем на больший успех в будущем рассчитывает организация, тем к большим затратам она должна быть готова в настоящем.
На наш взгляд, данная проблема – финансирование инноваций – особо актуальна для российских компаний, что вызвано двумя факторами:
Сегодня конкурентоспособность российского бизнеса обеспечивается за счет: во-первых – девальвации рубля в августе-сентябре 1998 года и, во-вторых – низким уровнем дохода основной массы населения. Однако последние исследования показывают, что возможности данных источников конкурентоспособности российского бизнеса близки к исчерпанию. Поэтому необходимо удерживать завоеванные позиции именно за счет фактора повышения способности российской продукции удовлетворять потребности покупателей, т.е. необходимо вводить инновации, улучшающие потребительские свойства товаров;
Ввиду того, что рынок капиталов в России весьма и весьма неразвит, финансирование инноваций реально может происходить лишь за счет собственных средств предприятий (прибыли и амортизационных отчислений). Вместе с тем, возможности использования данных источников финансирования инноваций сегодня ограничены, т.к. большинство хозяйствующих субъектов российской экономики имеют недостаток оборотных средств. Из-за этого они вынуждены использовать прибыль и амортизационные отчисления на текущие нужды, подрывая тем самым свою стратегическую конкурентоспособность.
Поэтому тема данной работы является актуальной, и при работе над ней были поставлены следующие задачи:
Рассмотреть понятие инновации и инновационного процесса и их роль в общей стратегии фирмы;
Рассмотреть формы финансирования инноваций в условиях переходной экономики России;
Рассмотреть методы оценки эффективности финансирования инноваций.
1. ТЕОРЕТИЧЕСКАЯ ЧАСТЬ
1. ОБЩАЯ ХАРАКТЕРИСТИКА ИННОВАЦИОННОГО ПРОЦЕССА
Инновация как процесс и явление.
В мировой экономической литературе «инновация» интерпретируется как превращение потенциального научно-технического прогресса в реальный, воплощающийся в новых продуктах и технологиях. Проблематика нововведений в нашей стране на протяжении многих лет разрабатывалась в рамках экономических исследований НТП.
Термин «инновация» стал активно использоваться в переходной экономике России как самостоятельно, так и для обозначения ряда родственных понятий: «инновационная деятельность», «инновационный процесс», «инновационное решение» и т.п. Для уточнения понятия инновации ознакомимся с различными взглядами на её сущность.
Различные ученые, в основном зарубежные (такие как Н. Мончев, И. Перлаки, В. Хартман, Б. Твисс и др.), трактуют это понятие в зависимости от объекта и предмета своего исследования. Например, Б. Твисс определяет инновацию как процесс, в котором изобретение или идея приобретает экономическое содержание. Ф. Никсон считает, что инновация – это совокупность технических, производственных и коммерческих мероприятий, приводящих к появлению на рынке новых и улучшенных промышленных процессов и оборудования. По мнению Б. Санто, инновация – это такой общественно-технико-экономический процесс, который через практическое использование идей и изобретений приводит к созданию лучших по своим свойствам изделий, технологий, и в случае, если инновация ориентирована на экономическую выгоду, то её появление на рынке может принести добавочный доход. И. Шумпетер трактует инновацию как новую научно-организационную комбинацию производственных факторов, мотивированную предпринимательским духом. Во внутренней логике нововведения – новый момент динамизации экономического развития.
Анализ различных определений инновации приводит к выводу, что специфическое содержание инноваций составляют изменения, а главной функцией инновационной деятельности является функция изменения.
Инновация может быть рассмотрена как в динамическом, так и статическом аспекте. В последнем случае инновация представляется как конечный результат научно-производственного цикла. Иными словами, мы имеем факт инновации как явления.
Вместе с тем инновация как процесс представляет собой создание, освоение и распространение нововведений.
Научно-технические разработки выступают как промежуточный результат научно-производственного цикла и по мере практического применения превращаются в научно технические нововведения. Таким образом происходит материализация новых идей и знаний в процессе производства с целью их коммерческой реализации для удовлетворения новых потребностей потребителей. Иными словами, непременными свойствами инновации как явления являются научно-техническая новизна и производственная применимость. Коммерческая реализуемость по отношению к инновации выступает как потенциальное свойство, для реализации которого необходимы определенные усилия.
Из сказанного следует, что инновацию как явление необходимо рассматривать неразрывно с инновацией как процессом.
Необходимо также отметить, что на практике понятия «новшество», «новация», «нововведение» нередко отождествляются, хотя между ними есть определенные различия. Новшеством может быть новый порядок, новый метод, изобретение. Нововведение означает, что новшество используется. С момента принятия к распространению новшество приобретает новое качество и становится инновацией [9, 289]. Следовательно, научно-технические инновации должны:
Обладать новизной;
Удовлетворять рыночному спросу;
Приносить прибыль организации-инноватору.
Распространение нововведений, как и их создание, является составной частью инновационного процесса. Можно выделить три логические формы инновационного процесса: простой внутриорганизационный – предполагает создание и использование новшества внутри одной и той же организации. Новшество в этом случае не является товаром; межорганизационный инновационный процесс предполагает, что новшество выступает в роли товара; расширенный инновационный процесс проявляется в создании новых производителей нововведений, в нарушении монополии производителя-пионера, что способствует совершенствованию потребительских свойств выпускаемых товаров.
Простой инновационный процесс переходит в товарный за две фазы: 1) создание нововведения и его распространение; 2) диффузия нововведения. Первая фаза это последовательные этапы научных исследований, опытно-конструкторских работ, организации опытного производства и сбыта, организации коммерческого производства. На первой фазе еще не реализуется полезный эффект нововведения, а только создаются предпосылки такой реализации. На второй фазе эффект нововведения перераспределяется между его производителями и потребителями.
Распространение инновации – это информационный процесс, форма и скорость которого зависит от мощности коммуникационных каналов, особенностей восприятия информации хозяйствующими субъектами, их способностей к практическому использованию полученной информации и т.п. Дело в том, что хозяйствующие субъекты, действующие в реальной экономической среде, проявляют неодинаковое отношение к поиску инноваций и разную способность к их усвоению.
Диффузия инновации – процесс, посредством которого нововведение передается по коммуникационным каналам в социальной системе во времени. Иными словами, диффузия – это распространение уже однажды освоенной и используемой инновации в новых условиях или местах применения. В результате диффузии возрастает число как производителей, так и потребителей нововведения и изменяются их (нововведений) качественные характеристики. Непрерывность нововведенческих процессов определяет скорость и границы диффузии нововведения в рыночной экономике.
В реальных инновационных процессах скорость диффузии нововведения зависит от различных факторов, основными из которых являются:
Формы принятия решений хозяйствующими субъектами;
Способы передачи информации в социальной системе;
Свойства социальной системы, в которой происходит диффузия нововведения;
Свойств самих нововведений, в том числе относительные преимущества по сравнению с традиционными решениями, совместимость со сложившейся практикой и технологической структурой, сложность, накопленный опыт внедрения и др.
Один из важных факторов распространения любой инновации состоит в её взаимодействии с соответствующим социально-экономическим окружением, существенным элементом которого являются конкурирующие технологии. Согласно теории нововведений И. Шумпетера, диффузия нововведения – это процесс кумулятивного увеличения числа имитаторов (последователей), внедряющих нововведения вслед за новатором в ожидании более высокой прибыли.
И. Шумпетер считал ожидание сверхприбылей главной движущей силой принятия нововведений. Однако на ранних стадиях диффузии нововведений никто из хозяйствующих субъектов не имеет достаточной информации об относительных преимуществах конкурирующих нововведений. Но хозяйствующие субъекты вынуждены внедрять одно из альтернативных нововведений под угрозой вытеснения с рынка.
Во всех случаях для принятия решений каждым субъектом альтернативные технологии сравниваются с решениями, принятыми сравниваются с решениями, принятыми предыдущими реципиентами. Но получить такую информацию достаточно сложно, так как это связано с конкурентным положением фирм на рынке. Каждая фирма может быть знакома с опытом ограниченной выборки фирм, меньшей, чем все множество реципиентов. Это обуславливает неопределенность процессов принятия решений и диффузии в рыночной экономике. Другая причина неопределенности связана с самими нововведениями. На ранних стадиях диффузии их потенциальная прибыльность неизвестна. С накоплением опыта внедрения и использования нововведения неопределенность может быть устранена, или хотя бы снижена. Однако со снижением неопределенности и риска применения нововведения исчерпывается потенциал его дальнейшего использования и снижается его прибыльность. Возможность извлечения дополнительной прибыли от использования любого нововведения временна и снижается по мере приближения предела его распространения.
Следовательно, диффузия нововведений зависит как от стратегии инноваторов, так и от стратегии пионерских реципиентов. Организации-новаторы открывают новые возможности, но их реализация зависит и от выбора организации-имитатора (в данном случае под организацией-новатором понимается организация, разрабатывающая новшество, а под организациями-имитаторами – организации, первыми осваивающие его). Вероятность доминирования на рынке будет больше для новшества, внедряемого большим числом имитаторов. Разумеется, результат конкуренции новшеств определяется выбором всех агентов на рынке, но влияние более ранних реципиентов будет больше, чем последующих.
Необходимо также отметить, что оценить относительные преимущества нововведений в ранней фазе их диффузии трудно, особенно если речь идет о радикальных нововведениях. В таких ситуациях значительную роль в деле будущего технологического развития играет выбор последователей. Дело в том, что каждый сделанный выбор позволяет повысить конкурентоспособность соответствующего новшества и увеличивает его шанс на принятие последующими хозяйствующими субъектами, которые будут учитывать ранее сделанные выборы. После накопления достаточного опыта, когда уже многими хозяйствующими субъектами освоены альтернативные новшества и их относительные преимущества известны с высокой достоверностью, последующие реципиенты принимают решения основываясь на ожидаемой прибыльности альтернативных новшеств. В результате конечное разделение рынка новыми альтернативными нововведениями определяется стратегиями имитаторов.
Деятельность, представляющая инновационный процесс, распадается на отдельные различающиеся между собой участки и материализуется в виде функциональных организационных единиц, обособившихся в результате общественного разделения труда. Экономическое и технологическое воздействие инновационного процесса лишь частично воплощается в новых товарах или технологиях.
Значительно больше оно проявляется в увеличении экономического и научно-технического потенциала как предпосылки возникновения новшеств, т.е. повышается технологический уровень инновационной системы и её составных элементов, тем самым повышается восприимчивость общества к инновациям.
Среди основных элементов инновационной системы мы можем выделить:
Фундаментальные (теоретические) исследования;
Прикладные исследования;
Разработка и проектирование нововведений;
Освоение нововведений, промышленное производство, маркетинг и сбыт. [5, 15]
Для анализа данной системы нам необходимо абстрагироваться от факторов обратной связи между её различными элементами; учесть длительность цикла «Фундаментальные исследования - Освоение нововведений», который может продолжаться более десяти лет; учесть относительную самостоятельность каждой из фаз.
Начальной стадией инновационного процесса являются фундаментальные исследования, конечным результатом которых является получение и переработка новых оригинальных доказательных сведений и информации только в области теории вопроса.
Часть информации, полученной в ходе фундаментальных исследований, разрабатывается далее в ходе прикладных исследований, разработки и проектирования нововведений.
Таким образом, обобщая все вышесказанное, мы можем сказать, что организации в соответствии со своей миссией и динамично изменяющейся внешней средой вырабатывают цели получения устойчивых прибылей, конкурентных преимуществ и выживания в долгосрочной перспективе. Средствами достижения целей, т.е. стратегиями, в этом случае служат как интенсивное развитие всех элементов производственно-хозяйственной системы организации, так и их инновационное развитие. Первое обеспечивает сохранение потенциала организации в случае, если во внешней среде не происходит значительных изменений, что сегодня встречается очень редко. Второе обеспечивает повышение уровня организационного потенциала, в случае устойчивой внешней среды, либо, как минимум, его сохранение, если внешняя среда высокодинамична.
Рассмотрим теперь каким образом инновации влияют на выживание фирмы в долгосрочной перспективе.
Место инноватики в общей стратегии фирмы.
Очевидно, что принятие решения о внедрении нововведений может аргументироваться двумя факторами:
если организация уже столкнулась с кризисной ситуацией, т.е. наблюдается падение объемов продаж, снижается рентабельность, прибыль, фондоотдача и т.д. В этом случае цель нововведений – восстановить предыдущие показатели;
во втором случае организация не ждет наступления кризисной ситуации, а устраняет её причины еще до того, как кризис будет очевиден.
Таким образом, в первом случае, мы наблюдаем запаздывание реакции организации на изменения, так как, обобщая опыт экономического развития мира, мы можем сказать, что кризис есть результат плохой адаптации хозяйствующих субъектов к накопленным изменениям. В чем же причина запаздывания практических действий? Проиллюстрируем их на рис. 1.
инвестиции

А5
>А0>
А1
А2
время

А3
А4
Операционные потери
Рис. 1. Запаздывание реакции организации на внешние изменения и издержки реакции
Первая причина замедления реакции – «ротозейство» (этап А0 – А1 на рис. 1), когда проходит не один месяц, прежде чем руководство компании обратит внимание на снижение объемов продаж.
Вторая причина – промедление (А1 – А2). Обычно менеджеры низшего уровня уже прекрасно осознают наличие серьезных проблем, но не имеют возможностей повлиять на развитие ситуации, так как реальная власть в бюрократических структурах находится в руках высшего управленческого звена, которое нередко имеет лишь отдаленное представление о текущих маркетинговых и технологических проблемах. Непонимание ситуации способствует задержке с принятием решения.
С психологической точки зрения, очевидно, что сотрудники компании будут противиться изменениям, означающим, что навыки персонала и техническая база устарели. При достижении ситуацией кризисного уровня (точка А3 на рис. 1) руководство компании будет вынуждено действовать. Обычно его первая реакция направлена на сокращение расходов, уменьшение потерь за счет снижения издержек и сокращения издержек. Однако, чаще всего, проблема заключена не в уровне эффективности производства, а в его целесообразности. Потери компании обусловлены не низкой эффективностью производства, а тем, что она неэффективно адаптировалась к изменившимся условиям среды.
Наконец, при провале политики сокращения расходов условием выживания компании являются принудительные изменения (А3 – А4), связанные, как правило, со сменой команды менеджеров. Эффективные действия новой команды предполагают разработку стратегии приспособления компании к изменившейся ситуации (А4 – А5).
Так выглядит «классическая» схема реакции организации на изменения во внешней среде. Её недостатки очевидны – прежде всего, это высокий уровень операционных потерь (как прямых, так и косвенных). Именно поэтому современная парадигма стратегического менеджмента исходит из того, что компания должна активно адаптироваться к изменяющимся условиям своей деятельности, в результате чего операционные потери компании резко снижаются (смещение точки А4 на рис. 1 влево).
Каким же образом происходит адаптация организации к изменившимся условиям, и какие факторы определяют её способность к адаптации?
Очевидно, что для эффективной адаптации организация должна привести свою внутреннюю среду в соответствие с внешней средой. Для анализа такого соответствия мы выделяем следующие подсистемы в организации:
Организационная структура, определяющая разделение работы в организации;
Внутриорганизационные процессы, включающие в себя подпроцессы координации, процедуры принятия решений, нормы и формы коммуникаций в организации;
Организационная технология, включающая в себя технические средства и способы их комбинирования и использования для получения конечного продукта, создаваемого организацией;
Персонал организации, определяющий ключевые способности организации в комбинировании существующих и создании новых ресурсов;
Организационная культура, непосредственно влияющая на все остальные подсистемы организации и определяющая её способность к внедрению инноваций.
Инновации могут внедряться в каждую из подсистем организации, однако степень их «усваиваемости» в каждой из подсистем будет неодинакова, что обусловлено различной способностью к восприятию инноваций. Очевидно, что легче всего внедряются инновации, непосредственно не влияющие на структуру формальных и неформальных взаимоотношений работников в организации. Наиболее сложновнедряемыми инновациями будут те, что затрагивают систему интересов участников организации.
Таким образом, мы можем выделить следующие типы нововведений:
Нововведения структурные, изменяющие сложившуюся практику разделения труда в организации;
Нововведения в организационных процессах, изменяющие принципы координации, нормы и формы коммуникаций, правила принятия решений;
Нововведения технологические, в том числе:
Техническое перевооружение организации или её подразделения без расширения производственной площади;
Расширение действующих производственных линий, предусматривающее не только экстенсивное увеличение их мощности, но и повышение их технического уровня;
Освоение и выпуск новой продукции;
Нововведения в сфере персонала, предусматривающие изменение мотивационных установок, принципов оплаты труда, повышение образовательного уровня персонала и его профессиональной структуры;
Нововведения в сфере организационной культуры, в том числе изменение реакции руководства на организационные кризисы, изменение критериев наград и статусов, критериев подбора и продвижения, изменение организационной символики и обрядов.
Однако мы до сих пор не ответили на вопрос: когда организация должна внедрять инновацию, разумеется до того, как наступает кризис? Обобщая все вышеизложенное, мы выдвигаем следующую гипотезу: поскольку адаптация организации к внешней среде предполагает проведение изменений, т.е. внедрение нововведений, а изучает процесс осознанных изменений именно стратегический менеджмент, то ответ на вопрос: «внедрять или нет инновацию» заключен в ответе на вопрос: «насколько она необходима с точки зрения стратегической конкурентоспособности организации». Однако, что же такое стратегическая конкурентоспособность организации, и чем она отличается от конкурентоспособности тактической, и правомерно ли вообще разделять эти два понятия?
1.3. Стратегическая конкурентоспособность организации.
Очевидно, что конкурентоспособность организации определяется наличием у неё каких-либо конкурентных преимуществ, т.е. «отличительных способностей» организации в какой либо области деятельности по сравнению с конкурирующими фирмами. Термин «отличительные способности» нуждается в дополнительном внимании. Так сложилось, что сегодня отличительные способности организации фактически отождествляются с её сильными сторонами. На наш взгляд это неверно. Сильные стороны компании – это не то же самое, что и её отличительные способности. Многие сильные стороны организации не являются уникальными по своей сути и могут быть легко скопированы существующими или новыми конкурентами.
Мы исходим из предположения о том, что если сильная сторона организации может быть куплена или приобретена в результате определенного организационного мероприятия (например, слияние двух компаний), то она не является отличительной особенностью организации. Если бизнес компании складывается только из таких компонент, то долгосрочный потенциал прибыли организации является уязвимым, а бизнес, соответственно слабым. Сильный бизнес содержит элементы, которые создавались в организации длительное время и которые уникально принадлежат данной организации.
Если анализировать и планировать стратегию компании так, как это предполагает «классическая» теория стратегического управления, т.е. углубляясь в основы корпоративного бизнеса, а не так, как это принято в «классических» моделях стратегического планирования, то организацию необходимо представлять себе как своеобразный интегратор определенных способностей, необходимых и достаточных для осуществления определенной производственно-коммерческой деятельности, а не как простой набор отдельных видов деятельности.
Необходимо также учитывать, что организация может считаться успешной лишь тогда, когда она достигает своих целей. Очевидно, что для большинства организаций (за исключением так называемых «неприбыльных» или «некоммерческих») одной из основных целей является получение прибыли. В таком случае текущая эффективность организации определяется тем, что создаваемая ею стоимость превращается непосредственно в прибыль. И, следовательно, стратегическая успешность, а стратегическая конкурентоспособность организации определяется ожиданиями владельцев организации относительно прибыли, которую организация будет получать в будущем за счет как текущей создаваемой стоимости, так и стоимости, которая будет создана в будущем.
Таким образом, основу конкурентоспособной организации могут создавать лишь такие виды деятельности, посредством которых может быть создана определенная стоимость, за которую определенная группа потребителей готова заплатить определенную цену. Такая стоимость может создаваться посредством соединения ряда факторов и отличительных способностей организации в новой отличительной комбинации, о которой раньше никто не догадывался.
Поэтому организация, стремящаяся к стратегическому успеху, должна:
Открыть новый способ создания некоторой полезности, имеющей ценность для потребителей;
Создать комбинацию особых способностей, обеспечивающих создание данной полезности;
Создать уникальную формулу, с помощью которой можно достичь максимально возможной предпринимательской маржи в стоимости создаваемой полезности и иметь возможность присваивать эту маржу в виде прибыли.
Очевидно, что для этого требуется: во-первых – хорошо знать потребности потенциальных клиентов и полезности, которыми эти потребности способны удовлетворяться; во-вторых – четко понимать, с помощью каких способностей можно создавать данные полезности и располагает ли такими способностями компания (и если располагает, то в какой степени); в – третьих – быть способным выразить то, каким образом и за счет чего будет появляться предпринимательская маржа и как она может быть максимизирована.
Таким образом, стратегическая конкурентоспособность складывается как бы как мозаика из:
Потребностей рынка;
Внутренних способностей организации;
Возможностей развития способностей организации;
Условий осуществления бизнеса.
Иногда вдруг оказывается, что новая комбинация может быть легко воспроизведена другими. В таком случае вскоре появятся новые конкуренты, и успех будет очень кратковременным. Напротив, может быть создано что-то отличительное либо уникальное в комбинации особых способностей, делающее её очень трудной для копирования другими.
Поэтому, рассматривая стратегическую конкурентоспособность организации, необходимо всегда задаваться вопросом: «что такого уникального есть в данной формуле и почему другие будут не в состоянии воспроизвести её»?
Иногда в литературе указывается следующие пять источников отличительности:
Нерасшифровываемое внутренне институциональное знание:
люди, связанные единой организационной сетью;
процессы, протекающие в организации;
овеществленная стоимость / необратимые инвестиции:
особое имущество;
репутация;
правовая (законодательная) защита способностей [4. 27].
Если определенная способность основана на подразумеваемом нерасшифровываемом институциональном знании, она не может быть скопирована. В данной области наличие уникального знания самого по себе далеко не достаточно. Способности должны принадлежать организации в целом, как институту, как системе, а не эксклюзивно её членам индивидуально. Если компания полагается на отдельного специалиста для того, чтобы добиться успеха в своем бизнесе, то её прибыль потенциально может присваиваться лично. При таких обстоятельствах практически невероятно, что организация окажется способной превратить свои сильные стороны в конкурентные преимущества на устойчивой, стратегической основе. Однако если бизнес организации базируется на институциональном знании, то потенциальная прибыль может поддерживаться достаточно длительное время. Поэтому, определяя стратегические преимущества необходимо различать личное и институциональное знание. Часто отдельная личность может использовать свои сильные стороны только тогда, когда поддерживается сильными сторонами организации. Такая поддержка может быть осязаемой (например, в форме компьютерного оборудования) или неосязаемой (например, в форме вспомогательных знаний или советов со стороны коллег в организации). Таким образом, институциональное знание создается людьми, связанными друг с другом организационно, и процессами, протекающими в организации.
Второй источник отличительности относится к конкурентам, создающим подобную стоимость в надежде на соревнование за потенциальной прибылью. Например, новый конкурент, возможно должен будет сделать инвестиции, которые существующие компании уже сделали. Если это инвестиции в имущество, приобретаемое на рынке, то в этом плане нет конкурентных различий между существующими и новыми участниками. При этом следует помнить, что существующие участники рынка должны рассматривать свое имущество также, как и новые, т.е. непродажа имущества порождает такие же убытки и барьеры для существующих участников, как и произведение инвестиций в первый раз для новичков рынка.
Стратегический анализ бизнеса организации должен начинаться с анализа стратегической конкурентоспособности не случайно. Дело в том, что у организации, стратегически неконкурентоспособной, не может быть собственного бизнес-пространства, а следовательно, оценить её стратегические позиции, принять стратегические решения относительно дальнейшего существования и развития, а тем более выстроить какой-то план действий просто невозможно. Организация вынуждена лишь следовать в фарватере за более сильными, именно с позиции стратегической конкурентоспособности, организациями. Да и еще следить при этом за тем, чтобы её не «смыло» очередной волной изменений во внешней среде.
Необходимо отметить, что текущая конкурентоспособность организации формируется за счет обладания организацией определенными сильными сторонами, которые отличаются от отличительных способностей тем, что они могут быть скопированы конкурентами. Отличительные способности же всегда индивидуальны.
Обобщая все вышесказанное, мы можем сделать вывод о том, что стратегическая конкурентоспособность организации формируется за счет:
обладания отличительными способностями, которые складываются из нерасшифровываемого внутренне институционального знания и овеществленной стоимости;
создания новой «добавочной» стоимости, за которую потребитель готов платить. В основе же создания добавочной стоимости находится соединение ряда факторов и отличительных способностей организации в новой отличительной комбинации, которую раньше никто не применял. Иными словами, такая стоимость может быть создана лишь посредством нововведения.
Таким образом, нововведения лежат в основе стратегической конкурентоспособности организации.
Однако всякое ли нововведение укрепляет стратегическую конкурентоспособность? На наш взгляд – нет. Нововведениями, укрепляющими стратегическую конкурентоспособность, могут считаться лишь те, которые формируют отличительные способности организации. Однако здесь мы наталкиваемся на внутреннее противоречие инновационного процесса: организация может создать отличительные способности, позволяющие её продукции удовлетворять потребности покупателей так, как никто до этого не умел. И здесь все прекрасно – никто из конкурентов не может сделать это таким же образом как организация-новатор, обладающая этими самыми отличительными способностями. Однако никто не говорит о том, что кто-либо другой не может сделать это лучше посредством создания новых, более сильных отличительных способностей.
На наш взгляд, именно эта угроза – появление конкурента с более сильными отличительными способностями – и является главным мотивом всего научно-технического прогресса в рыночной экономике. Именно из-за возможности появления такого конкурента организация вынуждена постоянно совершенствовать свои отличительные способности и адаптировать свою внутреннюю среду.
Таким образом, основными новациями, дающими стратегические конкурентные преимущества, являются:
новые технологии, создающие новые возможности для разработки товара, производства или его доставки и улучшение сопутствующих услуг;
изменение стоимости или наличия компонентов производства;
изменение имиджа компании, отношения к ней со стороны внешней среды;
изменение потребительских предпочтений, появление новых сегментов рынка.
Как видим, лишь инновации в сфере новых технологий и имиджа компании непосредственно зависят от усилий самой компании и подвержены её воздействию. Другие новации фирме практически неподконтрольны. Поэтому в дальнейшем анализе поставленных вопросов мы ограничимся рассмотрением одной группы нововведений, наиболее управляемых со стороны организации – нововведений в сфере производства, маркетинга и финансов.
2. ИНВЕСТИЦИИ В ИННОВАЦИОННОМ ПРОЦЕССЕ
Внедрение инноваций в хозяйственную жизнь организации естественно требует вложения финансовых средств в их разработку и освоение. При этом, как мы уже сказали, установлена эмпирическая зависимость – чем большую прибыль от нововведения рассчитывает получить в будущем организация, тем к большим затратам она должна быть готова в настоящем.
Тем не менее, для организации проблема выбора объекта финансовых вложений не исчерпывается предельной суммой инвестиций. Исследования показали, что наибольшей эффективностью обладают вложения в инновации, где организация имеет возможность получать монопольную сверхприбыль [9, 346]. Иными словами, наиболее выгодны инвестиции в инновации, развивающие отличительные способности организации.
Теоретически в качестве источника инвестиций могут выступать ассигнования бюджетов всех уровней, иностранные инвестиции, собственные средства организаций, а также аккумулированные в форме финансового капитала временно свободные средства организаций и сбережения населения.
Практически же бюджетные ассигнования на разработку и реализацию инноваций ограничены доходами бюджетной системы. При этом в зависимости от политико-экономических условий направления, формы и размеры бюджетных инвестиций в инновации имеют существенные различия.
Так, в промышленно развитых странах размеры бюджетных ассигнований на развитие научно-технического прогресса достаточно велики, объекты инвестирования определяются на конкурентной основе с учетом национальной стратегии развития и оборонной политики страны. Например, в Японии на уровне конституционного закона введено ограничение, согласно которому не менее 3% от валового национального дохода из бюджета должно направляться на развитие фундаментальных научных исследований.
Иностранные инвестиции в инновационную деятельность могут осуществляться как в форме межгосударственных, межправительственных программ по научно-техническому и экономическому сотрудничеству, так и в форме частных инвестиций от зарубежных финансовых организаций и частных предпринимателей. В то же время достаточно активными участниками международного финансового рынка являются международные финансовые организации, такие как МБРР и ЕБРР.
При этом наиболее привлекательными сферами вложения капитала для внешних инвесторов являются сырьевые и перерабатывающие отрасли промышленности, поскольку, как правило, эти отрасли не требуют значительных предварительных инвестиций, а достаточное для обеспечения конкурентоспособности качество вывозимых на экспорт сырья, заготовок и полуфабрикатов может быть обеспечено без использования последних достижений НТП.
Собственные средства организаций остаются основным источником финансирования инновационной деятельности. Основным внутренним источником инновационного финансирования инноваций является прибыль, получаемая от всех видов хозяйственной деятельности. Остающаяся после уплаты налогов прибыль может быть целиком использована организациями в виде вложений капитала в собственное развитие. Для высокорентабельных организаций это мощный источник привлечения инвестиций в форме самофинансирования, не приводящий к возникновению долговых обязательств. Однако при этом необходимо также учитывать, что из чистой прибыли образуются также фонды организаций: резервный, премиальный, социальный. В результате, используя чистую прибыль практически целиком в качестве источника инвестиций, фирма вынуждена отказываться от других направлений её использования, возможно даже от выплаты дивидендов акционерам.
Сам факт получения организацией прибыли представляет необходимое, но недостаточное условие инвестиционного самофинансирования. Необходим еще и её достаточный уровень. Так, что бы организация могла превращать в инвестиции, образуемые из прибыли, хотя бы 10% своего валового продукта, её чистая прибыль должна составлять не менее 20% от величины этого продукта. Такой уровень рентабельности следует считать минимально необходимым для инвестиционного самообеспечения.
Наиболее устойчивым и к тому же адресным источником инновационного самофинансирования предприятий являются амортизационные отчисления, которые в обязательном порядке в соответствии с установленными нормами амортизации начисляются на все виды используемых в производстве основных фондов и включается в себестоимость готовой продукции. Эти средства по определению должны использоваться предприятиями на возмещение износа основного капитала и потому обладают инвестиционной природой. Вместе с тем необходимо помнить, что амортизационные отчисления увеличивают издержки фирмы и, следовательно, цену готовой продукции, что неблагоприятно сказывается на спросе и объеме продаж. К тому же амортизационные отчисления можно относить к инвестициям с определенной степенью условности, так как они, как правило, не обеспечивают расширенного воспроизводства.
К внутренним инвестиционным источникам организаций правомерно также отнести паевые, учредительские и другие взносы, денежные и имущественные вложения, вклады учредителей и работников предприятий в виде, например, акций компании, товаров, используемых в качестве инвестиционных ресурсов. Такие вложения могут носить возмездный характер и требовать выплаты процентов, но от этого их инвестиционная сущность не изменяется.
Одним из основных внешних источников получения инвестиционного капитала в денежной форме являются средне- и долгосрочные кредиты банков. Банковский инвестиционный кредит обычно предоставляется организациям на фиксированный срок, под определенный процент и под определенное обеспечение, гарантии возврата. Однако в условиях нестабильной экономики России коммерческие банки и финансовые компании неохотно идут на предоставление долгосрочных кредитов, опасаясь их невозврата. Кроме того, банковские кредиты выдаются под довольно высокий процент, в связи с чем заемщики несут значительные потери, обусловленные длительностью периода инвестирования.
Инвестиционные кредиты, предоставляемые организациям со стороны финансово-кредитных организаций, представляют в мировой практике один из основных источников привлечения капитала. Этот источник особо удобен, если банк-инвестор предоставляет организации-заемщику возобновляемый кредит в виде так называемой «кредитной линии».
Как мы сказали, в России инвестиционное кредитование организаций со стороны коммерческих банков не получило распространения. Виной тому, на наш взгляд, два основных обязательства:
основное условие возврата инвестиционного кредита – превышение прибыли, получаемой организацией в итоге инвестирования, над кредитным банковским процентом. Однако, ввиду высоких процентных ставок по рублевым и валютным банковским кредитам, необходимый уровень получаемой прибыли нереален для большинства предприятий;
коммерческие банки в России, обладающие довольно ограниченными капиталами, предпочитают вкладывать их не в реальный сектор экономики, а в спекулятивные ценные бумаги и валюту.
Что же касается Сбербанка РФ, то, несмотря на довольно высокий объем привлеченных денежных ресурсов, его кредитная политика отнюдь не отличается инвестиционной направленностью. Так остатки средств физических лиц в Сбербанке РФ в октябре 1999 года составили 286 млрд. руб. (~11 млрд. $). Заметим и тот факт, что эта цифра в четыре раза превышает остатки на корреспондентских счетах в ЦБ всех коммерческих банков. А общий объем денежных средств населения, привлеченных в российскую банковскую систему, составляет примерно 330 млрд. руб. (~12,7 млрд.$). Превращаются же в реальные инвестиции лишь проценты от этой суммы.
Необходимо также отметить такую форму государственного инвестиционного кредитования как инвестиционный налоговый кредит. Налоговым Кодексом РФ предусмотрено выделение предприятиям инвестиционного налогового кредита на сумму до тридцати процентов от стоимости приобретаемого в рамках инновационного проекта оборудования на срок от одного до пяти лет. Также, согласно налоговому законодательству предусмотрено освобождение от налогообложения прибыли, полученной от вновь созданного имущества, балансовая стоимость которого превышает 20 млн. рублей на срок его окупаемости, но не свыше трех лет.
Среди новых инструментов инновационного финансирования необходимо выделить:
Лизинг, т.е. долгосрочная аренда оборудования на срок до двадцати лет. Лизингодатель за свой счет приобретает необходимое оборудование и сдает его в аренду лизингополучателю. При этом права собственности на оборудование остаются у лизингодателя. по окончании лизингового договора лизингополучатель может вернуть лизингодателю арендуемое им имущество, либо выкупить его по остаточной стоимости. В течение всего срока эксплуатации лизингополучатель перечисляет плату за использование арендованного имущества, включающую амортизацию и доход лизингополучателя.
Форфейтинг – финансовая операция, превращающая коммерческий кредит в банковский. Инвестор при отсутствии достаточных средств для инноваций выписывает комплект векселей, сроки погашения которых распределены во времени. Таким образом, инвестор получает отсрочку в платежах и гарантии банков по обеспечению платежей.
Франчайзинг предусматривает тиражирование инноваций с привлечением крупного капитала.
Таким образом, финансирование инновационной деятельности может происходить за счет как собственных, так и заемных средств. При этом необходимо учитывать, что на этапе разработки и реализации инноваций рынок капитала выступает как один из главных факторов общественного признания инновации. Без достаточного финансового обеспечения жизненный цикл инновации ограничивается стадией «идея». Любое новшество должно быть инвестиционно привлекательным и конкурентоспособным на рынке капитала. Поэтому наряду с показателями инновационности проектов не менее важными в рыночных условиях становятся финансово-экономические показатели, среди которых необходимо особо выделить следующие:
Объем инвестиций;
Ожидаемая доходность (рентабельность);
Срок окупаемости проекта;
Чистый доход и др.
Экономические показатели становятся основными, если речь идет о привлечении стратегического инвестора (финансово-кредитного учреждения, которое организовать финансирование разработки и реализации инновации за счет собственных и привлеченных средств). Как правило, на рынке инноваций информационный минимум о нововведениях включает сведения не только об их целях, но и размерах требуемых инвестиций, ожидаемой доходности и сроке окупаемости вложений.
Условно факторы инвестиционной привлекательности инновационных проектов на две группы: экономические и внеэкономические. В большинстве случае инвестора привлекают высокие финансовые показатели, однако существуют ситуации в которых инноватор вынужден реализовывать новшество, несмотря на его прямую экономическую непривлекательность. Например, если речь идет об экологических мероприятиях, которые практически всегда имеют отрицательные финансовые результаты. Тем не менее, крупные фирмы, заботящиеся о своем имидже, ведут активную деятельность в этой области.
К другим внеэкономическим факторам инвестиционной привлекательности инновации может быть отнесена отраслевая принадлежность как идеи для последующей реализации, так и организации-инноватора. Сверхпривлекательный инновационный проект может быть отвергнут только потому, что у организации-инноватора нет достаточного опыта работы в той отрасли, где необходимо реализовывать проект. Также существенным внеэкономическим фактором, определяющим привлекательность инновации для инвестора, является имидж и репутация инноватора.
С экономической точки зрения инвестиционная привлекательность определяется как внутренними характеристиками инноваций (доходность инвестиций, срок реализации проекта и т.д.), так и условиями привлечения финансовых ресурсов и их источников. Безусловно, движущие мотивы инновационной деятельности существенно зависят от того реализуется ли инновация на свои или привлеченные средства. Однако для финансового анализа большинства инноваций в случае финансирования и за счет собственных средств и за счет привлечения финансовых ресурсов в основе лежит показатель цены капитала (Cost of capital), т.е. отношение общей суммы платежей за использование финансовых ресурсов к общему объему этих ресурсов. Иными словами:
WASS = (k>i >* d>i >);
Где WASS (Weighted Average Cost of Capital) – взвешенная цена капитала; k>i>> > - цена i-го источника; d>i> – доля i-го источника в капитале компании.
При этом цена собственного капитала определяется дивидендной политикой организации-инноватора, т.е. ценой привлечения капитала, пропорционально доле акционерного капитала в собственных средствах организации. Таким образом:
C>s> = * [U/(U+A+M+B)];
Где C>s> – цена собственного капитала; - отношение суммы дивидендов к рыночной капитализации компании (p/e-ratio); U – акционерный капитал; А – амортизационный фонд; М – прибыль; В – безвозмездные поступления.
Необходимо также отметить, что цена собственного капитала для самофинансирования инноваций является нижним пределом рентабельности: решение о реализации инновации при доходности менее C>s> может серьезно ухудшить финансовые показатели организации, привести к неплатежеспособности и банкротству. Для внешнего инвестора цена собственного капитала инвестора является гарантией возврата вложенных средств, показателем достаточности финансовой надежности финансовой надежности объекта инвестиций.
Цена привлеченного капитала рассчитывается как средневзвешенная процентная ставка по привлеченным финансовым ресурсам. Таким образом:
C>inv> = (k>i>*v>i>)/v>i>;
Где C>inv> – цена привлеченного капитала; k>i> – ставка привлеченного капитала из i-го источника; v>i> – объем привлеченного капитала из i-го источника;
Необходимо отметить, цена привлеченного капитала зависит как от внутренних, так и от внешних факторов. К внутренним факторам в первую очередь относятся деловая репутация инноватора, на которую влияют не только финансовые показатели деятельности компании, но и авторитет высшего менеджмента, сложившаяся система взаимоотношений с партнерами и конкурентами, имидж, политическая поддержка и т.д.
Цена капитала определяет нижнюю границу доходности инновационного проекта – норму прибыли на инновацию. Однако следует помнить, что норма прибыли определяется инвестором и инноватором с различных точек зрения. Организация, реализующая нововведения, исходит из внутренних ограничений, прежде всего цены капитала, внутренней потребности производства (объема необходимых собственных средств для реализации производственных, технических и социальных программ), а также ставки банковских процентов, цены привлечения капитала, условий отраслевой и межотраслевой конкуренции.
Руководство компании-инноватора как минимум сталкивается с одной альтернативой инвестиций – вложить временно свободные средства в банковские депозиты или государственные ценные бумаги, получая гарантированный доход без дополнительной высокорисковой деятельности. Поэтому доходность инновационных проектов должна превосходить ставку по банковским депозитам и доходность к погашению государственных ценных бумаг.
Механизм влияния конкуренции на определение внутренней нормы прибыли не работает напрямую: отраслевая доходность может быть выше, чем производственная рентабельность инноватора. Это связано с различными масштабами производства: сохраняя конкурентоспособность продукции и удерживая под контролем значительную часть рынка, крупная компания может умышленно сбивать цены, обеспечивая достаточный уровень прибыли значительными объемами продаж. Потому, устанавливая норму прибыли по средним значениям рентабельности, ее, как правило, соизмеряют с масштабами производства.
Внешний инвестор, определяя норму прибыли инновационного проекта, руководствуется альтернативными вложениями средств. При этом соизмеряется риск вложений и их доходность: как правило, инвестиции с меньшим риском приносят инвестору меньший доход. Поэтому принятие решения о финансировании инновации инвестор согласует со своей финансовой стратегией (склонностью к риску или его избежание). При этом инвесторы, принявшеё решение о финансировании инновационных проектов, уровень риска закладывают как надбавку к норме прибыли (см. табл. 1).
Так обстоят дела в теории. Однако, рассматривая российскую практику, необходимо отметить, что ввиду недостатка «долгих» денег на финансовом рынке страны и недоступности банковских кредитов из-за их высокой цены собственные средства организаций (в первую очередь прибыль и амортизационные фонды) стали по существу единственным источником финансирования инвестиционных проектов, в том числе носящих инновационный характер. Так за счет этих средств в 1996-98 г.г. было профинансировано около 60% всех инвестиционных проектов, а применительно к крупным предприятиям около 70%. Поэтому в российской практике особую важность приобретает проблема рационального использования имеющихся на предприятиях денежных фондов.
|
№ п\п |
группа инвестиций |
требования инвесторов к норме прибыли |
|
1 |
Замещающие инвестиции – категория 1 (новые машины, оборудование, транспортные средства, которые будут выполнять функции, аналогичные замещаемому оборудованию) |
цена капитала |
|
2 |
Замещающие инвестиции – категория 2 (новые машины, оборудование, транспортные средства, которые будут выполнять функции, аналогичные замещаемому оборудованию, но являющиеся технологически более совершенными, для их обслуживания требуются специалисты более высокой квалификации, организация производства требует других решений) |
цена капитала +3% |
|
3 |
Замещающие инвестиции – категория 3 (новые мощности вспомогательного производства, склады, здания, которые замещают старые аналоги; а также заводы, размещаемые на новой площадке) |
цена капитала +6% |
|
4 |
Новые инвестиции – категория 1 (новые мощности или связанное оборудование, с помощью которого будет производиться ранее выпускаемая продукция) |
цена капитала +5% |
|
5 |
Новые инвестиции – категория 2 (новые мощности или машины, которые тесно связаны с действующим оборудованием) |
цена капитала +8% |
|
6 |
Новые инвестиции – категория 3 (новые мощности или машины, приобретение или поглощение других фирм, которые не связаны с действующим технологическим процессом) |
цена капитала +15% |
|
7 |
Инвестиции в прикладные НИР |
цена капитала +10% |
|
8 |
Инвестиции в фундаментальные НИР |
цена капитала +20% |
Очевидно, что прибыль организации формируется в первую очередь за счет продажи её продукции. Однако необходимо помнить, что различная продукция имеет различную норму прибыли, в том числе и отрицательную, т.е. её продажи убыточны. Это связано с тем, что рынок продукции проходит в своем развитии четыре стадии (рис. 2):
Стадия возникновения (S>0> – S>1>);
Стадия роста (S>1> – S>2>);
Стадия зрелости (S>2> – S>3>);
Стадия спада (S>3> – S>4>).


время
Соответственно меняется и способность продукции к генерированию денежной наличности. Для анализа данной способности была разработана так называемая «матрица BCG» (рис. 3). Основное внимание в данной модели сосредотачивается на потоке денежной наличности фирмы, который либо потребляется на проведение операций в отдельно взятой бизнес-области, либо возникает в результате таких операций.
Принято считать, что на стадии зрелости и на заключительной стадии жизненного цикла любой продукции успешный бизнес генерирует денежную наличность, тогда как на стадии возникновения и роста бизнеса происходит, как правило, поглощение денежной массы. Отсюда следует очевидный вывод, что для поддержания успешности организация должна появляющиеся в результате осуществления «зрелого» бизнеса денежную массу частично инвестировать в инновации, которые в будущем обещают стать генераторами дохода организации
Таким образом, жизненные циклы должны перекрываться следующим образом (рис. 4).
В этом случае потребность организации во внешнем финансировании инновационной деятельности может быть сведена к минимуму и организация получает возможность финансирования инноваций исключительно с использованием собственных средств. Однако применение данной рекомендации в России ограничивается тем, что большинство производимых товаров уже находится на стадии спада и генерируемая ими денежная наличность близка к нулю.



.
3. ОЦЕНКА ЭФФЕКТИВНОСТИ ИННОВАЦИОННЫХ ПРОЕКТОВ
Зарубежные экономисты различают два аспекта эффективности управленческих решений, в том числе касающихся инновационных проектов. Один (целевой) отражает меру достижения целей организации, а другой (затратный) – экономичность способов преобразования ресурсов в результаты производственно-коммерческой деятельности организации.
Поскольку выявление целей и образа действий для их достижения является предметом стратегического менеджмента, а выбор технологии преобразования ресурсов в заданные продукты представляет собой тактическую задачу, то, на наш взгляд, правомерно выделенные аспекты эффективности считать соответственно стратегическим и тактическим критериями эффективности, тем более, что термин «стратегическая эффективность» применяется специалистами, хотя и без строгого определения его содержания.
Вместе с тем, необходимо учитывать, что цели организации отражают не только желаемые финансовые результаты, но и ряд внеэкономических параметров. Поэтому стратегическую эффективность целесообразно разделить на экономическую и неэкономическую эффективность. Тактическая же эффективность исходит из критерия затрат, и потому является чисто экономической категорией.
Отметим, что в отечественной науке идея стратегической эффективности не получила достаточной поддержки. Более того, признание в качестве одного из критериев результативности организации характеристики успешности достижения целей нередко воспринимается экономистами как нарушение основной аксиомы в традиционной теории эффективности организационной деятельности, согласно которой она должна измеряться лишь отношением результата (выхода) системы к примененным или затраченным ресурсам (входу).
Однако описание функционирования системы в виде зависимости её «выходов» от «входов», вне связи с её внутренним устройством может восприниматься лишь как бихевиористская модель поведения организации. Эта модель поведения объектов самой различной природы в силу её крайней абстрактности позволяет выявить параметр эффективности (как отношение «выхода» к «входу») единый для любой системы, как целеустремленной, например фирмы, так и нецелеустремленной, например машины.
Однако оборотной стороной медали такого обобщенного описания поведения систем является то, что оно оставляет в тени содержательные особенности эффективности функционирования и развития целеустремленных систем.
Эти особенности становятся очевидными, когда мы переходим от схемы поведения целеустремленных систем к схеме их деятельности. Последняя более адекватна природе социально-экономических систем, для которых поведение всего лишь внешняя форма их деятельности.
Схема деятельности целеустремленной системы в качестве обязательных компонентов включает в себя мотив, побуждающий к действию, цель - представление о будущем результате деятельности и средства достижения цели.
Для перехода от общей схемы деятельности организации к модели её эффективности в последнюю необходимо включить фактический результат. Теперь зададимся вопросом: от чего зависит результативность функционирования и развития фирмы?
В русле данного подхода ответ на поставленный вопрос очевиден. Эффективность работы организации зависит от следующих факторов:
качества целеполагания, т.е. соответствия планируемых целей требованиям внешней среды, возможностям организации и интересам персонала, менеджеров и собственников;
силы и направленности мотиваций, побуждающих членов организации к достижению целей;
адекватности выбранных стратегий поставленным целям;
объема и качества вовлекаемых в производство ресурсов.
Три первых фактора характеризуют стратегический аспект эффективности организации, а последний тактический.
Таким образом, сведение оценок эффективности деятельности социально-экономических систем лишь к одной – отношению результата к затратам – на наш взгляд означает игнорирование критериев принятия стратегических решений, от которых зависит их качество.
Для получения более конкретного представления о критериях принятия стратегических решений проанализируем в самом общем виде процедуру внутрифирменного целеполагания. Её исходным пунктом является формирование «миссии», т.е. генеральной цели фирмы, отражающей её желаемую роль в обществе. Для этого осуществляется анализ внешней и внутренней среды организации и выявляются шансы и опасности, а также сильные и слабые стороны организации по сравнению с конкурентами.
Проекция «миссии» (с учетом результатов анализа внутренних возможностей организации) на внешнюю среду позволяет вычленить зону стратегической активности фирмы. При этом оценивается привлекательность сегментов рынка, в отношении которых фирма имеет конкурентные преимущества, с точки зрения роста спроса и прибыльности продукции и «отсекаются» бесперспективные участки. Затем определяются финансовые возможности по освоению уточненного поля стратегической активности и снова корректируются его «размеры». Это позволяет выявить допустимую область развития фирмы, в пределах которой и строятся её стратегии.
Структуризация рынка дает возможность установить уровень притязаний руководства фирмы в отношении достижения ориентировочных значений таких целевых показателей, как темпы роста доли рынка, объемов продаж, прибыли, дивидендов, заработной платы и др. Статус контрольных эти показатели принимают после уточнения значений по результатам разработки деловых и функциональных стратегий.
Из описания процедуры внутрифирменного целеполагания видно, что в её ходе используется по крайней мере три группы показателей стратегической эффективности. Первая отражает состояние спроса в виде потенциально возможных темпов его роста, вторая характеризует динамику экономических целей организации (темпы роста доли рынка, прибыли, рентабельности и др.), а третья – динамику групповых целей (рост дивидендов, заработной платы, числа рабочих мест).
Анализируемая схема целеполагания является упрощенной, в частности, абстрагируется от необходимости учета экологических требований общества. Но вместе с тем она убеждает, что стратегическая эффективность по своему содержанию гораздо богаче, чем тактическая (затратная); но её показатели следует упорядочить. На наш взгляд, оптимальной будет следующая группировка показателей стратегической эффективности:
по содержанию целей организации – показатели экономической, социальной и экологической эффективности;
по характеру интересов, отражаемых целями – показатели внешней и внутренней эффективности. Первые отражают полноту удовлетворения потребностей и интересов общества, а вторые – собственных целей организации;
по масштабам целей необходимо различать показатели общефирменной, внутрифирменной и групповой эффективности. Общефирменная (глобальная) эффективность отражает динамику общих целей организации, внутрифирменная – целей её отделений (центров прибыли), а групповая – полноту достижения групповых целей (собственников капитала, менеджеров и рабочих).
В качестве основного признака классификации показателей стратегической эффективности естественно использовать характер интересов, выражаемых целями. Тогда образуются, как мы уже сказали выше, две группы этих показателей – внешней и внутренней эффективности. Рассмотрим их содержание подробнее:
Хотя внешняя эффективность отражает меру удовлетворения как запросов общества в целом, так и отдельных групп потребителей, мы ограничимся анализом последних. Для внешней среды эффективность деятельности организации ассоциируется с её способностью удовлетворять прежде всего нужды потребителей. При этом интенсивность удовлетворения тех или иных потребностей и средой оценивается по-разному.
Для организации чем больше величина спроса, тем значительнее «жизненное пространство», в пределах которого можно развиваться. Если величина спроса на продукцию стремится к нулю, фирма погибает. Иначе говоря, чем ниже на текущий момент уровень удовлетворения профильных для предприятия потребностей, тем большими возможностями оно обладает для развития в будущем. Покупатели же заинтересованы в том, чтобы в каждый момент времени насыщение их потребностей было максимальным.
Поэтому для выявления перспективных рынков сбыта удобно применять показатель обратный уровню удовлетворения потребностей в виде возможных темпов роста спроса. Этот показатель свидетельствует об актуальности концентрации усилий фирмы на том сегменте рынка, на котором его показатель будет максимальным.
Итак, показатели внешней эффективности ориентируют предприятия в среде, концентрируя их усилия на создании и производстве благ, отличающихся наибольшей актуальностью.
Показатели же внутренней эффективности показывают, каким образом удовлетворение определенных потребностей сказывается на динамике собственных целей организации и отдельных групп работников.
По свидетельству Т. Коно [6, 87], обследовавшего систему стратегического планирования крупных корпораций Японии, Великобритании и США наиболее важными считаются цели увеличения прибыли, объемов продаж и относительной доли рынка. Самый распространенный критерий роста фирмы – показатель максимизации объемов продаж, поскольку он отвечает разным устремлениям: для потребителей – повышение уровня удовлетворения их запросов; для руководства компании – повышение доли рынка и престижа; для менеджеров и рабочих – увеличение количества должностей для служебного продвижения, рабочих мест и зарплаты.
В тоже время применение анализируемого критерия качества стратегии предполагает наличие обширной информации о характере кривой спроса на продукцию фирмы в длительной перспективе. Само понятие «длительная кривая спроса» теоретически не бесспорно в том смысле, что требует «замораживания» многих переменных на длительный период. Более реалистичным критерием роста фирмы считается максимизация темпов продаж, поставленных в соответствие двум переменным – инвестициям и прибыли.
Использование в модели этих переменных как независимых объясняется тем, что инвестиции могут формироваться как из прибыли, так и из внешних источников (см. гл. 2 данной работы). При этом их объем зависит частично от размера удерживаемых прибылей и косвенно – от выплаченных акционерам дивидендов. Величина последних влияет, помимо прочего, и на репутацию фирмы и на возможность привлечения заемного капитала на финансовых рынках.
Максимизация темпов роста объемов продаж в ближней перспективе может привести к более низкой норме прибыли, но в долгосрочной перспективе она обеспечивает больший объем прибыли, чем при ее краткосрочной максимизации.
Другой модификацией критерия успешности достижения собственных целей организации служит максимизация темпов роста её реальных активов, либо собственного капитала. При этом в модель вводится ограничение на соотношение рыночной и балансовой стоимости акционерного капитала – «норма оценки». В числителе её – биржевая стоимость акционерного капитала, а в знаменателе – стоимость собственного капитала организации по балансовой оценке. Если данное соотношение слишком низкое, то это служит сигналом опасности поглощения или присоединения организации к фирме-агрессору.
Для обоснования стратегических решений применяется также критерий максимизации на долгосрочный период рентабельности общих активов или собственных средств как отношения чистой прибыли к стоимости последних. Высокий показатель рентабельности капитала привлекателен как для руководства, так и для акционеров, но при условии проведения компанией активной политики распределения дивидендов. При этом следует помнить о необходимости учета интересов работников организации.
Однако использование системы участия наемного персонала в управлении и прибылях снимает противоречие анализируемого критерия с их интересами.
Последнее замечание относится и к критерию максимизации прибыли. Важно лишь обеспечить ориентацию на её долгосрочное, а не краткосрочные значения.
Таким образом, применяя вышесказанное к рассмотрению проблемы финансирования инноватики в общей стратегии фирмы мы можем выделить следующие показатели эффективности инновационных проектов:
показатели стратегической экономической эффективности:
коэффициент рентабельности активов - ROA
ROA = ЧП/А;
коэффициент рентабельности собственного капитала - ROE
ROE = ЧП/СК;
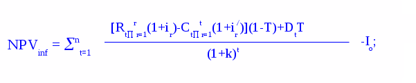
оценка текущей стоимости инновационного проекта с учетом инфляции - NPV>inf>

доля прибыли от нововведений - D>i>
D>i> = M>n>/M>t>;
показатели неэкономической стратегической эффективности:
степень удовлетворения спроса - k>i>
k>i> = V>m>/V>s>;
степень удовлетворения потребностей - k>r>
k>r> = R>p>/R>u>;
показатели текущей эффективности:
себестоимость продукции;
критерий приведенных затрат
C>i> + E>n>*K>i>min;
где: ЧП – чистая прибыль организации; А – активы организации; СК – собственный капитал организации; R>t> – номинальная выручка инновационного проекта t-го года, оцененная в безинфляционной ситуации, т.е. в ценах базисного периода; i>r> – темпы инфляции доходов r-года; C>t> – номинальные денежные затраты t-го года в ценах базового периода; i>r>/ - темпы инфляции издержек r-го года; T – ставка налогообложения прибыли; I>o> – первоначальные инвестиции в инновационный проект; k – средневзвешенная стоимость капитала, включающая инфляционную премию; D>t> – амортизационные отчисления t-го года; V>m> – объем рынка сбыта инновационной продукции; V>s> – суммарный объем продаж всех организаций на данном рынке; R>p> – способность удовлетворения потребности реальным продуктом; R>u> - способность удовлетворения потребности идеальным продуктом; C>i> – удельная себестоимость производства нового изделия по i-му варианту; E>n> – нормативный коэффициент нормативности; K>i> – удельные капиталовложения в производство по i-му варианту.
Необходимо также отметить, что при анализе данных показателей следует учитывать два фактора:
анализ должен проводиться не по статистическим значениям показателей, а по их динамике;
необходимо учитывать аспект «цель – выполнение», т.е. анализировать необходимо степень выполнения плановых заданий по данным критериям.
БИБЛИОГРАФИЯ
Ансофф И. Новая корпоративная стратегия. – СПб.: «Питер». 1999
Архипов В. Стратегическая эффективность управленческих решений //Проблемы теории и практики управления №5, 1996 г. с.117 – 122
Виханский О. С., Наумов А. И. Менеджмент: учебник. – М.: «Гардарики», 1999
Ефремов В. С. Стратегия бизнеса. Концепции и методы планирования: учебное пособие. – М.: «Финпресс», 1998
Инновационный менеджмент: Учебник для ВУЗов / С. Д. Ильенкова, Л. М. Гохберг, С. Ю. Ягудин и др., Под ред. С. Д. Ильенковой. – М.: «Банки и биржи», «Юнити», 1997
Коно Т. Стратегия и структура японских корпораций. – М.: «Экономика», 1991
Санто Б. Инновация как средство экономического развития. – М.: «Прогресс», 1990
Твисс Б. Управление научно-техническими нововведениями. – М.: «Экономика», 1989
Управление организацией: Учебник / Под ред. А. Г. Поршнева, З. П. Румянцевой, Н. А. Саломатина. – М.: «Инфра – М», 1999
Уткин Э. А. Финансовый менеджмент: Учебник для ВУЗов. – М.: «Зерцало», 1998
Финансовый менеджмент: теория и практика: Учебник / Под ред. Е. С. Стояновой. – М.: «Перспектива», 1999