Определение легколетучих элементов методом ЭТААС по технике дозирования суспензий образцов на никелевом модификаторе
Определение легколетучих элементов методом ЭТААС по технике дозирования суспензий образцов на никелевом модификаторе
Каунова Анастасия Александровна
Автореферат диссертации на соискание ученой степени кандидата химических наук
Краснодар 2006
Работа выполнена на кафедре аналитической химии Кубанского государственного университета
Общая характеристика работы
Актуальность темы. С интенсификацией техногенного воздействия на окружающую среду повышаются требования к методам анализа природных объектов, стабильности работы методик и метрологическим параметрам результатов определений. Контроль содержания токсичных гидридобразующих элементов (As, Sb, Se, Te) в этих объектах является актуальной и сложной задачей (низкий уровень содержаний, сложный матричный состав).
При анализе объектов с низкими содержаниями токсикантов широкое применение получил метод электротермической атомно-абсорбционной спектрометрии (ЭТААС) с различными вариантами концентрирования элементов.
Устранение погрешностей, связанных с преждевременным испарением легколетучих элементов на стадии термической обработки и влияниями компонентов матрицы, проводят путем введения химических модификаторов матрицы (различных металлов и их соединений) и оптимизации условий работы печи. Модифицирующими свойствами обладает также и углерод в различных его модификациях за счет возможной адсорбции и удерживания определяемых элементов при достаточно высоких температурах пиролиза. Поэтому целесообразным представляется поиск и исследование свойств смешанного химического сорбента-модификатора на основе активированного угля и никеля; изучение его аналитических характеристик в варианте прямого ЭТААС определения As, Se, Sb, Те и с предконцентрированием их гидридов.
Диссертационная работа выполнена при поддержке грантов РФФИ № 03-03-96529-р2003юг-а, 06-03-32257-а, 06-03-96608-р-юг-а.
Цель работы. Разработка и исследование аналитических схем электротермического атомно-абсорбционного определения As, Se, Sb, Те с использованием никелевых модификаторов на основе активированного угля и техники дозирования его суспензии в графитовую печь спектрометра.
Для достижения поставленной цели решались следующие задачи:
- синтез и исследование физико-химических свойств модификаторов на основе никеля (текстура, микроструктура, химическое состояние компонентов);
- исследование термостабилизирующих свойств никельсодержащих композиций и оценка возможности их использования в качестве модификаторов матрицы для ЭТААС определения элементов в объектах со сложной матрицей;
- кинетические и термодинамические исследования процессов, протекающих в графитовой печи, в присутствии никельсодержащего модификатора;
- разработка методики прямого ЭТААС определения элементов в природной воде и растительных материалах с использованием никельсодержащего модификатора и техники дозирования суспензий;
- разработка схемы анализа, включающей концентрирование гидридов элементов на никелевом сорбенте-модификаторе и последующее их ЭТААС определение по технике дозирования суспензии.
Научная новизна. Разработаны аналитические схемы ЭТААС определения элементов при использовании никельсодержащего сорбента-модификатора и техники дозирования суспензий.
Разработан никельсодержащий сорбент-модификатор на основе активированного угля для аналитических целей, получены данные об его структуре, модифицирующих и сорбционных свойствах.
Практическая значимость. Разработанные методики ЭТААС определения As, Se, Sb и Те с использованием Ni-содержащего активированного угля апробированы при анализе растительных материалов, природной и водопроводной вод.
На защиту выносятся:
- результаты синтеза и физико-химических исследований свойств Ni-содержащих материалов;
- данные по модифицирующей эффективности никельсодержащих материалов по отношению к As, Se, Sb и Те;
- результаты кинетических и термодинамических исследований процессов, протекающих в атомизаторе, в системах «определяемый элемент – никель-углеродный модификатор»;
- новые схемы электротермического атомно-абсорбционного определения As, Se, Sb и Те в водах и растительных материалах.
Апробация работы. Материалы диссертации докладывались на Всероссийской конференции по аналитической химии «Аналитика России 2004» (Москва, 2004), III Международной конференции по новым технологиям и приложениям современных физико-химических методов для изучения окружающей среды (Ростов-на-Дону, 2005), XVII Уральской конференции по спектроскопии (Новоуральск, 2005), II Международном симпозиуме «Разделение и концентрирование в аналитической химии и радиохимии» (Краснодар, 2005), Международном конгрессе по аналитической химии (Москва, 2006), VII Европейском симпозиуме по электротермической атомно-абсорбционной спектрометрии (Санкт-Петербург, 2006).
Публикации. По материалам диссертационной работы опубликовано 13 работ, в том числе 6 статей.
Структура и объем работы. Диссертация состоит из введения, обзора литературы, трех глав экспериментальной части, выводов, списка цитируемой литературы, приложения. Материал диссертации изложен на 152 страницах текста, содержит 28 рисунков и 18 таблиц, в списке цитируемой литературы 137 наименований.
ОСНОВНОЕ СОДЕРЖАНИЕ РАБОТЫ
Обзор литературы
В литературном обзоре обобщены данные о применении различных групп химических модификаторов матрицы в современной электротермической атомно-абсорбционной спектрометрии при определении легколетучих элементов и для предварительного концентрирования элементов в виде их газообразных гидридов. Особое внимание уделено модификаторам на основе никеля, металлов платиновой группы, тугоплавких карбидов, органических модификаторов и углерода. Рассмотрены методы изучения механизмов действия модификаторов. Обсуждены достоинства и недостатки применения химических модификаторов в ЭТАСС.
Экспериментальная часть
Никельсодержащий активированный уголь (NiАУ) получали из активированного угля марки БАУ (ЗАО «Медисорб», г. Пермь) и растворов нитрата никеля. Были получены и изучены композиции никельсодержащего активированного уголь с различными содержаниями металла и синтезированные в различных условиях.
Исследование структурных свойств материалов проводили с использованием: установки низкотемпературной сорбции жидкого азота ASAP-2400 (Micromeritics, США); высокоразрешающего электронного микроскопа JEM-2010 (JEOL, Япония), укомплектованного EDX-спектрометром (энерго-дисперсионный рентгеновский фотоэлектронный) с рентгеновским микрозондом; рентгенофотоэлектронного спектрометра ESCALAB HP (Vacuum Generator, Великобритания).
Для изучения свойств разработанного сорбента-модификатора в работе использован атомно-абсорбционный спектрометр SpectrAA-800 с дейтериевой коррекцией неселективного поглощения, блоком электротермической атомизации GTA-100 и автодозатором PSD-97 (все «Varian», Австралия), графитовые трубки с пиропокрытием, снабженные интегрированной платформой и ограничительными ободками по ее концам. В качестве источников резонансного излучения служили лампы с полым катодом на мышьяк и сурьму («Varian», Австралия), селен и теллур («Hitachi», Япония). Режимы работы спектрометра и программа атомизатора приведены в табл.1.
Таблица 1 – Режимы работы спектрометра SpectrAA-800
и электротермического атомизатора GTA-100
|
Параметр |
Элемент |
|||
|
мышьяк |
селен |
теллур |
сурьма |
|
|
Длина волны, нм Щель, нм Ток лампы, mA |
193,7 0,7 8,0 |
196,0 0,8 11,0 |
214,3 0,2 8,0 |
217,8 0,2 10,0 |
|
Стадия |
Темпера-тура, С |
Время выдержки, с |
Поток газа, л/мин |
|
|
Сушка Термическая обработка Атомизация Очистка печи |
120 150–1900 1700–2500 2600 |
20,0 10,0 3,0 3,0 |
2,0 0,5 0 3,0 |
Физико-химические исследования
Основа из активированного угля характеризуется высоко развитой поверхностью частиц и поровым пространством, а также высокими значениями объема и поверхности транспортных пор (мезопор) (табл. 2). Появление транспортных каналов способствует более активному взаимодействию материалов с определяемыми элементами и компонентами матрицы анализируемых проб.
Таблица 2 – Текстурные параметры разработанного
материала
|
Основа |
Текстурные параметры |
|||||
|
Σ S, м2/г |
Sμ, 2/г |
Sме, м2/г |
ΣV, см3/г |
Vμ, см3/г |
Vме, см3/г |
|
|
Активиро-ванный уголь |
605 |
499 |
106 |
0,36 |
0,24 |
0,120 |
В условиях оптимальных режимов синтеза модификатора добавка никелевого реагента существенно не изменяет текстурные характеристики исходной композиции.
Результаты исследований углеродной основы синтезированных материалов методом электронной микроскопии (рис.1 а), свидетельствуют о том, что она представляет собой графитизированный углеродный материал, состоящий из разупорядоченно агрегированных микрокристаллов размером порядка 2 нм.
Частицы никеля разнодисперсны: на некоторых участках носителя имеют малые размеры: 5–10 нм; а на других – большие: >50 нм (рис.1б), причем, металл находится преимущественно в окисленном состоянии. Данные энерго-дисперсионного анализа образцов показали, что основными компонентами синтезированного материала являются углерод, никель и кислород, а присутствие посторонних примесей: Mg, Si, Al, P, S, Cl, K, Ca незначительно.
а) б)

углеродная (а) и никелевая (б) составляющие
Рисунок 1 – Строение никельсодержащего активированного угля
Максимальное содержание кислорода, а, следовательно, и окисленного углерода (~60%) наблюдается в никельсодержащем активированном угле, не подверженном температурной обработке (рис. 2А, табл.3), по сравнению с аналогичным



(А) – углерод (C1s), (В) – кислород (O1s)
и (С) – никель (Ni2p)
Рисунок 2 – РФЭС спектры никельсодержащего активированного угля, не подверженного
термической обработке
Таблица 3 – Химический состав поверхности
синтезированных материалов (СNi = 2%)
|
Образец |
Концентрация элемента относительно углерода, ат.% |
||||||
|
С |
Cox |
O |
N |
Ni |
Ca |
Mg |
|
|
Ni-содержащий материал |
100 |
58 |
57 |
1,3 |
2,7 |
0 |
0 |
|
Предварительно восстановленный Ni-содержащий материал |
100 |
16 |
9 |
0 |
0,9 |
1,0 |
0,3 |
материалом, прокаленным в атмосфере аргона при 600ºС (содержание Cox ≈ 15–16%) (табл. 3). Положение компонентов спектров 1Сs и форма линии О1s (рис. 2В) в основном определяется связями в группировках СО и СООН.
Данные РФЭС свидетельствуют о десятикратном преобладании металла в виде Ni2+ по сравнению с Ni0. Расположение основной компоненты Ni2p3/2 (~ 856 эВ) во всех образцах соответствует соединениям типа Ni2O3 (рис. 2С). В образце, не подверженном термической обработке, присутствует в незначительном количестве нитрат никеля согласно расположению РФЭС линии азота (N1s). На стадии синтеза и высушивания модификатора-сорбента происходит практически полное разложение нитрата никеля до оксидных форм. В предварительно восстановленном образце содержание никеля в металлической форме невелико и составляет порядка 15%. Кроме того, в этом образце велика вероятность присутствия никеля в виде карбонила. Следует также отметить, что сопоставление данных РФЭС по содержанию никеля для образцов, синтезированных разными способами, (табл. 3) позволяет сделать вывод, что предварительное восстановление материала в инертной атмосфере приводит к объемному распределению никеля в частице активированного угля.
Таким образом, структурные и химические свойства исследованной композиции свидетельствуют об универсальном характере ожидаемого модифицирующего действия при ЭТААС определении легколетучих элементов V и VI группы периодической таблицы. Так, их взаимодействие с наиболее предпочтительной оксидной формой никеля начинается, по-видимому, уже в жидкой фазе при подготовке анализируемой суспензии и далее на стадии высушивания в графитовой печи. При последующей термической обработке системы следует ожидать образование тугоплавких соединений уже с восстановленным никелем (арсениты, теллуриты и т.п.). Кроме того, благодаря высоко развитой поверхности частиц и порового пространства можно предположить, что материал должен обладать сорбционными свойствами, и тем самым будет эффективно решать проблему предварительного концентрирования элементов.
Модифицирующая эффективность никельсодержащего активированного угля
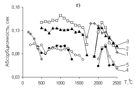
Сравнение атомизационных и пиролизационных зависимостей элементов в отсутствии модификатора, в присутствии раствора нитрата никеля, предварительно восстановленного металла и композиции на основе активированного угля (рис. 3) показало, что потери




1 – в отсутствии модификатора, и в присутствии:
2 – раствора нитрата никеля, 3 – предварительно восстановленного в ГП никеля, 4 – никельсодержащего активированного угля и 5 – восстановленного в ГП никельсодержащего активированного угля
Рисунок 3 – Пиролизационные и атомизационные зависимости мышьяка (а), сурьмы (б), теллура (в) и селена (г)
определяемых элементов в первом из перечисленных варианте происходили при самых низких температурах стадии термической обработки. Применение никельсодержащих модификаторов позволяет существенно повысить температуру пиролиза для всех исследуемых элементов. Композиция нитрат никеля – активированный уголь обеспечивает еще более высокие значения этого показателя и лучшую чувствительность определений (табл. 4) в сравнении с другими никелевыми модификаторами.
Следует отметить, что термическая стабильность селена (рис. 3г) несколько лучше в случае предварительно восстановленного никеля. При использовании раствора нитрата
Таблица 4 – Чувствительность ЭТААС определения
элементов
|
Модификатор |
Характеристическая масса, пг |
|||
|
As |
Se |
Sb |
Te |
|
|
Без модификатора Раствор нитрата никеля Предварительно восста-новленный никель Никельсодержащий активированный уголь |
17 19 11 12 |
31 25 29 27 |
19 22 22 17 |
15 15 22 16 |
никеля и никельсодержащего активированного угля на пиролизационных зависимостях селена наблюдается минимум в районе 500–700С. Это, по-видимому, связано с испарением элементарного селена за счет восстановления углеродом оксидных форм никеля до металла и выхода в газовую фазу печи продуктов взаимодействия. Использование процедуры предварительной термической обработки в графитовой печи никельсодержащего активированного угля позволяет достичь той же термической стабильности, что и в случае предварительно восстановленного раствора нитрата никеля.
Полученные результаты показывают, что при взаимодействии никельсодержащего активированного угля с аналитом происходит совмещение действия в конденсированном состоянии двух компонентов: никеля и углеродсодержащего материала.
Изучение влияния массы никеля, вносимой в атомизатор, на величину аналитического сигнала элементов показало (рис. 4), что в случае внесения раствора нитрата никеля требуется 0,5–1,0 мкг никеля для стабилизации элементов, а в случае никельсодержащего активированного угля достаточно 0,1 мкг никеля. Дальнейшее увеличение массы вносимого в графитовую печь никеля не приводит к увеличению аналитического сигнала (для As и Sb наблюдается монотонное уменьшение сигнала, начиная с 4 мкг).
Наши исследования показали, что эффективная термостабилизация аналитов в графитовой печи в присутствии


(а) – никельсодержащий активированный уголь
и (б) – раствор нитрата никеля
Рисунок 4 – Влияние никеля на аналитический сигнал элементов
сорбента-модификатора достигается при соотношении масс никель/аналит, равном ~102, что на порядок меньше по сравнению с раствором нитрата никеля.
Эффективность модификатора матрицы также существенно зависит от возможности проведения определения элементов в присутствии мешающих компонентов. Изучение зависимостей АС элементов при этих условиях показало, что присутствие хлорид-ионов практически не влияет на АС мышьяка и сурьмы, в случае селена и теллура наблюдается незначительное снижение сигналов, до 5% относительно, в присутствии хлорид-ионов в количестве 1,0 г/л и более. Карбонат-ионы незначительно повышают АС элементов. В случае теллура происходит небольшое снижение АС. Присутствие сульфат-ионов в незначительных количествах приводит к снижению АС. Такая же закономерность наблюдается и для широко используемого модификатора: смеси нитратов палладия и магния
Сравнительный анализ свойств модификатора на основе Pd(NO3)2+Mg(NO3)2 с никельсодержащим активированным углем показал, что разработанная нами композиция не уступает, а по некоторым показателя и превосходит «универсальный» палладий-магниевый модификатор (табл. 5).
Таблица 5 – Модифицирующие свойства
никельсодержащего активированного угля
и смеси нитратов палладия и магния
|
Элемент |
Pd(NO3)2 + Mg(NO3)2 |
Ni(NO3)2 + C |
||
|
ТТО, ºС |
ТАТ, ºС |
ТТО, ºС |
ТАТ, ºС |
|
|
As Te Sb Se |
1200 700 1200 1100 |
2300 2300 2400 2300 |
1500 1300 1400 1200 |
2300 2000 2200 2200 |
Термодинамические исследования термохимических процессов, протекающих в атомизаторе
Расчеты многокомпонентного высокотемпературного гетерогенного равновесия проведены при давлении 1 атм в диапазоне температур 100–1900оС с помощью программы HSC-4 (Chemical Reaction and Equilibrium Software with Extensive Thermochemical Database. Version 4.0. Outokumpu Research Oy Information Service. Finland), имеющей собственный банк термодинамических свойств индивидуальных веществ*. При этом учитывали вероятность образования в термохимических процессах потенциально возможных, при данных температурах, газообразных и конденсированных индивидуальных веществ (табл. 6) и условия идеального перемешивания и контакта всех компонентов исследованных систем.
Мышьяк. Конденсированные оксиды мышьяка уже при низких температурах восстанавливаются до элементарного мышьяка. Это обеспечивает возможность образования разбавленного конденсированного раствора мышьяка с металлическим никелем и углеродом и задержку термического испарения мышьяка до температур 1200оС. После этих температур начинается переход As в газовую фазу в атомарном виде и, в незначительном количестве, в виде AsO(Г) (рис. 5а).
*Расчеты проводились и обсуждались с участием профессора Пупышева А.А. (УГТУ-УПИ, г. Екатеринбург)
Таблица 6 – Параметры исследованных
термодинамических систем
|
Исследуе-мые системы |
Исходный заданный состав, моль |
Конденсирован-ные вещества |
Максималь-ные температуры пиролиза эксп./расчет, оС |
|
NiАУ с мышьяком |
3,6∙10-5 (Ar) + + 2,3∙10-6 (O) + + 3,41∙10-8 (Ni) + + 5,2∙10-6 (С) + + 1,3∙10-11 (As) |
AsXOY, Ni(AsXO)Y, Ni, NiCO3, NiO, Ni3C, As, C, |
1500/1200 |
|
NiАУ с селеном |
-//- + 1,01∙10-11 (Se) |
NiCO3, NiO, NiSeO3, Se, SeXOY, NiSeX, Ni3C, Ni, C |
1200/1300 |
|
NiАУ с теллуром |
-//- + 6,3∙10-12 (Te) |
NiCO3, NiO, TeO2, NiXTeY, Ni3C, Ni, C, Te |
1300/1200 |
|
NiАУ с сурьмой |
-//- + 2,9∙10-12 (Sb) |
NiCO3, NiO, SbxOy, Ni3C, Ni, C, NiSb, Sb |
1400/1300 |
Теллур. После низкотемпературного восстановления теллур образует с никелем интерметаллические соединения, входящие в состав разбавленных конденсированных растворов на основе металла модификатора и углерода. Но эти интерметаллические соединения не обладают высокой термической стабильностью и выше 400–600оС разлагаются с выделением элементарного теллура, остающегося в составе конденсированного раствора. Выше 1200оС конденсированный раствор начинает разлагаться, и теллур переходит в газовую фазу в атомарном виде (рис. 5б).
Сурьма. При низкой температуре оксиды сурьмы восстанавливаются; после чего сурьма образует антимонид никеля, входящий в состав разбавленного раствора на основе




Рисунок 5 – расчетные графики изменения состава исследуемых систем (в нормированных молях – Mn)
от температуры: As + Niмод (а); Te + Niмод (б);
Sb + Niмод (в), Sе + Niмод (г), Sе + Niмод (д) без учета образования конденсированных растворов
никеля и углерода. При температурах выше 800оС начинается разложение антимонида никеля, но сурьма продолжается оставаться в составе конденсированного раствора до 1300оС (рис. 5в).
Селен. Для селена после низкотемпературного восстановления прогнозируется образование селенидов никеля, связанных с соответствующими конденсированными растворами. Хотя указанные селениды не являются термически устойчивыми, после их разложения элементарный селен сохраняется в составе разбавленного конденсированного раствора до 1300оС. Отметим, что высокотемпературные потери элемента возможны в виде атомарного Se и CSe(Г), разлагающегося при температуре атомизации селена (рис. 5г).
Экспериментальные данные показали, что при использовании никельсодержащего активированного угля наблюдается, в отличие от традиционного способа введения химических модификаторов в виде растворов солей, более высокий уровень температур термостабилизации аналита в графитовой печи, достижимый при меньших массовых соотношениях металлический модификатор/аналит.
Максимально допустимые температуры стадии пиролиза, спрогнозированные разработанной термодинамической моделью и полученные экспериментально, дают весьма удовлетворительную сходимость. Следует заметить, что в отличие от теории, на экспериментальной пиролизационной зависимости селена наблюдается небольшой минимум в районе 500–700ºС. Этот факт и занижение теоретических значений в некоторых случаях, вероятнее всего, обусловлены спецификой структурных и химических свойств используемого модификатора, которые предопределяют несколько иное протекание взаимодействий с аналитом, чем это предполагается моделью. К тому же участие макро- и микроэлементов, содержащихся в активированном угле, на уровне не ниже 10-2% масс в данном случае не учитывалось в теоретических расчетах. Кроме того, используемая углеродсодержащая основа является сложнейшей смесью весьма реакционно-способных химических веществ. Эти факторы могут несколько изменить реальную картину термохимических процессов в сравнении с теоретическими расчетами на основе термодинамических данных для чистого углерода (элементарный, графит и т.п.).
Кинетические исследования процессов атомизации элементов
Определение значений энергии активации (Еа) проведено по разработанной нами экспериментальной схеме измерений, основанной на определении зависимости скорости процесса атомизации от температуры по измеренным аналитическим сигналам на их начальном участке.
Отработка предлагаемого подхода и определение отрезка времени (от момента достижения установленной температуры атомизации), на котором нет выноса атомов, проводилась на основе хорошо воспроизводимой и изученной системы атомизации серебра. Временной интервал ∆τ продолжительностью 0,25–0,30 с использовался нами при изучении механизма атомизации элементов в присутствии модификаторов, так как при таком значении достигается наилучшее соответствие полученных экспериментальных значений Еа для атомизации серебра с литературными (табл. 7).
Таблица 7 – Кинетические параметры исследованных
систем
|
Элемент |
Еа, ккал/моль |
|||
|
без модификатора |
с раствором нитрата никеля |
с никельсодержащим активированным углем |
||
|
эксп. |
литер.* |
|||
|
Ag As Se Sb Te |
60 ± 6 52 ± 5 56 ± 5 53 ± 5 59 ± 6 |
66 79 49 56 47 |
– 80 ± 8 83 ± 8 85 ± 8 75 ± 7 |
– 79 ± 7 82 ± 8 94 ± 8 80 ± 8 |
|
*Литературные источники из списка литературы диссертации |
Рассчитанные по экспериментальным данным энергии активации элементов без модификатора соответствуют процессам испарения элементов в виде мономеров (табл. 7). В присутствии никельсодержащего активированного угля значения Еа существенно выше по сравнению с системами без модификаторов, что свидетельствует о кардинальном изменении термохимического процесса образования атомов от испарения элемента к термодеструкции устойчивой конденсированной структуры C-Ni-А (где А – аналит).
Следует заметить, что энергии активации, полученные с применением раствора нитрата никеля и никельсодержащего активированного угля, совпадают между собой. Это свидетельствует о протекании сходных процессов разложения структур никель-элемент, но полученные кинетические данные не отражают способность модификатора задерживать испарение элементов до более высоких температур. Сопоставление полученных результатов с термодинамическими данными позволило сделать вывод о том, что главный выигрыш в термостабилизации элементов в случае Ni-содержащего активированного угля происходит за счет образования конденсированных растворов между компонентами модификатора и элементами. Термодинамические расчеты, проведенные без учета возможности образования конденсированных растворов элементов с компонентами никелевого модификатора, показывают резкое ухудшение термической стабильности для всех элементов. Например, в случае селена после низкотемпературного разложения селенидов никеля начинается испарение элемента в виде димера, атомарного Se и CSe(Г) уже с 400оС (рис. 5д).
Прямое ЭТААС определение элементов в объектах окружающей среды
С учетом проведенных исследований были оптимизированы следующие условия:
- масса модификатора – 10 мг (для анализа вод) и 30 мг (для растительных материалов;
- содержание никеля в модификаторе – 1%;
- температуры стадий пиролиза и атомизации (табл. 5);
- приготовление суспензий: модификатор + 1 мл образца воды и модификатор + 5–20 мг высушенного и измельченного растительного материала + 1,5 мл воды + 0,1 мл конц. HNO3 + + 0,1 мл H3O2.
Разработанная схема прямого ЭТААС определения элементов в растительных объектах с использованием никельсодержащего активированного угля по технике дозирования суспензии апробирована при определении As в стандартном образце водорослей морских (ламинарий) ГСО 8243-2003. Содержание мышьяка, определенное экспериментально (32,4 ± 2,1 мг/кг для n = 5 и Р = 0,95), хорошо согласуется с аттестованным значением (32,8 ± 1,2 мг/кг). Следует отметить, что никельсодержащий модификатор способствует выравниванию условий атомизации элементов из стандартных растворов и суспензий проб, что, в свою очередь, делает возможным применения простого способа определения градуировочной зависимости – по серии водных стандартных растворов.
Схема прямого ЭТААС определения As, Se, Sb и Те в природной воде с использованием никельсодержащего активированного угля и техники дозирования суспензии была апробирована на образце воды из озера Карасун (г.Краснодар) (табл. 8).
Таблица 8 – Результаты определения As, Se, Sb и Те
в воде озера Карасун (г. Краснодар)
|
Элемент |
Найдено, мкг/л |
Предел обнару-жения (ПО), мкг/л |
|
|
по градуировоч-ному графику |
по методу добавок |
||
|
As Se Sb Te Te (введено 30,0 мкг/л) |
6,6 ± 0,2 22,7 ± 0,5 3,6 ± 0,2 Меньше ПО 32 ± 2 |
6,7 ± 0,3 23,0 ± 0,7 3,8 ± 0,3 Меньше ПО 35 ± 3 |
1,7 1,9 1,9 4,5 – |
Определение сурьмы в воде методом ЭТААС
с предварительным концентрированием
Предварительное исследование сорбционных характеристик никельсодержащей композиции было проведено на примере сурьмы с использованием “batch”-системы собственного изготовления. Полученные результаты свидетельствуют о том, что никель обладает сравнительно невысокими сорбционными свойствами по отношению к гидриду сурьмы (~30 мкг/г при СNi = 5%). Увеличение содержания металла в 50 раз повышает сорбционную емкость композиции в 3 раза. Предварительное восстановление никеля в токе водорода при повышенных температурах незначительно улучшает сорбционные характеристики исследуемого материала. Следует отметить, что сам активированный уголь обладает емкостью, достаточной для концентрирования сурьмы в аналитических целях при ее определении в природных объектах на уровне ПДК, а добавка никеля способствует формированию модифицирующих свойств композиции, обеспечивающих последующее ЭТААС определение элементов.
Никельсодержащий активированный уголь, используемый для предконцентрирования гидрида сурьмы, обеспечивает снижение предела обнаружения (1,9 нг/мл и 0,048 нг/мл соответственно для прямого и гидридного методов), что необходимо при анализе объектов с меньшими содержаниями элементов, чем предел обнаружения прямого метода ЭТААС.
ВЫВОДЫ
Методами порометрии, электронной микроскопии, рентгенофотоэлектронной спектроскопии изучены особенности синтеза Ni-содержащих материалов на основе активированного угля. Получены их физико-химические характеристики, свидетельствующие об универсальности модифицирующего действия композиции при ЭТААС определении легколетучих элементов.
Изучены термостабилизирующие свойства никельсодержащих модификаторов по отношению к определяемым элементам. Лучшая термическая стабильность (1500, 1300, 1400 и 1200ºС для As, Te, Sb и Se соответственно), оптимальные аналитические характеристики и наибольшая чувствительность достигаются при использовании Ni-содержащего активированного угля (масса модификатора – 10 мг и содержание в нем 0,5–1,0% никеля). Предложенная композиция устраняет мешающее влияние хлорид- и карбонат-ионов при их содержании менее 5 г/л.
На основе кинетических исследований показано, что в присутствии никельсодержащего модификатора происходит кардинальное изменение термохимического процесса образования атомов от испарения элемента в виде мономеров к термодеструкции устойчивой конденсированной структуры C Ni-А (где А – аналит).
Термодинамические исследования термохимических процессов, протекающих в графитовой печи, показали, что стабилизация элементов при высоких температурах происходит за счет образования химических соединений между никелем и элементами и, главным образом, конденсированных растворов между элементами и компонентами модификатора.
Разработана схема прямого ЭТААС определения As, Te, Sb и Se в природной воде и растительных материалах с использованием никельсодержащего активированного угля в качестве модификатора и техники дозирования суспензий. Достигнуты пределы обнаружения для As, Te, Sb и Se 1,7; 4,5; 1,9 и 1,9 мкг/л соответственно.
Предложена схема определения сурьмы в воде, включающая концентрирование гидрида элемента никельсодержащим модификатором/сорбентом с последующим их определением сурьмы методом ЭТААС по технике дозирования в графитовую печь их водных суспензий. Достигнуто существенное снижение предела обнаружения сурьмы по сравнению с прямым методом (0,048 и 1,9 мкг/л соответственно).
Основное содержание работы изложено
в следующих публикациях:
Каунова (Внукова) А.А., Бурылин М.Ю., Темердашев З.А. Модифицирующие свойства металлсодержащих активированных углей // Мат. Всеросс. конф. по аналит. химии «Аналитика России 2004», Москва, 27 сентября – 1 октября 2004. С. 131.
Каунова (Внукова) А.А., Бурылин М.Ю., Темердашев З.А. Электротермическое атомно-абсорбционное определение As, Se, Sb и Те по технике «slurry-sampling» с применением модификатора на основе никеля // Изв. вузов. Сев.-Кавк. регион. Естеств. науки. 2004. №3. C. 48–55.
Темердашев З.А., Бурылин М.Ю., Каунова (Внукова) А.А. Некоторые научно-методические аспекты ЭТААС определения гидридобразующих элементов (As, Sb, Se, Te) в объектах окружающей среды // Экологический вестник научных центров Черноморского экономического сотрудничества. 2004. №4. C. 80–85.
Каунова (Внукова) А.А., Бурылин М.Ю., Темердашев З.А. Прямое ЭТААС определение токсичных элементов в объектах окружающей среды // Мат. III Междунар. конф. по новым технологиям и приложениям современных физико-химических методов для изучения окружающей среды, Ростов-на-Дону, 21–25 марта 2005. С. 213–214.
Бурылин М.Ю., Темердашев З.А., Каунова (Внукова) А.А., Дорий М.С. ЭТААС анализ природных объектов с применением металлуглеродных сорбентов/модификаторов // Мат. XVII Уральской конф. по спектроскопии, г. Новоуральск, 12–15 сентября 2005. С. 58–59.
Каунова (Внукова) А.А., Бурылин М.Ю., Темердашев З.А. Концентрирование сурьмы никельсодержащим активированным углем для последующего ЭТААС определения // Мат. II Междунар. симпозиума «Разделение и концентрирование в аналитической химии и радиохимии», Краснодар, 25–30 сентября 2005. С. 144.
Бурылин М.Ю., Темердашев З.А., Бурылин С.Ю., Каунова А.А. Синтез и исследование физико-химических характеристик новых металлосодержащих сорбентов для концентрирования и определения гидридобразующих элементов // Наука Кубани. 2005. №5. С. 5-8.
Каунова (Внукова) А.А., Бурылин М.Ю., Темердашев З.А. Определение гидридобразующих элементов в водах методом электротермической атомно-абсорбционной спектрометрии с использованием никельсодержащих химических модификаторов // Зав. Лаб. Диагностика материалов. 2006. Т. 72, №5. С. 3–8.
Burylin M.Yu., Temerdashev Z.A., Kaunova A.A. Development of electrothermal atomic absorption spectrometry method with slurry-sampling of carbonized materials // International Congress on Analytical Sciences (ICAS-2006), Moscow, 25–30 June 2006. Р. 93.
Burylin M.Yu., Pupyshev A.A., Temerdashev Z.A., Obogrelova S.A., Caunova A.A. Thermodynamic study of modifier effect of activated carbon containing palladium and nickel in GF AAS // VII European Furnace Symposium on Atomic Absorption Spectrometry, Electrothermal Vaporization (VII EFS) and XII Solid Sampling Colloquium with Atomic Spectrometry(XII SSC), St. Petersburg, 2–7 July 2006. Р. 69.
Temerdashev Z.A., Burylin M.Yu., Caunova A.A. Nickel containing sorbent/modifier based on activated carbon in electrothermal AAS // VII European Furnace Symposium on Atomic Absorption Spectrometry, Electrothermal Vaporization (VII EFS) and XII Solid Sampling Colloquium with Atomic Spectrometry (XII SSC), St. Petersburg, 2–7 July 2006. Р. 70.
Бурылин М.Ю., Темердашев З.А., Каунова А.А. Кинетические исследования процессов атомизации сурьмы и селена с участием химического модификатора при их определении методом электротермической атомно-абсорбционной спектрометрии // Журн. прикл. спектр. 2006. Т.73. № 4. С. 530–534.
Бурылин М.Ю., Темердашев З.А., Пупышев А.А., Каунова А.А., Обогрелова С.А. Термодинамическое моделирование термостабилизирующей эффективности металлсодержащих модификаторов на основе активированного угля в методе электротермической атомно-абсорбционной спектрометрии // Журн. прикл. спектр. 2006. Т.73. № 5. С. 676–682.
Автор выражает глубокую признательность за консультации и методическую помощь доценту Бурылину Михаилу Юрьевичу.
Список литературы
Для подготовки данной работы были использованы материалы с сайта http://www.kubsu.ru/