Автоматизация производственных процессов (работа 2)
1. Уровни автоматизации и их отличительные признаки
Автоматизация производственных процессов может осуществляться на разных уровнях.
Автоматизация имеет так называемый нулевой уровень - если в производстве участие человека исключается только при выполнении рабочих ходов (вращение шпинделя, движение подачи инструментов и др.). Такую автоматизацию назвали механизацией. Можно сказать, что механизация — это автоматизация рабочих ходов. Отсюда следует, что автоматизация предусматривает механизацию.
Автоматизация первого уровня ограничивается созданием устройств, цель применения которых — исключить участие человека при выполнении холостых ходов на отдельно взятом оборудовании. Такая автоматизация называется автоматизацией рабочего цикла в серийном и поточном производстве.
Холостые хоты в норме штучного времени, определяющем трудоемкость операции, учитываются в виде вспомогательного времени t>в> и времени технического обслуживания t>т.об>:

где t>о> – основное время, которое учитывает время рабочих ходов, t>о>=t>p.x>; t>в> вспомогательное время, включает отвод и подвод инструмента, загрузку оборудования и контроль; t>т.об> время технического обслуживания, затрачиваемое на смену инструмента, наладку оборудования, устранение отходов и управление; t>орг> время обслуживания оборудования; t>отд >– время отдыха рабочего.
На первом уровне автоматизации рабочие машины еще не связаны между собой автоматической связью. Поэтому транспортировка и контроль объекта производства выполняются с участием человека. На этом уровне создаются и применяются станки-автоматы и полуавтоматы. На автоматах рабочий цикл выполняется и повторяется без участия человека. На полуавтоматах для выполнения и повторения рабочего цикла требуется участие человека.
Например, современный токарный многошпиндельный автомат выполняет обтачивание, сверление, зенкерование. развертывание и нарезание резьбы на заготовке из прутка. Такой автомат может заменить до 10 универсальных станков за счет автоматизации и совмещения холостых и рабочих ходов, высокой концентрации операций.
Автоматизация второго уровня — это автоматизация технологических процессов. На этом уровне решаются задачи автоматизации транспортировки, контроля объекта производства, удаления отходов и управления системами машин. В качестве технологического оборудования создаются и применяются автоматические линии, гибкие производственные системы (ГПС).
Автоматической линией называют автоматически действующую систему машин, установленных в технологической последовательности и объединенных средствами транспортировки, загрузки, контроля, управления и устранения отходов. Например, линия по обработке ведущей конической шестерни редуктора автомобиля высвобождает до 20 рабочих и окупается через три года при соответствующей программе выпуска.
Автоматическая линия состоит из технологического оборудования, которое компонуется под определенный вид транспорта и связывается с ним устройствами загрузки (манипуляторами, лотками, подъемниками). Линия включает кроме рабочих позиций и холостые позиции, которые необходимы для осмотра и обслуживания линии.
Если линия включает позиции с участием человека, то ока называется автоматизированной.
Третий уровень автоматизации — комплексная автоматизация, которая охватывает все этапы и звенья производственного процесса, начиная от заготовительных процессов и заканчивая испытаниями и отправкой готовых изделий.

Комплексная автоматизация требует освоения всех предшествующих уровней автоматизации. Она связана с высокой технической оснащенностью производства и большими капитальными затратами. Такая автоматизация эффективна при достаточно больших программах выпуска изделий стабильной конструкции и узкой номенклатуры (производство подшипников, отдельных агрегатов машин, элементов электрооборудования и др.).
Вместе с тем именно комплексная автоматизация позволяет обеспечить развитие производства в целом, так как имеет наибольшую эффективность капитальных затрат. Чтобы показать возможности такой автоматизации, рассмотрим в качестве примера 1зт: магический завод по выпуску автомобильных рам в США. При выпуске до 10 000 рам в сутки завод имеет штат в 160 человек, который в основном состоит из инженеров и наладчиков. При работе без применения комплексной автоматизации для выполнения той же производственной программы понадобилось бы не менее 12 000 человек.
На третьем уровне автоматизации решаются задачи автоматизации складирования и межцеховой транспортировки изделий с автоматическим адресованием, переработки отходов и управления производством на базе широкого применения ЭВМ. На этом уровне участие человека сводится к обслуживанию оборудования и поддержанию его в рабочем состоянии.
2. Развитие автоматизации в направлении технологической гибкости и широкого применения ЭВМ
Гибкие производственные системы представляют собой совокупность технологического оборудования и систем обеспечения его работы в автоматическом режиме при изготовлении изделий изменяющиеся номенклатурой. Развитие ГПС происходит в направлении к безлюдной технологии, обеспечивающей работу оборудования в течение заданного времени без участия опратора.
Для каждого изделия при заданных требованиях к количеству и качеству продукции могут быть разработаны различные варианты ГПС, отличающиеся методами и маршрутами обработки, контроля и сборки, степенью дифференциации и концентрации операций технологического процесса, типами транспортно – загрузочных систем, числом обслуживающих транспортных средств (ОТС), характером межагрегатных и межучастковых связей, конструктивными решениями основных и вспомогательных механизмов и устройств, принципами построения системы управления.
Технический уровень и эффективность ГПС определяется такими показателями, как качество изделий, производительность ГПС и её надежность, структура потоков компонентов, поступающих на ее вход. Именно с учетом этих критериев должны решаться такие задачи, как выбор типа и количества технологического оборудования, межоперационных накопителей, их вместимости и мест их расположения, числа обслуживающих операторов, структуры и параметров транспортно-складской системы и т.п.
Гибкие производственные системы могут быть построены из взаимозаменяемых, из взаимодополняющих ячеек или же смешанным образом.
На рисунке показана схема гибкой системы из двух однотипных взаимозаменяемых обрабатывающих центров (ОЦ). Обрабатывающие центры обслуживаются двумя транспортными тележками (робокарами), поддерживающими движение материальных потоков (деталей, заготовок, инструментов). Обычным является управление в автоматизированном режиме. Если допускаются ручные операции, то оператору должна быть предоставлена определенная свобода действий. Управление совместной работой ОЦ и транспортной системой осуществляется от центральной ЭВМ.
В общем случае управлением робокарами осуществляется от центральной ЭВМ через промежуточное устройство или же от локальной системы управления (ЛСУ). Передача команд на робокары может осуществляться только на остановках, которые делят трассы движения на зоны. ЭВМ разрешает пребывание в конкретной зоне только одного робокара. Максимальная скорость движения может достигать 1 м/с.
Верхняя часть робокара для выполнения операций перегрузки, разгрузки и загрузки может подниматься и опускаться с помощью гидропривода. При отказе или отключении управления от ЭВМ робокар может управляться Л СУ.
Существуют различные варианты робокаров, используемых в качестве транспортных средств в ГПС. Наиболее распространен вариант, когда робокар перемещается вдоль трека (маршрута, трассы) или иной конструкции, уложенной в полу или на его поверхности. Один из вариантов трассирования заключается в том, что на поверхность пола наносят трек в виде полосы (флюоресцентной, светоотражающей, белой с черной окантовкой), а маршрутослежение осуществляется оптоэлектронными методами. Недостатком является необходимость следить за чистотой полосы. Поэтому более распространенным является трассирование робокаров индуктивным проводником, уложенным в канавке на небольшой глубине (порядка 20 мм). Известны и другие интересные решения — с применением, например, телевизионного навигационного оборудования для свободного перемещения в пространстве под управлением ЭВМ.
Источником снабжения робокаров материальными потоками является автоматизированный склад со штабелерами, осуществляющими адресуемый доступ к любой ячейке склада. Склад сам по себе является достаточно сложным объектом управления.

В качестве его системы управления используют программируемые контроллеры, ЭВМ или же специализированного устройства.
Наиболее распространенные робокары с индуктивным маршрутослежением имеют следующие характеристики: грузоподъемность — 500 кг; скорость перемещения — 70 м/мин; ускорения при разгоне и торможении соответственно — 0,5 и 0,7 м/с2; ускорение при аварийном торможении 2,5 м\с2; величина подъема палеты — 130 мм; точность остановки робокара — 30 мм; время цикла перегрузки — 3 с; радиус поворота на максимальной скорости — 0,9 м; время работы без подзарядки аккумуляторов — 6 ч; напряжение аккумуляторной батареи — 24В; мощность каждого из двух приводных двигателей — 600 Вт; собственная масса робокара — 425 кг.
Важным преимуществом робокаров как транспортных средств является отсутствие сколько-нибудь серьезных ограничений на расстановку оборудования, которая может быть осуществлена из соображений наибольшей эффективности по любым критериям. Маршрут робокаров нередко оказывается достаточно сложным, с параллельными ветвями и петлями.
Иногда в ГПС применяются все же не робокары, а транспортные средства со свободной адресацией кареток, несущих спутники. Пример компоновки гибкой системы с подобным видом транспорта. Управление этой транспортной системой осуществляется от программируемого контроллера или от ЭВМ.
Конструктивная модификация ГПС с линейным транспортом, кареткой свободной адресации и неподвижным общим накопителем палет. К транспортной системе подключают не только различное технологическое, но и вспомогательное оборудование, например моечную станцию.
Используется также конструктивная модификация (ГПС) с портальной системой транспортирования палет и с применением автооператора.
Более сложную структуру имеет ГПС в тех случаях, когда наряду с транспортным потоком деталей имеется еще и транспортный поток инструмента. Существует немало способов практической реализации такой структуры. Например, транспортирование деталей может осуществляться с помощью каретки свободной адресации, а доставка инструментальных наладок выполняется рельсовой тележкой, на которой смонтирован робот, играющий роль приемопередающего механизма.
0100090000032a0200000200a20100000000a201000026060f003a03574d46430100000000000100c8250000000001000000180300000000000018030000010000006c0000000000000000000000350000006f00000000000000000000003c2c0000981e000020454d4600000100180300001200000002000000000000000000000000000000c0120000131a0000cb0000001b010000000000000000000000000000f818030078510400160000000c000000180000000a0000001000000000000000000000000900000010000000730a000038070000250000000c0000000e000080250000000c0000000e000080120000000c00000001000000520000007001000001000000a4ffffff00000000000000000000000090010000000000cc04400022430061006c006900620072006900000000000000000000000000000000000000000000000000000000000000000000000000000000000000000000000000000000001100c04b110010000000244f1100a44c1100524f6032244f11001c4c1100100000008c4d1100084f1100244f6032244f11001c4c1100200000009f712e311c4c1100244f110020000000ffffffffdc33ee001a722e31ffffffffffff0180ffff01803fff0180ffffffff0000010000080000000800004300000001000000000000005802000025000000372e9001cc00020f0502020204030204ef0200a07b20004000000000000000009f00000000000000430061006c006900620072000000000000000000e44c11008a272e3130fe0f3244501100504c11009c2d273108000000010000008c4c11008c4c1100087a253108000000b44c1100dc33ee006476000800000000250000000c00000001000000250000000c00000001000000250000000c00000001000000180000000c0000000000000254000000540000000000000000000000350000006f0000000100000055558740a0ab87400000000057000000010000004c000000040000000000000000000000730a00003a070000500000002000cf8d3600000046000000280000001c0000004744494302000000ffffffffffffffff740a000039070000000000004600000014000000080000004744494303000000250000000c0000000e000080250000000c0000000e0000800e000000140000000000000010000000140000000400000003010800050000000b0200000000050000000c022b01b001040000002e0118001c000000fb020300010000000000bc02000000cc0102022253797374656d0000000000000000000000000000000000000000000000000000040000002d010000040000002d01000004000000020101001c000000fb02f1ff0000000000009001000000cc0440002243616c6962726900000000000000000000000000000000000000000000000000040000002d010100040000002d010100040000002d010100050000000902000000020d000000320a0e0000000100040000000000b0012b01207b0900040000002d010000040000002d010000030000000000
0100090000032a0200000200a20100000000a201000026060f003a03574d46430100000000000100c8250000000001000000180300000000000018030000010000006c0000000000000000000000350000006f00000000000000000000003c2c0000981e000020454d4600000100180300001200000002000000000000000000000000000000c0120000131a0000cb0000001b010000000000000000000000000000f818030078510400160000000c000000180000000a0000001000000000000000000000000900000010000000730a000038070000250000000c0000000e000080250000000c0000000e000080120000000c00000001000000520000007001000001000000a4ffffff00000000000000000000000090010000000000cc04400022430061006c006900620072006900000000000000000000000000000000000000000000000000000000000000000000000000000000000000000000000000000000001100c04b110010000000244f1100a44c1100524f6032244f11001c4c1100100000008c4d1100084f1100244f6032244f11001c4c1100200000009f712e311c4c1100244f110020000000ffffffffdc33ee001a722e31ffffffffffff0180ffff01803fff0180ffffffff0000010000080000000800004300000001000000000000005802000025000000372e9001cc00020f0502020204030204ef0200a07b20004000000000000000009f00000000000000430061006c006900620072000000000000000000e44c11008a272e3130fe0f3244501100504c11009c2d273108000000010000008c4c11008c4c1100087a253108000000b44c1100dc33ee006476000800000000250000000c00000001000000250000000c00000001000000250000000c00000001000000180000000c0000000000000254000000540000000000000000000000350000006f0000000100000055558740a0ab87400000000057000000010000004c000000040000000000000000000000730a00003a070000500000002000cf8d3600000046000000280000001c0000004744494302000000ffffffffffffffff740a000039070000000000004600000014000000080000004744494303000000250000000c0000000e000080250000000c0000000e0000800e000000140000000000000010000000140000000400000003010800050000000b0200000000050000000c022b01b001040000002e0118001c000000fb020300010000000000bc02000000cc0102022253797374656d0000000000000000000000000000000000000000000000000000040000002d010000040000002d01000004000000020101001c000000fb02f1ff0000000000009001000000cc0440002243616c6962726900000000000000000000000000000000000000000000000000040000002d010100040000002d010100040000002d010100050000000902000000020d000000320a0e0000000100040000000000b0012b01207b0900040000002d010000040000002d010000030000000000

Портальное трехкоординатное устройство для перегрузки инструментов из внешнего инструментального магазина в инструментальные магазины станков. Поток деталей между рабочими ячейками и центральным накопителем палет организован с помощью каретки свободной адресации. Наличие двух потоков усложняет структуру ГПС, но независимость этих потоков позволяет осуществлять оптимальное управление для каждого из них по отдельности.
Известны структурные решения с совмещением транспортных потоков деталей и инструментов. Например, робокар может доставлять к станкам и палеты с деталями, и инструментальные наладки. В таких структурах экономия транспортных средств может привести, однако, к задержкам в обслуживании станков и к усложнению управления.
Структурный анализ позволяет установить совокупность повторяющихся объектов в ГПС. К числу объектов, требующих как автономного управления, так и централизованной координации, прежде всего, относятся ОЦ, а также накопители, транспортные средства, склады.
0100090000032a0200000200a20100000000a201000026060f003a03574d46430100000000000100c8250000000001000000180300000000000018030000010000006c0000000000000000000000350000006f00000000000000000000003c2c0000981e000020454d4600000100180300001200000002000000000000000000000000000000c0120000131a0000cb0000001b010000000000000000000000000000f818030078510400160000000c000000180000000a0000001000000000000000000000000900000010000000730a000038070000250000000c0000000e000080250000000c0000000e000080120000000c00000001000000520000007001000001000000a4ffffff00000000000000000000000090010000000000cc04400022430061006c006900620072006900000000000000000000000000000000000000000000000000000000000000000000000000000000000000000000000000000000001100c04b110010000000244f1100a44c1100524f6032244f11001c4c1100100000008c4d1100084f1100244f6032244f11001c4c1100200000009f712e311c4c1100244f110020000000ffffffffdc33ee001a722e31ffffffffffff0180ffff01803fff0180ffffffff0000010000080000000800004300000001000000000000005802000025000000372e9001cc00020f0502020204030204ef0200a07b20004000000000000000009f00000000000000430061006c006900620072000000000000000000e44c11008a272e3130fe0f3244501100504c11009c2d273108000000010000008c4c11008c4c1100087a253108000000b44c1100dc33ee006476000800000000250000000c00000001000000250000000c00000001000000250000000c00000001000000180000000c0000000000000254000000540000000000000000000000350000006f0000000100000055558740a0ab87400000000057000000010000004c000000040000000000000000000000730a00003a070000500000002000cf8d3600000046000000280000001c0000004744494302000000ffffffffffffffff740a000039070000000000004600000014000000080000004744494303000000250000000c0000000e000080250000000c0000000e0000800e000000140000000000000010000000140000000400000003010800050000000b0200000000050000000c022b01b001040000002e0118001c000000fb020300010000000000bc02000000cc0102022253797374656d0000000000000000000000000000000000000000000000000000040000002d010000040000002d01000004000000020101001c000000fb02f1ff0000000000009001000000cc0440002243616c6962726900000000000000000000000000000000000000000000000000040000002d010100040000002d010100040000002d010100050000000902000000020d000000320a0e0000000100040000000000b0012b01207b0900040000002d010000040000002d010000030000000000

0100090000032a0200000200a20100000000a201000026060f003a03574d46430100000000000100c8250000000001000000180300000000000018030000010000006c0000000000000000000000350000006f00000000000000000000003c2c0000981e000020454d4600000100180300001200000002000000000000000000000000000000c0120000131a0000cb0000001b010000000000000000000000000000f818030078510400160000000c000000180000000a0000001000000000000000000000000900000010000000730a000038070000250000000c0000000e000080250000000c0000000e000080120000000c00000001000000520000007001000001000000a4ffffff00000000000000000000000090010000000000cc04400022430061006c006900620072006900000000000000000000000000000000000000000000000000000000000000000000000000000000000000000000000000000000001100c04b110010000000244f1100a44c1100524f6032244f11001c4c1100100000008c4d1100084f1100244f6032244f11001c4c1100200000009f712e311c4c1100244f110020000000ffffffffdc33ee001a722e31ffffffffffff0180ffff01803fff0180ffffffff0000010000080000000800004300000001000000000000005802000025000000372e9001cc00020f0502020204030204ef0200a07b20004000000000000000009f00000000000000430061006c006900620072000000000000000000e44c11008a272e3130fe0f3244501100504c11009c2d273108000000010000008c4c11008c4c1100087a253108000000b44c1100dc33ee006476000800000000250000000c00000001000000250000000c00000001000000250000000c00000001000000180000000c0000000000000254000000540000000000000000000000350000006f0000000100000055558740a0ab87400000000057000000010000004c000000040000000000000000000000730a00003a070000500000002000cf8d3600000046000000280000001c0000004744494302000000ffffffffffffffff740a000039070000000000004600000014000000080000004744494303000000250000000c0000000e000080250000000c0000000e0000800e000000140000000000000010000000140000000400000003010800050000000b0200000000050000000c022b01b001040000002e0118001c000000fb020300010000000000bc02000000cc0102022253797374656d0000000000000000000000000000000000000000000000000000040000002d010000040000002d01000004000000020101001c000000fb02f1ff0000000000009001000000cc0440002243616c6962726900000000000000000000000000000000000000000000000000040000002d010100040000002d010100040000002d010100050000000902000000020d000000320a0e0000000100040000000000b0012b01207b0900040000002d010000040000002d010000030000000000
Конструктивные особенности объектов должны быть ориентированы на взаимную интеграцию без доработок и переделок. В этом случае множественность указанных объектов составит семейство совместимых компонентов, способных порождать многочисленные варианты ГПС в соответствие с конкретным техническим заданием на их разработку.
Структуры гибкого многономенклатурного производства характеризуются составом или номенклатурой основного технологического оборудования и его количеством, которое зависит от программы выпуска и производительности, определяющих производственные связи между отдельными станками, ветвление и соединение потоков обрабатываемых деталей. Гибкое многономенклатурное производство является одной из разновидностей ГПС. Оно характеризуется движением деталей по произвольному маршруту с возможностью его прерывания, не требует обязательного выравнивания значений времени пребывания детали на различных операциях технологического маршрута и числа операций технологического маршрута для деталей разных наименований- Маршрут движения деталей и последовательность подачи их на обработку никак не связаны с компоновкой оборудования и определяются планом работы комплекса и расписанием загрузки единиц оборудования.
При формировании структуры такого производства учитываются порядок следований операций и их длительность. Разработку ГПС обычно осуществляют исходя из следующих условий:
задано ли множество реализуемых производственных функций;
заданы ли взаимосвязи между производственными функциями;
заданы или же подлежат выбору элементы технических средств комплекса управления;
учитывается или нет расположение элементов производственной системы;
указаны или нет Связи между элементами производственной системы;
имеется или отсутствует возможность выполнения одной и той же задачи несколькими различными элементами.
Классификация операций производственных структур производится двояким образом.
1. По принципу назначения выделяются следующие операции:
подготовка полных исходных данных по управлению складом заготовок;
подготовка данных по маршруту транспортирования заготовок;
управление складом инструментов;
управление транспортировкой грузоединиц;
управление оборудованием технологического процесса;
управление складом готовых изделий.
0100090000032a0200000200a20100000000a201000026060f003a03574d46430100000000000100c8250000000001000000180300000000000018030000010000006c0000000000000000000000350000006f00000000000000000000003c2c0000981e000020454d4600000100180300001200000002000000000000000000000000000000c0120000131a0000cb0000001b010000000000000000000000000000f818030078510400160000000c000000180000000a0000001000000000000000000000000900000010000000730a000038070000250000000c0000000e000080250000000c0000000e000080120000000c00000001000000520000007001000001000000a4ffffff00000000000000000000000090010000000000cc04400022430061006c006900620072006900000000000000000000000000000000000000000000000000000000000000000000000000000000000000000000000000000000001100c04b110010000000244f1100a44c1100524f6032244f11001c4c1100100000008c4d1100084f1100244f6032244f11001c4c1100200000009f712e311c4c1100244f110020000000ffffffffdc33ee001a722e31ffffffffffff0180ffff01803fff0180ffffffff0000010000080000000800004300000001000000000000005802000025000000372e9001cc00020f0502020204030204ef0200a07b20004000000000000000009f00000000000000430061006c006900620072000000000000000000e44c11008a272e3130fe0f3244501100504c11009c2d273108000000010000008c4c11008c4c1100087a253108000000b44c1100dc33ee006476000800000000250000000c00000001000000250000000c00000001000000250000000c00000001000000180000000c0000000000000254000000540000000000000000000000350000006f0000000100000055558740a0ab87400000000057000000010000004c000000040000000000000000000000730a00003a070000500000002000cf8d3600000046000000280000001c0000004744494302000000ffffffffffffffff740a000039070000000000004600000014000000080000004744494303000000250000000c0000000e000080250000000c0000000e0000800e000000140000000000000010000000140000000400000003010800050000000b0200000000050000000c022b01b001040000002e0118001c000000fb020300010000000000bc02000000cc0102022253797374656d0000000000000000000000000000000000000000000000000000040000002d010000040000002d01000004000000020101001c000000fb02f1ff0000000000009001000000cc0440002243616c6962726900000000000000000000000000000000000000000000000000040000002d010100040000002d010100040000002d010100050000000902000000020d000000320a0e0000000100040000000000b0012b01207b0900040000002d010000040000002d010000030000000000
2. По принципу реализации производственного процесса различают операции:
• динамическое и статическое ведение состояния склада материала;
динамическое и статическое ведение состояния склада инструментов;
осуществление транспортирования грузоединиц;
составление полного отчета по состоянию технологического оборудования;
отправка на склад готовых изделий.
Эффективность и производительность основного оборудования многономенклатурного производства непосредственно зависят от уровня его использования и загрузки.
Обеспечение загрузки оборудования в многономенклатурном производстве с учетом различной длительности производственных циклов на смежных технологических позициях является одной из центральных теоретических и практических проблем, с которыми приходится сталкиваться как при проектировании, так и при эксплуатации ГПС.
Загрузка оборудования ГПС в многономенклатурном производстве определяется планом. Различают объемные и календарные планы (расписания).
Первые устанавливают укрупненные балансы технологического времени по видам операций и фондов времени работы оборудования; вторые доводят объемные планы до регламентации временных технологических последовательностей выполнения работ на рабочих местах.
При проектировании ГПС многономенклатурного производства выбор производственных (и технологических) структур осуществляется только на основании объемных планов.
Расписание работы оборудования многономенклатурной ГПС создается в процессе Эксплуатации с учетом реальной производственной ситуации.
Гибкие автоматизированные системы. По организационной структуре ГПС разделяются на следующие виды;
гибкая автоматическая линия (ГАЛ) — гибкая производственная система, в которой технологическое оборудование располагается в принятой последовательности технологических операций;
роботизированная технологическая линия (РТЛ) — совокупность роботизированных технологических комплексов, связанных между собой транспортными средствами и системой управления, или нескольких единиц оборудования, обслуживаемых одним или несколькими промышленными роботами хотя выполнения операций в принятой технологической последовательности;
гибкий автоматизированный участок (ГАУ) — гибкая производственная система, функционирующая по технологическому Маршруту в соответствии с расписанием загрузки оборудования, в котором предусмотрена возможность изменения последовательности использования технологического оборудования;
Роботизированный технологический участок (РТУ) – совокупность единиц технологического оборудования, связанных между собой транспортными средствами и системой управления, или нескольких единиц технологического оборудования, обслуживаемых одним или несколькими промышленным роботами, в которой предусмотрена возможность изменения последовательности использования технологического оборудования;
гибкий автоматизированный цех (ГАЦ) — гибкая производственная система, представляющая собой совокупность гибких автоматизированных линий, роботизированных технологических линий, гибких автоматизированных участков и роботизированных технологических участков, что обеспечивает возможность изготовления изделий заданной номенклатуры.
Основным элементом технологического оборудования, из которого строятся различные ГПС, являются роботизированные технологические комплексы (РТК) и гибкие производственные модули (ГПМ).
РТК — это совокупность, образованная единицей технологического оборудования, промышленным роботом и средствами пристаночного оснащения, автономно функционирующая и совершающая многократные технологические циклы.
ГПМ — это единица технологического оборудования с программным управлением и средствами автоматизации технологического процесса, автономно функционирующая, осуществляющая многократные технологические циклы, обладающая свойством автоматизированной переналадки при производстве изделий различной номенклатуры (разумеется, в установленных пределах их типоразмеров и других технических характеристик), имеющая возможность встраивания в ГПС.
ГПС организуются преимущественно для комплексной обработки, обеспечивающей выпуск полностью обработанных деталей. Однако в ряде случаев отсутствует необходимый набор гибких производственных модулей для комплектования ГПС с полным циклом обработки деталей. В таких ситуациях, а также в силу специфических особенностей реализации технологических процессов на тех или иных предприятиях организуются ГПС с вынесением некоторых операций на другие производственные участки. Эти участки по сравнению с указанной ГПС могут иметь и более низкий уровень автоматизации. ГПС для предварительной обработки целесообразно объединять с переналаживаемым комплексами резки заготовок и размешать в заготовительных цехах и производствах. По своей структуре ГПС разделяются на простые и сложные.
Простая ГПС – это производственная система, предназначенная для выполнения технологического процесса или его законченной в организационном отношении части. Она состоит из нескольких ГПМ, отдельных станков или РТК, объединенных автоматизированной транспортно – накопительной системой (ТСС).
Сложная ГПС — это гибкая производственная система, в состав которой входят единицы основного технологического оборудования (ГПМ, РТК или переналаживаемые станки), вспомогательное оборудование, система обеспечения функционирования производства (СОП) и уггравляюще-вычислительный комплекс (УВК). В состав сложной ГПС могут входить как простые ГПС, так и отдельные станки, например для подготовки баз и выполнения финишных операций; система обеспечения функционирования производства, включающая участки хранения и настройки инструмента, сборки приспособлений, мойки деталей, технического контроля, отделения для переукомплектования, установки и переустановки деталей; системы транспортирования и хранения деталей и инструментов, уборки отходов производства (в том числе стружки), подачи масла и эмульсии, а также ремонтные службы (в том числе занятые на работах по механике, гидропневмоавтоматике и гидропневмоприводу, электроприводу и электрике по электронике).
Рассмотрим это несколько подробнее.
Создание ГПС является неотъемлемой частью проектирования или реконструкции предприятия с учетом принципов группового производства. Всякая ГПС включает в себя два комплекса: производственный и управляюще-вычислительный. Заметим, что степень автоматизации и соответственно доля функций управления, возложенных на компьютерную управляюще-вычислительную систему, может быть различной. Однако все необходимые для данной производственной системы функции управления должны выполняться. Часть этих функций выполняется компьютерным комплексом, а часть — управляющим персоналом. Таким образом, система управления ГПС в общем случае представляет собой человеко-машинный комплекс.
Производственный комплекс включает в себя собственно производственную систему и систему обеспечения функционирования производством (СОП).
В общем случае в систему обеспечения производства входят:
автоматизированная транспортная и транспортно – складская система (АТСС);
автоматизированная система инструментального обеспечения (АСИО);
система автоматизированного контроля (САК);
система автоматизированного удаления отходов (АСУО):
• система обеспечения профилактики и ремонта оборудования (СПР);
• система автоматизированного проектирования, конструкторского и технологического (САПР-К и САПР-Т)
• автоматизированная система технологической подготовки производства (АС ТПГТ);
автоматизированная система управления технологическими процессами (АСУ ТП);
автоматизированная система управления гибкой производственной системой (АСУ ГПС) и некоторые другие системы.
Состав оборудования для ГПС, а также состав, функции и оборудование интегрированной системы обеспечения функционирования производства определяются исходя из конкретной производственной ситуации на том предприятии, где предполагается организовать ГПС, а также из возможностей и экономической эффективности поставок перспективного оборудования. При организации гибких автоматизированных участков по структурным схемам /./, 1.2, 1.3, 1.4, 7.5и 1.8 система обеспечения функционирования производства оказывается вынесенной за пределы участка, а накопители размещаются на площади самого этого участка.
При организации цеховых ГПС с применением структур в соответствии со схемами 1,6 и 1.7 все системы, как и все технологическое оборудование, размещаются на площадях, отводимых непосредственно под ГПС. Реализация ГПС по схеме 1.1 рекомендуется для одностороннего расположения станков, а по схемам 1.2 к 1.6 — для двустороннего расположения.
0100090000032a0200000200a20100000000a201000026060f003a03574d46430100000000000100c8250000000001000000180300000000000018030000010000006c0000000000000000000000350000006f00000000000000000000003c2c0000981e000020454d4600000100180300001200000002000000000000000000000000000000c0120000131a0000cb0000001b010000000000000000000000000000f818030078510400160000000c000000180000000a0000001000000000000000000000000900000010000000730a000038070000250000000c0000000e000080250000000c0000000e000080120000000c00000001000000520000007001000001000000a4ffffff00000000000000000000000090010000000000cc04400022430061006c006900620072006900000000000000000000000000000000000000000000000000000000000000000000000000000000000000000000000000000000001100c04b110010000000244f1100a44c1100524f6032244f11001c4c1100100000008c4d1100084f1100244f6032244f11001c4c1100200000009f712e311c4c1100244f110020000000ffffffffdc33ee001a722e31ffffffffffff0180ffff01803fff0180ffffffff0000010000080000000800004300000001000000000000005802000025000000372e9001cc00020f0502020204030204ef0200a07b20004000000000000000009f00000000000000430061006c006900620072000000000000000000e44c11008a272e3130fe0f3244501100504c11009c2d273108000000010000008c4c11008c4c1100087a253108000000b44c1100dc33ee006476000800000000250000000c00000001000000250000000c00000001000000250000000c00000001000000180000000c0000000000000254000000540000000000000000000000350000006f0000000100000055558740a0ab87400000000057000000010000004c000000040000000000000000000000730a00003a070000500000002000cf8d3600000046000000280000001c0000004744494302000000ffffffffffffffff740a000039070000000000004600000014000000080000004744494303000000250000000c0000000e000080250000000c0000000e0000800e000000140000000000000010000000140000000400000003010800050000000b0200000000050000000c022b01b001040000002e0118001c000000fb020300010000000000bc02000000cc0102022253797374656d0000000000000000000000000000000000000000000000000000040000002d010000040000002d01000004000000020101001c000000fb02f1ff0000000000009001000000cc0440002243616c6962726900000000000000000000000000000000000000000000000000040000002d010100040000002d010100040000002d010100050000000902000000020d000000320a0e0000000100040000000000b0012b01207b0900040000002d010000040000002d010000030000000000
Для перемещения и складирования заготовок, деталей, инструмента и приспособлений применяются транспортные роботы, которые позволяют устанавливать тару, поддоны и сменные приспособления-спутники (палеты) на приемные устройства и накопители отдельных станков и в общеучастковые накопители. При организации ГПС по схемам 1.3, 1.4 и 1.7 транспортные роботы обеспечивают перемещение и накопление деталей на одном уровне высот. Для размещения оборотных заделов, инструмента и приспособлений, предназначенных для последующей механической обработки, используются механические накопители-подъемники. Подобные схемы могут применяться как для одностороннего, так и для двустороннего расположения станков. Схема 1.5 применяется для таких ГПС, у которых предусматривается организация общего склада-накопителя. Для загрузки станков транспортный робот захватывает тару или спутник из стеллажа-накопителя и устанавливает на локальный накопитель или же на пристаночное загрузочно-разгрузочное устройство. При использовании структуры в одном транспортном блоке применяется перемещение по двум уровням.
0100090000032a0200000200a20100000000a201000026060f003a03574d46430100000000000100c8250000000001000000180300000000000018030000010000006c0000000000000000000000350000006f00000000000000000000003c2c0000981e000020454d4600000100180300001200000002000000000000000000000000000000c0120000131a0000cb0000001b010000000000000000000000000000f818030078510400160000000c000000180000000a0000001000000000000000000000000900000010000000730a000038070000250000000c0000000e000080250000000c0000000e000080120000000c00000001000000520000007001000001000000a4ffffff00000000000000000000000090010000000000cc04400022430061006c006900620072006900000000000000000000000000000000000000000000000000000000000000000000000000000000000000000000000000000000001100c04b110010000000244f1100a44c1100524f6032244f11001c4c1100100000008c4d1100084f1100244f6032244f11001c4c1100200000009f712e311c4c1100244f110020000000ffffffffdc33ee001a722e31ffffffffffff0180ffff01803fff0180ffffffff0000010000080000000800004300000001000000000000005802000025000000372e9001cc00020f0502020204030204ef0200a07b20004000000000000000009f00000000000000430061006c006900620072000000000000000000e44c11008a272e3130fe0f3244501100504c11009c2d273108000000010000008c4c11008c4c1100087a253108000000b44c1100dc33ee006476000800000000250000000c00000001000000250000000c00000001000000250000000c00000001000000180000000c0000000000000254000000540000000000000000000000350000006f0000000100000055558740a0ab87400000000057000000010000004c000000040000000000000000000000730a00003a070000500000002000cf8d3600000046000000280000001c0000004744494302000000ffffffffffffffff740a000039070000000000004600000014000000080000004744494303000000250000000c0000000e000080250000000c0000000e0000800e000000140000000000000010000000140000000400000003010800050000000b0200000000050000000c022b01b001040000002e0118001c000000fb020300010000000000bc02000000cc0102022253797374656d0000000000000000000000000000000000000000000000000000040000002d010000040000002d01000004000000020101001c000000fb02f1ff0000000000009001000000cc0440002243616c6962726900000000000000000000000000000000000000000000000000040000002d010100040000002d010100040000002d010100050000000902000000020d000000320a0e0000000100040000000000b0012b01207b0900040000002d010000040000002d010000030000000000
На верхнем уровне перемешается устройство циклическогодействия, транспортирующее тару, поддоны и спутники к рабочим местам. На нижнем уровне осуществляется возврат тары, поддонов и спутников от рабочих мест тосте каждой технологической операции. Обычно для выполнения операций по возврату используется роликовый приводной конвейер.
Кроме указанных, возможны и иные схемы компоновок ГПС, использующие роликовые конвейеры в сочетании с различными поворотными и подъемными устройствами, а также с цепенесущими конвейерами.
0100090000032a0200000200a20100000000a201000026060f003a03574d46430100000000000100c8250000000001000000180300000000000018030000010000006c0000000000000000000000350000006f00000000000000000000003c2c0000981e000020454d4600000100180300001200000002000000000000000000000000000000c0120000131a0000cb0000001b010000000000000000000000000000f818030078510400160000000c000000180000000a0000001000000000000000000000000900000010000000730a000038070000250000000c0000000e000080250000000c0000000e000080120000000c00000001000000520000007001000001000000a4ffffff00000000000000000000000090010000000000cc04400022430061006c006900620072006900000000000000000000000000000000000000000000000000000000000000000000000000000000000000000000000000000000001100c04b110010000000244f1100a44c1100524f6032244f11001c4c1100100000008c4d1100084f1100244f6032244f11001c4c1100200000009f712e311c4c1100244f110020000000ffffffffdc33ee001a722e31ffffffffffff0180ffff01803fff0180ffffffff0000010000080000000800004300000001000000000000005802000025000000372e9001cc00020f0502020204030204ef0200a07b20004000000000000000009f00000000000000430061006c006900620072000000000000000000e44c11008a272e3130fe0f3244501100504c11009c2d273108000000010000008c4c11008c4c1100087a253108000000b44c1100dc33ee006476000800000000250000000c00000001000000250000000c00000001000000250000000c00000001000000180000000c0000000000000254000000540000000000000000000000350000006f0000000100000055558740a0ab87400000000057000000010000004c000000040000000000000000000000730a00003a070000500000002000cf8d3600000046000000280000001c0000004744494302000000ffffffffffffffff740a000039070000000000004600000014000000080000004744494303000000250000000c0000000e000080250000000c0000000e0000800e000000140000000000000010000000140000000400000003010800050000000b0200000000050000000c022b01b001040000002e0118001c000000fb020300010000000000bc02000000cc0102022253797374656d0000000000000000000000000000000000000000000000000000040000002d010000040000002d01000004000000020101001c000000fb02f1ff0000000000009001000000cc0440002243616c6962726900000000000000000000000000000000000000000000000000040000002d010100040000002d010100040000002d010100050000000902000000020d000000320a0e0000000100040000000000b0012b01207b0900040000002d010000040000002d010000030000000000
Различные схемы таких устройств. Вдоль линейной или замкнутой трассы конвейеров могут разместиться до 25 станков, а также общеучастковые накопители. Система обеспечения функционирования производства вынесена за пределы участка.
Наконец, практически применяются ГПС. использующие для межоперационных перемещений напольные рельсовые транспортные устройства, а также безрельсовые устройства без водителей. перемещающиеся по специальным проездам. Количество установленных станков определяется размерами выпуска. Использование подобных схем целесообразно для производственных участков, в которых станки располагаются группами разнообразной конфигурации и требуется создание криволинейных трасс для межоперационных перемещений, а также в тех случаях, когда различные склады и участки подготовки производства размещаются в отдалении от технологического оборудования. Транспортные трассы в таких случаях обычно бывают закольцованы.
Различные варианты подобных структур ГПС.
Система управления ГПС относится к многоуровневым иерархическим системам управления. Для иерархических систем характерно то, что информационно-управляющее взаимодействие происходит только между расположенными рядом уровнями иерархии управления. Например, третий уровень управления не может передавать управляющие воздействия на первый уровень управления, минуя второй. В случае структур ГПС к нижнему уровню управления относятся устройства числового программного управления отдельными станками, устройства управления краном-штабелером и отдельными устройствами, входящими в транспортно-складскую систему. Средний уровень системы управления ГПС обеспечивает прием плановых заданий от верхнего уровня системы управления (независимо от того, составляются эти плановые задания с помощью компьютерных систем или же человеком), автоматизацию оперативного управления централизованными службами обеспечения производства, координирует работу систем нижнего уровня. Наконец, на верхнем уровне управления ГПС производится разработка плановых и директивных документов (или массивов), определяющих функционирование данной ГПС в течение рассматриваемого временного интервала.
Информационной базой для управления ГПС является компьютерная модель, отражающая состояние этой ГПС и включающая модель склада-накопителя, транспортно-накопительной системы и пунктов загрузки-выгрузки.
Основные задачи компьютерной техники при управлении ГПС следующие:
оперативно-календарное планирование производства, включая подетальное планирование на месяц, расчет сменно-суточного задания, расчет подетально-операционного плана на заданный период времени, отображение, контроль и коррекция сменно-суточных заданий, формирование партий запуска и выпуска, расчет загрузки оборудования;
технологическая подготовка производства, включая планирование и учет комплектования ГПС инструментом, оснасткой и управляющими программами на заданный календарный период, планирование обеспечения ГПС заготовками, разработку карт наладок и укомплектовочных карт инструмента, автоматизацию разработки технологических процессов и управляющих программ для станков с ЧПУ;
оперативное управление и ведение отчетности, включая выполнение сменно-суточных заданий, комплектование заказов, обеспечение заготовками, запуск деталей в обработку и их движение, возникновение брака, поступление и местонахождение грузоединиц в складах-накопителях, работу и простой оборудования;
технико-экономическое планирование и учет, включая учет выполнения производственной программы за сутки, смену и с начала месяца, расчет плана технико-экономических показателей ГПС и учет его выполнения;


3. Основные признаки по которым различают автоматические линии
Рассмотрим классификации автоматических линий машиностроительного производства по различным признакам.
По технологическому признаку различают линии механообработки, сборки, сварки, окраски и т.д., а также комплексные линии. Последние включают позиции штамповки, механообработки, термообработки и сборки. Наиболее часто такие линии встречаются в подшипниковом производстве и при изготовлении деталей автомобилей.
По технологической гибкости линии бывают непереналаживаемые, для -групповой обработки и гибкие. Линии для групповой обработки проектируются по условной детали, которая включает все элементы данной детали. Детали одной группы относятся К одному типу деталей (валы, диски, рычаги), имеют одинаковый технологический маршрут обработки и отличаются только размером поверхностей. Примером могут служить вилки карданных валов, промежуточные валы коробки передач, ступицы колес различных автомобилей.
Непереналаживаемые линии проектируются для обработки деталей с большой программой выпуска, конструкция которых не меняется длительное время (например, детали подшипников качения, изделия оборонной промышленности). Гибкие линии обладают возможностью переналадки для обработки однотипных, хотя и различных деталей, имеющих одинаковый маршрут обработки.
Линии для групповой обработки характеризуются возможностью обработки двух-трех однотипных деталей без переналадки оснастки и оборудования.
4. Области применения линий циклического и непрерывного действия
По принципу работы линии разделяются на две группы Первую группу представляют линии циклического действия. Дня этях линий характерна периодичность перемещения объекта производства по линии и цикличность работы, когда все элементы цикла
(установка, обработка, снятие и транспортировка детали) выполняются последовательно один за другим, не перекрываясь по времени. Производительность линии циклического действия ограничивается из-за потерь на холостые ходы. Однако эти линии имеют большие технологические возможности, так как позволяют обрабатывать самые разнообразные детали и собирать разные агрегаты машин (двигатели, редукторы, фильтры и т.д.). Поэтому основной парк автоматических линий в машиностроении — это линии циклического действия.
Вторая группа линий по принципу действия — это линии непрерывного действия. В этих линиях объект производства перемещается непрерывно, и во время перемещения выполняются рабочие ходы. Таким образом сводятся к минимуму внутрицикловые потери и обеспечивается высокая производительность.
Линии непрерывного действия создаются на базе роторных машин, и их часто называют роторными линиями. Различают рабочие (технологические), загрузочные и транспортные роторы. Рабочий ротор представляет собой непрерывно вращающийся стол 2. По периферии стола 2 устанавливаются объекты производства 3. Над столом 2 располагаются инструментальные блоки 1 в строгом соответствии с объектом производства. Инструментальные блоки / вращаются синхронно со столом 2 и в рабочей зоне ротора под действием неподвижного копира 4 получают технологические (рабочие) движения, в результате которых на рабочем роторе выполняются технологические операции.
Возможность разместить на одном рабочем роторе большое «число инструментальных блоков, выполняющих одну и ту же операцию, позволяет линии работать с высокой степенью концентрации операций и, следовательно, с высокой производительностью.
Линии непрерывного действия компонуются из рабочих роторов, связанных между собой транспортными роторами. На каждом рабочем роторе выполняется одна операция. Объект производства последовательно перемещается от одного рабочего ротора к другому и таким образом проходит весь технологический процесс. Производительность рабочего ротора определяется промежутком времени Т>1> между двумя выходами объектов с ротора:

Где
;
l — расстояние между соседними
инструментальными
блоками; v — скорость перемещения инструментальных блоков. Кроме высокой производительности роторные линии обладают еще одним важным достоинством. Они позволяют объединить операции с различной продолжительностью без изменения производительности всей линии.
0100090000032a0200000200a20100000000a201000026060f003a03574d46430100000000000100c8250000000001000000180300000000000018030000010000006c0000000000000000000000350000006f00000000000000000000003c2c0000981e000020454d4600000100180300001200000002000000000000000000000000000000c0120000131a0000cb0000001b010000000000000000000000000000f818030078510400160000000c000000180000000a0000001000000000000000000000000900000010000000730a000038070000250000000c0000000e000080250000000c0000000e000080120000000c00000001000000520000007001000001000000a4ffffff00000000000000000000000090010000000000cc04400022430061006c006900620072006900000000000000000000000000000000000000000000000000000000000000000000000000000000000000000000000000000000001100c04b110010000000244f1100a44c1100524f6032244f11001c4c1100100000008c4d1100084f1100244f6032244f11001c4c1100200000009f712e311c4c1100244f110020000000ffffffffdc33ee001a722e31ffffffffffff0180ffff01803fff0180ffffffff0000010000080000000800004300000001000000000000005802000025000000372e9001cc00020f0502020204030204ef0200a07b20004000000000000000009f00000000000000430061006c006900620072000000000000000000e44c11008a272e3130fe0f3244501100504c11009c2d273108000000010000008c4c11008c4c1100087a253108000000b44c1100dc33ee006476000800000000250000000c00000001000000250000000c00000001000000250000000c00000001000000180000000c0000000000000254000000540000000000000000000000350000006f0000000100000055558740a0ab87400000000057000000010000004c000000040000000000000000000000730a00003a070000500000002000cf8d3600000046000000280000001c0000004744494302000000ffffffffffffffff740a000039070000000000004600000014000000080000004744494303000000250000000c0000000e000080250000000c0000000e0000800e000000140000000000000010000000140000000400000003010800050000000b0200000000050000000c022b01b001040000002e0118001c000000fb020300010000000000bc02000000cc0102022253797374656d0000000000000000000000000000000000000000000000000000040000002d010000040000002d01000004000000020101001c000000fb02f1ff0000000000009001000000cc0440002243616c6962726900000000000000000000000000000000000000000000000000040000002d010100040000002d010100040000002d010100050000000902000000020d000000320a0e0000000100040000000000b0012b01207b0900040000002d010000040000002d010000030000000000
При этом изменяются размеры рабочих роторов и число инструментальных блоков. Действительно,

где R — радиус рабочего ротора; φ — угол между соседними инструментальными блоками (рад).
Чем больше продолжительность операции, тем больше R и меньше φ. Таким образом, произведение Rφ может оставаться неизменным.
Вместе с тем роторные линии имеют ряд существенных недостатков, которые ограничивают область их применения. Основной недостаток связан с низкими технологическими возможностями этих линий. Инструментальные блоки совершают простые возвратно-поступательные движения, что позволяет выполнять только простейшие операции (прошивку, резку, дозировку, пайку и т.д.).
Так как число рабочих роторов определяется числом операций технологического процесса, роторные линии очень громоздкие и требуют достаточно больших производственных площадей.
Ограниченные технологические возможности роторных линий не позволяют применять их для обработки деталей сложной формы, больших размеров и с большим числом операций. Поэтому такие линии нашли в основном применение в пищевой, оборонной, электротехнической промышленности при изготовлении простых изделий без снятия стружки, методами штамповки, выдавливания, пайки, дозировки материала, для сборки и контроля, когда технологический процесс состоит из небольшого числа (до 8) простых операций.
5. Устройства обеспечивающие гибкую связь между участками линий
По виду связи между позициями различают линии с жесткой и гибкой связью.
Отличительным признаком линии с жесткой связью является то, что объект производства непосредственно перемешается от одной позиции к другой. На рисунке показана схема такой линии с шаговым транспортером. Штанга транспортера 2 совершает возвратно-поступательные движения и обеспечивает шаговое перемещение заготовок с помощью толкающих элементов («собачек») 5 по направляющим 4. На рисунке б показана условная схема этой же линии, которой удобно пользоваться на практике.
Жесткая связь между позициями обусловливает согласованность по времени (синхронность) работы машин. Либо все заготовки одновременно обрабатываются, либо одновременно все транспортируются. Поэтому эти линии часто называют синхронными линиями.
Линии с жесткой связью компактны, просты в управлении, имеют низкую стоимость. Однако они эффективны, только если станкоемкость позиций примерно одинакова и число позиций небольшое (8... 12
0100090000032a0200000200a20100000000a201000026060f003a03574d46430100000000000100c8250000000001000000180300000000000018030000010000006c0000000000000000000000350000006f00000000000000000000003c2c0000981e000020454d4600000100180300001200000002000000000000000000000000000000c0120000131a0000cb0000001b010000000000000000000000000000f818030078510400160000000c000000180000000a0000001000000000000000000000000900000010000000730a000038070000250000000c0000000e000080250000000c0000000e000080120000000c00000001000000520000007001000001000000a4ffffff00000000000000000000000090010000000000cc04400022430061006c006900620072006900000000000000000000000000000000000000000000000000000000000000000000000000000000000000000000000000000000001100c04b110010000000244f1100a44c1100524f6032244f11001c4c1100100000008c4d1100084f1100244f6032244f11001c4c1100200000009f712e311c4c1100244f110020000000ffffffffdc33ee001a722e31ffffffffffff0180ffff01803fff0180ffffffff0000010000080000000800004300000001000000000000005802000025000000372e9001cc00020f0502020204030204ef0200a07b20004000000000000000009f00000000000000430061006c006900620072000000000000000000e44c11008a272e3130fe0f3244501100504c11009c2d273108000000010000008c4c11008c4c1100087a253108000000b44c1100dc33ee006476000800000000250000000c00000001000000250000000c00000001000000250000000c00000001000000180000000c0000000000000254000000540000000000000000000000350000006f0000000100000055558740a0ab87400000000057000000010000004c000000040000000000000000000000730a00003a070000500000002000cf8d3600000046000000280000001c0000004744494302000000ffffffffffffffff740a000039070000000000004600000014000000080000004744494303000000250000000c0000000e000080250000000c0000000e0000800e000000140000000000000010000000140000000400000003010800050000000b0200000000050000000c022b01b001040000002e0118001c000000fb020300010000000000bc02000000cc0102022253797374656d0000000000000000000000000000000000000000000000000000040000002d010000040000002d01000004000000020101001c000000fb02f1ff0000000000009001000000cc0440002243616c6962726900000000000000000000000000000000000000000000000000040000002d010100040000002d010100040000002d010100050000000902000000020d000000320a0e0000000100040000000000b0012b01207b0900040000002d010000040000002d010000030000000000
Основным недостатком линий с жесткой связью является их низкая надежность, так как при отказе одной позиции простаивает вся линия. Это снижает ее производительность

где
t>ц>
– время цикла в мин;
- коэффициент технического использования
линии;
- удельная длительность простоев i-й
позиции линии по техническим причинам;
например, если B>i>=0,002,
то на 1000 мин работы линии в среднем за
год приходится 2 мин простоя по техническим
причинам; n – число позицій линии;
- время простоев i-й позиции линии,
отнесённое к одному циклу; t>прi
>– суммарное
время простоев i-й позиции линии по
техническим причинам за период наблюдения
за линией (смену, неделю, месяц, год); N –
число изделий, которое за время простоев
могло сойти с линии.
Коэффициент технического использования η>т.и >характеризует техническое состояние и надежность линии. Если η>т.и >=0,8, то это означает, что линия 20% рабочего времени простаивает по техническим причинам (ремонт, техническое обслуживание).
Стремление повысить надежность линии привело к созданию линии с гибкой связью. Гибкость связи на линии достигается установкой накопителей между позициями и участками. Накопителями называют специальные устройства – емкости для размещения заготовок. Основное значение накопителей – локализовать отказы, предотвратить остановку линии.
Схема линии, в которой накопители устанавливаются после каждой позиции. Применение накопителей делает работу соседних позиций на определенное время независимой. Емкость накопителей зависит от размеров заготовки, времени цикла и надежности соседних позиций (участков):
,
где Еср – средняя емкость накопителя; К – коэффициент запаса, в зависимости от размеров заготовки принимающий значения 1,5…5,0; τ>в >– среднее время восстановления позиции (мин), определяемое опытным путем.
Обычно емкости накопителей обеспечивают бесперебойную работу линии в случае отказа в течении нескольких часов. Вместе с тем накопители существенно усложняют линию, повышают её стоимость, требуют дополнительных производственных площадей. Поэтому экономически целесообразно устанавливать накопители между участками которые образуют линию с комбинированной связью.
Деление линии на участки является важной задачей при её проектировании, от решения которой зависит фактическая производительность и экономическая эффективность линии.
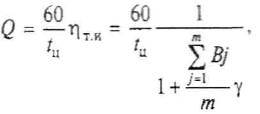
Производительность линии, состоящей из т участков, определяется соотношением

п — число позиций ј-го участка; у = 1,1... 1,5 — коэффициент влияния простоев ј-го участка на выпускающий участок. Зависит от емкости накопителя, количества и надежности участков.
Коэффициент влияния γ вводится в расчет производительности в связи с тем, что емкости накопителей ограничены и для устранения отказов требуется определенное время τ>в>. Практика эксплуатации автоматических линий и теория их надежности показывают, что наиболее эффективно делить линии на 2—3 участка. Дальнейшее увеличение т малоэффективно и может быть экономически неоправданным. При этом, чем ниже надежность линии, чем больше позиций она имеет, тем выше эффективность деления линии на участки.
По принципу действия и влиянию на работу линии различают накопители тупиковые и сквозные. Тупиковый накопитель 1 работает на прием или выдачу заготовок только в случаях отказов соседних участков, /и //. Тупиковые накопители обычно устанавливаются между участками с низкой надежностью, станкоемкости которых примерно одинаковы.
Сквозной накопитель 2 работает постоянно в режимах приема, выдачи, свободного пропуска заготовок. Помимо своей основной задачи этот накопитель может в определенной степени нивелировать различную станкоемкость соседних участков // и III. Сквозной накопитель также используют для изменения ориентации заготовок.
6. Виды спутниковых линий и области их применения
По способу баирования заготовок различают спутниковые и бесспутниковые линии.
Бесспутниковые линии позволяют обрабатывать заготовки, транспортировка, ориентация и установка которых на линии не вызывает технических трудностей. К таким заготовкам относятся валы, диски, которые имеют оси или плоскости симметрии и потому хорошо сохраняют устойчивость при транспортировке.

Бесспутниковые линии могут быть с жесткой и гибкой связью, циклического и непрерывного действия, с боковым или верхним расположением транспорта.
Стремление автоматизировать обработку деталей сложной формы, неудобных для транспортировки и установки, привело к созданию спутниковой линии. На этих линиях заготовки устанавливаются в специальные приспособления — спутники. Спутник перемещается с заготовкой по всей линии, фиксируется и закрепляется вместе с заготовкой на рабочих позициях. При этом заготовка не меняет своего положения относительно спутника.
Спутниковые линии, как правило, работают с жесткой связью, имеют сквозное расположение транспорта и циклический принцип действия. На спутниковых линиях удобно и эффективно применять агрегатное технологическое оборудование. Агрегатное оборудование компактно, имеет высокую ремонтопригодность и позволяет вести обработку в различных направлениях (сверху, снизу, под углом) с высокой степенью концентрации операций. Основу агрегатного оборудования составляют силовые головки. На спутниковых линиях наибольшее применение находят силовые головки с гидравлическим механизмом подачи.
Схема гидравлической головки АМО «ЗиЛ». От электродвигателя 1 через ременную передачу 11 и редуктор 2 вращение перелается шпинделю 3. Последний размещается внутри пиноли 4, которая одновременно являете штоком гидроцилиндра 5 механизма подачи.

Привод подачи головки осуществляется от насоса 10 переменной производительности. Автоматическое изменение производительности насоса производится за счет изменения угла наклона качающейся плиты 8, которая контактирует с плунжерами 7 и 9 насоса. Изменение угла поворота дросселя 6 регулирует давление масла под плунжерами, и тем самым задается производительность насоса в соответствии с необходимой величиной подачи пиноли со шпинделем.
Основным недостатком агрегатного оборудования является недостаточная жесткость силовых головок, что снижает их способ-юность вести обработку с высокой точностью и большой мощностью. Низкая жесткость обусловлена большим количеством соединений (стыков) агрегатов при сборке оборудования. Поэтому агрегатное оборудование рекомендуется применять в основном на операциях сверления, развертывания, растачивания, нарезания резьбы отверстий небольшого диаметра, мелкого фрезерования, т.е. в тех случаях, когда не требуется больших усилий обработки.
Компоновка спутниковых линий во многом определяется способом возврата спутников на исходную позицию. Наиболее распространен вариант, при котором транспортер возврата спутников имеет боковое расположение относительно рабочего транспортера. Схему такой линии для обработки отверстий корпусной детали.
Схема с боковым расположением транспортера возврата спутников не имеет ограничений для установки оборудования, что дает возможность вести обработку детали в любых направлениях. Схема удобна для обслуживания, может применяться для крупных деталей и технологических процессов с большим числом позиций, например для обработки картеров мостов автомобилей, корпусов редукторов, блоков цилиндров двигателей и других деталей. Одним словом, схема имеет большие технологические возможности. Ее основной недостаток — потребность в больших производственных площадях.
Спутниковые линии, как правило, имеют сквозное расположение транспортера, когда транспортер проходит через рабочие зоны оборудования. В этом случае транспортер работает в более тяжелых условиях по сравнению с боковым или верхним расположением рабочего транспортера, так как находится пол влиянием нагрузок, вибрации и отходов (стружки, охлаждающей дикости, пыли, грязи). Поэтому сквозной транспортер должен отвечать повышенным требованиям эксплуатационной надежности.

Помимо своей основной функции сквозной транспортер принимает участие в фиксации и закреплении спутников на рабочих позициях линии. Это существенно усложняет конструкцию транспортера, повышает его стоимость и ставит техническую задачу обеспечения точности установки спутников.
Способ с верхним расположением транспортера возврата спутников встречается значительно реже. После обработки на линии деталь вместе со спутником перегружателем 2 поднимается и выталкивается на транспортер возврата спутников 7, который представляет собой наклонный рольганг. По рольгангу с помощью перегружателя 7 спутник опускается на позицию разгрузки-загрузки. На этой позиции готовая деталь снимается со спутника, а в спутник устанавливается очередная заготовка. Несмотря на экономию производственных площадей, такая схема крайне неудобна в обслуживании, громоздка для технологических процессов с большим числом позиций и вносит существенные ограничения в установку оборудования.
Схема спутниковой линии с нижним расположением транспортера возврата спутников наиболее компактна. Однако такое расположение транспортера возврата спутников предъявляет особые требования к конструкции корпуса станка, которые не всегда выполнимы.

Кроме того, в этом случае транспортер возврата подвержен попаданию на него охлаждающей жидкости, стружки, масла и других производственных отходов, что снижает надежность транспортера и повышает его стоимость.
Поэтому для механообработки такая схема спутниковой линии применяется редко. В основном она применяется для сборочных процессов, где нет производственных отходов, и спутники 7 можно изготовить в виде плоских падет (поддонов), удобных для нижней транспортировки под сборочными стендами 2. Ленточный или пластинчатый транспортер 3 имеет принудительное постоянное перемещение от ведущего колеса 8. При остановке палет в случаях, когда загружен сборочный стенд, рабочий транспортер проскальзывает относительно палет, создавая запас объектов сборки на линии.
При переходе на транспортер возврата палеты закрепляются на транспортере и перемещаются с ним как одно целое. Такое построение линии дает возможность сборочным стендам работать несинхронно, что очень важно.
Применение спутников значительно расширило, крут деталей и агрегатов машин, которые стало возможным обрабатывать и собирать на автоматических линиях. Существенно упростилась установка заготовок на рабочих позициях линии. Появилась возможность создавать линии с замкнутым контуром и осуществлять загрузкуy и разгрузку линии на одной позиции. Это удобно и для автоматизации загрузочной позиции, и для обслуживания ее человеком.
В спутниковых линиях заготовки обрабатываются с одной установки от постоянных баз, это повышает точность обработки.
Вместе с тем спутниковые линии имеют ряд недостатков. Основной из них — более высокая стоимость. Спутники представляют собой сложные специальные приспособления. Количество спутников должно быть больше, чем рабочих позиций на линии. Для возврата спутников на исходную позицию требуется специальный транспортер.
Все это вызывает усложнение линии, повышает ее стоимость
(около 40%) и требует дополнительных производственных площадей. Кроме того, для установки на спутник требуется предварительная обработка у заготовки базовых поверхностей, которая обычно выполняется вне линии на специальном оборудовании. Это затрудняет автоматизацию всего технического процесса обработки детали.
7. Оборудование эффективно применяемое на автоматических линиях
Как уже было сказано, автоматические линии могут оснащаться агрегатными специальными или универсальными станками. Линии из агрегатных станков находят наибольшее распространение при организации нового производства или при капитальной реконструкции предприятия Опыт отечественного и зарубежного машиностроения показал целесообразность внедрения переналаживаемых автоматических линий. В связи с этим создаются модели агрегатных станков, имеющих постоянные агрегатные столы и сменные силовые головки, устанавливаемые на них. Линии из специальных станков применяются редко. Стоимость таких линий высока и сроки освоения их длительны, так как приходится проектировать, а затем осваивать в производственных условиях каждый станок линии. Кроме того, оборудование этих линий невозможно использовать для производства других деталей. Автоматические линии из специальных станков находят применение для сравнительно несложных (при небольшом числе операций) технологических процессов. Станки часто монтируют на; одной станине, как, например, в линиях для обработки корпусов валов, сегментов пишущих машинок и пр. Автоматическая линия для обработки сегментов пишущих машинок. Сегменты в приспособлениях устанавливаются на бесконечном ленточном транспортере – столе 5и обрабатываются в различных позициях инструментом силовых головок 1, 2, 4, 5 и 6. Линии из обычных агрегатных или специальных станков обладают тем недостатком, что на них утрачивается маневренность производства' и имеет место так называемый консерватизм технологии, т. е. затрудняется возможность изменения технологий обработки данного изделия, а также быстрого перехода от производства одного изделия к другому.

Автоматическая линия дляобработки сегментов пишущих машинок (1, 2, 4, 5, 6 – силовые головки; 3 – стол ленточного транспортера) Автоматическое оборудование специализировано и приспособлено к производству только одного какого-либо вида продукции. Это привело к тому, что в последнее время широкое распространение полумили автоматические линии из типового универсального оборудования, т. е. из автоматизированных станков обычных типов: токарных, сверлильных, фрезерных, зубофрезерных, шлифовальных и т. п. Конечно, эти станки должны быть соответствующим образом приспособлены для встройки в автоматическую линию. Использование универсального оборудования позволяет снизить сроки изготовления автоматических линий, увеличивает надежность работы и обеспечивает возможность переналадки их на разные типоразмеры деталей или на новый объект производства. /
Наряду с созданием линий из нового оборудования весьма эффективна постройка линии на основе использования действующего оборудования, модернизированного соответствующим образом. Создание таких линий требует меньших капиталовложений и меньше времени на их изготовление и освоение.
Компоновка оборудования. Автоматические линии представляют собой сложную систему станков и различного вида автоматических устройств. Поэтому потеря работоспособности линии может произойти из-за отказа инструмента, приспособления, механических, гидравлических, электрических и пневматических устройств, рабочих органов межоперационного транспорта, автоматических средств технического контроля и т. д. В связи с этим необходимо так скомпоновывать оборудование, чтобы временные остановки агрегатов не влияли на работу всей линии. В отношении организации потока и компоновки автоматические станочные линии выполняют в трех вариантах.
Безбункерные автоматические линии. На таких линиях вырабатывают обычно корпусные детали: блоки цилиндров, корпуса коробок скоростей автомобиля и т. п. Заготовка проходит всю линию, перемещаясь общим транспортером последовательно с одной рабочей позиции на другую величину расстояния между позициями t (прямоточная линия) или на величину размера заготовки d (поточные линии).
Бункерные автоматические линии. Они состоят из отдельных автоматических станков, снабженных механизмами питания – бункерами Б и связанных друг с другом транспортерами, передающими обрабатываемые детали с одной позиции на другую.




Шаговый штанговый транспортер с флажками (1 – направляющая, 2 – плита с поршнем, 3 – штанга с флажками, 4 – фасонные козырьки флажки, 5 – движущаяся штанга)
3. Автоматические линии с приемникам и накопителями. В этом случае линия делится на отдельные участки, между которыми размещаются промежуточные накопители запасов полуфабрикатов Б (бункерно-прямоточные и бункерно-поточные линии,). При таком варианте временная потеря работоспособности какого-либо участка не приводит к остановке всей линии. Задача при проектировании линии в этом случае сводится к выбору места установки и количества бункеров.
Транспортные устройства. Выбор системы транспортирования является одним из наиболее существенных вопросов компоновки автоматических линий.. Транспортные устройства перемещают заготовки с одной рабочей позиции на другую, изменяя их ориентацию (в поворотных устройствах), убирают стружку и т. д.
Основными видами транспорта автоматических линий являются шаговые транспортеры, подъемники, распределительные транспортеры, манипуляторы, поворотные устройства, транспортеры для уборки стружки и пр. Шаговые транспортеры бывают с собачками, с флажками, грейферные, сейнерные, толкающие и цепные. Шаговые транспортеры с собачками получили наибольшее распространение. При работе они совершают периодическое возвратно-поступательное движение. Конструкция такого транспортера представлена. На штанге 1, проходящей через весь сблокированный участок автоматической линии, шарнирно закреплены собачки 3, которые под действием пружины 2 (или противовесов), стремятся подняться над уровнем штанги. В момент возврата транспортера зафиксированные на позициях детали 4 собачки. Пройдя под деталями, собачки вновь поднимаются и готовы для захвата очередной детали при движении транспортера вперед. Преимущество транспортера с собачками — простота движения и соответствующая ей простота привода от гидро или пневмоцилиндра. Шаговые штанговые транспортеры с флажками применяются, например, на механическом участке автоматического завода поршней. Приспособления-спутники с установленными на них- поршнями перемещаются по направляющему рельсу 1 возвратно-поступательно движущейся штангой 5 круглого сечения, на которой секциями закреплены фасонные козырьки-флажки 4. В исходном положении круглой штанги флажки приподняты. Для перемещения поршней 3 штанга вместе с флажками поворачивается на 45 в сторону рельса 1. Каждый вырез флажка охватывает одну плитку 2 с установленным на ней поршнем. При движении штанги вперед перемещаются в том же направлении одновременно четыре поршня на одну позицию по всей линии. После этого штанга поворачивается в первоначальное положение и возвращается обратно.

Шахматный магазин транзитного типа (1 – приемный лоток, 2 – эскалатор, 3 – змеевидный лоток, 4 – транспортер, 5 – рычяжной отсекатель)
Обрабатываемые детали перемещаются жесткими (не поворачивающимися) флажками. Конструктивно такие транспортеры обычно сложны и применяются только в тех случаях, когда подход к захватываемым деталям может быть лишь с определенной стороны, причем посадка транспортируемых деталей на позициях такова, что для перемещения их с одной позиции на другую транспортер должен, поднять деталь вверх.
Сейнерные шаговые транспортеры представляют собой усложненный вид грейферных. Устройство их такое же. Детали перемещаются не флажками, а закрепленными на штангах захватами, которые обычно расположены сверху. Эти транспортеры требуют сложных надстроек над линиями. Однако для некоторых автоматических линий, например, для обработки валов, применение сейнерных транспортеров в ряде
случаев оправдано. Толкающие шаговые транспортеры самые простые. В них толкатель (обычно гидро или пневмоцилиндра) непосредственно воздействует на последнюю из вплотную расположенных деталей; в результате вся колонна деталей при ходе толкателя движется одновременно. Цепные транспортеры широко применяют как средство непрерывного транспорта; в качестве шаговых их применяют лишь в единичных случаях. Базирование деталей, перемещаемых звеньями цепи, на позициях почти неосуществимо. Можно только шаг перемещения сделать больше расстояния между позициями и предусмотреть на позициях автоматической линии выдвижные упоры. При этом свободно лежащие на звеньях детали всегда будут досланы до упора.
Агрегаты для накопления и выдачи заготовок. В местах деления автоматической Линии на участки, как указывалось выше, целесообразно располагать промежуточные запасы заготовок, с тем чтобы питать последующие участки линии при остановке предыдущих. Накопление запасов заготовок должно происходить в специальных агрегатах, которые принимают полуфабрикаты от предыдущего участка линии и передают их последующему (при нормальной работе), либо принимают от предыдущего и накапливают (при простоте последующего участка), или, наконец, питают последующий участок за счет своих накоплений (при остановке предыдущего участка). На автоматических линиях бункерного типа при обработке мелких детален эти функции выполняют бункерные загрузочные устройства, а при обработке крупных деталей, которые не могут поместится в бункере, промежуточные магазины транзитного или складского типа.
Транзитный магазин (1 – собачка, 2 – эскалатор, 3 – промежуточный лоток, 4 – гнездо барабана, 5,6 – поштучная выдача, 7 - поперечный транспортер)

Промежуточный магазин (1 – собачка, 2 – приемный лоток, 3 – шахта магазина, 4 – переключатель, 5 – выдающий лоток)
Показан шахтный магазин транзитного типа. Детали, поступающие по приемному лотку 1, эскалатором 2 подаются к змеевидному лотку 3 и под действием силы тяжести спускаются к транспортеру 4. Детали выдаются по одной рычажным отсекателем 5. Обычно лоток 3 заполнен лишь частично, и при остановке последующего участка линии запас деталей в магазине увеличивается в результате заполнения этого лотка. При остановке же предыдущего участка последующий продолжает получать заготовки за счет запаса, имеющегося в магазине.
Приведен другой тип транзитного магазина. Детали через приемный лоток 1, эскалатор 2 и промежуточный лоток 3 попадают в гнездо барабана 4, который, поворачиваясь, передает их через механизм поштучной выдачи 5-6 на поперечный транспортер 7 для дальнейшей передачи. В случае заполнения гнезд барабана 4 предыдущий участок линии автоматически отключается.
Показан промежуточный магазин складского типа. Детали через приемный лоток 2 могут, в зависимости от положения переключателя 4>У> либо подаваться на дальнейшую обработку либо при повороте переключателя на некоторый угол против часовой стрелки накапливаться в шахте 3 магазина. Собачка 1 в этом случае удерживает детали в магазине. При работе на расходование запаса, при повороте переключателя по часовой стрелке, детали из магазина поступают под действием силы тяжести в выдающий лоток 5. Загрузочные устройства. Автоматизация процессов установки, фиксации и зажима деталей на автоматической линии осуществляется различными методами. При едином транспортном устройстве, когда базовыми поверхностями или с помощью плит-спутников скользят в направляющих транспортера.
Имеют своим назначением привести заготовки, находящиеся в бункере, в определенное ориентированное положение и выдать их в магазин. С бункерным устройством работают питатели, подающие заготовки из магазина в зажимной орган станка.
Показана схема магазинного загрузочного устройства. В магазин 1 заготовки загружаются вручную и питателем 4 подаются в рабочую зону 5. Эксцентрик 2 и пружина 3 сообщают питателю возвратно-поступательное движение, причем подача заготовки в рабочую зону осуществляется пружиной, а отвод питателя вправо — эксцентриком.
Схема бункерного загрузочного устройства. В бункер 7 заготовки загружают навалом. Толкатель 6 подает их в магазин /. Неправильно ориентированные заготовки звездочкой 8 сбрасываются обратно в бункер. Из магазина заготовки питателем 4 подаются в рабочую зону 5.
Питатели, как отмечалось ранее, служат для передачи заготовок из магазина в рабочую, зону.
Шиберный питатель. Из лотка 5 заготовка 4 попадает в зев питателя i, где удерживается прижимной губкой 2 с пружиной 3. При каждом двойном ходе питателя одна заготовка попадает в рабочую зону, где захватывается зажимным устройством. При отходе питателя в исходное, правое положение прижимная губка поворачивается вокруг своей оси и освобождает деталь.
Мотылевый питатель 5. Заготовка 4 питателем 1;подается в рабочую зону. При повороте питателя в крайнее правое положение очередная заготовка попадает из магазина 5 в зев питателя, где удерживается прижимной губкой 2 с помощью пружины 3, Таким образом, при каждом двойном качании питателя последний переносит из магазина в рабочую зону одну заготовку.

Магазинные загрузочные устройства (а. 1 – магазин, 2 - эксцентрик, 3 – пружина, 4 – питатель, 5 – рабочая зона; б. 1 – магазин, 2 – эксцентрик, 3 – пружина, 4 – питатель, 5 – рабочая зона, 6 – толкатель, 7 – бункер, 8 – звездочка)
Отсекатели предназначены для поштучной выдачи заготовок из магазина или бункера в рабочую зону. Штифтовой отсекатель с двумя штифтами 3 и 4. При левом положении штанги 5 отсекателя штифт 3 удерживает запас заготовок 2 в магазине /, кроме нижней заготовки, которая свободно проходит в зев питателя. В правом положении штанги 5 заготовки опускаются до удерживающего их штифта 4. Таким образом, при каждом двойном ходе штанги со штифтами из магазина выдается одна заготовка.
Барабанный (дисковый) отсекатель. При вращении барабана 6 с установленной скоростью заготовки 2 поштучно через заданный промежуток времени поступают из магазина через канал 1 к питателю, либо непосредственно к месту обработки или к зажимному устройству.