Выпарной аппарат с вынесенной греющей камерой (работа 1)
Введение
Теплообменом называется процесс переноса теплоты, происходящий между телами, имеющими различную температуру. В результате передачи теплоты происходят: нагревание – охлаждение, парообразование – конденсация, плавление – кристаллизация. Теплообмен имеет важное значение для проведения процессов выпаривания, сушки, перегонки и др.
Движущей силой процесса теплообмена является разность температур.
Вещества и тела, участвующие в процессе теплообмена, называются теплоносителями. Теплоносители с более высокой температурой, отдающие теплоту в процессе теплообмена, называются горячим теплоносителем. Вещества с более низкой температурой, воспринимающие теплоту в процессе теплообмена, называются холодными теплоносителями.
Существует два основных способа проведения тепловых процессов: путем непосредственного соприкосновения теплоносителей и передачей тепла через стенку, разделяющую теплоносители.
При передаче тепла непосредственным соприкосновением теплоносителей обычно смешиваются друг с другом, что не всегда допустимо, поэтому способ применяется редко, хотя он проще в аппаратурном оформлении.
При передаче тепла через стенку теплоносители не смешиваются, и каждый из них движется по отдельному каналу; поверхность стенки, разделяющей теплоносители, используется для передачи тепла и называется поверхностью теплообмена и является основным расчетным конструктивным параметром теплообменных аппаратов (теплообменников).
Выпаривание – процесс концентрирования растворов твердых нелетучих веществ или мало летучих веществ путем частичного испарения растворителя при кипении жидкости.
В ряде случаев при выпаривании растворов твёрдых веществ достигается насыщение раствора; при дальнейшем удалении растворителя из такого раствора происходит кристаллизация, то есть выделение из него растворенного твёрдого вещества. Применяется для концентрирования растворов нелетучих веществ.
Получение высококонцентрированных растворов, практически сухих и кристаллических продуктов облегчает и удешевляет их перевозку и хранение.
В промышленности в большинстве случаев выпариваются водные растворы различных веществ.
Тепло для выпаривания можно подводить любыми теплоносителями, применяемыми при нагревании. Для нагрева выпариваемых растворов до кипения используют топочные газы, электрообогрев, но наибольшее применение находит водяной пар (характеризуется высоким коэффициентом теплоотдачи).
Выпаривание ведут как под атмосферным, так и под пониженным или повышенным давлением.
Используют в производстве минеральных удобрений, сахара, кормовых дрожжей. Также применяют при концентрировании водных растворов щелочей (едкое кали и едкий натр), солей.
Техническая часть
1.1 Сравнительная характеристика аппаратов для данного процесса
Теплообменники – устройства, в которых осуществляется теплообмен между греющей и нагреваемой средами.
В теплообменных аппаратах могут происходить различные тепловые реакции: нагревание, охлаждение, испарение, конденсация, кипение, затвердевание и сложные комбинированные процессы. Теплообменные аппараты применяются практически во всех отраслях промышленности и, в зависимости от назначения, называются подогревателями, испарителями, конденсаторами, регенераторами, парообразователями, кипятильниками, выпарными аппаратами и т.д.
В зависимости от назначения производственных процессов в качестве теплоносителей могут применяться самые различные газообразные, жидкие и твердые среды.
Установки, состоящие из одиночного аппарата вторичный пар, из которого не используется (при выпаривании под атмосферным давлением или при разряжении) или используется вне аппарата, называются однокорпусными выпарными установками.
Большим распространением пользуются многокорпусные выпарные установки, включающие несколько соединённых друг с другом аппаратов (корпусов), работающих под давлением, понижающимся по направлению от первого корпуса к последнему. В таких установках можно применять вторичный пар, образующийся в каждом предыдущем корпусе, для обогрева последующего корпуса. При этом свежим паром обогревается только первый корпус. Образующийся в первом корпусе вторичный пар направляется на обогрев второго корпуса, в котором давление ниже и т.д., вторичный пар из последнего корпуса поступает в конденсатор или используется вне установки.
Таким образом, в многокорпусных выпарных установках осуществляется многократное использование одного и того же количества тепла (тепла, отдаваемого греющим паром в первом корпусе), это позволяет сэкономить значительное количество потребляемого свежего пара.
Устройство выпарных аппаратов.
Наибольшее распространение получили выпарные аппараты с паровым обогревом, имеющие поверхность теплообмена, выполненную из труб. Выпарные аппараты с паровым обогревом состоят из двух основных частей:
а) кипятильник (греющая камера), в котором расположена поверхность теплообмена и происходит выпаривание раствора;
б) сепаратор – пространство, в котором вторичный пар отделяется от раствора.
Необходимость в сепараторе составляет основное конструктивное отличие выпарных аппаратов от теплообменников. В зависимости от характера движения кипящей жидкости в выпарном аппарате различают:
Выпарные аппараты со свободной циркуляцией;
Выпарные аппараты с принудительной циркуляцией;
Выпарные аппараты с естественной циркуляцией;
Плёночные выпарные аппараты.
Выпарные аппараты со свободной циркуляцией.
В этих аппаратах неподвижный или медленно движущийся раствор находится снаружи труб. К данной группе относятся аппараты, выполненные в виде чаш или котлов, поверхность теплообмена образована стенками аппарата.






















































































































































































Рисунок 1. Выпарной аппарат с горизонтальными трубами
Выпарные аппараты с горизонтальными трубами (пар пропускается по трубам, жидкость – снаружи труб) могут быть изготовлены со значительными поверхностями теплообмена – до 800 м2 и более. Для компенсации удлинения труб и разборки аппарата с целью очистки крепление труб в трубных решётках делают на сальниках или применяют U- образные трубы.
Основным недостатком является трудность очистки межтрубного пространства, вследствие чего они не пригодны для выпаривания кристаллизующихся растворов. Кроме того, такие аппараты имеют невысокий коэффициент теплопередачи, громоздки и требуют значительного количества металла для изготовления. В настоящее время они применяются редко, вытесняясь более совершенными конструкциями.
Выпарные аппараты с естественной циркуляцией.

1 – циркуляционная труба; 2 – кипятильная труба.
Рисунок 2. Схема естественной циркуляции.
Естественная циркуляция возникает в замкнутой системе, состоящей из необогреваемой циркуляционной (опускной) трубы 1 и обогреваемых подъёмных труб 2. Если жидкость в подъёмных трубах нагрета до кипения, то в результате испарения части жидкости в этой трубе образуется парожидкостная смесь, плотность которой меньше плотности самой жидкости. Таким образом, вес столба жидкости в циркуляционной трубе больше, чем в подъёмных трубах, вследствие чего происходит упорядоченное движение (циркуляция) кипящей жидкости по пути: подъёмные трубы → паровое пространство → опускная труба → подъёмные трубы и т. д.
Для естественной циркуляции требуется два условия:
Достаточная высота уровня жидкости в опускной трубе, чтобы уравновесить столб парожидкостной смеси в кипятильных трубах и сообщить этой смеси необходимую скорость;
Достаточная интенсивность парообразования в кипятильных трубах, чтобы парожидкостная смесь имела, возможно, малую плотность.
При небольшом уровне жидкости в опускной трубе парожидкостная смесь не может подняться до верха кипятильных труб; при этом не происходит циркуляции, и работа аппарата сопровождается резким снижением производительности и быстрым покрыванием труб накипью.
Выпарной аппарат с центральной циркуляционной трубой является одной из наиболее старых, но широко распространенных конструкций.

1 – корпус; 2 – кипятильные трубы; 3 – циркуляционная труба; 4 – сепаратор; 5 – отбойник.
Рисунок 3. Выпарной аппарат с центральной циркуляционной трубой
Греющая камера состоит из ряда вертикальных кипятильных труб 2, обогреваемых снаружи паром. По оси греющей камеры расположена циркуляционная труба 3 значительно большего диаметра, чем кипятильные трубы. Греющий пар подаётся в межтрубное пространство, конденсируется и отводится из аппарата в виде конденсата. Упаренный раствор также непрерывно удаляется через штуцер, находящийся в днище аппарата. Парообразование внутри центральной трубы значительно меньше, чем в кипятильных трубах, так как за единицу объёма жидкости в ней приходится меньшая теплопередающая поверхность. Раствор выдавливается в кипятильные трубки, поднимается по ним вверх, частично выпаривается и, освобождённый вверху от пара, возвращается вниз по центральной трубе. Образующийся пар удаляется в верхней части аппарата, пройдя предварительно через каплеуловитель.
Недостатки аппарата: жёсткая конструкция греющей камеры, не имеющая температурной компенсации.
Достоинства: простота конструкции и легкость доступа для чистки и ремонта.
Выпарной аппарат с подвесной греющей камерой состоит из греющей камеры 2, которая свободно подвешивается внутри корпуса 1, опираясь на лапы.

1 – корпус; 2 – кожух греющей камеры; 3 – кипятильные трубы; 4 – труба для подвода пара к греющей камере.
Рисунок 4. Выпарной аппарат с подвесной греющей камерой
Греющий пар подаётся в межтрубное пространство нагревательной камеры по трубе 4. Образующийся вторичный пар проходит сепаратор над греющими трубками и далее инерционный каплеуловитель, из которого уловленная жидкость стекает вниз по трубе.
Принцип циркуляции:
Малоэмульгированный раствор из-за большой плотности опускается вниз по кольцевому пространству между корпусом аппарата и нагревательной камерой, передавливая вверх постоянно образующуюся в трубках более лёгкою парожидкостную эмульсию.
Погружение нагревательной камеры в выпариваемую среду препятствует возникновению температурных напряжений, так как в этом случае корпус камеры и трубки находятся в одинаковых температурных условиях.
Недостатками являются усложнение конструкции и большие габариты.
Достоинства – повышенный коэффициент теплопередачи за счет хорошего охлаждения раствора в кольцевом пространстве и легкость выемки греющей камеры из аппарата для чистки, ремонта или замены.
Выпарной аппарат с вынесенной греющей камерой состоит из нагревательной камеры (кипятильника) 1, представляющей собой пучок труб, сепаратора 3 и циркуляционной трубы 4, присоединенной к нижней растворной камере.

1 – кипятильник; 2 - труба для парожидкостной смеси; 3 – сепаратор; 4 – циркуляционная труба.
Рисунок 5. Выпарной аппарат с вынесенной греющей камерой
Выпариваемый раствор, поднимаясь по трубкам, нагревается и по мере подъема вскипает. Образовавшаяся парожидкостная смесь направляется в сепаратор, где происходит разделение жидкой и паровой фаз. Вторичный пар, пройдя сепаратор и брызгоуловитель, освобождается от капель, а раствор возвращается по циркуляционной трубе в греющую камеру.
Высота трубок в таких аппаратах составляет 5 … 7 м. Сечение циркуляционной трубы равно или больше площади поперечного сечения всех кипятильных трубок. В результате значительной скорости циркуляционного раствора повышается коэффициент теплоотдачи и уменьшается опасность отложения пристенных осадков.
Чистка и замена трубок выпарных аппаратов с выносной греющей камерой достаточно удобны.
Так же в промышленности применяют выпарные аппараты:
С поднимающейся плёнкой;
С падающей плёнкой;
роторный прямоточный аппарат;
барботажный выпарной аппарат;
С погружными горелками.
1.2 Физико-химическая характеристика продуктов заданного процесса
Гидроокись
натрия (едкий натр) NaOH – бесцветные
кристаллы. Плотность 2,13 кг/м3,
температура кипения 13780С,
температура плавления 3200С.
Теплота образования H =
ккал/моль.
Давление пара 0,1 мм. рт. ст.). Теплоёмкость
19,2 кал/моль·град. Технический продукт
- белая твёрдая непрозрачная масса. С
водой реакция экзотермическая, т.е. с
выделением тепла.
Едкий натр растворим в метиловом и этиловом спиртах, практически нерастворим в жидком аммиаке и большинстве органических растворителей. Расплавленная гидроокись натрия растворяет металлический натрий и гидрид натрия. Разрушает кожу и бумагу, а так же другие материалы органического происхождения. На кожу и слизистые оболочки действует прижигающее. Особенно опасно попадание даже малейших её количеств в глаза. Все работы с едким натрием должны проводиться в резиновых перчатках и очках.
Гидроокись натрия получают электрохимическим и химическим методами. Электрохимическое получение основано на электролизе растворов NaCI; одновременно получается хлор. В промышленности для получения щёлочи и хлора применяют два типа ванн: с твёрдыми электродами и прочным электролитом, движущимися от анода к катоду, и с ртутным катодом. Электролиз ведут при 60-900С.
Химический способ получения едкого натра основан на взаимодействии горячего раствора карбоната натрия с известью, в результате которого образуются 10-12%-ные растворы NaOH.
Гидроокись натрия является одним из основных продуктов химической промышленности и широко применяется как в самой химической промышленности, так и во многих других производствах.
Вода H>2>O- главное и наиболее распространённое химическое соединение на нашей планете - обязательный компонент всех живых организмов (составляющий до 99% их массы), главный компонент среды их пребывания, а также большинства продуктов питания.
Наибольшие запасы содержатся в гидросфере – 96% в мировом океане, остальные запасы воды - это реки, озёра, ледники, подземные и почвенные воды; 3% воды – пресные. Воды является наиболее изученным соединением; её свойства использованы при определении единиц измерения физических величин (плотность, температура, теплота, теплоёмкость).
Является хорошим сильнополярным растворителем. В природных
условиях всегда содержит растворённые вещества (соли, газы).
Вода – единственное химическое соединение, которое в природе может находиться в жидком, твёрдом и газообразном состояниях одновременно. Чистая вода – прозрачная, бесцветная жидкость без запаха и вкуса. Многие её физические свойства и их изменения имеют аномальный характер.
Вода обладает рядом необычных особенностей:
– При таянии льда его плотность увеличивается (с 0,9 до 1 г/см³), когда почти у всех остальных веществ при плавлении плотность уменьшается.
– Высокая теплоёмкость жидкой воды.
– Высокое поверхностное натяжение.
Температура
замерзания – 0010009000003f004000000004c03000000004c03000026060f008e06574d46430100000000000100de1c00000000010000006c060000000000006c060000010000006c0000000000000000000000120000001c0000000000000000000000f1010000f702000020454d46000001006c0600000c00000001000000000000000000000000000000900600001a040000b801000013010000000000000000000000000000c0b6060038320400460000002c00000020000000454d462b014001001c000000100000000210c0db01000000600000006000000046000000f4010000e8010000454d462b224004000c000000000000001e4009000c00000000000000244001000c000000000000003040020010000000040000000000803f214007000c000000000000000840000540010000340100000210c0db01000000000000000000000000000000000000000100000089504e470d0a1a0a0000000d49484452000000130000001d08030000007f84a78e000000017352474200aece1ce9000000097048597300000ec400000ec401952b0e1b00000042504c544500000000004800007400489c0074bf48000048007448489c489cdf74000074bfff9c48009cdfffbf7400bfffffdf9c48dfffffffbf74ffdf9cffffbfffffdfffffff25049bae0000006d4944415428cfbd90c70e80300c43cd2e23a583fcffafd2428a5a7164f8143d29896df05d789d6d33d01eb3eb10d4186cb362a608092af2c05cafc334185e2362b619f363add3bd7357b195a3f90f592dbc3c61c50f51347bcb4b9892e78bf9b15a245bd607413af8a5fbefd90e88f728711999dadb0000000049454e44ae42608200000840010824000000180000000210c0db01000000030000000000000000000000000000001b40000040000000340000000100000002000000000000bf000000bf000098410000e84103000000000080b3000080b3ffff9741000080b3000080b3ffffe7412100000008000000620000000c00000001000000150000000c00000004000000150000000c0000000400000051000000140300000000000000000000120000001c00000000000000000000000000000000000000130000001d0000005000000080000000d000000044020000000000002000cc00130000001d00000028000000130000001d0000000100080000000000000000000000000000000000160000000000000000000000ffffff00dfffff0000489c00bf7400009cdfff00000048009c480000ffffdf00df9c48000074bf0074004800ffffbf009c484800489cdf0074bfff00bfffff000000740074000000ffbf740048000000ffdf9c00010101010101010101010101010101010101010001010101010101010101010101010101010101000101010101010101010101010101010101010100010101010101010101010101010101010101010001010101010101010101010101010101010101000101010101010101010101010101010101010100010101010101010101010101010101010101010001010101010101010101010101010101010101000101010101010101010101010101010101010100010101010101010101010101010101010101010001010101010101010101010a000000000007080001010101010101010110111415010105060708000101010101010101010a0013010101010f070800010101010101010105060708010101010101010001010101010101010f000401010101010101010001010101010101010e000901010101010101010001010101010101010e000901010101010101010001010101010101010e000901010101010101010001020300000401010e000901010101010101010002030901010a09010f0004010101010101010100050b0c0101050d081011120c0101010101010100050b0c0101050d08010e0009010101010f07080002030901010a040101010a0009010105060708000102030000040101010101050600000000070800010101010101010101010101010101010101010001010101010101010101010101010101010101000101010101010101010101010101010101010100010101010101010101010101010101010101010001010101010101010101010101010101010101004c000000640000000000000000000000120000001c0000000000000000000000130000001d0000002900aa0000000000000000000000803f00000000000000000000803f0000000000000000000000000000000000000000000000000000000000000000220000000c000000ffffffff460000001c00000010000000454d462b024000000c000000000000000e000000140000000000000010000000140000000400000003010800050000000b0200000000050000000c021d001300030000001e00040000000701040004000000070104006f010000410b2000cc001d001300000000001d0013000000000028000000130000001d0000000100080000000000000000000000000000000000160000000000000000000000ffffff00dfffff0000489c00bf7400009cdfff00000048009c480000ffffdf00df9c48000074bf0074004800ffffbf009c484800489cdf0074bfff00bfffff000000740074000000ffbf740048000000ffdf9c00010101010101010101010101010101010101010001010101010101010101010101010101010101000101010101010101010101010101010101010100010101010101010101010101010101010101010001010101010101010101010101010101010101000101010101010101010101010101010101010100010101010101010101010101010101010101010001010101010101010101010101010101010101000101010101010101010101010101010101010100010101010101010101010101010101010101010001010101010101010101010a000000000007080001010101010101010110111415010105060708000101010101010101010a0013010101010f070800010101010101010105060708010101010101010001010101010101010f000401010101010101010001010101010101010e000901010101010101010001010101010101010e000901010101010101010001010101010101010e000901010101010101010001020300000401010e000901010101010101010002030901010a09010f0004010101010101010100050b0c0101050d081011120c0101010101010100050b0c0101050d08010e0009010101010f07080002030901010a040101010a0009010105060708000102030000040101010101050600000000070800010101010101010101010101010101010101010001010101010101010101010101010101010101000101010101010101010101010101010101010100010101010101010101010101010101010101010001010101010101010101010101010101010101000c00000040092900aa000000000000001d00130000000000040000002701ffff030000000000
;
температура кипения – 100010009000003f004000000004c03000000004c03000026060f008e06574d46430100000000000100de1c00000000010000006c060000000000006c060000010000006c0000000000000000000000120000001c0000000000000000000000f1010000f702000020454d46000001006c0600000c00000001000000000000000000000000000000900600001a040000b801000013010000000000000000000000000000c0b6060038320400460000002c00000020000000454d462b014001001c000000100000000210c0db01000000600000006000000046000000f4010000e8010000454d462b224004000c000000000000001e4009000c00000000000000244001000c000000000000003040020010000000040000000000803f214007000c000000000000000840000540010000340100000210c0db01000000000000000000000000000000000000000100000089504e470d0a1a0a0000000d49484452000000130000001d08030000007f84a78e000000017352474200aece1ce9000000097048597300000ec400000ec401952b0e1b00000042504c544500000000004800007400489c0074bf48000048007448489c489cdf74000074bfff9c48009cdfffbf7400bfffffdf9c48dfffffffbf74ffdf9cffffbfffffdfffffff25049bae0000006d4944415428cfbd90c70e80300c43cd2e23a583fcffafd2428a5a7164f8143d29896df05d789d6d33d01eb3eb10d4186cb362a608092af2c05cafc334185e2362b619f363add3bd7357b195a3f90f592dbc3c61c50f51347bcb4b9892e78bf9b15a245bd607413af8a5fbefd90e88f728711999dadb0000000049454e44ae42608200000840010824000000180000000210c0db01000000030000000000000000000000000000001b40000040000000340000000100000002000000000000bf000000bf000098410000e84103000000000080b3000080b3ffff9741000080b3000080b3ffffe7412100000008000000620000000c00000001000000150000000c00000004000000150000000c0000000400000051000000140300000000000000000000120000001c00000000000000000000000000000000000000130000001d0000005000000080000000d000000044020000000000002000cc00130000001d00000028000000130000001d0000000100080000000000000000000000000000000000160000000000000000000000ffffff00dfffff0000489c00bf7400009cdfff00000048009c480000ffffdf00df9c48000074bf0074004800ffffbf009c484800489cdf0074bfff00bfffff000000740074000000ffbf740048000000ffdf9c00010101010101010101010101010101010101010001010101010101010101010101010101010101000101010101010101010101010101010101010100010101010101010101010101010101010101010001010101010101010101010101010101010101000101010101010101010101010101010101010100010101010101010101010101010101010101010001010101010101010101010101010101010101000101010101010101010101010101010101010100010101010101010101010101010101010101010001010101010101010101010a000000000007080001010101010101010110111415010105060708000101010101010101010a0013010101010f070800010101010101010105060708010101010101010001010101010101010f000401010101010101010001010101010101010e000901010101010101010001010101010101010e000901010101010101010001010101010101010e000901010101010101010001020300000401010e000901010101010101010002030901010a09010f0004010101010101010100050b0c0101050d081011120c0101010101010100050b0c0101050d08010e0009010101010f07080002030901010a040101010a0009010105060708000102030000040101010101050600000000070800010101010101010101010101010101010101010001010101010101010101010101010101010101000101010101010101010101010101010101010100010101010101010101010101010101010101010001010101010101010101010101010101010101004c000000640000000000000000000000120000001c0000000000000000000000130000001d0000002900aa0000000000000000000000803f00000000000000000000803f0000000000000000000000000000000000000000000000000000000000000000220000000c000000ffffffff460000001c00000010000000454d462b024000000c000000000000000e000000140000000000000010000000140000000400000003010800050000000b0200000000050000000c021d001300030000001e00040000000701040004000000070104006f010000410b2000cc001d001300000000001d0013000000000028000000130000001d0000000100080000000000000000000000000000000000160000000000000000000000ffffff00dfffff0000489c00bf7400009cdfff00000048009c480000ffffdf00df9c48000074bf0074004800ffffbf009c484800489cdf0074bfff00bfffff000000740074000000ffbf740048000000ffdf9c00010101010101010101010101010101010101010001010101010101010101010101010101010101000101010101010101010101010101010101010100010101010101010101010101010101010101010001010101010101010101010101010101010101000101010101010101010101010101010101010100010101010101010101010101010101010101010001010101010101010101010101010101010101000101010101010101010101010101010101010100010101010101010101010101010101010101010001010101010101010101010a000000000007080001010101010101010110111415010105060708000101010101010101010a0013010101010f070800010101010101010105060708010101010101010001010101010101010f000401010101010101010001010101010101010e000901010101010101010001010101010101010e000901010101010101010001010101010101010e000901010101010101010001020300000401010e000901010101010101010002030901010a09010f0004010101010101010100050b0c0101050d081011120c0101010101010100050b0c0101050d08010e0009010101010f07080002030901010a040101010a0009010105060708000102030000040101010101050600000000070800010101010101010101010101010101010101010001010101010101010101010101010101010101000101010101010101010101010101010101010100010101010101010101010101010101010101010001010101010101010101010101010101010101000c00000040092900aa000000000000001d00130000000000040000002701ffff030000000000;
удельная теплота парообразования 2250
КДж/кг.
1.3 Эксплуатация выпарных аппаратов
Процесс выпаривания может производиться периодически или непрерывно. При периодическом выпаривании в аппарат заливается определенное количество раствора, который нагревается до кипения (период подогрева), после чего начинается процесс выпаривания (период испарения воды). В процессе выпаривания непрерывно повышаются концентрация и температура кипения раствора, так как последняя зависит от концентрации. По мере испарения воды уровень раствора в аппарате понижается. Выпаривание ведут до достижения заданной конечной концентрации раствора.
Понижение уровня раствора часто нарушает работу аппарата, поэтому описанный способ проведения процесса обычно видоизменяют следующим образом, начиная с момента закипания раствора, в аппарат непрерывно подают слабый раствор в таком количестве, чтобы уровень раствора не изменялся. При этом способе работы (выпаривание при постоянном уровне) получаемый в конце операции упаренный раствор занимает тот же объем, что и первоначально залитый в аппарат слабый раствор.
Процесс выпаривания может производиться периодически или непрерывно. При периодическом выпаривании в аппарат заливается определенное количество раствора, который нагревается до кипения (период подогрева), после чего начинается процесс выпаривания (период испарения воды). В процессе выпаривания непрерывно повышаются концентрация и температура кипения раствора, так как последняя зависит от концентрации. По мере испарения воды уровень раствора в аппарате понижается. Выпаривание ведут до достижения заданной конечной концентрации раствора.
Понижение уровня раствора часто нарушает работу аппарата, поэтому описанный способ проведения процесса обычно видоизменяют следующим образом, начиная с момента закипания раствора, в аппарат непрерывно подают слабый раствор в таком количестве, чтобы уровень раствора не изменялся. При этом способе работы (выпаривание при постоянном уровне) получаемый в конце операции упаренный раствор занимает тот же объем, что и первоначально залитый в аппарат слабый раствор.
Пленочные выпарные аппараты применяются только для непрерывной работы, они не содержат значительного объема раствора, который непрерывно протекает через аппарат, причем его концентрация и температура изменяются вдоль поверхности теплообмена.
При обслуживании выпарных аппаратов необходимо следить за поддержанием уровня жидкости на определенной высоте. В аппаратах периодического действия уровень жидкости регулируется подводом слабого раствора, а в аппаратах непрерывного действия – отводом упаренного раствора. Количество слабого раствора в аппаратах непрерывного действия поддерживается постоянным и регулируется в зависимости от концентрации упаренного раствора: если последняя понижается, то подачу слабого раствора надо уменьшить, и наоборот. Для отбора проб упаренного раствора на выпарных аппаратах устанавливают специальные пробные краны.
Процесс выпаривания сильно зависит от температуры, которая контролируется термометром, измеряющим температуру раствора в аппарате, манометры измеряют давление греющего и вторичного пара. Необходимый температурный режим устанавливается регулированием подачи греющего пара. Кроме того, при обслуживании выпарного аппарата следят за правильным отводом конденсата и неконденсирующихся газов. Конденсат отводится при помощи конденсатоотводчиков. Для отвода неконденсирующихся газов, содержащихся в греющем паре, в верхней части пространства для греющего пара имеется трубка, через которую эти газы непрерывно или периодически удаляются.
Периодически, по мере загрязнения поверхности теплообмена, выпарной аппарат останавливают для очистки. Очистка производится путем промывки или указанными выше способами.
Материалы, применяемые для изготовления теплообменников
При выборе и создании теплообменной аппаратуры необходимо учитывать такие важные факторы, как тепловая нагрузка аппарата, температурные условия процесса, физико-механические параметры рабочих сред, условия теплообмена, характер гидравлических соединений, вид материала и его коррозийную стойкость, простота устройства и компактность, расположение аппарата, взаимное направление движения рабочих сред, возможность очистки поверхности теплообмена от загрязнений, расход металла на единицу переданной теплоты и другие технико-экономические показатели.
Экономическое использование качественных материалов, высокий уровень технологии изготовления и полное использование всех достижений теплопередачи дают возможность выбора и создания рациональных теплообменных аппаратов, удовлетворяющих всех перечисленным требованиям.
Химические продукты в той или иной мере всегда вызывают коррозию материала аппарата, поэтому для изготовления их применяются различные металлы (железо, чугун, алюминий) и их сплавы. Наибольшее применение находят стали. Благодаря способности изменять свои свойства в зависимости от состава, возможности термической и механической обработки стали с низким содержанием углерода хорошо штампуются, но плохо обрабатывают резанием.
Добавки других металлов – легирующих элементов – улучшают
качество сталей и придают им особые свойства, например, хром улучшает механические свойства, износостойкость и коррозионную стойкость; никель повышает прочность, пластичность; кремний увеличивает жаростойкость.
Легирующие элементы обозначаются буквами: Х - хром,
Н - никель, М - молибден, Г - марганец, С - кремний, Т - титан, Д - медь, Ю - алюминий и т.д.
Стали обыкновенного качества применяют для изготовления аппаратов, работающих под избыточным давлением до 6 Па при температурах -30° С до + 425° С. Для более жестких условий применяют углеродистые стали улучшенного качества – марок 15К и 20К.
Для повышения термостойкости и прочности применяют низколегированные стали 10Г2С1, 16ГС, 30Х, 40Х, что позволяет использовать аппараты при температурах от -70°С до +550° С.
Для повышения кислотостойкости и жаропрочности аппаратов их изготавливают из хромоникелевых сталей марок О18Н10Т, Х18Н9Т.
Для очень агрессивных сред применяются высоколегированные стали, например ОХ23Н28МЗД3Т.
Кожухотрубные теплообменники применяются в качестве жидкостных и газовых подогревателей, конденсаторов и испарителей.
Они
работают при условном давлении до 6,4
МПа и температурах от -30010009000003f004000000004c03000000004c03000026060f008e06574d46430100000000000100de1c00000000010000006c060000000000006c060000010000006c0000000000000000000000120000001c0000000000000000000000f1010000f702000020454d46000001006c0600000c00000001000000000000000000000000000000900600001a040000b801000013010000000000000000000000000000c0b6060038320400460000002c00000020000000454d462b014001001c000000100000000210c0db01000000600000006000000046000000f4010000e8010000454d462b224004000c000000000000001e4009000c00000000000000244001000c000000000000003040020010000000040000000000803f214007000c000000000000000840000540010000340100000210c0db01000000000000000000000000000000000000000100000089504e470d0a1a0a0000000d49484452000000130000001d08030000007f84a78e000000017352474200aece1ce9000000097048597300000ec400000ec401952b0e1b00000042504c544500000000004800007400489c0074bf48000048007448489c489cdf74000074bfff9c48009cdfffbf7400bfffffdf9c48dfffffffbf74ffdf9cffffbfffffdfffffff25049bae0000006d4944415428cfbd90c70e80300c43cd2e23a583fcffafd2428a5a7164f8143d29896df05d789d6d33d01eb3eb10d4186cb362a608092af2c05cafc334185e2362b619f363add3bd7357b195a3f90f592dbc3c61c50f51347bcb4b9892e78bf9b15a245bd607413af8a5fbefd90e88f728711999dadb0000000049454e44ae42608200000840010824000000180000000210c0db01000000030000000000000000000000000000001b40000040000000340000000100000002000000000000bf000000bf000098410000e84103000000000080b3000080b3ffff9741000080b3000080b3ffffe7412100000008000000620000000c00000001000000150000000c00000004000000150000000c0000000400000051000000140300000000000000000000120000001c00000000000000000000000000000000000000130000001d0000005000000080000000d000000044020000000000002000cc00130000001d00000028000000130000001d0000000100080000000000000000000000000000000000160000000000000000000000ffffff00dfffff0000489c00bf7400009cdfff00000048009c480000ffffdf00df9c48000074bf0074004800ffffbf009c484800489cdf0074bfff00bfffff000000740074000000ffbf740048000000ffdf9c00010101010101010101010101010101010101010001010101010101010101010101010101010101000101010101010101010101010101010101010100010101010101010101010101010101010101010001010101010101010101010101010101010101000101010101010101010101010101010101010100010101010101010101010101010101010101010001010101010101010101010101010101010101000101010101010101010101010101010101010100010101010101010101010101010101010101010001010101010101010101010a000000000007080001010101010101010110111415010105060708000101010101010101010a0013010101010f070800010101010101010105060708010101010101010001010101010101010f000401010101010101010001010101010101010e000901010101010101010001010101010101010e000901010101010101010001010101010101010e000901010101010101010001020300000401010e000901010101010101010002030901010a09010f0004010101010101010100050b0c0101050d081011120c0101010101010100050b0c0101050d08010e0009010101010f07080002030901010a040101010a0009010105060708000102030000040101010101050600000000070800010101010101010101010101010101010101010001010101010101010101010101010101010101000101010101010101010101010101010101010100010101010101010101010101010101010101010001010101010101010101010101010101010101004c000000640000000000000000000000120000001c0000000000000000000000130000001d0000002900aa0000000000000000000000803f00000000000000000000803f0000000000000000000000000000000000000000000000000000000000000000220000000c000000ffffffff460000001c00000010000000454d462b024000000c000000000000000e000000140000000000000010000000140000000400000003010800050000000b0200000000050000000c021d001300030000001e00040000000701040004000000070104006f010000410b2000cc001d001300000000001d0013000000000028000000130000001d0000000100080000000000000000000000000000000000160000000000000000000000ffffff00dfffff0000489c00bf7400009cdfff00000048009c480000ffffdf00df9c48000074bf0074004800ffffbf009c484800489cdf0074bfff00bfffff000000740074000000ffbf740048000000ffdf9c00010101010101010101010101010101010101010001010101010101010101010101010101010101000101010101010101010101010101010101010100010101010101010101010101010101010101010001010101010101010101010101010101010101000101010101010101010101010101010101010100010101010101010101010101010101010101010001010101010101010101010101010101010101000101010101010101010101010101010101010100010101010101010101010101010101010101010001010101010101010101010a000000000007080001010101010101010110111415010105060708000101010101010101010a0013010101010f070800010101010101010105060708010101010101010001010101010101010f000401010101010101010001010101010101010e000901010101010101010001010101010101010e000901010101010101010001010101010101010e000901010101010101010001020300000401010e000901010101010101010002030901010a09010f0004010101010101010100050b0c0101050d081011120c0101010101010100050b0c0101050d08010e0009010101010f07080002030901010a040101010a0009010105060708000102030000040101010101050600000000070800010101010101010101010101010101010101010001010101010101010101010101010101010101000101010101010101010101010101010101010100010101010101010101010101010101010101010001010101010101010101010101010101010101000c00000040092900aa000000000000001d00130000000000040000002701ffff030000000000
до +450010009000003f004000000004c03000000004c03000026060f008e06574d46430100000000000100de1c00000000010000006c060000000000006c060000010000006c0000000000000000000000120000001c0000000000000000000000f1010000f702000020454d46000001006c0600000c00000001000000000000000000000000000000900600001a040000b801000013010000000000000000000000000000c0b6060038320400460000002c00000020000000454d462b014001001c000000100000000210c0db01000000600000006000000046000000f4010000e8010000454d462b224004000c000000000000001e4009000c00000000000000244001000c000000000000003040020010000000040000000000803f214007000c000000000000000840000540010000340100000210c0db01000000000000000000000000000000000000000100000089504e470d0a1a0a0000000d49484452000000130000001d08030000007f84a78e000000017352474200aece1ce9000000097048597300000ec400000ec401952b0e1b00000042504c544500000000004800007400489c0074bf48000048007448489c489cdf74000074bfff9c48009cdfffbf7400bfffffdf9c48dfffffffbf74ffdf9cffffbfffffdfffffff25049bae0000006d4944415428cfbd90c70e80300c43cd2e23a583fcffafd2428a5a7164f8143d29896df05d789d6d33d01eb3eb10d4186cb362a608092af2c05cafc334185e2362b619f363add3bd7357b195a3f90f592dbc3c61c50f51347bcb4b9892e78bf9b15a245bd607413af8a5fbefd90e88f728711999dadb0000000049454e44ae42608200000840010824000000180000000210c0db01000000030000000000000000000000000000001b40000040000000340000000100000002000000000000bf000000bf000098410000e84103000000000080b3000080b3ffff9741000080b3000080b3ffffe7412100000008000000620000000c00000001000000150000000c00000004000000150000000c0000000400000051000000140300000000000000000000120000001c00000000000000000000000000000000000000130000001d0000005000000080000000d000000044020000000000002000cc00130000001d00000028000000130000001d0000000100080000000000000000000000000000000000160000000000000000000000ffffff00dfffff0000489c00bf7400009cdfff00000048009c480000ffffdf00df9c48000074bf0074004800ffffbf009c484800489cdf0074bfff00bfffff000000740074000000ffbf740048000000ffdf9c00010101010101010101010101010101010101010001010101010101010101010101010101010101000101010101010101010101010101010101010100010101010101010101010101010101010101010001010101010101010101010101010101010101000101010101010101010101010101010101010100010101010101010101010101010101010101010001010101010101010101010101010101010101000101010101010101010101010101010101010100010101010101010101010101010101010101010001010101010101010101010a000000000007080001010101010101010110111415010105060708000101010101010101010a0013010101010f070800010101010101010105060708010101010101010001010101010101010f000401010101010101010001010101010101010e000901010101010101010001010101010101010e000901010101010101010001010101010101010e000901010101010101010001020300000401010e000901010101010101010002030901010a09010f0004010101010101010100050b0c0101050d081011120c0101010101010100050b0c0101050d08010e0009010101010f07080002030901010a040101010a0009010105060708000102030000040101010101050600000000070800010101010101010101010101010101010101010001010101010101010101010101010101010101000101010101010101010101010101010101010100010101010101010101010101010101010101010001010101010101010101010101010101010101004c000000640000000000000000000000120000001c0000000000000000000000130000001d0000002900aa0000000000000000000000803f00000000000000000000803f0000000000000000000000000000000000000000000000000000000000000000220000000c000000ffffffff460000001c00000010000000454d462b024000000c000000000000000e000000140000000000000010000000140000000400000003010800050000000b0200000000050000000c021d001300030000001e00040000000701040004000000070104006f010000410b2000cc001d001300000000001d0013000000000028000000130000001d0000000100080000000000000000000000000000000000160000000000000000000000ffffff00dfffff0000489c00bf7400009cdfff00000048009c480000ffffdf00df9c48000074bf0074004800ffffbf009c484800489cdf0074bfff00bfffff000000740074000000ffbf740048000000ffdf9c00010101010101010101010101010101010101010001010101010101010101010101010101010101000101010101010101010101010101010101010100010101010101010101010101010101010101010001010101010101010101010101010101010101000101010101010101010101010101010101010100010101010101010101010101010101010101010001010101010101010101010101010101010101000101010101010101010101010101010101010100010101010101010101010101010101010101010001010101010101010101010a000000000007080001010101010101010110111415010105060708000101010101010101010a0013010101010f070800010101010101010105060708010101010101010001010101010101010f000401010101010101010001010101010101010e000901010101010101010001010101010101010e000901010101010101010001010101010101010e000901010101010101010001020300000401010e000901010101010101010002030901010a09010f0004010101010101010100050b0c0101050d081011120c0101010101010100050b0c0101050d08010e0009010101010f07080002030901010a040101010a0009010105060708000102030000040101010101050600000000070800010101010101010101010101010101010101010001010101010101010101010101010101010101000101010101010101010101010101010101010100010101010101010101010101010101010101010001010101010101010101010101010101010101000c00000040092900aa000000000000001d00130000000000040000002701ffff030000000000.
Кожухотрубные теплообменные аппараты общего назначения изготавливают из углеродистой или нержавеющей стали с площадью поверхности теплообмена от 1 до 2000 м. Кожухотрубные теплообменники с наружным диаметром кожуха 159 – 426 мм изготавливают из стандартных труб. Кожухи теплообменников диаметром свыше 400 мм изготавливают сварными из листового проката углеродистой или нержавеющей стали. Кожухотрубные теплообменники с U - образными трубами применяют при температурах от -30°С до +450° С и давлением в пределах 1,6-6,4 МПа.
Стандартные теплообменники изготавливают с диаметром кожуха от 325 до 400 мм. Кожух и распределительная камера могут быть изготовлены из стали ВМСт3Сн или 16ГС, теплообменные трубы – из стали 20, в конденсаторах – из сплава AMr2M.
При температурах теплоносителя выше 400° С применяют легированные марки стали. Трубы для теплообменников выбирают, исходя из агрессивности теплоносителей. Для стандартных теплообменников применяют трубы из углеродистой стали 10 и 20, коррозинностойкой стали ОХ18Н10Т и латуни ЛОМ 70-1-0,06 для конденсаторов применяют трубы из латуни ЛАМш 77-2-0,06.
При использовании агрессивных теплоносителей принимают трубы из стали Х5М, а трубные решетки изготавливают из стали 16ГС или двухслойной стали 16ГС + Х18Н10Т.
Техника безопасности и охрана окружающей среды
Выпарные установки.
Требования правил распространяются на выпарные установки периодического и непрерывного действия, работающие под давлением или разрежением.
Для подогрева раствора, поступающего в первый корпус, до температуры, близкой к температуре кипения, необходимо устанавливать перед корпусом подогреватели, обогреваемые конденсатом или соковым паром.
Коммуникации подогревателей должны иметь запорные устройства для отключения и обводные линии, а также линии для возврата подогретого раствора в промежуточный бак (для циркуляции раствора через подогреватели) в периоды, когда первый корпус не может непрерывно принимать подогретый раствор.
Для контроля за качеством конденсата на конденсатопроводах должны быть смонтированы пробоотборники.
В зависимости от качества конденсата (по химическому составу и наличию примесей) он должен собираться от всех выпарных аппаратов вместе или раздельно.
Для обеспечения наблюдений за уровнем раствора в выпарных аппаратах должны предусматриваться смотровые стекла.
Выпарные установки должны быть оснащены следующими контрольно-измерительными и регулирующими приборами:
автоматическими регуляторами давления пара, поступающего в первый корпус; регистрирующим манометром на линии подачи пара в цех;
манометрами на греющей камере и в паровом пространстве первого корпуса; манометрами, вакуумметрами на греющих камерах и в паровом пространстве последующих корпусов;
автоматическими регуляторами уровня раствора; указывающими и сигнализирующими вакуумметрами на трубопроводах, идущих от барометрических или поверхностных конденсаторов;
приборами для измерения температуры на всех выпарных аппаратах, подогревателях и барометрическом или поверхностном конденсаторе; расходомерами для учета расхода воды, поступающей в цех; расходомером для учета раствора, поступающего на выпарку; концентратомерами после каждого выпарного аппарата.
Для обеспечения нормального режима работы выпарной установки необходимо:
следить за подачей греющего пара в первый корпус и не допускать падения или повышения давления его в значительных пределах (допустимы колебания в пределах 0,01 МПа (0,1 кгс/см2);
поддерживать предусмотренное режимной картой распределение температур и давлений по корпусам выпарной установки;
следить за непрерывностью отвода конденсата из греющих камер выпарных аппаратов, а также систематически проверять качество конденсата;
обеспечивать систематическое питание выпарных аппаратов раствором, подогретым до температуры, близкой к температуре кипения;
следить за перепуском раствора из корпуса в корпус систематически выводить из последнего корпуса готовый продукт,
поддерживая установленный уровень раствора в аппаратах и не допуская оголения греющих камер;
обеспечивать минимальные потери раствора, концентратов и теплоносителей;
поддерживать разрежение в выпарных аппаратах, работающих под разрежением, на уровне, предусмотренном режимной картой, в случаях падения вакуума немедленно выявлять причины и устранять их строго соблюдать предусмотренный график и порядок промывки выпарных аппаратов, а при необходимости производить внеочередные промывки выпарных аппаратов и их очистку;
обеспечивать непрерывную и исправную работу автоматических, теплоизмерительных и регулирующих приборов, арматуры, а также вспомогательного оборудования выпарной установки.
Схема трубопроводов выпарной установки должна исключать возможность смешения потоков греющего первичного и вторичного пара, а также потоков их конденсата.
Едкий натр
Технический едкий натр пожаро- и взрывобезопасен, по степени воздействия на организм относится к веществам 2-го класса опасности
Едкий натр представляет собой едкое вещество. При попадании на кожу вызывает химические ожоги, а при длительном воздействии может вызывать язвы и экземы. Сильно действует на слизистые оболочки.
Предельно допустимая концентрация аэрозоля едкого натра в воздухе рабочей зоны производственных помещений (ПДК) - 0,5 мг/м3.
Производственный персонал должен быть обеспечен специальной одеждой и средствами индивидуальной защиты (костюм из хлопчатобумажной ткани, резиновые сапоги, резиновые перчатки, защитные очки, фильтрующий промышленный противогаз).
При розливе раствора продукта его обезвреживают, поливая место розлива обильным количеством воды.
При рассыпании твердого продукта его следует собрать совком, а место рассыпания обмыть обильным количеством воды.
Технический едкий натр транспортируют железнодорожным, автомобильным, водным транспортом в крытых транспортных средствах в упаковке и наливом в железнодорожных и автомобильных цистернах. Железнодорожным транспортом продукт перевозят в бочках, барабанах, ящиках повагонно.
Жидкий продукт хранят в закрытых щелочестойких емкостях, твердый продукт хранят в упакованном виде в закрытых складских неотапливаемых помещениях.
Для контроля качества технического едкого натра пробы отбирают от каждой железнодорожной или автомобильной цистерны; при поставках продукта в специализированных контейнерах, бочках и барабанах отбирают 10 % упаковочных единиц, но не менее трех упаковочных единиц.
Допускается у изготовителя проводить отбор проб: жидкого продукта - из емкости для хранения товарного продукта; твердого плавленого продукта - при розливе в барабаны; твердого чешуированного продукта - при наборе в барабаны или банки.
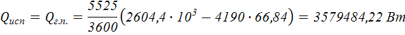
2. Расчетная часть
Материальный расчет
Запишем уравнение материального баланса для всего количества раствора

по растворенному веществу

где G>н >– массовый расход начального (исходного) раствора, кг/с;
G>к> – массовый расход конечного (упаренного) раствора, кг/с;
W – массовый расход выпариваемой воды, кг/с;
x>к >– массовая доля растворенного вещества в исходном растворе;
x>н> – массовая доля растворенного вещества в упаренном растворе.
Из уравнения материального баланса определяем массовое количество упаренного раствора и выпаренной воды.

кг/ч
Выпаренной воды будет

W = 7800 – 2275 = 5525 кг/ч
Тепловой расчет
Тепловой расчет выполняется на основе закона сохранения энергии, согласно которому приход теплоты должен быть равен ее расходу.
Уравнение теплового баланса выпарного аппарата
Q + G>н>·C>н>·t>н> = G>к>·C>к>·t>к> + W·i>вт> + Q>пот >(5)
где Q – расход теплоты на выпаривание, Вт;
C>н>, C>к> – удельная теплоемкость начального (исходного) и конечного (упаренного) раствора, Дж/(кг·К);
t>н>, t>к> – температура начального раствора на входе в аппарат и конечного раствора на выходе его из аппарата, оС;
i>вт> – удельная энтальпия вторичного пара на выходе из аппарата, Дж/кг;
Q>пот >– расход теплоты на компенсацию потерь в окружающую среду, Вт.
Из уравнения теплового баланса находится расход теплоты на выпаривание, которое поступает с греющим паром.

Расход теплоты на нагревание раствора до температуры кипения:

Расход теплоты на испарение воды:
010009000003ba38000000005b1a000000001610000026060f002220574d46430100000000000100e756000000000200000000200000fc1b0000fc3b0000010000006c0000000000000000000000c70100001c0000000000000000000000a62e0000f702000020454d4600000100fc3b00000c00000001000000000000000000000000000000900600001a040000b801000013010000000000000000000000000000c0b6060038320400460000002c00000020000000454d462b014001001c000000100000000210c0db01000000600000006000000046000000ac050000a0050000454d462b224004000c000000000000001e4009000c00000000000000244001000c000000000000003040020010000000040000000000803f214007000c0000000000000008400005f8040000ec0400000210c0db01000000000000000000000000000000000000000100000089504e470d0a1a0a0000000d49484452000001c80000001d080300000019fb0cf0000000017352474200aece1ce9000000097048597300000ec400000ec401952b0e1b00000099504c544500000000004800007400489c00747400749c0074bf48000048004848007448484848487448489c4874bf489c9c489cbf489cdf74000074004874007474489c7474747474bf749c9c749cdf74bfdf74bfff9c48009c48489c749c9cbf9c9cdfdf9cdfffbf7400bf9c9cbfbf74bfbf9cbfffbfbfffdfbfffffdf9c48dfbfbfdfdf9cdfffbfdfffffffbf74ffbf9cffdf9cffffbfffffdfffffff01e34eea000003cf4944415468deed5a0b53db300c36b0a52b8391020396765bbc57bdad5ed2fcff1f374bb6133bced31d39e6b3ee388ea696637d7a7c922155942084441344202749b1ca163a0a3bdf47209f4b8edb05ad5bac9208e473e1787158f030e5265c24fb329bce43c4b43a21c42f80ca8d589ad541c1c45f89b98b6fb050a1e8e2503c4d0d424e96cae30b8b95d9c02a24699980184610d1536efc90144e90ca3d12f90b23b189102e1fcf8531c1171d40a7a577e10cb0208ecdb92444bc0939696562e1e8697130fa592e8d6e4622c30f3da5dca8d57c866f9db4e3cb1566c56366fcaaf310b1700628fc7c5a0249dfa177941be90df404a623625cbd69793ffd8d8a555a852756ed5708b226e2305e3590faf393802cd6df714b2675941ba58b1b297db213d64bca87beefb87ac3a43b569ea1ba8865d673a24155df1d65254064b418fa712f9ae2724db04e299175621d14476fed3b418995d9a465b8e9c2908748650722277e2e0d4016eb3d024993aae514f3d92423bd881884ccd1bb68dfba94b4bd13596bd6ca43a4b2f1a39e049e89753445ec8a37791bc8f91c84f6c7b041631dbd810299584784433333e00069a27148dbde3e1b48119018e43469bfc07057d099ac071caa7947576f90a9d52e77cc61ade8bec4b6db7866eda99122c9512c8f29371a1c65550f0a42a75455576f9064c70252b31983b59a402a986bce335b3879848c5aac6eb6cd06ba487b34a76c4aad76f506d97e58ded905a4915a9549e45340f5b8cb71f2762ef8cb593ede94a84ea0585d1adf54ee5197320e2340605de2c148356b582b4ff54a176d358538cb75926521cee8ec7ae10e044cb2237196f98cdf6cb3aab83a545c1848e059deffbafa7d9b8f01a9473b99eb4ac2e0a08f9def51dfddd794deec3eeff2e17c822f73dc62632a577600097a4571fef369bdafeaa2490383b3a3fd603ded8735312feff6154bc50a55375f7f3cf0b1885479bc15ba2a140528e263c16671e4c35f3d1c77eff3623d42ab685d86f5ca0eb0613b9ee8990177a61e41482bcf38ed073c376e3f689dcc1204518347dfe6d059f888452b99f214e15fc5e553c592190719bc95a1b507aa0c40039bb88e50386b445719d4816618cc4c7524b71fc48fa765cc4a48531cc2822e4895dbe9e94fadec3be6dd8f5d6e648500a9eb701f6e0dcd2bd99fc91ab6e78fd73f0f3031a5aa5a5e7cf1edb39be18b08c1a3a0b4a00fd4aebf4d760eb5b26f8704753657043438e63ad888b7aeb1d0a3b124c15d1423d707289b020408cc7f5274e0f639417d5084e7cc02d5cafe780d8ede0c65b6963817cb515eb4f48dab3bfed523caff2c11c80864940864940864946ef90b73b4a03956200e490000000049454e44ae426082000840010824000000180000000210c0db01000000030000000000000000000000000000001b40000040000000340000000100000002000000000000bf000000bf0000e4430000e84103000000000000b3000000b3ffffe343000000b3000000b3ffffe7412100000008000000620000000c00000001000000150000000c00000004000000150000000c0000000400000051000000ec3400000000000000000000c70100001c00000000000000000000000000000000000000c80100001d00000050000000f400000044010000a8330000000000002000cc00c80100001d00000028000000c80100001d0000000100080000000000000000000000000000000000330000000000000000000000ffffff009cdfff0000004800ffbf7400489cdf0074000000ffffbf00dfffff0000489c00bf7400009c480000ffffdf00bfffff00000074000074bf00df9c740074bfff00df9c480048000000ffdf9c009c9c48009c48740074004800bfffbf00bf747400480048009c9c7400bf9c480048489c00484848009c4848009cdfdf00bfffdf00480074007400740074bfbf00dfdf9c009cbfff009cbf9c009c7400009c749c00747400007474740074484800dfbf7400dfffbf00bf744800bfbfdf009c9cbf009cbfbf000101010101010101010101010101010101010101010101010101010101010101010101010101010101010101010101010101010101010101010101010101010101010101010101010101010101010101010101010101010101010101010101010101010101010101010101010101010101010101010101010101010101010101010101010101010101010101010101010101010101010101010101010101010101010101010101010101010101010101010101010101010101010101010101010101010101010101010101010101010101010101010101010101010101010101010101010101010101010101010101010101010101010101010101010101010101010101010101010101010101010101010101010101010101010101010101010101010101010101010101010101010101010101010101010101010101010101010101010101010101010101010101010101010101010101010101010101010101010101010101010101010101010101010101010101010101010101010101010101010101010101010101010101010101010101010101010101010101010101010101010101010101010101010101010101010101010101010101010101010101010101010101010101010101010101010101010101010101010101010101010101010101010101010101010101010101010101010101010101010101010101010101010101010101010101010101010101010101010101010101010101010101010101010101010101010101010101010101010101010101010101010101010101010101010101010101010101010101010101010101010101010101010101010101010101010101010101010101010101010101010101010101010101010101010101010101010101010101010101010101010101010101010101010101010101010101010101010101010101010101010101010101010101010101010101010101010101010101010101010101010101010101010101010101010101010101010101010101010101010101010101010101010101010101010101010101010101010101010101010101010101010101010101010101010101010101010101010101010101010101010101010101010101010101010101010101010101010101010101010101010101010101010101010101010101010101010101010101010101010101010101010101010101010101010101010101010101010101010101010101010101010101010101010101010101010101010101010101010101010101010101010101010101010101010101010101010101010101010101010101010101010101010101010101010101010101010101010101010101010101010101010101010101010101010101010101010101010101010101010101010101010101010101010101010101010101010101010101010101010101010101010101010101010101010101010101010101010101010101010101010101010101010101010101010101010101010101010101010101010101010101010101010101010101010101010101010101010101010101010101010101010101010101010101010101010101010101010101010101010101010101010101010101010101010101010101010101010101010101010101010101010101010101010101010101010101010101010101010101010101010101010101010101010101010101010101010101010101010101010101010101010101010101010101010101010101010101010101010101010101010101010101010101010101010101010101010101010101010101010101010101010101010101010101010101010101010101010101010101010101010101010101010101010101010101010101010101010101010101010101010101010101010101010101010101010101010101010101010101010101010101010101010101010101010101010101010101010101010101010101010101010101010101010101010101010101010101010101010101010101010101010101010101010101010101010101010101010101010101010101010101010101010101010101010101010101010101010101010101010101010101010101010101010101010101010101010101010101010101010101010101010101010101010101010101010101010101010101010101010101010101010101010101010101010101010101010101010101010101010101010101010101010101010101010101010101010101010101010101010101010101010101010101010101010101010101010101010101010101010101010101010101010101010101010101010101010101010101010101010101010101010101010101010101010101010101010101010101010101010101010101010101010101010101010101010101010101010101010101010101010101010101010101010101010101010101010101010101010101010101010101010101010101010101010101010101010101010101010101010101010101010101010101010101010101010101010101010101010101010101010101010101010101010101010101010101010101010101010101010101010101010101010101010101010101010101010101010101010101010101010101010101010101010101010101010101010101010101010101010101010101010101010101010101010101010101010101010101010101010101010101010101010101010101010101010101010101010101010101010101010101010101010101010101010101010101010101010101010101010101010101010101010101010101010101010101010101010101010101010101010101010101010101010101010101010101010101010101010101010101010101010101010101010101010101010101010101010101010101010101010101010101010101010101010101010101010101010101010101010101010101010101010101010101010101010101010101010101010101010101010101010101010101010101010101010101010101010101010101010101010101010101010101010101010101010101010101010101010101010101010101010101010101010101010101010101010101010101010101010101010101010101010101010101010101010101010101010101010101010101010101010101010101010101010101010101010101010101010101010101010101010101010101010101010101010101010101010101010101010101010101010101010101010101010101010101010101010101010101010101010101010101010101010101010101010101010101010101010101010101010101010101010101010101010101010101010101010101010101010101010101010101010101010101010101010101010101010101010101010101010101010101010101010101010101010101010101010101010101010101010101010101010101010101010101010101010101010101010101010101010101010101010101010101010101010101010101010101010101010101010101010101010101010101010101010101010101010101010101010101010101010101010101010101010101010101010101010101010101010101010101010101010101010101010101010101010101010101010101010101010101010101010101010101010101010101010101010101010101010101010101010111000401010101010101010101010101010101010101010105060701010101010101010101010101010101020300131401010203000a05002f0c08090000040101051201010500120101010101010101010101010101010101010101010101010101010101010101010101010101010101010101010101010101010101010101010101010101010101010d0e00000a01010512010d23070111000a01010101010101010101010101010101010101010101010101010101010101010101010101010101010d0e00000a010101010101010101010101010101010101010101010101010f1201010f0004010101010101010101010101010101010101010101010101010101010101010101010101010101010101010101010101010101010101010101010101010101010101010101010101010101010101010101010101010101010101010101010101010101010101010101010101010101010101010101010101010101010101010101010101010101010101010101010101010101010101010101010101010101010101010101010101010101010101010101010101010101010101010101010101010101010101010101010101010101010101010101010101010101010108090607010101010101010101010101010101010101010101010102030a01010101010101010101010101010d0e0607081d14010d2307111b2f300c050b0c010f0401021f0c01110b31070101010101010101010101010101010101010101010101010101010101010101010101010101010101010101010101010101010101010111000401010101010101050a0108091201021f0c010f04010217321401010101010101010101010101010101010101010101010101010101010101010101010101010101050a01080912010101010101010101010101010101010101010101010101110a01021f0c01010506070101010101010f120101010101010101010101010101010101010101010101010101010101010101010101010101010101010101010101010101010101010101010101010101010101010101010101010101010101010101010101010101010101010101010101010101010101010101010101010101010101010101010101010101010101010101010101010101010101010101010101010101010101010101010101010101010101010101010101010101010101010101010101010101010101010101010101010101010101010101010101010101010108090b0c010101010101010101010101010101010101010101010101010d0e0a010101010101010101010101011100120101010101010f04010f060701051201010101010d222d010d22140101010101010101010101010101010101010101010101010101010101010101010101010101010101010101010101010101010101010809060701010101010101010f12010d0e12010d22140105060708090401010101010101010101010101010101010101010101010101010101010101010101010101010101010f12010d0e120101010101010101010101010101010101010101010101010d232e1d140101010102030a01010101010d0e0a0101010101010101010101010101010101010101010101010101010101010101010101010101010101010101010101010101010101010101010101010101010101010101010101010101010101010101010101010101010101010101010101010101010101010101010101010101010101010101010101010101010101010101010101010101010101010101010101010101010101010101010101010101010101010101010101010101010101010101010101010101010101010101010101010101010101010101010101010101010513140101010101010101010101010101010101010101010101010101011100040101010101010101010101010f1314010101010101110a010d0e0401110b0c01010101010f2c14010f12010101010101010101010101010101010101010101010101010101010101010101010101010101010101010101010101010101010108090b0c01010101010101010105000006070101010f0607021e1001050a0101010101010101010101010101010101010101010101010101010101010101010101010101010101050000060701010101010101010101010101010101010101010101010101010f00060701010101010d0e0a01010101010f1314010101010101010101010101010101010101010101010101010101010101010101010101010101010101010101010101010101010101010101010101010101010101010101010101010101010101010101010101010101010101010101010101010101010101010101010101010101010101010101010101010101010101010101010101010101010101010101010101010101010101010101010101010101010101010101010101010101010101010101010101010101010101010101010101010101010101010101010101010d0e0a0101010101010101010101010101010101010101010101010101010108090b0c01010101010101010809000000060701010101010d2307010512010d0e0401010101011128290c110b0c01010101010101010101010101010101010101010101010101010101010102030a0101010102030b0c0101010101010101010101051314010101010203000b0c01021a140d0e120101112a19081d2b140217070101010101010101010101010101010101010101010101010101010101010f000000001314010101021a140d0e120101010101010101010101010101010101010203000b0c0101110a0d1901010101010111000401010101050012010101010101010101010101010101010101010101010101010101010101010101010101010101010101010101010101010101010101010101010101010101010101010101010101010101010101010101010101010101010101010101010101010101010101010101010101010101010101010101010101010101010101010101010101010101010101010101010101010101010101010101010101010101010101010101010101010101010101010101010101010101010101010101010101010101010101010101010101010500040101010101010101010101010f00000000040101010101010101010101050004010101010101010809131401010f0012010101111c090401021f0c01111314081d14010d16201f2122140101010101010101010101010101010101010101010101010101010101011100131401010102030004010101010101010101010d0e0a0101010101051314021f0c01050607081d14010d2324120f1c1d251d14010101010101010101010101010101010101010101010101010101010203001201010108090a010101050607081d140101010101010101010101010101010101051314021f0c010217072627170701010108090b0c0101010f0004010101010101010101010101010101010101010101010101010101010101010101010101010101010101010101010101010101010101010101010101010101010101010101010101010101010101010101010101010101010101010101010101010101010101010101010101010101010101010101010101010101010101010101010101010101010101010101010101010101010101010101010101010101010101010101010101010101010101010101010101010101010101010101010101010101010101010101010101010f0607010101010101010101010d0e1314010105000a01010101010101010101020312010101010101011100120101010105001201010105000401081d1401010d0e0006070203131402030b0c0101010101010101010101010101010101010101010101010101010101011100000a01010102031e0b0c0101010101010101010500040101010101051314010101010111000006070d0e1314050004080906070101010101010101010101010101010101010101010101010101010d0e13140101010101011112010101110000060701010101010101010101010101010101010513140101010203131408090b0c010101010500040101010101010101010101010101010101010101010101010101010101010101010101010101010101010101010101010101010101010101010101010101010101010101010101010101010101010101010101010101010101010101010101010101010101010101010101010101010101010101010101010101010101010101010101010101010101010101010101010101010101010101010101010101010101010101010101010101010101010101010101010101010101010101010101010101010101010101010101010101010101010d0e0b0c010101010101010101010f0004010101010f00040101010101010101010d0e0a01010101010101050004010101010809131401010101010101010101010101010101010101010101010101010101010101010101010101010101010101010101010101010101010111001b1a14010102031c09120101010101010101010f0607010101010111001201010101010101010101010101010101010101010101010101010101010101010101010101010101010101010101010105000a010101010101010101010101010101010101010101010101010101010101010101011100120101010101010101010101010101010203120101010101010101010101010101010101010101010101010101010101010101010101010101010101010101010101010101010101010101010101010101010101010101010101010101010101010101010101140e000026060f001e1c574d4643010000000000010000000000000002000000fc1b000000000000fc3b0000010101010101010101010101010101010101010101010101010101010101010101010101010101010101010101010101010101010101010101010101010101010101010101010101010101010101010101010101010101010101010101010101010101010101010101010101010101010101010101010101010101010101010d0e0a0101010101010101010108091314010101010500120101010101010101010d0e0b0c0101010101010f0004010101010111000a0101010101010101010101010101010101010101010101010101010101010105000000000000000000000013140101010101010101011100040f0a0101020312110607010101010101010d0e0b0c01010101010d0e0a0101010101010101010101010101010101010101010101010101010101010101010101010101010101010101010101010f0012010101010101010101010101010101010101010101010101010101010101010101010d0e0a0101010101010101010101010101010d0e0a01010101010101010101010101010101010101010101010101010101010101010101010101010101010101010101010101010101010101010101010101010101010101010101010101010101010101010101010101010101010101010101010101010101010101010101010101010101010101010101010101010101010101010101010101010101010101010101010101010101010101010101010101010101010101010101010101010101010101010101010101010101010101010101010101010101010101010101010101010101010102030a0101010101010101010108091314010101010500120101010101010101010809060701010101010105001201010101010d0e0607010101010101010101010101010101010101010101010101010101010101010101010101010101010101010101010101010101010105000402170701020312010f0a010101010101010d0e0a01010101010108090b0c01010101010101010101010101010101010101010101010101010500000000000000000000001314010101010101010f00040101010101010101010101010101010101010101010101010d0e060701010101010108090b0c01010101010101010101010101010d0e0b0c010101010101010101010101010101010101010101010101010101010101010101010101010101010101010101010101010101010101010101010101010101010101010101010101010101010101010101010101010101010101010101010101010101010101010101010101010101010101010101010101010101010101010101010101010101010101010101010101010101010101010101010101010101010101010101010101010101010101010101010101010101010101010101010101010101010101010101010101010101010102030a0101010101010101010101050004010101010f00040101010101010101010809060701010101010111000a0101010101010f00040101010101010101010101010101010101010101010101010101010101010101010101010101010101010101010101010101010101050004010f120102030a01021a1401010101010102030a0101010101010105131401010101010101010101010101010101010101010101010101010101010101010101010101010101010101010101010f0012010101010101010101010101010101010101010101010101020300040101010101010105131401010101010101010101010101010809060701010101010101010101010101010101010101010101010101010101010101010101010101010101010101010101010101010101010101010101010101010101010101010101010101010101010101010101010101010101010101010101010101010101010101010101010101010101010101010101010101010101010101010101010101010101010101010101010101010101010101010101010101010101010101010101010101010101010101010101010101010101010101010101010101010101010101010101010101010101010d0e0a010101010101010101010108091314010105000a010101010101010101010d0e0b0c01010101010102030b0c010101010111000a01010101010101010101010101010101010101010101010101010101010101010101010101010101010101010101010101010101010513140102170702030a01010f0a01010101010102030a01010101010101110004010101010101010101010101010101010101010101010101010101010101010101010101010101010101010101010105000b0c01010101010101010101010101010101010101010101010d0e06070101010101010111000401010101010101010101010101010809060701010101010101010101010101010101010101010101010101010101010101010101010101010101010101010101010101010101010101010101010101010101010101010101010101010101010101010101010101010101010101010101010101010101010101010101010101010101010101010101010101010101010101010101010101010101010101010101010101010101010101010101010101010101010101010101010101010101010101010101010101010101010101010101010101010101010101010101010101010101010d0e0b0c0101010101010101010101010f000000000401010101010101010101010d0e0a0101010101010108091314010101010102030a010101010101010101010101010101010101010101010101010101010101050000000000000000000000131401010101010101010105131401010f1202030a010102030401010101010d0e0a0101010101010111001201010101010101010101010101010101010101010101010101010101010101010101010101010101010101010101010d0e13140101010101010101010101010101010101010101010101010101010101010101010111001201010101010101010101010101010d0e0b0c0101010101010101010101010101010101010101010101010101010101010101010101010101010101010101010101010101010101010101010101010101010101010101010101010101010101010101010101010101010101010101010101010101010101010101010101010101010101010101010101010101010101010101010101010101010101010101010101010101010101010101010101010101010101010101010101010101010101010101010101010101010101010101010101010101010101010101010101010101010101010f0607010101010101010101010d0e1314010111000a010101010101010101010203120101010101010101050012010101010102030b0c010101010101010101010101010101010101010101010101010101010101010101010101010101010101010101010101010101010f131401010217180e0a010101050b0c010101010d0e0b0c01010101011100000a01010101010101010101010101010101010101010101010101010101010101010101010101010101010101010101010105000a010101010101010d190101010101010101010101010101010101010101010101011100000a01010101010101010101010101010d0e0a01010101010101010101010101010101010101010101010101010101010101010101010101010101010101010101010101010101010101010101010101010101010101010101010101010101010101010101010101010101010101010101010101010101010101010101010101010101010101010101010101010101010101010101010101010101010101010101010101010101010101010101010101010101010101010101010101010101010101010101010101010101010101010101010101010101010101010101010101010101010101051314010101010101010101010f0012010101010f000401010101010101010105131401010101010101010d0e06070101010102030b0c010101010101010101010101010101010101010101010101010101010101010101010101010101010101010101010101010101010f13140101010f150e0a0101010d0e1201010101010f0607010101010101010101010101010101010101010101010101010101010101010101010101010101010101010101010101010101010101010101080900040101010101010d160c0101010101010101010101010101010101010101010101010101010101010101010101010101010101020312010101010101010101010101010101010101010101010101010101010101010101010101010101010101010101010101010101010101010101010101010101010101010101010101010101010101010101010101010101010101010101010101010101010101010101010101010101010101010101010101010101010101010101010101010101010101010101010101010101010101010101010101010101010101010101010101010101010101010101010101010101010101010101010101010101010101010101010101010101010101010d0e0a010101010101010101010f000401010101050012010101010101010108090b0c01010101010101010111000b0c01010111001201010101010101010101010101010101010101010101010101010101010101010101010101010101010101010101010101010101010f13140101010203000a0101010105060701010101051314010101010101010101010101010101010101010101010101010101010101010101010101010101010101010101010101010101010101010101010d0e13140101010101110607010101010101010101010101010101010101010101010101010101010101010101010101010101010105131401010101010101010101010101010101010101010101010101010101010101010101010101010101010101010101010101010101010101010101010101010101010101010101010101010101010101010101010101010101010101010101010101010101010101010101010101010101010101010101010101010101010101010101010101010101010101010101010101010101010101010101010101010101010101010101010101010101010101010101010101010101010101010101010101010101010101010101010101010101010101010506070101010101010101010f0004010101010f00040101010101010101110004010101010101010101010111000b0c010d0e06070101010101010101010101010101010101010101010101010101010101010101010101010101010101010101010101010101010108090012010101010f000a010101010f000b0c0101010d0e0a0101010101010111001201010101010101010101010101010101010101010101010101010101010101010101010101010101010101010101010101010f000a010101020300040101010101010101010101010101010101010101010101010111001201010101010101010101010108090b0c010101010101010101010101010101010101010101010101010101010101010101010101010101010101010101010101010101010101010101010101010101010101010101010101010101010101010101010101010101010101010101010101010101010101010101010101010101010101010101010101010101010101010101010101010101010101010101010101010101010101010101010101010101010101010101010101010101010101010101010101010101010101010101010101010101010101010101010101010101010101010108090b0c01010101010101010d0e0607010111000607010101010101010d0e0a0101010101010101010101010108090000000607010101010101010101010101010101010101010101010101010101010101010101010101010101010101010101010101010101010d0e0000000401010102030a010101050000000a0101010105060701010101010102030a010101010101010101010101010101010101010101010101010101010101010101010101010101010101010101010101010101010f0000000b0c02100101010101010101010101010101010101010101010101010102030a01010101010101010101010111000401010101010101010101010101010101010101010101010101010101010101010101010101010101010101010101010101010101010101010101010101010101010101010101010101010101010101010101010101010101010101010101010101010101010101010101010101010101010101010101010101010101010101010101010101010101010101010101010101010101010101010101010101010101010101010101010101010101010101010101010101010101010101010101010101010101010101010101010101010101010101010101080906070101010101010101010f000000000a010101010101010102030a0101010101010101010101010101010101010101010101010101010101010101010101010101010101010101010101010101010101010101010101010101010101010101010101010101010101010101010101010101010101010101010101010108090b0c01010101010101010101010101010101010101010101010101010101010101010101010101010101010101010101010101010101010101010101010101010101010101010101010101010101010101010101010101010101010101010101010101010101010101010101010d0e0a010101010101010101010101010101010101010101010101010101010101010101010101010101010101010101010101010101010101010101010101010101010101010101010101010101010101010101010101010101010101010101010101010101010101010101010101010101010101010101010101010101010101010101010101010101010101010101010101010101010101010101010101010101010101010101010101010101010101010101010101010101010101010101010101010101010101010101010101010101010101010101010101010203040101010101010101010101010101010101010101010506070101010101010101010101010101010101010101010101010101010101010101010101010101010101010101010101010101010101010101010101010101010101010101010101010101010101010101010101010101010101010101010101010101010809060701010101010101010101010101010101010101010101010101010101010101010101010101010101010101010101010101010101010101010101010101010101010101010101010101010101010101010101010101010101010101010101010101010101010101010102030a010101010101010101010101010101010101010101010101010101010101010101010101010101010101010101010101010101010101010101010101010101010101010101010101010101010101010101010101010101010101010101010101010101010101010101010101010101010101010101010101010101010101010101010101010101010101010101010101010101010101010101010101010101010101010101010101010101010101010101010101010101010101010101010101010101010101010101010101010101010101010101010101010101010101010101010101010101010101010101010101010101010101010101010101010101010101010101010101010101010101010101010101010101010101010101010101010101010101010101010101010101010101010101010101010101010101010101010101010101010101010101010101010101010101010101010203040101010101010101010101010101010101010101010101010101010101010101010101010101010101010101010101010101010101010101010101010101010101010101010101010101010101010101010101010101010101010101010101010101010101010105060701010101010101010101010101010101010101010101010101010101010101010101010101010101010101010101010101010101010101010101010101010101010101010101010101010101010101010101010101010101010101010101010101010101010101010101010101010101010101010101010101010101010101010101010101010101010101010101010101010101010101010101010101010101010101010101010101010101010101010101010101010101010101010101010101010101010101010101010101010101010101010101010101010101010101010101010101010101010101010101010101010101010101010101010101010101010101010101010101010101010101010101010101010101010101010101010101010101010101010101010101010101010101010101010101010101010101010101010101010101010101010101010101010101010101010101010101010101010101010101010101010101010101010101010101010101010101010101010101010101010101010101010101010101010101010101010101010101010101010101010101010101010101010101010101010101010101010101010101010101010101010101010101010101010101010101010101010101010101010101010101010101010101010101010101010101010101010101010101010101010101010101010101010101010101010101010101010101010101010101010101010101010101010101010101010101010101010101010101010101010101010101010101010101010101010101010101010101010101010101010101010101010101010101010101010101010101010101010101010101010101010101010101010101010101010101010101010101010101010101010101010101010101010101010101010101010101010101010101010101010101010101010101010101010101010101010101010101010101010101010101010101010101010101010101010101010101010101010101010101010101010101010101010101010101010101010101010101010101010101010101010101010101010101010101010101010101010101010101010101010101010101010101010101010101010101010101010101010101010101010101010101010101010101010101010101010101010101010101010101010101010101010101010101010101010101010101010101010101010101010101010101010101010101010101010101010101010101010101010101010101010101010101010101010101010101010101010101010101010101010101010101010101010101010101010101010101010101010101010101010101010101010101010101010101010101010101010101010101010101010101010101010101010101010101010101010101010101010101010101010101010101010101010101010101010101010101010101010101010101010101010101010101010101010101010101010101010101010101010101010101010101010101010101010101010101010101010101010101010101010101010101010101010101010101010101010101010101014c000000640000000000000000000000c70100001c0000000000000000000000c80100001d0000002900aa0000000000000000000000803f00000000000000000000803f0000000000000000000000000000000000000000000000000000000000000000220000000c000000ffffffff460000001c00000010000000454d462b024000000c000000000000000e000000140000000000000010000000140000000400000003010800050000000b0200000000050000000c021d00c801030000001e00040000000701040004000000070104005b1a0000410b2000cc001d00c801000000001d00c8010000000028000000c80100001d0000000100080000000000000000000000000000000000330000000000000000000000ffffff009cdfff0000004800ffbf7400489cdf0074000000ffffbf00dfffff0000489c00bf7400009c480000ffffdf00bfffff00000074000074bf00df9c740074bfff00df9c480048000000ffdf9c009c9c48009c48740074004800bfffbf00bf747400480048009c9c7400bf9c480048489c00484848009c4848009cdfdf00bfffdf00480074007400740074bfbf00dfdf9c009cbfff009cbf9c009c7400009c749c00747400007474740074484800dfbf7400dfffbf00bf744800bfbfdf009c9cbf009cbfbf000101010101010101010101010101010101010101010101010101010101010101010101010101010101010101010101010101010101010101010101010101010101010101010101010101010101010101010101010101010101010101010101010101010101010101010101010101010101010101010101010101010101010101010101010101010101010101010101010101010101010101010101010101010101010101010101010101010101010101010101010101010101010101010101010101010101010101010101010101010101010101010101010101010101010101010101010101010101010101010101010101010101010101010101010101010101010101010101010101010101010101010101010101010101010101010101010101010101010101010101010101010101010101010101010101010101010101010101010101010101010101010101010101010101010101010101010101010101010101010101010101010101010101010101010101010101010101010101010101010101010101010101010101010101010101010101010101010101010101010101010101010101010101010101010101010101010101010101010101010101010101010101010101010101010101010101010101010101010101010101010101010101010101010101010101010101010101010101010101010101010101010101010101010101010101010101010101010101010101010101010101010101010101010101010101010101010101010101010101010101010101010101010101010101010101010101010101010101010101010101010101010101010101010101010101010101010101010101010101010101010101010101010101010101010101010101010101010101010101010101010101010101010101010101010101010101010101010101010101010101010101010101010101010101010101010101010101010101010101010101010101010101010101010101010101010101010101010101010101010101010101010101010101010101010101010101010101010101010101010101010101010101010101010101010101010101010101010101010101010101010101010101010101010101010101010101010101010101010101010101010101010101010101010101010101010101010101010101010101010101010101010101010101010101010101010101010101010101010101010101010101010101010101010101010101010101010101010101010101010101010101010101010101010101010101010101010101010101010101010101010101010101010101010101010101010101010101010101010101010101010101010101010101010101010101010101010101010101010101010101010101010101010101010101010101010101010101010101010101010101010101010101010101010101010101010101010101010101010101010101010101010101010101010101010101010101010101010101010101010101010101010101010101010101010101010101010101010101010101010101010101010101010101010101010101010101010101010101010101010101010101010101010101010101010101010101010101010101010101010101010101010101010101010101010101010101010101010101010101010101010101010101010101010101010101010101010101010101010101010101010101010101010101010101010101010101010101010101010101010101010101010101010101010101010101010101010101010101010101010101010101010101010101010101010101010101010101010101010101010101010101010101010101010101010101010101010101010101010101010101010101010101010101010101010101010101010101010101010101010101010101010101010101010101010101010101010101010101010101010101010101010101010101010101010101010101010101010101010101010101010101010101010101010101010101010101010101010101010101010101010101010101010101010101010101010101010101010101010101010101010101010101010101010101010101010101010101010101010101010101010101010101010101010101010101010101010101010101010101010101010101010101010101010101010101010101010101010101010101010101010101010101010101010101010101010101010101010101010101010101010101010101010101010101010101010101010101010101010101010101010101010101010101010101010101010101010101010101010101010101010101010101010101010101010101010101010101010101010101010101010101010101010101010101010101010101010101010101010101010101010101010101010101010101010101010101010101010101010101010101010101010101010101010101010101010101010101010101010101010101010101010101010101010101010101010101010101010101010101010101010101010101010101010101010101010101010101010101010101010101010101010101010101010101010101010101010101010101010101010101010101010101010101010101010101010101010101010101010101010101010101010101010101010101010101010101010101010101010101010101010101010101010101010101010101010101010101010101010101010101010101010101010101010101010101010101010101010101010101010101010101010101010101010101010101010101010101010101010101010101010101010101010101010101010101010101010101010101010101010101010101010101010101010101010101010101010101010101010101010101010101010101010101010101010101010101010101010101010101010101010101010101010101010101010101010101010101010101010101010101010101010101010101010101010101010101010101010101010101010101010101010101010101010101010101010101010101010101010101010101010101010101010101010101010101010101010101010101010101010101010101010101010101010101010101010101010101010101010101010101010101010101010101010101010101010101010101010101010101010101010101010101010101010101010101010101010101010101010101010101010101010101010101010101010101010101010101010101010101010101010101010101010101010101010101010101010101010101010101010101010101010101010101010101010101010101010101010101010101010101010101010101010101010101010101010101010101010101010101010101010101010101010101010101010101010101010101010101010101010101010101010101010101010101010101010101010101010101010101010101010101010101010101010101010101010101010101010101010101010101010101010101010101010101010101010101010101010101010101010101010101010101010101010101010101010101010101010101010101010101010101010101010101010101010101010101010101010101010101010101010101010101010101010101010101010101010101010101010101010101010101010111000401010101010101010101010101010101010101010105060701010101010101010101010101010101020300131401010203000a05002f0c08090000040101051201010500120101010101010101010101010101010101010101010101010101010101010101010101010101010101010101010101010101010101010101010101010101010101010d0e00000a01010512010d23070111000a01010101010101010101010101010101010101010101010101010101010101010101010101010101010d0e00000a010101010101010101010101010101010101010101010101010f1201010f0004010101010101010101010101010101010101010101010101010101010101010101010101010101010101010101010101010101010101010101010101010101010101010101010101010101010101010101010101010101010101010101010101010101010101010101010101010101010101010101010101010101010101010101010101010101010101010101010101010101010101010101010101010101010101010101010101010101010101010101010101010101010101010101010101010101010101010101010101010101010101010101010101010101010108090607010101010101010101010101010101010101010101010102030a01010101010101010101010101010d0e0607081d14010d2307111b2f300c050b0c010f0401021f0c01110b31070101010101010101010101010101010101010101010101010101010101010101010101010101010101010101010101010101010101010111000401010101010101050a0108091201021f0c010f04010217321401010101010101010101010101010101010101010101010101010101010101010101010101010101050a01080912010101010101010101010101010101010101010101010101110a01021f0c01010506070101010101010f120101010101010101010101010101010101010101010101010101010101010101010101010101010101010101010101010101010101010101010101010101010101010101010101010101010101010101010101010101010101010101010101010101010101010101010101010101010101010101010101010101010101010101010101010101010101010101010101010101010101010101010101010101010101010101010101010101010101010101010101010101010101010101010101010101010101010101010101010101010108090b0c010101010101010101010101010101010101010101010101010d0e0a010101010101010101010101011100120101010101010f04010f060701051201010101010d222d010d22140101010101010101010101010101010101010101010101010101010101010101010101010101010101010101010101010101010101010809060701010101010101010f12010d0e12010d22140105060708090401010101010101010101010101010101010101010101010101010101010101010101010101010101010f12010d0e120101010101010101010101010101010101010101010101010d232e1d140101010102030a01010101010d0e0a0101010101010101010101010101010101010101010101010101010101010101010101010101010101010101010101010101010101010101010101010101010101010101010101010101010101010101010101010101010101010101010101010101010101010101010101010101010101010101010101010101010101010101010101010101010101010101010101010101010101010101010101010101010101010101010101010101010101010101010101010101010101010101010101010101010101010101010101010101010513140101010101010101010101010101010101010101010101010101011100040101010101010101010101010f1314010101010101110a010d0e0401110b0c01010101010f2c14010f12010101010101010101010101010101010101010101010101010101010101010101010101010101010101010101010101010101010108090b0c01010101010101010105000006070101010f0607021e1001050a0101010101010101010101010101010101010101010101010101010101010101010101010101010101050000060701010101010101010101010101010101010101010101010101010f00060701010101010d0e0a01010101010f1314010101010101010101010101010101010101010101010101010101010101010101010101010101010101010101010101010101010101010101010101010101010101010101010101010101010101010101010101010101010101010101010101010101010101010101010101010101010101010101010101010101010101010101010101010101010101010101010101010101010101010101010101010101010101010101010101010101010101010101010101010101010101010101010101010101010101010101010101010d0e0a0101010101010101010101010101010101010101010101010101010108090b0c01010101010101010809000000060701010101010d2307010512010d0e0401010101011128290c110b0c01010101010101010101010101010101010101010101010101010101010102030a0101010102030b0c0101010101010101010101051314010101010203000b0c01021a140d0e120101112a19081d2b140217070101010101010101010101010101010101010101010101010101010101010f000000001314010101021a140d0e120101010101010101010101010101010101010203000b0c0101110a0d1901010101010111000401010101050012010101010101010101010101010101010101010101010101010101010101010101010101010101010101010101010101010101010101010101010101010101010101010101010101010101010101010101010101010101010101010101010101010101010101010101010101010101010101010101010101010101010101010101010101010101010101010101010101010101010101010101010101010101010101010101010101010101010101010101010101010101010101010101010101010101010101010101010101010500040101010101010101010101010f00000000040101010101010101010101050004010101010101010809131401010f0012010101111c090401021f0c01111314081d14010d16201f2122140101010101010101010101010101010101010101010101010101010101011100131401010102030004010101010101010101010d0e0a0101010101051314021f0c01050607081d14010d2324120f1c1d251d14010101010101010101010101010101010101010101010101010101010203001201010108090a010101050607081d140101010101010101010101010101010101051314021f0c010217072627170701010108090b0c0101010f0004010101010101010101010101010101010101010101010101010101010101010101010101010101010101010101010101010101010101010101010101010101010101010101010101010101010101010101010101010101010101010101010101010101010101010101010101010101010101010101010101010101010101010101010101010101010101010101010101010101010101010101010101010101010101010101010101010101010101010101010101010101010101010101010101010101010101010101010101010f0607010101010101010101010d0e1314010105000a01010101010101010101020312010101010101011100120101010105001201010105000401081d1401010d0e0006070203131402030b0c0101010101010101010101010101010101010101010101010101010101011100000a01010102031e0b0c0101010101010101010500040101010101051314010101010111000006070d0e1314050004080906070101010101010101010101010101010101010101010101010101010d0e13140101010101011112010101110000060701010101010101010101010101010101010513140101010203131408090b0c010101010500040101010101010101010101010101010101010101010101010101010101010101010101010101010101010101010101010101010101010101010101010101010101010101010101010101010101010101010101010101010101010101010101010101010101010101010101010101010101010101010101010101010101010101010101010101010101010101010101010101010101010101010101010101010101010101010101010101010101010101010101010101010101010101010101010101010101010101010101010101010101010d0e0b0c010101010101010101010f0004010101010f00040101010101010101010d0e0a01010101010101050004010101010809131401010101010101010101010101010101010101010101010101010101010101010101010101010101010101010101010101010101010111001b1a14010102031c09120101010101010101010f0607010101010111001201010101010101010101010101010101010101010101010101010101010101010101010101010101010101010101010105000a010101010101010101010101010101010101010101010101010101010101010101011100120101010101010101010101010101010203120101010101010101010101010101010101010101010101010101010101010101010101010101010101010101010101010101010101010101010101010101010101010101010101010101010101010101010101010101010101010101010101010101010101010101010101010101010101010101010101010101010101010101010101010101010101010101010101010101010101010101010101010101010101010101010101010101010101010101010101010101010101010101010101010101010101010101010101010101010101010d0e0a0101010101010101010108091314010101010500120101010101010101010d0e0b0c0101010101010f0004010101010111000a0101010101010101010101010101010101010101010101010101010101010105000000000000000000000013140101010101010101011100040f0a0101020312110607010101010101010d0e0b0c01010101010d0e0a0101010101010101010101010101010101010101010101010101010101010101010101010101010101010101010101010f0012010101010101010101010101010101010101010101010101010101010101010101010d0e0a0101010101010101010101010101010d0e0a01010101010101010101010101010101010101010101010101010101010101010101010101010101010101010101010101010101010101010101010101010101010101010101010101010101010101010101010101010101010101010101010101010101010101010101010101010101010101010101010101010101010101010101010101010101010101010101010101010101010101010101010101010101010101010101010101010101010101010101010101010101010101010101010101010101010101010101010101010101010102030a0101010101010101010108091314010101010500120101010101010101010809060701010101010105001201010101010d0e0607010101010101010101010101010101010101010101010101010101010101010101010101010101010101010101010101010101010105000402170701020312010f0a010101010101010d0e0a01010101010108090b0c01010101010101010101010101010101010101010101010101010500000000000000000000001314010101010101010f00040101010101010101010101010101010101010101010101010d0e060701010101010108090b0c01010101010101010101010101010d0e0b0c010101010101010101010101010101010101010101010101010101010101010101010101010101010101010101010101010101010101010101010101010101010101010101010101010101010101010101010101010101010101010101010101010101010101010101010101010101010101010101010101010101010101010101010101010101010101010101010101010101010101010101010101010101010101010101010101010101010101010101010101010101010101010101010101010101010101010101010101010101010102030a0101010101010101010101050004010101010f00040101010101010101010809060701010101010111000a0101010101010f00040101010101010101010101010101010101010101010101010101010101010101010101010101010101010101010101010101010101050004010f120102030a01021a1401010101010102030a0101010101010105131401010101010101010101010101010101010101010101010101010101010101010101010101010101010101010101010f0012010101010101010101010101010101010101010101010101020300040101010101010105131401010101010101010101010101010809060701010101010101010101010101010101010101010101010101010101010101010101010101010101010101010101010101010101010101010101010101010101010101010101010101010101010101010101010101010101010101010101010101010101010101010101010101010101010101010101010101010101010101010101010101010101010101010101010101010101010101010101010101010101010101010101010101010101010101010101010101010101010101010101010101010101010101010101010101010101010d0e0a010101010101010101010108091314010105000a010101010101010101010d0e0b0c01010101010102030b0c010101010111000a01010101010101010101010101010101010101010101010101010101010101010101010101010101010101010101010101010101010513140102170702030a01010f0a01010101010102030a01010101010101110004010101010101010101010101010101010101010101010101010101010101010101010101010101010101010101010105000b0c01010101010101010101010101010101010101010101010d0e06070101010101010111000401010101010101010101010101010809060701010101010101010101010101010101010101010101010101010101010101010101010101010101010101010101010101010101010101010101010101010101010101010101010101010101010101010101010101010101010101010101010101010101010101010101010101010101010101010101010101010101010101010101010101010101010101010101010101010101010101010101010101010101010101010101010101010101010101010101010101010101010101010101010101010101010101010101010101010101010d0e0b0c0101010101010101010101010f000000000401010101010101010101010d0e0a0101010101010108091314010101010102030a010101010101010101010101010101010101010101010101010101010101050000000000000000000000131401010101010101010105131401010f1202030a010102030401010101010d0e0a0101010101010111001201010101010101010101010101010101010101010101010101010101010101010101010101010101010101010101010d0e13140101010101010101010101010101010101010101010101010101010101010101010111001201010101010101010101010101010d0e0b0c0101010101010101010101010101010101010101010101010101010101010101010101010101010101010101010101010101010101010101010101010101010101010101010101010101010101010101010101010101010101010101010101010101010101010101010101010101010101010101010101010101010101010101010101010101010101010101010101010101010101010101010101010101010101010101010101010101010101010101010101010101010101010101010101010101010101010101010101010101010101010f0607010101010101010101010d0e1314010111000a010101010101010101010203120101010101010101050012010101010102030b0c010101010101010101010101010101010101010101010101010101010101010101010101010101010101010101010101010101010f131401010217180e0a010101050b0c010101010d0e0b0c01010101011100000a01010101010101010101010101010101010101010101010101010101010101010101010101010101010101010101010105000a010101010101010d190101010101010101010101010101010101010101010101011100000a01010101010101010101010101010d0e0a01010101010101010101010101010101010101010101010101010101010101010101010101010101010101010101010101010101010101010101010101010101010101010101010101010101010101010101010101010101010101010101010101010101010101010101010101010101010101010101010101010101010101010101010101010101010101010101010101010101010101010101010101010101010101010101010101010101010101010101010101010101010101010101010101010101010101010101010101010101010101051314010101010101010101010f0012010101010f000401010101010101010105131401010101010101010d0e06070101010102030b0c010101010101010101010101010101010101010101010101010101010101010101010101010101010101010101010101010101010f13140101010f150e0a0101010d0e1201010101010f0607010101010101010101010101010101010101010101010101010101010101010101010101010101010101010101010101010101010101010101080900040101010101010d160c0101010101010101010101010101010101010101010101010101010101010101010101010101010101020312010101010101010101010101010101010101010101010101010101010101010101010101010101010101010101010101010101010101010101010101010101010101010101010101010101010101010101010101010101010101010101010101010101010101010101010101010101010101010101010101010101010101010101010101010101010101010101010101010101010101010101010101010101010101010101010101010101010101010101010101010101010101010101010101010101010101010101010101010101010101010d0e0a010101010101010101010f000401010101050012010101010101010108090b0c01010101010101010111000b0c01010111001201010101010101010101010101010101010101010101010101010101010101010101010101010101010101010101010101010101010f13140101010203000a0101010105060701010101051314010101010101010101010101010101010101010101010101010101010101010101010101010101010101010101010101010101010101010101010d0e13140101010101110607010101010101010101010101010101010101010101010101010101010101010101010101010101010105131401010101010101010101010101010101010101010101010101010101010101010101010101010101010101010101010101010101010101010101010101010101010101010101010101010101010101010101010101010101010101010101010101010101010101010101010101010101010101010101010101010101010101010101010101010101010101010101010101010101010101010101010101010101010101010101010101010101010101010101010101010101010101010101010101010101010101010101010101010101010101010506070101010101010101010f0004010101010f00040101010101010101110004010101010101010101010111000b0c010d0e06070101010101010101010101010101010101010101010101010101010101010101010101010101010101010101010101010101010108090012010101010f000a010101010f000b0c0101010d0e0a0101010101010111001201010101010101010101010101010101010101010101010101010101010101010101010101010101010101010101010101010f000a010101020300040101010101010101010101010101010101010101010101010111001201010101010101010101010108090b0c010101010101010101010101010101010101010101010101010101010101010101010101010101010101010101010101010101010101010101010101010101010101010101010101010101010101010101010101010101010101010101010101010101010101010101010101010101010101010101010101010101010101010101010101010101010101010101010101010101010101010101010101010101010101010101010101010101010101010101010101010101010101010101010101010101010101010101010101010101010101010108090b0c01010101010101010d0e0607010111000607010101010101010d0e0a0101010101010101010101010108090000000607010101010101010101010101010101010101010101010101010101010101010101010101010101010101010101010101010101010d0e0000000401010102030a010101050000000a0101010105060701010101010102030a010101010101010101010101010101010101010101010101010101010101010101010101010101010101010101010101010101010f0000000b0c02100101010101010101010101010101010101010101010101010102030a01010101010101010101010111000401010101010101010101010101010101010101010101010101010101010101010101010101010101010101010101010101010101010101010101010101010101010101010101010101010101010101010101010101010101010101010101010101010101010101010101010101010101010101010101010101010101010101010101010101010101010101010101010101010101010101010101010101010101010101010101010101010101010101010101010101010101010101010101010101010101010101010101010101010101010101010101080906070101010101010101010f000000000a010101010101010102030a0101010101010101010101010101010101010101010101010101010101010101010101010101010101010101010101010101010101010101010101010101010101010101010101010101010101010101010101010101010101010101010101010108090b0c01010101010101010101010101010101010101010101010101010101010101010101010101010101010101010101010101010101010101010101010101010101010101010101010101010101010101010101010101010101010101010101010101010101010101010101010d0e0a010101010101010101010101010101010101010101010101010101010101010101010101010101010101010101010101010101010101010101010101010101010101010101010101010101010101010101010101010101010101010101010101010101010101010101010101010101010101010101010101010101010101010101010101010101010101010101010101010101010101010101010101010101010101010101010101010101010101010101010101010101010101010101010101010101010101010101010101010101010101010101010101010203040101010101010101010101010101010101010101010506070101010101010101010101010101010101010101010101010101010101010101010101010101010101010101010101010101010101010101010101010101010101010101010101010101010101010101010101010101010101010101010101010101010809060701010101010101010101010101010101010101010101010101010101010101010101010101010101010101010101010101010101010101010101010101010101010101010101010101010101010101010101010101010101010101010101010101010101010101010102030a010101010101010101010101010101010101010101010101010101010101010101010101010101010101010101010101010101010101010101010101010101010101010101010101010101010101010101010101010101010101010101010101010101010101010101010101010101010101010101010101010101010101010101010101010101010101010101010101010101010101010101010101010101010101010101010101010101010101010101010101010101010101010101010101010101010101010101010101010101010101010101010101010101010101010101010101010101010101010101010101010101010101010101010101010101010101010101010101010101010101010101010101010101010101010101010101010101010101010101010101010101010101010101010101010101010101010101010101010101010101010101010101010101010101010101010203040101010101010101010101010101010101010101010101010101010101010101010101010101010101010101010101010101010101010101010101010101010101010101010101010101010101010101010101010101010101010101010101010101010101010105060701010101010101010101010101010101010101010101010101010101010101010101010101010101010101010101010101010101010101010101010101010101010101010101010101010101010101010101010101010101010101010101010101010101010101010101010101010101010101010101010101010101010101010101010101010101010101010101010101010101010101010101010101010101010101010101010101010101010101010101010101010101010101010101010101010101010101010101010101010101010101010101010101010101010101010101010101010101010101010101010101010101010101010101010101010101010101010101010101010101010101010101010101010101010101010101010101010101010101010101010101010101010101010101010101010101010101010101010101010101010101010101010101010101010101010101010101010101010101010101010101010101010101010101010101010101010101010101010101010101010101010101010101010101010101010101010101010101010101010101010101010101010101010101010101010101010101010101010101010101010101010101010101010101010101010101010101010101010101010101010101010101010101010101010101010101010101010101010101010101010101010101010101010101010101010101010101010101010101010101010101010101010101010101010101010101010101010101010101010101010101010101010101010101010101010101010101010101010101010101010101010101010101010101010101010101010101010101010101010101010101010101010101010101010101010101010101010101010101010101010101010101010101010101010101010101010101010101010101010101010101010101010101010101010101010101010101010101010101010101010101010101010101010101010101010101010101010101010101010101010101010101010101010101010101010101010101010101010101010101010101010101010101010101010101010101010101010101010101010101010101010101010101010101010101010101010101010101010101010101010101010101010101010101010101010101010101010101010101010101010101010101010101010101010101010101010101010101010101010101010101010101010101010101010101010101010101010101010101010101010101010101010101010101010101010101010101010101010101010101010101010101010101010101010101010101010101010101010101010101010101010101010101010101010101010101010101010101010101010101010101010101010101010101010101010101010101010101010101010101010101010101010101010101010101010101010101010101010101010101010101010101010101010101010101010101010101010101010101010101010101010101010101010101010101010101010101010101010101010101010101010101010101010101010101010101010101010101010c00000040092900aa000000000000001d00c80100000000040000002701ffff030000000000

где С>в> – удельная теплоемкость воды при t>к>, Дж/(кг·К);
По условию раствор в аппарат поступает при температуре кипения, следовательно Q>нагр> = 0
Расход теплоты на компенсацию потерь в окружающую среду принимают в размере 3-5% от суммы (Q>нагр> + Q>исп>)
т.к. Q>нагр> = 0, то принимаем
Q>пот >= 0,3*Q>исп >и тогда

Определяем температуру вторичного пара в барометрическом конденсаторе. Определяется как температура насыщения при давлении в барометрическом конденсаторе.
При р>б.к.> = 0,18 t>o> = 57,26

|
|

59,7-2,44=57,26
Определяем температуру вторичного пара в сепараторе выпарного аппарата

где t>1 >– температура вторичного пара в сепараторе,010009000003f004000000004c03000000004c03000026060f008e06574d46430100000000000100de1c00000000010000006c060000000000006c060000010000006c0000000000000000000000120000001c0000000000000000000000f1010000f702000020454d46000001006c0600000c00000001000000000000000000000000000000900600001a040000b801000013010000000000000000000000000000c0b6060038320400460000002c00000020000000454d462b014001001c000000100000000210c0db01000000600000006000000046000000f4010000e8010000454d462b224004000c000000000000001e4009000c00000000000000244001000c000000000000003040020010000000040000000000803f214007000c000000000000000840000540010000340100000210c0db01000000000000000000000000000000000000000100000089504e470d0a1a0a0000000d49484452000000130000001d08030000007f84a78e000000017352474200aece1ce9000000097048597300000ec400000ec401952b0e1b00000042504c544500000000004800007400489c0074bf48000048007448489c489cdf74000074bfff9c48009cdfffbf7400bfffffdf9c48dfffffffbf74ffdf9cffffbfffffdfffffff25049bae0000006d4944415428cfbd90c70e80300c43cd2e23a583fcffafd2428a5a7164f8143d29896df05d789d6d33d01eb3eb10d4186cb362a608092af2c05cafc334185e2362b619f363add3bd7357b195a3f90f592dbc3c61c50f51347bcb4b9892e78bf9b15a245bd607413af8a5fbefd90e88f728711999dadb0000000049454e44ae42608200000840010824000000180000000210c0db01000000030000000000000000000000000000001b40000040000000340000000100000002000000000000bf000000bf000098410000e84103000000000080b3000080b3ffff9741000080b3000080b3ffffe7412100000008000000620000000c00000001000000150000000c00000004000000150000000c0000000400000051000000140300000000000000000000120000001c00000000000000000000000000000000000000130000001d0000005000000080000000d000000044020000000000002000cc00130000001d00000028000000130000001d0000000100080000000000000000000000000000000000160000000000000000000000ffffff00dfffff0000489c00bf7400009cdfff00000048009c480000ffffdf00df9c48000074bf0074004800ffffbf009c484800489cdf0074bfff00bfffff000000740074000000ffbf740048000000ffdf9c00010101010101010101010101010101010101010001010101010101010101010101010101010101000101010101010101010101010101010101010100010101010101010101010101010101010101010001010101010101010101010101010101010101000101010101010101010101010101010101010100010101010101010101010101010101010101010001010101010101010101010101010101010101000101010101010101010101010101010101010100010101010101010101010101010101010101010001010101010101010101010a000000000007080001010101010101010110111415010105060708000101010101010101010a0013010101010f070800010101010101010105060708010101010101010001010101010101010f000401010101010101010001010101010101010e000901010101010101010001010101010101010e000901010101010101010001010101010101010e000901010101010101010001020300000401010e000901010101010101010002030901010a09010f0004010101010101010100050b0c0101050d081011120c0101010101010100050b0c0101050d08010e0009010101010f07080002030901010a040101010a0009010105060708000102030000040101010101050600000000070800010101010101010101010101010101010101010001010101010101010101010101010101010101000101010101010101010101010101010101010100010101010101010101010101010101010101010001010101010101010101010101010101010101004c000000640000000000000000000000120000001c0000000000000000000000130000001d0000002900aa0000000000000000000000803f00000000000000000000803f0000000000000000000000000000000000000000000000000000000000000000220000000c000000ffffffff460000001c00000010000000454d462b024000000c000000000000000e000000140000000000000010000000140000000400000003010800050000000b0200000000050000000c021d001300030000001e00040000000701040004000000070104006f010000410b2000cc001d001300000000001d0013000000000028000000130000001d0000000100080000000000000000000000000000000000160000000000000000000000ffffff00dfffff0000489c00bf7400009cdfff00000048009c480000ffffdf00df9c48000074bf0074004800ffffbf009c484800489cdf0074bfff00bfffff000000740074000000ffbf740048000000ffdf9c00010101010101010101010101010101010101010001010101010101010101010101010101010101000101010101010101010101010101010101010100010101010101010101010101010101010101010001010101010101010101010101010101010101000101010101010101010101010101010101010100010101010101010101010101010101010101010001010101010101010101010101010101010101000101010101010101010101010101010101010100010101010101010101010101010101010101010001010101010101010101010a000000000007080001010101010101010110111415010105060708000101010101010101010a0013010101010f070800010101010101010105060708010101010101010001010101010101010f000401010101010101010001010101010101010e000901010101010101010001010101010101010e000901010101010101010001010101010101010e000901010101010101010001020300000401010e000901010101010101010002030901010a09010f0004010101010101010100050b0c0101050d081011120c0101010101010100050b0c0101050d08010e0009010101010f07080002030901010a040101010a0009010105060708000102030000040101010101050600000000070800010101010101010101010101010101010101010001010101010101010101010101010101010101000101010101010101010101010101010101010100010101010101010101010101010101010101010001010101010101010101010101010101010101000c00000040092900aa000000000000001d00130000000000040000002701ffff030000000000;
t>0>
– температура вторичного пара в
барометрическом конденсаторе,010009000003f004000000004c03000000004c03000026060f008e06574d46430100000000000100de1c00000000010000006c060000000000006c060000010000006c0000000000000000000000120000001c0000000000000000000000f1010000f702000020454d46000001006c0600000c00000001000000000000000000000000000000900600001a040000b801000013010000000000000000000000000000c0b6060038320400460000002c00000020000000454d462b014001001c000000100000000210c0db01000000600000006000000046000000f4010000e8010000454d462b224004000c000000000000001e4009000c00000000000000244001000c000000000000003040020010000000040000000000803f214007000c000000000000000840000540010000340100000210c0db01000000000000000000000000000000000000000100000089504e470d0a1a0a0000000d49484452000000130000001d08030000007f84a78e000000017352474200aece1ce9000000097048597300000ec400000ec401952b0e1b00000042504c544500000000004800007400489c0074bf48000048007448489c489cdf74000074bfff9c48009cdfffbf7400bfffffdf9c48dfffffffbf74ffdf9cffffbfffffdfffffff25049bae0000006d4944415428cfbd90c70e80300c43cd2e23a583fcffafd2428a5a7164f8143d29896df05d789d6d33d01eb3eb10d4186cb362a608092af2c05cafc334185e2362b619f363add3bd7357b195a3f90f592dbc3c61c50f51347bcb4b9892e78bf9b15a245bd607413af8a5fbefd90e88f728711999dadb0000000049454e44ae42608200000840010824000000180000000210c0db01000000030000000000000000000000000000001b40000040000000340000000100000002000000000000bf000000bf000098410000e84103000000000080b3000080b3ffff9741000080b3000080b3ffffe7412100000008000000620000000c00000001000000150000000c00000004000000150000000c0000000400000051000000140300000000000000000000120000001c00000000000000000000000000000000000000130000001d0000005000000080000000d000000044020000000000002000cc00130000001d00000028000000130000001d0000000100080000000000000000000000000000000000160000000000000000000000ffffff00dfffff0000489c00bf7400009cdfff00000048009c480000ffffdf00df9c48000074bf0074004800ffffbf009c484800489cdf0074bfff00bfffff000000740074000000ffbf740048000000ffdf9c00010101010101010101010101010101010101010001010101010101010101010101010101010101000101010101010101010101010101010101010100010101010101010101010101010101010101010001010101010101010101010101010101010101000101010101010101010101010101010101010100010101010101010101010101010101010101010001010101010101010101010101010101010101000101010101010101010101010101010101010100010101010101010101010101010101010101010001010101010101010101010a000000000007080001010101010101010110111415010105060708000101010101010101010a0013010101010f070800010101010101010105060708010101010101010001010101010101010f000401010101010101010001010101010101010e000901010101010101010001010101010101010e000901010101010101010001010101010101010e000901010101010101010001020300000401010e000901010101010101010002030901010a09010f0004010101010101010100050b0c0101050d081011120c0101010101010100050b0c0101050d08010e0009010101010f07080002030901010a040101010a0009010105060708000102030000040101010101050600000000070800010101010101010101010101010101010101010001010101010101010101010101010101010101000101010101010101010101010101010101010100010101010101010101010101010101010101010001010101010101010101010101010101010101004c000000640000000000000000000000120000001c0000000000000000000000130000001d0000002900aa0000000000000000000000803f00000000000000000000803f0000000000000000000000000000000000000000000000000000000000000000220000000c000000ffffffff460000001c00000010000000454d462b024000000c000000000000000e000000140000000000000010000000140000000400000003010800050000000b0200000000050000000c021d001300030000001e00040000000701040004000000070104006f010000410b2000cc001d001300000000001d0013000000000028000000130000001d0000000100080000000000000000000000000000000000160000000000000000000000ffffff00dfffff0000489c00bf7400009cdfff00000048009c480000ffffdf00df9c48000074bf0074004800ffffbf009c484800489cdf0074bfff00bfffff000000740074000000ffbf740048000000ffdf9c00010101010101010101010101010101010101010001010101010101010101010101010101010101000101010101010101010101010101010101010100010101010101010101010101010101010101010001010101010101010101010101010101010101000101010101010101010101010101010101010100010101010101010101010101010101010101010001010101010101010101010101010101010101000101010101010101010101010101010101010100010101010101010101010101010101010101010001010101010101010101010a000000000007080001010101010101010110111415010105060708000101010101010101010a0013010101010f070800010101010101010105060708010101010101010001010101010101010f000401010101010101010001010101010101010e000901010101010101010001010101010101010e000901010101010101010001010101010101010e000901010101010101010001020300000401010e000901010101010101010002030901010a09010f0004010101010101010100050b0c0101050d081011120c0101010101010100050b0c0101050d08010e0009010101010f07080002030901010a040101010a0009010105060708000102030000040101010101050600000000070800010101010101010101010101010101010101010001010101010101010101010101010101010101000101010101010101010101010101010101010100010101010101010101010101010101010101010001010101010101010101010101010101010101000c00000040092900aa000000000000001d00130000000000040000002701ffff030000000000
;
Δt>г.с.
>–
гидравлическая депрессия (сопротивление),
т.е. изменение температуры вторичного
пара на участке сепаратор - барометрический
конденсатор, вызванное падением давления
пара из-за гидравлического сопротивления
паропровода вторичного пара,010009000003f004000000004c03000000004c03000026060f008e06574d46430100000000000100de1c00000000010000006c060000000000006c060000010000006c0000000000000000000000120000001c0000000000000000000000f1010000f702000020454d46000001006c0600000c00000001000000000000000000000000000000900600001a040000b801000013010000000000000000000000000000c0b6060038320400460000002c00000020000000454d462b014001001c000000100000000210c0db01000000600000006000000046000000f4010000e8010000454d462b224004000c000000000000001e4009000c00000000000000244001000c000000000000003040020010000000040000000000803f214007000c000000000000000840000540010000340100000210c0db01000000000000000000000000000000000000000100000089504e470d0a1a0a0000000d49484452000000130000001d08030000007f84a78e000000017352474200aece1ce9000000097048597300000ec400000ec401952b0e1b00000042504c544500000000004800007400489c0074bf48000048007448489c489cdf74000074bfff9c48009cdfffbf7400bfffffdf9c48dfffffffbf74ffdf9cffffbfffffdfffffff25049bae0000006d4944415428cfbd90c70e80300c43cd2e23a583fcffafd2428a5a7164f8143d29896df05d789d6d33d01eb3eb10d4186cb362a608092af2c05cafc334185e2362b619f363add3bd7357b195a3f90f592dbc3c61c50f51347bcb4b9892e78bf9b15a245bd607413af8a5fbefd90e88f728711999dadb0000000049454e44ae42608200000840010824000000180000000210c0db01000000030000000000000000000000000000001b40000040000000340000000100000002000000000000bf000000bf000098410000e84103000000000080b3000080b3ffff9741000080b3000080b3ffffe7412100000008000000620000000c00000001000000150000000c00000004000000150000000c0000000400000051000000140300000000000000000000120000001c00000000000000000000000000000000000000130000001d0000005000000080000000d000000044020000000000002000cc00130000001d00000028000000130000001d0000000100080000000000000000000000000000000000160000000000000000000000ffffff00dfffff0000489c00bf7400009cdfff00000048009c480000ffffdf00df9c48000074bf0074004800ffffbf009c484800489cdf0074bfff00bfffff000000740074000000ffbf740048000000ffdf9c00010101010101010101010101010101010101010001010101010101010101010101010101010101000101010101010101010101010101010101010100010101010101010101010101010101010101010001010101010101010101010101010101010101000101010101010101010101010101010101010100010101010101010101010101010101010101010001010101010101010101010101010101010101000101010101010101010101010101010101010100010101010101010101010101010101010101010001010101010101010101010a000000000007080001010101010101010110111415010105060708000101010101010101010a0013010101010f070800010101010101010105060708010101010101010001010101010101010f000401010101010101010001010101010101010e000901010101010101010001010101010101010e000901010101010101010001010101010101010e000901010101010101010001020300000401010e000901010101010101010002030901010a09010f0004010101010101010100050b0c0101050d081011120c0101010101010100050b0c0101050d08010e0009010101010f07080002030901010a040101010a0009010105060708000102030000040101010101050600000000070800010101010101010101010101010101010101010001010101010101010101010101010101010101000101010101010101010101010101010101010100010101010101010101010101010101010101010001010101010101010101010101010101010101004c000000640000000000000000000000120000001c0000000000000000000000130000001d0000002900aa0000000000000000000000803f00000000000000000000803f0000000000000000000000000000000000000000000000000000000000000000220000000c000000ffffffff460000001c00000010000000454d462b024000000c000000000000000e000000140000000000000010000000140000000400000003010800050000000b0200000000050000000c021d001300030000001e00040000000701040004000000070104006f010000410b2000cc001d001300000000001d0013000000000028000000130000001d0000000100080000000000000000000000000000000000160000000000000000000000ffffff00dfffff0000489c00bf7400009cdfff00000048009c480000ffffdf00df9c48000074bf0074004800ffffbf009c484800489cdf0074bfff00bfffff000000740074000000ffbf740048000000ffdf9c00010101010101010101010101010101010101010001010101010101010101010101010101010101000101010101010101010101010101010101010100010101010101010101010101010101010101010001010101010101010101010101010101010101000101010101010101010101010101010101010100010101010101010101010101010101010101010001010101010101010101010101010101010101000101010101010101010101010101010101010100010101010101010101010101010101010101010001010101010101010101010a000000000007080001010101010101010110111415010105060708000101010101010101010a0013010101010f070800010101010101010105060708010101010101010001010101010101010f000401010101010101010001010101010101010e000901010101010101010001010101010101010e000901010101010101010001010101010101010e000901010101010101010001020300000401010e000901010101010101010002030901010a09010f0004010101010101010100050b0c0101050d081011120c0101010101010100050b0c0101050d08010e0009010101010f07080002030901010a040101010a0009010105060708000102030000040101010101050600000000070800010101010101010101010101010101010101010001010101010101010101010101010101010101000101010101010101010101010101010101010100010101010101010101010101010101010101010001010101010101010101010101010101010101000c00000040092900aa000000000000001d00130000000000040000002701ffff030000000000
.
Принимаем
Δt>г.с.>
= 1010009000003f004000000004c03000000004c03000026060f008e06574d46430100000000000100de1c00000000010000006c060000000000006c060000010000006c0000000000000000000000120000001c0000000000000000000000f1010000f702000020454d46000001006c0600000c00000001000000000000000000000000000000900600001a040000b801000013010000000000000000000000000000c0b6060038320400460000002c00000020000000454d462b014001001c000000100000000210c0db01000000600000006000000046000000f4010000e8010000454d462b224004000c000000000000001e4009000c00000000000000244001000c000000000000003040020010000000040000000000803f214007000c000000000000000840000540010000340100000210c0db01000000000000000000000000000000000000000100000089504e470d0a1a0a0000000d49484452000000130000001d08030000007f84a78e000000017352474200aece1ce9000000097048597300000ec400000ec401952b0e1b00000042504c544500000000004800007400489c0074bf48000048007448489c489cdf74000074bfff9c48009cdfffbf7400bfffffdf9c48dfffffffbf74ffdf9cffffbfffffdfffffff25049bae0000006d4944415428cfbd90c70e80300c43cd2e23a583fcffafd2428a5a7164f8143d29896df05d789d6d33d01eb3eb10d4186cb362a608092af2c05cafc334185e2362b619f363add3bd7357b195a3f90f592dbc3c61c50f51347bcb4b9892e78bf9b15a245bd607413af8a5fbefd90e88f728711999dadb0000000049454e44ae42608200000840010824000000180000000210c0db01000000030000000000000000000000000000001b40000040000000340000000100000002000000000000bf000000bf000098410000e84103000000000080b3000080b3ffff9741000080b3000080b3ffffe7412100000008000000620000000c00000001000000150000000c00000004000000150000000c0000000400000051000000140300000000000000000000120000001c00000000000000000000000000000000000000130000001d0000005000000080000000d000000044020000000000002000cc00130000001d00000028000000130000001d0000000100080000000000000000000000000000000000160000000000000000000000ffffff00dfffff0000489c00bf7400009cdfff00000048009c480000ffffdf00df9c48000074bf0074004800ffffbf009c484800489cdf0074bfff00bfffff000000740074000000ffbf740048000000ffdf9c00010101010101010101010101010101010101010001010101010101010101010101010101010101000101010101010101010101010101010101010100010101010101010101010101010101010101010001010101010101010101010101010101010101000101010101010101010101010101010101010100010101010101010101010101010101010101010001010101010101010101010101010101010101000101010101010101010101010101010101010100010101010101010101010101010101010101010001010101010101010101010a000000000007080001010101010101010110111415010105060708000101010101010101010a0013010101010f070800010101010101010105060708010101010101010001010101010101010f000401010101010101010001010101010101010e000901010101010101010001010101010101010e000901010101010101010001010101010101010e000901010101010101010001020300000401010e000901010101010101010002030901010a09010f0004010101010101010100050b0c0101050d081011120c0101010101010100050b0c0101050d08010e0009010101010f07080002030901010a040101010a0009010105060708000102030000040101010101050600000000070800010101010101010101010101010101010101010001010101010101010101010101010101010101000101010101010101010101010101010101010100010101010101010101010101010101010101010001010101010101010101010101010101010101004c000000640000000000000000000000120000001c0000000000000000000000130000001d0000002900aa0000000000000000000000803f00000000000000000000803f0000000000000000000000000000000000000000000000000000000000000000220000000c000000ffffffff460000001c00000010000000454d462b024000000c000000000000000e000000140000000000000010000000140000000400000003010800050000000b0200000000050000000c021d001300030000001e00040000000701040004000000070104006f010000410b2000cc001d001300000000001d0013000000000028000000130000001d0000000100080000000000000000000000000000000000160000000000000000000000ffffff00dfffff0000489c00bf7400009cdfff00000048009c480000ffffdf00df9c48000074bf0074004800ffffbf009c484800489cdf0074bfff00bfffff000000740074000000ffbf740048000000ffdf9c00010101010101010101010101010101010101010001010101010101010101010101010101010101000101010101010101010101010101010101010100010101010101010101010101010101010101010001010101010101010101010101010101010101000101010101010101010101010101010101010100010101010101010101010101010101010101010001010101010101010101010101010101010101000101010101010101010101010101010101010100010101010101010101010101010101010101010001010101010101010101010a000000000007080001010101010101010110111415010105060708000101010101010101010a0013010101010f070800010101010101010105060708010101010101010001010101010101010f000401010101010101010001010101010101010e000901010101010101010001010101010101010e000901010101010101010001010101010101010e000901010101010101010001020300000401010e000901010101010101010002030901010a09010f0004010101010101010100050b0c0101050d081011120c0101010101010100050b0c0101050d08010e0009010101010f07080002030901010a040101010a0009010105060708000102030000040101010101050600000000070800010101010101010101010101010101010101010001010101010101010101010101010101010101000101010101010101010101010101010101010100010101010101010101010101010101010101010001010101010101010101010101010101010101000c00000040092900aa000000000000001d00130000000000040000002701ffff030000000000
тогда t>1> = 57,26 + 1 = 58,26 010009000003f004000000004c03000000004c03000026060f008e06574d46430100000000000100de1c00000000010000006c060000000000006c060000010000006c0000000000000000000000120000001c0000000000000000000000f1010000f702000020454d46000001006c0600000c00000001000000000000000000000000000000900600001a040000b801000013010000000000000000000000000000c0b6060038320400460000002c00000020000000454d462b014001001c000000100000000210c0db01000000600000006000000046000000f4010000e8010000454d462b224004000c000000000000001e4009000c00000000000000244001000c000000000000003040020010000000040000000000803f214007000c000000000000000840000540010000340100000210c0db01000000000000000000000000000000000000000100000089504e470d0a1a0a0000000d49484452000000130000001d08030000007f84a78e000000017352474200aece1ce9000000097048597300000ec400000ec401952b0e1b00000042504c544500000000004800007400489c0074bf48000048007448489c489cdf74000074bfff9c48009cdfffbf7400bfffffdf9c48dfffffffbf74ffdf9cffffbfffffdfffffff25049bae0000006d4944415428cfbd90c70e80300c43cd2e23a583fcffafd2428a5a7164f8143d29896df05d789d6d33d01eb3eb10d4186cb362a608092af2c05cafc334185e2362b619f363add3bd7357b195a3f90f592dbc3c61c50f51347bcb4b9892e78bf9b15a245bd607413af8a5fbefd90e88f728711999dadb0000000049454e44ae42608200000840010824000000180000000210c0db01000000030000000000000000000000000000001b40000040000000340000000100000002000000000000bf000000bf000098410000e84103000000000080b3000080b3ffff9741000080b3000080b3ffffe7412100000008000000620000000c00000001000000150000000c00000004000000150000000c0000000400000051000000140300000000000000000000120000001c00000000000000000000000000000000000000130000001d0000005000000080000000d000000044020000000000002000cc00130000001d00000028000000130000001d0000000100080000000000000000000000000000000000160000000000000000000000ffffff00dfffff0000489c00bf7400009cdfff00000048009c480000ffffdf00df9c48000074bf0074004800ffffbf009c484800489cdf0074bfff00bfffff000000740074000000ffbf740048000000ffdf9c00010101010101010101010101010101010101010001010101010101010101010101010101010101000101010101010101010101010101010101010100010101010101010101010101010101010101010001010101010101010101010101010101010101000101010101010101010101010101010101010100010101010101010101010101010101010101010001010101010101010101010101010101010101000101010101010101010101010101010101010100010101010101010101010101010101010101010001010101010101010101010a000000000007080001010101010101010110111415010105060708000101010101010101010a0013010101010f070800010101010101010105060708010101010101010001010101010101010f000401010101010101010001010101010101010e000901010101010101010001010101010101010e000901010101010101010001010101010101010e000901010101010101010001020300000401010e000901010101010101010002030901010a09010f0004010101010101010100050b0c0101050d081011120c0101010101010100050b0c0101050d08010e0009010101010f07080002030901010a040101010a0009010105060708000102030000040101010101050600000000070800010101010101010101010101010101010101010001010101010101010101010101010101010101000101010101010101010101010101010101010100010101010101010101010101010101010101010001010101010101010101010101010101010101004c000000640000000000000000000000120000001c0000000000000000000000130000001d0000002900aa0000000000000000000000803f00000000000000000000803f0000000000000000000000000000000000000000000000000000000000000000220000000c000000ffffffff460000001c00000010000000454d462b024000000c000000000000000e000000140000000000000010000000140000000400000003010800050000000b0200000000050000000c021d001300030000001e00040000000701040004000000070104006f010000410b2000cc001d001300000000001d0013000000000028000000130000001d0000000100080000000000000000000000000000000000160000000000000000000000ffffff00dfffff0000489c00bf7400009cdfff00000048009c480000ffffdf00df9c48000074bf0074004800ffffbf009c484800489cdf0074bfff00bfffff000000740074000000ffbf740048000000ffdf9c00010101010101010101010101010101010101010001010101010101010101010101010101010101000101010101010101010101010101010101010100010101010101010101010101010101010101010001010101010101010101010101010101010101000101010101010101010101010101010101010100010101010101010101010101010101010101010001010101010101010101010101010101010101000101010101010101010101010101010101010100010101010101010101010101010101010101010001010101010101010101010a000000000007080001010101010101010110111415010105060708000101010101010101010a0013010101010f070800010101010101010105060708010101010101010001010101010101010f000401010101010101010001010101010101010e000901010101010101010001010101010101010e000901010101010101010001010101010101010e000901010101010101010001020300000401010e000901010101010101010002030901010a09010f0004010101010101010100050b0c0101050d081011120c0101010101010100050b0c0101050d08010e0009010101010f07080002030901010a040101010a0009010105060708000102030000040101010101050600000000070800010101010101010101010101010101010101010001010101010101010101010101010101010101000101010101010101010101010101010101010100010101010101010101010101010101010101010001010101010101010101010101010101010101000c00000040092900aa000000000000001d00130000000000040000002701ffff030000000000
этой температуре соответствует p>1> = 0,1883


0,2031 – 0,0148 = 0,1883
Конечная температура раствора (температура кипения раствора в сепараторе) при которой упаренный раствор выводится из аппарата.

где
t>к>
– температура кипения раствора в
сепараторе, 010009000003f004000000004c03000000004c03000026060f008e06574d46430100000000000100de1c00000000010000006c060000000000006c060000010000006c0000000000000000000000120000001c0000000000000000000000f1010000f702000020454d46000001006c0600000c00000001000000000000000000000000000000900600001a040000b801000013010000000000000000000000000000c0b6060038320400460000002c00000020000000454d462b014001001c000000100000000210c0db01000000600000006000000046000000f4010000e8010000454d462b224004000c000000000000001e4009000c00000000000000244001000c000000000000003040020010000000040000000000803f214007000c000000000000000840000540010000340100000210c0db01000000000000000000000000000000000000000100000089504e470d0a1a0a0000000d49484452000000130000001d08030000007f84a78e000000017352474200aece1ce9000000097048597300000ec400000ec401952b0e1b00000042504c544500000000004800007400489c0074bf48000048007448489c489cdf74000074bfff9c48009cdfffbf7400bfffffdf9c48dfffffffbf74ffdf9cffffbfffffdfffffff25049bae0000006d4944415428cfbd90c70e80300c43cd2e23a583fcffafd2428a5a7164f8143d29896df05d789d6d33d01eb3eb10d4186cb362a608092af2c05cafc334185e2362b619f363add3bd7357b195a3f90f592dbc3c61c50f51347bcb4b9892e78bf9b15a245bd607413af8a5fbefd90e88f728711999dadb0000000049454e44ae42608200000840010824000000180000000210c0db01000000030000000000000000000000000000001b40000040000000340000000100000002000000000000bf000000bf000098410000e84103000000000080b3000080b3ffff9741000080b3000080b3ffffe7412100000008000000620000000c00000001000000150000000c00000004000000150000000c0000000400000051000000140300000000000000000000120000001c00000000000000000000000000000000000000130000001d0000005000000080000000d000000044020000000000002000cc00130000001d00000028000000130000001d0000000100080000000000000000000000000000000000160000000000000000000000ffffff00dfffff0000489c00bf7400009cdfff00000048009c480000ffffdf00df9c48000074bf0074004800ffffbf009c484800489cdf0074bfff00bfffff000000740074000000ffbf740048000000ffdf9c00010101010101010101010101010101010101010001010101010101010101010101010101010101000101010101010101010101010101010101010100010101010101010101010101010101010101010001010101010101010101010101010101010101000101010101010101010101010101010101010100010101010101010101010101010101010101010001010101010101010101010101010101010101000101010101010101010101010101010101010100010101010101010101010101010101010101010001010101010101010101010a000000000007080001010101010101010110111415010105060708000101010101010101010a0013010101010f070800010101010101010105060708010101010101010001010101010101010f000401010101010101010001010101010101010e000901010101010101010001010101010101010e000901010101010101010001010101010101010e000901010101010101010001020300000401010e000901010101010101010002030901010a09010f0004010101010101010100050b0c0101050d081011120c0101010101010100050b0c0101050d08010e0009010101010f07080002030901010a040101010a0009010105060708000102030000040101010101050600000000070800010101010101010101010101010101010101010001010101010101010101010101010101010101000101010101010101010101010101010101010100010101010101010101010101010101010101010001010101010101010101010101010101010101004c000000640000000000000000000000120000001c0000000000000000000000130000001d0000002900aa0000000000000000000000803f00000000000000000000803f0000000000000000000000000000000000000000000000000000000000000000220000000c000000ffffffff460000001c00000010000000454d462b024000000c000000000000000e000000140000000000000010000000140000000400000003010800050000000b0200000000050000000c021d001300030000001e00040000000701040004000000070104006f010000410b2000cc001d001300000000001d0013000000000028000000130000001d0000000100080000000000000000000000000000000000160000000000000000000000ffffff00dfffff0000489c00bf7400009cdfff00000048009c480000ffffdf00df9c48000074bf0074004800ffffbf009c484800489cdf0074bfff00bfffff000000740074000000ffbf740048000000ffdf9c00010101010101010101010101010101010101010001010101010101010101010101010101010101000101010101010101010101010101010101010100010101010101010101010101010101010101010001010101010101010101010101010101010101000101010101010101010101010101010101010100010101010101010101010101010101010101010001010101010101010101010101010101010101000101010101010101010101010101010101010100010101010101010101010101010101010101010001010101010101010101010a000000000007080001010101010101010110111415010105060708000101010101010101010a0013010101010f070800010101010101010105060708010101010101010001010101010101010f000401010101010101010001010101010101010e000901010101010101010001010101010101010e000901010101010101010001010101010101010e000901010101010101010001020300000401010e000901010101010101010002030901010a09010f0004010101010101010100050b0c0101050d081011120c0101010101010100050b0c0101050d08010e0009010101010f07080002030901010a040101010a0009010105060708000102030000040101010101050600000000070800010101010101010101010101010101010101010001010101010101010101010101010101010101000101010101010101010101010101010101010100010101010101010101010101010101010101010001010101010101010101010101010101010101000c00000040092900aa000000000000001d00130000000000040000002701ffff030000000000
;
t>1
>–
температура вторичного пара в сепараторе,
010009000003f004000000004c03000000004c03000026060f008e06574d46430100000000000100de1c00000000010000006c060000000000006c060000010000006c0000000000000000000000120000001c0000000000000000000000f1010000f702000020454d46000001006c0600000c00000001000000000000000000000000000000900600001a040000b801000013010000000000000000000000000000c0b6060038320400460000002c00000020000000454d462b014001001c000000100000000210c0db01000000600000006000000046000000f4010000e8010000454d462b224004000c000000000000001e4009000c00000000000000244001000c000000000000003040020010000000040000000000803f214007000c000000000000000840000540010000340100000210c0db01000000000000000000000000000000000000000100000089504e470d0a1a0a0000000d49484452000000130000001d08030000007f84a78e000000017352474200aece1ce9000000097048597300000ec400000ec401952b0e1b00000042504c544500000000004800007400489c0074bf48000048007448489c489cdf74000074bfff9c48009cdfffbf7400bfffffdf9c48dfffffffbf74ffdf9cffffbfffffdfffffff25049bae0000006d4944415428cfbd90c70e80300c43cd2e23a583fcffafd2428a5a7164f8143d29896df05d789d6d33d01eb3eb10d4186cb362a608092af2c05cafc334185e2362b619f363add3bd7357b195a3f90f592dbc3c61c50f51347bcb4b9892e78bf9b15a245bd607413af8a5fbefd90e88f728711999dadb0000000049454e44ae42608200000840010824000000180000000210c0db01000000030000000000000000000000000000001b40000040000000340000000100000002000000000000bf000000bf000098410000e84103000000000080b3000080b3ffff9741000080b3000080b3ffffe7412100000008000000620000000c00000001000000150000000c00000004000000150000000c0000000400000051000000140300000000000000000000120000001c00000000000000000000000000000000000000130000001d0000005000000080000000d000000044020000000000002000cc00130000001d00000028000000130000001d0000000100080000000000000000000000000000000000160000000000000000000000ffffff00dfffff0000489c00bf7400009cdfff00000048009c480000ffffdf00df9c48000074bf0074004800ffffbf009c484800489cdf0074bfff00bfffff000000740074000000ffbf740048000000ffdf9c00010101010101010101010101010101010101010001010101010101010101010101010101010101000101010101010101010101010101010101010100010101010101010101010101010101010101010001010101010101010101010101010101010101000101010101010101010101010101010101010100010101010101010101010101010101010101010001010101010101010101010101010101010101000101010101010101010101010101010101010100010101010101010101010101010101010101010001010101010101010101010a000000000007080001010101010101010110111415010105060708000101010101010101010a0013010101010f070800010101010101010105060708010101010101010001010101010101010f000401010101010101010001010101010101010e000901010101010101010001010101010101010e000901010101010101010001010101010101010e000901010101010101010001020300000401010e000901010101010101010002030901010a09010f0004010101010101010100050b0c0101050d081011120c0101010101010100050b0c0101050d08010e0009010101010f07080002030901010a040101010a0009010105060708000102030000040101010101050600000000070800010101010101010101010101010101010101010001010101010101010101010101010101010101000101010101010101010101010101010101010100010101010101010101010101010101010101010001010101010101010101010101010101010101004c000000640000000000000000000000120000001c0000000000000000000000130000001d0000002900aa0000000000000000000000803f00000000000000000000803f0000000000000000000000000000000000000000000000000000000000000000220000000c000000ffffffff460000001c00000010000000454d462b024000000c000000000000000e000000140000000000000010000000140000000400000003010800050000000b0200000000050000000c021d001300030000001e00040000000701040004000000070104006f010000410b2000cc001d001300000000001d0013000000000028000000130000001d0000000100080000000000000000000000000000000000160000000000000000000000ffffff00dfffff0000489c00bf7400009cdfff00000048009c480000ffffdf00df9c48000074bf0074004800ffffbf009c484800489cdf0074bfff00bfffff000000740074000000ffbf740048000000ffdf9c00010101010101010101010101010101010101010001010101010101010101010101010101010101000101010101010101010101010101010101010100010101010101010101010101010101010101010001010101010101010101010101010101010101000101010101010101010101010101010101010100010101010101010101010101010101010101010001010101010101010101010101010101010101000101010101010101010101010101010101010100010101010101010101010101010101010101010001010101010101010101010a000000000007080001010101010101010110111415010105060708000101010101010101010a0013010101010f070800010101010101010105060708010101010101010001010101010101010f000401010101010101010001010101010101010e000901010101010101010001010101010101010e000901010101010101010001010101010101010e000901010101010101010001020300000401010e000901010101010101010002030901010a09010f0004010101010101010100050b0c0101050d081011120c0101010101010100050b0c0101050d08010e0009010101010f07080002030901010a040101010a0009010105060708000102030000040101010101050600000000070800010101010101010101010101010101010101010001010101010101010101010101010101010101000101010101010101010101010101010101010100010101010101010101010101010101010101010001010101010101010101010101010101010101000c00000040092900aa000000000000001d00130000000000040000002701ffff030000000000
;
Δ
t>депр.
>–
температурная депрессия, выражающая
повышение температуры кипения раствора
по сравнению с температурой кипения
чистого растворителя (воды) при том же
давлением, 010009000003f004000000004c03000000004c03000026060f008e06574d46430100000000000100de1c00000000010000006c060000000000006c060000010000006c0000000000000000000000120000001c0000000000000000000000f1010000f702000020454d46000001006c0600000c00000001000000000000000000000000000000900600001a040000b801000013010000000000000000000000000000c0b6060038320400460000002c00000020000000454d462b014001001c000000100000000210c0db01000000600000006000000046000000f4010000e8010000454d462b224004000c000000000000001e4009000c00000000000000244001000c000000000000003040020010000000040000000000803f214007000c000000000000000840000540010000340100000210c0db01000000000000000000000000000000000000000100000089504e470d0a1a0a0000000d49484452000000130000001d08030000007f84a78e000000017352474200aece1ce9000000097048597300000ec400000ec401952b0e1b00000042504c544500000000004800007400489c0074bf48000048007448489c489cdf74000074bfff9c48009cdfffbf7400bfffffdf9c48dfffffffbf74ffdf9cffffbfffffdfffffff25049bae0000006d4944415428cfbd90c70e80300c43cd2e23a583fcffafd2428a5a7164f8143d29896df05d789d6d33d01eb3eb10d4186cb362a608092af2c05cafc334185e2362b619f363add3bd7357b195a3f90f592dbc3c61c50f51347bcb4b9892e78bf9b15a245bd607413af8a5fbefd90e88f728711999dadb0000000049454e44ae42608200000840010824000000180000000210c0db01000000030000000000000000000000000000001b40000040000000340000000100000002000000000000bf000000bf000098410000e84103000000000080b3000080b3ffff9741000080b3000080b3ffffe7412100000008000000620000000c00000001000000150000000c00000004000000150000000c0000000400000051000000140300000000000000000000120000001c00000000000000000000000000000000000000130000001d0000005000000080000000d000000044020000000000002000cc00130000001d00000028000000130000001d0000000100080000000000000000000000000000000000160000000000000000000000ffffff00dfffff0000489c00bf7400009cdfff00000048009c480000ffffdf00df9c48000074bf0074004800ffffbf009c484800489cdf0074bfff00bfffff000000740074000000ffbf740048000000ffdf9c00010101010101010101010101010101010101010001010101010101010101010101010101010101000101010101010101010101010101010101010100010101010101010101010101010101010101010001010101010101010101010101010101010101000101010101010101010101010101010101010100010101010101010101010101010101010101010001010101010101010101010101010101010101000101010101010101010101010101010101010100010101010101010101010101010101010101010001010101010101010101010a000000000007080001010101010101010110111415010105060708000101010101010101010a0013010101010f070800010101010101010105060708010101010101010001010101010101010f000401010101010101010001010101010101010e000901010101010101010001010101010101010e000901010101010101010001010101010101010e000901010101010101010001020300000401010e000901010101010101010002030901010a09010f0004010101010101010100050b0c0101050d081011120c0101010101010100050b0c0101050d08010e0009010101010f07080002030901010a040101010a0009010105060708000102030000040101010101050600000000070800010101010101010101010101010101010101010001010101010101010101010101010101010101000101010101010101010101010101010101010100010101010101010101010101010101010101010001010101010101010101010101010101010101004c000000640000000000000000000000120000001c0000000000000000000000130000001d0000002900aa0000000000000000000000803f00000000000000000000803f0000000000000000000000000000000000000000000000000000000000000000220000000c000000ffffffff460000001c00000010000000454d462b024000000c000000000000000e000000140000000000000010000000140000000400000003010800050000000b0200000000050000000c021d001300030000001e00040000000701040004000000070104006f010000410b2000cc001d001300000000001d0013000000000028000000130000001d0000000100080000000000000000000000000000000000160000000000000000000000ffffff00dfffff0000489c00bf7400009cdfff00000048009c480000ffffdf00df9c48000074bf0074004800ffffbf009c484800489cdf0074bfff00bfffff000000740074000000ffbf740048000000ffdf9c00010101010101010101010101010101010101010001010101010101010101010101010101010101000101010101010101010101010101010101010100010101010101010101010101010101010101010001010101010101010101010101010101010101000101010101010101010101010101010101010100010101010101010101010101010101010101010001010101010101010101010101010101010101000101010101010101010101010101010101010100010101010101010101010101010101010101010001010101010101010101010a000000000007080001010101010101010110111415010105060708000101010101010101010a0013010101010f070800010101010101010105060708010101010101010001010101010101010f000401010101010101010001010101010101010e000901010101010101010001010101010101010e000901010101010101010001010101010101010e000901010101010101010001020300000401010e000901010101010101010002030901010a09010f0004010101010101010100050b0c0101050d081011120c0101010101010100050b0c0101050d08010e0009010101010f07080002030901010a040101010a0009010105060708000102030000040101010101050600000000070800010101010101010101010101010101010101010001010101010101010101010101010101010101000101010101010101010101010101010101010100010101010101010101010101010101010101010001010101010101010101010101010101010101000c00000040092900aa000000000000001d00130000000000040000002701ffff030000000000
.
Находим, что 24% раствор NaOH кипит под атмосферным давлением при температуре 111,47010009000003f004000000004c03000000004c03000026060f008e06574d46430100000000000100de1c00000000010000006c060000000000006c060000010000006c0000000000000000000000120000001c0000000000000000000000f1010000f702000020454d46000001006c0600000c00000001000000000000000000000000000000900600001a040000b801000013010000000000000000000000000000c0b6060038320400460000002c00000020000000454d462b014001001c000000100000000210c0db01000000600000006000000046000000f4010000e8010000454d462b224004000c000000000000001e4009000c00000000000000244001000c000000000000003040020010000000040000000000803f214007000c000000000000000840000540010000340100000210c0db01000000000000000000000000000000000000000100000089504e470d0a1a0a0000000d49484452000000130000001d08030000007f84a78e000000017352474200aece1ce9000000097048597300000ec400000ec401952b0e1b00000042504c544500000000004800007400489c0074bf48000048007448489c489cdf74000074bfff9c48009cdfffbf7400bfffffdf9c48dfffffffbf74ffdf9cffffbfffffdfffffff25049bae0000006d4944415428cfbd90c70e80300c43cd2e23a583fcffafd2428a5a7164f8143d29896df05d789d6d33d01eb3eb10d4186cb362a608092af2c05cafc334185e2362b619f363add3bd7357b195a3f90f592dbc3c61c50f51347bcb4b9892e78bf9b15a245bd607413af8a5fbefd90e88f728711999dadb0000000049454e44ae42608200000840010824000000180000000210c0db01000000030000000000000000000000000000001b40000040000000340000000100000002000000000000bf000000bf000098410000e84103000000000080b3000080b3ffff9741000080b3000080b3ffffe7412100000008000000620000000c00000001000000150000000c00000004000000150000000c0000000400000051000000140300000000000000000000120000001c00000000000000000000000000000000000000130000001d0000005000000080000000d000000044020000000000002000cc00130000001d00000028000000130000001d0000000100080000000000000000000000000000000000160000000000000000000000ffffff00dfffff0000489c00bf7400009cdfff00000048009c480000ffffdf00df9c48000074bf0074004800ffffbf009c484800489cdf0074bfff00bfffff000000740074000000ffbf740048000000ffdf9c00010101010101010101010101010101010101010001010101010101010101010101010101010101000101010101010101010101010101010101010100010101010101010101010101010101010101010001010101010101010101010101010101010101000101010101010101010101010101010101010100010101010101010101010101010101010101010001010101010101010101010101010101010101000101010101010101010101010101010101010100010101010101010101010101010101010101010001010101010101010101010a000000000007080001010101010101010110111415010105060708000101010101010101010a0013010101010f070800010101010101010105060708010101010101010001010101010101010f000401010101010101010001010101010101010e000901010101010101010001010101010101010e000901010101010101010001010101010101010e000901010101010101010001020300000401010e000901010101010101010002030901010a09010f0004010101010101010100050b0c0101050d081011120c0101010101010100050b0c0101050d08010e0009010101010f07080002030901010a040101010a0009010105060708000102030000040101010101050600000000070800010101010101010101010101010101010101010001010101010101010101010101010101010101000101010101010101010101010101010101010100010101010101010101010101010101010101010001010101010101010101010101010101010101004c000000640000000000000000000000120000001c0000000000000000000000130000001d0000002900aa0000000000000000000000803f00000000000000000000803f0000000000000000000000000000000000000000000000000000000000000000220000000c000000ffffffff460000001c00000010000000454d462b024000000c000000000000000e000000140000000000000010000000140000000400000003010800050000000b0200000000050000000c021d001300030000001e00040000000701040004000000070104006f010000410b2000cc001d001300000000001d0013000000000028000000130000001d0000000100080000000000000000000000000000000000160000000000000000000000ffffff00dfffff0000489c00bf7400009cdfff00000048009c480000ffffdf00df9c48000074bf0074004800ffffbf009c484800489cdf0074bfff00bfffff000000740074000000ffbf740048000000ffdf9c00010101010101010101010101010101010101010001010101010101010101010101010101010101000101010101010101010101010101010101010100010101010101010101010101010101010101010001010101010101010101010101010101010101000101010101010101010101010101010101010100010101010101010101010101010101010101010001010101010101010101010101010101010101000101010101010101010101010101010101010100010101010101010101010101010101010101010001010101010101010101010a000000000007080001010101010101010110111415010105060708000101010101010101010a0013010101010f070800010101010101010105060708010101010101010001010101010101010f000401010101010101010001010101010101010e000901010101010101010001010101010101010e000901010101010101010001010101010101010e000901010101010101010001020300000401010e000901010101010101010002030901010a09010f0004010101010101010100050b0c0101050d081011120c0101010101010100050b0c0101050d08010e0009010101010f07080002030901010a040101010a0009010105060708000102030000040101010101050600000000070800010101010101010101010101010101010101010001010101010101010101010101010101010101000101010101010101010101010101010101010100010101010101010101010101010101010101010001010101010101010101010101010101010101000c00000040092900aa000000000000001d00130000000000040000002701ffff030000000000


110 + 1,47 = 111,47
Температурную депрессию можно определить по формуле Тищенко

где
Δ
t>депр.
>–
температурная депрессия,010009000003f004000000004c03000000004c03000026060f008e06574d46430100000000000100de1c00000000010000006c060000000000006c060000010000006c0000000000000000000000120000001c0000000000000000000000f1010000f702000020454d46000001006c0600000c00000001000000000000000000000000000000900600001a040000b801000013010000000000000000000000000000c0b6060038320400460000002c00000020000000454d462b014001001c000000100000000210c0db01000000600000006000000046000000f4010000e8010000454d462b224004000c000000000000001e4009000c00000000000000244001000c000000000000003040020010000000040000000000803f214007000c000000000000000840000540010000340100000210c0db01000000000000000000000000000000000000000100000089504e470d0a1a0a0000000d49484452000000130000001d08030000007f84a78e000000017352474200aece1ce9000000097048597300000ec400000ec401952b0e1b00000042504c544500000000004800007400489c0074bf48000048007448489c489cdf74000074bfff9c48009cdfffbf7400bfffffdf9c48dfffffffbf74ffdf9cffffbfffffdfffffff25049bae0000006d4944415428cfbd90c70e80300c43cd2e23a583fcffafd2428a5a7164f8143d29896df05d789d6d33d01eb3eb10d4186cb362a608092af2c05cafc334185e2362b619f363add3bd7357b195a3f90f592dbc3c61c50f51347bcb4b9892e78bf9b15a245bd607413af8a5fbefd90e88f728711999dadb0000000049454e44ae42608200000840010824000000180000000210c0db01000000030000000000000000000000000000001b40000040000000340000000100000002000000000000bf000000bf000098410000e84103000000000080b3000080b3ffff9741000080b3000080b3ffffe7412100000008000000620000000c00000001000000150000000c00000004000000150000000c0000000400000051000000140300000000000000000000120000001c00000000000000000000000000000000000000130000001d0000005000000080000000d000000044020000000000002000cc00130000001d00000028000000130000001d0000000100080000000000000000000000000000000000160000000000000000000000ffffff00dfffff0000489c00bf7400009cdfff00000048009c480000ffffdf00df9c48000074bf0074004800ffffbf009c484800489cdf0074bfff00bfffff000000740074000000ffbf740048000000ffdf9c00010101010101010101010101010101010101010001010101010101010101010101010101010101000101010101010101010101010101010101010100010101010101010101010101010101010101010001010101010101010101010101010101010101000101010101010101010101010101010101010100010101010101010101010101010101010101010001010101010101010101010101010101010101000101010101010101010101010101010101010100010101010101010101010101010101010101010001010101010101010101010a000000000007080001010101010101010110111415010105060708000101010101010101010a0013010101010f070800010101010101010105060708010101010101010001010101010101010f000401010101010101010001010101010101010e000901010101010101010001010101010101010e000901010101010101010001010101010101010e000901010101010101010001020300000401010e000901010101010101010002030901010a09010f0004010101010101010100050b0c0101050d081011120c0101010101010100050b0c0101050d08010e0009010101010f07080002030901010a040101010a0009010105060708000102030000040101010101050600000000070800010101010101010101010101010101010101010001010101010101010101010101010101010101000101010101010101010101010101010101010100010101010101010101010101010101010101010001010101010101010101010101010101010101004c000000640000000000000000000000120000001c0000000000000000000000130000001d0000002900aa0000000000000000000000803f00000000000000000000803f0000000000000000000000000000000000000000000000000000000000000000220000000c000000ffffffff460000001c00000010000000454d462b024000000c000000000000000e000000140000000000000010000000140000000400000003010800050000000b0200000000050000000c021d001300030000001e00040000000701040004000000070104006f010000410b2000cc001d001300000000001d0013000000000028000000130000001d0000000100080000000000000000000000000000000000160000000000000000000000ffffff00dfffff0000489c00bf7400009cdfff00000048009c480000ffffdf00df9c48000074bf0074004800ffffbf009c484800489cdf0074bfff00bfffff000000740074000000ffbf740048000000ffdf9c00010101010101010101010101010101010101010001010101010101010101010101010101010101000101010101010101010101010101010101010100010101010101010101010101010101010101010001010101010101010101010101010101010101000101010101010101010101010101010101010100010101010101010101010101010101010101010001010101010101010101010101010101010101000101010101010101010101010101010101010100010101010101010101010101010101010101010001010101010101010101010a000000000007080001010101010101010110111415010105060708000101010101010101010a0013010101010f070800010101010101010105060708010101010101010001010101010101010f000401010101010101010001010101010101010e000901010101010101010001010101010101010e000901010101010101010001010101010101010e000901010101010101010001020300000401010e000901010101010101010002030901010a09010f0004010101010101010100050b0c0101050d081011120c0101010101010100050b0c0101050d08010e0009010101010f07080002030901010a040101010a0009010105060708000102030000040101010101050600000000070800010101010101010101010101010101010101010001010101010101010101010101010101010101000101010101010101010101010101010101010100010101010101010101010101010101010101010001010101010101010101010101010101010101000c00000040092900aa000000000000001d00130000000000040000002701ffff030000000000
;
t>атм
>–
температурная депрессия при атмосферном
давлении,0100090000036405000000008603000000008603000026060f000207574d46430100000000000100dd310000000001000000e006000000000000e0060000010000006c0000000000000000000000170000001c000000000000000000000074020000f702000020454d4600000100e00600000c00000001000000000000000000000000000000900600001a040000b801000013010000000000000000000000000000c0b6060038320400460000002c00000020000000454d462b014001001c000000100000000210c0db01000000600000006000000046000000f4010000e8010000454d462b224004000c000000000000001e4009000c00000000000000244001000c000000000000003040020010000000040000000000803f214007000c000000000000000840000540010000340100000210c0db01000000000000000000000000000000000000000100000089504e470d0a1a0a0000000d49484452000000180000001d080300000087645c79000000017352474200aece1ce9000000097048597300000ec400000ec401952b0e1b00000042504c544500000000004800007400489c0074bf48000048007448489c489cdf74000074bfff9c48009cdfffbf7400bfffffdf9c48dfffffffbf74ffdf9cffffbfffffdfffffff25049bae0000006f4944415428cfc5914b0e80200c44eb1f54908fbdff55a55a0d88ee8ccc8290bed06907c017c17f609d00dafde63a086a0c705d202a220a04c113b85e876330b8501dd1de8197b54e3c8e56022d1b65e6dc291ff743909bb368b3e7ac148cc98297bcace63892e44d1c62d9af2d03368ed03456758dc9170000000049454e44ae4260820840010824000000180000000210c0db01000000030000000000000000000000000000001b40000040000000340000000100000002000000000000bf000000bf0000c0410000e84103000000000000b3000000b3ffffbf41000000b3000000b3ffffe7412100000008000000620000000c00000001000000150000000c00000004000000150000000c0000000400000051000000880300000000000000000000170000001c00000000000000000000000000000000000000180000001d0000005000000080000000d0000000b8020000000000002000cc00180000001d00000028000000180000001d0000000100080000000000000000000000000000000000160000000000000000000000ffffff00dfffff0000489c00bf7400009cdfff00000048009c480000ffffdf00df9c48000074bf0074004800ffffbf009c484800489cdf0074bfff00bfffff000000740074000000ffbf740048000000ffdf9c00010101010101010101010101010101010101010101010101010101010101010101010101010101010101010101010101010101010101010101010101010101010101010101010101010101010101010101010101010101010101010101010101010101010101010101010101010101010101010101010101010101010101010101010101010101010101010101010101010101010101010101010101010101010101010101010101010101010101010101010101010101010101010101010101010101010101010101010101010101010101010101010101010101010101010101010101010101010101010101010101010101010101010101010101010101010a0000000000070801010101010101010101010101011011141501010506070801010101010101010101010101010a0013010101010f0708010101010101010101010101010506070801010101010101010101010101010101010101010f00040101010101010101010101010101010101010101010e00090101010101010101010101010101010101010101010e00090101010101010101010101010101010101010101010e00090101010101010101010101010101020300000401010e00090101010101010101010101010102030901010a09010f000401010101010101010101010101050b0c0101050d081011120c010101010101010101010101050b0c0101050d08010e0009010101010f0708010101010102030901010a040101010a00090101050607080101010101010203000004010101010105060000000007080101010101010101010101010101010101010101010101010101010101010101010101010101010101010101010101010101010101010101010101010101010101010101010101010101010101010101010101010101010101010101010101010101010101010101010101010101010101010101010101014c000000640000000000000000000000170000001c0000000000000000000000180000001d0000002900aa0000000000000000000000803f00000000000000000000803f0000000000000000000000000000000000000000000000000000000000000000220000000c000000ffffffff460000001c00000010000000454d462b024000000c000000000000000e000000140000000000000010000000140000000400000003010800050000000b0200000000050000000c021d001800030000001e0004000000070104000400000007010400a9010000410b2000cc001d001800000000001d0018000000000028000000180000001d0000000100080000000000000000000000000000000000160000000000000000000000ffffff00dfffff0000489c00bf7400009cdfff00000048009c480000ffffdf00df9c48000074bf0074004800ffffbf009c484800489cdf0074bfff00bfffff000000740074000000ffbf740048000000ffdf9c00010101010101010101010101010101010101010101010101010101010101010101010101010101010101010101010101010101010101010101010101010101010101010101010101010101010101010101010101010101010101010101010101010101010101010101010101010101010101010101010101010101010101010101010101010101010101010101010101010101010101010101010101010101010101010101010101010101010101010101010101010101010101010101010101010101010101010101010101010101010101010101010101010101010101010101010101010101010101010101010101010101010101010101010101010101010a0000000000070801010101010101010101010101011011141501010506070801010101010101010101010101010a0013010101010f0708010101010101010101010101010506070801010101010101010101010101010101010101010f00040101010101010101010101010101010101010101010e00090101010101010101010101010101010101010101010e00090101010101010101010101010101010101010101010e00090101010101010101010101010101020300000401010e00090101010101010101010101010102030901010a09010f000401010101010101010101010101050b0c0101050d081011120c010101010101010101010101050b0c0101050d08010e0009010101010f0708010101010102030901010a040101010a00090101050607080101010101010203000004010101010105060000000007080101010101010101010101010101010101010101010101010101010101010101010101010101010101010101010101010101010101010101010101010101010101010101010101010101010101010101010101010101010101010101010101010101010101010101010101010101010101010101010101010c00000040092900aa000000000000001d00180000000000040000002701ffff030000000000
;
T
– Абсолютная температура воды при
данном давлении,0100090000036405000000008603000000008603000026060f000207574d46430100000000000100dd310000000001000000e006000000000000e0060000010000006c0000000000000000000000170000001c000000000000000000000074020000f702000020454d4600000100e00600000c00000001000000000000000000000000000000900600001a040000b801000013010000000000000000000000000000c0b6060038320400460000002c00000020000000454d462b014001001c000000100000000210c0db01000000600000006000000046000000f4010000e8010000454d462b224004000c000000000000001e4009000c00000000000000244001000c000000000000003040020010000000040000000000803f214007000c000000000000000840000540010000340100000210c0db01000000000000000000000000000000000000000100000089504e470d0a1a0a0000000d49484452000000180000001d080300000087645c79000000017352474200aece1ce9000000097048597300000ec400000ec401952b0e1b00000042504c544500000000004800007400489c0074bf48000048007448489c489cdf74000074bfff9c48009cdfffbf7400bfffffdf9c48dfffffffbf74ffdf9cffffbfffffdfffffff25049bae0000006f4944415428cfc5914b0e80200c44eb1f54908fbdff55a55a0d88ee8ccc8290bed06907c017c17f609d00dafde63a086a0c705d202a220a04c113b85e876330b8501dd1de8197b54e3c8e56022d1b65e6dc291ff743909bb368b3e7ac148cc98297bcace63892e44d1c62d9af2d03368ed03456758dc9170000000049454e44ae4260820840010824000000180000000210c0db01000000030000000000000000000000000000001b40000040000000340000000100000002000000000000bf000000bf0000c0410000e84103000000000000b3000000b3ffffbf41000000b3000000b3ffffe7412100000008000000620000000c00000001000000150000000c00000004000000150000000c0000000400000051000000880300000000000000000000170000001c00000000000000000000000000000000000000180000001d0000005000000080000000d0000000b8020000000000002000cc00180000001d00000028000000180000001d0000000100080000000000000000000000000000000000160000000000000000000000ffffff00dfffff0000489c00bf7400009cdfff00000048009c480000ffffdf00df9c48000074bf0074004800ffffbf009c484800489cdf0074bfff00bfffff000000740074000000ffbf740048000000ffdf9c00010101010101010101010101010101010101010101010101010101010101010101010101010101010101010101010101010101010101010101010101010101010101010101010101010101010101010101010101010101010101010101010101010101010101010101010101010101010101010101010101010101010101010101010101010101010101010101010101010101010101010101010101010101010101010101010101010101010101010101010101010101010101010101010101010101010101010101010101010101010101010101010101010101010101010101010101010101010101010101010101010101010101010101010101010101010a0000000000070801010101010101010101010101011011141501010506070801010101010101010101010101010a0013010101010f0708010101010101010101010101010506070801010101010101010101010101010101010101010f00040101010101010101010101010101010101010101010e00090101010101010101010101010101010101010101010e00090101010101010101010101010101010101010101010e00090101010101010101010101010101020300000401010e00090101010101010101010101010102030901010a09010f000401010101010101010101010101050b0c0101050d081011120c010101010101010101010101050b0c0101050d08010e0009010101010f0708010101010102030901010a040101010a00090101050607080101010101010203000004010101010105060000000007080101010101010101010101010101010101010101010101010101010101010101010101010101010101010101010101010101010101010101010101010101010101010101010101010101010101010101010101010101010101010101010101010101010101010101010101010101010101010101010101014c000000640000000000000000000000170000001c0000000000000000000000180000001d0000002900aa0000000000000000000000803f00000000000000000000803f0000000000000000000000000000000000000000000000000000000000000000220000000c000000ffffffff460000001c00000010000000454d462b024000000c000000000000000e000000140000000000000010000000140000000400000003010800050000000b0200000000050000000c021d001800030000001e0004000000070104000400000007010400a9010000410b2000cc001d001800000000001d0018000000000028000000180000001d0000000100080000000000000000000000000000000000160000000000000000000000ffffff00dfffff0000489c00bf7400009cdfff00000048009c480000ffffdf00df9c48000074bf0074004800ffffbf009c484800489cdf0074bfff00bfffff000000740074000000ffbf740048000000ffdf9c00010101010101010101010101010101010101010101010101010101010101010101010101010101010101010101010101010101010101010101010101010101010101010101010101010101010101010101010101010101010101010101010101010101010101010101010101010101010101010101010101010101010101010101010101010101010101010101010101010101010101010101010101010101010101010101010101010101010101010101010101010101010101010101010101010101010101010101010101010101010101010101010101010101010101010101010101010101010101010101010101010101010101010101010101010101010a0000000000070801010101010101010101010101011011141501010506070801010101010101010101010101010a0013010101010f0708010101010101010101010101010506070801010101010101010101010101010101010101010f00040101010101010101010101010101010101010101010e00090101010101010101010101010101010101010101010e00090101010101010101010101010101010101010101010e00090101010101010101010101010101020300000401010e00090101010101010101010101010102030901010a09010f000401010101010101010101010101050b0c0101050d081011120c010101010101010101010101050b0c0101050d08010e0009010101010f0708010101010102030901010a040101010a00090101050607080101010101010203000004010101010105060000000007080101010101010101010101010101010101010101010101010101010101010101010101010101010101010101010101010101010101010101010101010101010101010101010101010101010101010101010101010101010101010101010101010101010101010101010101010101010101010101010101010c00000040092900aa000000000000001d00180000000000040000002701ffff030000000000
;
- теплота испарения для
воды при данном давлении, Дж/кг.
t>атм >= 111,47 – 100 = 11,47
обозначим 010009000003381500000000be0b00000000be0b000026060f007217574d46430100000000000100a0f60000000001000000501700000000000050170000010000006c0000000000000000000000650000002b00000000000000000000006e0a00007f04000020454d4600000100501700000c00000001000000000000000000000000000000900600001a040000b801000013010000000000000000000000000000c0b6060038320400460000002c00000020000000454d462b014001001c000000100000000210c0db010000006000000060000000460000002c03000020030000454d462b224004000c000000000000001e4009000c00000000000000244001000c000000000000003040020010000000040000000000803f214007000c0000000000000008400005780200006c0200000210c0db01000000000000000000000000000000000000000100000089504e470d0a1a0a0000000d49484452000000660000002c0803000000a0c23d5a000000017352474200aece1ce9000000097048597300000ec400000ec401952b0e1b0000004e504c544500000000004800007400489c00749c0074bf48000048004848489c489cdf74000074004874007474bfff9c48009cdfffbf7400bfffffdf9c48dfbf74dfffffffbf74ffdf9cffffbfffffdfffffff4a42da6f0000019a4944415458c3ed967d7383200cc6693bdd7053912d28dfff8b0e229ca0f45a62e1f6c772d7ebcb557e24799e00d35582919e928cb1db4f69cc32f45ab57df16c4ccc5d158c6c4af566ee18c675caa56461e03acd1d474226250b234de3df470d5c839199792bd61b690be6aa57500222cb2d54cc32705d0193e7493206b035c531e21c269a1c10886819424d9989d99cc0c8606160c18ec1ce61235f6247228c6a830d03e3875e00358710337f4da634bd975262c59760d60ef4ae1597318521b905d6a30f0b1f63549b70f9323cd497645b6c1bc5ed01ca26c648c621fa27fe98caf0b9747a7c1d8a2610adda70e18dc20ef120c7cb08eee13da67749455ba2c532dcbebd789298405acf5192bd317e7bf36dddf76687512dd7d4b00a90c9a239db489fc232e077f5413965ec2a7e9b3166ad1a2a1d3f822b04e930b373d69a41ae8216614db1cadceb409cc0ccdd6a4e5cedbe2605d52e77874d7a338dae80115cd7c0bc3608183c9f32877636c64a74fe1c4b67b3ba8117c6e0e5c45ed8cb62ec5d9d30b5f3b3e1cedf657b6375966fdcbfeb9b7f4c25cc2f73e99a315aa812810000000049454e44ae426082000840010824000000180000000210c0db01000000030000000000000000000000000000001b40000040000000340000000100000002000000000000bf000000bf0000cc420000304203000000000000b3000000b3ffffcb42000000b3000000b3ffff2f422100000008000000620000000c00000001000000150000000c00000004000000150000000c0000000400000051000000c01200000000000000000000650000002b00000000000000000000000000000000000000660000002c0000005000000090000000e0000000e0110000000000002000cc00660000002c00000028000000660000002c00000001000800000000000000000000000000000000001a0000000000000000000000ffffff00489cdf009c480000ffffdf00dfffff0000489c00ffbf74009cdfff0000004800bfffff0000007400bf74000074000000ffffbf0074bfff00df9c480048004800ffdf9c000074bf00740074004800000074bfdf009c7400009c4848004800740001010101010101010101010101010101010101010101010101010101010101010101010101010101010101010101010101010101010101010101010101010101010101010101010101010101010101010101010101010101010101010101010101010101010115150101010101010101010101010101010101010101010101010101010101010101010101010101010101010101010101010101010101010101010101010101010101010101010101010101010101010101010101010101010101010101010101010101010101011515010101010101010101010101010101010101010101010101010101010101010101010101010101010101010101010101010101010101010101010101010101010101010101010101010101010101010101010101010101010101010101010101010101010101151501010101010101010101010101010101010101010101010101010101010101010101010101010101010101010101010101010101010101010101010101010101010101010101010101010101010101010101010101010101010101010101010101010101010115150101010101010101010101010101010101010101010101010101010101010101010101010101010101010101010101010101010101010101010101010101010101010101010101010101010101010101010101010101010101010101010101010101010101011515010101010101010101010101010101010101010101010101010101010101010101010101010101010101010101010101080900000c01010101010101010101010101010101010101010101010101010101010101010101010101010101010101010101010101151501010101010101010101010101010101010101010101010101010101010101010101010101010101010101010101010a0b10010a0b030401010101010101010101010101010101010101010101010101010101010101010101010101010101010101010101010b00010101010101010101010101010101010101010101010101010101010101010101010101010101010101010101010108111201010f000701010101010101010101010101010101010101010101010101010101010101010101010101010101010101010101010d0001010101010101010101010101010101010101010101010101010101010101010101010101010101010101010101010a0b0701010a0b1001010101010101010101010101010101010101010101010101010101010101010101010101010101010101010101011500010101010101010101010101010101010101010101010101010101010101010101010101010101010101010101010101130d0e010506100101010101010101010101010101010101010101010101010101010101010101010101010101010101010101010101151501010101010101010101010101010101010101010101010101010101010101010101010101010101010101010101010105060d0e0a191201010101010101010101010101010101010101010101010101010101010101010101010101010101010101010101010d010101010101010101010101010101010101010101010101010101010101010101010101010101010101010101010101010101080900000000100101010101010101010101010101010101010101010101010101010101010101010101010101010101010101011515010101010101010101010101010101010101010101010101010101010101010101010101010101010101010101010101010101010101010101010101010101010101010101010101010101010101010101010101010101010101010101010101010101010101150d01010101010101010101010101010101010101010101010113100101010101010101010101010101010101010101010101010101010101010101010101010101010101010101010101010101010101010101010101010101010101010101010101010101010115150101010101010101010101010101010101010101010101010a0b0c0101010101010101010101010101010101010101010101010101010101010101010101010101010101010101010101010101010101010101010101010101010101010101010101010101011515010101010101010101010101010101010101010101010101011315120101010101010101010101010101010101010101010101010101010101010101010101010101010101010101010101010101010101010101010101010101010101010101010101010101151501011300000000000015120101010102000000001001010101020010011300000000000000030401010101010101010101010101010101010101010101010101010101010101010101010101010101010101010101010101010a0b030401010f0000100101011515010101010506000701010101010113000701010f0003040101130007010f000000000000000304010101010101010101010101010101010101010101010101010101010101010101010101010101010101010101010101010101130d0e0105060d0e020c010100150101010105060007010101010108090c0101010102000701010101010105060c01010101081804010101010101010101010101010101010101010101010101010101010101010101010101010101010101010101010101010101020007010809100101010101151501010101050600070101010101020007010101010f000c010101010101010809100101010101010101010101010101010101010101010101010101010101010101010101010101010101010101010101010101010101010101010f0010010215120101010101151501010101050600070101010101130007010101010f000c01010101010101010f000701010101010101010101010101010101010101010101010101010101010101010101010200000000000000000000001512010101010101010a0b0017060d0e0101010101151501010101050600070101010101130007010101010200100101010101010101010f00070101010101010101010101010101010101010101010101010101010101010101010101010101010101010101010101010101010101010105060316000c0101010101011515010101010506000701010101011300000c01010809151201010101010101010101021512010101010101010000000000000000000000000000000000000101010101010101010101010101010101010101010101010101010101010215120f151201010101010000010101010506000701010101010200100f00000015120101010101010101010101010215120101010101010101010101010101010101010101010101010101010101010101010101010101010101010101010101010101010101010f0007010f00070101010100000101010105060007010101010108090304010101010101010101010101010101010105060d0e01010101010101010101010101010101010101010101010101010101010101020000000000000000000000151201010101010101010f001001010f00000c0101000001010101050600070101010101050615120101010101010101010101010101010101010f0010010101010101010101010101010101010101010101010101010101010101010101010101010101010101010101010101010101010f0000030401010f000304010000010a140e0506000701010101010108090c0101010101010101010101010101010101010f000c0101010101010101010101010101010101010101010101010101010101010101010101010101010101010101010101010101010101010101010101010101010100000101080900000007010101010101010f001001010101010101010101010f0d0e0101010f000c010101010101010101010101010101010101010101010101010101010101010101010101010101010101010101010101010101010101010101010101010101010000010101010200000701010101010101010f000d0e0101010101010101010f000304010a0b000701010101010101010101010101010101010101010101010101010101010101010101010101010101010101010101010101010101010101010101010101010101000001010101010a0b07010101010101010101010f000007010101010101010105060000000007010101010101010200000c0101010101010101010101010101010101010101010101010101010101010101010101010101010101010101010101010101010101010000010101010101010101010101010101010101010101010101010101010101010101010101010101010101010101130d0e01010101010101010101010101010101010101010101010101010101010101010101010101010101010101010101010101010101010100000101010101010101010101010101010101010101010101010101010101010101010101010101010101010101010f0d0e010101010101010101010101010101010101010101010101010101010101010101010101010101010101010101010101010101010101000001010101010101010101010101010101010101010101010101010101010101010101010101010101010101010108090701010101010101010101010101010101010101010101010101010101010101010101010101010101010101010101010101010101010100000101010101010101010101010101010101010101010101010101010101010101010101010101010101010101010506100101010101010101010101010101010101010101010101010101010101010101010101010101010101010101010101010101010101010000010101010101010101010101010101010101010101010101010101010101010101010101010101010101010101011303040101010101010101010101010101010101010101010101010101010101010101010101010101010101010101010101010101010101000001010101010101010101010101010101010101010101010101010101010101010101010101010101010101010101020d0e0101010a0b000000000701010101010101010101010101010101010101010101010101010101010101010101010101010101010101000001010101010101010101010101010101010101010101010101010101010101010101010101010101010101020701081112010f10010f0304010f10010101010101010101010101010101010101010101010101010101010101010101010101010101010101010000010101010101010101010101010101010101010101010101010101010101010101010101010101010101010f0d0e0a0b1001020c0101020c010101010101010101010101010101010101010101010101010101010101010101010101010101010101010101010000010101010101010101010101010101010101010101010101010101010101010101010101010101010101010a0b0000000000000d0e0101020c01010101010101010101010101010101010101010101010101010101010101010101010101010101010101010100000101010101010101010101010101010101010101010101010101010101010101010101010101010101010101010101010101010101010101020c0101010101010101010101010101010101010101010101010101010101010101010101010101010101010101b30301010101010101010101010101010101010101010101010101010101010101010101010101010101010101010101010101010101010101010a0b070101010101010101010101010101010101010101010101010101010101010101010101010101010101010100000101010101010101010101010101010101010101010101010101010101010101010101010101010101010101010101010101010105060701080907010101010101010101010101010101010101010101010101010101010101010101010101010101010101010000010101010101010101010101010101010101010101010101010101010101010101010101010101010101010101010101010101010102000000030401010101010101010101010101010101010101010101010101010101010101010101010101010101010101b30301010101010101010101010101010101010101010101010101010101010101010101010101010101010101010101010101010101010101010101010101010101010101010101010101010101010101010101010101010101010101010101010101010101010100004c000000640000000000000000000000650000002b0000000000000000000000660000002c0000002900aa0000000000000000000000803f00000000000000000000803f0000000000000000000000000000000000000000000000000000000000000000220000000c000000ffffffff460000001c00000010000000454d462b024000000c000000000000000e000000140000000000000010000000140000000400000003010800050000000b0200000000050000000c022c006600030000001e000400000007010400040000000701040045090000410b2000cc002c006600000000002c0066000000000028000000660000002c00000001000800000000000000000000000000000000001a0000000000000000000000ffffff00489cdf009c480000ffffdf00dfffff0000489c00ffbf74009cdfff0000004800bfffff0000007400bf74000074000000ffffbf0074bfff00df9c480048004800ffdf9c000074bf00740074004800000074bfdf009c7400009c4848004800740001010101010101010101010101010101010101010101010101010101010101010101010101010101010101010101010101010101010101010101010101010101010101010101010101010101010101010101010101010101010101010101010101010101010115150101010101010101010101010101010101010101010101010101010101010101010101010101010101010101010101010101010101010101010101010101010101010101010101010101010101010101010101010101010101010101010101010101010101011515010101010101010101010101010101010101010101010101010101010101010101010101010101010101010101010101010101010101010101010101010101010101010101010101010101010101010101010101010101010101010101010101010101010101151501010101010101010101010101010101010101010101010101010101010101010101010101010101010101010101010101010101010101010101010101010101010101010101010101010101010101010101010101010101010101010101010101010101010115150101010101010101010101010101010101010101010101010101010101010101010101010101010101010101010101010101010101010101010101010101010101010101010101010101010101010101010101010101010101010101010101010101010101011515010101010101010101010101010101010101010101010101010101010101010101010101010101010101010101010101080900000c01010101010101010101010101010101010101010101010101010101010101010101010101010101010101010101010101151501010101010101010101010101010101010101010101010101010101010101010101010101010101010101010101010a0b10010a0b030401010101010101010101010101010101010101010101010101010101010101010101010101010101010101010101010b00010101010101010101010101010101010101010101010101010101010101010101010101010101010101010101010108111201010f000701010101010101010101010101010101010101010101010101010101010101010101010101010101010101010101010d0001010101010101010101010101010101010101010101010101010101010101010101010101010101010101010101010a0b0701010a0b1001010101010101010101010101010101010101010101010101010101010101010101010101010101010101010101011500010101010101010101010101010101010101010101010101010101010101010101010101010101010101010101010101130d0e010506100101010101010101010101010101010101010101010101010101010101010101010101010101010101010101010101151501010101010101010101010101010101010101010101010101010101010101010101010101010101010101010101010105060d0e0a191201010101010101010101010101010101010101010101010101010101010101010101010101010101010101010101010d010101010101010101010101010101010101010101010101010101010101010101010101010101010101010101010101010101080900000000100101010101010101010101010101010101010101010101010101010101010101010101010101010101010101011515010101010101010101010101010101010101010101010101010101010101010101010101010101010101010101010101010101010101010101010101010101010101010101010101010101010101010101010101010101010101010101010101010101010101150d01010101010101010101010101010101010101010101010113100101010101010101010101010101010101010101010101010101010101010101010101010101010101010101010101010101010101010101010101010101010101010101010101010101010115150101010101010101010101010101010101010101010101010a0b0c0101010101010101010101010101010101010101010101010101010101010101010101010101010101010101010101010101010101010101010101010101010101010101010101010101011515010101010101010101010101010101010101010101010101011315120101010101010101010101010101010101010101010101010101010101010101010101010101010101010101010101010101010101010101010101010101010101010101010101010101151501011300000000000015120101010102000000001001010101020010011300000000000000030401010101010101010101010101010101010101010101010101010101010101010101010101010101010101010101010101010a0b030401010f0000100101011515010101010506000701010101010113000701010f0003040101130007010f000000000000000304010101010101010101010101010101010101010101010101010101010101010101010101010101010101010101010101010101130d0e0105060d0e020c010100150101010105060007010101010108090c0101010102000701010101010105060c01010101081804010101010101010101010101010101010101010101010101010101010101010101010101010101010101010101010101010101020007010809100101010101151501010101050600070101010101020007010101010f000c010101010101010809100101010101010101010101010101010101010101010101010101010101010101010101010101010101010101010101010101010101010101010f0010010215120101010101151501010101050600070101010101130007010101010f000c01010101010101010f000701010101010101010101010101010101010101010101010101010101010101010101010200000000000000000000001512010101010101010a0b0017060d0e0101010101151501010101050600070101010101130007010101010200100101010101010101010f00070101010101010101010101010101010101010101010101010101010101010101010101010101010101010101010101010101010101010105060316000c0101010101011515010101010506000701010101011300000c01010809151201010101010101010101021512010101010101010000000000000000000000000000000000000101010101010101010101010101010101010101010101010101010101010215120f151201010101010000010101010506000701010101010200100f00000015120101010101010101010101010215120101010101010101010101010101010101010101010101010101010101010101010101010101010101010101010101010101010101010f0007010f00070101010100000101010105060007010101010108090304010101010101010101010101010101010105060d0e01010101010101010101010101010101010101010101010101010101010101020000000000000000000000151201010101010101010f001001010f00000c0101000001010101050600070101010101050615120101010101010101010101010101010101010f0010010101010101010101010101010101010101010101010101010101010101010101010101010101010101010101010101010101010f0000030401010f000304010000010a140e0506000701010101010108090c0101010101010101010101010101010101010f000c0101010101010101010101010101010101010101010101010101010101010101010101010101010101010101010101010101010101010101010101010101010100000101080900000007010101010101010f001001010101010101010101010f0d0e0101010f000c010101010101010101010101010101010101010101010101010101010101010101010101010101010101010101010101010101010101010101010101010101010000010101010200000701010101010101010f000d0e0101010101010101010f000304010a0b000701010101010101010101010101010101010101010101010101010101010101010101010101010101010101010101010101010101010101010101010101010101000001010101010a0b07010101010101010101010f000007010101010101010105060000000007010101010101010200000c0101010101010101010101010101010101010101010101010101010101010101010101010101010101010101010101010101010101010000010101010101010101010101010101010101010101010101010101010101010101010101010101010101010101130d0e01010101010101010101010101010101010101010101010101010101010101010101010101010101010101010101010101010101010100000101010101010101010101010101010101010101010101010101010101010101010101010101010101010101010f0d0e010101010101010101010101010101010101010101010101010101010101010101010101010101010101010101010101010101010101000001010101010101010101010101010101010101010101010101010101010101010101010101010101010101010108090701010101010101010101010101010101010101010101010101010101010101010101010101010101010101010101010101010101010100000101010101010101010101010101010101010101010101010101010101010101010101010101010101010101010506100101010101010101010101010101010101010101010101010101010101010101010101010101010101010101010101010101010101010000010101010101010101010101010101010101010101010101010101010101010101010101010101010101010101011303040101010101010101010101010101010101010101010101010101010101010101010101010101010101010101010101010101010101000001010101010101010101010101010101010101010101010101010101010101010101010101010101010101010101020d0e0101010a0b000000000701010101010101010101010101010101010101010101010101010101010101010101010101010101010101000001010101010101010101010101010101010101010101010101010101010101010101010101010101010101020701081112010f10010f0304010f10010101010101010101010101010101010101010101010101010101010101010101010101010101010101010000010101010101010101010101010101010101010101010101010101010101010101010101010101010101010f0d0e0a0b1001020c0101020c010101010101010101010101010101010101010101010101010101010101010101010101010101010101010101010000010101010101010101010101010101010101010101010101010101010101010101010101010101010101010a0b0000000000000d0e0101020c01010101010101010101010101010101010101010101010101010101010101010101010101010101010101010100000101010101010101010101010101010101010101010101010101010101010101010101010101010101010101010101010101010101010101020c0101010101010101010101010101010101010101010101010101010101010101010101010101010101010101b30301010101010101010101010101010101010101010101010101010101010101010101010101010101010101010101010101010101010101010a0b070101010101010101010101010101010101010101010101010101010101010101010101010101010101010100000101010101010101010101010101010101010101010101010101010101010101010101010101010101010101010101010101010105060701080907010101010101010101010101010101010101010101010101010101010101010101010101010101010101010000010101010101010101010101010101010101010101010101010101010101010101010101010101010101010101010101010101010102000000030401010101010101010101010101010101010101010101010101010101010101010101010101010101010101b30301010101010101010101010101010101010101010101010101010101010101010101010101010101010101010101010101010101010101010101010101010101010101010101010101010101010101010101010101010101010101010101010101010101010100000c00000040092900aa000000000000002c00660000000000040000002701ffff030000000000

при
p>б.к.>
= 0,18 


0,76 – 0,012 = 0,748
Δt>депр.>= 0,748·11,47 = 8,58010009000003f004000000004c03000000004c03000026060f008e06574d46430100000000000100de1c00000000010000006c060000000000006c060000010000006c0000000000000000000000120000001c0000000000000000000000f1010000f702000020454d46000001006c0600000c00000001000000000000000000000000000000900600001a040000b801000013010000000000000000000000000000c0b6060038320400460000002c00000020000000454d462b014001001c000000100000000210c0db01000000600000006000000046000000f4010000e8010000454d462b224004000c000000000000001e4009000c00000000000000244001000c000000000000003040020010000000040000000000803f214007000c000000000000000840000540010000340100000210c0db01000000000000000000000000000000000000000100000089504e470d0a1a0a0000000d49484452000000130000001d08030000007f84a78e000000017352474200aece1ce9000000097048597300000ec400000ec401952b0e1b00000042504c544500000000004800007400489c0074bf48000048007448489c489cdf74000074bfff9c48009cdfffbf7400bfffffdf9c48dfffffffbf74ffdf9cffffbfffffdfffffff25049bae0000006d4944415428cfbd90c70e80300c43cd2e23a583fcffafd2428a5a7164f8143d29896df05d789d6d33d01eb3eb10d4186cb362a608092af2c05cafc334185e2362b619f363add3bd7357b195a3f90f592dbc3c61c50f51347bcb4b9892e78bf9b15a245bd607413af8a5fbefd90e88f728711999dadb0000000049454e44ae42608200000840010824000000180000000210c0db01000000030000000000000000000000000000001b40000040000000340000000100000002000000000000bf000000bf000098410000e84103000000000080b3000080b3ffff9741000080b3000080b3ffffe7412100000008000000620000000c00000001000000150000000c00000004000000150000000c0000000400000051000000140300000000000000000000120000001c00000000000000000000000000000000000000130000001d0000005000000080000000d000000044020000000000002000cc00130000001d00000028000000130000001d0000000100080000000000000000000000000000000000160000000000000000000000ffffff00dfffff0000489c00bf7400009cdfff00000048009c480000ffffdf00df9c48000074bf0074004800ffffbf009c484800489cdf0074bfff00bfffff000000740074000000ffbf740048000000ffdf9c00010101010101010101010101010101010101010001010101010101010101010101010101010101000101010101010101010101010101010101010100010101010101010101010101010101010101010001010101010101010101010101010101010101000101010101010101010101010101010101010100010101010101010101010101010101010101010001010101010101010101010101010101010101000101010101010101010101010101010101010100010101010101010101010101010101010101010001010101010101010101010a000000000007080001010101010101010110111415010105060708000101010101010101010a0013010101010f070800010101010101010105060708010101010101010001010101010101010f000401010101010101010001010101010101010e000901010101010101010001010101010101010e000901010101010101010001010101010101010e000901010101010101010001020300000401010e000901010101010101010002030901010a09010f0004010101010101010100050b0c0101050d081011120c0101010101010100050b0c0101050d08010e0009010101010f07080002030901010a040101010a0009010105060708000102030000040101010101050600000000070800010101010101010101010101010101010101010001010101010101010101010101010101010101000101010101010101010101010101010101010100010101010101010101010101010101010101010001010101010101010101010101010101010101004c000000640000000000000000000000120000001c0000000000000000000000130000001d0000002900aa0000000000000000000000803f00000000000000000000803f0000000000000000000000000000000000000000000000000000000000000000220000000c000000ffffffff460000001c00000010000000454d462b024000000c000000000000000e000000140000000000000010000000140000000400000003010800050000000b0200000000050000000c021d001300030000001e00040000000701040004000000070104006f010000410b2000cc001d001300000000001d0013000000000028000000130000001d0000000100080000000000000000000000000000000000160000000000000000000000ffffff00dfffff0000489c00bf7400009cdfff00000048009c480000ffffdf00df9c48000074bf0074004800ffffbf009c484800489cdf0074bfff00bfffff000000740074000000ffbf740048000000ffdf9c00010101010101010101010101010101010101010001010101010101010101010101010101010101000101010101010101010101010101010101010100010101010101010101010101010101010101010001010101010101010101010101010101010101000101010101010101010101010101010101010100010101010101010101010101010101010101010001010101010101010101010101010101010101000101010101010101010101010101010101010100010101010101010101010101010101010101010001010101010101010101010a000000000007080001010101010101010110111415010105060708000101010101010101010a0013010101010f070800010101010101010105060708010101010101010001010101010101010f000401010101010101010001010101010101010e000901010101010101010001010101010101010e000901010101010101010001010101010101010e000901010101010101010001020300000401010e000901010101010101010002030901010a09010f0004010101010101010100050b0c0101050d081011120c0101010101010100050b0c0101050d08010e0009010101010f07080002030901010a040101010a0009010105060708000102030000040101010101050600000000070800010101010101010101010101010101010101010001010101010101010101010101010101010101000101010101010101010101010101010101010100010101010101010101010101010101010101010001010101010101010101010101010101010101000c00000040092900aa000000000000001d00130000000000040000002701ffff030000000000
Конечная температура раствора в сепараторе
t>к
>=
58,26 + 8,58 = 66,84010009000003f004000000004c03000000004c03000026060f008e06574d46430100000000000100de1c00000000010000006c060000000000006c060000010000006c0000000000000000000000120000001c0000000000000000000000f1010000f702000020454d46000001006c0600000c00000001000000000000000000000000000000900600001a040000b801000013010000000000000000000000000000c0b6060038320400460000002c00000020000000454d462b014001001c000000100000000210c0db01000000600000006000000046000000f4010000e8010000454d462b224004000c000000000000001e4009000c00000000000000244001000c000000000000003040020010000000040000000000803f214007000c000000000000000840000540010000340100000210c0db01000000000000000000000000000000000000000100000089504e470d0a1a0a0000000d49484452000000130000001d08030000007f84a78e000000017352474200aece1ce9000000097048597300000ec400000ec401952b0e1b00000042504c544500000000004800007400489c0074bf48000048007448489c489cdf74000074bfff9c48009cdfffbf7400bfffffdf9c48dfffffffbf74ffdf9cffffbfffffdfffffff25049bae0000006d4944415428cfbd90c70e80300c43cd2e23a583fcffafd2428a5a7164f8143d29896df05d789d6d33d01eb3eb10d4186cb362a608092af2c05cafc334185e2362b619f363add3bd7357b195a3f90f592dbc3c61c50f51347bcb4b9892e78bf9b15a245bd607413af8a5fbefd90e88f728711999dadb0000000049454e44ae42608200000840010824000000180000000210c0db01000000030000000000000000000000000000001b40000040000000340000000100000002000000000000bf000000bf000098410000e84103000000000080b3000080b3ffff9741000080b3000080b3ffffe7412100000008000000620000000c00000001000000150000000c00000004000000150000000c0000000400000051000000140300000000000000000000120000001c00000000000000000000000000000000000000130000001d0000005000000080000000d000000044020000000000002000cc00130000001d00000028000000130000001d0000000100080000000000000000000000000000000000160000000000000000000000ffffff00dfffff0000489c00bf7400009cdfff00000048009c480000ffffdf00df9c48000074bf0074004800ffffbf009c484800489cdf0074bfff00bfffff000000740074000000ffbf740048000000ffdf9c00010101010101010101010101010101010101010001010101010101010101010101010101010101000101010101010101010101010101010101010100010101010101010101010101010101010101010001010101010101010101010101010101010101000101010101010101010101010101010101010100010101010101010101010101010101010101010001010101010101010101010101010101010101000101010101010101010101010101010101010100010101010101010101010101010101010101010001010101010101010101010a000000000007080001010101010101010110111415010105060708000101010101010101010a0013010101010f070800010101010101010105060708010101010101010001010101010101010f000401010101010101010001010101010101010e000901010101010101010001010101010101010e000901010101010101010001010101010101010e000901010101010101010001020300000401010e000901010101010101010002030901010a09010f0004010101010101010100050b0c0101050d081011120c0101010101010100050b0c0101050d08010e0009010101010f07080002030901010a040101010a0009010105060708000102030000040101010101050600000000070800010101010101010101010101010101010101010001010101010101010101010101010101010101000101010101010101010101010101010101010100010101010101010101010101010101010101010001010101010101010101010101010101010101004c000000640000000000000000000000120000001c0000000000000000000000130000001d0000002900aa0000000000000000000000803f00000000000000000000803f0000000000000000000000000000000000000000000000000000000000000000220000000c000000ffffffff460000001c00000010000000454d462b024000000c000000000000000e000000140000000000000010000000140000000400000003010800050000000b0200000000050000000c021d001300030000001e00040000000701040004000000070104006f010000410b2000cc001d001300000000001d0013000000000028000000130000001d0000000100080000000000000000000000000000000000160000000000000000000000ffffff00dfffff0000489c00bf7400009cdfff00000048009c480000ffffdf00df9c48000074bf0074004800ffffbf009c484800489cdf0074bfff00bfffff000000740074000000ffbf740048000000ffdf9c00010101010101010101010101010101010101010001010101010101010101010101010101010101000101010101010101010101010101010101010100010101010101010101010101010101010101010001010101010101010101010101010101010101000101010101010101010101010101010101010100010101010101010101010101010101010101010001010101010101010101010101010101010101000101010101010101010101010101010101010100010101010101010101010101010101010101010001010101010101010101010a000000000007080001010101010101010110111415010105060708000101010101010101010a0013010101010f070800010101010101010105060708010101010101010001010101010101010f000401010101010101010001010101010101010e000901010101010101010001010101010101010e000901010101010101010001010101010101010e000901010101010101010001020300000401010e000901010101010101010002030901010a09010f0004010101010101010100050b0c0101050d081011120c0101010101010100050b0c0101050d08010e0009010101010f07080002030901010a040101010a0009010105060708000102030000040101010101050600000000070800010101010101010101010101010101010101010001010101010101010101010101010101010101000101010101010101010101010101010101010100010101010101010101010101010101010101010001010101010101010101010101010101010101000c00000040092900aa000000000000001d00130000000000040000002701ffff030000000000
Средняя температура кипения раствора в трубах

где
t>кип
>–
средняя температура кипения в трубах,0100090000036405000000008603000000008603000026060f000207574d46430100000000000100dd310000000001000000e006000000000000e0060000010000006c0000000000000000000000170000001c000000000000000000000074020000f702000020454d4600000100e00600000c00000001000000000000000000000000000000900600001a040000b801000013010000000000000000000000000000c0b6060038320400460000002c00000020000000454d462b014001001c000000100000000210c0db01000000600000006000000046000000f4010000e8010000454d462b224004000c000000000000001e4009000c00000000000000244001000c000000000000003040020010000000040000000000803f214007000c000000000000000840000540010000340100000210c0db01000000000000000000000000000000000000000100000089504e470d0a1a0a0000000d49484452000000180000001d080300000087645c79000000017352474200aece1ce9000000097048597300000ec400000ec401952b0e1b00000042504c544500000000004800007400489c0074bf48000048007448489c489cdf74000074bfff9c48009cdfffbf7400bfffffdf9c48dfffffffbf74ffdf9cffffbfffffdfffffff25049bae0000006f4944415428cfc5914b0e80200c44eb1f54908fbdff55a55a0d88ee8ccc8290bed06907c017c17f609d00dafde63a086a0c705d202a220a04c113b85e876330b8501dd1de8197b54e3c8e56022d1b65e6dc291ff743909bb368b3e7ac148cc98297bcace63892e44d1c62d9af2d03368ed03456758dc9170000000049454e44ae4260820840010824000000180000000210c0db01000000030000000000000000000000000000001b40000040000000340000000100000002000000000000bf000000bf0000c0410000e84103000000000000b3000000b3ffffbf41000000b3000000b3ffffe7412100000008000000620000000c00000001000000150000000c00000004000000150000000c0000000400000051000000880300000000000000000000170000001c00000000000000000000000000000000000000180000001d0000005000000080000000d0000000b8020000000000002000cc00180000001d00000028000000180000001d0000000100080000000000000000000000000000000000160000000000000000000000ffffff00dfffff0000489c00bf7400009cdfff00000048009c480000ffffdf00df9c48000074bf0074004800ffffbf009c484800489cdf0074bfff00bfffff000000740074000000ffbf740048000000ffdf9c00010101010101010101010101010101010101010101010101010101010101010101010101010101010101010101010101010101010101010101010101010101010101010101010101010101010101010101010101010101010101010101010101010101010101010101010101010101010101010101010101010101010101010101010101010101010101010101010101010101010101010101010101010101010101010101010101010101010101010101010101010101010101010101010101010101010101010101010101010101010101010101010101010101010101010101010101010101010101010101010101010101010101010101010101010101010a0000000000070801010101010101010101010101011011141501010506070801010101010101010101010101010a0013010101010f0708010101010101010101010101010506070801010101010101010101010101010101010101010f00040101010101010101010101010101010101010101010e00090101010101010101010101010101010101010101010e00090101010101010101010101010101010101010101010e00090101010101010101010101010101020300000401010e00090101010101010101010101010102030901010a09010f000401010101010101010101010101050b0c0101050d081011120c010101010101010101010101050b0c0101050d08010e0009010101010f0708010101010102030901010a040101010a00090101050607080101010101010203000004010101010105060000000007080101010101010101010101010101010101010101010101010101010101010101010101010101010101010101010101010101010101010101010101010101010101010101010101010101010101010101010101010101010101010101010101010101010101010101010101010101010101010101010101014c000000640000000000000000000000170000001c0000000000000000000000180000001d0000002900aa0000000000000000000000803f00000000000000000000803f0000000000000000000000000000000000000000000000000000000000000000220000000c000000ffffffff460000001c00000010000000454d462b024000000c000000000000000e000000140000000000000010000000140000000400000003010800050000000b0200000000050000000c021d001800030000001e0004000000070104000400000007010400a9010000410b2000cc001d001800000000001d0018000000000028000000180000001d0000000100080000000000000000000000000000000000160000000000000000000000ffffff00dfffff0000489c00bf7400009cdfff00000048009c480000ffffdf00df9c48000074bf0074004800ffffbf009c484800489cdf0074bfff00bfffff000000740074000000ffbf740048000000ffdf9c00010101010101010101010101010101010101010101010101010101010101010101010101010101010101010101010101010101010101010101010101010101010101010101010101010101010101010101010101010101010101010101010101010101010101010101010101010101010101010101010101010101010101010101010101010101010101010101010101010101010101010101010101010101010101010101010101010101010101010101010101010101010101010101010101010101010101010101010101010101010101010101010101010101010101010101010101010101010101010101010101010101010101010101010101010101010a0000000000070801010101010101010101010101011011141501010506070801010101010101010101010101010a0013010101010f0708010101010101010101010101010506070801010101010101010101010101010101010101010f00040101010101010101010101010101010101010101010e00090101010101010101010101010101010101010101010e00090101010101010101010101010101010101010101010e00090101010101010101010101010101020300000401010e00090101010101010101010101010102030901010a09010f000401010101010101010101010101050b0c0101050d081011120c010101010101010101010101050b0c0101050d08010e0009010101010f0708010101010102030901010a040101010a00090101050607080101010101010203000004010101010105060000000007080101010101010101010101010101010101010101010101010101010101010101010101010101010101010101010101010101010101010101010101010101010101010101010101010101010101010101010101010101010101010101010101010101010101010101010101010101010101010101010101010c00000040092900aa000000000000001d00180000000000040000002701ffff030000000000
;
t>к> – температура кипения раствора в сепараторе (конечная температура раствора),0100090000036405000000008603000000008603000026060f000207574d46430100000000000100dd310000000001000000e006000000000000e0060000010000006c0000000000000000000000170000001c000000000000000000000074020000f702000020454d4600000100e00600000c00000001000000000000000000000000000000900600001a040000b801000013010000000000000000000000000000c0b6060038320400460000002c00000020000000454d462b014001001c000000100000000210c0db01000000600000006000000046000000f4010000e8010000454d462b224004000c000000000000001e4009000c00000000000000244001000c000000000000003040020010000000040000000000803f214007000c000000000000000840000540010000340100000210c0db01000000000000000000000000000000000000000100000089504e470d0a1a0a0000000d49484452000000180000001d080300000087645c79000000017352474200aece1ce9000000097048597300000ec400000ec401952b0e1b00000042504c544500000000004800007400489c0074bf48000048007448489c489cdf74000074bfff9c48009cdfffbf7400bfffffdf9c48dfffffffbf74ffdf9cffffbfffffdfffffff25049bae0000006f4944415428cfc5914b0e80200c44eb1f54908fbdff55a55a0d88ee8ccc8290bed06907c017c17f609d00dafde63a086a0c705d202a220a04c113b85e876330b8501dd1de8197b54e3c8e56022d1b65e6dc291ff743909bb368b3e7ac148cc98297bcace63892e44d1c62d9af2d03368ed03456758dc9170000000049454e44ae4260820840010824000000180000000210c0db01000000030000000000000000000000000000001b40000040000000340000000100000002000000000000bf000000bf0000c0410000e84103000000000000b3000000b3ffffbf41000000b3000000b3ffffe7412100000008000000620000000c00000001000000150000000c00000004000000150000000c0000000400000051000000880300000000000000000000170000001c00000000000000000000000000000000000000180000001d0000005000000080000000d0000000b8020000000000002000cc00180000001d00000028000000180000001d0000000100080000000000000000000000000000000000160000000000000000000000ffffff00dfffff0000489c00bf7400009cdfff00000048009c480000ffffdf00df9c48000074bf0074004800ffffbf009c484800489cdf0074bfff00bfffff000000740074000000ffbf740048000000ffdf9c00010101010101010101010101010101010101010101010101010101010101010101010101010101010101010101010101010101010101010101010101010101010101010101010101010101010101010101010101010101010101010101010101010101010101010101010101010101010101010101010101010101010101010101010101010101010101010101010101010101010101010101010101010101010101010101010101010101010101010101010101010101010101010101010101010101010101010101010101010101010101010101010101010101010101010101010101010101010101010101010101010101010101010101010101010101010a0000000000070801010101010101010101010101011011141501010506070801010101010101010101010101010a0013010101010f0708010101010101010101010101010506070801010101010101010101010101010101010101010f00040101010101010101010101010101010101010101010e00090101010101010101010101010101010101010101010e00090101010101010101010101010101010101010101010e00090101010101010101010101010101020300000401010e00090101010101010101010101010102030901010a09010f000401010101010101010101010101050b0c0101050d081011120c010101010101010101010101050b0c0101050d08010e0009010101010f0708010101010102030901010a040101010a00090101050607080101010101010203000004010101010105060000000007080101010101010101010101010101010101010101010101010101010101010101010101010101010101010101010101010101010101010101010101010101010101010101010101010101010101010101010101010101010101010101010101010101010101010101010101010101010101010101010101014c000000640000000000000000000000170000001c0000000000000000000000180000001d0000002900aa0000000000000000000000803f00000000000000000000803f0000000000000000000000000000000000000000000000000000000000000000220000000c000000ffffffff460000001c00000010000000454d462b024000000c000000000000000e000000140000000000000010000000140000000400000003010800050000000b0200000000050000000c021d001800030000001e0004000000070104000400000007010400a9010000410b2000cc001d001800000000001d0018000000000028000000180000001d0000000100080000000000000000000000000000000000160000000000000000000000ffffff00dfffff0000489c00bf7400009cdfff00000048009c480000ffffdf00df9c48000074bf0074004800ffffbf009c484800489cdf0074bfff00bfffff000000740074000000ffbf740048000000ffdf9c00010101010101010101010101010101010101010101010101010101010101010101010101010101010101010101010101010101010101010101010101010101010101010101010101010101010101010101010101010101010101010101010101010101010101010101010101010101010101010101010101010101010101010101010101010101010101010101010101010101010101010101010101010101010101010101010101010101010101010101010101010101010101010101010101010101010101010101010101010101010101010101010101010101010101010101010101010101010101010101010101010101010101010101010101010101010a0000000000070801010101010101010101010101011011141501010506070801010101010101010101010101010a0013010101010f0708010101010101010101010101010506070801010101010101010101010101010101010101010f00040101010101010101010101010101010101010101010e00090101010101010101010101010101010101010101010e00090101010101010101010101010101010101010101010e00090101010101010101010101010101020300000401010e00090101010101010101010101010102030901010a09010f000401010101010101010101010101050b0c0101050d081011120c010101010101010101010101050b0c0101050d08010e0009010101010f0708010101010102030901010a040101010a00090101050607080101010101010203000004010101010105060000000007080101010101010101010101010101010101010101010101010101010101010101010101010101010101010101010101010101010101010101010101010101010101010101010101010101010101010101010101010101010101010101010101010101010101010101010101010101010101010101010101010c00000040092900aa000000000000001d00180000000000040000002701ffff030000000000;
Δt>г.э.> – гидростатическая депрессия (эффект) или повышение температуры кипения раствора вследствие гидростатического давления столба жидкости в аппарате,0100090000036405000000008603000000008603000026060f000207574d46430100000000000100dd310000000001000000e006000000000000e0060000010000006c0000000000000000000000170000001c000000000000000000000074020000f702000020454d4600000100e00600000c00000001000000000000000000000000000000900600001a040000b801000013010000000000000000000000000000c0b6060038320400460000002c00000020000000454d462b014001001c000000100000000210c0db01000000600000006000000046000000f4010000e8010000454d462b224004000c000000000000001e4009000c00000000000000244001000c000000000000003040020010000000040000000000803f214007000c000000000000000840000540010000340100000210c0db01000000000000000000000000000000000000000100000089504e470d0a1a0a0000000d49484452000000180000001d080300000087645c79000000017352474200aece1ce9000000097048597300000ec400000ec401952b0e1b00000042504c544500000000004800007400489c0074bf48000048007448489c489cdf74000074bfff9c48009cdfffbf7400bfffffdf9c48dfffffffbf74ffdf9cffffbfffffdfffffff25049bae0000006f4944415428cfc5914b0e80200c44eb1f54908fbdff55a55a0d88ee8ccc8290bed06907c017c17f609d00dafde63a086a0c705d202a220a04c113b85e876330b8501dd1de8197b54e3c8e56022d1b65e6dc291ff743909bb368b3e7ac148cc98297bcace63892e44d1c62d9af2d03368ed03456758dc9170000000049454e44ae4260820840010824000000180000000210c0db01000000030000000000000000000000000000001b40000040000000340000000100000002000000000000bf000000bf0000c0410000e84103000000000000b3000000b3ffffbf41000000b3000000b3ffffe7412100000008000000620000000c00000001000000150000000c00000004000000150000000c0000000400000051000000880300000000000000000000170000001c00000000000000000000000000000000000000180000001d0000005000000080000000d0000000b8020000000000002000cc00180000001d00000028000000180000001d0000000100080000000000000000000000000000000000160000000000000000000000ffffff00dfffff0000489c00bf7400009cdfff00000048009c480000ffffdf00df9c48000074bf0074004800ffffbf009c484800489cdf0074bfff00bfffff000000740074000000ffbf740048000000ffdf9c00010101010101010101010101010101010101010101010101010101010101010101010101010101010101010101010101010101010101010101010101010101010101010101010101010101010101010101010101010101010101010101010101010101010101010101010101010101010101010101010101010101010101010101010101010101010101010101010101010101010101010101010101010101010101010101010101010101010101010101010101010101010101010101010101010101010101010101010101010101010101010101010101010101010101010101010101010101010101010101010101010101010101010101010101010101010a0000000000070801010101010101010101010101011011141501010506070801010101010101010101010101010a0013010101010f0708010101010101010101010101010506070801010101010101010101010101010101010101010f00040101010101010101010101010101010101010101010e00090101010101010101010101010101010101010101010e00090101010101010101010101010101010101010101010e00090101010101010101010101010101020300000401010e00090101010101010101010101010102030901010a09010f000401010101010101010101010101050b0c0101050d081011120c010101010101010101010101050b0c0101050d08010e0009010101010f0708010101010102030901010a040101010a00090101050607080101010101010203000004010101010105060000000007080101010101010101010101010101010101010101010101010101010101010101010101010101010101010101010101010101010101010101010101010101010101010101010101010101010101010101010101010101010101010101010101010101010101010101010101010101010101010101010101014c000000640000000000000000000000170000001c0000000000000000000000180000001d0000002900aa0000000000000000000000803f00000000000000000000803f0000000000000000000000000000000000000000000000000000000000000000220000000c000000ffffffff460000001c00000010000000454d462b024000000c000000000000000e000000140000000000000010000000140000000400000003010800050000000b0200000000050000000c021d001800030000001e0004000000070104000400000007010400a9010000410b2000cc001d001800000000001d0018000000000028000000180000001d0000000100080000000000000000000000000000000000160000000000000000000000ffffff00dfffff0000489c00bf7400009cdfff00000048009c480000ffffdf00df9c48000074bf0074004800ffffbf009c484800489cdf0074bfff00bfffff000000740074000000ffbf740048000000ffdf9c00010101010101010101010101010101010101010101010101010101010101010101010101010101010101010101010101010101010101010101010101010101010101010101010101010101010101010101010101010101010101010101010101010101010101010101010101010101010101010101010101010101010101010101010101010101010101010101010101010101010101010101010101010101010101010101010101010101010101010101010101010101010101010101010101010101010101010101010101010101010101010101010101010101010101010101010101010101010101010101010101010101010101010101010101010101010a0000000000070801010101010101010101010101011011141501010506070801010101010101010101010101010a0013010101010f0708010101010101010101010101010506070801010101010101010101010101010101010101010f00040101010101010101010101010101010101010101010e00090101010101010101010101010101010101010101010e00090101010101010101010101010101010101010101010e00090101010101010101010101010101020300000401010e00090101010101010101010101010102030901010a09010f000401010101010101010101010101050b0c0101050d081011120c010101010101010101010101050b0c0101050d08010e0009010101010f0708010101010102030901010a040101010a00090101050607080101010101010203000004010101010105060000000007080101010101010101010101010101010101010101010101010101010101010101010101010101010101010101010101010101010101010101010101010101010101010101010101010101010101010101010101010101010101010101010101010101010101010101010101010101010101010101010101010c00000040092900aa000000000000001d00180000000000040000002701ffff030000000000.
Вначале определим следующие параметры: оптимальная высота уровня по водомерному стеклу, определяется по формуле:

где 010009000003ac0a000000006206000000006206000026060f00ba0c574d4643010000000000010097570000000001000000980c000000000000980c0000010000006c00000000000000000000003d0000001c000000000000000000000057060000f702000020454d4600000100980c00000c00000001000000000000000000000000000000900600001a040000b801000013010000000000000000000000000000c0b6060038320400460000002c00000020000000454d462b014001001c000000100000000210c0db01000000600000006000000046000000d4020000c8020000454d462b224004000c000000000000001e4009000c00000000000000244001000c000000000000003040020010000000040000000000803f214007000c000000000000000840000520020000140200000210c0db01000000000000000000000000000000000000000100000089504e470d0a1a0a0000000d494844520000003e0000001d0803000000c5272fee000000017352474200aece1ce9000000097048597300000ec400000ec401952b0e1b0000007e504c544500000000004800007400489c00747400749c0074bf48000048007448484848487448489c489cbf489cdf74000074004874007474489c7474747474bf749cdf74bfdf74bfff9c48009c48489c749c9cdfdf9cdfffbf7400bf9c9cbfbf74bfbf9cbfffffdf9c48dfdf9cdfffbfdfffffffbf74ffdf9cffffbfffffdfffffff02875870000001114944415448c7e5946d53c3200cc7d376aeba59361f46aba0122dd07cff2f6842bbed8dbb2bdd0b5f8c3b08c7f5977f424881ae1a70dbf8d00280264236eb05eacc6bd963363de1a51b71bd040f75523d7ac9c53d34b28daaea97e058184a5eb2533fdd7c1a7a091ed594fa18442e9e953ac279b01c9cea35dd7faefa155517fc18b41d538f4a820a7561425df5511586fd5e7c12c0a9275c3e94eaf1eaf9203e7d6f7f7686e2feb3b18fdd7bf7f7b5821f1b85458115a2e20cc2bd237ff7d68b1bbf7a19ba672347331a5608425eecc690e58ad8d2858757c2f5ac7ec78652047177e069d2c4d20dad9e8757fdd0b252d872dcd587136b35a7f365e6e0f2809b290ae41ddbb87797dbe1c6ffb4ff88ff02d6710975ca34ff820000000049454e44ae42608200000840010824000000180000000210c0db01000000030000000000000000000000000000001b40000040000000340000000100000002000000000000bf000000bf000078420000e84103000000000000b3000000b3ffff7742000000b3000000b3ffffe7412100000008000000620000000c00000001000000150000000c00000004000000150000000c00000004000000510000006008000000000000000000003d0000001c000000000000000000000000000000000000003e0000001d00000050000000d00000002001000040070000000000002000cc003e0000001d000000280000003e0000001d00000001000800000000000000000000000000000000002a0000000000000000000000ffffff00dfffff0000489c00ffbf7400489cdf00bf74000074000000ffffbf009cdfff000000480074bfff00df9c4800bfffff00000074009c480000ffffdf0048000000ffdf9c000074bf009c4874009cdfdf009c484800bfffdf00480074007400740074bfbf00bf9c480048489c00dfdf9c00740048009c7400009c749c0074740000bf747400747474007448480048484800df9c7400dfbf74009c9cbf009cbfbf000101010101010101010101010101010101010101010101010101010101010101010101010101010101010101010101010101010101010101010101010101000001010101010101010101010101010101010101010101010101010101010101010101010101010101010101010101010101010101010101010101010101010000010101010101010101010101010101010101010101010101010101010101010101010101010101010101010101010101010101010101010101010101010100000101010101010101010101010101010101010101010101010101010101010101010101010101010101010101010101010101010101010101010101010101000001010101010101010101010101010101010101010101010101010101010101010101010101010101010101010101010101010101010101010101010101010000010101010101010101010101010101010101010101010101010101010101010101010101010101010101010101010101010101010101010101010101010100000101010101010101010101010101020300000c010101050c010105000c01050c010d1908010b00060101010101010101010101010101010101010101010100000101010101010101010101010101050f100203060101091610010b0f280809161001130401091e291201010101010101010101010101010101010101010100000101010101010101010101010101050c01010d0e04010d1827010d1812010d18120105070802030401010101010101010101010101010101010101010101000001010101010101010101010101010b0f100101050f100113241201130c01011307080925260105060101010101010101010101010101010101010101010100000b0000000601010d0e00000708010d0e040101091e08010b1f20100b0f10010b2122021c2312091e080101010101010101010101010101010101010101010000010b000f100101010d0e11120101010b1112010b0f10010d141516171812010d191a0c131b1c1d1c120101010101010101010101010101010101010101010000010d0e0f1001010101131112010101010d0e00111201090a1112090a0f100d0e111205000402030708010101010101010101010101010101010101010101000001020307080101010105000401010101010101010101010101010101010101010101010101010101010101010101010101010101010101010101010101010000010105000401010101090a060101010101010101010101010101010101010101010101010101010101010101010101010101010101010101010101010101000001010b000c010101010d0e0f1001010101010101010101010101010101010101010101010101010101010101010101050000000000000000000000111201000001010d0e06010101010203111201010101010101010101010101010101010101010101010101010101010101010101010101010101010101010101010101000001010203000000000000000004010101010101010101010101010101010101010101010101010101010101010101010101010101010101010101010101010000010101051112010101010b00060101010101010101010101010101010101010101010101010101010101010101010101010101010101010101010101010100000101010b000c010101010d0e0f100101010101010101010101010101010101010101010101010101010101010101010101010101010101010101010101010000010101090a060101010102030708010101010101010101010101010101010101010101010101010101010101010101010101010101010101010101010101000001010102030708010101010500040101010101010101010101010101010101010101010101010101010101010101010101010101010101010101010101010000010101020300040101010105000601010101010101010101010101010101010101010101010101010101010101010101010101010101010101010101010100000101020300000004010105000000060101010101010101010101010101010101010101010101010101010101010101010101010101010101010101010101000001010101010101010101010101010101010101010101010101010101010101010101010101010101010101010101010101010101010101010101010101010000010101010101010101010101010101010101010101010101010101010101010101010101010101010101010101010101010101010101010101010101010100000101010101010101010101010101010101010101010101010101010101010101010101010101010101010101010101010101010101010101010101010101000001010101010101010101010101010101010101010101010101010101010101010101010101010101010101010101010101010101010101010101010101010000010101010101010101010101010101010101010101010101010101010101010101010101010101010101010101010101010101010101010101010101010100004c0000006400000000000000000000003d0000001c00000000000000000000003e0000001d0000002900aa0000000000000000000000803f00000000000000000000803f0000000000000000000000000000000000000000000000000000000000000000220000000c000000ffffffff460000001c00000010000000454d462b024000000c000000000000000e000000140000000000000010000000140000000400000003010800050000000b0200000000050000000c021d003e00030000001e000400000007010400040000000701040015040000410b2000cc001d003e00000000001d003e0000000000280000003e0000001d00000001000800000000000000000000000000000000002a0000000000000000000000ffffff00dfffff0000489c00ffbf7400489cdf00bf74000074000000ffffbf009cdfff000000480074bfff00df9c4800bfffff00000074009c480000ffffdf0048000000ffdf9c000074bf009c4874009cdfdf009c484800bfffdf00480074007400740074bfbf00bf9c480048489c00dfdf9c00740048009c7400009c749c0074740000bf747400747474007448480048484800df9c7400dfbf74009c9cbf009cbfbf000101010101010101010101010101010101010101010101010101010101010101010101010101010101010101010101010101010101010101010101010101000001010101010101010101010101010101010101010101010101010101010101010101010101010101010101010101010101010101010101010101010101010000010101010101010101010101010101010101010101010101010101010101010101010101010101010101010101010101010101010101010101010101010100000101010101010101010101010101010101010101010101010101010101010101010101010101010101010101010101010101010101010101010101010101000001010101010101010101010101010101010101010101010101010101010101010101010101010101010101010101010101010101010101010101010101010000010101010101010101010101010101010101010101010101010101010101010101010101010101010101010101010101010101010101010101010101010100000101010101010101010101010101020300000c010101050c010105000c01050c010d1908010b00060101010101010101010101010101010101010101010100000101010101010101010101010101050f100203060101091610010b0f280809161001130401091e291201010101010101010101010101010101010101010100000101010101010101010101010101050c01010d0e04010d1827010d1812010d18120105070802030401010101010101010101010101010101010101010101000001010101010101010101010101010b0f100101050f100113241201130c01011307080925260105060101010101010101010101010101010101010101010100000b0000000601010d0e00000708010d0e040101091e08010b1f20100b0f10010b2122021c2312091e080101010101010101010101010101010101010101010000010b000f100101010d0e11120101010b1112010b0f10010d141516171812010d191a0c131b1c1d1c120101010101010101010101010101010101010101010000010d0e0f1001010101131112010101010d0e00111201090a1112090a0f100d0e111205000402030708010101010101010101010101010101010101010101000001020307080101010105000401010101010101010101010101010101010101010101010101010101010101010101010101010101010101010101010101010000010105000401010101090a060101010101010101010101010101010101010101010101010101010101010101010101010101010101010101010101010101000001010b000c010101010d0e0f1001010101010101010101010101010101010101010101010101010101010101010101050000000000000000000000111201000001010d0e06010101010203111201010101010101010101010101010101010101010101010101010101010101010101010101010101010101010101010101000001010203000000000000000004010101010101010101010101010101010101010101010101010101010101010101010101010101010101010101010101010000010101051112010101010b00060101010101010101010101010101010101010101010101010101010101010101010101010101010101010101010101010100000101010b000c010101010d0e0f100101010101010101010101010101010101010101010101010101010101010101010101010101010101010101010101010000010101090a060101010102030708010101010101010101010101010101010101010101010101010101010101010101010101010101010101010101010101000001010102030708010101010500040101010101010101010101010101010101010101010101010101010101010101010101010101010101010101010101010000010101020300040101010105000601010101010101010101010101010101010101010101010101010101010101010101010101010101010101010101010100000101020300000004010105000000060101010101010101010101010101010101010101010101010101010101010101010101010101010101010101010101000001010101010101010101010101010101010101010101010101010101010101010101010101010101010101010101010101010101010101010101010101010000010101010101010101010101010101010101010101010101010101010101010101010101010101010101010101010101010101010101010101010101010100000101010101010101010101010101010101010101010101010101010101010101010101010101010101010101010101010101010101010101010101010101000001010101010101010101010101010101010101010101010101010101010101010101010101010101010101010101010101010101010101010101010101010000010101010101010101010101010101010101010101010101010101010101010101010101010101010101010101010101010101010101010101010101010100000c00000040092900aa000000000000001d003e0000000000040000002701ffff030000000000оптимальная высота уровня, м;
0100090000036c1a000000004c0e000000004c0e000026060f008e1c574d46430100000000000100abc700000000010000006c1c0000000000006c1c0000010000006c0000000000000000000000b60000001f0000000000000000000000b81200004503000020454d46000001006c1c00000c00000001000000000000000000000000000000900600001a040000b801000013010000000000000000000000000000c0b6060038320400460000002c00000020000000454d462b014001001c000000100000000210c0db01000000600000006000000046000000fc020000f0020000454d462b224004000c000000000000001e4009000c00000000000000244001000c000000000000003040020010000000040000000000803f214007000c0000000000000008400005480200003c0200000210c0db01000000000000000000000000000000000000000100000089504e470d0a1a0a0000000d49484452000000b700000020080300000067d31956000000017352474200aece1ce9000000097048597300000ec400000ec401952b0e1b0000006f504c544500000000004800007400487400489c0074bf48000048004848007448484848489c489cdf74000074004874007474480074484874bfbf74bfff9c48009c48489c48749cbfff9cdfdf9cdfffbf7400bf7448bfbf74bfffffdf9c48dfbf74dfffffffbf74ffdf9cffffbfffffdfffffff97c2df86000001494944415458c3ed96db6e83300c86ddae6107d21da0db928dace4f0fecfb8381cc2981a6e2a4ca5f82242d12ff461ffb601779b01993b7367eecc9db933772a6c0d00e5fc564285e7e19c96d171ebc2b3a94039c57ee30c59595a46c76deb7de39ce1ecefc77ce8a244d82a2923e46e43ed0d8f86e842ed447f246564dc32a0e982cdcbe009c391922988317ce23adc3d5a3befb86093787b494696ef3e837234c4c426e675b4f7251919779741c4b2f5eeb30616f36bdfbfb11767327c86f19e8c5b21699871ce1c1f85397609c5c1f125e4e1a7fc2753fbc69e0431b7adef5e8675d27a130c44b8642a3b49ff28d3f7c2f092da27d3812cbd99f543b320536997acc4ddc605689e3d8e2c97645eb1817cc7c5e2f4d3d949b62853d8c1e4dc32d65c257e9b2632c30118fd1c8c1d7a12d779d1cadc68931be4960bd5df6cbeaf16993b7367eeedc52f507b1e437fa470c30000000049454e44ae426082000840010824000000180000000210c0db01000000030000000000000000000000000000001b40000040000000340000000100000002000000000000bf000000bf000037430000004203000000000000b3000000b3ffff3643000000b3000000b3ffffff412100000008000000620000000c00000001000000150000000c00000004000000150000000c00000004000000510000000c1800000000000000000000b60000001f00000000000000000000000000000000000000b70000002000000050000000bc0000000c01000000170000000000002000cc00b70000002000000028000000b7000000200000000100080000000000000000000000000000000000250000000000000000000000ffffff00dfffff0000489c00df9c48000074bf00ffbf74009c480000ffffdf009cdfff0000004800489cdf00bfbf740000007400bf74000074000000ffffbf00bfffff00ffbf9c0074bfff0048000000ffdf9c0048487400dfdf9c0074489c0074bfbf0048007400484848004874bf0074bfdf0048489c0074480000004874004800480074004800740074009c484800010101010101010101010101010101010101010101010101010101010101010101010101010101010101010101010101010101010101010101010101010101010101010101010101010101010101010101010101010101010101010101010101010101010101010101010101010101010101010101010101010101010101010101010101010101010101010101010101010101010101010101010101010101010101010101010101010101010101010101010101010101000101010101010101010101010101010101010101010101010101010101010101010101010101010101010101010101010101010101010101010101010101010101010101010101010101010101010101010101010101010101010101010101010101010101010101010101010101010101010101010101010101010101010101010101010101010101010101010101010101010101010101010101010101010101010101010101010101010101010101010101010101010001010101010101010101010101010101010101010101010101010101010101010101010101010101010101010101010101010101010101010101010101010101010101010101010101010101010101010101010101010101010101010101010101010101010101010101010101010101010101010101010101010101010101010101010101010101010101010101010101010101010101010101010101010101010101010101010101010101010101010101010101010100010101010101010101010101010101010101010101010101010101010101010101010101010101010101010101010101010101010101010101010101010101010101010101010101010101010101010101010101010101010101010101010101010101010101010101010101010101010101010101010101010101010101010101010101010101010101010101010101010101010101010101010101010101010101010101010101010101010101010101010101010101000101010101010101010101010101010101010101010101010101010101010101010101010101010101010101010101010101010101010101010101010101010101010101010101010101010101010101010101010101010101010101010101010101010101010101010101010101010101010101010101010101010101010101010101010101010101010101010101010101010101010101010101010101010101010101010101010101010101010101010101010101010001010101010101010101010101010101010101010101010101010101010101010101010101010101010101010101010101010101010101010101010101010101010101010101010101010101010101010101010101010101010101010101010101010101010101010101010101010101010101010101010101010101010101010101010101010101010101010101010101010101010101010101010101010101010101010101010101010101010101010101010101010100010101010101010101010101010101010101010101010101010101010101010101010101010101010101010101010101010101010101010101010101010101010101010101010101010101010101010101010101010101010101010101010101010101010101010101010101010500000e0101010101010101010101010101010101010101010101010101010101010101010101010101010101010101010101010101010101010101010101010101010101010101010100010101010101010101010101010101010101010101010101010101010101010101010101010101010101010101010101010101010101010101010101010101010101010101010101010101010101010101010101010101010101010101010101010101010101010101010101010109240801010101010101010101010101010101010101010101010101010101010101010101010101010101010101010101010101010101010101010101010101010101010101010101000101010101010101010101010101010101010101010101010101010101010101010101010101010101010101010101010101010101010101010101010101010101010101010101010101010101010101010101010101010101010101010101010101010101010101010101010101021e15010101010101010101010101010101010101010101010101010101010101010101010101010101010101010101010101010101010101010101010101010101010101010101010001010101010101010101010101010101010101010101010101010101010101010101010101010101010101010101010101010101010101010101010101010101010101010101010101010101010101010101010101010101010101010101010101010101050f1001010101010101010b000000040101010101010101010101010101010101010101010101050f100101010101010101110d00000e0101010101010101010101010101010101010101010101010101010100010101010101010101010101010101010101010101010101010101010101010101010101010101010101010101010101010101010101010101010101010101010101010101010101010101010101010101010101010101010101010101010101010101010b1415010101010101010109240801050e010101010101010101010101010101010101010101010b141501010101010101010b0e0102030401010101010101010101010101010101010101010101010101010100010101010101010101010101010101010101010101010101010101010101010101010101010101010101010101010101010101010101010101010101010101010101010101010101010101010101010101010101010101010101010101010101010101011300060101010101010101112310010105040101010101010101010101010101010101010101011300060101010101010101050401110d040101010101010101010101010101010101010101010101010101010001010101010101010101010101010101010101010101010101010101010101010101010101010101010101010101010101010101010101010101010101010101010101010101010101010101010101010101010101010101010101010101010101010101110d0e010101010101010101050601010922100101010101010101010101010101010101010101110d0e01010101010101010b00000f1001010101010101010101010101010101010101010101010101010101000101010101010101010101010101010101010101010101010101010101010101010101010101010101010101010101010101010101010101010101010101010101010101010101010101010101010101010101010101010101010101010101010101010102031f20000000040101010113141501021e15010101010102030000060203000e01010101010102031f2000000004010101092115110d040101010101010101010101010101010101010101010101010101010001010101010101010101010101010101010101010101010101010101010101010101010101010101010101010101010101010101010101010101010101010101010101010101010101010101010101010101010101010101010101010101010101010101010b000e0101090a07080101111a1b15111a150101010101110d0e011c1505071d040101010101010b000e0101090a070801010b0f10021e150101010101010101010101010101010101010101010101010101000101010101010101010101010101010101010101010101010101010101010101010101010101010101010101010101010101010101010101010101010101010101010101010101010101010101010101010101010101010101010101010101010101010101130004010101090a0e010203141703000e010101010101020307080218190f1001010101010101130004010101090a0e0101011300000f100101010101010101010101010101010101010101010101010101000101010101010101010101010101010101010101010101010101010101010101010101010101010101010101010101010101010101010101010101010101010101010101010101010101010101010101010101010101010101010101010101010101010101090a0e0101010105141501010101010101010101010101010b14150111160a0601010101010101090a0e01010101051415010101010101010101010101010101010101010101010101010101010101010101000101010101010101010101010101010101010101010101010101010101010101010101010101010101010101010101010101010101010101010101010101010101010101010101010101010101010101010101010101010101010101010101010101010101020307080101011300040101010101010101010101010101090a040101130004010101010101010203070801010113000401010101010101010101010101010101010101010101010101010101010101010100010101010101010101010101010101010101010101010101010101010101010101010101010101010101010101010101010101010101010101010101010101010101010101010101010101010101010101010101010101010101010101010101010101010101051415010101090a0e010101010101010101010101010102030708010203070801010101010101051415010101090a0e010101010101010101010101010b0000000000000000000000141501010101010100010101010101010101010101010101010101010101010101010101010101010101010101010101010101010101010101010101010101010101010101010101010101010101010101010101010101010101010101010101010101010101010101010101010101130004010101110d070801010101010101010101010101010b141501010b141501010101010101130004010101110d070801010101010101010101010101010101010101010101010101010101010101010001010101010101010101010101010101010101010101010101010101010101010101010101010101010101010101010101010101010101010101010101010101010101010101010101010101010101010101010101010101010101010101010101010101010102030f100101110d0e010101010101010101010101010912090a040101090a060101010101010102030f100101110d0e0101010101010101010101010101010101010101010101010101010101010101010001010101010101010101010101010101010101010101010101010101010101010101010101010101010101010101010101010101010101010101010101010101010101010101010101010101010101010101010101010101010101010101010101010101010101090a0708010b00060101010101010101010101010101050c0d0e010102030e0101010101010101090a0708010b000601010101010101010101010101010101010101010101010101010101010101010100010101010101010101010101010101010101010101010101010101010101010101010101010101010101010101010101010101010101010101010101010101010101010101010101010101010101010101010101010101010101010101010101010101010101010102030000000401010101010101010101010101010101050006010101050708010101010101010102030000000401010101010101010101010101010101010101010101010101010101010101010101000101010101010101010101010101010101010101010101010101010101010101010101010101010101010101010101010101010101010101010101010101010101010101010101010101010101010101010101010101010101010101010101010101010101010101010101010101010101010101010101010101010101010101010101010101010101010101010101010101010101010101010101010101010101010101010101010101010101010101010101010101010001010101010101010101010101010101010101010101010101010101010101010101010101010101010101010101010101010101010101010101010101010101010101010101010101010101010101010101010101010101010101010101010101010101010101010101010101010101010101010101010101010101010101010101010101010101010101010101010101010101010101010101010101010101010101010101010101010101010101010101010101010100010101010101010101010101010101010101010101010101010101010101010101010101010101010101010101010101010101010101010101010101010101010101010101010101010101010101010101010101010101010101010101010101010101010101010101010101010101010101010101010101010101010101010101010101010101010101010101010101010101010101010101010101010101010101010101010101010101010101010101010101010101000101010101010101010101010101010101010101010101010101010101010101010101010101010101010101010101010101010101010101010101010101010101010101010101010101010101010101010101010101010101010101010101010101010101010101010101010101010101010101010101010101010101010101010101010101010101010101010101010101010101010101010101010101010101010101010101010101010101010101010101010101010001010101010101010101010101010101010101010101010101010101010101010101010101010101010101010101010101010101010101010101010101010101010101010101010101010101010101010101010101010101010101010101010101010101010101010101010101010101010101010101010101010101010101010101010101010101010101010101010101010101010101010101010101010101010101010101010101010101010101010101010101010100010101010101010101010101010101010101010101010101010101010101010101010101010101010101010101010101010101010101010101010101010101010101010101010101010101010101010101010101010101010101010101010101010101010101010101010101010101010101010101010101010101010101010101010101010101010101010101010101010101010101010101010101010101010101010101010101010101010101010101010101010101000101010101010101010101010101010101010101010101010101010101010101010101010101010101010101010101010101010101010101010101010101010101010101010101010101010101010101010101010101010101010101010101010101010101010101010101010101010101010101010101010101010101010101010101010101010101010101010101010101010101010101010101010101010101010101010101010101010101010101010101010101010001010101010101010101010101010101010101010101010101010101010101010101010101010101010101010101010101010101010101010101010101010101010101010101010101010101010101010101010101010101010101010101010101010101010101010101010101010101010101010101010101010101010101010101010101010101010101010101010101010101010101010101010101010101010101010101010101010101010101010101010101010100010101010101010101010101010101010101010101010101010101010101010101010101010101010101010101010101010101010101010101010101010101010101010101010101010101010101010101010101010101010101010101010101010101010101010101010101010101010101010101010101010101010101010101010101010101010101010101010101010101010101010101010101010101010101010101010101010101010101010101010101010101004c000000640000000000000000000000b60000001f0000000000000000000000b7000000200000002900aa0000000000000000000000803f00000000000000000000803f0000000000000000000000000000000000000000000000000000000000000000220000000c000000ffffffff460000001c00000010000000454d462b024000000c000000000000000e000000140000000000000010000000140000000400000003010800050000000b0200000000050000000c022000b700030000001e0004000000070104000400000007010400eb0b0000410b2000cc002000b700000000002000b7000000000028000000b7000000200000000100080000000000000000000000000000000000250000000000000000000000ffffff00dfffff0000489c00df9c48000074bf00ffbf74009c480000ffffdf009cdfff0000004800489cdf00bfbf740000007400bf74000074000000ffffbf00bfffff00ffbf9c0074bfff0048000000ffdf9c0048487400dfdf9c0074489c0074bfbf0048007400484848004874bf0074bfdf0048489c0074480000004874004800480074004800740074009c484800010101010101010101010101010101010101010101010101010101010101010101010101010101010101010101010101010101010101010101010101010101010101010101010101010101010101010101010101010101010101010101010101010101010101010101010101010101010101010101010101010101010101010101010101010101010101010101010101010101010101010101010101010101010101010101010101010101010101010101010101010101000101010101010101010101010101010101010101010101010101010101010101010101010101010101010101010101010101010101010101010101010101010101010101010101010101010101010101010101010101010101010101010101010101010101010101010101010101010101010101010101010101010101010101010101010101010101010101010101010101010101010101010101010101010101010101010101010101010101010101010101010101010001010101010101010101010101010101010101010101010101010101010101010101010101010101010101010101010101010101010101010101010101010101010101010101010101010101010101010101010101010101010101010101010101010101010101010101010101010101010101010101010101010101010101010101010101010101010101010101010101010101010101010101010101010101010101010101010101010101010101010101010101010100010101010101010101010101010101010101010101010101010101010101010101010101010101010101010101010101010101010101010101010101010101010101010101010101010101010101010101010101010101010101010101010101010101010101010101010101010101010101010101010101010101010101010101010101010101010101010101010101010101010101010101010101010101010101010101010101010101010101010101010101010101000101010101010101010101010101010101010101010101010101010101010101010101010101010101010101010101010101010101010101010101010101010101010101010101010101010101010101010101010101010101010101010101010101010101010101010101010101010101010101010101010101010101010101010101010101010101010101010101010101010101010101010101010101010101010101010101010101010101010101010101010101010001010101010101010101010101010101010101010101010101010101010101010101010101010101010101010101010101010101010101010101010101010101010101010101010101010101010101010101010101010101010101010101010101010101010101010101010101010101010101010101010101010101010101010101010101010101010101010101010101010101010101010101010101010101010101010101010101010101010101010101010101010100010101010101010101010101010101010101010101010101010101010101010101010101010101010101010101010101010101010101010101010101010101010101010101010101010101010101010101010101010101010101010101010101010101010101010101010101010500000e0101010101010101010101010101010101010101010101010101010101010101010101010101010101010101010101010101010101010101010101010101010101010101010100010101010101010101010101010101010101010101010101010101010101010101010101010101010101010101010101010101010101010101010101010101010101010101010101010101010101010101010101010101010101010101010101010101010101010101010101010109240801010101010101010101010101010101010101010101010101010101010101010101010101010101010101010101010101010101010101010101010101010101010101010101000101010101010101010101010101010101010101010101010101010101010101010101010101010101010101010101010101010101010101010101010101010101010101010101010101010101010101010101010101010101010101010101010101010101010101010101010101021e15010101010101010101010101010101010101010101010101010101010101010101010101010101010101010101010101010101010101010101010101010101010101010101010001010101010101010101010101010101010101010101010101010101010101010101010101010101010101010101010101010101010101010101010101010101010101010101010101010101010101010101010101010101010101010101010101010101050f1001010101010101010b000000040101010101010101010101010101010101010101010101050f100101010101010101110d00000e0101010101010101010101010101010101010101010101010101010100010101010101010101010101010101010101010101010101010101010101010101010101010101010101010101010101010101010101010101010101010101010101010101010101010101010101010101010101010101010101010101010101010101010b1415010101010101010109240801050e010101010101010101010101010101010101010101010b141501010101010101010b0e0102030401010101010101010101010101010101010101010101010101010100010101010101010101010101010101010101010101010101010101010101010101010101010101010101010101010101010101010101010101010101010101010101010101010101010101010101010101010101010101010101010101010101010101011300060101010101010101112310010105040101010101010101010101010101010101010101011300060101010101010101050401110d040101010101010101010101010101010101010101010101010101010001010101010101010101010101010101010101010101010101010101010101010101010101010101010101010101010101010101010101010101010101010101010101010101010101010101010101010101010101010101010101010101010101010101110d0e010101010101010101050601010922100101010101010101010101010101010101010101110d0e01010101010101010b00000f1001010101010101010101010101010101010101010101010101010101000101010101010101010101010101010101010101010101010101010101010101010101010101010101010101010101010101010101010101010101010101010101010101010101010101010101010101010101010101010101010101010101010101010102031f20000000040101010113141501021e15010101010102030000060203000e01010101010102031f2000000004010101092115110d040101010101010101010101010101010101010101010101010101010001010101010101010101010101010101010101010101010101010101010101010101010101010101010101010101010101010101010101010101010101010101010101010101010101010101010101010101010101010101010101010101010101010101010b000e0101090a07080101111a1b15111a150101010101110d0e011c1505071d040101010101010b000e0101090a070801010b0f10021e150101010101010101010101010101010101010101010101010101000101010101010101010101010101010101010101010101010101010101010101010101010101010101010101010101010101010101010101010101010101010101010101010101010101010101010101010101010101010101010101010101010101010101130004010101090a0e010203141703000e010101010101020307080218190f1001010101010101130004010101090a0e0101011300000f100101010101010101010101010101010101010101010101010101000101010101010101010101010101010101010101010101010101010101010101010101010101010101010101010101010101010101010101010101010101010101010101010101010101010101010101010101010101010101010101010101010101010101090a0e0101010105141501010101010101010101010101010b14150111160a0601010101010101090a0e01010101051415010101010101010101010101010101010101010101010101010101010101010101000101010101010101010101010101010101010101010101010101010101010101010101010101010101010101010101010101010101010101010101010101010101010101010101010101010101010101010101010101010101010101010101010101010101020307080101011300040101010101010101010101010101090a040101130004010101010101010203070801010113000401010101010101010101010101010101010101010101010101010101010101010100010101010101010101010101010101010101010101010101010101010101010101010101010101010101010101010101010101010101010101010101010101010101010101010101010101010101010101010101010101010101010101010101010101010101051415010101090a0e010101010101010101010101010102030708010203070801010101010101051415010101090a0e010101010101010101010101010b0000000000000000000000141501010101010100010101010101010101010101010101010101010101010101010101010101010101010101010101010101010101010101010101010101010101010101010101010101010101010101010101010101010101010101010101010101010101010101010101010101130004010101110d070801010101010101010101010101010b141501010b141501010101010101130004010101110d070801010101010101010101010101010101010101010101010101010101010101010001010101010101010101010101010101010101010101010101010101010101010101010101010101010101010101010101010101010101010101010101010101010101010101010101010101010101010101010101010101010101010101010101010101010102030f100101110d0e010101010101010101010101010912090a040101090a060101010101010102030f100101110d0e0101010101010101010101010101010101010101010101010101010101010101010001010101010101010101010101010101010101010101010101010101010101010101010101010101010101010101010101010101010101010101010101010101010101010101010101010101010101010101010101010101010101010101010101010101010101090a0708010b00060101010101010101010101010101050c0d0e010102030e0101010101010101090a0708010b000601010101010101010101010101010101010101010101010101010101010101010100010101010101010101010101010101010101010101010101010101010101010101010101010101010101010101010101010101010101010101010101010101010101010101010101010101010101010101010101010101010101010101010101010101010101010102030000000401010101010101010101010101010101050006010101050708010101010101010102030000000401010101010101010101010101010101010101010101010101010101010101010101000101010101010101010101010101010101010101010101010101010101010101010101010101010101010101010101010101010101010101010101010101010101010101010101010101010101010101010101010101010101010101010101010101010101010101010101010101010101010101010101010101010101010101010101010101010101010101010101010101010101010101010101010101010101010101010101010101010101010101010101010101010001010101010101010101010101010101010101010101010101010101010101010101010101010101010101010101010101010101010101010101010101010101010101010101010101010101010101010101010101010101010101010101010101010101010101010101010101010101010101010101010101010101010101010101010101010101010101010101010101010101010101010101010101010101010101010101010101010101010101010101010101010100010101010101010101010101010101010101010101010101010101010101010101010101010101010101010101010101010101010101010101010101010101010101010101010101010101010101010101010101010101010101010101010101010101010101010101010101010101010101010101010101010101010101010101010101010101010101010101010101010101010101010101010101010101010101010101010101010101010101010101010101010101000101010101010101010101010101010101010101010101010101010101010101010101010101010101010101010101010101010101010101010101010101010101010101010101010101010101010101010101010101010101010101010101010101010101010101010101010101010101010101010101010101010101010101010101010101010101010101010101010101010101010101010101010101010101010101010101010101010101010101010101010101010001010101010101010101010101010101010101010101010101010101010101010101010101010101010101010101010101010101010101010101010101010101010101010101010101010101010101010101010101010101010101010101010101010101010101010101010101010101010101010101010101010101010101010101010101010101010101010101010101010101010101010101010101010101010101010101010101010101010101010101010101010100010101010101010101010101010101010101010101010101010101010101010101010101010101010101010101010101010101010101010101010101010101010101010101010101010101010101010101010101010101010101010101010101010101010101010101010101010101010101010101010101010101010101010101010101010101010101010101010101010101010101010101010101010101010101010101010101010101010101010101010101010101000101010101010101010101010101010101010101010101010101010101010101010101010101010101010101010101010101010101010101010101010101010101010101010101010101010101010101010101010101010101010101010101010101010101010101010101010101010101010101010101010101010101010101010101010101010101010101010101010101010101010101010101010101010101010101010101010101010101010101010101010101010001010101010101010101010101010101010101010101010101010101010101010101010101010101010101010101010101010101010101010101010101010101010101010101010101010101010101010101010101010101010101010101010101010101010101010101010101010101010101010101010101010101010101010101010101010101010101010101010101010101010101010101010101010101010101010101010101010101010101010101010101010100010101010101010101010101010101010101010101010101010101010101010101010101010101010101010101010101010101010101010101010101010101010101010101010101010101010101010101010101010101010101010101010101010101010101010101010101010101010101010101010101010101010101010101010101010101010101010101010101010101010101010101010101010101010101010101010101010101010101010101010101010101000c00000040092900aa000000000000002000b70000000000040000002701ffff030000000000плотности раствора конечной концентрации и воды при температуре кипения, кг/м3;
рабочая
высота труб, м.

Примем t>кип >= 73оС, тогда 010009000003ec1900000000680e00000000680e000026060f00c61c574d464301000000000001007e050000000001000000a41c000000000000a41c0000010000006c0000000000000000000000a5000000200000000000000000000000fb1000005f03000020454d4600000100a41c00000c00000001000000000000000000000000000000900600001a040000b801000013010000000000000000000000000000c0b6060038320400460000002c00000020000000454d462b014001001c000000100000000210c0db010000006000000060000000460000006c04000060040000454d462b224004000c000000000000001e4009000c00000000000000244001000c000000000000003040020010000000040000000000803f214007000c0000000000000008400005b8030000ac0300000210c0db01000000000000000000000000000000000000000100000089504e470d0a1a0a0000000d49484452000000a600000021080300000064e32025000000017352474200aece1ce9000000097048597300000ec400000ec401952b0e1b00000087504c544500000000004800007400487400489c0074bf48000048004848007448484848489c489cdf74000074004874007474480074489c7474007474bf749cdf74bfdf74bfff9c48009c48489c9c489c9c749c9cbf9c9cdf9cdfdf9cdfffbf7400bf7474bf9c9cbfffffdf9c48df9c74df9c9cdfffffffbf74ffbf9cffdf9cffdfdfffffbfffffdfffffff2cc852960000029f4944415458c3ed57ed729b3010bcb4969306f72bad689b14252645a5c0fb3f5fee74123a0129d8f1a474c6fa9131f2a1eceded2e18baff62c119e6495609a0d70fb3fed2959b6a5d309b9d1a6efda93aab56c66679518c378d3a569b6d0ee0fbb6e0b4c35c0064e16c001cd5b8fc5032e9207dbc85eaad0e020f38ebab3d1eaa191762346a5cfef765a7c86cf337fba36196742ff6ff614f0d2baf22e4c3d169e8ff592e91e573339aa4bc795f1c0bd3d13571c1acd55b957293941f4626c2fc547998249e5e56cb669e4db1e03f3932a51f927227684543c8587b5edbb117cbe3f11b65d066bdc5eb1246f261e1f14a3b4d2cd9ec7490bbe66b77bc8935a983c96abab35fb127ba95c547e074ffb5f268cb401f04914ed9ecd965e410adea27a2f9f8ac97fe44398fb7bd0d7a0ec28d45bf3e6f9cce0571108ef51c1c1ec3e4f0903b3c6d77bc386fc400227a2c06c38861d0de3ac4f7df85ef204c8775bf6c59d1a7337baf92ac9fb68d62b7033dc980ed432092d9dcd11e8a42f00641a976eca167b529f245a2f45631ee5b29cd411ce1cc3d281c403672d9ef026f686e12df41a0d14cc7c14cc02528bbfab208bc88e18cf21051f088450499d8ca4385fbf7fbc477e069a463dbfce267bee0b116fb74ba8c326333d11b8dec7a18470e36f5e21f06ac83f8f10ee1ffd0a9ef0047ab7c2661e0bf2b5ce8cf90192058a707260fd9f0d412a76c239750b15c3e03e84fb3230aebeb2aea0255809f8833f45decbf83367ffb31a4130da1fd360393029929f7dad5de1510e6668394c952b13c912ae2d954f5d677d99389db9aa584274a6dcab4305ae4cb09d662bd97738520d2825f24b293a15cfcc4982f04f9e8bd4e5fbf5e4ce6e93a069104e5812f20afb8c48bdcac79d601d325c3ea619a653f58fe399b6b5e6798679867982f5a4fae7564e91860b1af0000000049454e44ae4260820000000840010824000000180000000210c0db01000000030000000000000000000000000000001b40000040000000340000000100000002000000000000bf000000bf000026430000044203000000000080b3000080b3ffff2543000080b3000080b3ffff03422100000008000000620000000c00000001000000150000000c00000004000000150000000c0000000400000051000000d41600000000000000000000a50000002000000000000000000000000000000000000000a60000002100000050000000dc0000002c010000a8150000000000002000cc00a60000002100000028000000a60000002100000001000800000000000000000000000000000000002d0000000000000000000000ffffff00489cdf00ffbf74009cdfff00df9c74009c480000ffffdf00bfffff0000007400bf740000dfdfff0074bfff0048000000ffdf9c000074bf00dfffff0000489c00df9c48000000480074004800ffffbf007400000074007400480074009c487400dfbf7400bf9c9c009c9cdf0000747400749cdf007474bf00489c9c00df9c9c009cbfff00bf747400480048009c9cbf00dfdf9c00749c9c00484848009c484800744800000048740048489c0001010101010101010101010101010101010101010101010101010101010101010101010101010101010101010101010101010101010101010101010101010101010101010101010101010101010101010101010101010101010101010101010101010101010101010101010101010101010101010101010101010101010101010101010101010101010101010101010101010101010101010101010101010101010101010101ffff01010101010101010101010101010101010101010101010101010101010101010101010101010101010101010101010101010101010101010101010101010101010101010101010101010101010101010101010101010101010101010101010101010101010101010101010101010101010101010101010101010101010101010101010101010101010101010101010101010101010101010101010101010101010101010101ffff01010101010101010101010101010101010101010101010101010101010101010101010101010101010101010101010101010101010101010101010101010101010101010101010101010101010101010101010101010101010101010101010101010101010101010101010101010101010101010101010101010101010101010101010101010101010101010101010101010101010101010101010101010101010101010101ffff01010101010101010101010101010101010101010101010101010101010101010101010101010101010101010101010101010101010101010101010101010101010101010101010101010101010101010101010101010101010101010101010101010101010101010101010101010101010101010101010101010101010101010101010101010101010101010101010101010101010101010101010101010101010101010101ffff01010101010101010101010101010101010101010101010101010101010101010101010101010101010101010101010101010101010101010101010101010101010101010101010101010101010101010101010101010101010101010101010101010101010101010101010101010101010101010101010101010101010101010101010101010101010101010101010101010101010101010101010101010101010101010101ffff01010101010101010101010101010101010101010101010101010101010101010101010101010101010101010101010101010101010101010101010101010101010101010101010101010101010101010101010101010101010101010101010101010101010101010101010101010101010101010101010101010101010101010101010101010101010101010101010101010101010101010101010101010101010101010101ffff0101010101010101010f00000a010101010101010101010101010101010101010101010101010101010101010101010101010101010101010101010101010101010101010101010101010101010101010101010101010101010101010101010101010101010101010101010101010101010101010101010101010101010101010101010101010101010101010101010101010101010101010101010101010101010101010101489c01010101010101010101042907010101010101010101010101010101010101010101010101010101010101010101010101010101010101010101010101010101010101010101010101010101010101010101010101010101010101010101010101010101010101010101010101010101010101010101010101010101010101010101010101010101010101010101010101010101010101010101010101010101010101010101ffff01010101010101010101102c0e010101010101010101010101010101010101010101010101010101010101010101010101010101010101010101010101010101010101010101010101010101010101010101010101010101010101010101010101010101010101010101010101010101010101010101010101010101010101010101010101010101010101010101010101010101010101010101010101010101010101010101ffff0f161501010101010101010200000012010101010101010101010101010101010101010101010101010101010101010101010101010101010101010101010101010101010101010101010101010101010101010101010101010101010101010101010101010101010101010101010101010101010101010101010101010101010101010101010101010101010101010101010101010101010101010101010101010101010101ffff020d0e0101010101010101042907010f0a01010101010101010101010101010101010101010101010101010101010101010101010101010101010101010101010101010101010101010101010101010101010101010101010101010f1201010101010101010101010101010101010101010101010101010101010101010101010101010101010101010101010101010101010101010101010101010101010101010101010101ffff0c0003010101010101010108171501010f120101010101010101010101010101010101010101010101010101010101010101010101010101010101010101010101010101010101010101010101010101010101010101010101010108090a010101010101010101010101010101010101010101010101010101010101010101010101010108090a01010101010101010101010101010101010101010101010101010101010101ffff08090a0101010101010101010f030101041415010101010101010101010101010101010101010101010101010101010101010101010101010101010101010101010101010101010101010101010101010101010101010101010101010f0d0e0101010101010101010101010101010101010101010101010101010101010101010101010101020d0e010101010101010101010101010101010101010101010101010101010101dfdf10112a2b00000012010101010c0d0e01102c0e0101010101010101010101010101010101010101010101010101010101010f000000000a010101010200000000000003010101080900000016150101010101010c00000d0e01010101020012010f000000000a0101010101010101010101010216150101101100060704130000000607010108091201010101010110110003010108171501080900120101010101010101010100740102000a01010413060701010818280e08180e0101010101010101010101010101010101010101010101010101010101010110110d0e0101010101010c00000000000607010104131615010817150101010104240e010200030101010f0003010110110d0e010101010101010101010101010413030101041303010809161501010429070101021615010101010110110016150104130a0108090a1e0e010101010101010101ffff010c001201010104130a0110110d2611000a0101010101010101010101010101010101010101010101010101010101010101010413120101010101010104141501011e0e01010101010101010c0a0101010102060701010f0d0e01010101010101010413120101010101010101010101010110110a01010f060701080912010101010101010108091201010101010101010821010c0d2703010f060701010101010101010101ffff0104130a010101010f0d0e0101010101010101010101010101010101010101010101010101010101010101010101010101010110110a0101010101010101081715010101010101010101010104240e0101010f0607010104130a010101010101010110110a01010101010101010101010101010216150413030101010c0d0e01010101010101010f1615010101010101010125070c0d0e1f15020d0e01010101010101010101480001101106070101010c0012010101010101010101010101010101010200000000000000000000000d0e01010101010101010101010216150101010101010101081715010101010101010101010413120101010f16150101010f0d0e0101010101010101021615010101010101010101010101010c0d0e0f060701010101101100120101010101010413120101010101010101220e02161508230413120101010101010101010100ff01010f0d0e01010104130a01010101010101010101010101010101010101010101010101010101010101010101010101010101010c00030101010101010101010817150101010101010101010200120101010f0d0e0101010c001201010101010101010c0003010101010101010101010101010809000012010101010101010102161501010101010f0607010101010101010821021615010c1a110607010101010101010101ffff01010c0012010101080906070101010101010101010101010101010101010101010101010101010101010101010101010101010108090a010101010101010101010414150101010101011011000d0e010101020003010101080906070101010101010108090a01010101010101010101010101010f06071e0e01010101010101010809030101010104130301010101010101101b0f060701011f201615010101010101010101ffff010110111615010108090a0101010101010101010101010101010101010101010101010101010101010101010101010101010101010f0607010101010101010101010c0a01010101101100000003010101010c00120101011011161501010101010101010f0607010101010101010101010101010c0d0e101b010101010b07010101021615010101010f0607010101010101011c1d0607010108090003010101010101010101ffff0101010413060701020003010101010101010101010101010101010200000000000000000000000d0e010101010101010101010101020d0e010101010101010101010809030101010101010f000301010101080906070101010f0d0e0101010101010101020d0e01010101010101010101010809000003010c1a110a010809030110111615010101010c00030101010101080900000a010101010c000a020000001201010101ffff01010101101100000012010101010101010101010101010101010101010101010101010101010101010101010101010101010101010413120101010101010101010110110a0101010101010110110a010101010f0d0e010101020d0e0101010101010101041312010101010101010101010101010c000a01010f00120101010f000000030101010101101106070101010101010c000a01010101101106070101010203010101ffff010101010101010101010101010101010101010101010101010101010101010101010101010101010101010101010101010101010110110607010101010101010101101106070101010101010104130301010104130a0101010c0d0e010101010101010110110607010101010101010101010101010101010101010101010101010101010101010101010c0d0e01010101010101010101010101010101010101010819070101ffff0101010101010101010101010101010101010101010101010101010101010101010101010101010101010101010101010101010101010216150101010108171501010f000a010101010b070101080912010101010f0d0e01010c16150101010101010101010216150101010101010101010101010101010101010101010101010101010101010101010110110a010101010101010101010101010101010101010108180e0101ffff01010101010101010101010101010101010101010101010101010101010101010101010101010101010101010101010101010101010104130301010101010200000000000301010101041415010f00030101010110110607010f0a0101010101010101010104130301010101010101010101010101010101010101010101010101010101010101010101010c0d0e010101010101010101010101010101010101101116150101bf7401010101010101010101010101010101010101010101010101010101010101010101010101010101010101010101010101010101101100000a0101010101010c000000030101010101010809000012010101010101010f000006070101010101010101101100000a010101010101010101010101010101010101010101010101010101010101010101010108090a01010101010101010101010101010101010f000003010101ffff0101010101010101010101010101010101010101010101010101010101010101010101010101010101010101010101010101010101010101010101010101010101010101010101010101010101010101010101010101010101010101010101010101010101010101010101010101010101010101010101010101010101010101010101010101010101010101020d0e0101010101010101010101010101010101010f0a010101ffff010101010101010101010101010101010101010101010101010101010101010101010101010101010101010101010101010101010101010101010101010101010101010101010101010101010101010101010101010101010101010101010101010101010101010101010101010101010101010101010101010101010101010101010101010101010101010108090a010101010101010101010101010101010b07010c0a0101ffff01010101010101010101010101010101010101010101010101010101010101010101010101010101010101010101010101010101010101010101010101010101010101010101010101010101010101010101010101010101010101010101010101010101010101010101010101010101010101010101010101010101010101010101010101010101010101010101010101010101010101010101010101010104050102060701ffff01010101010101010101010101010101010101010101010101010101010101010101010101010101010101010101010101010101010101010101010101010101010101010101010101010101010101010101010101010101010101010101010101010101010101010101010101010101010101010101010101010101010101010101010101010101010101010101010101010101010101010101010101010101020000030101ffff01010101010101010101010101010101010101010101010101010101010101010101010101010101010101010101010101010101010101010101010101010101010101010101010101010101010101010101010101010101010101010101010101010101010101010101010101010101010101010101010101010101010101010101010101010101010101010101010101010101010101010101010101010101010101010101ffff0101010101010101010101010101010101010101010101010101010101010101010101010101010101010101010101010101010101010101010101010101010101010101010101010101010101010101010101010101010101010101010101010101010101010101010101010101010101010101010101010101010101010101010101010101010101010101010101010101010101010101010101010101010101010101010100004c000000640000000000000000000000a5000000200000000000000000000000a6000000210000002900aa0000000000000000000000803f00000000000000000000803f0000000000000000000000000000000000000000000000000000000000000000220000000c000000ffffffff460000001c00000010000000454d462b024000000c000000000000000e000000140000000000000010000000140000000400000003010800050000000b0200000000050000000c022100a600030000001e00040000000701040004000000070104004f0b0000410b2000cc002100a600000000002100a6000000000028000000a60000002100000001000800000000000000000000000000000000002d0000000000000000000000ffffff00489cdf00ffbf74009cdfff00df9c74009c480000ffffdf00bfffff0000007400bf740000dfdfff0074bfff0048000000ffdf9c000074bf00dfffff0000489c00df9c48000000480074004800ffffbf007400000074007400480074009c487400dfbf7400bf9c9c009c9cdf0000747400749cdf007474bf00489c9c00df9c9c009cbfff00bf747400480048009c9cbf00dfdf9c00749c9c00484848009c484800744800000048740048489c0001010101010101010101010101010101010101010101010101010101010101010101010101010101010101010101010101010101010101010101010101010101010101010101010101010101010101010101010101010101010101010101010101010101010101010101010101010101010101010101010101010101010101010101010101010101010101010101010101010101010101010101010101010101010101010101ffff01010101010101010101010101010101010101010101010101010101010101010101010101010101010101010101010101010101010101010101010101010101010101010101010101010101010101010101010101010101010101010101010101010101010101010101010101010101010101010101010101010101010101010101010101010101010101010101010101010101010101010101010101010101010101010101ffff01010101010101010101010101010101010101010101010101010101010101010101010101010101010101010101010101010101010101010101010101010101010101010101010101010101010101010101010101010101010101010101010101010101010101010101010101010101010101010101010101010101010101010101010101010101010101010101010101010101010101010101010101010101010101010101ffff01010101010101010101010101010101010101010101010101010101010101010101010101010101010101010101010101010101010101010101010101010101010101010101010101010101010101010101010101010101010101010101010101010101010101010101010101010101010101010101010101010101010101010101010101010101010101010101010101010101010101010101010101010101010101010101ffff01010101010101010101010101010101010101010101010101010101010101010101010101010101010101010101010101010101010101010101010101010101010101010101010101010101010101010101010101010101010101010101010101010101010101010101010101010101010101010101010101010101010101010101010101010101010101010101010101010101010101010101010101010101010101010101ffff01010101010101010101010101010101010101010101010101010101010101010101010101010101010101010101010101010101010101010101010101010101010101010101010101010101010101010101010101010101010101010101010101010101010101010101010101010101010101010101010101010101010101010101010101010101010101010101010101010101010101010101010101010101010101010101ffff0101010101010101010f00000a010101010101010101010101010101010101010101010101010101010101010101010101010101010101010101010101010101010101010101010101010101010101010101010101010101010101010101010101010101010101010101010101010101010101010101010101010101010101010101010101010101010101010101010101010101010101010101010101010101010101010101489c01010101010101010101042907010101010101010101010101010101010101010101010101010101010101010101010101010101010101010101010101010101010101010101010101010101010101010101010101010101010101010101010101010101010101010101010101010101010101010101010101010101010101010101010101010101010101010101010101010101010101010101010101010101010101010101ffff01010101010101010101102c0e010101010101010101010101010101010101010101010101010101010101010101010101010101010101010101010101010101010101010101010101010101010101010101010101010101010101010101010101010101010101010101010101010101010101010101010101010101010101010101010101010101010101010101010101010101010101010101010101010101010101010101ffff0f161501010101010101010200000012010101010101010101010101010101010101010101010101010101010101010101010101010101010101010101010101010101010101010101010101010101010101010101010101010101010101010101010101010101010101010101010101010101010101010101010101010101010101010101010101010101010101010101010101010101010101010101010101010101010101ffff020d0e0101010101010101042907010f0a01010101010101010101010101010101010101010101010101010101010101010101010101010101010101010101010101010101010101010101010101010101010101010101010101010f1201010101010101010101010101010101010101010101010101010101010101010101010101010101010101010101010101010101010101010101010101010101010101010101010101ffff0c0003010101010101010108171501010f120101010101010101010101010101010101010101010101010101010101010101010101010101010101010101010101010101010101010101010101010101010101010101010101010108090a010101010101010101010101010101010101010101010101010101010101010101010101010108090a01010101010101010101010101010101010101010101010101010101010101ffff08090a0101010101010101010f030101041415010101010101010101010101010101010101010101010101010101010101010101010101010101010101010101010101010101010101010101010101010101010101010101010101010f0d0e0101010101010101010101010101010101010101010101010101010101010101010101010101020d0e010101010101010101010101010101010101010101010101010101010101dfdf10112a2b00000012010101010c0d0e01102c0e0101010101010101010101010101010101010101010101010101010101010f000000000a010101010200000000000003010101080900000016150101010101010c00000d0e01010101020012010f000000000a0101010101010101010101010216150101101100060704130000000607010108091201010101010110110003010108171501080900120101010101010101010100740102000a01010413060701010818280e08180e0101010101010101010101010101010101010101010101010101010101010110110d0e0101010101010c00000000000607010104131615010817150101010104240e010200030101010f0003010110110d0e010101010101010101010101010413030101041303010809161501010429070101021615010101010110110016150104130a0108090a1e0e010101010101010101ffff010c001201010104130a0110110d2611000a0101010101010101010101010101010101010101010101010101010101010101010413120101010101010104141501011e0e01010101010101010c0a0101010102060701010f0d0e01010101010101010413120101010101010101010101010110110a01010f060701080912010101010101010108091201010101010101010821010c0d2703010f060701010101010101010101ffff0104130a010101010f0d0e0101010101010101010101010101010101010101010101010101010101010101010101010101010110110a0101010101010101081715010101010101010101010104240e0101010f0607010104130a010101010101010110110a01010101010101010101010101010216150413030101010c0d0e01010101010101010f1615010101010101010125070c0d0e1f15020d0e01010101010101010101480001101106070101010c0012010101010101010101010101010101010200000000000000000000000d0e01010101010101010101010216150101010101010101081715010101010101010101010413120101010f16150101010f0d0e0101010101010101021615010101010101010101010101010c0d0e0f060701010101101100120101010101010413120101010101010101220e02161508230413120101010101010101010100ff01010f0d0e01010104130a01010101010101010101010101010101010101010101010101010101010101010101010101010101010c00030101010101010101010817150101010101010101010200120101010f0d0e0101010c001201010101010101010c0003010101010101010101010101010809000012010101010101010102161501010101010f0607010101010101010821021615010c1a110607010101010101010101ffff01010c0012010101080906070101010101010101010101010101010101010101010101010101010101010101010101010101010108090a010101010101010101010414150101010101011011000d0e010101020003010101080906070101010101010108090a01010101010101010101010101010f06071e0e01010101010101010809030101010104130301010101010101101b0f060701011f201615010101010101010101ffff010110111615010108090a0101010101010101010101010101010101010101010101010101010101010101010101010101010101010f0607010101010101010101010c0a01010101101100000003010101010c00120101011011161501010101010101010f0607010101010101010101010101010c0d0e101b010101010b07010101021615010101010f0607010101010101011c1d0607010108090003010101010101010101ffff0101010413060701020003010101010101010101010101010101010200000000000000000000000d0e010101010101010101010101020d0e010101010101010101010809030101010101010f000301010101080906070101010f0d0e0101010101010101020d0e01010101010101010101010809000003010c1a110a010809030110111615010101010c00030101010101080900000a010101010c000a020000001201010101ffff01010101101100000012010101010101010101010101010101010101010101010101010101010101010101010101010101010101010413120101010101010101010110110a0101010101010110110a010101010f0d0e010101020d0e0101010101010101041312010101010101010101010101010c000a01010f00120101010f000000030101010101101106070101010101010c000a01010101101106070101010203010101ffff010101010101010101010101010101010101010101010101010101010101010101010101010101010101010101010101010101010110110607010101010101010101101106070101010101010104130301010104130a0101010c0d0e010101010101010110110607010101010101010101010101010101010101010101010101010101010101010101010c0d0e01010101010101010101010101010101010101010819070101ffff0101010101010101010101010101010101010101010101010101010101010101010101010101010101010101010101010101010101010216150101010108171501010f000a010101010b070101080912010101010f0d0e01010c16150101010101010101010216150101010101010101010101010101010101010101010101010101010101010101010110110a010101010101010101010101010101010101010108180e0101ffff01010101010101010101010101010101010101010101010101010101010101010101010101010101010101010101010101010101010104130301010101010200000000000301010101041415010f00030101010110110607010f0a0101010101010101010104130301010101010101010101010101010101010101010101010101010101010101010101010c0d0e010101010101010101010101010101010101101116150101bf7401010101010101010101010101010101010101010101010101010101010101010101010101010101010101010101010101010101101100000a0101010101010c000000030101010101010809000012010101010101010f000006070101010101010101101100000a010101010101010101010101010101010101010101010101010101010101010101010108090a01010101010101010101010101010101010f000003010101ffff0101010101010101010101010101010101010101010101010101010101010101010101010101010101010101010101010101010101010101010101010101010101010101010101010101010101010101010101010101010101010101010101010101010101010101010101010101010101010101010101010101010101010101010101010101010101010101020d0e0101010101010101010101010101010101010f0a010101ffff010101010101010101010101010101010101010101010101010101010101010101010101010101010101010101010101010101010101010101010101010101010101010101010101010101010101010101010101010101010101010101010101010101010101010101010101010101010101010101010101010101010101010101010101010101010101010108090a010101010101010101010101010101010b07010c0a0101ffff01010101010101010101010101010101010101010101010101010101010101010101010101010101010101010101010101010101010101010101010101010101010101010101010101010101010101010101010101010101010101010101010101010101010101010101010101010101010101010101010101010101010101010101010101010101010101010101010101010101010101010101010101010104050102060701ffff01010101010101010101010101010101010101010101010101010101010101010101010101010101010101010101010101010101010101010101010101010101010101010101010101010101010101010101010101010101010101010101010101010101010101010101010101010101010101010101010101010101010101010101010101010101010101010101010101010101010101010101010101010101020000030101ffff01010101010101010101010101010101010101010101010101010101010101010101010101010101010101010101010101010101010101010101010101010101010101010101010101010101010101010101010101010101010101010101010101010101010101010101010101010101010101010101010101010101010101010101010101010101010101010101010101010101010101010101010101010101010101010101ffff0101010101010101010101010101010101010101010101010101010101010101010101010101010101010101010101010101010101010101010101010101010101010101010101010101010101010101010101010101010101010101010101010101010101010101010101010101010101010101010101010101010101010101010101010101010101010101010101010101010101010101010101010101010101010101010100000c00000040092900aa000000000000002100a60000000000040000002701ffff030000000000


1196 + 42,8 = 1238,8



1183
+ 42,4 = 1225,4 


1225,4 + 4,69 = 1230,1



972 + 3.85 = 975.9

Гидростатическую депрессию определим по формуле
>>
> >

Средняя температура кипения раствора в трубах

Количество теплоты, передаваемое от греющего пара к кипящему раствору

при
t>1>
= 58,26
010009000003f004000000004c03000000004c03000026060f008e06574d46430100000000000100de1c00000000010000006c060000000000006c060000010000006c0000000000000000000000120000001c0000000000000000000000f1010000f702000020454d46000001006c0600000c00000001000000000000000000000000000000900600001a040000b801000013010000000000000000000000000000c0b6060038320400460000002c00000020000000454d462b014001001c000000100000000210c0db01000000600000006000000046000000f4010000e8010000454d462b224004000c000000000000001e4009000c00000000000000244001000c000000000000003040020010000000040000000000803f214007000c000000000000000840000540010000340100000210c0db01000000000000000000000000000000000000000100000089504e470d0a1a0a0000000d49484452000000130000001d08030000007f84a78e000000017352474200aece1ce9000000097048597300000ec400000ec401952b0e1b00000042504c544500000000004800007400489c0074bf48000048007448489c489cdf74000074bfff9c48009cdfffbf7400bfffffdf9c48dfffffffbf74ffdf9cffffbfffffdfffffff25049bae0000006d4944415428cfbd90c70e80300c43cd2e23a583fcffafd2428a5a7164f8143d29896df05d789d6d33d01eb3eb10d4186cb362a608092af2c05cafc334185e2362b619f363add3bd7357b195a3f90f592dbc3c61c50f51347bcb4b9892e78bf9b15a245bd607413af8a5fbefd90e88f728711999dadb0000000049454e44ae42608200000840010824000000180000000210c0db01000000030000000000000000000000000000001b40000040000000340000000100000002000000000000bf000000bf000098410000e84103000000000080b3000080b3ffff9741000080b3000080b3ffffe7412100000008000000620000000c00000001000000150000000c00000004000000150000000c0000000400000051000000140300000000000000000000120000001c00000000000000000000000000000000000000130000001d0000005000000080000000d000000044020000000000002000cc00130000001d00000028000000130000001d0000000100080000000000000000000000000000000000160000000000000000000000ffffff00dfffff0000489c00bf7400009cdfff00000048009c480000ffffdf00df9c48000074bf0074004800ffffbf009c484800489cdf0074bfff00bfffff000000740074000000ffbf740048000000ffdf9c00010101010101010101010101010101010101010001010101010101010101010101010101010101000101010101010101010101010101010101010100010101010101010101010101010101010101010001010101010101010101010101010101010101000101010101010101010101010101010101010100010101010101010101010101010101010101010001010101010101010101010101010101010101000101010101010101010101010101010101010100010101010101010101010101010101010101010001010101010101010101010a000000000007080001010101010101010110111415010105060708000101010101010101010a0013010101010f070800010101010101010105060708010101010101010001010101010101010f000401010101010101010001010101010101010e000901010101010101010001010101010101010e000901010101010101010001010101010101010e000901010101010101010001020300000401010e000901010101010101010002030901010a09010f0004010101010101010100050b0c0101050d081011120c0101010101010100050b0c0101050d08010e0009010101010f07080002030901010a040101010a0009010105060708000102030000040101010101050600000000070800010101010101010101010101010101010101010001010101010101010101010101010101010101000101010101010101010101010101010101010100010101010101010101010101010101010101010001010101010101010101010101010101010101004c000000640000000000000000000000120000001c0000000000000000000000130000001d0000002900aa0000000000000000000000803f00000000000000000000803f0000000000000000000000000000000000000000000000000000000000000000220000000c000000ffffffff460000001c00000010000000454d462b024000000c000000000000000e000000140000000000000010000000140000000400000003010800050000000b0200000000050000000c021d001300030000001e00040000000701040004000000070104006f010000410b2000cc001d001300000000001d0013000000000028000000130000001d0000000100080000000000000000000000000000000000160000000000000000000000ffffff00dfffff0000489c00bf7400009cdfff00000048009c480000ffffdf00df9c48000074bf0074004800ffffbf009c484800489cdf0074bfff00bfffff000000740074000000ffbf740048000000ffdf9c00010101010101010101010101010101010101010001010101010101010101010101010101010101000101010101010101010101010101010101010100010101010101010101010101010101010101010001010101010101010101010101010101010101000101010101010101010101010101010101010100010101010101010101010101010101010101010001010101010101010101010101010101010101000101010101010101010101010101010101010100010101010101010101010101010101010101010001010101010101010101010a000000000007080001010101010101010110111415010105060708000101010101010101010a0013010101010f070800010101010101010105060708010101010101010001010101010101010f000401010101010101010001010101010101010e000901010101010101010001010101010101010e000901010101010101010001010101010101010e000901010101010101010001020300000401010e000901010101010101010002030901010a09010f0004010101010101010100050b0c0101050d081011120c0101010101010100050b0c0101050d08010e0009010101010f07080002030901010a040101010a0009010105060708000102030000040101010101050600000000070800010101010101010101010101010101010101010001010101010101010101010101010101010101000101010101010101010101010101010101010100010101010101010101010101010101010101010001010101010101010101010101010101010101000c00000040092900aa000000000000001d00130000000000040000002701ffff030000000000






Расход пара

где 0100090000032207000000008204000000008204000026060f00fa08574d46430100000000000100eded0000000001000000d808000000000000d8080000010000006c0000000000000000000000200000001c00000000000000000000005f030000f702000020454d4600000100d80800000c00000001000000000000000000000000000000900600001a040000b801000013010000000000000000000000000000c0b6060038320400460000002c00000020000000454d462b014001001c000000100000000210c0db01000000600000006000000046000000680200005c020000454d462b224004000c000000000000001e4009000c00000000000000244001000c000000000000003040020010000000040000000000803f214007000c0000000000000008400005b4010000a80100000210c0db01000000000000000000000000000000000000000100000089504e470d0a1a0a0000000d49484452000000210000001d08030000001382f58b000000017352474200aece1ce9000000097048597300000ec400000ec401952b0e1b00000060504c544500000000004800007400489c00749c0074bf48000048487448489c489cdf74000074004874489c74bfdf74bfff9c48009c749c9cdfffbf7400bf7448bf9c9cbfffffdf9c48dfdf9cdfdfdfdfffbfdfffffffbf74ffdf9cffffbfffffdfffffff8b5fa192000000c34944415438cbd553ed128220103cfb20d152a1a4e2c37bffb7ecbcc4c631f06fdd0cc8c0ceb2bb87805b05bf85d03056934478b1eb71680b954278b1b7f4713c7f430c2d316475389079a5a9fb3f88494506e1e0b89187e118bc004879d1efa05c023073a41d413cd2ecc8c07467a1a203c0508d8119e059a261dde17c2f9fb59a33a5a6493e79205e79db1d3aeb22c7a226d9a84f0ab55cbf0f13fb1fea0b0db54284aac1a1b35e34beb4d4ea5b4fcb2507bd237244dba4980825ae10fff03764ea05705668af4d634b990000000049454e44ae42608200000840010824000000180000000210c0db01000000030000000000000000000000000000001b40000040000000340000000100000002000000000000bf000000bf000004420000e84103000000000000b3000000b3ffff0342000000b3000000b3ffffe7412100000008000000620000000c00000001000000150000000c00000004000000150000000c00000004000000510000000c0500000000000000000000200000001c00000000000000000000000000000000000000210000001d00000050000000a8000000f800000014040000000000002000cc00210000001d00000028000000210000001d0000000100080000000000000000000000000000000000200000000000000000000000ffffff000074bf00ffbf74009cdfff000000480074000000ffffbf00dfffff0000489c0048000000ffdf9c009c480000ffffdf0074bfff00df9c4800bf740000489cdf00bfffff00000074009c4874009cdfdf009c484800bfffdf0048007400dfdfdf004874bf009c7400009c749c0074484800dfbf74009c9cbf000101010101010101010101010101010101010101010101010101010101010101010048ff0101010101010101010101010101010101010101010101010101010101010101019cdfff0101010101010101010101010101010101010101010101010101010101010101010000ff0101010101010101010101010101010101010101010101010101010101010101010000ff0101010101010101010101010101010101010101010101010101010101010101010000ff0101010101010101010101010101010101010101010101010101010101010101010000ff0101010101010101010101010200000a0b01040503110f010111000f01040503010000ff010101010101010101010112130301081c0d04050304160d010e0c1f07040503010000ff01010101010101010101010111000301010101010112181e0112180b01010101010000ff01010101010101010101010101010200030101010101021d0b01020f01010101010000ff010108090000000f11100101011901011a0b010101010e1b1c0d0e0c0d010101010000ff01121306070101110006070101110f011110010101011214151617180b010101010000ff010e000f01010101020a0b0101011100000301010104050a0b04050c0d010101010000ff01110003010101010e000f010101010101010101010101010101010101010101010000ff01020003010101010e000c0d0101010101010101010101010101010101010101010000ff01110003010101040500000c0d01010101010101010101010101010101010101010000ff010e001001010101010101010101010101010101010101010101010101010101010000ff0104050c0d010101010101010101010101010101010101010101010101010101010000ff0108090a0b010101010101010101010101010101010101010101010101010101010000ff01010e000f010101010101010101010101010101010101010101010101010101010000ff0101080906070101010101010101010101010101010101010101010101010101010000ff01010104050c0d0101010e0c0d01010101010101010101010101010101010101010000ff01010101040506070108090a0b01010101010101010101010101010101010101010000ff0101010101010200000000000301010101010101010101010101010101010101010000ff0101010101010101010101010101010101010101010101010101010101010101010000ff0101010101010101010101010101010101010101010101010101010101010101010000ff0101010101010101010101010101010101010101010101010101010101010101010000ff0101010101010101010101010101010101010101010101010101010101010101010000ff01010101010101010101010101010101010101010101010101010101010101010101e1034c000000640000000000000000000000200000001c0000000000000000000000210000001d0000002900aa0000000000000000000000803f00000000000000000000803f0000000000000000000000000000000000000000000000000000000000000000220000000c000000ffffffff460000001c00000010000000454d462b024000000c000000000000000e000000140000000000000010000000140000000400000003010800050000000b0200000000050000000c021d002100030000001e00040000000701040004000000070104006b020000410b2000cc001d002100000000001d0021000000000028000000210000001d0000000100080000000000000000000000000000000000200000000000000000000000ffffff000074bf00ffbf74009cdfff000000480074000000ffffbf00dfffff0000489c0048000000ffdf9c009c480000ffffdf0074bfff00df9c4800bf740000489cdf00bfffff00000074009c4874009cdfdf009c484800bfffdf0048007400dfdfdf004874bf009c7400009c749c0074484800dfbf74009c9cbf000101010101010101010101010101010101010101010101010101010101010101010048ff0101010101010101010101010101010101010101010101010101010101010101019cdfff0101010101010101010101010101010101010101010101010101010101010101010000ff0101010101010101010101010101010101010101010101010101010101010101010000ff0101010101010101010101010101010101010101010101010101010101010101010000ff0101010101010101010101010101010101010101010101010101010101010101010000ff0101010101010101010101010200000a0b01040503110f010111000f01040503010000ff010101010101010101010112130301081c0d04050304160d010e0c1f07040503010000ff01010101010101010101010111000301010101010112181e0112180b01010101010000ff01010101010101010101010101010200030101010101021d0b01020f01010101010000ff010108090000000f11100101011901011a0b010101010e1b1c0d0e0c0d010101010000ff01121306070101110006070101110f011110010101011214151617180b010101010000ff010e000f01010101020a0b0101011100000301010104050a0b04050c0d010101010000ff01110003010101010e000f010101010101010101010101010101010101010101010000ff01020003010101010e000c0d0101010101010101010101010101010101010101010000ff01110003010101040500000c0d01010101010101010101010101010101010101010000ff010e001001010101010101010101010101010101010101010101010101010101010000ff0104050c0d010101010101010101010101010101010101010101010101010101010000ff0108090a0b010101010101010101010101010101010101010101010101010101010000ff01010e000f010101010101010101010101010101010101010101010101010101010000ff0101080906070101010101010101010101010101010101010101010101010101010000ff01010104050c0d0101010e0c0d01010101010101010101010101010101010101010000ff01010101040506070108090a0b01010101010101010101010101010101010101010000ff0101010101010200000000000301010101010101010101010101010101010101010000ff0101010101010101010101010101010101010101010101010101010101010101010000ff0101010101010101010101010101010101010101010101010101010101010101010000ff0101010101010101010101010101010101010101010101010101010101010101010000ff0101010101010101010101010101010101010101010101010101010101010101010000ff01010101010101010101010101010101010101010101010101010101010101010101e1030c00000040092900aa000000000000001d00210000000000040000002701ffff030000000000 – расход греющего пара, 010009000003940700000000c00400000000c004000026060f007609574d4643010000000000010098ea0000000001000000540900000000000054090000010000006c0000000000000000000000270000001c000000000000000000000017040000f702000020454d4600000100540900000c00000001000000000000000000000000000000900600001a040000b801000013010000000000000000000000000000c0b6060038320400460000002c00000020000000454d462b014001001c000000100000000210c0db010000006000000060000000460000007c02000070020000454d462b224004000c000000000000001e4009000c00000000000000244001000c000000000000003040020010000000040000000000803f214007000c0000000000000008400005c8010000bc0100000210c0db01000000000000000000000000000000000000000100000089504e470d0a1a0a0000000d49484452000000280000001d0803000000ef97de41000000017352474200aece1ce9000000097048597300000ec400000ec401952b0e1b00000057504c544500000000004800007400489c0074bf48000048004848480048489c489cdf74000074489c74bfdf74bfff9c48009c9cbf9cdfffbf7400bfffbfbfffffdf9c48df9c74dfffffffbf74ffdf9cffdfdfffffbfffffdfffffffc862bfcd000000df4944415438cbdd93611382200c86676205a5411112f2ff7f676c10a877169fea2e3eec74bc7b7837117ce5826f0a9d607542ddc82ae112f846382e80dbc2696075cdac80281c21d42ae01e23409f80ad292de9d68013b8379ec3494ef441b0bb113016845d2c508c888d9c2e987d204347a14a4027780c40b9bb2c432192edfa9955bb97418867f33ce4c8cb4012921dc0c7949e865785ed789e12407360d87580c48366035109ec8b4fa0c122925e673b6511072862700231f6688ad36cfc7a3240c9e0a435b60be346b72ba0d740cd7cba5fdbdf7a75bf7ef1cffcb1f009208f724286150f020000000049454e44ae4260820000000840010824000000180000000210c0db01000000030000000000000000000000000000001b40000040000000340000000100000002000000000000bf000000bf000020420000e84103000000000000b3000000b3ffff1f42000000b3000000b3ffffe7412100000008000000620000000c00000001000000150000000c00000004000000150000000c0000000400000051000000740500000000000000000000270000001c00000000000000000000000000000000000000280000001d000000500000009c000000ec00000088040000000000002000cc00280000001d00000028000000280000001d00000001000800000000000000000000000000000000001d0000000000000000000000ffffff00bfffff0000007400bf740000489cdf0048000000ffdf9c0074bfff00dfffff0000489c000074bf00df9c4800ffbf74009c480000ffffdf00dfbf740074000000ffffbf00bf9c9c00dfdfff00749cdf009cdfff000000480048004800004848009c484800bfffbf009c487400010101010101010101010101010101010101010101010101010101010101010101010101010101010101010101010101010101010101010101010101010101010101010101010101010101010101010101010101010101010101010101010101010101010101010101010101010101010101010101010101010101010101010101010101010101010101010101010101010101010101010101010101010101010101010101010101010101010101010101010101010101010101010101010101010101010101010101010101010101010101010101010101010101010101010101010101010101010101010101010101010101010101010101010101010101010101010101010101010101010101010101010101010101010101010101010101010101010101010101010101010101010101010101010101010101010101010101010101010101010101010101010101010102030401010101010101010101010101010101010101010101010101010101010101010101010101010506070101010101010101010101010101010101010511120101090a000e0f16170000000e0f010102030c01010101010101010101010101050011120116170d010116170d01020311120101161a0f010105111201010101010101010101010105111b1c0f090a0401010b0e0f0102030c010101010101010102030c01010101010101010101010116170d01010105111216170d01010108060701010101010101010b1112010101010101010101010102030c0101010806070b0e0f01010101090a000c01010101010116170c01010101010101090a0000061904010101020300000c010101010101010105111201010101010b0e0f01010101010108060701090a11120101010b0e0f1507010101010101010102030d0101010116170d0101010101010806070101161807010101080607091301010101140f010101051112010101010b0e0f010101010102030c010102030c01020300000d0108100a040102030d01090a11120101010108000d010101010203000e0f01010b0401010108000401010b000c0101010b0000000d0101010101090a0e0f01010101010506070101050e0f01010101010101010101010101010101010101010101010108060701010101010101010101010101010101010101010101010101010101010101010101010101090a0401010101010101010101010101010101010101010101010101010101010101010101010101010806070101010101010101010101010101010101010101010101010101010101010101010101010102030401010101010101010101010101010101010101010101010101010101010101010101010101010506070101010101010101010101010101010101010101010101010101010101010101010101010102030401010101010101010101010101010101010101010101010101010101010101010101010101010101010101010101010101010101010101010101010101010101010101010101010101010101010101010101010101010101010101010101010101010101010101010101010101010101010101010101010101010101010101010101014c000000640000000000000000000000270000001c0000000000000000000000280000001d0000002900aa0000000000000000000000803f00000000000000000000803f0000000000000000000000000000000000000000000000000000000000000000220000000c000000ffffffff460000001c00000010000000454d462b024000000c000000000000000e000000140000000000000010000000140000000400000003010800050000000b0200000000050000000c021d002800030000001e00040000000701040004000000070104009f020000410b2000cc001d002800000000001d0028000000000028000000280000001d00000001000800000000000000000000000000000000001d0000000000000000000000ffffff00bfffff0000007400bf740000489cdf0048000000ffdf9c0074bfff00dfffff0000489c000074bf00df9c4800ffbf74009c480000ffffdf00dfbf740074000000ffffbf00bf9c9c00dfdfff00749cdf009cdfff000000480048004800004848009c484800bfffbf009c487400010101010101010101010101010101010101010101010101010101010101010101010101010101010101010101010101010101010101010101010101010101010101010101010101010101010101010101010101010101010101010101010101010101010101010101010101010101010101010101010101010101010101010101010101010101010101010101010101010101010101010101010101010101010101010101010101010101010101010101010101010101010101010101010101010101010101010101010101010101010101010101010101010101010101010101010101010101010101010101010101010101010101010101010101010101010101010101010101010101010101010101010101010101010101010101010101010101010101010101010101010101010101010101010101010101010101010101010101010101010101010101010101010102030401010101010101010101010101010101010101010101010101010101010101010101010101010506070101010101010101010101010101010101010511120101090a000e0f16170000000e0f010102030c01010101010101010101010101050011120116170d010116170d01020311120101161a0f010105111201010101010101010101010105111b1c0f090a0401010b0e0f0102030c010101010101010102030c01010101010101010101010116170d01010105111216170d01010108060701010101010101010b1112010101010101010101010102030c0101010806070b0e0f01010101090a000c01010101010116170c01010101010101090a0000061904010101020300000c010101010101010105111201010101010b0e0f01010101010108060701090a11120101010b0e0f1507010101010101010102030d0101010116170d0101010101010806070101161807010101080607091301010101140f010101051112010101010b0e0f010101010102030c010102030c01020300000d0108100a040102030d01090a11120101010108000d010101010203000e0f01010b0401010108000401010b000c0101010b0000000d0101010101090a0e0f01010101010506070101050e0f01010101010101010101010101010101010101010101010108060701010101010101010101010101010101010101010101010101010101010101010101010101090a0401010101010101010101010101010101010101010101010101010101010101010101010101010806070101010101010101010101010101010101010101010101010101010101010101010101010102030401010101010101010101010101010101010101010101010101010101010101010101010101010506070101010101010101010101010101010101010101010101010101010101010101010101010102030401010101010101010101010101010101010101010101010101010101010101010101010101010101010101010101010101010101010101010101010101010101010101010101010101010101010101010101010101010101010101010101010101010101010101010101010101010101010101010101010101010101010101010101010c00000040092900aa000000000000001d00280000000000040000002701ffff030000000000;
– расход теплоты, Вт;
– удельная теплота
парообразования при абсолютном давлении
р>абс>
= 2 атм;
– парообразование
(степень сухости) греющего пара.
Влажность пара 5%, следовательно, x = 1 – 0,05 = 0,95
при
р>абс>
= 2,5 атм 




Общая разность температур

где
общая
разность температур,010009000003f004000000004c03000000004c03000026060f008e06574d46430100000000000100de1c00000000010000006c060000000000006c060000010000006c0000000000000000000000120000001c0000000000000000000000f1010000f702000020454d46000001006c0600000c00000001000000000000000000000000000000900600001a040000b801000013010000000000000000000000000000c0b6060038320400460000002c00000020000000454d462b014001001c000000100000000210c0db01000000600000006000000046000000f4010000e8010000454d462b224004000c000000000000001e4009000c00000000000000244001000c000000000000003040020010000000040000000000803f214007000c000000000000000840000540010000340100000210c0db01000000000000000000000000000000000000000100000089504e470d0a1a0a0000000d49484452000000130000001d08030000007f84a78e000000017352474200aece1ce9000000097048597300000ec400000ec401952b0e1b00000042504c544500000000004800007400489c0074bf48000048007448489c489cdf74000074bfff9c48009cdfffbf7400bfffffdf9c48dfffffffbf74ffdf9cffffbfffffdfffffff25049bae0000006d4944415428cfbd90c70e80300c43cd2e23a583fcffafd2428a5a7164f8143d29896df05d789d6d33d01eb3eb10d4186cb362a608092af2c05cafc334185e2362b619f363add3bd7357b195a3f90f592dbc3c61c50f51347bcb4b9892e78bf9b15a245bd607413af8a5fbefd90e88f728711999dadb0000000049454e44ae42608200000840010824000000180000000210c0db01000000030000000000000000000000000000001b40000040000000340000000100000002000000000000bf000000bf000098410000e84103000000000080b3000080b3ffff9741000080b3000080b3ffffe7412100000008000000620000000c00000001000000150000000c00000004000000150000000c0000000400000051000000140300000000000000000000120000001c00000000000000000000000000000000000000130000001d0000005000000080000000d000000044020000000000002000cc00130000001d00000028000000130000001d0000000100080000000000000000000000000000000000160000000000000000000000ffffff00dfffff0000489c00bf7400009cdfff00000048009c480000ffffdf00df9c48000074bf0074004800ffffbf009c484800489cdf0074bfff00bfffff000000740074000000ffbf740048000000ffdf9c00010101010101010101010101010101010101010001010101010101010101010101010101010101000101010101010101010101010101010101010100010101010101010101010101010101010101010001010101010101010101010101010101010101000101010101010101010101010101010101010100010101010101010101010101010101010101010001010101010101010101010101010101010101000101010101010101010101010101010101010100010101010101010101010101010101010101010001010101010101010101010a000000000007080001010101010101010110111415010105060708000101010101010101010a0013010101010f070800010101010101010105060708010101010101010001010101010101010f000401010101010101010001010101010101010e000901010101010101010001010101010101010e000901010101010101010001010101010101010e000901010101010101010001020300000401010e000901010101010101010002030901010a09010f0004010101010101010100050b0c0101050d081011120c0101010101010100050b0c0101050d08010e0009010101010f07080002030901010a040101010a0009010105060708000102030000040101010101050600000000070800010101010101010101010101010101010101010001010101010101010101010101010101010101000101010101010101010101010101010101010100010101010101010101010101010101010101010001010101010101010101010101010101010101004c000000640000000000000000000000120000001c0000000000000000000000130000001d0000002900aa0000000000000000000000803f00000000000000000000803f0000000000000000000000000000000000000000000000000000000000000000220000000c000000ffffffff460000001c00000010000000454d462b024000000c000000000000000e000000140000000000000010000000140000000400000003010800050000000b0200000000050000000c021d001300030000001e00040000000701040004000000070104006f010000410b2000cc001d001300000000001d0013000000000028000000130000001d0000000100080000000000000000000000000000000000160000000000000000000000ffffff00dfffff0000489c00bf7400009cdfff00000048009c480000ffffdf00df9c48000074bf0074004800ffffbf009c484800489cdf0074bfff00bfffff000000740074000000ffbf740048000000ffdf9c00010101010101010101010101010101010101010001010101010101010101010101010101010101000101010101010101010101010101010101010100010101010101010101010101010101010101010001010101010101010101010101010101010101000101010101010101010101010101010101010100010101010101010101010101010101010101010001010101010101010101010101010101010101000101010101010101010101010101010101010100010101010101010101010101010101010101010001010101010101010101010a000000000007080001010101010101010110111415010105060708000101010101010101010a0013010101010f070800010101010101010105060708010101010101010001010101010101010f000401010101010101010001010101010101010e000901010101010101010001010101010101010e000901010101010101010001010101010101010e000901010101010101010001020300000401010e000901010101010101010002030901010a09010f0004010101010101010100050b0c0101050d081011120c0101010101010100050b0c0101050d08010e0009010101010f07080002030901010a040101010a0009010105060708000102030000040101010101050600000000070800010101010101010101010101010101010101010001010101010101010101010101010101010101000101010101010101010101010101010101010100010101010101010101010101010101010101010001010101010101010101010101010101010101000c00000040092900aa000000000000001d00130000000000040000002701ffff030000000000;
t>г.п.> – температура греющего пара, 010009000003f004000000004c03000000004c03000026060f008e06574d46430100000000000100de1c00000000010000006c060000000000006c060000010000006c0000000000000000000000120000001c0000000000000000000000f1010000f702000020454d46000001006c0600000c00000001000000000000000000000000000000900600001a040000b801000013010000000000000000000000000000c0b6060038320400460000002c00000020000000454d462b014001001c000000100000000210c0db01000000600000006000000046000000f4010000e8010000454d462b224004000c000000000000001e4009000c00000000000000244001000c000000000000003040020010000000040000000000803f214007000c000000000000000840000540010000340100000210c0db01000000000000000000000000000000000000000100000089504e470d0a1a0a0000000d49484452000000130000001d08030000007f84a78e000000017352474200aece1ce9000000097048597300000ec400000ec401952b0e1b00000042504c544500000000004800007400489c0074bf48000048007448489c489cdf74000074bfff9c48009cdfffbf7400bfffffdf9c48dfffffffbf74ffdf9cffffbfffffdfffffff25049bae0000006d4944415428cfbd90c70e80300c43cd2e23a583fcffafd2428a5a7164f8143d29896df05d789d6d33d01eb3eb10d4186cb362a608092af2c05cafc334185e2362b619f363add3bd7357b195a3f90f592dbc3c61c50f51347bcb4b9892e78bf9b15a245bd607413af8a5fbefd90e88f728711999dadb0000000049454e44ae42608200000840010824000000180000000210c0db01000000030000000000000000000000000000001b40000040000000340000000100000002000000000000bf000000bf000098410000e84103000000000080b3000080b3ffff9741000080b3000080b3ffffe7412100000008000000620000000c00000001000000150000000c00000004000000150000000c0000000400000051000000140300000000000000000000120000001c00000000000000000000000000000000000000130000001d0000005000000080000000d000000044020000000000002000cc00130000001d00000028000000130000001d0000000100080000000000000000000000000000000000160000000000000000000000ffffff00dfffff0000489c00bf7400009cdfff00000048009c480000ffffdf00df9c48000074bf0074004800ffffbf009c484800489cdf0074bfff00bfffff000000740074000000ffbf740048000000ffdf9c00010101010101010101010101010101010101010001010101010101010101010101010101010101000101010101010101010101010101010101010100010101010101010101010101010101010101010001010101010101010101010101010101010101000101010101010101010101010101010101010100010101010101010101010101010101010101010001010101010101010101010101010101010101000101010101010101010101010101010101010100010101010101010101010101010101010101010001010101010101010101010a000000000007080001010101010101010110111415010105060708000101010101010101010a0013010101010f070800010101010101010105060708010101010101010001010101010101010f000401010101010101010001010101010101010e000901010101010101010001010101010101010e000901010101010101010001010101010101010e000901010101010101010001020300000401010e000901010101010101010002030901010a09010f0004010101010101010100050b0c0101050d081011120c0101010101010100050b0c0101050d08010e0009010101010f07080002030901010a040101010a0009010105060708000102030000040101010101050600000000070800010101010101010101010101010101010101010001010101010101010101010101010101010101000101010101010101010101010101010101010100010101010101010101010101010101010101010001010101010101010101010101010101010101004c000000640000000000000000000000120000001c0000000000000000000000130000001d0000002900aa0000000000000000000000803f00000000000000000000803f0000000000000000000000000000000000000000000000000000000000000000220000000c000000ffffffff460000001c00000010000000454d462b024000000c000000000000000e000000140000000000000010000000140000000400000003010800050000000b0200000000050000000c021d001300030000001e00040000000701040004000000070104006f010000410b2000cc001d001300000000001d0013000000000028000000130000001d0000000100080000000000000000000000000000000000160000000000000000000000ffffff00dfffff0000489c00bf7400009cdfff00000048009c480000ffffdf00df9c48000074bf0074004800ffffbf009c484800489cdf0074bfff00bfffff000000740074000000ffbf740048000000ffdf9c00010101010101010101010101010101010101010001010101010101010101010101010101010101000101010101010101010101010101010101010100010101010101010101010101010101010101010001010101010101010101010101010101010101000101010101010101010101010101010101010100010101010101010101010101010101010101010001010101010101010101010101010101010101000101010101010101010101010101010101010100010101010101010101010101010101010101010001010101010101010101010a000000000007080001010101010101010110111415010105060708000101010101010101010a0013010101010f070800010101010101010105060708010101010101010001010101010101010f000401010101010101010001010101010101010e000901010101010101010001010101010101010e000901010101010101010001010101010101010e000901010101010101010001020300000401010e000901010101010101010002030901010a09010f0004010101010101010100050b0c0101050d081011120c0101010101010100050b0c0101050d08010e0009010101010f07080002030901010a040101010a0009010105060708000102030000040101010101050600000000070800010101010101010101010101010101010101010001010101010101010101010101010101010101000101010101010101010101010101010101010100010101010101010101010101010101010101010001010101010101010101010101010101010101000c00000040092900aa000000000000001d00130000000000040000002701ffff030000000000;
t>о>
– температура вторичного пара в
барометрическом конденсаторе, 010009000003f004000000004c03000000004c03000026060f008e06574d46430100000000000100de1c00000000010000006c060000000000006c060000010000006c0000000000000000000000120000001c0000000000000000000000f1010000f702000020454d46000001006c0600000c00000001000000000000000000000000000000900600001a040000b801000013010000000000000000000000000000c0b6060038320400460000002c00000020000000454d462b014001001c000000100000000210c0db01000000600000006000000046000000f4010000e8010000454d462b224004000c000000000000001e4009000c00000000000000244001000c000000000000003040020010000000040000000000803f214007000c000000000000000840000540010000340100000210c0db01000000000000000000000000000000000000000100000089504e470d0a1a0a0000000d49484452000000130000001d08030000007f84a78e000000017352474200aece1ce9000000097048597300000ec400000ec401952b0e1b00000042504c544500000000004800007400489c0074bf48000048007448489c489cdf74000074bfff9c48009cdfffbf7400bfffffdf9c48dfffffffbf74ffdf9cffffbfffffdfffffff25049bae0000006d4944415428cfbd90c70e80300c43cd2e23a583fcffafd2428a5a7164f8143d29896df05d789d6d33d01eb3eb10d4186cb362a608092af2c05cafc334185e2362b619f363add3bd7357b195a3f90f592dbc3c61c50f51347bcb4b9892e78bf9b15a245bd607413af8a5fbefd90e88f728711999dadb0000000049454e44ae42608200000840010824000000180000000210c0db01000000030000000000000000000000000000001b40000040000000340000000100000002000000000000bf000000bf000098410000e84103000000000080b3000080b3ffff9741000080b3000080b3ffffe7412100000008000000620000000c00000001000000150000000c00000004000000150000000c0000000400000051000000140300000000000000000000120000001c00000000000000000000000000000000000000130000001d0000005000000080000000d000000044020000000000002000cc00130000001d00000028000000130000001d0000000100080000000000000000000000000000000000160000000000000000000000ffffff00dfffff0000489c00bf7400009cdfff00000048009c480000ffffdf00df9c48000074bf0074004800ffffbf009c484800489cdf0074bfff00bfffff000000740074000000ffbf740048000000ffdf9c00010101010101010101010101010101010101010001010101010101010101010101010101010101000101010101010101010101010101010101010100010101010101010101010101010101010101010001010101010101010101010101010101010101000101010101010101010101010101010101010100010101010101010101010101010101010101010001010101010101010101010101010101010101000101010101010101010101010101010101010100010101010101010101010101010101010101010001010101010101010101010a000000000007080001010101010101010110111415010105060708000101010101010101010a0013010101010f070800010101010101010105060708010101010101010001010101010101010f000401010101010101010001010101010101010e000901010101010101010001010101010101010e000901010101010101010001010101010101010e000901010101010101010001020300000401010e000901010101010101010002030901010a09010f0004010101010101010100050b0c0101050d081011120c0101010101010100050b0c0101050d08010e0009010101010f07080002030901010a040101010a0009010105060708000102030000040101010101050600000000070800010101010101010101010101010101010101010001010101010101010101010101010101010101000101010101010101010101010101010101010100010101010101010101010101010101010101010001010101010101010101010101010101010101004c000000640000000000000000000000120000001c0000000000000000000000130000001d0000002900aa0000000000000000000000803f00000000000000000000803f0000000000000000000000000000000000000000000000000000000000000000220000000c000000ffffffff460000001c00000010000000454d462b024000000c000000000000000e000000140000000000000010000000140000000400000003010800050000000b0200000000050000000c021d001300030000001e00040000000701040004000000070104006f010000410b2000cc001d001300000000001d0013000000000028000000130000001d0000000100080000000000000000000000000000000000160000000000000000000000ffffff00dfffff0000489c00bf7400009cdfff00000048009c480000ffffdf00df9c48000074bf0074004800ffffbf009c484800489cdf0074bfff00bfffff000000740074000000ffbf740048000000ffdf9c00010101010101010101010101010101010101010001010101010101010101010101010101010101000101010101010101010101010101010101010100010101010101010101010101010101010101010001010101010101010101010101010101010101000101010101010101010101010101010101010100010101010101010101010101010101010101010001010101010101010101010101010101010101000101010101010101010101010101010101010100010101010101010101010101010101010101010001010101010101010101010a000000000007080001010101010101010110111415010105060708000101010101010101010a0013010101010f070800010101010101010105060708010101010101010001010101010101010f000401010101010101010001010101010101010e000901010101010101010001010101010101010e000901010101010101010001010101010101010e000901010101010101010001020300000401010e000901010101010101010002030901010a09010f0004010101010101010100050b0c0101050d081011120c0101010101010100050b0c0101050d08010e0009010101010f07080002030901010a040101010a0009010105060708000102030000040101010101050600000000070800010101010101010101010101010101010101010001010101010101010101010101010101010101000101010101010101010101010101010101010100010101010101010101010101010101010101010001010101010101010101010101010101010101000c00000040092900aa000000000000001d00130000000000040000002701ffff030000000000
.
t>г.п.> = 126,25оС при p = 2,5 атм




Полезная разность температур

где
–
полезная разность температур,010009000003f004000000004c03000000004c03000026060f008e06574d46430100000000000100de1c00000000010000006c060000000000006c060000010000006c0000000000000000000000120000001c0000000000000000000000f1010000f702000020454d46000001006c0600000c00000001000000000000000000000000000000900600001a040000b801000013010000000000000000000000000000c0b6060038320400460000002c00000020000000454d462b014001001c000000100000000210c0db01000000600000006000000046000000f4010000e8010000454d462b224004000c000000000000001e4009000c00000000000000244001000c000000000000003040020010000000040000000000803f214007000c000000000000000840000540010000340100000210c0db01000000000000000000000000000000000000000100000089504e470d0a1a0a0000000d49484452000000130000001d08030000007f84a78e000000017352474200aece1ce9000000097048597300000ec400000ec401952b0e1b00000042504c544500000000004800007400489c0074bf48000048007448489c489cdf74000074bfff9c48009cdfffbf7400bfffffdf9c48dfffffffbf74ffdf9cffffbfffffdfffffff25049bae0000006d4944415428cfbd90c70e80300c43cd2e23a583fcffafd2428a5a7164f8143d29896df05d789d6d33d01eb3eb10d4186cb362a608092af2c05cafc334185e2362b619f363add3bd7357b195a3f90f592dbc3c61c50f51347bcb4b9892e78bf9b15a245bd607413af8a5fbefd90e88f728711999dadb0000000049454e44ae42608200000840010824000000180000000210c0db01000000030000000000000000000000000000001b40000040000000340000000100000002000000000000bf000000bf000098410000e84103000000000080b3000080b3ffff9741000080b3000080b3ffffe7412100000008000000620000000c00000001000000150000000c00000004000000150000000c0000000400000051000000140300000000000000000000120000001c00000000000000000000000000000000000000130000001d0000005000000080000000d000000044020000000000002000cc00130000001d00000028000000130000001d0000000100080000000000000000000000000000000000160000000000000000000000ffffff00dfffff0000489c00bf7400009cdfff00000048009c480000ffffdf00df9c48000074bf0074004800ffffbf009c484800489cdf0074bfff00bfffff000000740074000000ffbf740048000000ffdf9c00010101010101010101010101010101010101010001010101010101010101010101010101010101000101010101010101010101010101010101010100010101010101010101010101010101010101010001010101010101010101010101010101010101000101010101010101010101010101010101010100010101010101010101010101010101010101010001010101010101010101010101010101010101000101010101010101010101010101010101010100010101010101010101010101010101010101010001010101010101010101010a000000000007080001010101010101010110111415010105060708000101010101010101010a0013010101010f070800010101010101010105060708010101010101010001010101010101010f000401010101010101010001010101010101010e000901010101010101010001010101010101010e000901010101010101010001010101010101010e000901010101010101010001020300000401010e000901010101010101010002030901010a09010f0004010101010101010100050b0c0101050d081011120c0101010101010100050b0c0101050d08010e0009010101010f07080002030901010a040101010a0009010105060708000102030000040101010101050600000000070800010101010101010101010101010101010101010001010101010101010101010101010101010101000101010101010101010101010101010101010100010101010101010101010101010101010101010001010101010101010101010101010101010101004c000000640000000000000000000000120000001c0000000000000000000000130000001d0000002900aa0000000000000000000000803f00000000000000000000803f0000000000000000000000000000000000000000000000000000000000000000220000000c000000ffffffff460000001c00000010000000454d462b024000000c000000000000000e000000140000000000000010000000140000000400000003010800050000000b0200000000050000000c021d001300030000001e00040000000701040004000000070104006f010000410b2000cc001d001300000000001d0013000000000028000000130000001d0000000100080000000000000000000000000000000000160000000000000000000000ffffff00dfffff0000489c00bf7400009cdfff00000048009c480000ffffdf00df9c48000074bf0074004800ffffbf009c484800489cdf0074bfff00bfffff000000740074000000ffbf740048000000ffdf9c00010101010101010101010101010101010101010001010101010101010101010101010101010101000101010101010101010101010101010101010100010101010101010101010101010101010101010001010101010101010101010101010101010101000101010101010101010101010101010101010100010101010101010101010101010101010101010001010101010101010101010101010101010101000101010101010101010101010101010101010100010101010101010101010101010101010101010001010101010101010101010a000000000007080001010101010101010110111415010105060708000101010101010101010a0013010101010f070800010101010101010105060708010101010101010001010101010101010f000401010101010101010001010101010101010e000901010101010101010001010101010101010e000901010101010101010001010101010101010e000901010101010101010001020300000401010e000901010101010101010002030901010a09010f0004010101010101010100050b0c0101050d081011120c0101010101010100050b0c0101050d08010e0009010101010f07080002030901010a040101010a0009010105060708000102030000040101010101050600000000070800010101010101010101010101010101010101010001010101010101010101010101010101010101000101010101010101010101010101010101010100010101010101010101010101010101010101010001010101010101010101010101010101010101000c00000040092900aa000000000000001d00130000000000040000002701ffff030000000000
;
– температура греющего
пара010009000003e00500000000c80300000000c803000026060f008607574d4643010000000000010094e50000000001000000640700000000000064070000010000006c00000000000000000000001a0000001c0000000000000000000000c2020000f702000020454d4600000100640700000c00000001000000000000000000000000000000900600001a040000b801000013010000000000000000000000000000c0b6060038320400460000002c00000020000000454d462b014001001c000000100000000210c0db0100000060000000600000004600000004020000f8010000454d462b224004000c000000000000001e4009000c00000000000000244001000c000000000000003040020010000000040000000000803f214007000c000000000000000840000550010000440100000210c0db01000000000000000000000000000000000000000100000089504e470d0a1a0a0000000d494844520000001b0000001d08030000006c53e77a000000017352474200aece1ce9000000097048597300000ec400000ec401952b0e1b00000042504c544500000000004800007400489c0074bf48000048007448489c489cdf74000074bfff9c48009cdfffbf7400bfffffdf9c48dfffffffbf74ffdf9cffffbfffffdfffffff25049bae0000007e4944415438cbcd92dd0e80200885e95f2bac34deff5593526b0def6ac58563fb94c30181f2019fb17500a8f7cc36e0a39ae1448a08192228e617665be38f6ea68911d12230a74b73d73b6a2a5a82a8d44b28297a788389bd442fde74769e087df21ef2144e17639cd9453cbd8cb346be26efc8e93abb3f543ffc4bcfb10ddef93ad0ebea92ce0000000049454e44ae426082000840010824000000180000000210c0db01000000030000000000000000000000000000001b40000040000000340000000100000002000000000000bf000000bf0000d8410000e84103000000000000b3000000b3ffffd741000000b3000000b3ffffe7412100000008000000620000000c00000001000000150000000c00000004000000150000000c0000000400000051000000fc03000000000000000000001a0000001c000000000000000000000000000000000000001b0000001d0000005000000080000000d00000002c030000000000002000cc001b0000001d000000280000001b0000001d0000000100080000000000000000000000000000000000160000000000000000000000ffffff00dfffff0000489c00bf7400009cdfff00000048009c480000ffffdf00df9c48000074bf0074004800ffffbf009c484800489cdf0074bfff00bfffff000000740074000000ffbf740048000000ffdf9c00010101010101010101010101010101010101010101010101010101210101010101010101010101010101010101010101010101010101012101010101010101010101010101010101010101010101010101010121010101010101010101010101010101010101010101010101010101210101010101010101010101010101010101010101010101010101012101010101010101010101010101010101010101010101010101010121010101010101010101010101010101010101010101010101010101210a09010101010101010101010101010101010101010101010101012110110401010101010101010101010101010101010101010101010121010a1415010101010101010101010101010101010101010101010121010e00090101010101010101010101010101010a0000000000070821010a001301010101010101010101010101101114150101050607082101010101010101010101010101010101010a0013010101010f07082101010101010101010101010101010101050607080101010101010121010101010101010101010101010101010f0004010101010101010121010101010101010101010101010101010e0009010101010101010121010101010101010101010101010101010e0009010101010101010121010101010101010101010101010101010e0009010101010101010121010101010101010101020300000401010e0009010101010101010121010101010101010102030901010a09010f00040101010101010101210101010101010101050b0c0101050d081011120c01010101010101210101010101010101050b0c0101050d08010e0009010101010f070821010101010101010102030901010a040101010a0009010105060708210101010101010101010203000004010101010105060000000007082101010101010101010101010101010101010101010101010101010121010101010101010101010101010101010101010101010101010101210101010101010101010101010101010101010101010101010101012101010101010101010101010101010101010101010101010101010121010101010101010101010101010101010101010101010101010101214c0000006400000000000000000000001a0000001c00000000000000000000001b0000001d0000002900aa0000000000000000000000803f00000000000000000000803f0000000000000000000000000000000000000000000000000000000000000000220000000c000000ffffffff460000001c00000010000000454d462b024000000c000000000000000e000000140000000000000010000000140000000400000003010800050000000b0200000000050000000c021d001b00030000001e0004000000070104000400000007010400e3010000410b2000cc001d001b00000000001d001b0000000000280000001b0000001d0000000100080000000000000000000000000000000000160000000000000000000000ffffff00dfffff0000489c00bf7400009cdfff00000048009c480000ffffdf00df9c48000074bf0074004800ffffbf009c484800489cdf0074bfff00bfffff000000740074000000ffbf740048000000ffdf9c00010101010101010101010101010101010101010101010101010101210101010101010101010101010101010101010101010101010101012101010101010101010101010101010101010101010101010101010121010101010101010101010101010101010101010101010101010101210101010101010101010101010101010101010101010101010101012101010101010101010101010101010101010101010101010101010121010101010101010101010101010101010101010101010101010101210a09010101010101010101010101010101010101010101010101012110110401010101010101010101010101010101010101010101010121010a1415010101010101010101010101010101010101010101010121010e00090101010101010101010101010101010a0000000000070821010a001301010101010101010101010101101114150101050607082101010101010101010101010101010101010a0013010101010f07082101010101010101010101010101010101050607080101010101010121010101010101010101010101010101010f0004010101010101010121010101010101010101010101010101010e0009010101010101010121010101010101010101010101010101010e0009010101010101010121010101010101010101010101010101010e0009010101010101010121010101010101010101020300000401010e0009010101010101010121010101010101010102030901010a09010f00040101010101010101210101010101010101050b0c0101050d081011120c01010101010101210101010101010101050b0c0101050d08010e0009010101010f070821010101010101010102030901010a040101010a0009010105060708210101010101010101010203000004010101010105060000000007082101010101010101010101010101010101010101010101010101010121010101010101010101010101010101010101010101010101010101210101010101010101010101010101010101010101010101010101012101010101010101010101010101010101010101010101010101010121010101010101010101010101010101010101010101010101010101210c00000040092900aa000000000000001d001b0000000000040000002701ffff030000000000;
– температура кипения
раствора в трубах (средняя),010009000003f004000000004c03000000004c03000026060f008e06574d46430100000000000100de1c00000000010000006c060000000000006c060000010000006c0000000000000000000000120000001c0000000000000000000000f1010000f702000020454d46000001006c0600000c00000001000000000000000000000000000000900600001a040000b801000013010000000000000000000000000000c0b6060038320400460000002c00000020000000454d462b014001001c000000100000000210c0db01000000600000006000000046000000f4010000e8010000454d462b224004000c000000000000001e4009000c00000000000000244001000c000000000000003040020010000000040000000000803f214007000c000000000000000840000540010000340100000210c0db01000000000000000000000000000000000000000100000089504e470d0a1a0a0000000d49484452000000130000001d08030000007f84a78e000000017352474200aece1ce9000000097048597300000ec400000ec401952b0e1b00000042504c544500000000004800007400489c0074bf48000048007448489c489cdf74000074bfff9c48009cdfffbf7400bfffffdf9c48dfffffffbf74ffdf9cffffbfffffdfffffff25049bae0000006d4944415428cfbd90c70e80300c43cd2e23a583fcffafd2428a5a7164f8143d29896df05d789d6d33d01eb3eb10d4186cb362a608092af2c05cafc334185e2362b619f363add3bd7357b195a3f90f592dbc3c61c50f51347bcb4b9892e78bf9b15a245bd607413af8a5fbefd90e88f728711999dadb0000000049454e44ae42608200000840010824000000180000000210c0db01000000030000000000000000000000000000001b40000040000000340000000100000002000000000000bf000000bf000098410000e84103000000000080b3000080b3ffff9741000080b3000080b3ffffe7412100000008000000620000000c00000001000000150000000c00000004000000150000000c0000000400000051000000140300000000000000000000120000001c00000000000000000000000000000000000000130000001d0000005000000080000000d000000044020000000000002000cc00130000001d00000028000000130000001d0000000100080000000000000000000000000000000000160000000000000000000000ffffff00dfffff0000489c00bf7400009cdfff00000048009c480000ffffdf00df9c48000074bf0074004800ffffbf009c484800489cdf0074bfff00bfffff000000740074000000ffbf740048000000ffdf9c00010101010101010101010101010101010101010001010101010101010101010101010101010101000101010101010101010101010101010101010100010101010101010101010101010101010101010001010101010101010101010101010101010101000101010101010101010101010101010101010100010101010101010101010101010101010101010001010101010101010101010101010101010101000101010101010101010101010101010101010100010101010101010101010101010101010101010001010101010101010101010a000000000007080001010101010101010110111415010105060708000101010101010101010a0013010101010f070800010101010101010105060708010101010101010001010101010101010f000401010101010101010001010101010101010e000901010101010101010001010101010101010e000901010101010101010001010101010101010e000901010101010101010001020300000401010e000901010101010101010002030901010a09010f0004010101010101010100050b0c0101050d081011120c0101010101010100050b0c0101050d08010e0009010101010f07080002030901010a040101010a0009010105060708000102030000040101010101050600000000070800010101010101010101010101010101010101010001010101010101010101010101010101010101000101010101010101010101010101010101010100010101010101010101010101010101010101010001010101010101010101010101010101010101004c000000640000000000000000000000120000001c0000000000000000000000130000001d0000002900aa0000000000000000000000803f00000000000000000000803f0000000000000000000000000000000000000000000000000000000000000000220000000c000000ffffffff460000001c00000010000000454d462b024000000c000000000000000e000000140000000000000010000000140000000400000003010800050000000b0200000000050000000c021d001300030000001e00040000000701040004000000070104006f010000410b2000cc001d001300000000001d0013000000000028000000130000001d0000000100080000000000000000000000000000000000160000000000000000000000ffffff00dfffff0000489c00bf7400009cdfff00000048009c480000ffffdf00df9c48000074bf0074004800ffffbf009c484800489cdf0074bfff00bfffff000000740074000000ffbf740048000000ffdf9c00010101010101010101010101010101010101010001010101010101010101010101010101010101000101010101010101010101010101010101010100010101010101010101010101010101010101010001010101010101010101010101010101010101000101010101010101010101010101010101010100010101010101010101010101010101010101010001010101010101010101010101010101010101000101010101010101010101010101010101010100010101010101010101010101010101010101010001010101010101010101010a000000000007080001010101010101010110111415010105060708000101010101010101010a0013010101010f070800010101010101010105060708010101010101010001010101010101010f000401010101010101010001010101010101010e000901010101010101010001010101010101010e000901010101010101010001010101010101010e000901010101010101010001020300000401010e000901010101010101010002030901010a09010f0004010101010101010100050b0c0101050d081011120c0101010101010100050b0c0101050d08010e0009010101010f07080002030901010a040101010a0009010105060708000102030000040101010101050600000000070800010101010101010101010101010101010101010001010101010101010101010101010101010101000101010101010101010101010101010101010100010101010101010101010101010101010101010001010101010101010101010101010101010101000c00000040092900aa000000000000001d00130000000000040000002701ffff030000000000
.

Проверка:



где 010009000003f408000000008c05000000008c05000026060f000e0b574d46430100000000000100c9080000000001000000ec0a000000000000ec0a0000010000006c00000000000000000000002f0000001c0000000000000000000000e8040000f702000020454d4600000100ec0a00000c00000001000000000000000000000000000000900600001a040000b801000013010000000000000000000000000000c0b6060038320400460000002c00000020000000454d462b014001001c000000100000000210c0db01000000600000006000000046000000ec020000e0020000454d462b224004000c000000000000001e4009000c00000000000000244001000c000000000000003040020010000000040000000000803f214007000c0000000000000008400005380200002c0200000210c0db01000000000000000000000000000000000000000100000089504e470d0a1a0a0000000d49484452000000300000001d0803000000dbee1f5d000000017352474200aece1ce9000000097048597300000ec400000ec401952b0e1b00000087504c544500000000004800007400489c00747400749c0074bf48000048004848007448484848487448489c489cbf489cdf74000074004874007474489c7474487474747474bf749cdf74bfdf74bfff9c48009c48489c48749c749c9cdfdf9cdfffbf7400bf9c9cbfbf74bfbf9cbfffffdf9c48dfdf9cdfffbfdfffffffbf74ffdf9cffffbfffffdfffffff5b7ee788000001204944415438cbdd94d156c3200c86d34ee9a6133637b5ad0a2a6821f4fd9fcf04383b5e6ced76e1cdb868a1cd97e44f7280f1c2055704c4aeb617010e0a109af61c202c7795ce6479cf004616435433a965c0d7d601a76280d762980150b5a34f004990678876828240b22cdc341096fae0dacc5517b80532e522523ba6f22f804f36a8c4019b067053eac95c51320918516683012e6e7cb5a1a97468f8032aa006a1aa34fde2f981d040592c9723180a828fdfeb1f0aedc99a53c6eda7340ffd7bafc1c05f207690eaea6fdf0632e4068d6165477ff314fbbda6ed89f136f79a23a57a387a50b5c3dd3337ec38809b97540c27f318a47d6d63d79e00c27a20ef1f969cc74ee4b36929b92f7d1c60cf8ef4b32499cfb8252520aeead6f83fe0176f1dd67151287ce90000000049454e44ae42608200000840010824000000180000000210c0db01000000030000000000000000000000000000001b40000040000000340000000100000002000000000000bf000000bf000040420000e84103000000000000b3000000b3ffff3f42000000b3000000b3ffffe7412100000008000000620000000c00000001000000150000000c00000004000000150000000c00000004000000510000009c06000000000000000000002f0000001c00000000000000000000000000000000000000300000001d00000050000000dc0000002c01000070050000000000002000cc00300000001d00000028000000300000001d00000001000800000000000000000000000000000000002d0000000000000000000000ffffff00dfffff0000489c0074000000ffffbf00489cdf009cdfff0000004800ffbf7400480048004874740048000000ffdf9c000074bf00df9c4800bfffff000000740074bfff009c480000ffffdf00bf7400004800740074489c009c4874009cdfdf009c484800bfffdf007400740074bfbf00bf9c480048489c00dfdf9c009c7400009c749c007400480074740000bf747400747474007448480048484800df9c7400dfbf74009c9cbf009cbfbf00010101010101010101010101010101010101010101010101010101010101010101010101010101010101010101010101010101010101010101010101010101010101010101010101010101010101010101010101010101010101010101010101010101010101010101010101010101010101010101010101010101010101010101010101010101010101010101010101010101010101010101010101010101010101010101010101010101010101010101010101010101010101010101010101010101010101010101010101010101010101010101010101010101010101010101010101010101010101010101010101010101010101010101010101010101010101010101010101010101010101010101010101010101010101010101010101010101010101010101010101010101010101010101060f010106000f01020300000f010101060f01101c050112001501010101010101010101010101010101010101010101071a140112132b050613140203150101071a14010e090107232c0d01010101010101010101010101010101010101010110162a0110160d01060f01011011090110160d0106040502030901010101010101010101010101010101010101010101010e270d010e0f011213140101061314010e0405072829010615010e00000000000000000004050101020300000901010112212214121314101109010107230501122425021f260d072305070800000000000000000405010112000f010e0f01011018191a1b160d01120c0d0112131401101c1d0f0e1e1f201f0d010e1501010101010203131401010600090102170507080c0d0708131401011011000c0d0110110c0d060009020304050110160d0101010110111314010112000f01010101010101010101010101010101010101010101010101010101010101010112131401010110111501010107081501010101010101010101010101010101010101010101010101010101010101010102030f01010107081501010102031314010101010101010101010101010101010101010101010101010101010101010101070a0d010107080f010101010e0405010101010101010101010101010101010101010101010101010101010101010101010615010112000f0101010112000901010101010101010101010101010101010101010101010101010101010101010101101109011200090101010107080f01010101010101010101010101010101010101010101010101010101010101010101011204050600090101010e0000000000131401010101010101010101010101010101010101010101010101010101010101010e0f060c0d01010101101104050101010101010101010101010101010101010101010101010101010101010101010101070a0b0c0d0101010101060c0d01010101010101010101010101010101010101010101010101010101010101010101010106000405010101010107080901010101010101010101010101010101010101010101010101010101010101010101010102030405010101010101010101010101010101010101010101010101010101010101010101010101010101010101010101010101010101010101010101010101010101010101010101010101010101010101010101010101010101010101010101010101010101010101010101010101010101010101010101010101010101010101010101010101010101010101010101010101010101010101010101010101010101010101010101010101010101010101010101010101010101010101010101010101010101010101010101010101010101010101010101010101010101010101010101010101010101010101010101010101010101010101010101010101010101010101010101010101010101010101010101010101014c0000006400000000000000000000002f0000001c0000000000000000000000300000001d0000002900aa0000000000000000000000803f00000000000000000000803f0000000000000000000000000000000000000000000000000000000000000000220000000c000000ffffffff460000001c00000010000000454d462b024000000c000000000000000e000000140000000000000010000000140000000400000003010800050000000b0200000000050000000c021d003000030000001e000400000007010400040000000701040033030000410b2000cc001d003000000000001d0030000000000028000000300000001d00000001000800000000000000000000000000000000002d0000000000000000000000ffffff00dfffff0000489c0074000000ffffbf00489cdf009cdfff0000004800ffbf7400480048004874740048000000ffdf9c000074bf00df9c4800bfffff000000740074bfff009c480000ffffdf00bf7400004800740074489c009c4874009cdfdf009c484800bfffdf007400740074bfbf00bf9c480048489c00dfdf9c009c7400009c749c007400480074740000bf747400747474007448480048484800df9c7400dfbf74009c9cbf009cbfbf00010101010101010101010101010101010101010101010101010101010101010101010101010101010101010101010101010101010101010101010101010101010101010101010101010101010101010101010101010101010101010101010101010101010101010101010101010101010101010101010101010101010101010101010101010101010101010101010101010101010101010101010101010101010101010101010101010101010101010101010101010101010101010101010101010101010101010101010101010101010101010101010101010101010101010101010101010101010101010101010101010101010101010101010101010101010101010101010101010101010101010101010101010101010101010101010101010101010101010101010101010101010101010101060f010106000f01020300000f010101060f01101c050112001501010101010101010101010101010101010101010101071a140112132b050613140203150101071a14010e090107232c0d01010101010101010101010101010101010101010110162a0110160d01060f01011011090110160d0106040502030901010101010101010101010101010101010101010101010e270d010e0f011213140101061314010e0405072829010615010e00000000000000000004050101020300000901010112212214121314101109010107230501122425021f260d072305070800000000000000000405010112000f010e0f01011018191a1b160d01120c0d0112131401101c1d0f0e1e1f201f0d010e1501010101010203131401010600090102170507080c0d0708131401011011000c0d0110110c0d060009020304050110160d0101010110111314010112000f01010101010101010101010101010101010101010101010101010101010101010112131401010110111501010107081501010101010101010101010101010101010101010101010101010101010101010102030f01010107081501010102031314010101010101010101010101010101010101010101010101010101010101010101070a0d010107080f010101010e0405010101010101010101010101010101010101010101010101010101010101010101010615010112000f0101010112000901010101010101010101010101010101010101010101010101010101010101010101101109011200090101010107080f01010101010101010101010101010101010101010101010101010101010101010101011204050600090101010e0000000000131401010101010101010101010101010101010101010101010101010101010101010e0f060c0d01010101101104050101010101010101010101010101010101010101010101010101010101010101010101070a0b0c0d0101010101060c0d01010101010101010101010101010101010101010101010101010101010101010101010106000405010101010107080901010101010101010101010101010101010101010101010101010101010101010101010102030405010101010101010101010101010101010101010101010101010101010101010101010101010101010101010101010101010101010101010101010101010101010101010101010101010101010101010101010101010101010101010101010101010101010101010101010101010101010101010101010101010101010101010101010101010101010101010101010101010101010101010101010101010101010101010101010101010101010101010101010101010101010101010101010101010101010101010101010101010101010101010101010101010101010101010101010101010101010101010101010101010101010101010101010101010101010101010101010101010101010101010101010101010c00000040092900aa000000000000001d00300000000000040000002701ffff030000000000 – сумма температурных потерь,

Расчет верен
Площадь поверхности нагрева выпарного аппарата

где F – площадь поверхности нагрева, м2
– теплота, отданная
греющим паром раствору, Вт
– полезная разность
температур,010009000003f004000000004c03000000004c03000026060f008e06574d46430100000000000100de1c00000000010000006c060000000000006c060000010000006c0000000000000000000000120000001c0000000000000000000000f1010000f702000020454d46000001006c0600000c00000001000000000000000000000000000000900600001a040000b801000013010000000000000000000000000000c0b6060038320400460000002c00000020000000454d462b014001001c000000100000000210c0db01000000600000006000000046000000f4010000e8010000454d462b224004000c000000000000001e4009000c00000000000000244001000c000000000000003040020010000000040000000000803f214007000c000000000000000840000540010000340100000210c0db01000000000000000000000000000000000000000100000089504e470d0a1a0a0000000d49484452000000130000001d08030000007f84a78e000000017352474200aece1ce9000000097048597300000ec400000ec401952b0e1b00000042504c544500000000004800007400489c0074bf48000048007448489c489cdf74000074bfff9c48009cdfffbf7400bfffffdf9c48dfffffffbf74ffdf9cffffbfffffdfffffff25049bae0000006d4944415428cfbd90c70e80300c43cd2e23a583fcffafd2428a5a7164f8143d29896df05d789d6d33d01eb3eb10d4186cb362a608092af2c05cafc334185e2362b619f363add3bd7357b195a3f90f592dbc3c61c50f51347bcb4b9892e78bf9b15a245bd607413af8a5fbefd90e88f728711999dadb0000000049454e44ae42608200000840010824000000180000000210c0db01000000030000000000000000000000000000001b40000040000000340000000100000002000000000000bf000000bf000098410000e84103000000000080b3000080b3ffff9741000080b3000080b3ffffe7412100000008000000620000000c00000001000000150000000c00000004000000150000000c0000000400000051000000140300000000000000000000120000001c00000000000000000000000000000000000000130000001d0000005000000080000000d000000044020000000000002000cc00130000001d00000028000000130000001d0000000100080000000000000000000000000000000000160000000000000000000000ffffff00dfffff0000489c00bf7400009cdfff00000048009c480000ffffdf00df9c48000074bf0074004800ffffbf009c484800489cdf0074bfff00bfffff000000740074000000ffbf740048000000ffdf9c00010101010101010101010101010101010101010001010101010101010101010101010101010101000101010101010101010101010101010101010100010101010101010101010101010101010101010001010101010101010101010101010101010101000101010101010101010101010101010101010100010101010101010101010101010101010101010001010101010101010101010101010101010101000101010101010101010101010101010101010100010101010101010101010101010101010101010001010101010101010101010a000000000007080001010101010101010110111415010105060708000101010101010101010a0013010101010f070800010101010101010105060708010101010101010001010101010101010f000401010101010101010001010101010101010e000901010101010101010001010101010101010e000901010101010101010001010101010101010e000901010101010101010001020300000401010e000901010101010101010002030901010a09010f0004010101010101010100050b0c0101050d081011120c0101010101010100050b0c0101050d08010e0009010101010f07080002030901010a040101010a0009010105060708000102030000040101010101050600000000070800010101010101010101010101010101010101010001010101010101010101010101010101010101000101010101010101010101010101010101010100010101010101010101010101010101010101010001010101010101010101010101010101010101004c000000640000000000000000000000120000001c0000000000000000000000130000001d0000002900aa0000000000000000000000803f00000000000000000000803f0000000000000000000000000000000000000000000000000000000000000000220000000c000000ffffffff460000001c00000010000000454d462b024000000c000000000000000e000000140000000000000010000000140000000400000003010800050000000b0200000000050000000c021d001300030000001e00040000000701040004000000070104006f010000410b2000cc001d001300000000001d0013000000000028000000130000001d0000000100080000000000000000000000000000000000160000000000000000000000ffffff00dfffff0000489c00bf7400009cdfff00000048009c480000ffffdf00df9c48000074bf0074004800ffffbf009c484800489cdf0074bfff00bfffff000000740074000000ffbf740048000000ffdf9c00010101010101010101010101010101010101010001010101010101010101010101010101010101000101010101010101010101010101010101010100010101010101010101010101010101010101010001010101010101010101010101010101010101000101010101010101010101010101010101010100010101010101010101010101010101010101010001010101010101010101010101010101010101000101010101010101010101010101010101010100010101010101010101010101010101010101010001010101010101010101010a000000000007080001010101010101010110111415010105060708000101010101010101010a0013010101010f070800010101010101010105060708010101010101010001010101010101010f000401010101010101010001010101010101010e000901010101010101010001010101010101010e000901010101010101010001010101010101010e000901010101010101010001020300000401010e000901010101010101010002030901010a09010f0004010101010101010100050b0c0101050d081011120c0101010101010100050b0c0101050d08010e0009010101010f07080002030901010a040101010a0009010105060708000102030000040101010101050600000000070800010101010101010101010101010101010101010001010101010101010101010101010101010101000101010101010101010101010101010101010100010101010101010101010101010101010101010001010101010101010101010101010101010101000c00000040092900aa000000000000001d00130000000000040000002701ffff030000000000
K – коэффициент теплоотдачи, 010009000003ac0d000000000e08000000000e08000026060f001210574d4643010000000000010082950000000001000000f00f000000000000f00f0000010000006c0000000000000000000000510000001d0000000000000000000000630800001103000020454d4600000100f00f00000c00000001000000000000000000000000000000900600001a040000b801000013010000000000000000000000000000c0b6060038320400460000002c00000020000000454d462b014001001c000000100000000210c0db010000006000000060000000460000008403000078030000454d462b224004000c000000000000001e4009000c00000000000000244001000c000000000000003040020010000000040000000000803f214007000c0000000000000008400005d0020000c40200000210c0db01000000000000000000000000000000000000000100000089504e470d0a1a0a0000000d49484452000000520000001e08030000008868b9be000000017352474200aece1ce9000000097048597300000ec400000ec401952b0e1b0000008a504c544500000000004800007400489c0074740074bf48000048004848007448484848489c4874bf489cdf7400007400747474007474bf74bfdf74bfff9c48009c48749c74749c749c9c9c489c9c749c9cbf9c9cdf9cdfbf9cdfffbf7400bf7448bf7474bf9c9cbfffffdf9c48df9c74df9c9cdfbf74dfdfffdfffffffbf74ffbf9cffdf9cffffbfffffdfffffff3f44b248000001b54944415448c7ed95db5683301045d356502b684bbd56620d5a8909f9ffdf73663249b1062fb50fba56f35020c0ce99338754b8bd0ff17790dd428ceafd221f6ad74cdadd91b6ccb645be38674ed4eec82659a3391b2cdc968246f67d91a176f2945f343942c00c52a945813f03de389d14a92b22c29b12991219260f485f9814d540735322354d929f66daba0689301b9072ac3e4126456aae9691b61cab7e7bbc572687592960b5062da04b2f3218a2bd6b3801c4eeba0d8517e156446a94c708735c370518a1276b16a7593c763163b2c44e546ed31eae3b2225b78a6c9dac0b2747f7b3981c19bbf67c81a780fe68d016d296f06478501ecd70e24a750b5fb8c903a0bb23faea66acbe429abc0856026daae0f4b48a61dc88b4cb061ed1f345226c5b485fa12df140096dd01db6d0af47e3b506a49df5667a0178d71eeea847a20e9f291fac70c0f1d8429c562af97552c62392572569946a2a99ebb66594649790d0dbaae7447f70a87dd4e902b28072a8179ca9f9a562d52edc3779866b3dd5a97d00c5fb0f328c227e9984d1b4c34691808475ecb9c26814c98f8ca218b78d1fee6abff9a318d8d5fecfdfd9017940c6f10690bb8053b2e977580000000049454e44ae42608200000840010824000000180000000210c0db01000000030000000000000000000000000000001b40000040000000340000000100000002000000000000bf000000bf0000a4420000f04103000000000000b3000000b3ffffa342000000b3000000b3ffffef412100000008000000620000000c00000001000000150000000c00000004000000150000000c0000000400000051000000080b00000000000000000000510000001d00000000000000000000000000000000000000520000001e00000050000000e000000030010000d8090000000000002000cc00520000001e00000028000000520000001e00000001000800000000000000000000000000000000002e0000000000000000000000ffffff00dfffff0000489c0048000000ffdf9c004874bf00489cdf009c480000ffffdf00bfffff0000007400bf740000ffdfdf009cdfff0074004800ffffbf00bf7448000000480074bfff00df9c4800ffbf74000074bf009c484800740000009c749c004800480074bfdf00bfdf9c00bf7474009c9cdf00007474007474000074749c00bf9c9c007474bf00489c9c0048484800df9c9c00dfbf74009cbfff009c9cbf00749c9c0074489c00749cdf007400740001010101010101010101010101010101010101010101010101010101010101010101010101010101010101010101010101010101010101010101010101010101010101010101010101010101010101010101ffff01010101010101010101010101010101010101010101010101010101010101010101010101010101010101010101010101010101010101010101010101010101010101010101010101010101010101010101ffff01010101010101010101010101010101010101010101010101010101010101010101010101010101010101010101010101010101010101010101010101010101010101010101010101010101010101010101ffff01010101010101010101010101010101010101010101010101010101010101010101010101010101010101010101010101010101010101010101010101010101010101010101010101010101010101010101ffff01010101010101010101010101010101010101010101010101010101010101010101010101010101010101010101010101010101010101010101010101010101010101010101010101010101010101010101ffff01010101010101010101010101010101010101010101010101010101010101010101010101010101010101010101010101010101010101010101010101010101010101010101010101010101010101010101ffff01010101010101010101010101010101010101010101010101010101010101010101010101010101010101010101010101010101010101010101010101010101010101010101010101010101010101010101ffff010101010101010101010101010101010101010101010101010101010101010101010101010101010101010101010101010101010101010101010101010101010101010101010101010101010101010101019c48010101010101010101010101010101010101010101010101010101010a0b0c010101010101010101010101010101010101010101010101010101010101010101010101010101010101010101010101010101ffbf01010101010101010101010101010101010101010101010101010101010704050101010101010101010101010101010101010101010101010101010101010101010101010101010101010101010101010101ffff00000000000000001401010101070405010107181001011300040501010a0b140101010101010203001501010a2d10010a0b0014010101010101010101010101010101010101010101160000000000080901ffff011600150101020300181001010e1215010113001501010e12272b10010107181001010101010203001810010e120c010a0b0c2c050101010101010101010101010101010101010a0b040501010e12080901dfbf010e12140101010107000c010102030c01010a0b0c01010a0b0c010101010a0b1401010101010101010a260113042a1501160809010101010101010101010101010101010101011600150101010113080901000001020308090101010a0b0405010107181001011618100101161810010101011618100101010101010101290913040523100704050101010101010101010101010101010101010e1208090101010101010101ffff01010704050101010a0b04050101130014010107000c0101130015010101010e1214010101010101010128050718100a1d0e121401010101010101010101010101010101010113000c010101010101010101ffff01010e12140101010e12181001010a0b1710010e122515010a0b0c0101010101160809010101010101010a260718100113270308090101010101010101010101010101010101070014010101010101010101ffff01010a0b0809010a0b00150101010116201d010a0b08211002031810010101010e12150101010101010102221608090101232418100101010101010101010101010101010101070014010101010101010101ffff01010116000000000809010101010107081b140116041c1d010704050101010101160809010101010101011e1f080901010a0b0015010101010101010101010101010101010107001401010101010101010174ff01010113001501010e1218100101010e1a05071407040513081b0405010101010113001501010101010a0b00000c0101010113000c16000000001501010101020300000c010107001401010101010101010100480101010a0b0c0101010e12181001160000140107000809010e12181001010101010203080901010101010113000c0101010102030809130c010219090101020314010116140113000c010101010101010101000001010101161810010101160015010101010101010101010101010101010101010101130405010101010101010101010101010101010101130c01010101010e0f1001010e17090a0b18100101010101010101ffff0101010107040501010116001501010101010101010101010101010101010101010102030c01010101010101010101010101010101010101130c010101010e0f1001010e1709010700140101010113080901ff0001010101130014010113000809010101010101010101010101010101010101010101011304050101010101010101010101010101010101010113150101010203140101160c01010116001401010e12080901ffff01010a0b0000000000000c0101010101010101010101010101010101010101010101010a0b0c01010101010101010101010101010101010101010605010101020300000c01010101010e1200000000080901ffff010101010101010101010101010101010101010101010101010101010101010101010101070405010101010101010101010101010101010101010e1101010101010101010101010101010101010101010101ffff0101010101010101010101010101010101010101010101010101010101010101010101010a0b0c010101010101010101010101010101020d01010e0f10010101010101010101010101010101010101010101ffff01010101010101010101010101010101010101010101010101010101010101010101010101010101010101010101010101010101010101060501070809010101010101010101010101010101010101010101ffff01010101010101010101010101010101010101010101010101010101010101010101010101010101010101010101010101010101010101020300040501010101010101010101010101010101010101010101ffff01010101010101010101010101010101010101010101010101010101010101010101010101010101010101010101010101010101010101010101010101010101010101010101010101010101010101010101ffff01010101010101010101010101010101010101010101010101010101010101010101010101010101010101010101010101010101010101010101010101010101010101010101010101010101010101010101ffff4c000000640000000000000000000000510000001d0000000000000000000000520000001e0000002900aa0000000000000000000000803f00000000000000000000803f0000000000000000000000000000000000000000000000000000000000000000220000000c000000ffffffff460000001c00000010000000454d462b024000000c000000000000000e000000140000000000000010000000140000000400000003010800050000000b0200000000050000000c021e005200030000001e000400000007010400040000000701040069050000410b2000cc001e005200000000001e0052000000000028000000520000001e00000001000800000000000000000000000000000000002e0000000000000000000000ffffff00dfffff0000489c0048000000ffdf9c004874bf00489cdf009c480000ffffdf00bfffff0000007400bf740000ffdfdf009cdfff0074004800ffffbf00bf7448000000480074bfff00df9c4800ffbf74000074bf009c484800740000009c749c004800480074bfdf00bfdf9c00bf7474009c9cdf00007474007474000074749c00bf9c9c007474bf00489c9c0048484800df9c9c00dfbf74009cbfff009c9cbf00749c9c0074489c00749cdf007400740001010101010101010101010101010101010101010101010101010101010101010101010101010101010101010101010101010101010101010101010101010101010101010101010101010101010101010101ffff01010101010101010101010101010101010101010101010101010101010101010101010101010101010101010101010101010101010101010101010101010101010101010101010101010101010101010101ffff01010101010101010101010101010101010101010101010101010101010101010101010101010101010101010101010101010101010101010101010101010101010101010101010101010101010101010101ffff01010101010101010101010101010101010101010101010101010101010101010101010101010101010101010101010101010101010101010101010101010101010101010101010101010101010101010101ffff01010101010101010101010101010101010101010101010101010101010101010101010101010101010101010101010101010101010101010101010101010101010101010101010101010101010101010101ffff01010101010101010101010101010101010101010101010101010101010101010101010101010101010101010101010101010101010101010101010101010101010101010101010101010101010101010101ffff01010101010101010101010101010101010101010101010101010101010101010101010101010101010101010101010101010101010101010101010101010101010101010101010101010101010101010101ffff010101010101010101010101010101010101010101010101010101010101010101010101010101010101010101010101010101010101010101010101010101010101010101010101010101010101010101019c48010101010101010101010101010101010101010101010101010101010a0b0c010101010101010101010101010101010101010101010101010101010101010101010101010101010101010101010101010101ffbf01010101010101010101010101010101010101010101010101010101010704050101010101010101010101010101010101010101010101010101010101010101010101010101010101010101010101010101ffff00000000000000001401010101070405010107181001011300040501010a0b140101010101010203001501010a2d10010a0b0014010101010101010101010101010101010101010101160000000000080901ffff011600150101020300181001010e1215010113001501010e12272b10010107181001010101010203001810010e120c010a0b0c2c050101010101010101010101010101010101010a0b040501010e12080901dfbf010e12140101010107000c010102030c01010a0b0c01010a0b0c010101010a0b1401010101010101010a260113042a1501160809010101010101010101010101010101010101011600150101010113080901000001020308090101010a0b0405010107181001011618100101161810010101011618100101010101010101290913040523100704050101010101010101010101010101010101010e1208090101010101010101ffff01010704050101010a0b04050101130014010107000c0101130015010101010e1214010101010101010128050718100a1d0e121401010101010101010101010101010101010113000c010101010101010101ffff01010e12140101010e12181001010a0b1710010e122515010a0b0c0101010101160809010101010101010a260718100113270308090101010101010101010101010101010101070014010101010101010101ffff01010a0b0809010a0b00150101010116201d010a0b08211002031810010101010e12150101010101010102221608090101232418100101010101010101010101010101010101070014010101010101010101ffff01010116000000000809010101010107081b140116041c1d010704050101010101160809010101010101011e1f080901010a0b0015010101010101010101010101010101010107001401010101010101010174ff01010113001501010e1218100101010e1a05071407040513081b0405010101010113001501010101010a0b00000c0101010113000c16000000001501010101020300000c010107001401010101010101010100480101010a0b0c0101010e12181001160000140107000809010e12181001010101010203080901010101010113000c0101010102030809130c010219090101020314010116140113000c010101010101010101000001010101161810010101160015010101010101010101010101010101010101010101130405010101010101010101010101010101010101130c01010101010e0f1001010e17090a0b18100101010101010101ffff0101010107040501010116001501010101010101010101010101010101010101010102030c01010101010101010101010101010101010101130c010101010e0f1001010e1709010700140101010113080901ff0001010101130014010113000809010101010101010101010101010101010101010101011304050101010101010101010101010101010101010113150101010203140101160c01010116001401010e12080901ffff01010a0b0000000000000c0101010101010101010101010101010101010101010101010a0b0c01010101010101010101010101010101010101010605010101020300000c01010101010e1200000000080901ffff010101010101010101010101010101010101010101010101010101010101010101010101070405010101010101010101010101010101010101010e1101010101010101010101010101010101010101010101ffff0101010101010101010101010101010101010101010101010101010101010101010101010a0b0c010101010101010101010101010101020d01010e0f10010101010101010101010101010101010101010101ffff01010101010101010101010101010101010101010101010101010101010101010101010101010101010101010101010101010101010101060501070809010101010101010101010101010101010101010101ffff01010101010101010101010101010101010101010101010101010101010101010101010101010101010101010101010101010101010101020300040501010101010101010101010101010101010101010101ffff01010101010101010101010101010101010101010101010101010101010101010101010101010101010101010101010101010101010101010101010101010101010101010101010101010101010101010101ffff01010101010101010101010101010101010101010101010101010101010101010101010101010101010101010101010101010101010101010101010101010101010101010101010101010101010101010101ffff0c00000040092900aa000000000000001e00520000000000040000002701ffff030000000000
Определяем коэффициент теплоотдачи от конденсирующегося водяного пара к поверхности вертикальных труб

где H – высота труб, м;
– коэффициент теплоотдачи
от греющего пара к стенке,
;
– функция, зависящая от
температуры конденсации;
Δt – разность температур конденсации греющего пара и наружной поверхности труб со стороны пленки конденсата, 010009000003f004000000004c03000000004c03000026060f008e06574d46430100000000000100de1c00000000010000006c060000000000006c060000010000006c0000000000000000000000120000001c0000000000000000000000f1010000f702000020454d46000001006c0600000c00000001000000000000000000000000000000900600001a040000b801000013010000000000000000000000000000c0b6060038320400460000002c00000020000000454d462b014001001c000000100000000210c0db01000000600000006000000046000000f4010000e8010000454d462b224004000c000000000000001e4009000c00000000000000244001000c000000000000003040020010000000040000000000803f214007000c000000000000000840000540010000340100000210c0db01000000000000000000000000000000000000000100000089504e470d0a1a0a0000000d49484452000000130000001d08030000007f84a78e000000017352474200aece1ce9000000097048597300000ec400000ec401952b0e1b00000042504c544500000000004800007400489c0074bf48000048007448489c489cdf74000074bfff9c48009cdfffbf7400bfffffdf9c48dfffffffbf74ffdf9cffffbfffffdfffffff25049bae0000006d4944415428cfbd90c70e80300c43cd2e23a583fcffafd2428a5a7164f8143d29896df05d789d6d33d01eb3eb10d4186cb362a608092af2c05cafc334185e2362b619f363add3bd7357b195a3f90f592dbc3c61c50f51347bcb4b9892e78bf9b15a245bd607413af8a5fbefd90e88f728711999dadb0000000049454e44ae42608200000840010824000000180000000210c0db01000000030000000000000000000000000000001b40000040000000340000000100000002000000000000bf000000bf000098410000e84103000000000080b3000080b3ffff9741000080b3000080b3ffffe7412100000008000000620000000c00000001000000150000000c00000004000000150000000c0000000400000051000000140300000000000000000000120000001c00000000000000000000000000000000000000130000001d0000005000000080000000d000000044020000000000002000cc00130000001d00000028000000130000001d0000000100080000000000000000000000000000000000160000000000000000000000ffffff00dfffff0000489c00bf7400009cdfff00000048009c480000ffffdf00df9c48000074bf0074004800ffffbf009c484800489cdf0074bfff00bfffff000000740074000000ffbf740048000000ffdf9c00010101010101010101010101010101010101010001010101010101010101010101010101010101000101010101010101010101010101010101010100010101010101010101010101010101010101010001010101010101010101010101010101010101000101010101010101010101010101010101010100010101010101010101010101010101010101010001010101010101010101010101010101010101000101010101010101010101010101010101010100010101010101010101010101010101010101010001010101010101010101010a000000000007080001010101010101010110111415010105060708000101010101010101010a0013010101010f070800010101010101010105060708010101010101010001010101010101010f000401010101010101010001010101010101010e000901010101010101010001010101010101010e000901010101010101010001010101010101010e000901010101010101010001020300000401010e000901010101010101010002030901010a09010f0004010101010101010100050b0c0101050d081011120c0101010101010100050b0c0101050d08010e0009010101010f07080002030901010a040101010a0009010105060708000102030000040101010101050600000000070800010101010101010101010101010101010101010001010101010101010101010101010101010101000101010101010101010101010101010101010100010101010101010101010101010101010101010001010101010101010101010101010101010101004c000000640000000000000000000000120000001c0000000000000000000000130000001d0000002900aa0000000000000000000000803f00000000000000000000803f0000000000000000000000000000000000000000000000000000000000000000220000000c000000ffffffff460000001c00000010000000454d462b024000000c000000000000000e000000140000000000000010000000140000000400000003010800050000000b0200000000050000000c021d001300030000001e00040000000701040004000000070104006f010000410b2000cc001d001300000000001d0013000000000028000000130000001d0000000100080000000000000000000000000000000000160000000000000000000000ffffff00dfffff0000489c00bf7400009cdfff00000048009c480000ffffdf00df9c48000074bf0074004800ffffbf009c484800489cdf0074bfff00bfffff000000740074000000ffbf740048000000ffdf9c00010101010101010101010101010101010101010001010101010101010101010101010101010101000101010101010101010101010101010101010100010101010101010101010101010101010101010001010101010101010101010101010101010101000101010101010101010101010101010101010100010101010101010101010101010101010101010001010101010101010101010101010101010101000101010101010101010101010101010101010100010101010101010101010101010101010101010001010101010101010101010a000000000007080001010101010101010110111415010105060708000101010101010101010a0013010101010f070800010101010101010105060708010101010101010001010101010101010f000401010101010101010001010101010101010e000901010101010101010001010101010101010e000901010101010101010001010101010101010e000901010101010101010001020300000401010e000901010101010101010002030901010a09010f0004010101010101010100050b0c0101050d081011120c0101010101010100050b0c0101050d08010e0009010101010f07080002030901010a040101010a0009010105060708000102030000040101010101050600000000070800010101010101010101010101010101010101010001010101010101010101010101010101010101000101010101010101010101010101010101010100010101010101010101010101010101010101010001010101010101010101010101010101010101000c00000040092900aa000000000000001d00130000000000040000002701ffff030000000000.

где 0100090000039c0700000000c40400000000c404000026060f007e09574d46430100000000000100211000000000010000005c090000000000005c090000010000006c0000000000000000000000260000001c0000000000000000000000fc030000f702000020454d46000001005c0900000c00000001000000000000000000000000000000900600001a040000b801000013010000000000000000000000000000c0b6060038320400460000002c00000020000000454d462b014001001c000000100000000210c0db010000006000000060000000460000007c02000070020000454d462b224004000c000000000000001e4009000c00000000000000244001000c000000000000003040020010000000040000000000803f214007000c0000000000000008400005c8010000bc0100000210c0db01000000000000000000000000000000000000000100000089504e470d0a1a0a0000000d49484452000000270000001d08030000001e9c85cc000000017352474200aece1ce9000000097048597300000ec400000ec401952b0e1b0000005d504c544500000000004800007400489c0074bf48000048007448489c489cdf7400007400747474bf749c9c749cdf74bfff9c48009c48489c48749cbf9c9cdfffbf7400bfffdfbfffffdf9c48dfffffffbf74ffbf9cffdf9cffffbfffffdfffffff8645831c000000d94944415438cbdd93d11282201045d782422bb4249000ffff33dbbb4e4e4fcab33ba3e3e2e1b27b019aeb820ec4256dabb8d08c355c6e4fbe827384384fbb7a499baa3e22d92ace5594c75ce9376b2bbd59b8a4d5b65450c245da6b231a7081db284f9f74334a09b925f63d691e8e0a6e88698b9ee319e9e23faf8b8f0c45e09d9f839925e5077d90181355be6173ac4c815619464917ee178ee00fa4e6c02f279b243d04feb172b97b0f7c1c7829d1c4b22ce924357fe78f07d3758254e9513e7fbbfb83f5167f570e331d59540b9f5817005275b4fb56135fda917796a39671030000000049454e44ae4260820000000840010824000000180000000210c0db01000000030000000000000000000000000000001b40000040000000340000000100000002000000000000bf000000bf00001c420000e84103000000000000b3000000b3ffff1b42000000b3000000b3ffffe7412100000008000000620000000c00000001000000150000000c00000004000000150000000c00000004000000510000007c0500000000000000000000260000001c00000000000000000000000000000000000000270000001d00000050000000a4000000f400000088040000000000002000cc00270000001d00000028000000270000001d00000001000800000000000000000000000000000000001f0000000000000000000000ffffff009cdfff0000004800ffbf7400489cdf0048000000ffdf9c00bfffff000000740074000000ffffbf000074bf009c480000ffffdf00df9c480074bfff00dfffff0000489c00bf74000074489c00740048009cbfff009cbf9c0074007400bf74740048489c00dfffbf009c4848009c9c7400df9c740001010101010101010101010101010101010101010101010101010101010101010101010101010101010101010101010101010101010101010101010101010101010101010101010101010101010101010101010101010101010101010101010101010101010101010101010101010101010101010101010101010101010101010101010101010101010101010101010101010101010101010101010101010101010101010101010101010101010101010101010101010101010101010101010101010101010101010101010101010101010101010101010101010101010101010101010101010101010101010101010101010101010101010c0f01010c0004111200000f010101050f0111120d0e111200001301010101010101010101010101101301021c0e01050d0e1112130101021c0e010c1d1e05130111120d0e010101010101010101010108181b1a070101050f01010809040108180b011013010c0f010108090f0101010101010101010101010c000a0b0101100d0e0101050d0e010c0000000d0e0513010101050a0b0101011112000004010101101308190101080904010102150b01101301111a07080904010110060701010110000f010c0f010102150b1617150b10060701100d0e0108180b01050f01100607011006070120010500040111140b0203060711120d0e01080900060701020300040110130101020300000d0e01130110000f01010101010101010101010101010101010101010101010101010101010101100f010110010203130101010101010101010101010101010101010101010101010101010101010513010101010111120d0e01010101010101010101010101010101010101010101010101010111120f010101010101010c0a0b01010101010101010101010101010101010101010101010101010101010101010101010101100004010101010101010101010101010101010101010101010101010101010101010101010e010102030f0101010101010101010101010101010101010101010101010101010101010101010101010c00000000000d0e01010101010101010101010101010101010101010101010101010101010101010108090a0b0101010101010101010101010101010101010101010101010101010101010101010101010105060701010101010101010101010101010101010101010101010101010101010101010101010101020304010101010101010101010101010101010101010101010101010101010101010101010101010101010101010101010101010101010101010101010101010101010101010101010101010101010101010101010101010101010101010101010101010101010101010101010101010101010101010101010101010101010101010101010101010101010101010101010101010101010101010101010101010101010101010101010101010101010101010101010101010101010101010101010101010101010101010101010101010101010101010101010101010101010101010101010101010101010101010101010101010101010101010101010101010101010101010101010101010101010101010101014c000000640000000000000000000000260000001c0000000000000000000000270000001d0000002900aa0000000000000000000000803f00000000000000000000803f0000000000000000000000000000000000000000000000000000000000000000220000000c000000ffffffff460000001c00000010000000454d462b024000000c000000000000000e000000140000000000000010000000140000000400000003010800050000000b0200000000050000000c021d002700030000001e0004000000070104000400000007010400a3020000410b2000cc001d002700000000001d0027000000000028000000270000001d00000001000800000000000000000000000000000000001f0000000000000000000000ffffff009cdfff0000004800ffbf7400489cdf0048000000ffdf9c00bfffff000000740074000000ffffbf000074bf009c480000ffffdf00df9c480074bfff00dfffff0000489c00bf74000074489c00740048009cbfff009cbf9c0074007400bf74740048489c00dfffbf009c4848009c9c7400df9c740001010101010101010101010101010101010101010101010101010101010101010101010101010101010101010101010101010101010101010101010101010101010101010101010101010101010101010101010101010101010101010101010101010101010101010101010101010101010101010101010101010101010101010101010101010101010101010101010101010101010101010101010101010101010101010101010101010101010101010101010101010101010101010101010101010101010101010101010101010101010101010101010101010101010101010101010101010101010101010101010101010101010101010c0f01010c0004111200000f010101050f0111120d0e111200001301010101010101010101010101101301021c0e01050d0e1112130101021c0e010c1d1e05130111120d0e010101010101010101010108181b1a070101050f01010809040108180b011013010c0f010108090f0101010101010101010101010c000a0b0101100d0e0101050d0e010c0000000d0e0513010101050a0b0101011112000004010101101308190101080904010102150b01101301111a07080904010110060701010110000f010c0f010102150b1617150b10060701100d0e0108180b01050f01100607011006070120010500040111140b0203060711120d0e01080900060701020300040110130101020300000d0e01130110000f01010101010101010101010101010101010101010101010101010101010101100f010110010203130101010101010101010101010101010101010101010101010101010101010513010101010111120d0e01010101010101010101010101010101010101010101010101010111120f010101010101010c0a0b01010101010101010101010101010101010101010101010101010101010101010101010101100004010101010101010101010101010101010101010101010101010101010101010101010e010102030f0101010101010101010101010101010101010101010101010101010101010101010101010c00000000000d0e01010101010101010101010101010101010101010101010101010101010101010108090a0b0101010101010101010101010101010101010101010101010101010101010101010101010105060701010101010101010101010101010101010101010101010101010101010101010101010101020304010101010101010101010101010101010101010101010101010101010101010101010101010101010101010101010101010101010101010101010101010101010101010101010101010101010101010101010101010101010101010101010101010101010101010101010101010101010101010101010101010101010101010101010101010101010101010101010101010101010101010101010101010101010101010101010101010101010101010101010101010101010101010101010101010101010101010101010101010101010101010101010101010101010101010101010101010101010101010101010101010101010101010101010101010101010101010101010101010101010101010101010c00000040092900aa000000000000001d00270000000000040000002701ffff030000000000 – температура конденсации
;
– температура наружной
поверхности труб, 010009000003f004000000004c03000000004c03000026060f008e06574d46430100000000000100de1c00000000010000006c060000000000006c060000010000006c0000000000000000000000120000001c0000000000000000000000f1010000f702000020454d46000001006c0600000c00000001000000000000000000000000000000900600001a040000b801000013010000000000000000000000000000c0b6060038320400460000002c00000020000000454d462b014001001c000000100000000210c0db01000000600000006000000046000000f4010000e8010000454d462b224004000c000000000000001e4009000c00000000000000244001000c000000000000003040020010000000040000000000803f214007000c000000000000000840000540010000340100000210c0db01000000000000000000000000000000000000000100000089504e470d0a1a0a0000000d49484452000000130000001d08030000007f84a78e000000017352474200aece1ce9000000097048597300000ec400000ec401952b0e1b00000042504c544500000000004800007400489c0074bf48000048007448489c489cdf74000074bfff9c48009cdfffbf7400bfffffdf9c48dfffffffbf74ffdf9cffffbfffffdfffffff25049bae0000006d4944415428cfbd90c70e80300c43cd2e23a583fcffafd2428a5a7164f8143d29896df05d789d6d33d01eb3eb10d4186cb362a608092af2c05cafc334185e2362b619f363add3bd7357b195a3f90f592dbc3c61c50f51347bcb4b9892e78bf9b15a245bd607413af8a5fbefd90e88f728711999dadb0000000049454e44ae42608200000840010824000000180000000210c0db01000000030000000000000000000000000000001b40000040000000340000000100000002000000000000bf000000bf000098410000e84103000000000080b3000080b3ffff9741000080b3000080b3ffffe7412100000008000000620000000c00000001000000150000000c00000004000000150000000c0000000400000051000000140300000000000000000000120000001c00000000000000000000000000000000000000130000001d0000005000000080000000d000000044020000000000002000cc00130000001d00000028000000130000001d0000000100080000000000000000000000000000000000160000000000000000000000ffffff00dfffff0000489c00bf7400009cdfff00000048009c480000ffffdf00df9c48000074bf0074004800ffffbf009c484800489cdf0074bfff00bfffff000000740074000000ffbf740048000000ffdf9c00010101010101010101010101010101010101010001010101010101010101010101010101010101000101010101010101010101010101010101010100010101010101010101010101010101010101010001010101010101010101010101010101010101000101010101010101010101010101010101010100010101010101010101010101010101010101010001010101010101010101010101010101010101000101010101010101010101010101010101010100010101010101010101010101010101010101010001010101010101010101010a000000000007080001010101010101010110111415010105060708000101010101010101010a0013010101010f070800010101010101010105060708010101010101010001010101010101010f000401010101010101010001010101010101010e000901010101010101010001010101010101010e000901010101010101010001010101010101010e000901010101010101010001020300000401010e000901010101010101010002030901010a09010f0004010101010101010100050b0c0101050d081011120c0101010101010100050b0c0101050d08010e0009010101010f07080002030901010a040101010a0009010105060708000102030000040101010101050600000000070800010101010101010101010101010101010101010001010101010101010101010101010101010101000101010101010101010101010101010101010100010101010101010101010101010101010101010001010101010101010101010101010101010101004c000000640000000000000000000000120000001c0000000000000000000000130000001d0000002900aa0000000000000000000000803f00000000000000000000803f0000000000000000000000000000000000000000000000000000000000000000220000000c000000ffffffff460000001c00000010000000454d462b024000000c000000000000000e000000140000000000000010000000140000000400000003010800050000000b0200000000050000000c021d001300030000001e00040000000701040004000000070104006f010000410b2000cc001d001300000000001d0013000000000028000000130000001d0000000100080000000000000000000000000000000000160000000000000000000000ffffff00dfffff0000489c00bf7400009cdfff00000048009c480000ffffdf00df9c48000074bf0074004800ffffbf009c484800489cdf0074bfff00bfffff000000740074000000ffbf740048000000ffdf9c00010101010101010101010101010101010101010001010101010101010101010101010101010101000101010101010101010101010101010101010100010101010101010101010101010101010101010001010101010101010101010101010101010101000101010101010101010101010101010101010100010101010101010101010101010101010101010001010101010101010101010101010101010101000101010101010101010101010101010101010100010101010101010101010101010101010101010001010101010101010101010a000000000007080001010101010101010110111415010105060708000101010101010101010a0013010101010f070800010101010101010105060708010101010101010001010101010101010f000401010101010101010001010101010101010e000901010101010101010001010101010101010e000901010101010101010001010101010101010e000901010101010101010001020300000401010e000901010101010101010002030901010a09010f0004010101010101010100050b0c0101050d081011120c0101010101010100050b0c0101050d08010e0009010101010f07080002030901010a040101010a0009010105060708000102030000040101010101050600000000070800010101010101010101010101010101010101010001010101010101010101010101010101010101000101010101010101010101010101010101010100010101010101010101010101010101010101010001010101010101010101010101010101010101000c00000040092900aa000000000000001d00130000000000040000002701ffff030000000000
.





Коэффициент теплоотдачи от стенки труб к кипящему раствору

или

где 0100090000038c0500000000a60300000000a603000026060f004207574d46430100000000000100f3ce0000000001000000200700000000000020070000010000006c0000000000000000000000150000001c00000000000000000000003f020000f702000020454d4600000100200700000c00000001000000000000000000000000000000900600001a040000b801000013010000000000000000000000000000c0b6060038320400460000002c00000020000000454d462b014001001c000000100000000210c0db010000006000000060000000460000002402000018020000454d462b224004000c000000000000001e4009000c00000000000000244001000c000000000000003040020010000000040000000000803f214007000c000000000000000840000570010000640100000210c0db01000000000000000000000000000000000000000100000089504e470d0a1a0a0000000d49484452000000160000001d080300000099ad6cca000000017352474200aece1ce9000000097048597300000ec400000ec401952b0e1b0000004e504c544500000000004800007400489c0074bf4800004800744874bf489cdf74000074bfff9c48009c48489c749c9cdfffbf7400bf7448bfffffdf9c48dfdfffdfffffffbf74ffdf9cffffbfffffdfffffff225f1c8a000000904944415428cfbdd1cb1283200c40d1d86a0bd812a5f2faff1f3588168b59b8a92ccf4ceec408917df07ff612401cd8752a22a89af136d280a8d8cb966bdb9fee97cd3e5b38a58fece57d62d875251d7a687466b36b0c3a1a9a250e2f9d09550c1f1a7e8c890dc0b209aecbbb2745d235f2db52436af762f99ea2567187b52d77efac359386f75433c2bad5057ffe24cf63f4383af28009b50000000049454e44ae4260820000000840010824000000180000000210c0db01000000030000000000000000000000000000001b40000040000000340000000100000002000000000000bf000000bf0000b0410000e84103000000000000b3000000b3ffffaf41000000b3000000b3ffffe7412100000008000000620000000c00000001000000150000000c00000004000000150000000c0000000400000051000000980300000000000000000000150000001c00000000000000000000000000000000000000160000001d0000005000000090000000e0000000b8020000000000002000cc00160000001d00000028000000160000001d00000001000800000000000000000000000000000000001a0000000000000000000000ffffff00bfffff0000007400df9c48009cdfff0000004800ffbf74000074bf0074000000ffffbf00bf74000074bfff00489cdf009c480000ffffdf00dfffff0000489c0048000000ffdf9c004874bf0048489c00ffdfdf0074004800bf7448009c749c0001010101010101010101010101010101010101010101010101010101010101010101010101010101010101010101010101010101010101010101010101010101010101010101010101010101010101010101010101010101010101010101010101010101010101010101010101010101010101010101010101010101010101010101010101010101010101010101010101010101010101010101010101080000000007010101010101010101010101010101010101010c0b0110190f010101010101010101010101010101010101010c0b01010101010101010101010101010101010101010101010c0b01010101010111040101010c000000090a0101010101010c07010101070802030000000000000000090a01010101010114130101070801010d00000007010101080b01010101010105180101070801011015130101010101010807011016010105170a0101010101010d090a0101010101010101011413010d0e0f01010101010105060401010101010101010110110012130101010101010102030e0f01010101010101010101010101010101010101010108090a0101010101010101010101010101010101010101010d00070101010101010101010101010101010101010101010c000401010101010101010101010101010101010101010102030b0101010101010101010101010101010101010101010108090a010203040101010101010101010107080101010101050607010800070101010101010101010107080101010101010203000004010101010101010101010107080101010101010101010101010101010101010101010101010101010101010101010101010101010101010101010101010101010101010101010101010101010101010101010101010101010101010101010101010101010101010101010101010101010101010101010101010101010101010101010101014c000000640000000000000000000000150000001c0000000000000000000000160000001d0000002900aa0000000000000000000000803f00000000000000000000803f0000000000000000000000000000000000000000000000000000000000000000220000000c000000ffffffff460000001c00000010000000454d462b024000000c000000000000000e000000140000000000000010000000140000000400000003010800050000000b0200000000050000000c021d001600030000001e0004000000070104000400000007010400b1010000410b2000cc001d001600000000001d0016000000000028000000160000001d00000001000800000000000000000000000000000000001a0000000000000000000000ffffff00bfffff0000007400df9c48009cdfff0000004800ffbf74000074bf0074000000ffffbf00bf74000074bfff00489cdf009c480000ffffdf00dfffff0000489c0048000000ffdf9c004874bf0048489c00ffdfdf0074004800bf7448009c749c0001010101010101010101010101010101010101010101010101010101010101010101010101010101010101010101010101010101010101010101010101010101010101010101010101010101010101010101010101010101010101010101010101010101010101010101010101010101010101010101010101010101010101010101010101010101010101010101010101010101010101010101010101080000000007010101010101010101010101010101010101010c0b0110190f010101010101010101010101010101010101010c0b01010101010101010101010101010101010101010101010c0b01010101010111040101010c000000090a0101010101010c07010101070802030000000000000000090a01010101010114130101070801010d00000007010101080b01010101010105180101070801011015130101010101010807011016010105170a0101010101010d090a0101010101010101011413010d0e0f01010101010105060401010101010101010110110012130101010101010102030e0f01010101010101010101010101010101010101010108090a0101010101010101010101010101010101010101010d00070101010101010101010101010101010101010101010c000401010101010101010101010101010101010101010102030b0101010101010101010101010101010101010101010108090a010203040101010101010101010107080101010101050607010800070101010101010101010107080101010101010203000004010101010101010101010107080101010101010101010101010101010101010101010101010101010101010101010101010101010101010101010101010101010101010101010101010101010101010101010101010101010101010101010101010101010101010101010101010101010101010101010101010101010101010101010101010c00000040092900aa000000000000001d00160000000000040000002701ffff030000000000 – коэффициент теплоотдачи от стенки к раствору,
;
– безразмерный коэффициент,
зависящий только от
отношения плотностей жидкости и пара;
λ
– коэффициент теплопроводности раствора,
;
ρ – плотность раствора, 0100090000037e0900000000d00500000000d005000026060f00960b574d46430100000000000100665f0000000001000000740b000000000000740b0000010000006c0000000000000000000000330000001d0000000000000000000000510500001103000020454d4600000100740b00000c00000001000000000000000000000000000000900600001a040000b801000013010000000000000000000000000000c0b6060038320400460000002c00000020000000454d462b014001001c000000100000000210c0db01000000600000006000000046000000e8020000dc020000454d462b224004000c000000000000001e4009000c00000000000000244001000c000000000000003040020010000000040000000000803f214007000c000000000000000840000534020000280200000210c0db01000000000000000000000000000000000000000100000089504e470d0a1a0a0000000d49484452000000340000001e08030000005491cd89000000017352474200aece1ce9000000097048597300000ec400000ec401952b0e1b00000072504c544500000000004800007400489c0074bf48000048489c489cdf74000074004874007474489c7474007474bf749cdf74bfdf74bfff9c48009c9c489c9c749c9cbf9c9cdf9cdfffbf7400bf7474bf9c9cbfffffdf9c48df9c74df9c9cdfffffffbf74ffbf9cffdf9cffdfdfffffbfffffdfffffff25cfa6d2000001314944415438cbed94dd52c4200c8559970afe53dda56b512a02efff8a2681165486197566afec4587097c3927092d8bbf78d81920c398fa29e4eea3d9db1ee425ff1a7ab771e15d25b3d3df8313efd6d4108a1395d481969650182fe60e1446ded4bfd21da82904d08d2568611cdd8ae4994ca310b436d18c570143357989e7960770e3a5caa6f1a8caed60090216264ba94969a7c3214f015225685a85e2eb2d2e0156f53582fd175d1a4d7b6e588f8403f1a7c7942c4368406c03cd5b45c81f3106f6b70842e02e1f09e34abb614bf3a601f2775504218825335593a7e2e5d942fc347fba538c8688525e8a5258591e21d993aafc22442af8f212d3bb4b5b2a03bfb072034e83976645460760776fdd007348ed15eb55c23efbeb19bb25fa5fae69dfa02ed4fa26ceff63f987fe0e7d0005e4cad7b36684a20000000049454e44ae42608200000840010824000000180000000210c0db01000000030000000000000000000000000000001b40000040000000340000000100000002000000000000bf000000bf000050420000f04103000000000000b3000000b3ffff4f42000000b3000000b3ffffef412100000008000000620000000c00000001000000150000000c00000004000000150000000c0000000400000051000000280700000000000000000000330000001d00000000000000000000000000000000000000340000001e00000050000000c00000001001000018060000000000002000cc00340000001e00000028000000340000001e0000000100080000000000000000000000000000000000260000000000000000000000ffffff00489cdf00ffbf74009cdfff00df9c74009c480000ffffdf00bfffff0000007400bf740000dfdfff0074bfff0048000000ffdf9c000074bf00dfffff0000489c0074000000ffffbf00480074009c487400df9c4800dfbf7400bf9c9c009c9cdf0000747400749cdf00000048007474bf00489c9c00df9c9c009cbfff00bf7474009c9cbf00749c9c009c48480074007400010101010101010101010101010101010101010101010101010101010101010101010101010101010101010101010101010101010101010101010101010101010101010101010101010101010101010101010101010101010101010101010101010101010101010101010101010101010101010101010101010101010101010101010101010101010101010101010101010101010101010101010101010101010101010101010101010101010101010101010101010101010101010101010101010101010101010101010101010101010101010101010101010101010101010101010101010101010101010101010101010101010101010101010101010101010101010101010101010101010101010101010101010101010101010101010101010101010101010101010101010101010101010101010101010101010101010101010101010101010101010101010101010101010101010101010101010101010101010101010101010101010101010101010101010101010101010101010101010101010101010101010101010101010101010101010101010101010101010101010101010101010101010101010101010108090a0101010101010101010101010101010101010101010101010101010101010101010101010101010101010101010101010101020d0e01010101010101010101010101010101010101010101010101010101010102121301011011000607041c00000006070101080916010101010101101100030101082513010809001601010101010101010101041c030101041c030108091213010104240701010212130101010101101100121301041c0a0108090a1b0e01010101010101010110110a01010f06070108091601010101010101010809160101010101010101081f010c0d2303010f06070101010101010101010101021213041c030101010c0d0e01010101010101010f1213010101010101010122070c0d0e1d13020d0e01010101010101010101010c0d0e0f06070101010110110016010101010101041c160101010101010101200e0212130821041c1601010101010101010101010809000016010101010101010102121301010101010f060701010101010101081f021213010c1711060701010101010101010101010f06071b0e010101010101010108090301010101041c030101010101010110180f060701011d1e121301010101010101010101010c0d0e1018010101010b07010101021213010101010f060701010101010101191a06070101080900030101010101010101010809000003010c17110a010809030110111213010101010c00030101010101080900000a010101010c000a02000000160101010101010c000a01010f00160101010f000000030101010101101106070101010101010c000a010101011011060701010102030101010101010101010101010101010101010101010101010101010c0d0e0101010101010101010101010101010101010101081507010101010101010101010101010101010101010101010101010110110a010101010101010101010101010101010101010108140e0101010101010101010101010101010101010101010101010101010c0d0e0101010101010101010101010101010101011011121301010101010101010101010101010101010101010101010101010108090a01010101010101010101010101010101010f0000030101010101010101010101010101010101010101010101010101010101020d0e0101010101010101010101010101010101010f0a010101010101010101010101010101010101010101010101010101010108090a010101010101010101010101010101010b07010c0a0101010101010101010101010101010101010101010101010101010101010101010101010101010101010101010101040501020607010101010101010101010101010101010101010101010101010101010101010101010101010101010101010101010102000003010101010101010101010101010101010101010101010101010101010101010101010101010101010101010101010101010101010101010101010101010101010101010101010101010101010101010101010101010101010101010101010101010101010101010101014c000000640000000000000000000000330000001d0000000000000000000000340000001e0000002900aa0000000000000000000000803f00000000000000000000803f0000000000000000000000000000000000000000000000000000000000000000220000000c000000ffffffff460000001c00000010000000454d462b024000000c000000000000000e000000140000000000000010000000140000000400000003010800050000000b0200000000050000000c021e003400030000001e000400000007010400040000000701040079030000410b2000cc001e003400000000001e0034000000000028000000340000001e0000000100080000000000000000000000000000000000260000000000000000000000ffffff00489cdf00ffbf74009cdfff00df9c74009c480000ffffdf00bfffff0000007400bf740000dfdfff0074bfff0048000000ffdf9c000074bf00dfffff0000489c0074000000ffffbf00480074009c487400df9c4800dfbf7400bf9c9c009c9cdf0000747400749cdf00000048007474bf00489c9c00df9c9c009cbfff00bf7474009c9cbf00749c9c009c48480074007400010101010101010101010101010101010101010101010101010101010101010101010101010101010101010101010101010101010101010101010101010101010101010101010101010101010101010101010101010101010101010101010101010101010101010101010101010101010101010101010101010101010101010101010101010101010101010101010101010101010101010101010101010101010101010101010101010101010101010101010101010101010101010101010101010101010101010101010101010101010101010101010101010101010101010101010101010101010101010101010101010101010101010101010101010101010101010101010101010101010101010101010101010101010101010101010101010101010101010101010101010101010101010101010101010101010101010101010101010101010101010101010101010101010101010101010101010101010101010101010101010101010101010101010101010101010101010101010101010101010101010101010101010101010101010101010101010101010101010101010101010101010101010101010101010108090a0101010101010101010101010101010101010101010101010101010101010101010101010101010101010101010101010101020d0e01010101010101010101010101010101010101010101010101010101010102121301011011000607041c00000006070101080916010101010101101100030101082513010809001601010101010101010101041c030101041c030108091213010104240701010212130101010101101100121301041c0a0108090a1b0e01010101010101010110110a01010f06070108091601010101010101010809160101010101010101081f010c0d2303010f06070101010101010101010101021213041c030101010c0d0e01010101010101010f1213010101010101010122070c0d0e1d13020d0e01010101010101010101010c0d0e0f06070101010110110016010101010101041c160101010101010101200e0212130821041c1601010101010101010101010809000016010101010101010102121301010101010f060701010101010101081f021213010c1711060701010101010101010101010f06071b0e010101010101010108090301010101041c030101010101010110180f060701011d1e121301010101010101010101010c0d0e1018010101010b07010101021213010101010f060701010101010101191a06070101080900030101010101010101010809000003010c17110a010809030110111213010101010c00030101010101080900000a010101010c000a02000000160101010101010c000a01010f00160101010f000000030101010101101106070101010101010c000a010101011011060701010102030101010101010101010101010101010101010101010101010101010c0d0e0101010101010101010101010101010101010101081507010101010101010101010101010101010101010101010101010110110a010101010101010101010101010101010101010108140e0101010101010101010101010101010101010101010101010101010c0d0e0101010101010101010101010101010101011011121301010101010101010101010101010101010101010101010101010108090a01010101010101010101010101010101010f0000030101010101010101010101010101010101010101010101010101010101020d0e0101010101010101010101010101010101010f0a010101010101010101010101010101010101010101010101010101010108090a010101010101010101010101010101010b07010c0a0101010101010101010101010101010101010101010101010101010101010101010101010101010101010101010101040501020607010101010101010101010101010101010101010101010101010101010101010101010101010101010101010101010102000003010101010101010101010101010101010101010101010101010101010101010101010101010101010101010101010101010101010101010101010101010101010101010101010101010101010101010101010101010101010101010101010101010101010101010101010c00000040092900aa000000000000001e00340000000000040000002701ffff030000000000;
μ – коэффициент динамической вязкости, Па·с;
σ – коэффициент поверхностного натяжения, 0100090000032c08000000001605000000001605000026060f00220a574d464301000000000001000dda0000000001000000000a000000000000000a0000010000006c0000000000000000000000280000001c000000000000000000000031040000f702000020454d4600000100000a00000c00000001000000000000000000000000000000900600001a040000b801000013010000000000000000000000000000c0b6060038320400460000002c00000020000000454d462b014001001c000000100000000210c0db01000000600000006000000046000000a402000098020000454d462b224004000c000000000000001e4009000c00000000000000244001000c000000000000003040020010000000040000000000803f214007000c0000000000000008400005f0010000e40100000210c0db01000000000000000000000000000000000000000100000089504e470d0a1a0a0000000d49484452000000290000001d08030000000055b57f000000017352474200aece1ce9000000097048597300000ec400000ec401952b0e1b00000063504c544500000000004800007400489c0074bf480000489cdf7400007400747474007474bf74bfdf74bfff9c48009c9c489c9c749c9cbf9c9cdf9cdfffbf7400bf7474bf9c9cbfffffdf9c48df9c74df9c9cdfffffffbf74ffbf9cffdf9cffffbfffffdfffffffe8ef54c4000000fe4944415438cbe553c91682300c8ccae2022ea05445dafeff573a691a783e7ae0a4077369492693491ac82f35fa22d296d942a4593573a4ab09068a96cfcd334d299c7d8c0ff9ba13773fa314a4a14ae25488d7d559baa33652b5ca94a00c4815e56a11315d50255307854f293ee499c6ab382a1224273032f41c4c00be554affd8f1151915236d29015747b9431e33bc3b87a4eb1111e240f1f92c13a5bd1860fa03eba6e93974469a097b3540da7df0d0545467a43383dd9e98d7b50b5c3476ac726d3952da0b267baa440ea173d16f62711329b10eb8310f1ab8379ee2560c394e2e325202090abbed78484562eb4ce22193fb9958b71ffc47ff807c03e6ae81b00c8ba4f80000000049454e44ae4260820840010824000000180000000210c0db01000000030000000000000000000000000000001b40000040000000340000000100000002000000000000bf000000bf000024420000e84103000000000080b3000080b3ffff2342000080b3000080b3ffffe7412100000008000000620000000c00000001000000150000000c00000004000000150000000c0000000400000051000000f80500000000000000000000280000001c00000000000000000000000000000000000000290000001d00000050000000ac000000fc000000fc040000000000002000cc00290000001d00000028000000290000001d0000000100080000000000000000000000000000000000210000000000000000000000ffffff00bfffff0000007400bf740000489cdf0048000000ffdf9c00dfffff0000489c000074bf009c480000ffffdf0074bfff009cdfff000000480074000000ffffbf00ffbf7400df9c48009c9cdf0000747400bf9c9c007474bf00489c9c00df9c9c00dfbf74009cbfff00bf7474009c9cbf00749c9c00749cdf00740074000101010101010101010101010101010101010101010101010101010101010101010101010101010101ffffff0101010101010101010101010101010101010101010101010101010101010101010101010101010101ffffff0101010101010101010101010101010101010101010101010101010101010101010101010101010101ffffff0101010101010101010101010101010101010101010101010101010101010101010101010101010101ffffff0101010101010101010101010101010101010101010101010101010101010101010101010101010101ffffff0101010101010101010101010101010101010101010101010101010101010101010101010101010101ffdfff0101010101010101010101010101010101010101010101010101010101010101010101010101010101df9cff0101010101010101010101010101010101010101010101010101010101010101010101010101010101df9cff0101010101010101010101010101010203040101010101010101010101010101010101010101010101ffdfff0101010101010101010101010101010105060701010101010101010101010101010101010101010101ffffff000000000b0c010e0f0000000607010102031301010101010108090012010102201101020300130101ffffff010a00120101010101050013010101010105101101010101010809001011010e0f04010203041f0701ffffff010e0f04010101010102030b0c0101010102031301010101010101010219010d061e12010a0b0c0101ffffff010809101101010101010a060701010101010a101101010101010101011d0c0d060717110506070101ffbfff010105060701010101010d001301010101010e0f1301010101010101011b07051011021c0e0f130101df9cff01010e0f1301010101010203040101010101010a0b0c010101010101010219051011010d1a090b0c01df9cff010102030b0c010101010809101101010101010e0f120101010101010108160a0b0c01011718101101ffdfff0101010a000000000000000000120101010101010a0b0c0101010101010114150b0c01010203001201ffffff0101010d001201010101010e0f040101010101010d001201010101010203000004010101010d000401ffffff010101020304010101010108090b0c010101010108090b0c0101010101010d00040101010108090b0cffffff010101010a101101010101010a06070101010101010d06070101010101010101010101010101010101ffffff0101010105001201010101010d00130101010101010809040101010101010101010101010101010101ffffff010101010d000b0c010101010e0f10110101010101010d060701010101010101010101010101010101ffffff01010809000000000401010a000000000b0c0101010102030401010101010101010101010101010101ffffff0101010101010101010101010101010101010101010101050607010101010101010101010101010101ffffff0101010101010101010101010101010101010101010101020304010101010101010101010101010101ffffff0101010101010101010101010101010101010101010101010101010101010101010101010101010101ffffff0101010101010101010101010101010101010101010101010101010101010101010101010101010101ffffff0101010101010101010101010101010101010101010101010101010101010101010101010101010101ffffff4c000000640000000000000000000000280000001c0000000000000000000000290000001d0000002900aa0000000000000000000000803f00000000000000000000803f0000000000000000000000000000000000000000000000000000000000000000220000000c000000ffffffff460000001c00000010000000454d462b024000000c000000000000000e000000140000000000000010000000140000000400000003010800050000000b0200000000050000000c021d002900030000001e0004000000070104000400000007010400e1020000410b2000cc001d002900000000001d0029000000000028000000290000001d0000000100080000000000000000000000000000000000210000000000000000000000ffffff00bfffff0000007400bf740000489cdf0048000000ffdf9c00dfffff0000489c000074bf009c480000ffffdf0074bfff009cdfff000000480074000000ffffbf00ffbf7400df9c48009c9cdf0000747400bf9c9c007474bf00489c9c00df9c9c00dfbf74009cbfff00bf7474009c9cbf00749c9c00749cdf00740074000101010101010101010101010101010101010101010101010101010101010101010101010101010101ffffff0101010101010101010101010101010101010101010101010101010101010101010101010101010101ffffff0101010101010101010101010101010101010101010101010101010101010101010101010101010101ffffff0101010101010101010101010101010101010101010101010101010101010101010101010101010101ffffff0101010101010101010101010101010101010101010101010101010101010101010101010101010101ffffff0101010101010101010101010101010101010101010101010101010101010101010101010101010101ffdfff0101010101010101010101010101010101010101010101010101010101010101010101010101010101df9cff0101010101010101010101010101010101010101010101010101010101010101010101010101010101df9cff0101010101010101010101010101010203040101010101010101010101010101010101010101010101ffdfff0101010101010101010101010101010105060701010101010101010101010101010101010101010101ffffff000000000b0c010e0f0000000607010102031301010101010108090012010102201101020300130101ffffff010a00120101010101050013010101010105101101010101010809001011010e0f04010203041f0701ffffff010e0f04010101010102030b0c0101010102031301010101010101010219010d061e12010a0b0c0101ffffff010809101101010101010a060701010101010a101101010101010101011d0c0d060717110506070101ffbfff010105060701010101010d001301010101010e0f1301010101010101011b07051011021c0e0f130101df9cff01010e0f1301010101010203040101010101010a0b0c010101010101010219051011010d1a090b0c01df9cff010102030b0c010101010809101101010101010e0f120101010101010108160a0b0c01011718101101ffdfff0101010a000000000000000000120101010101010a0b0c0101010101010114150b0c01010203001201ffffff0101010d001201010101010e0f040101010101010d001201010101010203000004010101010d000401ffffff010101020304010101010108090b0c010101010108090b0c0101010101010d00040101010108090b0cffffff010101010a101101010101010a06070101010101010d06070101010101010101010101010101010101ffffff0101010105001201010101010d00130101010101010809040101010101010101010101010101010101ffffff010101010d000b0c010101010e0f10110101010101010d060701010101010101010101010101010101ffffff01010809000000000401010a000000000b0c0101010102030401010101010101010101010101010101ffffff0101010101010101010101010101010101010101010101050607010101010101010101010101010101ffffff0101010101010101010101010101010101010101010101020304010101010101010101010101010101ffffff0101010101010101010101010101010101010101010101010101010101010101010101010101010101ffffff0101010101010101010101010101010101010101010101010101010101010101010101010101010101ffffff0101010101010101010101010101010101010101010101010101010101010101010101010101010101ffffff0c00000040092900aa000000000000001d00290000000000040000002701ffff030000000000;
– температура кипения
раствора,010009000003dc0500000000c40300000000c403000026060f007e07574d464301000000000001004c2100000000010000005c070000000000005c070000010000006c00000000000000000000001b0000001c0000000000000000000000dc020000f702000020454d46000001005c0700000c00000001000000000000000000000000000000900600001a040000b801000013010000000000000000000000000000c0b6060038320400460000002c00000020000000454d462b014001001c000000100000000210c0db01000000600000006000000046000000fc010000f0010000454d462b224004000c000000000000001e4009000c00000000000000244001000c000000000000003040020010000000040000000000803f214007000c0000000000000008400005480100003c0100000210c0db01000000000000000000000000000000000000000100000089504e470d0a1a0a0000000d494844520000001c0000001d08030000008e8ffc03000000017352474200aece1ce9000000097048597300000ec400000ec401952b0e1b00000042504c544500000000004800007400489c0074bf48000048007448489c489cdf74000074bfff9c48009cdfffbf7400bfffffdf9c48dfffffffbf74ffdf9cffffbfffffdfffffff25049bae000000774944415438cbcd92c90e80200c448b2bc82202fdff5f15049784c69b9139109247a6ed14c017c17f304880e1b8b911a27a7bc32039a24e54034f0f9ed04d261eb3c53531c48d825e74a6aa996d396ea530d95071a547f908d20d159dd3d3d96a58aa102e79c154360892a96a2b1a72f0246ce49bb4037761193d8aa51593c00000000049454e44ae4260820840010824000000180000000210c0db01000000030000000000000000000000000000001b40000040000000340000000100000002000000000000bf000000bf0000e0410000e84103000000000000b3000000b3ffffdf41000000b3000000b3ffffe7412100000008000000620000000c00000001000000150000000c00000004000000150000000c0000000400000051000000fc03000000000000000000001b0000001c000000000000000000000000000000000000001c0000001d0000005000000080000000d00000002c030000000000002000cc001c0000001d000000280000001c0000001d0000000100080000000000000000000000000000000000160000000000000000000000ffffff00dfffff0000489c00bf7400009cdfff00000048009c480000ffffdf00df9c48000074bf0074004800ffffbf009c484800489cdf0074bfff00bfffff000000740074000000ffbf740048000000ffdf9c0001010101010101010101010101010101010101010101010101010101010101010101010101010101010101010101010101010101010101010101010101010101010101010101010101010101010101010101010101010101010101010101010101010101010101010101010101010101010101010101010101010101010101010101010101010101010101010101010101010101010101010101010101010101010101010101010101010101010101010101010101010101010101010101010101010101010101010101010101010101010101010101010101010101010101010101010101010101010101010101010101010101010101010101010101010101010101010101010101010101010101010101010101010101010101010101010101010101010101010a00000000000708020314150101010101010101010101010101101114150101050607080203141501010101010101010101010101010a0013010101010f07080101010101010101010101010101010101050607080101010101010101010101010101010101010101010101010f0004010101010101010101010101010101010101010101010101010e0009010101010101010101010101010101010101010101010101010e0009010101010101010101010101010101010101010101010101010e0009010101010101010101010101010101010101020300000401010e0009010101010101010101010101010101010102030901010a09010f00040101010101010101010101010101010101050b0c0101050d081011120c01010101010101010101010101010101050b0c0101050d08010e0009010101010f070801010101010101010102030901010a040101010a0009010105060708010101010101010101010203000004010101010105060000000007080101010101010101010101010101010101010101010101010101010101010101010101010101010101010101010101010101010101010101010101010101010101010101010101010101010101010101010101010101010101010101010101010101010101010101010101010101010101010101010101010101010101010101010101010101010101010101010101014c0000006400000000000000000000001b0000001c00000000000000000000001c0000001d0000002900aa0000000000000000000000803f00000000000000000000803f0000000000000000000000000000000000000000000000000000000000000000220000000c000000ffffffff460000001c00000010000000454d462b024000000c000000000000000e000000140000000000000010000000140000000400000003010800050000000b0200000000050000000c021d001c00030000001e0004000000070104000400000007010400e3010000410b2000cc001d001c00000000001d001c0000000000280000001c0000001d0000000100080000000000000000000000000000000000160000000000000000000000ffffff00dfffff0000489c00bf7400009cdfff00000048009c480000ffffdf00df9c48000074bf0074004800ffffbf009c484800489cdf0074bfff00bfffff000000740074000000ffbf740048000000ffdf9c0001010101010101010101010101010101010101010101010101010101010101010101010101010101010101010101010101010101010101010101010101010101010101010101010101010101010101010101010101010101010101010101010101010101010101010101010101010101010101010101010101010101010101010101010101010101010101010101010101010101010101010101010101010101010101010101010101010101010101010101010101010101010101010101010101010101010101010101010101010101010101010101010101010101010101010101010101010101010101010101010101010101010101010101010101010101010101010101010101010101010101010101010101010101010101010101010101010101010101010a00000000000708020314150101010101010101010101010101101114150101050607080203141501010101010101010101010101010a0013010101010f07080101010101010101010101010101010101050607080101010101010101010101010101010101010101010101010f0004010101010101010101010101010101010101010101010101010e0009010101010101010101010101010101010101010101010101010e0009010101010101010101010101010101010101010101010101010e0009010101010101010101010101010101010101020300000401010e0009010101010101010101010101010101010102030901010a09010f00040101010101010101010101010101010101050b0c0101050d081011120c01010101010101010101010101010101050b0c0101050d08010e0009010101010f070801010101010101010102030901010a040101010a0009010105060708010101010101010101010203000004010101010105060000000007080101010101010101010101010101010101010101010101010101010101010101010101010101010101010101010101010101010101010101010101010101010101010101010101010101010101010101010101010101010101010101010101010101010101010101010101010101010101010101010101010101010101010101010101010101010101010101010101010c00000040092900aa000000000000001d001c0000000000040000002701ffff030000000000

где 0100090000033c05000000008403000000008403000026060f00fe06574d46430100000000000100a8050000000001000000dc06000000000000dc060000010000006c0000000000000000000000130000001c00000000000000000000000b020000f702000020454d4600000100dc0600000c00000001000000000000000000000000000000900600001a040000b801000013010000000000000000000000000000c0b6060038320400460000002c00000020000000454d462b014001001c000000100000000210c0db010000006000000060000000460000003c02000030020000454d462b224004000c000000000000001e4009000c00000000000000244001000c000000000000003040020010000000040000000000803f214007000c0000000000000008400005880100007c0100000210c0db01000000000000000000000000000000000000000100000089504e470d0a1a0a0000000d49484452000000140000001d08030000009d58bcf7000000017352474200aece1ce9000000097048597300000ec400000ec401952b0e1b00000060504c544500000000004800007400487400489c00749c0074bf48000048487448489c489cdf74000074004874480074489c74bfdf74bfff9c48009c749c9cdfffbf7400bf9c9cbfffffdf9c48dfdf9cdfffbfdfffffffbf74ffdf9cffffbfffffdfffffff47497ff3000000964944415428cfd591db12c2200c44b75a5b6beb05c1a204c8ffff65b9c88033be3b668697cd49763380bf14fe49f402c0e953b4636f58e3d68a5eec5666370fad4869d2cd01afa2ea64dad1925e24841a271424f345cc486cd9b19329094296e19d8adde539bd16c9f0627f2ed1e9703714c9369f3a4a56a10daa97b8e51a5ef083aeae76324cfd6365a878632e1d2675dcfedb3fda00900e3e800aff9cfc0000000049454e44ae4260820000000840010824000000180000000210c0db01000000030000000000000000000000000000001b40000040000000340000000100000002000000000000bf000000bf0000a0410000e84103000000000000b3000000b3ffff9f41000000b3000000b3ffffe7412100000008000000620000000c00000001000000150000000c00000004000000150000000c00000004000000510000003c0300000000000000000000130000001c00000000000000000000000000000000000000140000001d00000050000000a8000000f800000044020000000000002000cc00140000001d00000028000000140000001d0000000100080000000000000000000000000000000000200000000000000000000000ffffff00dfffff0000489c00df9c48009cdfff00000048009c480000ffffdf00489cdf00ffbf740074000000ffffbf00bfffff0000007400bf74000074bfff000074bf0048000000ffdf9c009c4874009cdfdf009c484800bfffdf004800740074480000004874009c7400009c749c0074484800dfbf74009c9cbf00010101010101010101010101010101010101010101010101010101010101010101010101010101010101010101010101010101010101010101010101010101010101010101010101010101010101010101010101010101010101010101010101010101010101010101010101010101010101010101010101110b0c010101010101010109040101090004010109121301010101010101010516080110071f0c0110000a01010101010101010d181e010d181301010d0e0f010101010101010101111d1301110401010203191a0000000401010101101b1c08100708010109000f01010506070801010d141516171813010110000401010105060f010506121305060708010105060f010101011112130101010101010101010102030708010101100004010101010101010101010111121301010105060f01010101010101010101011000040101010d0e07080101010101010101010102030b0c01010d0e0f010101010101010101010101050607080109000a01010101010101010101010101020300000004010101010101010101010101010101010101010101010101010101010101010101010101010101010101010101010101010101010101010101010101010101010101010101010101010101010101010101010101010101010101010101010101010101010101010101010101010101010101010101010101010101010101010101010101010101010101010101010101010101010101010101010101010101010101010101010101010101010101010101010101010101010101010101014c000000640000000000000000000000130000001c0000000000000000000000140000001d0000002900aa0000000000000000000000803f00000000000000000000803f0000000000000000000000000000000000000000000000000000000000000000220000000c000000ffffffff460000001c00000010000000454d462b024000000c000000000000000e000000140000000000000010000000140000000400000003010800050000000b0200000000050000000c021d001400030000001e000400000007010400040000000701040083010000410b2000cc001d001400000000001d0014000000000028000000140000001d0000000100080000000000000000000000000000000000200000000000000000000000ffffff00dfffff0000489c00df9c48009cdfff00000048009c480000ffffdf00489cdf00ffbf740074000000ffffbf00bfffff0000007400bf74000074bfff000074bf0048000000ffdf9c009c4874009cdfdf009c484800bfffdf004800740074480000004874009c7400009c749c0074484800dfbf74009c9cbf00010101010101010101010101010101010101010101010101010101010101010101010101010101010101010101010101010101010101010101010101010101010101010101010101010101010101010101010101010101010101010101010101010101010101010101010101010101010101010101010101110b0c010101010101010109040101090004010109121301010101010101010516080110071f0c0110000a01010101010101010d181e010d181301010d0e0f010101010101010101111d1301110401010203191a0000000401010101101b1c08100708010109000f01010506070801010d141516171813010110000401010105060f010506121305060708010105060f010101011112130101010101010101010102030708010101100004010101010101010101010111121301010105060f01010101010101010101011000040101010d0e07080101010101010101010102030b0c01010d0e0f010101010101010101010101050607080109000a01010101010101010101010101020300000004010101010101010101010101010101010101010101010101010101010101010101010101010101010101010101010101010101010101010101010101010101010101010101010101010101010101010101010101010101010101010101010101010101010101010101010101010101010101010101010101010101010101010101010101010101010101010101010101010101010101010101010101010101010101010101010101010101010101010101010101010101010101010101010c00000040092900aa000000000000001d00140000000000040000002701ffff030000000000 – плотность водяного пара при 010009000003561200000000680a00000000680a000026060f00c614574d464301000000000001005bd90000000001000000a414000000000000a4140000010000006c00000000000000000000007d0000001c0000000000000000000000e30c0000f702000020454d4600000100a41400000c00000001000000000000000000000000000000900600001a040000b801000013010000000000000000000000000000c0b6060038320400460000002c00000020000000454d462b014001001c000000100000000210c0db01000000600000006000000046000000980300008c030000454d462b224004000c000000000000001e4009000c00000000000000244001000c000000000000003040020010000000040000000000803f214007000c0000000000000008400005e4020000d80200000210c0db01000000000000000000000000000000000000000100000089504e470d0a1a0a0000000d494844520000007e0000001d08030000005b9d284e000000017352474200aece1ce9000000097048597300000ec400000ec401952b0e1b00000084504c544500000000004800007400489c00749c0074bf48000048007448487448489c4874bf489cbf489cdf74000074004874007474489c7474bf749c9c74bfdf74bfff9c48009c48489c48749c749c9cbf9c9cdfffbf7400bf9c9cbfbf74bfffdfbfffffdf9c48dfbfbfdfdf9cdfdfdfdfffbfdfffffffbf74ffbf9cffdf9cffffbfffffdfffffff19d1d5e2000001d14944415448c7ed56db528330105dadb4b686d60b546d54f04204f2ffff6776c965898e1dd287beb033edecc94ef6b057007d5681997ea64f1305248bc6e85d0e900513834eed4b77d42e876b407a91c88efe500af29219ecf919746a5f0aad251e4910783cd0d71787d4e005fd671421a6405d562e600fbddaae0c6ad78dae61b847f45deeee4c964f4ac11e9fbea614281709835e75f48c104c227cf5d2a416540672e912c9605087e40bd330196bbd76298e534090a854ddaed22e857d698d0c32d5b69ecdbda55750e8134416215cec261dc1c8a2637a995c7a6aeb75e37d9ae804a3b030b244f47d7942dd6ddf5116b03021120623cb981ea732bdf66abc687819191c5b46ada7409c10fc232b9c1c7b62706c617d003496c64bbbc4c9583404f70784bc5dfe1bbadf398d6064314f53f8b583d14bdc81abeafb79f57a5316d44eddedc7fa6b7b641d0e436743724521e70172d5d7024f86a58bc3486b29ebeeac478c495d3d35ea58f4b2f0e50c1426560615fcb5d2ddae037642cd697aa9cb8d57797da0a4242c8209af1008797ca3193201e122e8b60fe697f22aeaf24c4fa7375153c97795badfbc37a8abc54bc2429a9432e0b74cd398ef80ac864d83e5af4f19c989f4e791997ea63f93fc0057992c1eb3ea1e320000000049454e44ae4260820840010824000000180000000210c0db01000000030000000000000000000000000000001b40000040000000340000000100000002000000000000bf000000bf0000fc420000e84103000000000080b3000080b3fffffb42000080b3000080b3ffffe7412100000008000000620000000c00000001000000150000000c00000004000000150000000c0000000400000051000000a80f000000000000000000007d0000001c000000000000000000000000000000000000007e0000001d00000050000000d800000028010000800e0000000000002000cc007e0000001d000000280000007e0000001d00000001000800000000000000000000000000000000002c0000000000000000000000ffffff0074bfff009c480000ffffdf00bfffff0000007400bf740000dfffff0000489c009cdfff0000004800ffbf7400df9c48000074bf00489cdf0048000000ffdf9c0074000000ffffbf00740048009c484800dfdfdf0048489c007400740074489c009cbfff009cbf9c0074bfbf00bf9c48009c4874009cdfdf00bfffdf0048007400bf7474009c7400009c749c0074484800dfffbf00dfbf74009c9c7400bf744800bfbfdf009c9cbf00010101010101010101010101010101010101010101010101010101010101010101010101010101010101010101010101010101010101010101010101010101010101010101010101010101010101010101010101010101010101010101010101010101010101010101010101010101010101010101010101010101010101ffff010101010101010101010101010101010101010101010101010101010101010101010101010101010101010101010101010101010101010101010101010101010101010101010101010101010101010101010101010101010101010101010101010101010101010101010101010101010101010101010101010101010101ffff010101010101010101010101010101010101010101010101010101010101010101010101010101010101010101010101010101010101010101010101010101010101010101010101010101010101010101010101010101010101010101010101010101010101010101010101010101010101010101010101010101010101ffff010101010101010101010101010101010101010101010101010101010101010101010101010101010101010101010101010101010101010101010101010101010101010101010101010101010101010101010101010101010101010101010101010101010101010101010101010101010101010101010101010101010101ffff010101010101010101010101010101010101010101010101010101010101010101010101010101010101010101010101010101010101010101010101010101010101010101010101010101010101010101010101010101010101010101010101010101010101010101010101010101010101010101010101010101010101ffff010101010101010101010101010101010101010101010101010101010101010101010101010101010101010101010101010101010101010101010101010101010101010101010101010101010101010101010101010101010101010101010101010101010101010101010101010101010101010101010101010101010101ffff01010101010101010e0d01010e000c0a0b00070f0029040f0d01010f000d010101010101010101010101010101010101010101010101010101010101010101010101010101010101010101010101010101010101010101010101010101010101010101010101010101010101010101010101010101010101010101010101ffff01010101010101010207010a1504010518130228292a040a15040102032b1301010101010101010101010101010101010101010101010101010101010101010101010101010101010101010101010101010e0d01010101010101010101010101010101010101010101010101010101010101010101010101010101010101ffff010101010101010105182617110101010e0c010e12130105212701052111010101010101010101010101010101010101010101010101010101010101010101010101010101010101010101010101010101050607010101010101010101010101010101010101010101010101010101010101010101010101010101010101ffff0101010101010101010e00121301010102070105060c01010e2511010e0d010101010101010101010101010101010101010101010101010101010101010101010101010101010101010101010101010101010e10110101010101010101010101010101010101010101010101010101010101010101010101010101010101ffff01080900000c01010102070522010101051813010f0d0101022324040203040101010101010101010101010101010101010101010101010101010101010e0c010101010101010200101101010101010101010f000d0200101101010101010101020010110101010101010101010101010101010101010e00000000000304ffff0102000d010e0d01010a14131a1b141c1d090c010a150401051e1f1520211101010101010101010101010101010101010101010101010101010101010105181301010101010101010a0b10110101010101010e000c01010a0b1011010101010101010a0b101101010101010101010101010101010506101101010a0b0304ffff010f000c010819130a0b1011080903040f000c010817110a0b10110a0b0304010101010101010101010101010101010101010101010101010101010101010f0d010101010101010101010f000d0101010101010101010101010f000d01010101010101010f000d010101010101010101010101010e000c01010101020304ffff0102000d01010101010101010101010101010101010101010101010101010101010101010101010101010101010101010101010101010101010101010101081913010101010101010101010e000d0101010101010101010101010e000d01010101010101010e000d01010101010101010101010a0b030401010101010101ffff010a0b07010101010101010101010101010101010101010101010101010101010101010101010f0000000000000000000000101101010101010101010101010207010101010101010101010506000c01010101010101010101010506000c010101010101010506000c010101010101010101010200070101010101010101ffff010809030401010101010101010101010101010101010101010101010101010101010101010101010101010101010101010101010101010101010101010101081711010101010101010e00000000121301010101010101010e000000001213010101010e0000000012130101010101010101010f000d0101010101010101ffff01010e121301010101010101010101010101010101010101010101010101010101010101010101010101010101010101010101010101010101010101010101010a150401010101010f000d010809000d010101010101010f000d010809000d0101010f000d010809000d0101010101010101010f000d0101010101010101ffff010102000c0101010101010101010101010101010101010101010101010101010101010101010101010101010101010101010101010101010101010101010101010e0c010101010809121301010a0b030401010101010809121301010a0b0304010809121301010a0b030401010101010101010f000d0101010101010101ffff01010a0b0d0101010101010101010101010101010101010101010101010101010101010101010f000000000000000000000010110101010101010101010101010105181301010105061213010108091011010101010105061213010108091011010506121301010809101101080900000701010f000d0101010101010101ffff010e000000000003040101010101010101010101010101010101010101010101010101010101010101010101010101010101010101010101010101010101010101010f0d010101080912130101010f10110101010101080912130101010f101101080912130101010f101108090d01010e0d010200070101010101010101ffff0101050612130101010101010101010101010101010101010101010101010101010101010101010101010101010101010101010101010101010101010116010101010817110101010f000c0101010210110101010101010f000c01010102101101010f000c0101010210110a141301010a15040506121301010101010101ffff0101010f101101010101010101010101010101010101010101010101010101010101010101010101010101010101010101010101010101010101010101020d01010101020701010105060304010102121301010101010105060304010102121301010506030401010212130a141301010a1504010f000d01010101020304ffff0101010a0b0c0101010101010101010101010101010101010101010101010101010101010101010101010101010101010101010101010101010101010108090000000000000c0101010a0b070108090701010101010101010a0b0701080907010101010a0b07010809070108090d01010e070101010e000d01010a0b0304ffff010101010101010101010101010101010101010101010101010101010101010101010101010101010101010101010101010101010101010101010101010102000000000000030401010105060000070101010101010101010105060000070101010101010506000007010101080900000701010101010a0b000000000304ffff010101010101010101010101010101010101010101010101010101010101010101010101010101010101010101010101010101010101010101010101010101010101010101010101010101010101010101010101010101010101010101010101010101010101010101010101010101010101010101010101010101010101ffff010101010101010101010101010101010101010101010101010101010101010101010101010101010101010101010101010101010101010101010101010101010101010101010101010101010101010101010101010101010101010101010101010101010101010101010101010101010101010101010101010101010101ffff010101010101010101010101010101010101010101010101010101010101010101010101010101010101010101010101010101010101010101010101010101010101010101010101010101010101010101010101010101010101010101010101010101010101010101010101010101010101010101010101010101010101ffff010101010101010101010101010101010101010101010101010101010101010101010101010101010101010101010101010101010101010101010101010101010101010101010101010101010101010101010101010101010101010101010101010101010101010101010101010101010101010101010101010101010101ffff010101010101010101010101010101010101010101010101010101010101010101010101010101010101010101010101010101010101010101010101010101010101010101010101010101010101010101010101010101010101010101010101010101010101010101010101010101010101010101010101010101010101ffff4c0000006400000000000000000000007d0000001c00000000000000000000007e0000001d0000002900aa0000000000000000000000803f00000000000000000000803f0000000000000000000000000000000000000000000000000000000000000000220000000c000000ffffffff460000001c00000010000000454d462b024000000c000000000000000e000000140000000000000010000000140000000400000003010800050000000b0200000000050000000c021d007e00030000001e0004000000070104000400000007010400b9070000410b2000cc001d007e00000000001d007e0000000000280000007e0000001d00000001000800000000000000000000000000000000002c0000000000000000000000ffffff0074bfff009c480000ffffdf00bfffff0000007400bf740000dfffff0000489c009cdfff0000004800ffbf7400df9c48000074bf00489cdf0048000000ffdf9c0074000000ffffbf00740048009c484800dfdfdf0048489c007400740074489c009cbfff009cbf9c0074bfbf00bf9c48009c4874009cdfdf00bfffdf0048007400bf7474009c7400009c749c0074484800dfffbf00dfbf74009c9c7400bf744800bfbfdf009c9cbf00010101010101010101010101010101010101010101010101010101010101010101010101010101010101010101010101010101010101010101010101010101010101010101010101010101010101010101010101010101010101010101010101010101010101010101010101010101010101010101010101010101010101ffff010101010101010101010101010101010101010101010101010101010101010101010101010101010101010101010101010101010101010101010101010101010101010101010101010101010101010101010101010101010101010101010101010101010101010101010101010101010101010101010101010101010101ffff010101010101010101010101010101010101010101010101010101010101010101010101010101010101010101010101010101010101010101010101010101010101010101010101010101010101010101010101010101010101010101010101010101010101010101010101010101010101010101010101010101010101ffff010101010101010101010101010101010101010101010101010101010101010101010101010101010101010101010101010101010101010101010101010101010101010101010101010101010101010101010101010101010101010101010101010101010101010101010101010101010101010101010101010101010101ffff010101010101010101010101010101010101010101010101010101010101010101010101010101010101010101010101010101010101010101010101010101010101010101010101010101010101010101010101010101010101010101010101010101010101010101010101010101010101010101010101010101010101ffff010101010101010101010101010101010101010101010101010101010101010101010101010101010101010101010101010101010101010101010101010101010101010101010101010101010101010101010101010101010101010101010101010101010101010101010101010101010101010101010101010101010101ffff01010101010101010e0d01010e000c0a0b00070f0029040f0d01010f000d010101010101010101010101010101010101010101010101010101010101010101010101010101010101010101010101010101010101010101010101010101010101010101010101010101010101010101010101010101010101010101010101ffff01010101010101010207010a1504010518130228292a040a15040102032b1301010101010101010101010101010101010101010101010101010101010101010101010101010101010101010101010101010e0d01010101010101010101010101010101010101010101010101010101010101010101010101010101010101ffff010101010101010105182617110101010e0c010e12130105212701052111010101010101010101010101010101010101010101010101010101010101010101010101010101010101010101010101010101050607010101010101010101010101010101010101010101010101010101010101010101010101010101010101ffff0101010101010101010e00121301010102070105060c01010e2511010e0d010101010101010101010101010101010101010101010101010101010101010101010101010101010101010101010101010101010e10110101010101010101010101010101010101010101010101010101010101010101010101010101010101ffff01080900000c01010102070522010101051813010f0d0101022324040203040101010101010101010101010101010101010101010101010101010101010e0c010101010101010200101101010101010101010f000d0200101101010101010101020010110101010101010101010101010101010101010e00000000000304ffff0102000d010e0d01010a14131a1b141c1d090c010a150401051e1f1520211101010101010101010101010101010101010101010101010101010101010105181301010101010101010a0b10110101010101010e000c01010a0b1011010101010101010a0b101101010101010101010101010101010506101101010a0b0304ffff010f000c010819130a0b1011080903040f000c010817110a0b10110a0b0304010101010101010101010101010101010101010101010101010101010101010f0d010101010101010101010f000d0101010101010101010101010f000d01010101010101010f000d010101010101010101010101010e000c01010101020304ffff0102000d01010101010101010101010101010101010101010101010101010101010101010101010101010101010101010101010101010101010101010101081913010101010101010101010e000d0101010101010101010101010e000d01010101010101010e000d01010101010101010101010a0b030401010101010101ffff010a0b07010101010101010101010101010101010101010101010101010101010101010101010f0000000000000000000000101101010101010101010101010207010101010101010101010506000c01010101010101010101010506000c010101010101010506000c010101010101010101010200070101010101010101ffff010809030401010101010101010101010101010101010101010101010101010101010101010101010101010101010101010101010101010101010101010101081711010101010101010e00000000121301010101010101010e000000001213010101010e0000000012130101010101010101010f000d0101010101010101ffff01010e121301010101010101010101010101010101010101010101010101010101010101010101010101010101010101010101010101010101010101010101010a150401010101010f000d010809000d010101010101010f000d010809000d0101010f000d010809000d0101010101010101010f000d0101010101010101ffff010102000c0101010101010101010101010101010101010101010101010101010101010101010101010101010101010101010101010101010101010101010101010e0c010101010809121301010a0b030401010101010809121301010a0b0304010809121301010a0b030401010101010101010f000d0101010101010101ffff01010a0b0d0101010101010101010101010101010101010101010101010101010101010101010f000000000000000000000010110101010101010101010101010105181301010105061213010108091011010101010105061213010108091011010506121301010809101101080900000701010f000d0101010101010101ffff010e000000000003040101010101010101010101010101010101010101010101010101010101010101010101010101010101010101010101010101010101010101010f0d010101080912130101010f10110101010101080912130101010f101101080912130101010f101108090d01010e0d010200070101010101010101ffff0101050612130101010101010101010101010101010101010101010101010101010101010101010101010101010101010101010101010101010101010116010101010817110101010f000c0101010210110101010101010f000c01010102101101010f000c0101010210110a141301010a15040506121301010101010101ffff0101010f101101010101010101010101010101010101010101010101010101010101010101010101010101010101010101010101010101010101010101020d01010101020701010105060304010102121301010101010105060304010102121301010506030401010212130a141301010a1504010f000d01010101020304ffff0101010a0b0c0101010101010101010101010101010101010101010101010101010101010101010101010101010101010101010101010101010101010108090000000000000c0101010a0b070108090701010101010101010a0b0701080907010101010a0b07010809070108090d01010e070101010e000d01010a0b0304ffff010101010101010101010101010101010101010101010101010101010101010101010101010101010101010101010101010101010101010101010101010102000000000000030401010105060000070101010101010101010105060000070101010101010506000007010101080900000701010101010a0b000000000304ffff010101010101010101010101010101010101010101010101010101010101010101010101010101010101010101010101010101010101010101010101010101010101010101010101010101010101010101010101010101010101010101010101010101010101010101010101010101010101010101010101010101010101ffff010101010101010101010101010101010101010101010101010101010101010101010101010101010101010101010101010101010101010101010101010101010101010101010101010101010101010101010101010101010101010101010101010101010101010101010101010101010101010101010101010101010101ffff010101010101010101010101010101010101010101010101010101010101010101010101010101010101010101010101010101010101010101010101010101010101010101010101010101010101010101010101010101010101010101010101010101010101010101010101010101010101010101010101010101010101ffff010101010101010101010101010101010101010101010101010101010101010101010101010101010101010101010101010101010101010101010101010101010101010101010101010101010101010101010101010101010101010101010101010101010101010101010101010101010101010101010101010101010101ffff010101010101010101010101010101010101010101010101010101010101010101010101010101010101010101010101010101010101010101010101010101010101010101010101010101010101010101010101010101010101010101010101010101010101010101010101010101010101010101010101010101010101ffff0c00000040092900aa000000000000001d007e0000000000040000002701ffff030000000000
определяем по закону состояния идеальных газов (Менделеев – Клапейрон)



















































Принимаем
тепловую проводимость загрязнений
стенки со стороны греющего пара ≈5800
и
со стороны кипящего раствора ≈29000100090000033e0f00000000ec0800000000ec08000026060f00ce11574d464301000000000001001f0a0000000001000000ac11000000000000ac110000010000006c00000000000000000000005f0000001d0000000000000000000000d10900001103000020454d4600000100ac1100000c00000001000000000000000000000000000000900600001a040000b801000013010000000000000000000000000000c0b6060038320400460000002c00000020000000454d462b014001001c000000100000000210c0db01000000600000006000000046000000d8030000cc030000454d462b224004000c000000000000001e4009000c00000000000000244001000c000000000000003040020010000000040000000000803f214007000c000000000000000840000524030000180300000210c0db01000000000000000000000000000000000000000100000089504e470d0a1a0a0000000d49484452000000600000001e0803000000e46eebbb000000017352474200aece1ce9000000097048597300000ec400000ec401952b0e1b0000008a504c544500000000004800007400489c0074740074bf48000048004848007448484848489c4874bf489cdf7400007400747474007474bf74bfdf74bfff9c48009c48749c74749c749c9c9c489c9c749c9cbf9c9cdf9cdfbf9cdfffbf7400bf7448bf7474bf9c9cbfffffdf9c48df9c74df9c9cdfbf74dfdfffdfffffffbf74ffbf9cffdf9cffffbfffffdfffffff3f44b248000002084944415448c7ed55db56c320105c5b536f89b6d4bbc10a5e8a21f9ffdf935d6003b6a9f1787af4411e9a342c3b3bb30340b7e7017f1ea05dc241bd4f80c7bad3d3f50f016c550c1278ebbae658fd1040b308cd4c6c4e37675b964c1403d80a68145f12689713b55d25df0c00e1b395584ad13330f8c5c09094261068975b238ce0760b22498f5816f4124810033e293ed1cef3175dc64fc62843f908c07f1b028804b6b79af3075124b3f484815736330723513f8d62d1df4c98bed5c6f70b675cfef67add45a1992d2f80c825246c8e6a5dba19337d0df94c2416b9631b8b8023813a1bf3e5266b66a507a0a858e6f4b5ece4c1c39c0b8e9c6dc5e45f2ef0d501897c4b43bea94919082b63b43c9ce3872b152dc945f52d68ef08747593351de735da31f9e2c220300912d9ea54b9d713c1f9b869d1d82ee81efd6416b96bb105b64a31a94688cdb3153e684768943848efd17380f7da01d8793fe5c5c5059913034070890720ab4bfe495c9d48f4b476ce5d299d09ee25edabe8250a8550d9e432ca14d2d9aaccc2bd426e6bdc8ac4f1c9b44c5043938995b3802f40b06b17972adfbc44c60762a16ef9739db680007472a4799bc651f2d6a0a4861c97100822fb03c79e2bf45d99e6a7cd817b846ba20530f29cde7d2b0c9c61f1a8187bd1e89d77e3e629d51f76df2a69ec488febf10813353636bb70be4b7bcc2d9b5c99fb1dff00bf0ff0012943bdb1887348720000000049454e44ae4260820000000840010824000000180000000210c0db01000000030000000000000000000000000000001b40000040000000340000000100000002000000000000bf000000bf0000c0420000f04103000000000000b3000000b3ffffbf42000000b3000000b3ffffef412100000008000000620000000c00000001000000150000000c00000004000000150000000c0000000400000051000000700c000000000000000000005f0000001d00000000000000000000000000000000000000600000001e00000050000000e000000030010000400b0000000000002000cc00600000001e00000028000000600000001e00000001000800000000000000000000000000000000002e0000000000000000000000ffffff00dfffff0000489c0048000000ffdf9c004874bf00489cdf009c480000ffffdf00bfffff0000007400bf740000ffdfdf009cdfff0074004800ffffbf0000004800ffbf7400bf74480074000000df9c480074bfff000074bf009c749c004800480074bfdf00bfdf9c00bf7474009c9cdf00007474007474000074749c00bf9c9c007474bf00489c9c009c48480048484800df9c9c00dfbf74009cbfff009c9cbf00749c9c0074489c00749cdf0074007400010101010101010101010101010101010101010101010101010101010101010101010101010101010101010101010101010101010101010101010101010101010101010101010101010101010101010101010101010101010101010101010101010101010101010101010101010101010101010101010101010101010101010101010101010101010101010101010101010101010101010101010101010101010101010101010101010101010101010101010101010101010101010101010101010101010101010101010101010101010101010101010101010101010101010101010101010101010101010101010101010101010101010101010101010101010101010101010101010101010101010101010101010101010101010101010101010101010101010101010101010101010101010101010101010101010101010101010101010101010101010101010101010101010101010101010101010101010101010101010101010101010101010101010101010101010101010101010101010101010101010101010101010101010101010101010101010101010101010101010101010101010101010101010101010101010101010101010101010101010101010101010101010101010101010101010101010101010101010101010101010101010101010101010101010101010101010101010101010101010101010101010101010101010101010101011600120101010101010101010101010101010101010101010101010101010101010101010101010101071410010101010101010101010101010101010101010101010101010101010101010101010101010101010101010101010101010102031410010101010101010101010101010101010101010101010101010101010101010101010101010101010e110c010101010101010101010101010101010101010101010101010101010101010101010101010101010101010101010101020308090101010101010101010101010101010101010101010101010101010101010101010101010101010101010a0b0c01010101010101010101010101010101010101010101010101010101010101010a0b0c01010101010101010101010107040501010101010101010101010101010101010101010101010101010101010101010101010101010101010101011600120101010101010101010101010101010101010101010101010101010101010101070405010101010101010101010a0b0c01010101010101010101010101010101010101010101010101010101010101010101010101010101010101010102030809010100000000000000001501010101070405010107141001011600040501010a0b150101010101010101010107001201010203001201010a2d10010a0b001501010101010101010101160000000c01010a0b00001410010101010101010700120101011700120101020300141001010e1112010116001201010e11272b10010107141001010101010101010117141001010203001410010e110c010a0b0c2c05010101010101010101011600080901010107000c0101010101010101010e11150101010e11150101010107000c010102030c01010a0b0c01010a0b0c010101010a0b1501010101010101010a0b080901010101010a260116042a120117080901010101010101010101010a0b08090101011704050101010101010101010a0b0c010101020308090101010a0b040501010714100101171410010117141001010101171410010101010101010a0b0c010101010101012909160405221007040501010101010101010101010203141001010e110c010101010101010101010a0b08090101010704050101010a0b04050101160015010107000c0101160012010101010e1115010101010101010e110c0101010101010128050714100a1c0e1115010101010101010101010101070012010117001201010101010101010101020314100101010e11150101010e11141001010a0b2410010e112512010a0b0c01010101011708090101010101010e110c010101010101010a260714100116270308090101010101010101010101160015010a0b141001010101010101010101020314100101010a0b0809010a0b001201010101171f1c010a0b08201002031410010101010e11120101010101010a0b0c01010101010101022117080901012223141001010101010101010101010a0b0c0107001501010101010101010101010a0b08090101010117000000000809010101010107081a150117041b1c01070405010101010117080901010101010a0b0809010101010101011d1e080901010a0b001201010101010101010101010203000000040501010101010101010101010a0b0c010101010116001201010e1114100101010e1905071507040516081a0405010101010116001201010101010117141001010101010a0b00000c0101010116000c1700000000120101010101010704050e111201010101010101010101010e111501010101010a0b0c0101010e11141001170000150107000809010e11141001010101010203080901010101010704050101010101010116000c0101010102030809160c0102180901010101011600150102030c0101010101010101010107040501010101010117141001010117001201010101010101010101010101010101010101010116040501010101010a0b0c01010101010101010101010101010101010101160c01010101010101010e110c010101170809010101010101010203080901010101010107040501010117001201010101010101010101010101010101010101010102030c01010101010107141001010101010101010101010101010101010101160c01010101010101020314100101011714100101010101011600120101010101010116001501011600080901010101010101010101010101010101010101010101160405010101010102030809010101010101010101010101010101010101011612010101010101020300120101010e110012010101010a0b0c0101010101010a0b0000000000000c0101010101010101010101010101010101010101010101010a0b0c0101010101010203141001010101010101010101010101010101010101060501010101020300000012010a0b0000001501010e110c0101010101010101010101010101010101010101010101010101010101010101010101010101010101070405010101010101010e11120101010101010101010101010101010101010e130101010101010101010101010101010101010714100101010101010101010101010101010101010101010101010101010101010101010101010101010101010a0b0c010101010101010101010101010101010101010101010101020d01010e0f1001010101010101010101010101010101010101010101010101010101010101010101010101010101010101010101010101010101010101010101010101010101010101010101010101010101010101010101010101010101010106050107080901010101010101010101010101010101010101010101010101010101010101010101010101010101010101010101010101010101010101010101010101010101010101010101010101010101010101010101010101010101010102030004050101010101010101010101010101010101010101010101010101010101010101010101010101010101010101010101010101010101010101010101010101010101010101010101010101010101010101010101010101010101010101010101010101010101010101010101010101010101010101010101010101010101010101010101010101010101010101010101010101010101010101010101010101010101010101010101010101010101010101010101010101010101010101010101010101010101010101010101010101010101010101010101010101014c0000006400000000000000000000005f0000001d0000000000000000000000600000001e0000002900aa0000000000000000000000803f00000000000000000000803f0000000000000000000000000000000000000000000000000000000000000000220000000c000000ffffffff460000001c00000010000000454d462b024000000c000000000000000e000000140000000000000010000000140000000400000003010800050000000b0200000000050000000c021e006000030000001e00040000000701040004000000070104001d060000410b2000cc001e006000000000001e0060000000000028000000600000001e00000001000800000000000000000000000000000000002e0000000000000000000000ffffff00dfffff0000489c0048000000ffdf9c004874bf00489cdf009c480000ffffdf00bfffff0000007400bf740000ffdfdf009cdfff0074004800ffffbf0000004800ffbf7400bf74480074000000df9c480074bfff000074bf009c749c004800480074bfdf00bfdf9c00bf7474009c9cdf00007474007474000074749c00bf9c9c007474bf00489c9c009c48480048484800df9c9c00dfbf74009cbfff009c9cbf00749c9c0074489c00749cdf0074007400010101010101010101010101010101010101010101010101010101010101010101010101010101010101010101010101010101010101010101010101010101010101010101010101010101010101010101010101010101010101010101010101010101010101010101010101010101010101010101010101010101010101010101010101010101010101010101010101010101010101010101010101010101010101010101010101010101010101010101010101010101010101010101010101010101010101010101010101010101010101010101010101010101010101010101010101010101010101010101010101010101010101010101010101010101010101010101010101010101010101010101010101010101010101010101010101010101010101010101010101010101010101010101010101010101010101010101010101010101010101010101010101010101010101010101010101010101010101010101010101010101010101010101010101010101010101010101010101010101010101010101010101010101010101010101010101010101010101010101010101010101010101010101010101010101010101010101010101010101010101010101010101010101010101010101010101010101010101010101010101010101010101010101010101010101010101010101010101010101010101010101010101010101010101010101011600120101010101010101010101010101010101010101010101010101010101010101010101010101071410010101010101010101010101010101010101010101010101010101010101010101010101010101010101010101010101010102031410010101010101010101010101010101010101010101010101010101010101010101010101010101010e110c010101010101010101010101010101010101010101010101010101010101010101010101010101010101010101010101020308090101010101010101010101010101010101010101010101010101010101010101010101010101010101010a0b0c01010101010101010101010101010101010101010101010101010101010101010a0b0c01010101010101010101010107040501010101010101010101010101010101010101010101010101010101010101010101010101010101010101011600120101010101010101010101010101010101010101010101010101010101010101070405010101010101010101010a0b0c01010101010101010101010101010101010101010101010101010101010101010101010101010101010101010102030809010100000000000000001501010101070405010107141001011600040501010a0b150101010101010101010107001201010203001201010a2d10010a0b001501010101010101010101160000000c01010a0b00001410010101010101010700120101011700120101020300141001010e1112010116001201010e11272b10010107141001010101010101010117141001010203001410010e110c010a0b0c2c05010101010101010101011600080901010107000c0101010101010101010e11150101010e11150101010107000c010102030c01010a0b0c01010a0b0c010101010a0b1501010101010101010a0b080901010101010a260116042a120117080901010101010101010101010a0b08090101011704050101010101010101010a0b0c010101020308090101010a0b040501010714100101171410010117141001010101171410010101010101010a0b0c010101010101012909160405221007040501010101010101010101010203141001010e110c010101010101010101010a0b08090101010704050101010a0b04050101160015010107000c0101160012010101010e1115010101010101010e110c0101010101010128050714100a1c0e1115010101010101010101010101070012010117001201010101010101010101020314100101010e11150101010e11141001010a0b2410010e112512010a0b0c01010101011708090101010101010e110c010101010101010a260714100116270308090101010101010101010101160015010a0b141001010101010101010101020314100101010a0b0809010a0b001201010101171f1c010a0b08201002031410010101010e11120101010101010a0b0c01010101010101022117080901012223141001010101010101010101010a0b0c0107001501010101010101010101010a0b08090101010117000000000809010101010107081a150117041b1c01070405010101010117080901010101010a0b0809010101010101011d1e080901010a0b001201010101010101010101010203000000040501010101010101010101010a0b0c010101010116001201010e1114100101010e1905071507040516081a0405010101010116001201010101010117141001010101010a0b00000c0101010116000c1700000000120101010101010704050e111201010101010101010101010e111501010101010a0b0c0101010e11141001170000150107000809010e11141001010101010203080901010101010704050101010101010116000c0101010102030809160c0102180901010101011600150102030c0101010101010101010107040501010101010117141001010117001201010101010101010101010101010101010101010116040501010101010a0b0c01010101010101010101010101010101010101160c01010101010101010e110c010101170809010101010101010203080901010101010107040501010117001201010101010101010101010101010101010101010102030c01010101010107141001010101010101010101010101010101010101160c01010101010101020314100101011714100101010101011600120101010101010116001501011600080901010101010101010101010101010101010101010101160405010101010102030809010101010101010101010101010101010101011612010101010101020300120101010e110012010101010a0b0c0101010101010a0b0000000000000c0101010101010101010101010101010101010101010101010a0b0c0101010101010203141001010101010101010101010101010101010101060501010101020300000012010a0b0000001501010e110c0101010101010101010101010101010101010101010101010101010101010101010101010101010101070405010101010101010e11120101010101010101010101010101010101010e130101010101010101010101010101010101010714100101010101010101010101010101010101010101010101010101010101010101010101010101010101010a0b0c010101010101010101010101010101010101010101010101020d01010e0f1001010101010101010101010101010101010101010101010101010101010101010101010101010101010101010101010101010101010101010101010101010101010101010101010101010101010101010101010101010101010106050107080901010101010101010101010101010101010101010101010101010101010101010101010101010101010101010101010101010101010101010101010101010101010101010101010101010101010101010101010101010101010102030004050101010101010101010101010101010101010101010101010101010101010101010101010101010101010101010101010101010101010101010101010101010101010101010101010101010101010101010101010101010101010101010101010101010101010101010101010101010101010101010101010101010101010101010101010101010101010101010101010101010101010101010101010101010101010101010101010101010101010101010101010101010101010101010101010101010101010101010101010101010101010101010101010101010c00000040092900aa000000000000001e00600000000000040000002701ffff030000000000

где 010009000003601900000000360e00000000360e000026060f00621c574d46430100000000000100e35b0000000001000000401c000000000000401c0000010000006c0000000000000000000000b50000001c00000000000000000000009e120000f702000020454d4600000100401c00000c00000001000000000000000000000000000000900600001a040000b801000013010000000000000000000000000000c0b6060038320400460000002c00000020000000454d462b014001001c000000100000000210c0db01000000600000006000000046000000bc040000b0040000454d462b224004000c000000000000001e4009000c00000000000000244001000c000000000000003040020010000000040000000000803f214007000c000000000000000840000508040000fc0300000210c0db01000000000000000000000000000000000000000100000089504e470d0a1a0a0000000d49484452000000b60000001d080300000030f5661b000000017352474200aece1ce9000000097048597300000ec400000ec401952b0e1b0000009c504c544500000000004800007400484800489c0074740074bf48000048004848007448484848489c487474489cbf489cdf7400007400487400747474007474747474bf749cdf74bfdf74bfff9c48009c48489c48749c74749c9c489c9c749c9cbf9c9cdf9cdfbf9cdfdf9cdfffbf7400bf7474bf9c9cbfbf74bfbf9cbfffffdf9c48df9c74df9c9cdfbf74dfffffffbf74ffbf9cffdf9cffffbfffffdfffffff086e68a5000002db4944415458c3ed576b739b3010545a079aa41575eb44b8cf14a52d6a6395c7ffff6fbd8710920d064fd2997a86fb6030d8a7bdbdbd4588f62c432cb0cf15769d25e708db5c14cf8bce08218fc3d6ab5dffe317a53b6d7221ba6f75262892a7904d0915e79293a8656b3c9441d8c627d1613a1be1b478cb8abec038ec1cb201b7824395d26132aa57c511d8f675aa1c63e1dacdb63814811e59b0c9e728bbc9893f3dcce269b06de29a11a36eab9b88585e6b0cf62cb281e62496e4c494bf1d870de8388feb608f53888015d66e95c2258dca342817faca3476502ccbaabf1015077f9cd79763538eb0eb7559679215fe3215914af200b7c59a1c4c689e9190d3ae1eddefad507e729300fd218e2a550786e1238659a5a3b051c09c0956bcddede92498508d691d8366f5285b7d71bff17cf47dfffd0e4f2199f28bc7d634db2723d6f6606bc8ced2667e6ce44cac45a611d07460f4e5062f7c2cdd88b53d85cd17aae0e1935fd1085f010acd4c5b9f6fcdfd7a04b6519e2a1eb618766fc6552a3d73757653c2e9b5f2f77bb2ebaf4882bdeba51db08dc9eb6cae8da4b2ba1a860d064a01991c71660fb68aa6833544a5196c8e9334d744f1a700d8f526b812c9581d7ad188b611cf18ecc0bb78f49b3cf6c0ee7fce181836894afb8fc887bfef20dd4339e801cc4c2fbca381d51d85ed5c9b1abd67005a461a618ac9c1481e4e23ce895823c0c267356ccd341f9074ce501210071b460a3a088c41b7b074113edf70acaab493399d1919d6de8d36cd9ff3c3bb0fa5afdbdd4736a19e5fc50014ca6ec434dddc56305a9ba01ad0efeaf50fa9df6cbf6d0b117165fd0607041e6d776ca73de9654e502d89d127e0e7153c08901f39809a3c1d334f4d2564927c48fc7cd9cb4db37d5f4007c636aefaa43de8b3ef58f7aa757a8301aaae6f5b938cedb74fdbf0ffebd703a754dc9f408b9b5c8dc1d6b2fd8fc200dbf050c48d1d1eae7e1667f12e893b0245a4e3d4a0c32cafc00bec05f602fbe9f1178b88baf49dc6e40b0000000049454e44ae42608200000840010824000000180000000210c0db01000000030000000000000000000000000000001b40000040000000340000000100000002000000000000bf000000bf000036430000e84103000000000000b3000000b3ffff3543000000b3000000b3ffffe7412100000008000000620000000c00000001000000150000000c00000004000000150000000c0000000400000051000000201600000000000000000000b50000001c00000000000000000000000000000000000000b60000001d00000050000000f800000048010000d8140000000000002000cc00b60000001d00000028000000b60000001d0000000100080000000000000000000000000000000000340000000000000000000000ffffff00bfffff0000007400bf740000489cdf0048000000ffdf9c00df9c48000074bf009c480000ffffdf0074000000ffffbf00dfffff0000489c00ffbf740074bfff009cdfff0000004800480048007474480048489c009c48480048007400740074004848000074bfdf00df9c7400bfdf9c00bf7474009c9cdf00007474007474000074749c00bf9c9c007474bf00489c9c0048484800df9c9c00dfbf7400740048009cbfff009c9cbf00749c9c0074489c00749cdf0074bfbf00bf9c4800dfdf9c00747474009cbfbf0001010101010101010101010101010101010101010101010101010101010101010101010101010101010101010101010101010101010101010101010101010101010101010101010101010101010101010101010101010101010101010101010101010101010101010101010101010101010101010101010101010101010101010101010101010101010101010101010101010101010101010101010101010101010101010101010101010101010101010101010101010101010101010101010101010101010101010101010101010101010101010101010101010101010101010101010101010101010101010101010101010101010101010101010101010101010101010101010101010101010101010101010101010101010101010101010101010101010101010101010101010101010101010101010101010101010101010101010101010101010101010101010101010101010101010101010101010101010101010101010101010101010101010101010101010101010101010101010101010101010101010101010101010101010101010101010101010101010101010101010101010101010101010101010101010101010101010101010101010101010101010101010101010101010101010101010101010101010101010101010101010101010101010101010101010101010101010101010101010101010101010101010101010101010101010101010101010101010101010101010101010101010101010101010101010101010101010101010101010101010101010101010101010101010101010101010101010101010101010101010101010101010101010101010101010101010101010101010101010101010101010101010101010101010101010101010101010101010101010101010101010101010101010101010101010101010101010101010101010101010101010101010101010101010101010101010101010101010101010101010101010101010101010101010101010101010101010101010101010101010101010101010101010101010101010101010101010101010101010101010101010101010101010101010101010101010101010101010101010101010101010101010101010101010101010101010101010101010101010101010101010101010101010101010101010101010101010101010101010101010101010101010101010101010101010101010101010101010101010101010101010101010101010101010101010101010101010101010101010101010101010101010101010101010101010101010101010101010101010101010101010101010101010101010101010101010101010101010101010101010101010101010101010101010101010101010101010101010101010101010101010101010101010101010101010101010101010101010101010101010101010101010101010101010101010101010101010101010101010101010101010101010101010101010101010101010101010101010101010101010101010101010101010101010101010101010101010101010101010101010101010101010101010101010101010101010101010101010101010101010101010101010101010101010101010101010101010101010101010101010101010101010101010101010101010101010101010101010101010101010101010101010101010101010101010101010101010101010101010101010101010101010101010e0f000010010105080102190d011100040101010101010101010101010101010101010101010101010109080101010101010101010101010101010101010101010101010101010101010101010101010101010101010101010101010101010101010101010101010101010101010101010101010101010101010101010101010101010101010101010101010101010101010101010101010101010101010101010101010101010101010101010101010101010101010101050a0b0109100112170b0109100112293307010101010101010101010101010101010101010101010101020304010101010101010101010101010101010101010101010101010101010101010101010101010101010101010203040101010101010101010101010101010101010101010101010101010101010101010101010101010101010101010101010101010101010101010101010101010101010101010101010101010101010101010101010101010101010101010508010101010102180701050c0d0e0f100101010101010101010101010101010101010101010101010101090607010101010101010101010101010101010101010101010101010101010101010101010101010101010101010506070101010101010101010101010101010101010101010101010101010101010101010101010101010101010101010101010101010101010101010101010101010101010101010101010101010101010101010101010101010101010101110a0b0101010101090c0d12261c01050401010101010101020308010101010101110000000801010101010500080203000000080101010101010111000000000000000008010101010506070101050c0d01011100060701010203080101010101010e0f0010010102190d0102030008010101010101010101010101010101010111000000040101020300000c0d0101010101010101010101010101010101010101010101010101010101010e0f00080101010e0f000401020310010101010111211e0e16320712290d0101010101010e0f0401010101011213100112130a0b01010109001012130a0b010508010101010101010109001001010e0f000c0d0101121310010111001001011213282d0d0101050c0d01010101010e0f000c0d01121304010203042e07010101010101010101010101010101010111000a0b0101010500040101010101010101010101010101010101010101010101010101010101010101010203060701011214071104011106070e16070102192f0809301631160708010101010101050c0d01010101090a0b01011100040101010101010101010101010908010101010101011213080101010105000401010e0f040101020304010102030401010101020308010101010101010102270111062c1001090a0b01010101010101010101010101010101010102030a0b01010109060701010101010101010101010101010101010101010101010101010101010101010101110004010112290d010101010203000c0d020306070500100e0f0c0d040101010101011106070101010e0f0a0b01010e0f0607010101010101010101010112290d0101010101010e0f0a0b010101020306070101050c0d0101090c0d0101090c0d01010101090c0d01010101010101012b0b110607240d0506070101010101010101010101010101010101010e0f0c0d01011213040101010101010101010101010101010101010101010101010101010101010101010101010900100112290d0101010101010101010101010101010101010101141512130000000000000c0d010e0f0c0d010101050008010101010101010101010102031001010101010101050607010101020306070101110008010105000401011100100101010112130801010101010101012a07050c0d021e1213080101010101010101010101010101010101010105001001010900100101010101010101010101010105000000000000000000000006070101010101010101010e0f0c0d12290d0101010101010101010101010101010101010101000c010510010101090a0b01010109001001010111000801010101010101010101010203040101010101010112130801010112130c0d01010203170d0112132610010203040101010101090a0b010101010101010227050c0d0111280f0a0b0101010101010112130c0d010101010101011100080102030c0d0101010101010101010101010101010101010101010101010101010101010101010101010112130812290d0101010101010101010101010101010101010101000c010109100101050c0d01010111000401010111000801010101010101010101011213040101010101010102030a0b01020300100101010109211e0102030a220d0e0f0c0d01010101121310010101010101010e23090a0b010124250c0d0101010101010105000010010101010101010203040105000801010101010101010101010101010101010101010101010101010101010101010101010101010105061d190d0101010101010101010101010101010101010101000c01010e1607011213100101010203001c0b020306070101010101010101010101090008010101010101010109000000000a0b0101010101050a1b080109061d1e010506070101010101090a0b010101010101011f200a0b0101020300100101010101010112130c0d010101010101010e0f00000006070101010101010101010101010101010101010101010101010101010101010101010101010101010e0f000c0d0101010101010101010101010101010101010101141501010102190d0203080101010105001a13000607010101010101010101010e0f000c0d0101010101010101110010010112130c0d0101011214070508050607110a1b060701010101011100100101010101020300000401010101110004010101010101010101010101010101010101010506071213100101010101010101010101010101050000000000000000000000060701010101010101010101010112130607010101010101010101010101010101010101010115010101010112170b090a0b0101010e0f00100101010101010101010101010900000c0d01010101010101010102030401010112130c0d01090000080105000a0b0112130c0d01010101010e0f0a0b010101010101110004010101010e0f0a0b010101010101010101010101010101010101110008010e0f04010101010101010101010101010101010101010101010101010101010101010101010101010101010506070101010101010101010101010101010101010101010101010101011104050c0d0101010102030607010101010101010101010112170b010101010101010101010101090c0d0101010900100101010101010101010101010101010101010101011106070101010101010101010101010101010101010101010101010101010101010101010101121304010101090a0b01010101010101010101010101010101010101010101010101010101010101010101010101010218070101010101010101010101010101010101010101010101010101010111151310010101010102030607010101010101010101010e16070101010101010101010101010506070101010900100101010101010101010101010101010101010101010e0f0401010101010101010101010101010101010101010101010101010101010101010101010e0f0c0d010101090c0d01010101010101010101010101010101010101010101010101010101010101010101010101121407010101010101010101010101010101010101010101010101010101010105000801010101010101090008010101010101010101011100000000040101010101010101110008010111000a0b01010101010101010101010101010101010101010101110607010101010101010101010101010101010101010101010101010101010101010101010e0f00100101011213001001010101010101010101010101010101010101010101010101010101010101010101010112140701010101010101010101010101010101010101010c010101010101010101090a0b010101010101010105000c0d010101010101010e0f0000000c0d01010101010203000000000000040101010101010101010101010101010101010101010101010203040101010101010101010101010101010101010101010101010101010101010101010e0f00000010010203000000080101010101010101010101010101010101010101010101010101010101010101050801050c0d01010101010101010101010101010101010101010f0001010101010101010101010101010101010101010101010101010101010101010101010101010101010101010101010101010101010101010101010101010101010101010101010101010101050607010101010101010101010101010101010101010101010101010101010101010101010101010101010101010101010101010101010101010101010101010101010101010101010101010101010101050000080101010101010101010101010101010101010101010101010101010101010101010101010101010101010101010101010101010101010101010101010101010101010101010101010101010101010101010101010101010101010101010101010101010203040101010101010101010101010101010101010101010101010101010101010101010101010101010101010101010101010101010101010101010101010101010101010101010101010101010101010101010101010101010101010101010101010101010101010101010101010101010101010101010101010101010101010101010101010101010101010101010101010101010101010101010101010101010101010101010101010101010101010101010101010101010101010101010101010101010101010101010101010101010101010101010101010101010101010101010101010101010101010101010101010101010101010101010101010101010101010101010101010101010101010101010101010101010101010101010101010101010101010101010101010101010101010101010101010101010101010101010101010101010101010101010101010101010101010101010101010101010101010101010101010101010101010101010101010101010101010101010101010101010101010101010101010101010101010101010101010101010101010101010101010101010101010101010101010101010101010101010101010101010101010101010101010101010101010101010101010101010101010101010101010101010101010101010101010101010101010101010101010101010101010101010101010101010101010101010101010101010101010101010101010101010101010101010101010101010101010101010101010101010101010101010101010101010101010101010101010101010101010101010101010101010101010101010101010101010101010101010101010101010101010101010101010101010101010101010101010101010101010101014c000000640000000000000000000000b50000001c0000000000000000000000b60000001d0000002900aa0000000000000000000000803f00000000000000000000803f0000000000000000000000000000000000000000000000000000000000000000220000000c000000ffffffff460000001c00000010000000454d462b024000000c000000000000000e000000140000000000000010000000140000000400000003010800050000000b0200000000050000000c021d00b600030000001e0004000000070104000400000007010400f50a0000410b2000cc001d00b600000000001d00b6000000000028000000b60000001d0000000100080000000000000000000000000000000000340000000000000000000000ffffff00bfffff0000007400bf740000489cdf0048000000ffdf9c00df9c48000074bf009c480000ffffdf0074000000ffffbf00dfffff0000489c00ffbf740074bfff009cdfff0000004800480048007474480048489c009c48480048007400740074004848000074bfdf00df9c7400bfdf9c00bf7474009c9cdf00007474007474000074749c00bf9c9c007474bf00489c9c0048484800df9c9c00dfbf7400740048009cbfff009c9cbf00749c9c0074489c00749cdf0074bfbf00bf9c4800dfdf9c00747474009cbfbf0001010101010101010101010101010101010101010101010101010101010101010101010101010101010101010101010101010101010101010101010101010101010101010101010101010101010101010101010101010101010101010101010101010101010101010101010101010101010101010101010101010101010101010101010101010101010101010101010101010101010101010101010101010101010101010101010101010101010101010101010101010101010101010101010101010101010101010101010101010101010101010101010101010101010101010101010101010101010101010101010101010101010101010101010101010101010101010101010101010101010101010101010101010101010101010101010101010101010101010101010101010101010101010101010101010101010101010101010101010101010101010101010101010101010101010101010101010101010101010101010101010101010101010101010101010101010101010101010101010101010101010101010101010101010101010101010101010101010101010101010101010101010101010101010101010101010101010101010101010101010101010101010101010101010101010101010101010101010101010101010101010101010101010101010101010101010101010101010101010101010101010101010101010101010101010101010101010101010101010101010101010101010101010101010101010101010101010101010101010101010101010101010101010101010101010101010101010101010101010101010101010101010101010101010101010101010101010101010101010101010101010101010101010101010101010101010101010101010101010101010101010101010101010101010101010101010101010101010101010101010101010101010101010101010101010101010101010101010101010101010101010101010101010101010101010101010101010101010101010101010101010101010101010101010101010101010101010101010101010101010101010101010101010101010101010101010101010101010101010101010101010101010101010101010101010101010101010101010101010101010101010101010101010101010101010101010101010101010101010101010101010101010101010101010101010101010101010101010101010101010101010101010101010101010101010101010101010101010101010101010101010101010101010101010101010101010101010101010101010101010101010101010101010101010101010101010101010101010101010101010101010101010101010101010101010101010101010101010101010101010101010101010101010101010101010101010101010101010101010101010101010101010101010101010101010101010101010101010101010101010101010101010101010101010101010101010101010101010101010101010101010101010101010101010101010101010101010101010101010101010101010101010101010101010101010101010101010101010101010101010101010101010101010101010101010101010101010101010101010101010101010101010101010101010101010101010101010101010101010101010101010101010101010101010101010101010101010101010101010101010101010101010101010e0f000010010105080102190d011100040101010101010101010101010101010101010101010101010109080101010101010101010101010101010101010101010101010101010101010101010101010101010101010101010101010101010101010101010101010101010101010101010101010101010101010101010101010101010101010101010101010101010101010101010101010101010101010101010101010101010101010101010101010101010101010101050a0b0109100112170b0109100112293307010101010101010101010101010101010101010101010101020304010101010101010101010101010101010101010101010101010101010101010101010101010101010101010203040101010101010101010101010101010101010101010101010101010101010101010101010101010101010101010101010101010101010101010101010101010101010101010101010101010101010101010101010101010101010101010508010101010102180701050c0d0e0f100101010101010101010101010101010101010101010101010101090607010101010101010101010101010101010101010101010101010101010101010101010101010101010101010506070101010101010101010101010101010101010101010101010101010101010101010101010101010101010101010101010101010101010101010101010101010101010101010101010101010101010101010101010101010101010101110a0b0101010101090c0d12261c01050401010101010101020308010101010101110000000801010101010500080203000000080101010101010111000000000000000008010101010506070101050c0d01011100060701010203080101010101010e0f0010010102190d0102030008010101010101010101010101010101010111000000040101020300000c0d0101010101010101010101010101010101010101010101010101010101010e0f00080101010e0f000401020310010101010111211e0e16320712290d0101010101010e0f0401010101011213100112130a0b01010109001012130a0b010508010101010101010109001001010e0f000c0d0101121310010111001001011213282d0d0101050c0d01010101010e0f000c0d01121304010203042e07010101010101010101010101010101010111000a0b0101010500040101010101010101010101010101010101010101010101010101010101010101010203060701011214071104011106070e16070102192f0809301631160708010101010101050c0d01010101090a0b01011100040101010101010101010101010908010101010101011213080101010105000401010e0f040101020304010102030401010101020308010101010101010102270111062c1001090a0b01010101010101010101010101010101010102030a0b01010109060701010101010101010101010101010101010101010101010101010101010101010101110004010112290d010101010203000c0d020306070500100e0f0c0d040101010101011106070101010e0f0a0b01010e0f0607010101010101010101010112290d0101010101010e0f0a0b010101020306070101050c0d0101090c0d0101090c0d01010101090c0d01010101010101012b0b110607240d0506070101010101010101010101010101010101010e0f0c0d01011213040101010101010101010101010101010101010101010101010101010101010101010101010900100112290d0101010101010101010101010101010101010101141512130000000000000c0d010e0f0c0d010101050008010101010101010101010102031001010101010101050607010101020306070101110008010105000401011100100101010112130801010101010101012a07050c0d021e1213080101010101010101010101010101010101010105001001010900100101010101010101010101010105000000000000000000000006070101010101010101010e0f0c0d12290d0101010101010101010101010101010101010101000c010510010101090a0b01010109001001010111000801010101010101010101010203040101010101010112130801010112130c0d01010203170d0112132610010203040101010101090a0b010101010101010227050c0d0111280f0a0b0101010101010112130c0d010101010101011100080102030c0d0101010101010101010101010101010101010101010101010101010101010101010101010112130812290d0101010101010101010101010101010101010101000c010109100101050c0d01010111000401010111000801010101010101010101011213040101010101010102030a0b01020300100101010109211e0102030a220d0e0f0c0d01010101121310010101010101010e23090a0b010124250c0d0101010101010105000010010101010101010203040105000801010101010101010101010101010101010101010101010101010101010101010101010101010105061d190d0101010101010101010101010101010101010101000c01010e1607011213100101010203001c0b020306070101010101010101010101090008010101010101010109000000000a0b0101010101050a1b080109061d1e010506070101010101090a0b010101010101011f200a0b0101020300100101010101010112130c0d010101010101010e0f00000006070101010101010101010101010101010101010101010101010101010101010101010101010101010e0f000c0d0101010101010101010101010101010101010101141501010102190d0203080101010105001a13000607010101010101010101010e0f000c0d0101010101010101110010010112130c0d0101011214070508050607110a1b060701010101011100100101010101020300000401010101110004010101010101010101010101010101010101010506071213100101010101010101010101010101050000000000000000000000060701010101010101010101010112130607010101010101010101010101010101010101010115010101010112170b090a0b0101010e0f00100101010101010101010101010900000c0d01010101010101010102030401010112130c0d01090000080105000a0b0112130c0d01010101010e0f0a0b010101010101110004010101010e0f0a0b010101010101010101010101010101010101110008010e0f04010101010101010101010101010101010101010101010101010101010101010101010101010101010506070101010101010101010101010101010101010101010101010101011104050c0d0101010102030607010101010101010101010112170b010101010101010101010101090c0d0101010900100101010101010101010101010101010101010101011106070101010101010101010101010101010101010101010101010101010101010101010101121304010101090a0b01010101010101010101010101010101010101010101010101010101010101010101010101010218070101010101010101010101010101010101010101010101010101010111151310010101010102030607010101010101010101010e16070101010101010101010101010506070101010900100101010101010101010101010101010101010101010e0f0401010101010101010101010101010101010101010101010101010101010101010101010e0f0c0d010101090c0d01010101010101010101010101010101010101010101010101010101010101010101010101121407010101010101010101010101010101010101010101010101010101010105000801010101010101090008010101010101010101011100000000040101010101010101110008010111000a0b01010101010101010101010101010101010101010101110607010101010101010101010101010101010101010101010101010101010101010101010e0f00100101011213001001010101010101010101010101010101010101010101010101010101010101010101010112140701010101010101010101010101010101010101010c010101010101010101090a0b010101010101010105000c0d010101010101010e0f0000000c0d01010101010203000000000000040101010101010101010101010101010101010101010101010203040101010101010101010101010101010101010101010101010101010101010101010e0f00000010010203000000080101010101010101010101010101010101010101010101010101010101010101050801050c0d01010101010101010101010101010101010101010f0001010101010101010101010101010101010101010101010101010101010101010101010101010101010101010101010101010101010101010101010101010101010101010101010101010101050607010101010101010101010101010101010101010101010101010101010101010101010101010101010101010101010101010101010101010101010101010101010101010101010101010101010101050000080101010101010101010101010101010101010101010101010101010101010101010101010101010101010101010101010101010101010101010101010101010101010101010101010101010101010101010101010101010101010101010101010101010203040101010101010101010101010101010101010101010101010101010101010101010101010101010101010101010101010101010101010101010101010101010101010101010101010101010101010101010101010101010101010101010101010101010101010101010101010101010101010101010101010101010101010101010101010101010101010101010101010101010101010101010101010101010101010101010101010101010101010101010101010101010101010101010101010101010101010101010101010101010101010101010101010101010101010101010101010101010101010101010101010101010101010101010101010101010101010101010101010101010101010101010101010101010101010101010101010101010101010101010101010101010101010101010101010101010101010101010101010101010101010101010101010101010101010101010101010101010101010101010101010101010101010101010101010101010101010101010101010101010101010101010101010101010101010101010101010101010101010101010101010101010101010101010101010101010101010101010101010101010101010101010101010101010101010101010101010101010101010101010101010101010101010101010101010101010101010101010101010101010101010101010101010101010101010101010101010101010101010101010101010101010101010101010101010101010101010101010101010101010101010101010101010101010101010101010101010101010101010101010101010101010101010101010101010101010101010101010101010101010101010101010101010101010101010101010101010101010101010101010c00000040092900aa000000000000001d00b60000000000040000002701ffff030000000000 – коэффициент теплопроводности стали
В
качестве первого приближения принимаем
температуру наружной поверхности
внешнего слоя загрязнений t' = 124010009000003f004000000004c03000000004c03000026060f008e06574d46430100000000000100dee200000000010000006c060000000000006c060000010000006c0000000000000000000000120000001c0000000000000000000000f1010000f702000020454d46000001006c0600000c00000001000000000000000000000000000000900600001a040000b801000013010000000000000000000000000000c0b6060038320400460000002c00000020000000454d462b014001001c000000100000000210c0db01000000600000006000000046000000f4010000e8010000454d462b224004000c000000000000001e4009000c00000000000000244001000c000000000000003040020010000000040000000000803f214007000c000000000000000840000540010000340100000210c0db01000000000000000000000000000000000000000100000089504e470d0a1a0a0000000d49484452000000130000001d08030000007f84a78e000000017352474200aece1ce9000000097048597300000ec400000ec401952b0e1b00000042504c544500000000004800007400489c0074bf48000048007448489c489cdf74000074bfff9c48009cdfffbf7400bfffffdf9c48dfffffffbf74ffdf9cffffbfffffdfffffff25049bae0000006d4944415428cfbd90c70e80300c43cd2e23a583fcffafd2428a5a7164f8143d29896df05d789d6d33d01eb3eb10d4186cb362a608092af2c05cafc334185e2362b619f363add3bd7357b195a3f90f592dbc3c61c50f51347bcb4b9892e78bf9b15a245bd607413af8a5fbefd90e88f728711999dadb0000000049454e44ae42608200000840010824000000180000000210c0db01000000030000000000000000000000000000001b40000040000000340000000100000002000000000000bf000000bf000098410000e84103000000000080b3000080b3ffff9741000080b3000080b3ffffe7412100000008000000620000000c00000001000000150000000c00000004000000150000000c0000000400000051000000140300000000000000000000120000001c00000000000000000000000000000000000000130000001d0000005000000080000000d000000044020000000000002000cc00130000001d00000028000000130000001d0000000100080000000000000000000000000000000000160000000000000000000000ffffff00dfffff0000489c00bf7400009cdfff00000048009c480000ffffdf00df9c48000074bf0074004800ffffbf009c484800489cdf0074bfff00bfffff000000740074000000ffbf740048000000ffdf9c00010101010101010101010101010101010101010101010101010101010101010101010101010101010101010101010101010101010101010101010101010101010101010101010101010101010101010101010101010101010101010101010101010101010101010101010101010101010101010101010101010101010101010101010101010101010101010101010101010101010101010101010101010101010101010101010101010101010101010101010101010101010101010101010101010101010101010101010101010101010101010a000000000007080101010101010101010110111415010105060708010101010101010101010a0013010101010f070801010101010101010105060708010101010101010101010101010101010f000401010101010101010101010101010101010e000901010101010101010101010101010101010e000901010101010101010101010101010101010e000901010101010101010101020300000401010e000901010101010101010102030901010a09010f0004010101010101010101050b0c0101050d081011120c0101010101010101050b0c0101050d08010e0009010101010f07080102030901010a040101010a0009010105060708010102030000040101010101050600000000070801010101010101010101010101010101010101010101010101010101010101010101010101010101010101010101010101010101010101010101010101010101010101010101010101010101010101010101010101010101010101010101010101010101014c000000640000000000000000000000120000001c0000000000000000000000130000001d0000002900aa0000000000000000000000803f00000000000000000000803f0000000000000000000000000000000000000000000000000000000000000000220000000c000000ffffffff460000001c00000010000000454d462b024000000c000000000000000e000000140000000000000010000000140000000400000003010800050000000b0200000000050000000c021d001300030000001e00040000000701040004000000070104006f010000410b2000cc001d001300000000001d0013000000000028000000130000001d0000000100080000000000000000000000000000000000160000000000000000000000ffffff00dfffff0000489c00bf7400009cdfff00000048009c480000ffffdf00df9c48000074bf0074004800ffffbf009c484800489cdf0074bfff00bfffff000000740074000000ffbf740048000000ffdf9c00010101010101010101010101010101010101010101010101010101010101010101010101010101010101010101010101010101010101010101010101010101010101010101010101010101010101010101010101010101010101010101010101010101010101010101010101010101010101010101010101010101010101010101010101010101010101010101010101010101010101010101010101010101010101010101010101010101010101010101010101010101010101010101010101010101010101010101010101010101010101010a000000000007080101010101010101010110111415010105060708010101010101010101010a0013010101010f070801010101010101010105060708010101010101010101010101010101010f000401010101010101010101010101010101010e000901010101010101010101010101010101010e000901010101010101010101010101010101010e000901010101010101010101020300000401010e000901010101010101010102030901010a09010f0004010101010101010101050b0c0101050d081011120c0101010101010101050b0c0101050d08010e0009010101010f07080102030901010a040101010a0009010105060708010102030000040101010101050600000000070801010101010101010101010101010101010101010101010101010101010101010101010101010101010101010101010101010101010101010101010101010101010101010101010101010101010101010101010101010101010101010101010101010101010c00000040092900aa000000000000001d00130000000000040000002701ffff030000000000
Тогда коэффициент теплоотдачи и плотность теплового потока от пара определится


Температура поверхности загрязнений со стороны раствора определится


Определяем коэффициент теплоотдачи к раствору

Плотность теплового потока


Следовательно, необходимо уменьшить температуру стенки со стороны пара


Второе приближение
Вновь вычисляем коэффициент теплоотдачи и плотность теплового потока от пара к наружной стенке


Температура внутренней поверхности

Коэффициент теплоотдачи и плотность теплового потока к раствору


Расхождение

Поэтому дальнейшее приближение не требуется.
Коэффициент теплопередачи

Где
К – коэффициент теплопередачи,
;
– коэффициент теплоотдачи
от пара к стенке,
;
0100090000038c0500000000a60300000000a603000026060f004207574d46430100000000000100f3ce0000000001000000200700000000000020070000010000006c0000000000000000000000150000001c00000000000000000000003f020000f702000020454d4600000100200700000c00000001000000000000000000000000000000900600001a040000b801000013010000000000000000000000000000c0b6060038320400460000002c00000020000000454d462b014001001c000000100000000210c0db010000006000000060000000460000002402000018020000454d462b224004000c000000000000001e4009000c00000000000000244001000c000000000000003040020010000000040000000000803f214007000c000000000000000840000570010000640100000210c0db01000000000000000000000000000000000000000100000089504e470d0a1a0a0000000d49484452000000160000001d080300000099ad6cca000000017352474200aece1ce9000000097048597300000ec400000ec401952b0e1b0000004e504c544500000000004800007400489c0074bf4800004800744874bf489cdf74000074bfff9c48009c48489c749c9cdfffbf7400bf7448bfffffdf9c48dfdfffdfffffffbf74ffdf9cffffbfffffdfffffff225f1c8a000000904944415428cfbdd1cb1283200c40d1d86a0bd812a5f2faff1f3588168b59b8a92ccf4ceec408917df07ff612401cd8752a22a89af136d280a8d8cb966bdb9fee97cd3e5b38a58fece57d62d875251d7a687466b36b0c3a1a9a250e2f9d09550c1f1a7e8c890dc0b209aecbbb2745d235f2db52436af762f99ea2567187b52d77efac359386f75433c2bad5057ffe24cf63f4383af28009b50000000049454e44ae4260820000000840010824000000180000000210c0db01000000030000000000000000000000000000001b40000040000000340000000100000002000000000000bf000000bf0000b0410000e84103000000000000b3000000b3ffffaf41000000b3000000b3ffffe7412100000008000000620000000c00000001000000150000000c00000004000000150000000c0000000400000051000000980300000000000000000000150000001c00000000000000000000000000000000000000160000001d0000005000000090000000e0000000b8020000000000002000cc00160000001d00000028000000160000001d00000001000800000000000000000000000000000000001a0000000000000000000000ffffff00bfffff0000007400df9c48009cdfff0000004800ffbf74000074bf0074000000ffffbf00bf74000074bfff00489cdf009c480000ffffdf00dfffff0000489c0048000000ffdf9c004874bf0048489c00ffdfdf0074004800bf7448009c749c0001010101010101010101010101010101010101010101010101010101010101010101010101010101010101010101010101010101010101010101010101010101010101010101010101010101010101010101010101010101010101010101010101010101010101010101010101010101010101010101010101010101010101010101010101010101010101010101010101010101010101010101010101080000000007010101010101010101010101010101010101010c0b0110190f010101010101010101010101010101010101010c0b01010101010101010101010101010101010101010101010c0b01010101010111040101010c000000090a0101010101010c07010101070802030000000000000000090a01010101010114130101070801010d00000007010101080b01010101010105180101070801011015130101010101010807011016010105170a0101010101010d090a0101010101010101011413010d0e0f01010101010105060401010101010101010110110012130101010101010102030e0f01010101010101010101010101010101010101010108090a0101010101010101010101010101010101010101010d00070101010101010101010101010101010101010101010c000401010101010101010101010101010101010101010102030b0101010101010101010101010101010101010101010108090a010203040101010101010101010107080101010101050607010800070101010101010101010107080101010101010203000004010101010101010101010107080101010101010101010101010101010101010101010101010101010101010101010101010101010101010101010101010101010101010101010101010101010101010101010101010101010101010101010101010101010101010101010101010101010101010101010101010101010101010101010101014c000000640000000000000000000000150000001c0000000000000000000000160000001d0000002900aa0000000000000000000000803f00000000000000000000803f0000000000000000000000000000000000000000000000000000000000000000220000000c000000ffffffff460000001c00000010000000454d462b024000000c000000000000000e000000140000000000000010000000140000000400000003010800050000000b0200000000050000000c021d001600030000001e0004000000070104000400000007010400b1010000410b2000cc001d001600000000001d0016000000000028000000160000001d00000001000800000000000000000000000000000000001a0000000000000000000000ffffff00bfffff0000007400df9c48009cdfff0000004800ffbf74000074bf0074000000ffffbf00bf74000074bfff00489cdf009c480000ffffdf00dfffff0000489c0048000000ffdf9c004874bf0048489c00ffdfdf0074004800bf7448009c749c0001010101010101010101010101010101010101010101010101010101010101010101010101010101010101010101010101010101010101010101010101010101010101010101010101010101010101010101010101010101010101010101010101010101010101010101010101010101010101010101010101010101010101010101010101010101010101010101010101010101010101010101010101080000000007010101010101010101010101010101010101010c0b0110190f010101010101010101010101010101010101010c0b01010101010101010101010101010101010101010101010c0b01010101010111040101010c000000090a0101010101010c07010101070802030000000000000000090a01010101010114130101070801010d00000007010101080b01010101010105180101070801011015130101010101010807011016010105170a0101010101010d090a0101010101010101011413010d0e0f01010101010105060401010101010101010110110012130101010101010102030e0f01010101010101010101010101010101010101010108090a0101010101010101010101010101010101010101010d00070101010101010101010101010101010101010101010c000401010101010101010101010101010101010101010102030b0101010101010101010101010101010101010101010108090a010203040101010101010101010107080101010101050607010800070101010101010101010107080101010101010203000004010101010101010101010107080101010101010101010101010101010101010101010101010101010101010101010101010101010101010101010101010101010101010101010101010101010101010101010101010101010101010101010101010101010101010101010101010101010101010101010101010101010101010101010101010c00000040092900aa000000000000001d00160000000000040000002701ffff030000000000
– коэффициент теплоотдачи
от стенки к раствору,
;
– сумма тепловых
сопротивлений.

Необходимая поверхность теплопередачи


Выбираем выпарной аппарат по ГОСТ 11987 – 81 F=160м2
|
Таблица 1. Техническая характеристика выпарного аппарата |
Масса аппарата |
кг |
12000 |
|
Высота аппарата, Н |
мм |
13500 |
|
|
Диаметр циркуляционной трубы, D>2> |
мм |
700 |
|
|
Диаметр сепаратора, D>1> |
мм |
2400 |
|
|
Диаметр греющей камеры, D |
мм |
1200 |
|
|
Длина труб, l |
м |
4000 |
|
|
Поверхность теплообмена при d>тр>=38*2мм |
мм |
160 |
Запас поверхности теплообмена

2.3 Конструктивный расчёт
2.3.1 Определение числа кипятильных труб

где 0100090000037204000000000a03000000000a03000026060f000a06574d46430100000000000100dc320000000001000000e805000000000000e8050000010000006c00000000000000000000000d0000001c00000000000000000000006e010000f702000020454d4600000100e80500000c00000001000000000000000000000000000000900600001a040000b801000013010000000000000000000000000000c0b6060038320400460000002c00000020000000454d462b014001001c000000100000000210c0db01000000600000006000000046000000e8010000dc010000454d462b224004000c000000000000001e4009000c00000000000000244001000c000000000000003040020010000000040000000000803f214007000c000000000000000840000534010000280100000210c0db01000000000000000000000000000000000000000100000089504e470d0a1a0a0000000d494844520000000e0000001d0803000000add4add6000000017352474200aece1ce9000000097048597300000ec400000ec401952b0e1b0000003f504c544500000000004800007400489c0074bf480000480048480074489cdf74000074bfff9c48009cdfffbfffffdf9c48dfffffffbf74ffdf9cffffbfffffdfffffff4257bb23000000654944415428cfadd0490ec020080550dadac13a14d4fb9fb53834e2bab290bc10be464843c13f4603adee328d66b1dc3c9f95dbc38d4e5748bb9251c84b8279297935265f8d41f3800edb887990632b7d4f6246b33ac1a0cb233e224822dfd10d533f67165f3ebc1c34612e87910000000049454e44ae426082000840010824000000180000000210c0db01000000030000000000000000000000000000001b40000040000000340000000100000002000000000000bf000000bf000060410000e84103000000000000b3000000b3ffff5f41000000b3000000b3ffffe7412100000008000000620000000c00000001000000150000000c00000004000000150000000c00000004000000510000009c02000000000000000000000d0000001c000000000000000000000000000000000000000e0000001d000000500000007c000000cc000000d0010000000000002000cc000e0000001d000000280000000e0000001d0000000100080000000000000000000000000000000000150000000000000000000000ffffff00dfffff0000489c00ffbf740048000000ffdf9c00489cdf009c480000ffffdf009cdfff0074004800ffffbf0000004800bf74000074bfff00df9c4800bfffff00000074004800480074000000010101010101010101010101010136360101010101010101010101010101363601010101010101010101010101013636010101010101010101010101010136360101010101010101010101010101363601010101010101010101010101013636010101010101010101010101010136360101010101010101010101010101363601010101010101010101010101013636010101010101010101010101010136360f000000080901010101010101013636010f000809010101010101010101363601111208090101010101010101013636010203140c01010101010101010136360101070004010101010101010101363601010f001001010a0b0c010101013636010111120e01010a1306010101013636010102030000000000100101010136360101010705060101070e0101010136360101010f0004010101010101010136360101010a0d0e01010101010101013636010101020308090101010a0b0c013636010101020305060101010705060136360101020300000000000000000401363601010101010101010101010101013636010101010101010101010101010136360101010101010101010101010101363601010101010101010101010101013636010101010101010101010101010124244c0000006400000000000000000000000d0000001c00000000000000000000000e0000001d0000002900aa0000000000000000000000803f00000000000000000000803f0000000000000000000000000000000000000000000000000000000000000000220000000c000000ffffffff460000001c00000010000000454d462b024000000c000000000000000e000000140000000000000010000000140000000400000003010800050000000b0200000000050000000c021d000e00030000001e000400000007010400040000000701040033010000410b2000cc001d000e00000000001d000e0000000000280000000e0000001d0000000100080000000000000000000000000000000000150000000000000000000000ffffff00dfffff0000489c00ffbf740048000000ffdf9c00489cdf009c480000ffffdf009cdfff0074004800ffffbf0000004800bf74000074bfff00df9c4800bfffff00000074004800480074000000010101010101010101010101010136360101010101010101010101010101363601010101010101010101010101013636010101010101010101010101010136360101010101010101010101010101363601010101010101010101010101013636010101010101010101010101010136360101010101010101010101010101363601010101010101010101010101013636010101010101010101010101010136360f000000080901010101010101013636010f000809010101010101010101363601111208090101010101010101013636010203140c01010101010101010136360101070004010101010101010101363601010f001001010a0b0c010101013636010111120e01010a1306010101013636010102030000000000100101010136360101010705060101070e0101010136360101010f0004010101010101010136360101010a0d0e01010101010101013636010101020308090101010a0b0c013636010101020305060101010705060136360101020300000000000000000401363601010101010101010101010101013636010101010101010101010101010136360101010101010101010101010101363601010101010101010101010101013636010101010101010101010101010124240c00000040092900aa000000000000001d000e0000000000040000002701ffff030000000000 - площадь поверхности теплообмена, м2;
- число труб;
- средний диаметр труб,
м;
- длина труб, м.

2.3.2 Определение диаметров патрубков
Диаметры патрубков определяются из уравнения

где 0100090000037a04000000001003000000001003000026060f001606574d46430100000000000100a22c0000000001000000f405000000000000f4050000010000006c00000000000000000000000f0000001c0000000000000000000000a2010000f702000020454d4600000100f40500000c00000001000000000000000000000000000000900600001a040000b801000013010000000000000000000000000000c0b6060038320400460000002c00000020000000454d462b014001001c000000100000000210c0db01000000600000006000000046000000f0010000e4010000454d462b224004000c000000000000001e4009000c00000000000000244001000c000000000000003040020010000000040000000000803f214007000c00000000000000084000053c010000300100000210c0db01000000000000000000000000000000000000000100000089504e470d0a1a0a0000000d49484452000000100000001d080300000094b31c8d000000017352474200aece1ce9000000097048597300000ec400000ec401952b0e1b00000042504c544500000000004800007400489c0074bf48000048489c489cdf74000074bfff9c48009c74009cdfffbf7400bfffffdf9c48dfffffffbf74ffdf9cffffbfffffdfffffff7e1110c20000006b4944415428cfcd90cb1280200845292bd1321fe8ffff6aa0b469d15a173873ee016680f67930132847922f6e0ae272f590d07590c1a91e4c62402866586f2eacc268502aa07af65ad9ed0b08054499533df729908ca75bd91238cce6b46d44c02280498420f96417fb050f055b22330c8930ac0000000049454e44ae4260820840010824000000180000000210c0db01000000030000000000000000000000000000001b40000040000000340000000100000002000000000000bf000000bf000080410000e84103000000000000b3000000b3ffff7f41000000b3000000b3ffffe7412100000008000000620000000c00000001000000150000000c00000004000000150000000c0000000400000051000000a002000000000000000000000f0000001c00000000000000000000000000000000000000100000001d0000005000000080000000d0000000d0010000000000002000cc00100000001d00000028000000100000001d0000000100080000000000000000000000000000000000160000000000000000000000ffffff009cdfff009c484800ffffdf00489cdf00bf74000048000000ffdf9c00bfffff0000007400ffbf740074bfff000074bf009c48000074000000ffffbf00dfffff0000489c0000004800df9c480000749c000101010101010101010101010101010101010101010101010101010101010101010101010101010101010101010101010101010101010101010101010101010101010101010101010101010101010101010101010101010101010101010101010101010101010101010101010101010101010101010101010101010101010101010101010101010101010101010101010101010101010101010101010101010101111200000e04090a00001401010101010d000b010c0e151401090a0e040101090a0e0401010d070801010c00140101090a0e04010105000b010111120f100111120e0401010213140101010d070801010507080101090a060101010d07080101090a060101010d0f1001010d07080101010c000b010101010101010d0e04010101010507080101010101090a0b0101010101010203040101010105060101010101010101010101010101010101010101010101010101010101010101010101010101010101010101010101010101010101010101010101010101010101010101010101010101010101010101010101010101010101010101010101010101010101010101010101010101010101010101010101010101010101010101010101010101010101010101010101010101014c0000006400000000000000000000000f0000001c0000000000000000000000100000001d0000002900aa0000000000000000000000803f00000000000000000000803f0000000000000000000000000000000000000000000000000000000000000000220000000c000000ffffffff460000001c00000010000000454d462b024000000c000000000000000e000000140000000000000010000000140000000400000003010800050000000b0200000000050000000c021d001000030000001e000400000007010400040000000701040035010000410b2000cc001d001000000000001d0010000000000028000000100000001d0000000100080000000000000000000000000000000000160000000000000000000000ffffff009cdfff009c484800ffffdf00489cdf00bf74000048000000ffdf9c00bfffff0000007400ffbf740074bfff000074bf009c48000074000000ffffbf00dfffff0000489c0000004800df9c480000749c000101010101010101010101010101010101010101010101010101010101010101010101010101010101010101010101010101010101010101010101010101010101010101010101010101010101010101010101010101010101010101010101010101010101010101010101010101010101010101010101010101010101010101010101010101010101010101010101010101010101010101010101010101010101111200000e04090a00001401010101010d000b010c0e151401090a0e040101090a0e0401010d070801010c00140101090a0e04010105000b010111120f100111120e0401010213140101010d070801010507080101090a060101010d07080101090a060101010d0f1001010d07080101010c000b010101010101010d0e04010101010507080101010101090a0b0101010101010203040101010105060101010101010101010101010101010101010101010101010101010101010101010101010101010101010101010101010101010101010101010101010101010101010101010101010101010101010101010101010101010101010101010101010101010101010101010101010101010101010101010101010101010101010101010101010101010101010101010101010101010c00000040092900aa000000000000001d00100000000000040000002701ffff030000000000 - средняя скорость движения жидкости в
трубопроводе, м/с;
- площадь поперечного
сечения трубы, м 2;
- плотность жидкости,
кг/м3.
Скорость принимается в пределах
жидкости
0,50100090000032603000000004a02000000004a02000026060f008a04574d46430100000000000100d6250000000001000000680400000000000068040000010000006c00000000000000000000000f0000001c0000000000000000000000a2010000f702000020454d4600000100680400000c00000001000000000000000000000000000000900600001a040000b801000013010000000000000000000000000000c0b6060038320400460000002c00000020000000454d462b014001001c000000100000000210c0db010000006000000060000000460000008001000074010000454d462b224004000c000000000000001e4009000c00000000000000244001000c000000000000003040020010000000040000000000803f214007000c0000000000000008400005cc000000c00000000210c0db01000000000000000000000000000000000000000100000089504e470d0a1a0a0000000d49484452000000100000001d04030000005143f18c000000017352474200aece1ce9000000097048597300000ec400000ec401952b0e1b0000001b504c544500000000004800489c4800009cdfffdf9c48dfffffffdf9cffffff1ce911030000001f4944415428cf63e88002062a328ad5d019686a5a194080d1834cedd4660000f60675f39cbce4c90000000049454e44ae4260820000000840010824000000180000000210c0db01000000030000000000000000000000000000001b40000040000000340000000100000002000000000000bf000000bf000080410000e84103000000000000b3000000b3ffff7f41000000b3000000b3ffffe7412100000008000000620000000c00000001000000150000000c00000004000000150000000c00000004000000510000008401000000000000000000000f0000001c00000000000000000000000000000000000000100000001d000000500000004c0000009c000000e8000000000000002000cc00100000001d00000028000000100000001d0000000100040000000000000000000000000000000000090000000000000000000000ffffff009cdfff00000048009c480000ffffdf00489cdf0048000000ffdf9c00111111111111111111111111111111111111111111111111111111111111111111111111111111111111111111111111111111111111111111111111111111111111111111111111111111111111111111111111111111111111112345111111111111234511111111111111111111111111111111111111160000000000078111111111111111111111111111111111111111234511111111111123451111111111111111111111111111111111111111111111111111111111111111111111111111111111111111111111111111111111111111111111111111111111111111111111111111114c0000006400000000000000000000000f0000001c0000000000000000000000100000001d0000002900aa0000000000000000000000803f00000000000000000000803f0000000000000000000000000000000000000000000000000000000000000000220000000c000000ffffffff460000001c00000010000000454d462b024000000c000000000000000e000000140000000000000010000000140000000400000003010800050000000b0200000000050000000c021d001000030000001e0004000000070104000400000007010400a7000000410b2000cc001d001000000000001d0010000000000028000000100000001d0000000100040000000000000000000000000000000000090000000000000000000000ffffff009cdfff00000048009c480000ffffdf00489cdf0048000000ffdf9c00111111111111111111111111111111111111111111111111111111111111111111111111111111111111111111111111111111111111111111111111111111111111111111111111111111111111111111111111111111111111112345111111111111234511111111111111111111111111111111111111160000000000078111111111111111111111111111111111111111234511111111111123451111111111111111111111111111111111111111111111111111111111111111111111111111111111111111111111111111111111111111111111111111111111111111111111111111110c00000040092900aa000000000000001d00100000000000040000002701ffff030000000000
2
м/с
пары
200100090000032603000000004a02000000004a02000026060f008a04574d46430100000000000100d6250000000001000000680400000000000068040000010000006c00000000000000000000000f0000001c0000000000000000000000a2010000f702000020454d4600000100680400000c00000001000000000000000000000000000000900600001a040000b801000013010000000000000000000000000000c0b6060038320400460000002c00000020000000454d462b014001001c000000100000000210c0db010000006000000060000000460000008001000074010000454d462b224004000c000000000000001e4009000c00000000000000244001000c000000000000003040020010000000040000000000803f214007000c0000000000000008400005cc000000c00000000210c0db01000000000000000000000000000000000000000100000089504e470d0a1a0a0000000d49484452000000100000001d04030000005143f18c000000017352474200aece1ce9000000097048597300000ec400000ec401952b0e1b0000001b504c544500000000004800489c4800009cdfffdf9c48dfffffffdf9cffffff1ce911030000001f4944415428cf63e88002062a328ad5d019686a5a194080d1834cedd4660000f60675f39cbce4c90000000049454e44ae4260820000000840010824000000180000000210c0db01000000030000000000000000000000000000001b40000040000000340000000100000002000000000000bf000000bf000080410000e84103000000000000b3000000b3ffff7f41000000b3000000b3ffffe7412100000008000000620000000c00000001000000150000000c00000004000000150000000c00000004000000510000008401000000000000000000000f0000001c00000000000000000000000000000000000000100000001d000000500000004c0000009c000000e8000000000000002000cc00100000001d00000028000000100000001d0000000100040000000000000000000000000000000000090000000000000000000000ffffff009cdfff00000048009c480000ffffdf00489cdf0048000000ffdf9c00111111111111111111111111111111111111111111111111111111111111111111111111111111111111111111111111111111111111111111111111111111111111111111111111111111111111111111111111111111111111112345111111111111234511111111111111111111111111111111111111160000000000078111111111111111111111111111111111111111234511111111111123451111111111111111111111111111111111111111111111111111111111111111111111111111111111111111111111111111111111111111111111111111111111111111111111111111114c0000006400000000000000000000000f0000001c0000000000000000000000100000001d0000002900aa0000000000000000000000803f00000000000000000000803f0000000000000000000000000000000000000000000000000000000000000000220000000c000000ffffffff460000001c00000010000000454d462b024000000c000000000000000e000000140000000000000010000000140000000400000003010800050000000b0200000000050000000c021d001000030000001e0004000000070104000400000007010400a7000000410b2000cc001d001000000000001d0010000000000028000000100000001d0000000100040000000000000000000000000000000000090000000000000000000000ffffff009cdfff00000048009c480000ffffdf00489cdf0048000000ffdf9c00111111111111111111111111111111111111111111111111111111111111111111111111111111111111111111111111111111111111111111111111111111111111111111111111111111111111111111111111111111111111112345111111111111234511111111111111111111111111111111111111160000000000078111111111111111111111111111111111111111234511111111111123451111111111111111111111111111111111111111111111111111111111111111111111111111111111111111111111111111111111111111111111111111111111111111111111111111110c00000040092900aa000000000000001d00100000000000040000002701ffff030000000000
50 м/с
После подсчёта необходимо согласовать значения диаметра с нормализованным диаметром труб.

где
расход,
кг/с.
Для раствора:

















Принимаем 010009000003341600000000720c00000000720c000026060f00da18574d464301000000000001007cf50000000001000000b818000000000000b8180000010000006c00000000000000000000009d0000001c000000000000000000000029100000f702000020454d4600000100b81800000c00000001000000000000000000000000000000900600001a040000b801000013010000000000000000000000000000c0b6060038320400460000002c00000020000000454d462b014001001c000000100000000210c0db0100000060000000600000004600000004040000f8030000454d462b224004000c000000000000001e4009000c00000000000000244001000c000000000000003040020010000000040000000000803f214007000c000000000000000840000550030000440300000210c0db01000000000000000000000000000000000000000100000089504e470d0a1a0a0000000d494844520000009e0000001d08030000006c7f253f000000017352474200aece1ce9000000097048597300000ec400000ec401952b0e1b0000008a504c544500000000004800007400489c0074bf48000048004848007448489c4874744874bf489cbf489cdf7400007400487400747474007474bf74bfdf74bfff9c48009c48489c9c489c9c749c9cbf9c9cdf9cbf9c9cdfbf9cdfdf9cdfffbf7400bf7448bf7474bf9c9cbfffbfbfffffdf9c48df9c74df9c9cdfffffffbf74ffbf9cffdf9cffffbfffffdfffffff509f8a55000002364944415458c3ed57d952c3300c54a1e14c28d48172d51c35d4c4e9ffff1eb2e534525268cc0c3385699eaa8c65af56ab750aab9d7e600fefffc3ab4b00b5cbece9d1fc07f9fa70d95407078bef565a10040cc890f0e8a0b4c740be3e1bc6dfaf04816f7b86805797e37474f6340b07d6d79c79dd80b0ed966e8244e9168fccd80eafcaf274746343eda94e18f3ae88245559a77975b9ee90c8d8024f038c66e9d2c323a222b490515d86bdaaacdb0fd621dd119e2562a98036005f2d2eec55da550d3dbc06ec972bf2b5d0bbf8aaac276657283e1a6d06124e883c301e401c5957a44e86574f95a9968e9cd3347ad8b0a115748a8cf74bbf3ceaa20d20f6c015a993e107c0b404c8564a369b25c7e215cfa86f834c9e6f7c160b20fa9d4d3565a3a419c9fab0f21ebc30bc620d1bec3b5fa99d06e9b100ea32ec63be9e8c8ddaab327ab106c17585e41dbc161d7c5d7422e3638e88dc15d9070b8044e78aad06bec958584dbc739b46a3874e64bc2c71afe70591c482c85e6398d6f36130b030c00699f4563aef1b0bc317b0bc890eb10c7787a5ce14898507a43d3d454742ade3797e20ddc5fdd990d9251b0b300caba6b9bd6d7b49842b0c025c0d4a66d018f94141351a60c1db1c82cd286f936a551dcdc9c986ddbfd1f5fc069c6b77d190641b76a37c15fdce6506c253d47c7c7fce835c7eef9946eaf607f7ef60434ab99ea0a386c0483d9b2c7e0b5d9ac14af6c6c834c27b7abcc6c9f925f292be3c4056e66f3b83dd373bf2e9bcff2bb487b787f717e17d02b6c9e06d27cb1cff0000000049454e44ae426082000840010824000000180000000210c0db01000000030000000000000000000000000000001b40000040000000340000000100000002000000000000bf000000bf00001e430000e84103000000000000b3000000b3ffff1d43000000b3000000b3ffffe7412100000008000000620000000c00000001000000150000000c00000004000000150000000c00000004000000510000005013000000000000000000009d0000001c000000000000000000000000000000000000009e0000001d00000050000000e00000003001000020120000000000002000cc009e0000001d000000280000009e0000001d00000001000800000000000000000000000000000000002e0000000000000000000000ffffff00dfffff0000489c00ffbf74000074bf0048000000ffdf9c009c480000ffffdf0074000000ffffbf0074bfff00489cdf00df9c4800bf740000747448000000480048489c00bfffff00740074009cdfff009c48480000007400749c9c00bfdf9c009c9cdf000074740074004800bf9c9c007474bf00489c9c00df9c9c00dfbf7400bfffbf009cbfff00bf7474009c9cbf00749cdf00480074009cbf9c00bf74480048004800bf9c48004874bf00dfdf9c00010101010101010101010101010101010101010101010101010101010101010101010101010101010101010101010101010101010101010101010101010101010101010101010101010101010101010101010101010101010101010101010101010101010101010101010101010101010101010101010101010101010101010101010101010101010101010101010101010101010101010101010101010101010101010101010101010101010101010101010101010101010101010101010101010101010101010101010101010101010101010101010101010101010101010101010101010101010101010101010101010101010101010101010101010101010101010101010101010101010101010101010101010101010101010101010101010101010101010101010101010101010101010101010101010101010101010101010101010101010101010101010101010101010101010101010101010101010101010101010101010101010101010101010101010101010101010101010101010101010101010101010101010101010101010101010101010101010101010101010101010101010101010101010101010101010101010101010101010101010101010101010101010101010101010101010101010101010101010101010101010101010101010101010101010101010101010101010101010101010101010101010101010101010101010101010101010101010101010101010101010101010101010101010101010101010101010101010101010101010101010101010101010101010101010101010101010101010101010101010101010101010101010101010101010101010101010101010101010101010101010101010101010101010101010101010101010101010101010101010101010101010101010101010101010101010101010101010101010101010101010101010101010101010101010101010101010101010101010101010101010101010101010101010101010101010101010101010101010101010101010101010101010101010101010101010101010101010101010101010101010101010101010101010101010101010101010101010101010101010101010101010101010101010101010101010101010101010101010101010101010101010101010101010101010101010101010101010101010101010101010101010101010101010101010101010101010101010101010101010101010101010101010101010101010101010101010101010101010101010101010101010101010101010101010101010101010101010101010101010101010101010101010101010101131700000f010d0004010d00040101010101010101010101010101010101010101010101010101010101010101010101010101010101010101010101010101010101010101010101010101010101010101010101010101010101010101010101010101010101010101010101010101010101010101010101010101010101010101010101010101010101010101010101010101010101010101010101010101010d0f0102030e01012c2d12071e0b0101010101010101010101010101010101010101010101010101010101010101010101010101010101010101010101010101010101010101010101010101010101010101010101010101010101010101010101010101050e01010101010101010101010101010101010101010101010101010101010101010101010101010101010101010101010101010101010101010101050e0113170e01010218140b0101010101010101010101010101010101010101010101010101010101010101010101010101010101010101010101010101010101010101010101010101010101010101010101010101010101010101010101010101010113170f0101010101010101010101010101010101010101010101010101010101010101010101010101010101010101010101010101010101010101010d00000a0b010101010c0f0101010101010101010101010101010101010101010101010101010101010101010101010101010101010101010101010101010101010101010101010101010101010101010101010101010101010101010101010101010101010506070101010101010101010101010101010101010101010101010101010101010101010101010101010101010101011317000004010500000401152a0713170e010101050809010101010101010101010101010101010101010101010101010101010101010101010113170e0101010113170000000e01010101010101010101132707010101010101010c0a0b0101010101010d00000000000004010101010d000e13170000000e010101010101010102030004010113140b011317002b030004010113140b011317000e01010101050607010521030f010504010d0a0b0212070113272829010101010101010101010101010101010101010101010101010101010101010101010102030f0101010115110809010d0e0101010101010101010105060701010101010c000f01010101010101010c0000000000080901010105000415110809010d0e010101010101010203000a0b0115110f0113170f0d00000a0b0115110f0113170f26070d0102030a0b010105000f01010101010c00000a0b0d000f010c000e010101010101010101010101010101010101010101010101010101010101010101010d0a0b010101010101010101050e0101010101010101010203060701010115110809010101010101010101151c0b01012607010101010101010101010101050e0101010101010101011320010c0618040105080901011320010c06180401050809010f1013170809010113170a0b01010101010101010101010101010101010101010101010101010101010101010101010101010101010101010101010101010c0607010101010101010101151c0b010101010101010101020306070115110809010101010101010101010113140b010101010101010101010101010101151c0b01010101010101010125090c06071e0b0d060701010125090c06071e0b0d060701160d02030a0b0101010d06070101010101010101010101010101010101010101010101010d000000000000000000000006070101010101010115110000000000000a0b010101010101011317040101010101010101010102030a22170a0b0101010101010101010101010113140b010101010101010101010101010113170401010101010101010123070d0a0b132415110e01010123070d0a0b132415110e010c0d010506070101010c0004010101010101010101010101010101010101010101010101010101010101010101010101010101010101010101010d04010101050809010101010101010113170f01010101010101010101011317000a0b01010101010101010101010101010113140b0101010101010101010101010113170f01010101010101010113200d0a0b010c21030809010113200d0a0b010c21030809120b0115110f01010113170f0101010101010101010101010101010101010101010101010101010101010101010101010101010101010101010101050401010d0a0b010101010101010115110f01010101010101010101010203000a0b01010101010101010101010101010101151c0b01010101010101010101010115110f010101010101010101021d05080901011e1f0a0b0101021d05080901011e1f0a0b110101010506070101131708090101010101010101010101010101010101010101010101010101010101010101010101010101010101010101010102120701151104010101010101010105000e0101010101010101010102030619170809010101010101010101010101010101010c0f01010101010101010101010105000e010101010101010101011a1b08090101131700040101011a1b08090101131700040101010113170a0b0115110a0b01010101010101010101010101010101010101010101010d000000000000000000000006070101010101010101010113140b13170e0101010101010203000a0b0101010101010101010203060701151108090101010101010101010101010101011317040101010101010101010203000a0b0101010101010101131700000f010101010c000f01131700000f010101010c000f01010101010105000006180607010101010101010101010101010101010101010101010101010101010101010101010101010101010101010101010101151609050809010101010500000a0b0101010101010101010203060701010115110f01010101010101010101010101010102030f01010101010101010500000a0b01010101010101010101010c000f010101010203080901010c000f010101010203080101010101010101010115110e010101010101010101010101010101010101010101010101010101010101010101010101010101010101010101010101010c0f0d0a0b010101011516090101010101010101010113170004010101010115110a0b0101010101010101010101010102030809010101010101011516090101010101010101010101010101010101010101010101010101010101010101010101010101010101010101010102030f01010101010101010101010101010101010101010101010101010101010101010101010101010101010101010101010101010c1011040101010102120701010101010101010101010504010101010101010c0f01010101010101010113140b010105000f0101010101010101021207010101010101010101010101010101010101010101010101010101010101010101010101010101010101010101010105080901010101010101010101010101010101010101010101010101010101010101010101010101010101010101010101010101010d000e01010101010c000000000f010101010101010101010101010101010101010101010101010101010d0000000000040101010101010101010c000000000f010101010101010101010101010101010101010101010101010101010101010110010101010101010101010506070101010101010101010101010101010101010101010101010101010101010101010101010101010101010101010101010101010508090101010102030000000a0b010101010101010101010101010101010101010101010101010101010c000000040101010101010101010102030000000a0b010101010101010101010101010101010101010101010101010101010101010c0d01010101010101020300000401010101010101010101010101010101010101010101010101010101010101010101010101010101010101010101010101010101010101010101010101010101010101010101010101010101010101010101010101010101010101010101010101010101010101010101010101010101010101010101010101010101010101010101010101010101010101010101010101010101010101010101010101010101010101010101010101010101010101010101010101010101010101010101010101010101010101010101010101010101010101010101010101010101010101010101010101010101010101010101010101010101010101010101010101010101010101010101010101010101010101010101010101010101010101010101010101010101010101010101010101010101010101010101010101010101010101010101010101010101010101010101010101010101010101010101010101010101010101010101010101010101010101010101010101010101010101010101010101010101010101010101010101010101010101010101010101010101010101010101010101010101010101010101010101010101010101010101010101010101010101010101010101010101010101010101010101010101010101010101010101010101010101010101010101010101010101010101010101010101010101010101010101010101010101010101010101010101010101010101010101010101010101010101010101010101010101010101010101010101010101010101010101010101010101010101010101010101010101010101010101010101010101010101010101010101010101010101010101010101010101010101010101010101010101010101010101010101010101010101010101010101010101010101010101010101010101010101010101010101010101010101010101010101010101010101010101010101010101010101010101010101010101010101010101010101010101010101010101010101010101010101010101010101010101010101010101010101010101010101010101010101010101014c0000006400000000000000000000009d0000001c00000000000000000000009e0000001d0000002900aa0000000000000000000000803f00000000000000000000803f0000000000000000000000000000000000000000000000000000000000000000220000000c000000ffffffff460000001c00000010000000454d462b024000000c000000000000000e000000140000000000000010000000140000000400000003010800050000000b0200000000050000000c021d009e00030000001e00040000000701040004000000070104008d090000410b2000cc001d009e00000000001d009e0000000000280000009e0000001d00000001000800000000000000000000000000000000002e0000000000000000000000ffffff00dfffff0000489c00ffbf74000074bf0048000000ffdf9c009c480000ffffdf0074000000ffffbf0074bfff00489cdf00df9c4800bf740000747448000000480048489c00bfffff00740074009cdfff009c48480000007400749c9c00bfdf9c009c9cdf000074740074004800bf9c9c007474bf00489c9c00df9c9c00dfbf7400bfffbf009cbfff00bf7474009c9cbf00749cdf00480074009cbf9c00bf74480048004800bf9c48004874bf00dfdf9c00010101010101010101010101010101010101010101010101010101010101010101010101010101010101010101010101010101010101010101010101010101010101010101010101010101010101010101010101010101010101010101010101010101010101010101010101010101010101010101010101010101010101010101010101010101010101010101010101010101010101010101010101010101010101010101010101010101010101010101010101010101010101010101010101010101010101010101010101010101010101010101010101010101010101010101010101010101010101010101010101010101010101010101010101010101010101010101010101010101010101010101010101010101010101010101010101010101010101010101010101010101010101010101010101010101010101010101010101010101010101010101010101010101010101010101010101010101010101010101010101010101010101010101010101010101010101010101010101010101010101010101010101010101010101010101010101010101010101010101010101010101010101010101010101010101010101010101010101010101010101010101010101010101010101010101010101010101010101010101010101010101010101010101010101010101010101010101010101010101010101010101010101010101010101010101010101010101010101010101010101010101010101010101010101010101010101010101010101010101010101010101010101010101010101010101010101010101010101010101010101010101010101010101010101010101010101010101010101010101010101010101010101010101010101010101010101010101010101010101010101010101010101010101010101010101010101010101010101010101010101010101010101010101010101010101010101010101010101010101010101010101010101010101010101010101010101010101010101010101010101010101010101010101010101010101010101010101010101010101010101010101010101010101010101010101010101010101010101010101010101010101010101010101010101010101010101010101010101010101010101010101010101010101010101010101010101010101010101010101010101010101010101010101010101010101010101010101010101010101010101010101010101010101010101010101010101010101010101010101010101010101010101010101010101010101010101010101010101010101010101010101010101010101010101131700000f010d0004010d00040101010101010101010101010101010101010101010101010101010101010101010101010101010101010101010101010101010101010101010101010101010101010101010101010101010101010101010101010101010101010101010101010101010101010101010101010101010101010101010101010101010101010101010101010101010101010101010101010101010d0f0102030e01012c2d12071e0b0101010101010101010101010101010101010101010101010101010101010101010101010101010101010101010101010101010101010101010101010101010101010101010101010101010101010101010101010101050e01010101010101010101010101010101010101010101010101010101010101010101010101010101010101010101010101010101010101010101050e0113170e01010218140b0101010101010101010101010101010101010101010101010101010101010101010101010101010101010101010101010101010101010101010101010101010101010101010101010101010101010101010101010101010113170f0101010101010101010101010101010101010101010101010101010101010101010101010101010101010101010101010101010101010101010d00000a0b010101010c0f0101010101010101010101010101010101010101010101010101010101010101010101010101010101010101010101010101010101010101010101010101010101010101010101010101010101010101010101010101010101010506070101010101010101010101010101010101010101010101010101010101010101010101010101010101010101011317000004010500000401152a0713170e010101050809010101010101010101010101010101010101010101010101010101010101010101010113170e0101010113170000000e01010101010101010101132707010101010101010c0a0b0101010101010d00000000000004010101010d000e13170000000e010101010101010102030004010113140b011317002b030004010113140b011317000e01010101050607010521030f010504010d0a0b0212070113272829010101010101010101010101010101010101010101010101010101010101010101010102030f0101010115110809010d0e0101010101010101010105060701010101010c000f01010101010101010c0000000000080901010105000415110809010d0e010101010101010203000a0b0115110f0113170f0d00000a0b0115110f0113170f26070d0102030a0b010105000f01010101010c00000a0b0d000f010c000e010101010101010101010101010101010101010101010101010101010101010101010d0a0b010101010101010101050e0101010101010101010203060701010115110809010101010101010101151c0b01012607010101010101010101010101050e0101010101010101011320010c0618040105080901011320010c06180401050809010f1013170809010113170a0b01010101010101010101010101010101010101010101010101010101010101010101010101010101010101010101010101010c0607010101010101010101151c0b010101010101010101020306070115110809010101010101010101010113140b010101010101010101010101010101151c0b01010101010101010125090c06071e0b0d060701010125090c06071e0b0d060701160d02030a0b0101010d06070101010101010101010101010101010101010101010101010d000000000000000000000006070101010101010115110000000000000a0b010101010101011317040101010101010101010102030a22170a0b0101010101010101010101010113140b010101010101010101010101010113170401010101010101010123070d0a0b132415110e01010123070d0a0b132415110e010c0d010506070101010c0004010101010101010101010101010101010101010101010101010101010101010101010101010101010101010101010d04010101050809010101010101010113170f01010101010101010101011317000a0b01010101010101010101010101010113140b0101010101010101010101010113170f01010101010101010113200d0a0b010c21030809010113200d0a0b010c21030809120b0115110f01010113170f0101010101010101010101010101010101010101010101010101010101010101010101010101010101010101010101050401010d0a0b010101010101010115110f01010101010101010101010203000a0b01010101010101010101010101010101151c0b01010101010101010101010115110f010101010101010101021d05080901011e1f0a0b0101021d05080901011e1f0a0b110101010506070101131708090101010101010101010101010101010101010101010101010101010101010101010101010101010101010101010102120701151104010101010101010105000e0101010101010101010102030619170809010101010101010101010101010101010c0f01010101010101010101010105000e010101010101010101011a1b08090101131700040101011a1b08090101131700040101010113170a0b0115110a0b01010101010101010101010101010101010101010101010d000000000000000000000006070101010101010101010113140b13170e0101010101010203000a0b0101010101010101010203060701151108090101010101010101010101010101011317040101010101010101010203000a0b0101010101010101131700000f010101010c000f01131700000f010101010c000f01010101010105000006180607010101010101010101010101010101010101010101010101010101010101010101010101010101010101010101010101151609050809010101010500000a0b0101010101010101010203060701010115110f01010101010101010101010101010102030f01010101010101010500000a0b01010101010101010101010c000f010101010203080901010c000f010101010203080101010101010101010115110e010101010101010101010101010101010101010101010101010101010101010101010101010101010101010101010101010c0f0d0a0b010101011516090101010101010101010113170004010101010115110a0b0101010101010101010101010102030809010101010101011516090101010101010101010101010101010101010101010101010101010101010101010101010101010101010101010102030f01010101010101010101010101010101010101010101010101010101010101010101010101010101010101010101010101010c1011040101010102120701010101010101010101010504010101010101010c0f01010101010101010113140b010105000f0101010101010101021207010101010101010101010101010101010101010101010101010101010101010101010101010101010101010101010105080901010101010101010101010101010101010101010101010101010101010101010101010101010101010101010101010101010d000e01010101010c000000000f010101010101010101010101010101010101010101010101010101010d0000000000040101010101010101010c000000000f010101010101010101010101010101010101010101010101010101010101010110010101010101010101010506070101010101010101010101010101010101010101010101010101010101010101010101010101010101010101010101010101010508090101010102030000000a0b010101010101010101010101010101010101010101010101010101010c000000040101010101010101010102030000000a0b010101010101010101010101010101010101010101010101010101010101010c0d01010101010101020300000401010101010101010101010101010101010101010101010101010101010101010101010101010101010101010101010101010101010101010101010101010101010101010101010101010101010101010101010101010101010101010101010101010101010101010101010101010101010101010101010101010101010101010101010101010101010101010101010101010101010101010101010101010101010101010101010101010101010101010101010101010101010101010101010101010101010101010101010101010101010101010101010101010101010101010101010101010101010101010101010101010101010101010101010101010101010101010101010101010101010101010101010101010101010101010101010101010101010101010101010101010101010101010101010101010101010101010101010101010101010101010101010101010101010101010101010101010101010101010101010101010101010101010101010101010101010101010101010101010101010101010101010101010101010101010101010101010101010101010101010101010101010101010101010101010101010101010101010101010101010101010101010101010101010101010101010101010101010101010101010101010101010101010101010101010101010101010101010101010101010101010101010101010101010101010101010101010101010101010101010101010101010101010101010101010101010101010101010101010101010101010101010101010101010101010101010101010101010101010101010101010101010101010101010101010101010101010101010101010101010101010101010101010101010101010101010101010101010101010101010101010101010101010101010101010101010101010101010101010101010101010101010101010101010101010101010101010101010101010101010101010101010101010101010101010101010101010101010101010101010101010101010101010101010101010101010101010101010101010101010101010101010101010c00000040092900aa000000000000001d009e0000000000040000002701ffff030000000000











Принимаем 010009000003941a00000000c60e00000000c60e000026060f00821d574d46430100000000000100a8c50000000001000000601d000000000000601d0000010000006c0000000000000000000000c10000001c0000000000000000000000d8130000f702000020454d4600000100601d00000c00000001000000000000000000000000000000900600001a040000b801000013010000000000000000000000000000c0b6060038320400460000002c00000020000000454d462b014001001c000000100000000210c0db010000006000000060000000460000009404000088040000454d462b224004000c000000000000001e4009000c00000000000000244001000c000000000000003040020010000000040000000000803f214007000c0000000000000008400005e0030000d40300000210c0db01000000000000000000000000000000000000000100000089504e470d0a1a0a0000000d49484452000000c20000001d0803000000cf5743f9000000017352474200aece1ce9000000097048597300000ec400000ec401952b0e1b0000008d504c544500000000004800007400489c0074bf48000048004848007448489c4874bf489cbf489cdf7400007400487400747474007474bf74bfdf74bfff9c48009c48489c9c489c9c749c9cbf9c9cdf9cbf9c9cdfbf9cdfdf9cdfffbf7400bf7448bf7474bf9c9cbfffbfbfffffdf9c48df9c74df9c9cdfbf74dfdf9cdfffffffbf74ffbf9cffdf9cffffbfffffdffffffff0286e72000002c34944415458c3ed57d176d3300c5559c206490773a13048568807d4c4edff7f1eb22ddbb293d134ddc3764efcd49b2ab6aea42b39707cf50b160a0b85e7a470d80088d79e8576d5ccdfa605b8da8f410521347d991a8d2c66ede30a6fbae9144e6cff9f75d8e0bb6d31022580f7aa2fc5a94398756004c5e42c1c36c55c062e812a842b427ddb99941421447a4da96ebda32a1ecbadad4b9f26d545a0d097d55c067d694e55be1033e8929251d03505bb2fb342216bfbdfcd7e32052cddd576be149c8aa4df20833ebf123046b2080fedff8e6e4aa1608a4af8299720473202301141c341349eae55b722635dbb28af9a31681e081f78593057d1a02f07da206b2fe7e815beefbc36ce730074181d3c6729135e3c8e4ecb60ac76146795847bf56de45055a49d8ebdf2eb83ad4557831100e552d7b3d52ced962106193cf6d71d2924cb7412e3a0abeb6e2833b2ff62e5b4fb6cde620028e36afe60f31b54a3d0b61924c6ea3756c6800259331bd6b0be4ab45777560a0c00655c4e51f3b8165abb41a8fd14924faec259b7b1a5f6b3ce38e40c1265fc6dd06bfdd1b54e06c0655cd713d4fc5416cc0631e309f43ed1d060936d4cce0306495dfdd863a3de752ed80c5016fc4051a68ff5a5133876107cace0c4c0b035121b1087d68347fcd9bf6dd286199a2ae310ac59782a5647386bb682e60b034e0bed1d6e8e0313936346a29b2926267a7dffeee46443f79c86311282437b418038d8da986a4f99c9835b83b0e4649548dfe416d5218181c7066c8b15668cd8d3758d6fa92ab4b7293727159461c75780241de1e7141373b868c47b09b7c67d8c5b31ff484150506b78cf41957e2f481a870ff7251e6743a0ceeab517dd76e7ee0359e5992c1885ebf57773c93a6c6fcf90f905c3e5827dd22c1498b1ca4a415efdb9f92d8e0f48643799445b3d0b8333f78194bdab57fbc5824233aa942ffe636ef9fc5f282c14160a2f67fd0391fd912e0db2ea0c0000000049454e44ae426082000840010824000000180000000210c0db01000000030000000000000000000000000000001b40000040000000340000000100000002000000000000bf000000bf000042430000e84103000000000000b3000000b3ffff4143000000b3000000b3ffffe7412100000008000000620000000c00000001000000150000000c00000004000000150000000c0000000400000051000000681700000000000000000000c10000001c00000000000000000000000000000000000000c20000001d00000050000000e40000003401000034160000000000002000cc00c20000001d00000028000000c20000001d00000001000800000000000000000000000000000000002f0000000000000000000000ffffff00dfffff0000489c00ffbf74000074bf0048000000ffdf9c009c480000ffffdf0074bfff009cdfff000000480074000000ffffbf00bf740000489cdf00bfffff00740074004800740048489c00df9c4800000074009c484800749c9c00bfdf9c009c9cdf000074740074004800bf9c9c007474bf00489c9c00df9c9c00dfbf7400bfffbf009cbfff00bf7474009c9cbf00749cdf00480048009cbf9c00bf744800bf9c48004874bf00dfdf9c009cdfdf0074bfdf00010101010101010101010101010101010101010101010101010101010101010101010101010101010101010101010101010101010101010101010101010101010101010101010101010101010101010101010101010101010101010101010101010101010101010101010101010101010101010101010101010101010101010101010101010101010101010101010101010101010101010101010101010101010101010101010101010101010101010101010101010101010101010101010101010101010101010101010101010101010101010101010101010101010101010101010101010101010101010101010101010101010101010101010101010101010101010101010101010101010101010101010101010101010101010101010101010101010101010101010101010101010101010101010101010101010101010101010101010101010101010101010101010101010101010101010101010101010101010101010101010101010101010101010101010101010101010101010101010101010101010101010101010101010101010101010101010101010101010101010101010101010101010101010101010101010101010101010101010101010101010101010101010101010101010101010101010101010101010101010101010101010101010101010101010101010101010101010101010101010101010101010101010101010101010101010101010101010101010101010101010101010101010101010101010101010101010101010101010101010101010101010101010101010101010101010101010101010101010101010101010101010101010101010101010101010101010101010101010101010101010101010101010101010101010101010101010101010101010101010101010101010101010101010101010101010101010101010101010101010101010101010101010101010101010101010101010101010101010101010101010101010101010101010101010101010101010101010101010101010101010101010101010101010101010101010101010101010101010101010101010101010101010101010101010101010101010101010101010101010101010101010101010101010101010101010101010101010101010101010101010101010101010101010101010101010101010101010101010101010101010101010101010101010101010101010101010101010101010101010101010101010101010101010101010101010101010101010101010101010101010101010101010101010101010101010101010101010101010101010101010101010101010101010101010101010101010101010101010101010101010101010101010101010101010101010101010101010101010101010101010101010101010101010101010101010101010101010101010101010101010101010101010101010101010101010101010101010101010101010101010101010101010101010101010101010101010101010101010101010101010101010101010101010101010101010101010101010101010101010101010101010101010101010101010101010101010101010101010101010101010101010101010101010101010101010101111600000f01010105000008090a000f100004011000040101010101010101010101010101010101010101010101010101010101010101010101010101010101010101010101010101010101010101010101010101010101010101010101010101010101010101010101010101010101010101010101010101010101010101010101010101010101010101010101010101010101010101010101010101010101010101010101010101010101010101010101010101010101010101010101010101010101100f01020315010b17090110082d172e04012b2c14071e0e01010101010101010101010101010101010101010101010101010101010101010101010101010101051501010101010101010101010101010101010101010101010101010101010101010101010101010101010101010101010101010101010101010101010101010101010101010101051501010101010101010101010101010101010101010101010101010101010101010101010101010101010101010101010101010101010101010101051501111615011116080911132c140701010218120e01010101010101010101010101010101010101010101010101010101010101010101010101010101010111160f01010101010101010101010101010101010101010101010101010101010101010101010101010101010101010101010101010101010101010101010101010101010101010111160f0101010101010101010101010101010101010101010101010101010101010101010101010101010101010101010101010101010101010101011000000d0e0101012b280c000f0110150101010a0f010101010101010101010101010101010101010101010101010101010101010101010101010101010101010105060701010101010101010101010101010101010101010101010101010101010101010101010101010101010101010101010101010101010101010101010101010101010101010105060701010101010101010101010101010101010101010101010101010101010101010101010101010101010110010111160000040105000004010b270711161501010a15010101010a0f0101010508090101010101010101010101010101010101010101010101010101010101010101010a00000607010101010110001501010a000006070101010110000000000000040101010101050000000f010101010101010101111307010101010101010a0d0e010101010101100000000000000401010101100015111600000015010101010101010102030004010111120e011116002a030004010111120e011116001501070001050607010521030f01050401100d0e021407010b170901010111120e011113282901010101010101010101010101010101010101010101010101010101010101010b27070110000401010101050004010b270701100004010101010a000000000008090101010508090101050d0e010101010101010105060701010101010a000f01010101010101010a000000000008090101010500040b0c0809011015010101010101010203000d0e010b0c0f0111160f1000000d0e010b0c0f0111160f2607010102030d0e010105000f01010101010a00000d0e0b0c060701011116000410000f010a00150101010101010101010101010101010101010101010101010101010101011008090101050607010101010101011008090101050607010101010b1c0e0101260701010b270701010102030f0101010101010101020306070101010b0c08090101010101010101010b1c0e0101260701010101010101010101010105150101010101010101011120010a0618040105080901011120010a0618040105080901010111160809010111160d0e010101010101010101010101010101010101010101010101010101010101010101010101010101010101010101010101010101010101010105080901010b0c0f0101010101010105080901010b0c0f010101010111120e01010101010a0d0e01010101050809010101010101010102030607010b0c0809010101010101010101010111120e0101010101010101010101010101010b1c0e01010101010101010125090a06071e0e10060701010125090a06071e0e10060701010102030d0e0101011006070101010101010101010101010101010101010101010101010101010101010101010110000000000000000000000006070101010101010101050d0e010101050607010101010101050d0e010101050607010101010111120e010101011116040101010203080901010101010101010102030d22160d0e0101010101010101010101010111120e01010101010101010101010101011116040101010101010101012307100d0e11240b0c150101012307100d0e11240b0c15010106010506070101010a000401010101010101010101010101010101010101010101010101010101010101010101010101010101010101010101010101010101010101010506070101010a00150101010101010506070101010a001501010101010111120e0101010110080901010a000f01010101010101010101011116000d0e01010101010101010101010101010111120e0101010101010101010101010111160f0101010101010101011120100d0e010a2103080901011120100d0e010a210308090501010b0c0f01010111160f0101010101010101010101010101010101010101010101010101010101010101010101010101010101010101010101010101010101010101100004010101111608090101010101100004010101111608090101010101010b1c0e010101010b0c0f0b0c0d0e01010101010101010101010203000d0e010101010101010101010101010101010b1c0e0101010101010101010101010b0c0f010101010101010101021d05080901011e1f0d0e0101021d05080901011e1f0d0e02030101050607010111160809010101010101010101010101010101010101010101010101010101010101010101010101010101010101010101010101010101010101010a001501010102030d0e01010101010a001501010102030d0e010101010101010a0f0101010101010a000015010101010101010101010102030619160809010101010101010101010101010101010a0f010101010101010101010101050015010101010101010101011a1b08090101111600040101011a1b08090101111600040801010111160d0e010b0c0d0e0101010101010101010101010101010101010101010101010101010101010101011000000000000000000000000607010101010101010111160809010101050607010101010111160809010101050607010101010101011116040101010111160004100f01010101010101010102030607010b0c08090101010101010101010101010101011116040101010101010101010203000d0e0101010101010101111600000f010101010a000f01111600000f010101010a000f000d010101010500000618060701010101010101010101010101010101010101010101010101010101010101010101010101010101010101010101010101010101010101010506070101011006070101010101010506070101011006070101010101010102030f010101011000150101100f01010101010101020306070101010b0c0f01010101010101010101010101010102030f01010101010101010500000d0e01010101010101010101010a000f010101010203080901010a000f01010101020308000801010101010101010b0c1501010101010101010101010101010101010101010101010101010101010101010101010101010101010101010101010101010101010101010b0c0f0101010a06070101010101010b0c0f0101010a06070101010101010102030809010101050809010111130701010101011116000401010101010b0c0d0e0101010101010101010101010102030809010101010101010b1709010101010101010101010101010101010101010101010101010101010101010101010101000d010101010101010102030f01010101010101010101010101010101010101010101010101010101010101010101010101010101010101010101010101010101010101010105060701010a0d0e0101010101010105060701010a0d0e010111120e010105000f0101010105080901011113070101010101010504010101010101010a0f01010101010101010111120e010105000f0101010101010101021407010101010101010101010101010101010101010101010101010101010101010101010101010101010101010101010105080901010101010101010101010101010101010101010101010101010101010101010101010101010101010101010101010101010101010101010203080901050f01010101010101010203080901050f0101010110000000000004010101010b0c040101050809010101010101010101010101010101010101010101010101010101100000000000040101010101010101010a000000000f0101010101010101010101010101010101010101010101010101010101010101010101010101010101010105060701010101010101010101010101010101010101010101010101010101010101010101010101010101010101010101010101010101010101010101050000080901010101010101010101050000080901010101010a000000040101010101010b0c0000080901010101010101010101010101010101010101010101010101010101010a000000040101010101010101010102030000000d0e01010101010101010101010101010101010101010101010101010101010101000001010101010101020300000401010101010101010101010101010101010101010101010101010101010101010101010101010101010101010101010101010101010101010101010101010101010101010101010101010101010101010101010101010101010101010101010101010101010101010101010101010101010101010101010101010101010101010101010101010101010101010101010101010101010101010101010101010101010101010101010101010101010101010101010101010106010101010101010101010101010101010101010101010101010101010101010101010101010101010101010101010101010101010101010101010101010101010101010101010101010101010101010101010101010101010101010101010101010101010101010101010101010101010101010101010101010101010101010101010101010101010101010101010101010101010101010101010101010101010101010101010101010101010101010101010101010101010101010101010101010101010101010101010101010101010101010101010101010101010101010101010101010101010101010101010101010101010101010101010101010101010101010101010101010101010101010101010101010101010101010101010101010101010101010101010101010101010101010101010101010101010101010101010101010101010101010101010101010101010101010101010101010101010101010101010101010101010101010101010101010101010101010101010101010101010101010101010101010101010101010101010101010101010101010101010101010101010101010101010101010101010101010101010101010101010101010101010101010101010101010101010101010101010101010101010101010101010101010101010101010101010101010101010101010101010101010101010101010101010101010101010101010101010101010101010101010101010101010101010101010101010101010101010101010101010101010101010101010101010101010101010101010101010101010101010101010101010101010101010101010101010101010101010101010101010101010101010101010101010101010101010101010101010101010101010101010101010101010101010101010101010101010101010101010101010101010101010101010101010101010101010101010101010101010101010101010101010101010101010101010101010101010101010101010101010101010101010101010101010101010101010101010101010101010101010101010101014c000000640000000000000000000000c10000001c0000000000000000000000c20000001d0000002900aa0000000000000000000000803f00000000000000000000803f0000000000000000000000000000000000000000000000000000000000000000220000000c000000ffffffff460000001c00000010000000454d462b024000000c000000000000000e000000140000000000000010000000140000000400000003010800050000000b0200000000050000000c021d00c200030000001e0004000000070104000400000007010400990b0000410b2000cc001d00c200000000001d00c2000000000028000000c20000001d00000001000800000000000000000000000000000000002f0000000000000000000000ffffff00dfffff0000489c00ffbf74000074bf0048000000ffdf9c009c480000ffffdf0074bfff009cdfff000000480074000000ffffbf00bf740000489cdf00bfffff00740074004800740048489c00df9c4800000074009c484800749c9c00bfdf9c009c9cdf000074740074004800bf9c9c007474bf00489c9c00df9c9c00dfbf7400bfffbf009cbfff00bf7474009c9cbf00749cdf00480048009cbf9c00bf744800bf9c48004874bf00dfdf9c009cdfdf0074bfdf00010101010101010101010101010101010101010101010101010101010101010101010101010101010101010101010101010101010101010101010101010101010101010101010101010101010101010101010101010101010101010101010101010101010101010101010101010101010101010101010101010101010101010101010101010101010101010101010101010101010101010101010101010101010101010101010101010101010101010101010101010101010101010101010101010101010101010101010101010101010101010101010101010101010101010101010101010101010101010101010101010101010101010101010101010101010101010101010101010101010101010101010101010101010101010101010101010101010101010101010101010101010101010101010101010101010101010101010101010101010101010101010101010101010101010101010101010101010101010101010101010101010101010101010101010101010101010101010101010101010101010101010101010101010101010101010101010101010101010101010101010101010101010101010101010101010101010101010101010101010101010101010101010101010101010101010101010101010101010101010101010101010101010101010101010101010101010101010101010101010101010101010101010101010101010101010101010101010101010101010101010101010101010101010101010101010101010101010101010101010101010101010101010101010101010101010101010101010101010101010101010101010101010101010101010101010101010101010101010101010101010101010101010101010101010101010101010101010101010101010101010101010101010101010101010101010101010101010101010101010101010101010101010101010101010101010101010101010101010101010101010101010101010101010101010101010101010101010101010101010101010101010101010101010101010101010101010101010101010101010101010101010101010101010101010101010101010101010101010101010101010101010101010101010101010101010101010101010101010101010101010101010101010101010101010101010101010101010101010101010101010101010101010101010101010101010101010101010101010101010101010101010101010101010101010101010101010101010101010101010101010101010101010101010101010101010101010101010101010101010101010101010101010101010101010101010101010101010101010101010101010101010101010101010101010101010101010101010101010101010101010101010101010101010101010101010101010101010101010101010101010101010101010101010101010101010101010101010101010101010101010101010101010101010101010101010101010101010101010101010101010101010101010101010101010101010101010101010101010101010101010101010101010101010101010101010101010101010101010101010101010101010101010101010101010101010101111600000f01010105000008090a000f100004011000040101010101010101010101010101010101010101010101010101010101010101010101010101010101010101010101010101010101010101010101010101010101010101010101010101010101010101010101010101010101010101010101010101010101010101010101010101010101010101010101010101010101010101010101010101010101010101010101010101010101010101010101010101010101010101010101010101010101100f01020315010b17090110082d172e04012b2c14071e0e01010101010101010101010101010101010101010101010101010101010101010101010101010101051501010101010101010101010101010101010101010101010101010101010101010101010101010101010101010101010101010101010101010101010101010101010101010101051501010101010101010101010101010101010101010101010101010101010101010101010101010101010101010101010101010101010101010101051501111615011116080911132c140701010218120e01010101010101010101010101010101010101010101010101010101010101010101010101010101010111160f01010101010101010101010101010101010101010101010101010101010101010101010101010101010101010101010101010101010101010101010101010101010101010111160f0101010101010101010101010101010101010101010101010101010101010101010101010101010101010101010101010101010101010101011000000d0e0101012b280c000f0110150101010a0f010101010101010101010101010101010101010101010101010101010101010101010101010101010101010105060701010101010101010101010101010101010101010101010101010101010101010101010101010101010101010101010101010101010101010101010101010101010101010105060701010101010101010101010101010101010101010101010101010101010101010101010101010101010110010111160000040105000004010b270711161501010a15010101010a0f0101010508090101010101010101010101010101010101010101010101010101010101010101010a00000607010101010110001501010a000006070101010110000000000000040101010101050000000f010101010101010101111307010101010101010a0d0e010101010101100000000000000401010101100015111600000015010101010101010102030004010111120e011116002a030004010111120e011116001501070001050607010521030f01050401100d0e021407010b170901010111120e011113282901010101010101010101010101010101010101010101010101010101010101010b27070110000401010101050004010b270701100004010101010a000000000008090101010508090101050d0e010101010101010105060701010101010a000f01010101010101010a000000000008090101010500040b0c0809011015010101010101010203000d0e010b0c0f0111160f1000000d0e010b0c0f0111160f2607010102030d0e010105000f01010101010a00000d0e0b0c060701011116000410000f010a00150101010101010101010101010101010101010101010101010101010101011008090101050607010101010101011008090101050607010101010b1c0e0101260701010b270701010102030f0101010101010101020306070101010b0c08090101010101010101010b1c0e0101260701010101010101010101010105150101010101010101011120010a0618040105080901011120010a0618040105080901010111160809010111160d0e010101010101010101010101010101010101010101010101010101010101010101010101010101010101010101010101010101010101010105080901010b0c0f0101010101010105080901010b0c0f010101010111120e01010101010a0d0e01010101050809010101010101010102030607010b0c0809010101010101010101010111120e0101010101010101010101010101010b1c0e01010101010101010125090a06071e0e10060701010125090a06071e0e10060701010102030d0e0101011006070101010101010101010101010101010101010101010101010101010101010101010110000000000000000000000006070101010101010101050d0e010101050607010101010101050d0e010101050607010101010111120e010101011116040101010203080901010101010101010102030d22160d0e0101010101010101010101010111120e01010101010101010101010101011116040101010101010101012307100d0e11240b0c150101012307100d0e11240b0c15010106010506070101010a000401010101010101010101010101010101010101010101010101010101010101010101010101010101010101010101010101010101010101010506070101010a00150101010101010506070101010a001501010101010111120e0101010110080901010a000f01010101010101010101011116000d0e01010101010101010101010101010111120e0101010101010101010101010111160f0101010101010101011120100d0e010a2103080901011120100d0e010a210308090501010b0c0f01010111160f0101010101010101010101010101010101010101010101010101010101010101010101010101010101010101010101010101010101010101100004010101111608090101010101100004010101111608090101010101010b1c0e010101010b0c0f0b0c0d0e01010101010101010101010203000d0e010101010101010101010101010101010b1c0e0101010101010101010101010b0c0f010101010101010101021d05080901011e1f0d0e0101021d05080901011e1f0d0e02030101050607010111160809010101010101010101010101010101010101010101010101010101010101010101010101010101010101010101010101010101010101010a001501010102030d0e01010101010a001501010102030d0e010101010101010a0f0101010101010a000015010101010101010101010102030619160809010101010101010101010101010101010a0f010101010101010101010101050015010101010101010101011a1b08090101111600040101011a1b08090101111600040801010111160d0e010b0c0d0e0101010101010101010101010101010101010101010101010101010101010101011000000000000000000000000607010101010101010111160809010101050607010101010111160809010101050607010101010101011116040101010111160004100f01010101010101010102030607010b0c08090101010101010101010101010101011116040101010101010101010203000d0e0101010101010101111600000f010101010a000f01111600000f010101010a000f000d010101010500000618060701010101010101010101010101010101010101010101010101010101010101010101010101010101010101010101010101010101010101010506070101011006070101010101010506070101011006070101010101010102030f010101011000150101100f01010101010101020306070101010b0c0f01010101010101010101010101010102030f01010101010101010500000d0e01010101010101010101010a000f010101010203080901010a000f01010101020308000801010101010101010b0c1501010101010101010101010101010101010101010101010101010101010101010101010101010101010101010101010101010101010101010b0c0f0101010a06070101010101010b0c0f0101010a06070101010101010102030809010101050809010111130701010101011116000401010101010b0c0d0e0101010101010101010101010102030809010101010101010b1709010101010101010101010101010101010101010101010101010101010101010101010101000d010101010101010102030f01010101010101010101010101010101010101010101010101010101010101010101010101010101010101010101010101010101010101010105060701010a0d0e0101010101010105060701010a0d0e010111120e010105000f0101010105080901011113070101010101010504010101010101010a0f01010101010101010111120e010105000f0101010101010101021407010101010101010101010101010101010101010101010101010101010101010101010101010101010101010101010105080901010101010101010101010101010101010101010101010101010101010101010101010101010101010101010101010101010101010101010203080901050f01010101010101010203080901050f0101010110000000000004010101010b0c040101050809010101010101010101010101010101010101010101010101010101100000000000040101010101010101010a000000000f0101010101010101010101010101010101010101010101010101010101010101010101010101010101010105060701010101010101010101010101010101010101010101010101010101010101010101010101010101010101010101010101010101010101010101050000080901010101010101010101050000080901010101010a000000040101010101010b0c0000080901010101010101010101010101010101010101010101010101010101010a000000040101010101010101010102030000000d0e01010101010101010101010101010101010101010101010101010101010101000001010101010101020300000401010101010101010101010101010101010101010101010101010101010101010101010101010101010101010101010101010101010101010101010101010101010101010101010101010101010101010101010101010101010101010101010101010101010101010101010101010101010101010101010101010101010101010101010101010101010101010101010101010101010101010101010101010101010101010101010101010101010101010101010101010106010101010101010101010101010101010101010101010101010101010101010101010101010101010101010101010101010101010101010101010101010101010101010101010101010101010101010101010101010101010101010101010101010101010101010101010101010101010101010101010101010101010101010101010101010101010101010101010101010101010101010101010101010101010101010101010101010101010101010101010101010101010101010101010101010101010101010101010101010101010101010101010101010101010101010101010101010101010101010101010101010101010101010101010101010101010101010101010101010101010101010101010101010101010101010101010101010101010101010101010101010101010101010101010101010101010101010101010101010101010101010101010101010101010101010101010101010101010101010101010101010101010101010101010101010101010101010101010101010101010101010101010101010101010101010101010101010101010101010101010101010101010101010101010101010101010101010101010101010101010101010101010101010101010101010101010101010101010101010101010101010101010101010101010101010101010101010101010101010101010101010101010101010101010101010101010101010101010101010101010101010101010101010101010101010101010101010101010101010101010101010101010101010101010101010101010101010101010101010101010101010101010101010101010101010101010101010101010101010101010101010101010101010101010101010101010101010101010101010101010101010101010101010101010101010101010101010101010101010101010101010101010101010101010101010101010101010101010101010101010101010101010101010101010101010101010101010101010101010101010101010101010101010101010101010101010101010101010101010101010101010101010c00000040092900aa000000000000001d00c20000000000040000002701ffff030000000000
Для пара:

Принимаем 010009000003c41500000000380c00000000380c000026060f006618574d4643010000000000010097400000000001000000441800000000000044180000010000006c0000000000000000000000990000001c0000000000000000000000c00f0000f702000020454d4600000100441800000c00000001000000000000000000000000000000900600001a040000b801000013010000000000000000000000000000c0b6060038320400460000002c00000020000000454d462b014001001c000000100000000210c0db01000000600000006000000046000000fc030000f0030000454d462b224004000c000000000000001e4009000c00000000000000244001000c000000000000003040020010000000040000000000803f214007000c0000000000000008400005480300003c0300000210c0db01000000000000000000000000000000000000000100000089504e470d0a1a0a0000000d494844520000009a0000001d080300000065948545000000017352474200aece1ce9000000097048597300000ec400000ec401952b0e1b00000090504c544500000000004800007400489c0074bf48000048004848007448489c4874744874bf489cbf489cdf7400007400487400747474007474bf74bfdf74bfff9c48009c48489c48749c9c489c9c749c9cbf9c9cdf9cbf9c9cdfbf9cdfdf9cdfffbf7400bf7448bf7474bf9c9cbfffbfbfffffdf9c48df9c74df9c9cdfdfdfdfffffffbf74ffbf9cffdf9cffffbfffffdfffffff45f7d6cb000002294944415458c3ed576b57c3200ccdb4f5d93ab553e76bf8183e10baffffef0c104a606e753b7ee8f18c6f590bb9b9b9b974b018ec821db4ff09ad9d003443654d8c661bee55909423f63f4391b0375fbf0d977ffb77d07adfcd9674199a18563173b17a9b830ebfe811c41dc566c8cc1899111d08755cba64ed15235f84fc2a1eaeaaec875e68baacb6d0433b21ae55217d13f55124dfd4c48d2e63873f960a58074d008ca61b4b8d738d804810820bad9db853759973242baebd2256c902b0b5e159bcae1f35e5578edfd40d35d7d455a7a50c9b2e73193b3174cc7a34165412008da6a9379d02a621db1e5d76ba1650315a470fcb470b3e03efe7f639359f05406c9bbad802993e9c874c325295f42f2131bcc0f4b8686f9d149e6fec6b3c00f233b58de1525f64937a4f52261290434b67c0dcd9aad4a5931a0fa09db89d72f514acd41a21d3a57fd621200112697baf75862d358eaf19a23117de2178005e64a65ee7df6b39a3740c34b579d518b4d749aa974fdcfb3cf7dcf080580bd6a96cf11203057d36e700bc05404c6a0b512d9907c7269393cd1d96356dbc2092c06b4d5ca23fa1983181158239bb3fe99dcde422247f731858ea702f2b767371b2fd8cd8b1417d4a6001d60cce4b1aeb94cd421fccbc3df5dfa732bd08c9d5ec598c6e7316485591546e1c08adf16071e7290faaec7b4d062dab6d9ce4af57020d45e2ca6fa7e3f9c0a0c9022946684f8f5738268382e6af30892d9703f8e4ddfd6dd941db411b32b46f695cee36ae1f7f8c0000000049454e44ae4260820840010824000000180000000210c0db01000000030000000000000000000000000000001b40000040000000340000000100000002000000000000bf000000bf00001a430000e84103000000000000b3000000b3ffff1943000000b3000000b3ffffe7412100000008000000620000000c00000001000000150000000c00000004000000150000000c0000000400000051000000e41200000000000000000000990000001c000000000000000000000000000000000000009a0000001d00000050000000e800000038010000ac110000000000002000cc009a0000001d000000280000009a0000001d0000000100080000000000000000000000000000000000300000000000000000000000ffffff00dfffff0000489c00ffbf74000074bf0048000000ffdf9c0074bfff009c480000ffffdf0074000000ffffbf00489cdf00df9c4800bf740000bfffff0074007400747448000000480048489c009cdfff009c48480000007400dfdfdf00749c9c00bfdf9c009c9cdf000074740074004800bf9c9c007474bf00489c9c00df9c9c00dfbf7400bfffbf009cbfff00bf74740074489c009c9cbf00749cdf00480074009cbf9c00bf74480048004800bf9c48004874bf00dfdf9c00010101010101010101010101010101010101010101010101010101010101010101010101010101010101010101010101010101010101010101010101010101010101010101010101010101010101010101010101010101010101010101010101010101010101010101010101010101010101010101010101010101010101010101010101010101010101010101010101010101010101010101010101010101010101010101010101010101010101010101010101010101010101010101010101010101010101010101010101010101010101010101010101010101010101010101010101010101010101010101010101010101010101010101010101010101010101010101010101010101010101010101010101010101010101010101010101010101010101010101010101010101010101010101010101010101010101010101010101010101010101010101010101010101010101010101010101010101010101010101010101010101010101010101010101010101010101010101010101010101010101010101010101010101010101010101010101010101010101010101010101010101010101010101010101010101010101010101010101010101010101010101010101010101010101010101010101010101010101010101010101010101010101010101010101010101010101010101010101010101010101010101010101010101010101010101010101010101010101010101010101010101010101010101010101010101010101010101010101010101010101010101010101010101010101010101010101010101010101010101010101010101010101010101010101010101010101010101010101010101010101010101010101010101010101010101010101010101010101010101010101010101010101010101010101010101010101010101010101010101010101010101010101010101010101010101010101010101010101010101010101010101010101010101010101010101010101010101010101010101010101010101010101010101010101010101010101010101010101010101010101010101010101010101010101010101010101010101010101010101010101010101010101010101010101010101010101010101010101010101010101010101010101010101010101010101010101010101010101010101010101010101010101010101010101010101010101010101010101010101010101010101010101010101010101010101010101010101010101010101010101010101010101010101010101010101010101101700000f010d0004010d000401010101010101010101010101010101010101010101010101010101010101010101010101010101010101010101010101010101010101010101010101010101010101010101010101010101010101010101010101010101010101010101010101010101010101010101010101010101010101010101010101010101010101010101010101010101010101010101010d0f0102030e01012e2f14071f0c01010101010101010101010101010101010101010101010101010101010101010101010101010101010101010101010101010101010101010101010101010101010101010101010101010101010101010101010101010101010101010101010101010101010101010101010101010101010101010101010101010101010101010101010101010101010101010101050e0110170e01010219110c0101010101010101010101010101010101010101010101010101010101010101010101010101010101010101010101010101010101010101010101010101010101010101010101010101010101010101010101010101010101010101010101010101010101010101010101010101010101010101010101010101010101010101010101010101010101010101010101010d00000b0c01010101080f01010101010101010101010101010101010101010101010101010101010101010101010101010101010101010101010101010101010101010101010101010101010101010101010101010101010101010101010101010101010101010101010101010101010101010101010101010101010101010101010101010101010101010101010101011017000004010500000401152c0710170e01010105090a010101010101010101010101010101010101010101010101010101010101010d000000000000040101010101010110170e0101010110170000000e01010101010101010110290701010101010101080b0c010101010101010105040101010101010101010102030004010110110c011017002d030004010110110c011017000e0101000e01050607010522030f010504010d0b0c0214070110292a2b0101010101010101010101010101010101010101010101010101010101010101080000000000090a01010101010102030f010101011513090a010d0e010101010101010101050607010101010108000f01010101010101010110110c0101010101010101010203000b0c0115130f0110170f0d00000b0c0115130f0110170f280701010102030b0c010105000f01010101010800000b0c0d000f0108000e01010101010101010101010101010101010101010101010101010101010101151d0c01012807010101010101010d0b0c010101010101010101050e0101010101010101020306070101011513090a010101010101010101010d0e010101010101010101010101102101080619040105090a0101102101080619040105090a010101011017090a010110170b0c01010101010101010101010101010101010101010101010101010101010101010101010101010101010101010101010110110c01010101010101010101080607010101010101010101151d0c010101010101010102030607011513090a010101010101010101010102260c010101010101010101010101270a0806071f0c0d0607010101270a0806071f0c0d06070101010102030b0c0101010d06070101010101010101010101010101010101010101010101010d00000000000000000000000607010101010101010101010110110c0101010115130000000000000b0c0101010101010110170401010101010101010102030b23170b0c01010101010101010101010101080f01010101010101010101010124070d0b0c102515130e01010124070d0b0c102515130e0101010101050607010101080004010101010101010101010101010101010101010101010101010101010101010101010101010101010101010101010101010110110c010101010d0401010105090a010101010101010110170f010101010101010101011017000b0c0101010101010101010101010101021407010101010101010101010110210d0b0c01082203090a010110210d0b0c01082203090a0101010115130f01010110170f010101010101010101010101010101010101010101010101010101010101010101010101010101010101010101010101010101151d0c01010101050401010d0b0c010101010101010115130f010101010101010101010203000b0c01010101010101010101010101010115160a01010101010101010101021e05090a01011f200b0c0101021e05090a01011f200b0c010b01010105060701011017090a010101010101010101010101010101010101010101010101010101010101010101010101010101010101010101010101010101080f0101010102140701151304010101010101010105000e0101010101010101010203061a17090a010101010101010101010101010101050401010101010101010101011b1c090a0101101700040101011b1c090a010110170004010306010110170b0c0115130b0c01010101010101010101010101010101010101010101010d0000000000000000000000060701010101010101010101010101011017040101010110110c10170e0101010101010203000b0c010101010101010102030607011513090a010101010101010101010101010110110c0101010101010101101700000f0101010108000f01101700000f0101010108000f010101010101010500000619060701010101010101010101010101010101010101010101010101010101010101010101010101010101010101010101010101010102030f010101010115160a05090a010101010500000b0c01010101010101010203060701010115130f0101010101010101010101010101010d0e0101010101010101010108000f010101010203090a010108000f010101010203090a0101010101010101010115130e0101010101010101010101010101010101010101010101010101010101010101010101010101010101010101010101010101010203090a0101010101080f0d0b0c0101010115160a01010101010101010110170004010101010115130b0c010101010101010118010101010214070101010101010101010101010101010101010101010101010101010101010101010101010101010101010102030f0101010101010101010101010101010101010101010101010101010101010101010101010101010101010101010110110c010105000f01010101010101081213040101010102140701010101010101010101050401010101010101080f010101010101010101080e01010101080f010101010101010101010101010101010101010101010101010101010101010101120701010101010101010105090a010101010101010101010101010101010101010101010101010101010101010101010101010101010101010101010d00000000000401010101010101010d000e010101010108000000000f010101010101010101010101010101010101010101010101010102030000000000000401010101010101010101010101010101010101010101010101010101010101010101010101010101010101050607010101010101010101010101010101010101010101010101010101010101010101010101010101010101010101010108000000040101010101010101010105090a0101010102030000000b0c010101010101010101010101010101010101010101010101010108000000000000090a0101010101010101010101010101010101010101010101010101010101010101050101010101010102030000040101010101010101010101010101010101010101010101010101010101010101010101010101010101010101010101010101010101010101010101010101010101010101010101010101010101010101010101010101010101010101010101010101010101010101010101010101010101010101010101010101010101010101010101010101010101010101010101010101010101010101010101010101010101010101010101010101010101010101010101010101010101010101010101010101010101010101010101010101010101010101010101010101010101010101010101010101010101010101010101010101010101010101010101010101010101010101010101010101010101010101010101010101010101010101010101010101010101010101010101010101010101010101010101010101010101010101010101010101010101010101010101010101010101010101010101010101010101010101010101010101010101010101010101010101010101010101010101010101010101010101010101010101010101010101010101010101010101010101010101010101010101010101010101010101010101010101010101010101010101010101010101010101010101010101010101010101010101010101010101010101010101010101010101010101010101010101010101010101010101010101010101010101010101010101010101010101010101010101010101010101010101010101010101010101010101010101010101010101010101010101010101010101010101010101010101010101010101010101010101010101010101010101010101010101010101010101010101010101010101010101010101010101010101010101010101010101010101010101010101010101010101010101010101010101010101010101010101010101010101010101010101010101010101010101010101010101010101010101010101010101010101010101010101010101010101010101010101010101010101010101010101010101010101010101010101014c000000640000000000000000000000990000001c00000000000000000000009a0000001d0000002900aa0000000000000000000000803f00000000000000000000803f0000000000000000000000000000000000000000000000000000000000000000220000000c000000ffffffff460000001c00000010000000454d462b024000000c000000000000000e000000140000000000000010000000140000000400000003010800050000000b0200000000050000000c021d009a00030000001e000400000007010400040000000701040057090000410b2000cc001d009a00000000001d009a0000000000280000009a0000001d0000000100080000000000000000000000000000000000300000000000000000000000ffffff00dfffff0000489c00ffbf74000074bf0048000000ffdf9c0074bfff009c480000ffffdf0074000000ffffbf00489cdf00df9c4800bf740000bfffff0074007400747448000000480048489c009cdfff009c48480000007400dfdfdf00749c9c00bfdf9c009c9cdf000074740074004800bf9c9c007474bf00489c9c00df9c9c00dfbf7400bfffbf009cbfff00bf74740074489c009c9cbf00749cdf00480074009cbf9c00bf74480048004800bf9c48004874bf00dfdf9c00010101010101010101010101010101010101010101010101010101010101010101010101010101010101010101010101010101010101010101010101010101010101010101010101010101010101010101010101010101010101010101010101010101010101010101010101010101010101010101010101010101010101010101010101010101010101010101010101010101010101010101010101010101010101010101010101010101010101010101010101010101010101010101010101010101010101010101010101010101010101010101010101010101010101010101010101010101010101010101010101010101010101010101010101010101010101010101010101010101010101010101010101010101010101010101010101010101010101010101010101010101010101010101010101010101010101010101010101010101010101010101010101010101010101010101010101010101010101010101010101010101010101010101010101010101010101010101010101010101010101010101010101010101010101010101010101010101010101010101010101010101010101010101010101010101010101010101010101010101010101010101010101010101010101010101010101010101010101010101010101010101010101010101010101010101010101010101010101010101010101010101010101010101010101010101010101010101010101010101010101010101010101010101010101010101010101010101010101010101010101010101010101010101010101010101010101010101010101010101010101010101010101010101010101010101010101010101010101010101010101010101010101010101010101010101010101010101010101010101010101010101010101010101010101010101010101010101010101010101010101010101010101010101010101010101010101010101010101010101010101010101010101010101010101010101010101010101010101010101010101010101010101010101010101010101010101010101010101010101010101010101010101010101010101010101010101010101010101010101010101010101010101010101010101010101010101010101010101010101010101010101010101010101010101010101010101010101010101010101010101010101010101010101010101010101010101010101010101010101010101010101010101010101010101010101010101010101010101010101010101010101010101010101010101010101010101101700000f010d0004010d000401010101010101010101010101010101010101010101010101010101010101010101010101010101010101010101010101010101010101010101010101010101010101010101010101010101010101010101010101010101010101010101010101010101010101010101010101010101010101010101010101010101010101010101010101010101010101010101010d0f0102030e01012e2f14071f0c01010101010101010101010101010101010101010101010101010101010101010101010101010101010101010101010101010101010101010101010101010101010101010101010101010101010101010101010101010101010101010101010101010101010101010101010101010101010101010101010101010101010101010101010101010101010101010101050e0110170e01010219110c0101010101010101010101010101010101010101010101010101010101010101010101010101010101010101010101010101010101010101010101010101010101010101010101010101010101010101010101010101010101010101010101010101010101010101010101010101010101010101010101010101010101010101010101010101010101010101010101010d00000b0c01010101080f01010101010101010101010101010101010101010101010101010101010101010101010101010101010101010101010101010101010101010101010101010101010101010101010101010101010101010101010101010101010101010101010101010101010101010101010101010101010101010101010101010101010101010101010101011017000004010500000401152c0710170e01010105090a010101010101010101010101010101010101010101010101010101010101010d000000000000040101010101010110170e0101010110170000000e01010101010101010110290701010101010101080b0c010101010101010105040101010101010101010102030004010110110c011017002d030004010110110c011017000e0101000e01050607010522030f010504010d0b0c0214070110292a2b0101010101010101010101010101010101010101010101010101010101010101080000000000090a01010101010102030f010101011513090a010d0e010101010101010101050607010101010108000f01010101010101010110110c0101010101010101010203000b0c0115130f0110170f0d00000b0c0115130f0110170f280701010102030b0c010105000f01010101010800000b0c0d000f0108000e01010101010101010101010101010101010101010101010101010101010101151d0c01012807010101010101010d0b0c010101010101010101050e0101010101010101020306070101011513090a010101010101010101010d0e010101010101010101010101102101080619040105090a0101102101080619040105090a010101011017090a010110170b0c01010101010101010101010101010101010101010101010101010101010101010101010101010101010101010101010110110c01010101010101010101080607010101010101010101151d0c010101010101010102030607011513090a010101010101010101010102260c010101010101010101010101270a0806071f0c0d0607010101270a0806071f0c0d06070101010102030b0c0101010d06070101010101010101010101010101010101010101010101010d00000000000000000000000607010101010101010101010110110c0101010115130000000000000b0c0101010101010110170401010101010101010102030b23170b0c01010101010101010101010101080f01010101010101010101010124070d0b0c102515130e01010124070d0b0c102515130e0101010101050607010101080004010101010101010101010101010101010101010101010101010101010101010101010101010101010101010101010101010110110c010101010d0401010105090a010101010101010110170f010101010101010101011017000b0c0101010101010101010101010101021407010101010101010101010110210d0b0c01082203090a010110210d0b0c01082203090a0101010115130f01010110170f010101010101010101010101010101010101010101010101010101010101010101010101010101010101010101010101010101151d0c01010101050401010d0b0c010101010101010115130f010101010101010101010203000b0c01010101010101010101010101010115160a01010101010101010101021e05090a01011f200b0c0101021e05090a01011f200b0c010b01010105060701011017090a010101010101010101010101010101010101010101010101010101010101010101010101010101010101010101010101010101080f0101010102140701151304010101010101010105000e0101010101010101010203061a17090a010101010101010101010101010101050401010101010101010101011b1c090a0101101700040101011b1c090a010110170004010306010110170b0c0115130b0c01010101010101010101010101010101010101010101010d0000000000000000000000060701010101010101010101010101011017040101010110110c10170e0101010101010203000b0c010101010101010102030607011513090a010101010101010101010101010110110c0101010101010101101700000f0101010108000f01101700000f0101010108000f010101010101010500000619060701010101010101010101010101010101010101010101010101010101010101010101010101010101010101010101010101010102030f010101010115160a05090a010101010500000b0c01010101010101010203060701010115130f0101010101010101010101010101010d0e0101010101010101010108000f010101010203090a010108000f010101010203090a0101010101010101010115130e0101010101010101010101010101010101010101010101010101010101010101010101010101010101010101010101010101010203090a0101010101080f0d0b0c0101010115160a01010101010101010110170004010101010115130b0c010101010101010118010101010214070101010101010101010101010101010101010101010101010101010101010101010101010101010101010102030f0101010101010101010101010101010101010101010101010101010101010101010101010101010101010101010110110c010105000f01010101010101081213040101010102140701010101010101010101050401010101010101080f010101010101010101080e01010101080f010101010101010101010101010101010101010101010101010101010101010101120701010101010101010105090a010101010101010101010101010101010101010101010101010101010101010101010101010101010101010101010d00000000000401010101010101010d000e010101010108000000000f010101010101010101010101010101010101010101010101010102030000000000000401010101010101010101010101010101010101010101010101010101010101010101010101010101010101050607010101010101010101010101010101010101010101010101010101010101010101010101010101010101010101010108000000040101010101010101010105090a0101010102030000000b0c010101010101010101010101010101010101010101010101010108000000000000090a0101010101010101010101010101010101010101010101010101010101010101050101010101010102030000040101010101010101010101010101010101010101010101010101010101010101010101010101010101010101010101010101010101010101010101010101010101010101010101010101010101010101010101010101010101010101010101010101010101010101010101010101010101010101010101010101010101010101010101010101010101010101010101010101010101010101010101010101010101010101010101010101010101010101010101010101010101010101010101010101010101010101010101010101010101010101010101010101010101010101010101010101010101010101010101010101010101010101010101010101010101010101010101010101010101010101010101010101010101010101010101010101010101010101010101010101010101010101010101010101010101010101010101010101010101010101010101010101010101010101010101010101010101010101010101010101010101010101010101010101010101010101010101010101010101010101010101010101010101010101010101010101010101010101010101010101010101010101010101010101010101010101010101010101010101010101010101010101010101010101010101010101010101010101010101010101010101010101010101010101010101010101010101010101010101010101010101010101010101010101010101010101010101010101010101010101010101010101010101010101010101010101010101010101010101010101010101010101010101010101010101010101010101010101010101010101010101010101010101010101010101010101010101010101010101010101010101010101010101010101010101010101010101010101010101010101010101010101010101010101010101010101010101010101010101010101010101010101010101010101010101010101010101010101010101010101010101010101010101010101010101010101010101010101010101010101010101010101010101010101010101010c00000040092900aa000000000000001d009a0000000000040000002701ffff030000000000
Для конденсата:

Принимаем 0100090000038e17000000001c0d000000001c0d000026060f002e1a574d464301000000000001009d9500000000010000000c1a0000000000000c1a0000010000006c0000000000000000000000a80000001c000000000000000000000049110000f702000020454d46000001000c1a00000c00000001000000000000000000000000000000900600001a040000b801000013010000000000000000000000000000c0b6060038320400460000002c00000020000000454d462b014001001c000000100000000210c0db01000000600000006000000046000000f8030000ec030000454d462b224004000c000000000000001e4009000c00000000000000244001000c000000000000003040020010000000040000000000803f214007000c000000000000000840000544030000380300000210c0db01000000000000000000000000000000000000000100000089504e470d0a1a0a0000000d49484452000000a90000001d0803000000e650bc7e000000017352474200aece1ce9000000097048597300000ec400000ec401952b0e1b0000008d504c544500000000004800007400489c0074bf48000048004848007448489c4874bf489cbf489cdf7400007400487400747474007474bf74bfdf74bfff9c48009c48489c48749c9c489c9c749c9cbf9c9cdf9cbf9c9cdfdf9cdfffbf7400bf7448bf7474bf9c9cbfffffdf9c48df9c74df9c9cdfbf74dfdf9cdfdfdfdfffffffbf74ffbf9cffdf9cffffbfffffdfffffff162f7859000002254944415458c3ed576b53833010bc5ad02a546d50ab95b4125f8d04feffcff3f200121e15463a6347f2a1c3b5dc75b3b7b701c84f65c18474429a67110039114ee92c1ea19edc319c2578c541adf9be718ffc85b4a5f445da5273f852f8bce2ffa1ad51acf67d99d21369167963507a57348607eab359545c237db48256a5f4449afac10848d345d198cf8328b2a8ec6095d203290598ad4791297515c7824e397b1d292806afda8b15205211e29da9ffb3a66d99e9d5dc1dcab32aa41addba44483a5242a35989d109c00cbd08471928c551492425e5ffd77870f56ba5e4f9db8d448220891b00b2e9a95ade38404d3d5781a9ef7a407a91b4a720c38fca84760f726f7600c647f968be5feed91aa71aa77555d834892786f7f29592a91d4016a922acf7401dd6a92541ded5a5867c6dd57ec5084edc6a2bb203d0026d08e917dd379dcdee939e401d31bcecf92cde259a393b309c164ecca565a4be9e31200cbfe630cc686970d8a114acd7b82d45353fe7b335d127a613689dd215fa1b4e2a722dd5a54741ee5d2c37970366092b1600bb1c8a574f0314889362fc4ace172a978115e0ce40991691fe4bf2f43c1661e09c84439e0664a5b201941c5239d1d78193229112c35008577610d49e4f99392eb61b1fdbaeb6cac732af369d0c3a16a1a617c9a91c32b17c962693adaf9363011d68e12ea71e3620503265f38fc53bc9b788777724ac74d8a4425d684a9c52f278d632540afb2baf02d31bdf847442fa3f917e0354172b1a282d80870000000049454e44ae4260820000000840010824000000180000000210c0db01000000030000000000000000000000000000001b40000040000000340000000100000002000000000000bf000000bf000029430000e84103000000000000b3000000b3ffff2843000000b3000000b3ffffe7412100000008000000620000000c00000001000000150000000c00000004000000150000000c0000000400000051000000b01400000000000000000000a80000001c00000000000000000000000000000000000000a90000001d00000050000000e4000000340100007c130000000000002000cc00a90000001d00000028000000a90000001d00000001000800000000000000000000000000000000002f0000000000000000000000ffffff00dfffff0000489c00ffbf74000074bf0048000000ffdf9c0074000000ffffbf0074bfff009c480000ffffdf00bf740000489cdf0048489c00df9c4800bfffff00740074009cdfff00000048009c484800dfdfdf00749c9c00000074009c9cdf000074740074004800bf9c9c007474bf00489c9c00df9c9c00dfbf74009cbfff00bf74740074489c009c9cbf00749cdf00480074009cbf9c00bf74480048004800bf9c48004874bf00dfdf9c009cdfdf0074bfdf00010101010101010101010101010101010101010101010101010101010101010101010101010101010101010101010101010101010101010101010101010101010101010101010101010101010101010101010101010101010101010101010101010101010101010101010101010101010101010101010101010101010101010101010101010101010101010101010101010101010101010101010101010101010101010101010101010101010101010101010101010101010101010101010101010101010101010101010101010101010101010101010101010101010101010101010101010101010101010101010101010101010101010101010101010101010101010101010101010101010101010101010101010101010101010101010101010101010101010101010101010101010101010101010101010101010101010101010101010101010101010101010101010101010101010101010101010101010101010101010101010101010101010101010101010101010101010101010101010101010101010101010101010101010101010101010101010101010101010101010101010101010101010101010101010101010101010101010101010101010101010101010101010101010101010101010101010101010101010101010101010101010101010101010101010101010101010101010101010101010101010101010101010101010101010101010101010101010101010101010101010101010101010101010101010101010101010101010101010101010101010101010101010101010101010101010101010101010101010101010101010101010101010101010101010101010101010101010101010101010101010101010101010101010101010101010101010101010101010101010101010101010101010101010101010101010101010101010101010101010101010101010101010101010101010101010101010101010101010101010101010101010101010101010101010101010101010101010101010101010101010101010101010101010101010101010101010101010101010101010101010101010101010101010101010101010101010101010101010101010101010101010101010101010101010101010101010101010101010101010101010101010101010101010101010101010101010101010101010101010101010101010101010101010101010101010101010101010101010101010101010101010101010101010101010101010101010101010101010101010101010101010101010101010101010101010101010101010101010101010101010101010101010101010101010101010101010101010101010101010101010101010101010101010101010101010101010101010101010101010101010101010101010101010101010101010101010101010101111800000d0101010500000b0c0a000d0e0004010e000401010101010101010101010101010101010101010101010101010101010101010101010101010101010101010101010101010101010101010101010101010101010101010101010101010101010101010101010101010101010101010101010101010101010101010101010101010101010101010101010101010101010101010101010101010101010101010101010101010101010e0d010203100113150c010e0b2d152e04012b2c0f071d09010101010101010101010101010101010101010101010101010101010101010101010101010101010101010101010101010101010101010101010101010101010101010101010101010101010101010101010101010105100101010101010101010101010101010101010101010101010101010101010101010101010101010101010101010101010101010101010101010101010510011118100111180b0c11262c0f070101021712090101010101010101010101010101010101010101010101010101010101010101010101010101010101010101010101010101010101010101010101010101010101010101010101010101010101010101010101010101010111180d01010101010101010101010101010101010101010101010101010101010101010101010101010101010101010101010101010101010101010101010e000008090101012b2714000d010e100101010a0d0101010101010101010101010101010101010101010101010101010101010101010101010101010101010101010101010101010101010101010101010101010101010101010101010101010101010101010101010101010101010506070101010101010101010101010101010101010101010101010101010101010101010101010101010101010101010101111800000401050000040113290711181001010a10010101010a0d010101050b0c01010101010101010101010101010101010101010101010101010101010101010101010101010101011118000000100101010101010105040101010101010101010101010101010101010101010e00000000000004010101010e00101118000000100101010101010101020300040101111209011118002a03000401011112090111180010010100000001050607010520030d010504010e0809020f070113150c0101011112090111262728010101010101010101010101010101010101010101010101010101010101010101010101010101010113140b0c010e100101010101011112090101010101010101010101010101010101010101010a00000000000b0c01010105000413140b0c010e100101010101010102030008090113140d0111180d0e000008090113140d0111180d25070101010b02030809010105000d01010101010a00000809131406070101111800040e000d010a001001010101010101010101010101010101010101010101010101010101010101010101010101010101010101010105100101010101010e1001010101010101010101010101010101010101010101131b09010125070101010101010101010101010510010101010101010101111f010a06170401050b0c0101111f010a06170401050b0c010101010111180b0c0101111808090101010101010101010101010101010101010101010101010101010101010101010101010101010101010101010101010101010101010101010101010101010101010101010101131b09010101010102230901010101010101010101010101010101010101010101111209010101010101010101010101010101131b09010101010101010101240c0a06071d090e0607010101240c0a06071d090e06070101010101020308090101010e06070101010101010101010101010101010101010101010101010101010101010101010101010101010e000000000000000000000006070101010101010101010101010101010101011118040101010101010a0d0101010101010101010101010101010101010101010101111209010101010101010101010101010111180401010101010101010121070e0809112213141001010121070e080911221314100101000000010506070101010a0004010101010101010101010101010101010101010101010101010101010101010101010101010101010101010101010101010101010101010101010101010101010101010101010111180d010101010101020f0701010101010101011118080901010101010101010101011112090101010101010101010101010111180d010101010101010101111f0e0809010a20030b0c0101111f0e0809010a20030b0c010101010113140d01010111180d010101010101010101010101010101010101010101010101010101010101010101010101010101010101010101010101010101010101010101010101010101010101010101010113140d0101010101010113150c0101010101010113140004010101010101010101010101131b0901010101010101010101010113140d010101010101010101021c050b0c01011d1e08090101021c050b0c01011d1e0809010101010101050607010111180b0c01010101010101010101010101010101010101010101010101010101010101010101010101010101010101010101010101010101010101010101010101010101010101010101050010010101010101010105040101010101010111180809010101010101010101010101010a0d01010101010101010101010105001001010101010101010101191a0b0c010111180004010101191a0b0c01011118000401010101010111180809011314080901010101010101010101010101010101010101010101010101010101010101010101010101010e000000000000000000000006070101010101010101010101010101010102030008090101010101010101111209010101010101010101010101010101010101010101010111180401010101010101010102030008090101010101010101111800000d010101010a000d01111800000d010101010a000d010101010101010105000006170607010101010101010101010101010101010101010101010101010101010101010101010101010101010101010101010101010101010101010101010101010101010101010500000809010101010101010101010e10010101010101010101010101010101010101010101010102030d0101010101010101050000080901010101010101010101010a000d0101010102030b0c01010a000d0101010102030b0c19050b01010101010101011314100101010101010101010101010101010101010101010101010101010101010101010101010101010101010101010101010101010101010101010101010101010101010113150c010101010101011601010101020f070101010101010101010101010101010101010101010102030b0c0101010101010113150c01010101010101010101010101010101010101010101010101010101010101010101010101010101010101010101010102030d01010101010101010101010101010101010101010101010101010101010101010101010101010101010101010101010101010101010101010101010101010101010101020f07010101010101010a10010101010a0d0101010101010101010101010101010101111209010105000d0101010101010101020f0701010101010101010101010101010101010101010101010101010101010101010101010101061213010101010101010101050b0c010101010101010101010101010101010101010101010101010101010101010101010101010101010101010101010101010101010101010101010101010101010101010a000000000d01010102030000000000000401010101010101010101010101010101010e0000000000040101010101010101010a000000000d010101010101010101010101010101010101010101010101010101010101010101030a0101010101010101010105060701010101010101010101010101010101010101010101010101010101010101010101010101010101010101010101010101010101010101010101010101010101010101020300000008090101010a0000000000000b0c01010101010101010101010101010101010a000000040101010101010101010102030000000809010101010101010101010101010101010101010101010101010101010101010101010101010101010101020300000401010101010101010101010101010101010101010101010101010101010101010101010101010101010101010101010101010101010101010101010101010101010101010101010101010101010101010101010101010101010101010101010101010101010101010101010101010101010101010101010101010101010101010101010101010101010101010101010101010101010101010101010101010101010101010101010101010101010101010101010101010101010101010101010101010101010101010101010101010101010101010101010101010101010101010101010101010101010101010101010101010101010101010101010101010101010101010101010101010101010101010101010101010101010101010101010101010101010101010101010101010101010101010101010101010101010101010101010101010101010101010101010101010101010101010101010101010101010101010101010101010101010101010101010101010101010101010101010101010101010101010101010101010101010101010101010101010101010101010101010101010101010101010101010101010101010101010101010101010101010101010101010101010101010101010101010101010101010101010101010101010101010101010101010101010101010101010101010101010101010101010101010101010101010101010101010101010101010101010101010101010101010101010101010101010101010101010101010101010101010101010101010101010101010101010101010101010101010101010101010101010101010101010101010101010101010101010101010101010101010101010101010101010101010101010101010101010101010101010101010101010101010101010101010101010101010101010101010101010101010101010101010101010101010101010101010101010101010101010101010101010101010101010101010101010101010101010101010101010101010101010101010101010101010101010101010101010101010101010101010101010101010101010101010101010101010101010101010101010101010101010101010101010101010101010101010101010101010101010101010101010101010101014c000000640000000000000000000000a80000001c0000000000000000000000a90000001d0000002900aa0000000000000000000000803f00000000000000000000803f0000000000000000000000000000000000000000000000000000000000000000220000000c000000ffffffff460000001c00000010000000454d462b024000000c000000000000000e000000140000000000000010000000140000000400000003010800050000000b0200000000050000000c021d00a900030000001e00040000000701040004000000070104003d0a0000410b2000cc001d00a900000000001d00a9000000000028000000a90000001d00000001000800000000000000000000000000000000002f0000000000000000000000ffffff00dfffff0000489c00ffbf74000074bf0048000000ffdf9c0074000000ffffbf0074bfff009c480000ffffdf00bf740000489cdf0048489c00df9c4800bfffff00740074009cdfff00000048009c484800dfdfdf00749c9c00000074009c9cdf000074740074004800bf9c9c007474bf00489c9c00df9c9c00dfbf74009cbfff00bf74740074489c009c9cbf00749cdf00480074009cbf9c00bf74480048004800bf9c48004874bf00dfdf9c009cdfdf0074bfdf00010101010101010101010101010101010101010101010101010101010101010101010101010101010101010101010101010101010101010101010101010101010101010101010101010101010101010101010101010101010101010101010101010101010101010101010101010101010101010101010101010101010101010101010101010101010101010101010101010101010101010101010101010101010101010101010101010101010101010101010101010101010101010101010101010101010101010101010101010101010101010101010101010101010101010101010101010101010101010101010101010101010101010101010101010101010101010101010101010101010101010101010101010101010101010101010101010101010101010101010101010101010101010101010101010101010101010101010101010101010101010101010101010101010101010101010101010101010101010101010101010101010101010101010101010101010101010101010101010101010101010101010101010101010101010101010101010101010101010101010101010101010101010101010101010101010101010101010101010101010101010101010101010101010101010101010101010101010101010101010101010101010101010101010101010101010101010101010101010101010101010101010101010101010101010101010101010101010101010101010101010101010101010101010101010101010101010101010101010101010101010101010101010101010101010101010101010101010101010101010101010101010101010101010101010101010101010101010101010101010101010101010101010101010101010101010101010101010101010101010101010101010101010101010101010101010101010101010101010101010101010101010101010101010101010101010101010101010101010101010101010101010101010101010101010101010101010101010101010101010101010101010101010101010101010101010101010101010101010101010101010101010101010101010101010101010101010101010101010101010101010101010101010101010101010101010101010101010101010101010101010101010101010101010101010101010101010101010101010101010101010101010101010101010101010101010101010101010101010101010101010101010101010101010101010101010101010101010101010101010101010101010101010101010101010101010101010101010101010101010101010101010101010101010101010101010101010101010101010101010101010101010101010101010101010101010101010101010101010101010101010101010101010101010101010101010101010101010101111800000d0101010500000b0c0a000d0e0004010e000401010101010101010101010101010101010101010101010101010101010101010101010101010101010101010101010101010101010101010101010101010101010101010101010101010101010101010101010101010101010101010101010101010101010101010101010101010101010101010101010101010101010101010101010101010101010101010101010101010101010e0d010203100113150c010e0b2d152e04012b2c0f071d09010101010101010101010101010101010101010101010101010101010101010101010101010101010101010101010101010101010101010101010101010101010101010101010101010101010101010101010101010105100101010101010101010101010101010101010101010101010101010101010101010101010101010101010101010101010101010101010101010101010510011118100111180b0c11262c0f070101021712090101010101010101010101010101010101010101010101010101010101010101010101010101010101010101010101010101010101010101010101010101010101010101010101010101010101010101010101010101010111180d01010101010101010101010101010101010101010101010101010101010101010101010101010101010101010101010101010101010101010101010e000008090101012b2714000d010e100101010a0d0101010101010101010101010101010101010101010101010101010101010101010101010101010101010101010101010101010101010101010101010101010101010101010101010101010101010101010101010101010101010506070101010101010101010101010101010101010101010101010101010101010101010101010101010101010101010101111800000401050000040113290711181001010a10010101010a0d010101050b0c01010101010101010101010101010101010101010101010101010101010101010101010101010101011118000000100101010101010105040101010101010101010101010101010101010101010e00000000000004010101010e00101118000000100101010101010101020300040101111209011118002a03000401011112090111180010010100000001050607010520030d010504010e0809020f070113150c0101011112090111262728010101010101010101010101010101010101010101010101010101010101010101010101010101010113140b0c010e100101010101011112090101010101010101010101010101010101010101010a00000000000b0c01010105000413140b0c010e100101010101010102030008090113140d0111180d0e000008090113140d0111180d25070101010b02030809010105000d01010101010a00000809131406070101111800040e000d010a001001010101010101010101010101010101010101010101010101010101010101010101010101010101010101010105100101010101010e1001010101010101010101010101010101010101010101131b09010125070101010101010101010101010510010101010101010101111f010a06170401050b0c0101111f010a06170401050b0c010101010111180b0c0101111808090101010101010101010101010101010101010101010101010101010101010101010101010101010101010101010101010101010101010101010101010101010101010101010101131b09010101010102230901010101010101010101010101010101010101010101111209010101010101010101010101010101131b09010101010101010101240c0a06071d090e0607010101240c0a06071d090e06070101010101020308090101010e06070101010101010101010101010101010101010101010101010101010101010101010101010101010e000000000000000000000006070101010101010101010101010101010101011118040101010101010a0d0101010101010101010101010101010101010101010101111209010101010101010101010101010111180401010101010101010121070e0809112213141001010121070e080911221314100101000000010506070101010a0004010101010101010101010101010101010101010101010101010101010101010101010101010101010101010101010101010101010101010101010101010101010101010101010111180d010101010101020f0701010101010101011118080901010101010101010101011112090101010101010101010101010111180d010101010101010101111f0e0809010a20030b0c0101111f0e0809010a20030b0c010101010113140d01010111180d010101010101010101010101010101010101010101010101010101010101010101010101010101010101010101010101010101010101010101010101010101010101010101010113140d0101010101010113150c0101010101010113140004010101010101010101010101131b0901010101010101010101010113140d010101010101010101021c050b0c01011d1e08090101021c050b0c01011d1e0809010101010101050607010111180b0c01010101010101010101010101010101010101010101010101010101010101010101010101010101010101010101010101010101010101010101010101010101010101010101050010010101010101010105040101010101010111180809010101010101010101010101010a0d01010101010101010101010105001001010101010101010101191a0b0c010111180004010101191a0b0c01011118000401010101010111180809011314080901010101010101010101010101010101010101010101010101010101010101010101010101010e000000000000000000000006070101010101010101010101010101010102030008090101010101010101111209010101010101010101010101010101010101010101010111180401010101010101010102030008090101010101010101111800000d010101010a000d01111800000d010101010a000d010101010101010105000006170607010101010101010101010101010101010101010101010101010101010101010101010101010101010101010101010101010101010101010101010101010101010101010500000809010101010101010101010e10010101010101010101010101010101010101010101010102030d0101010101010101050000080901010101010101010101010a000d0101010102030b0c01010a000d0101010102030b0c19050b01010101010101011314100101010101010101010101010101010101010101010101010101010101010101010101010101010101010101010101010101010101010101010101010101010101010113150c010101010101011601010101020f070101010101010101010101010101010101010101010102030b0c0101010101010113150c01010101010101010101010101010101010101010101010101010101010101010101010101010101010101010101010102030d01010101010101010101010101010101010101010101010101010101010101010101010101010101010101010101010101010101010101010101010101010101010101020f07010101010101010a10010101010a0d0101010101010101010101010101010101111209010105000d0101010101010101020f0701010101010101010101010101010101010101010101010101010101010101010101010101061213010101010101010101050b0c010101010101010101010101010101010101010101010101010101010101010101010101010101010101010101010101010101010101010101010101010101010101010a000000000d01010102030000000000000401010101010101010101010101010101010e0000000000040101010101010101010a000000000d010101010101010101010101010101010101010101010101010101010101010101030a0101010101010101010105060701010101010101010101010101010101010101010101010101010101010101010101010101010101010101010101010101010101010101010101010101010101010101020300000008090101010a0000000000000b0c01010101010101010101010101010101010a000000040101010101010101010102030000000809010101010101010101010101010101010101010101010101010101010101010101010101010101010101020300000401010101010101010101010101010101010101010101010101010101010101010101010101010101010101010101010101010101010101010101010101010101010101010101010101010101010101010101010101010101010101010101010101010101010101010101010101010101010101010101010101010101010101010101010101010101010101010101010101010101010101010101010101010101010101010101010101010101010101010101010101010101010101010101010101010101010101010101010101010101010101010101010101010101010101010101010101010101010101010101010101010101010101010101010101010101010101010101010101010101010101010101010101010101010101010101010101010101010101010101010101010101010101010101010101010101010101010101010101010101010101010101010101010101010101010101010101010101010101010101010101010101010101010101010101010101010101010101010101010101010101010101010101010101010101010101010101010101010101010101010101010101010101010101010101010101010101010101010101010101010101010101010101010101010101010101010101010101010101010101010101010101010101010101010101010101010101010101010101010101010101010101010101010101010101010101010101010101010101010101010101010101010101010101010101010101010101010101010101010101010101010101010101010101010101010101010101010101010101010101010101010101010101010101010101010101010101010101010101010101010101010101010101010101010101010101010101010101010101010101010101010101010101010101010101010101010101010101010101010101010101010101010101010101010101010101010101010101010101010101010101010101010101010101010101010101010101010101010101010101010101010101010101010101010101010101010101010101010101010101010101010101010101010101010101010101010101010101010101010101010101010101010101010101010101010101010101010101010101010101010101010101010101010c00000040092900aa000000000000001d00a90000000000040000002701ffff030000000000
2.3.3 Выбор размещения трубок в трубной плите
Площадь, занятая трубками:

где
- площадь, занятая трубками, м2;
– расстояние между осями
труб, м;
- число труб;
- коэффициент использования
трубной плиты, 0,70100090000032603000000004a02000000004a02000026060f008a04574d46430100000000000100d6250000000001000000680400000000000068040000010000006c00000000000000000000000f0000001c0000000000000000000000a2010000f702000020454d4600000100680400000c00000001000000000000000000000000000000900600001a040000b801000013010000000000000000000000000000c0b6060038320400460000002c00000020000000454d462b014001001c000000100000000210c0db010000006000000060000000460000008001000074010000454d462b224004000c000000000000001e4009000c00000000000000244001000c000000000000003040020010000000040000000000803f214007000c0000000000000008400005cc000000c00000000210c0db01000000000000000000000000000000000000000100000089504e470d0a1a0a0000000d49484452000000100000001d04030000005143f18c000000017352474200aece1ce9000000097048597300000ec400000ec401952b0e1b0000001b504c544500000000004800489c4800009cdfffdf9c48dfffffffdf9cffffff1ce911030000001f4944415428cf63e88002062a328ad5d019686a5a194080d1834cedd4660000f60675f39cbce4c90000000049454e44ae4260820000000840010824000000180000000210c0db01000000030000000000000000000000000000001b40000040000000340000000100000002000000000000bf000000bf000080410000e84103000000000000b3000000b3ffff7f41000000b3000000b3ffffe7412100000008000000620000000c00000001000000150000000c00000004000000150000000c00000004000000510000008401000000000000000000000f0000001c00000000000000000000000000000000000000100000001d000000500000004c0000009c000000e8000000000000002000cc00100000001d00000028000000100000001d0000000100040000000000000000000000000000000000090000000000000000000000ffffff009cdfff00000048009c480000ffffdf00489cdf0048000000ffdf9c00111111111111111111111111111111111111111111111111111111111111111111111111111111111111111111111111111111111111111111111111111111111111111111111111111111111111111111111111111111111111112345111111111111234511111111111111111111111111111111111111160000000000078111111111111111111111111111111111111111234511111111111123451111111111111111111111111111111111111111111111111111111111111111111111111111111111111111111111111111111111111111111111111111111111111111111111111111114c0000006400000000000000000000000f0000001c0000000000000000000000100000001d0000002900aa0000000000000000000000803f00000000000000000000803f0000000000000000000000000000000000000000000000000000000000000000220000000c000000ffffffff460000001c00000010000000454d462b024000000c000000000000000e000000140000000000000010000000140000000400000003010800050000000b0200000000050000000c021d001000030000001e0004000000070104000400000007010400a7000000410b2000cc001d001000000000001d0010000000000028000000100000001d0000000100040000000000000000000000000000000000090000000000000000000000ffffff009cdfff00000048009c480000ffffdf00489cdf0048000000ffdf9c00111111111111111111111111111111111111111111111111111111111111111111111111111111111111111111111111111111111111111111111111111111111111111111111111111111111111111111111111111111111111112345111111111111234511111111111111111111111111111111111111160000000000078111111111111111111111111111111111111111234511111111111123451111111111111111111111111111111111111111111111111111111111111111111111111111111111111111111111111111111111111111111111111111111111111111111111111111110c00000040092900aa000000000000001d00100000000000040000002701ffff030000000000
0,9.

где d>н> – наружный диаметр трубы, м.
принимаем
t = 0100090000038c08000000004605000000004605000026060f00820a574d464301000000000001006d500000000001000000600a000000000000600a0000010000006c00000000000000000000002e0000001c0000000000000000000000ce040000f702000020454d4600000100600a00000c00000001000000000000000000000000000000900600001a040000b801000013010000000000000000000000000000c0b6060038320400460000002c00000020000000454d462b014001001c000000100000000210c0db01000000600000006000000046000000a402000098020000454d462b224004000c000000000000001e4009000c00000000000000244001000c000000000000003040020010000000040000000000803f214007000c0000000000000008400005f0010000e40100000210c0db01000000000000000000000000000000000000000100000089504e470d0a1a0a0000000d494844520000002f0000001d08030000000d4bc538000000017352474200aece1ce9000000097048597300000ec400000ec401952b0e1b00000054504c544500000000004800007400489c0074bf48000048489c487474489cdf740000740074749c9c749cdf74bfdf74bfff9c48009c48489c9c749cdfffbf7400bfffffdf9c48dfffffffbf74ffdf9cffffbfffffdfffffff277a54ac0000010d4944415438cbd594d17683200c86d30d366d3b588d28e2fbbfe792206de2b673da9b9e536ed4f891fcf90dc2fad88297e34b040896e790b314be4fb7fbc3b0cf9f7d307882eeefbd1b9fde468dcf9f6a7f896eafbf44958270a7f767dfed79135af3c7d42420c0e1a2e46f7cd2a1e5382ebdec5f7a2a93bdd60abf3a2adf436b5f8c597aad156a1ed51186d67ef66effb2f2b3fa20295ceb55dff5cb8d576e640fb22852a2844d6fc21b83a59e2055b8f46c79ebe6b55ecd8f32295436d06711bec45611abd4568ff5e3173d900564f29a3ae691e53a3d359bfb74e5c944194fcacd46db7946d39a9d574acaed68de3a6d16cb61f986c7eedf434323b5e2e97cf779a456eb0cbfdeffe1b9fc0f8533818413fabcc10000000049454e44ae4260820840010824000000180000000210c0db01000000030000000000000000000000000000001b40000040000000340000000100000002000000000000bf000000bf00003c420000e84103000000000080b3000080b3ffff3b42000080b3000080b3ffffe7412100000008000000620000000c00000001000000150000000c00000004000000150000000c00000004000000510000005806000000000000000000002e0000001c000000000000000000000000000000000000002f0000001d0000005000000098000000e800000070050000000000002000cc002f0000001d000000280000002f0000001d00000001000800000000000000000000000000000000001c0000000000000000000000ffffff00dfffff0000489c00ffbf7400bf7400000074bf009c480000ffffdf0048000000ffdf9c009cdfff0000004800489cdf00df9c480074000000ffffbf0074bfff00747448009c484800749c9c00bfffff00740074000000740048489c00dfbf74009c9c7400df9c74000101010101010101010101010101010101010101010101010101010101010101010101010101010101010101010101ff0101010101010101010101010101010101010101010101010101010101010101010101010101010101010101010101ff0101010101010101010101010101010101010101010101010101010101010101010101010101010101010101010101ff0101010101010101010101010101010101010101010101010101010101010101010101010101010101010101010101ff0101010101010101010101010101010101010101010101010101010101010101010101010101010101010101010101ff0101010101010101010101010101010101010101010101010101010101010101010101010101010101010101010101ff01010101010101010101010101010101010101010101010101010101010101010101010101010d0e01020307080101ff0101010101010101010101060e010101010101010101010101010101010101010101010101010b130801061a1b0101ff0101010101010101010101151705010101010101010101010101010101010101010101010101151610011105010101ff01010101010101010101010106090a0101010101010101010101010101010101010101010101010600000007080101ff0106000000000501010101010d000e0101010115170e010101010115170000040106000004010111050102180a0101ff01010203090a01010101010106000401010101020305010101010106090a010619030501060401151610010d0e0101ff0101010b0c0e01010101010101010101010101010d0f1001010102030f1001010600050101010b0c00040111050101ff010101020305010101010101010101010101010111090a01010115170708010115170f100101010101010101010101ff010101010d0f1001010101010101010b0c0000000000000f100102030f100101010d090a0101010101010101010101ff010101011100040101010101010101010d0401010106070801010106090a0101011100040101010101010101010101ff0101010115170501010101010101010101060401010d0f100101010b0c050101011517050101010101010101010101ff010101010106070801010101010101010102180a010b0c040101010106090a01011517070801010101010101010101ff01010101010d090a0101010101010101010115161015170e0101010115170f10010b0c0f1001010101010101010101ff01010101010b0c0e01010101010101010101010b130806070801010101010600000914090a01010101010101010101ff010101010102030708010101010101010101010111050d0f100101010101010101010b0c0e01010101010101010101ff0101010101010d0f1001010101010101010101010111120c0401010101010101010102030501010101010101010101ff0101010101010b0c04010101010101010101010101010d000e01010101010101010101060708010101010101010101ff010101010203000005010101010101010101010101010106070801010101010101010106090a010101010101010101ff0101010101010101010101010101010101010101010101010101010101010101010203000004010101010101010101ff0101010101010101010101010101010101010101010101010101010101010101010101010101010101010101010101ff0101010101010101010101010101010101010101010101010101010101010101010101010101010101010101010101ff0101010101010101010101010101010101010101010101010101010101010101010101010101010101010101010101ff0101010101010101010101010101010101010101010101010101010101010101010101010101010101010101010101ff4c0000006400000000000000000000002e0000001c00000000000000000000002f0000001d0000002900aa0000000000000000000000803f00000000000000000000803f0000000000000000000000000000000000000000000000000000000000000000220000000c000000ffffffff460000001c00000010000000454d462b024000000c000000000000000e000000140000000000000010000000140000000400000003010800050000000b0200000000050000000c021d002f00030000001e000400000007010400040000000701040011030000410b2000cc001d002f00000000001d002f0000000000280000002f0000001d00000001000800000000000000000000000000000000001c0000000000000000000000ffffff00dfffff0000489c00ffbf7400bf7400000074bf009c480000ffffdf0048000000ffdf9c009cdfff0000004800489cdf00df9c480074000000ffffbf0074bfff00747448009c484800749c9c00bfffff00740074000000740048489c00dfbf74009c9c7400df9c74000101010101010101010101010101010101010101010101010101010101010101010101010101010101010101010101ff0101010101010101010101010101010101010101010101010101010101010101010101010101010101010101010101ff0101010101010101010101010101010101010101010101010101010101010101010101010101010101010101010101ff0101010101010101010101010101010101010101010101010101010101010101010101010101010101010101010101ff0101010101010101010101010101010101010101010101010101010101010101010101010101010101010101010101ff0101010101010101010101010101010101010101010101010101010101010101010101010101010101010101010101ff01010101010101010101010101010101010101010101010101010101010101010101010101010d0e01020307080101ff0101010101010101010101060e010101010101010101010101010101010101010101010101010b130801061a1b0101ff0101010101010101010101151705010101010101010101010101010101010101010101010101151610011105010101ff01010101010101010101010106090a0101010101010101010101010101010101010101010101010600000007080101ff0106000000000501010101010d000e0101010115170e010101010115170000040106000004010111050102180a0101ff01010203090a01010101010106000401010101020305010101010106090a010619030501060401151610010d0e0101ff0101010b0c0e01010101010101010101010101010d0f1001010102030f1001010600050101010b0c00040111050101ff010101020305010101010101010101010101010111090a01010115170708010115170f100101010101010101010101ff010101010d0f1001010101010101010b0c0000000000000f100102030f100101010d090a0101010101010101010101ff010101011100040101010101010101010d0401010106070801010106090a0101011100040101010101010101010101ff0101010115170501010101010101010101060401010d0f100101010b0c050101011517050101010101010101010101ff010101010106070801010101010101010102180a010b0c040101010106090a01011517070801010101010101010101ff01010101010d090a0101010101010101010115161015170e0101010115170f10010b0c0f1001010101010101010101ff01010101010b0c0e01010101010101010101010b130806070801010101010600000914090a01010101010101010101ff010101010102030708010101010101010101010111050d0f100101010101010101010b0c0e01010101010101010101ff0101010101010d0f1001010101010101010101010111120c0401010101010101010102030501010101010101010101ff0101010101010b0c04010101010101010101010101010d000e01010101010101010101060708010101010101010101ff010101010203000005010101010101010101010101010106070801010101010101010106090a010101010101010101ff0101010101010101010101010101010101010101010101010101010101010101010203000004010101010101010101ff0101010101010101010101010101010101010101010101010101010101010101010101010101010101010101010101ff0101010101010101010101010101010101010101010101010101010101010101010101010101010101010101010101ff0101010101010101010101010101010101010101010101010101010101010101010101010101010101010101010101ff0101010101010101010101010101010101010101010101010101010101010101010101010101010101010101010101ff0c00000040092900aa000000000000001d002f0000000000040000002701ffff030000000000,
= 0,8.


2.4 Механический расчёт
2.4.1 Определение толщины трубной плиты

где
>010009000003fc0300000000d00200000000d002000026060f009605574d46430100000000000100f9310000000001000000740500000000000074050000010000006c00000000000000000000000b0000001c000000000000000000000039010000f702000020454d4600000100740500000c00000001000000000000000000000000000000900600001a040000b801000013010000000000000000000000000000c0b6060038320400460000002c00000020000000454d462b014001001c000000100000000210c0db01000000600000006000000046000000ec010000e0010000454d462b224004000c000000000000001e4009000c00000000000000244001000c000000000000003040020010000000040000000000803f214007000c0000000000000008400005380100002c0100000210c0db01000000000000000000000000000000000000000100000089504e470d0a1a0a0000000d494844520000000c0000001d0803000000a9217deb000000017352474200aece1ce9000000097048597300000ec400000ec401952b0e1b0000003c504c544500000000004800007400489c0074bf480000489cdf74000074bfff9c48009cdfffbf7400bfffffdf9c48dfffffffbf74ffdf9cffffbfffffdfffffffc2324b640000006c4944415428cfb58f4b0ec0200844c75afbd1da8fdcffae95c1346e5d9405c923330340bac208240073833c1d72071709c99f22973f0917b6dee3e207cf8aea32c82ede6136c8aa6143cd5c98b12898993a945d9734785682c9caaea9d6215967893768743d993bc73efd055ec165160fe53d06b10000000049454e44ae426082000840010824000000180000000210c0db01000000030000000000000000000000000000001b40000040000000340000000100000002000000000000bf000000bf000040410000e84103000000000000b3000000b3ffff3f41000000b3000000b3ffffe7412100000008000000620000000c00000001000000150000000c00000004000000150000000c00000004000000510000002402000000000000000000000b0000001c000000000000000000000000000000000000000c0000001d0000005000000078000000c80000005c010000000000002000cc000c0000001d000000280000000c0000001d0000000100080000000000000000000000000000000000140000000000000000000000ffffff000074bf00bf740000489cdf0074000000ffffbf009cdfff000000480048000000ffdf9c009c480000ffffdf0074bfff00ffbf7400bfffff0000007400df9c4800dfffff0000489c0001010101010101010101010101010101010101010101010101010101010101010101010101010101010101010101010101010101010101010101010101010101010101010101010101010101010101010101010101010101010101010101010101010101010101010101010101010101010101010101010101010400000005060101010101040011010102000e0101011213050601011213050601010f100b0c0101010d0011010112130b0c01010107080301010102090a0101010708030101010708110101010d00110101010104090a010104090a010101010104090a070803010101010101010f10000506010101010101010102090a01010101010101010d000e010101010101010101020b0c01010d0b0c01010101040506010708090a0101010101020000000301010101010101010101010101010101010101010101010101010101010101010101010101010101010101010101010101014c0000006400000000000000000000000b0000001c00000000000000000000000c0000001d0000002900aa0000000000000000000000803f00000000000000000000803f0000000000000000000000000000000000000000000000000000000000000000220000000c000000ffffffff460000001c00000010000000454d462b024000000c000000000000000e000000140000000000000010000000140000000400000003010800050000000b0200000000050000000c021d000c00030000001e0004000000070104000400000007010400f7000000410b2000cc001d000c00000000001d000c0000000000280000000c0000001d0000000100080000000000000000000000000000000000140000000000000000000000ffffff000074bf00bf740000489cdf0074000000ffffbf009cdfff000000480048000000ffdf9c009c480000ffffdf0074bfff00ffbf7400bfffff0000007400df9c4800dfffff0000489c0001010101010101010101010101010101010101010101010101010101010101010101010101010101010101010101010101010101010101010101010101010101010101010101010101010101010101010101010101010101010101010101010101010101010101010101010101010101010101010101010101010400000005060101010101040011010102000e0101011213050601011213050601010f100b0c0101010d0011010112130b0c01010107080301010102090a0101010708030101010708110101010d00110101010104090a010104090a010101010104090a070803010101010101010f10000506010101010101010102090a01010101010101010d000e010101010101010101020b0c01010d0b0c01010101040506010708090a0101010101020000000301010101010101010101010101010101010101010101010101010101010101010101010101010101010101010101010101010c00000040092900aa000000000000001d000c0000000000040000002701ffff030000000000>
>min>
– толщина трубной плиты, мм;
d>н> – наружный диаметр трубы, мм.

Принимаем 010009000003000800000000f60400000000f604000026060f00e209574d46430100000000000100a09d0000000001000000c009000000000000c0090000010000006c0000000000000000000000290000001c00000000000000000000004b040000f702000020454d4600000100c00900000c00000001000000000000000000000000000000900600001a040000b801000013010000000000000000000000000000c0b6060038320400460000002c00000020000000454d462b014001001c000000100000000210c0db010000006000000060000000460000007c02000070020000454d462b224004000c000000000000001e4009000c00000000000000244001000c000000000000003040020010000000040000000000803f214007000c0000000000000008400005c8010000bc0100000210c0db01000000000000000000000000000000000000000100000089504e470d0a1a0a0000000d494844520000002a0000001d0803000000eb620e7c000000017352474200aece1ce9000000097048597300000ec400000ec401952b0e1b00000051504c544500000000004800007400484800487400489c0074bf4800004800484848004874bf489cdf74000074484874489c74bfff9c48009cdfffbf7400bfffffdf9c48dfffffffbf74ffdf9cffffbfffffdfffffffde047015000000e74944415438cbcd93dd0e83300885719b3f9b6e6d19d6b6efffa003aa4613137b37bda8097cc2e15021153f700d1401a02942e9f64d535bb90214eb31252fc729eac1946b3d6bbea26100565b8252e5a6b6294149bad3b90460977a9dac3f47f348070ac2b0ff1aa2553f0fd0a9dd5b086150b44440b4e2939e084db4508f08a209416a2c31d54a520f795f68e8de395f3d8daa8c56e2861e6f8eb9d92cbe567903c82f5972184cca475ea4d7f4f6be6a1de2669acaf95c7b16b019b973734adca0d919b3b8b645a58eb4657c7a45db844f6ec038993d2a7dfc3a3cea0012630bfaebfcb17f447fd5e36fdf348b36c10000000049454e44ae426082000840010824000000180000000210c0db01000000030000000000000000000000000000001b40000040000000340000000100000002000000000000bf000000bf000028420000e84103000000000080b3000080b3ffff2742000080b3000080b3ffffe7412100000008000000620000000c00000001000000150000000c00000004000000150000000c0000000400000051000000e00500000000000000000000290000001c000000000000000000000000000000000000002a0000001d0000005000000094000000e4000000fc040000000000002000cc002a0000001d000000280000002a0000001d00000001000800000000000000000000000000000000001b0000000000000000000000ffffff000074bf00bf740000489cdf0074000000ffffbf009cdfff000000480048000000ffdf9c009c480000ffffdf0074bfff00ffbf7400bfffff0000007400df9c4800dfffff0000489c004848000048004800004848007448000048487400bf7448009c487400010101010101010101010101010101010101010101010101010101010101010101010101010101010101ffff010101010101010101010101010101010101010101010101010101010101010101010101010101010101ffff010101010101010101010101010101010101010101010101010101010101010101010101010101010101ffff010101010101010101010101010101010101010101010101010101010101010101010101010101010101ffff010101010101010101010101010101010101010101010101010101010101010101010101010101010101ffff010101010101010101010101010101010101010101010101010101010101010101010101010101010101ffff0101010101010101010101020b0c010d090a010102000b0c01020005060101020b0c0112130011010101ffff01010101010101010101010d0506010f100e0112131107191213030f1a0c010d05060107080e040e0101ffff010101010101010101010107150a0112131101010203010101040b0c01010107080e010f101101010101ffff01010101010101010101011213110101040b0c010d050601010d05060101011213110101020b0c010101ff2f010104000000050601010101020506010d000e010f100e01010f100e0101010102090a010d0506010101ff9c01040011010102000e01020e0414150a0d09160e0f101101011213110101020e0417180a0d090a010101004812130506010112130506010200031213000b0c0200090a010102000b0c01010200031213000b0c01010100000f100b0c0101010d0011010101010101010101010101010101010101010101010101010101010101010174ff12130b0c0101010708030101010101010101010101010101010107080e01010101010101010101010101ffff0102090a010101070803010101010101010101010101010101010f101101010101010101010101010101ffff010708110101010d00110101010101010101010101010101010101010101010101010101010101010101bf48010104090a010104090a0101010101010101010101010101010101010101010101010101010101010101ffff01010104090a070803010101010101010101010101010101010101010101010101010101010101010101ffff010101010f10000506010101010101010101010101010101010101010101010101010101010101010101ff2f010101010102090a01010101010101010101010101010101010101010101010101010101010101010101ffff010101010d000e0101010101010101010101010101010101010101010101010101010101010101010101ffff01010101020b0c01010d0b0c010101010101010101010101010101010101010101010101010101010101ffff01010101040506010708090a010101010101010101010101010101010101010101010101010101010101ffff010101010102000000030101010101010101010101010101010101010101010101010101010101010101ffff010101010101010101010101010101010101010101010101010101010101010101010101010101010101e103010101010101010101010101010101010101010101010101010101010101010101010101010101010101ffff010101010101010101010101010101010101010101010101010101010101010101010101010101010101ffff010101010101010101010101010101010101010101010101010101010101010101010101010101010101ffff4c000000640000000000000000000000290000001c00000000000000000000002a0000001d0000002900aa0000000000000000000000803f00000000000000000000803f0000000000000000000000000000000000000000000000000000000000000000220000000c000000ffffffff460000001c00000010000000454d462b024000000c000000000000000e000000140000000000000010000000140000000400000003010800050000000b0200000000050000000c021d002a00030000001e0004000000070104000400000007010400d5020000410b2000cc001d002a00000000001d002a0000000000280000002a0000001d00000001000800000000000000000000000000000000001b0000000000000000000000ffffff000074bf00bf740000489cdf0074000000ffffbf009cdfff000000480048000000ffdf9c009c480000ffffdf0074bfff00ffbf7400bfffff0000007400df9c4800dfffff0000489c004848000048004800004848007448000048487400bf7448009c487400010101010101010101010101010101010101010101010101010101010101010101010101010101010101ffff010101010101010101010101010101010101010101010101010101010101010101010101010101010101ffff010101010101010101010101010101010101010101010101010101010101010101010101010101010101ffff010101010101010101010101010101010101010101010101010101010101010101010101010101010101ffff010101010101010101010101010101010101010101010101010101010101010101010101010101010101ffff010101010101010101010101010101010101010101010101010101010101010101010101010101010101ffff0101010101010101010101020b0c010d090a010102000b0c01020005060101020b0c0112130011010101ffff01010101010101010101010d0506010f100e0112131107191213030f1a0c010d05060107080e040e0101ffff010101010101010101010107150a0112131101010203010101040b0c01010107080e010f101101010101ffff01010101010101010101011213110101040b0c010d050601010d05060101011213110101020b0c010101ff2f010104000000050601010101020506010d000e010f100e01010f100e0101010102090a010d0506010101ff9c01040011010102000e01020e0414150a0d09160e0f101101011213110101020e0417180a0d090a010101004812130506010112130506010200031213000b0c0200090a010102000b0c01010200031213000b0c01010100000f100b0c0101010d0011010101010101010101010101010101010101010101010101010101010101010174ff12130b0c0101010708030101010101010101010101010101010107080e01010101010101010101010101ffff0102090a010101070803010101010101010101010101010101010f101101010101010101010101010101ffff010708110101010d00110101010101010101010101010101010101010101010101010101010101010101bf48010104090a010104090a0101010101010101010101010101010101010101010101010101010101010101ffff01010104090a070803010101010101010101010101010101010101010101010101010101010101010101ffff010101010f10000506010101010101010101010101010101010101010101010101010101010101010101ff2f010101010102090a01010101010101010101010101010101010101010101010101010101010101010101ffff010101010d000e0101010101010101010101010101010101010101010101010101010101010101010101ffff01010101020b0c01010d0b0c010101010101010101010101010101010101010101010101010101010101ffff01010101040506010708090a010101010101010101010101010101010101010101010101010101010101ffff010101010102000000030101010101010101010101010101010101010101010101010101010101010101ffff010101010101010101010101010101010101010101010101010101010101010101010101010101010101e103010101010101010101010101010101010101010101010101010101010101010101010101010101010101ffff010101010101010101010101010101010101010101010101010101010101010101010101010101010101ffff010101010101010101010101010101010101010101010101010101010101010101010101010101010101ffff0c00000040092900aa000000000000001d002a0000000000040000002701ffff030000000000 = 15 мм.
Толщина трубных плит 150100090000032603000000004a02000000004a02000026060f008a04574d46430100000000000100d6250000000001000000680400000000000068040000010000006c00000000000000000000000f0000001c0000000000000000000000a2010000f702000020454d4600000100680400000c00000001000000000000000000000000000000900600001a040000b801000013010000000000000000000000000000c0b6060038320400460000002c00000020000000454d462b014001001c000000100000000210c0db010000006000000060000000460000008001000074010000454d462b224004000c000000000000001e4009000c00000000000000244001000c000000000000003040020010000000040000000000803f214007000c0000000000000008400005cc000000c00000000210c0db01000000000000000000000000000000000000000100000089504e470d0a1a0a0000000d49484452000000100000001d04030000005143f18c000000017352474200aece1ce9000000097048597300000ec400000ec401952b0e1b0000001b504c544500000000004800489c4800009cdfffdf9c48dfffffffdf9cffffff1ce911030000001f4944415428cf63e88002062a328ad5d019686a5a194080d1834cedd4660000f60675f39cbce4c90000000049454e44ae4260820000000840010824000000180000000210c0db01000000030000000000000000000000000000001b40000040000000340000000100000002000000000000bf000000bf000080410000e84103000000000000b3000000b3ffff7f41000000b3000000b3ffffe7412100000008000000620000000c00000001000000150000000c00000004000000150000000c00000004000000510000008401000000000000000000000f0000001c00000000000000000000000000000000000000100000001d000000500000004c0000009c000000e8000000000000002000cc00100000001d00000028000000100000001d0000000100040000000000000000000000000000000000090000000000000000000000ffffff009cdfff00000048009c480000ffffdf00489cdf0048000000ffdf9c00111111111111111111111111111111111111111111111111111111111111111111111111111111111111111111111111111111111111111111111111111111111111111111111111111111111111111111111111111111111111112345111111111111234511111111111111111111111111111111111111160000000000078111111111111111111111111111111111111111234511111111111123451111111111111111111111111111111111111111111111111111111111111111111111111111111111111111111111111111111111111111111111111111111111111111111111111111114c0000006400000000000000000000000f0000001c0000000000000000000000100000001d0000002900aa0000000000000000000000803f00000000000000000000803f0000000000000000000000000000000000000000000000000000000000000000220000000c000000ffffffff460000001c00000010000000454d462b024000000c000000000000000e000000140000000000000010000000140000000400000003010800050000000b0200000000050000000c021d001000030000001e0004000000070104000400000007010400a7000000410b2000cc001d001000000000001d0010000000000028000000100000001d0000000100040000000000000000000000000000000000090000000000000000000000ffffff009cdfff00000048009c480000ffffdf00489cdf0048000000ffdf9c00111111111111111111111111111111111111111111111111111111111111111111111111111111111111111111111111111111111111111111111111111111111111111111111111111111111111111111111111111111111111112345111111111111234511111111111111111111111111111111111111160000000000078111111111111111111111111111111111111111234511111111111123451111111111111111111111111111111111111111111111111111111111111111111111111111111111111111111111111111111111111111111111111111111111111111111111111111110c00000040092900aa000000000000001d00100000000000040000002701ffff03000000000030 мм.
2.4.2 Расчёт толщины стенки корпуса
Толщина стенки корпуса определяется по формуле:

где
010009000003bc06000000005204000000005204000026060f009a08574d464301000000000001002b220000000001000000780800000000000078080000010000006c00000000000000000000001d0000001c000000000000000000000011030000f702000020454d4600000100780800000c00000001000000000000000000000000000000900600001a040000b801000013010000000000000000000000000000c0b6060038320400460000002c00000020000000454d462b014001001c000000100000000210c0db010000006000000060000000460000007402000068020000454d462b224004000c000000000000001e4009000c00000000000000244001000c000000000000003040020010000000040000000000803f214007000c0000000000000008400005c0010000b40100000210c0db01000000000000000000000000000000000000000100000089504e470d0a1a0a0000000d494844520000001e0000001d08030000008a7a2c3e000000017352474200aece1ce9000000097048597300000ec400000ec401952b0e1b00000066504c544500000000004800007400489c0074740074bf48000048007448484848489c489cbf489cdf7400007400487400747474747474bf749cdf74bfff9c48009c48489cdfdf9cdfffbf7400bfbf74bfbf9cbfffffdf9c48dfffffffbf74ffdf9cffffbfffffdfffffffeee4063b000000c84944415438cbbd92dd0ec2200c85cb944ddd9c0a13943aa0efff92f2134d666077930b207ce9a1a72dd0ea82edb106005ec5d818b22d5315ac772fa2396e453c8358ffbb24fcc56e80f07b0d2353b6e5358c5119cbf2101cf529bbbe8c735a1575f032f9ad6137245c13f7327aca7b32e806a610447e01c218a763dd66a6fca4c88d8f5e9fa67bb82663a15d39369776de5ffd7451b6338b7e7f7aa21b630f3742be1c07ccc9b9b38a1df652fce010ad05d9633ebaa75a602f21261844dc688253fe9f49dd08bf012da464e2954a61080000000049454e44ae4260820000000840010824000000180000000210c0db01000000030000000000000000000000000000001b40000040000000340000000100000002000000000000bf000000bf0000f0410000e84103000000000000b3000000b3ffffef41000000b3000000b3ffffe7412100000008000000620000000c00000001000000150000000c00000004000000150000000c0000000400000051000000a004000000000000000000001d0000001c000000000000000000000000000000000000001e0000001d00000050000000b000000000010000a0030000000000002000cc001e0000001d000000280000001e0000001d0000000100080000000000000000000000000000000000220000000000000000000000ffffff000074bf00bf740000489cdf0074000000ffffbf009cdfff000000480048000000ffdf9c009c480000ffffdf0074bfff00ffbf7400bfffff0000007400df9c4800dfffff0000489c0048489c007400740074bfbf00bf9c4800dfdf9c0074740000bf747400747474007400480048484800df9c7400480074009c4848009cbfbf0001010101010101010101010101010101010101010101010101010101010123230101010101010101010101010101010101010101010101010101010101012323010101010101010101010101010101010101010101010101010101010101232301010101010101010101010101010101010101010101010101010101010123230101010101010101010101010101010101010101010101010101010101012323010101010101010101010101010101010101010101010101010101010101232301010101010101010101121300000e01010411010f1506010d0003010101232301010101010101010101040b0c01020e0107200c01020e01071c210a0101232301010101010101010101041101010101010f1f0a0104050612130e0101012323010101010101010101010d0b0c0101010101020506071d1e0104030101012323010104000000050601010f100e01010101010d191a12141b0a071c060101232301040011010102000e01010d090a12140a010f15161102171418140a010123231213050601011213050601010f100005060f10090a04000e12130506010123230f100b0c0101010d00110101010101010101010101010101010101010101232312130b0c010101070803010101010101010101010101010101010101010123230102090a01010107080301010101010101010101010101010101010101012323010708110101010d001101010101010101010101010101010101010101012323010104090a010104090a0101010101010101010101010101010101010101232301010104090a0708030101010101010101010101010101010101010101012323010101010f100005060101010101010101010101010101010101010101012323010101010102090a010101010101010101010101010101010101010101012323010101010d000e0101010101010101010101010101010101010101010101232301010101020b0c01010d0b0c010101010101010101010101010101010101232301010101040506010708090a0101010101010101010101010101010101012323010101010102000000030101010101010101010101010101010101010101232301010101010101010101010101010101010101010101010101010101010123230101010101010101010101010101010101010101010101010101010101012323010101010101010101010101010101010101010101010101010101010101232301010101010101010101010101010101010101010101010101010101010136014c0000006400000000000000000000001d0000001c00000000000000000000001e0000001d0000002900aa0000000000000000000000803f00000000000000000000803f0000000000000000000000000000000000000000000000000000000000000000220000000c000000ffffffff460000001c00000010000000454d462b024000000c000000000000000e000000140000000000000010000000140000000400000003010800050000000b0200000000050000000c021d001e00030000001e000400000007010400040000000701040035020000410b2000cc001d001e00000000001d001e0000000000280000001e0000001d0000000100080000000000000000000000000000000000220000000000000000000000ffffff000074bf00bf740000489cdf0074000000ffffbf009cdfff000000480048000000ffdf9c009c480000ffffdf0074bfff00ffbf7400bfffff0000007400df9c4800dfffff0000489c0048489c007400740074bfbf00bf9c4800dfdf9c0074740000bf747400747474007400480048484800df9c7400480074009c4848009cbfbf0001010101010101010101010101010101010101010101010101010101010123230101010101010101010101010101010101010101010101010101010101012323010101010101010101010101010101010101010101010101010101010101232301010101010101010101010101010101010101010101010101010101010123230101010101010101010101010101010101010101010101010101010101012323010101010101010101010101010101010101010101010101010101010101232301010101010101010101121300000e01010411010f1506010d0003010101232301010101010101010101040b0c01020e0107200c01020e01071c210a0101232301010101010101010101041101010101010f1f0a0104050612130e0101012323010101010101010101010d0b0c0101010101020506071d1e0104030101012323010104000000050601010f100e01010101010d191a12141b0a071c060101232301040011010102000e01010d090a12140a010f15161102171418140a010123231213050601011213050601010f100005060f10090a04000e12130506010123230f100b0c0101010d00110101010101010101010101010101010101010101232312130b0c010101070803010101010101010101010101010101010101010123230102090a01010107080301010101010101010101010101010101010101012323010708110101010d001101010101010101010101010101010101010101012323010104090a010104090a0101010101010101010101010101010101010101232301010104090a0708030101010101010101010101010101010101010101012323010101010f100005060101010101010101010101010101010101010101012323010101010102090a010101010101010101010101010101010101010101012323010101010d000e0101010101010101010101010101010101010101010101232301010101020b0c01010d0b0c010101010101010101010101010101010101232301010101040506010708090a0101010101010101010101010101010101012323010101010102000000030101010101010101010101010101010101010101232301010101010101010101010101010101010101010101010101010101010123230101010101010101010101010101010101010101010101010101010101012323010101010101010101010101010101010101010101010101010101010101232301010101010101010101010101010101010101010101010101010101010136010c00000040092900aa000000000000001d001e0000000000040000002701ffff030000000000
- толщина стенки корпуса, мм;
Р – расчётное давление, МПа;
D – внутренний диаметр корпуса, мм;
- коэффициент прочности
сварного шва, принимается 0,8.

Принимаем 010009000003bc06000000005204000000005204000026060f009a08574d464301000000000001002b220000000001000000780800000000000078080000010000006c00000000000000000000001d0000001c000000000000000000000011030000f702000020454d4600000100780800000c00000001000000000000000000000000000000900600001a040000b801000013010000000000000000000000000000c0b6060038320400460000002c00000020000000454d462b014001001c000000100000000210c0db010000006000000060000000460000007402000068020000454d462b224004000c000000000000001e4009000c00000000000000244001000c000000000000003040020010000000040000000000803f214007000c0000000000000008400005c0010000b40100000210c0db01000000000000000000000000000000000000000100000089504e470d0a1a0a0000000d494844520000001e0000001d08030000008a7a2c3e000000017352474200aece1ce9000000097048597300000ec400000ec401952b0e1b00000066504c544500000000004800007400489c0074740074bf48000048007448484848489c489cbf489cdf7400007400487400747474747474bf749cdf74bfff9c48009c48489cdfdf9cdfffbf7400bfbf74bfbf9cbfffffdf9c48dfffffffbf74ffdf9cffffbfffffdfffffffeee4063b000000c84944415438cbbd92dd0ec2200c85cb944ddd9c0a13943aa0efff92f2134d666077930b207ce9a1a72dd0ea82edb106005ec5d818b22d5315ac772fa2396e453c8358ffbb24fcc56e80f07b0d2353b6e5358c5119cbf2101cf529bbbe8c735a1575f032f9ad6137245c13f7327aca7b32e806a610447e01c218a763dd66a6fca4c88d8f5e9fa67bb82663a15d39369776de5ffd7451b6338b7e7f7aa21b630f3742be1c07ccc9b9b38a1df652fce010ad05d9633ebaa75a602f21261844dc688253fe9f49dd08bf012da464e2954a61080000000049454e44ae4260820000000840010824000000180000000210c0db01000000030000000000000000000000000000001b40000040000000340000000100000002000000000000bf000000bf0000f0410000e84103000000000000b3000000b3ffffef41000000b3000000b3ffffe7412100000008000000620000000c00000001000000150000000c00000004000000150000000c0000000400000051000000a004000000000000000000001d0000001c000000000000000000000000000000000000001e0000001d00000050000000b000000000010000a0030000000000002000cc001e0000001d000000280000001e0000001d0000000100080000000000000000000000000000000000220000000000000000000000ffffff000074bf00bf740000489cdf0074000000ffffbf009cdfff000000480048000000ffdf9c009c480000ffffdf0074bfff00ffbf7400bfffff0000007400df9c4800dfffff0000489c0048489c007400740074bfbf00bf9c4800dfdf9c0074740000bf747400747474007400480048484800df9c7400480074009c4848009cbfbf0001010101010101010101010101010101010101010101010101010101010123230101010101010101010101010101010101010101010101010101010101012323010101010101010101010101010101010101010101010101010101010101232301010101010101010101010101010101010101010101010101010101010123230101010101010101010101010101010101010101010101010101010101012323010101010101010101010101010101010101010101010101010101010101232301010101010101010101121300000e01010411010f1506010d0003010101232301010101010101010101040b0c01020e0107200c01020e01071c210a0101232301010101010101010101041101010101010f1f0a0104050612130e0101012323010101010101010101010d0b0c0101010101020506071d1e0104030101012323010104000000050601010f100e01010101010d191a12141b0a071c060101232301040011010102000e01010d090a12140a010f15161102171418140a010123231213050601011213050601010f100005060f10090a04000e12130506010123230f100b0c0101010d00110101010101010101010101010101010101010101232312130b0c010101070803010101010101010101010101010101010101010123230102090a01010107080301010101010101010101010101010101010101012323010708110101010d001101010101010101010101010101010101010101012323010104090a010104090a0101010101010101010101010101010101010101232301010104090a0708030101010101010101010101010101010101010101012323010101010f100005060101010101010101010101010101010101010101012323010101010102090a010101010101010101010101010101010101010101012323010101010d000e0101010101010101010101010101010101010101010101232301010101020b0c01010d0b0c010101010101010101010101010101010101232301010101040506010708090a0101010101010101010101010101010101012323010101010102000000030101010101010101010101010101010101010101232301010101010101010101010101010101010101010101010101010101010123230101010101010101010101010101010101010101010101010101010101012323010101010101010101010101010101010101010101010101010101010101232301010101010101010101010101010101010101010101010101010101010136014c0000006400000000000000000000001d0000001c00000000000000000000001e0000001d0000002900aa0000000000000000000000803f00000000000000000000803f0000000000000000000000000000000000000000000000000000000000000000220000000c000000ffffffff460000001c00000010000000454d462b024000000c000000000000000e000000140000000000000010000000140000000400000003010800050000000b0200000000050000000c021d001e00030000001e000400000007010400040000000701040035020000410b2000cc001d001e00000000001d001e0000000000280000001e0000001d0000000100080000000000000000000000000000000000220000000000000000000000ffffff000074bf00bf740000489cdf0074000000ffffbf009cdfff000000480048000000ffdf9c009c480000ffffdf0074bfff00ffbf7400bfffff0000007400df9c4800dfffff0000489c0048489c007400740074bfbf00bf9c4800dfdf9c0074740000bf747400747474007400480048484800df9c7400480074009c4848009cbfbf0001010101010101010101010101010101010101010101010101010101010123230101010101010101010101010101010101010101010101010101010101012323010101010101010101010101010101010101010101010101010101010101232301010101010101010101010101010101010101010101010101010101010123230101010101010101010101010101010101010101010101010101010101012323010101010101010101010101010101010101010101010101010101010101232301010101010101010101121300000e01010411010f1506010d0003010101232301010101010101010101040b0c01020e0107200c01020e01071c210a0101232301010101010101010101041101010101010f1f0a0104050612130e0101012323010101010101010101010d0b0c0101010101020506071d1e0104030101012323010104000000050601010f100e01010101010d191a12141b0a071c060101232301040011010102000e01010d090a12140a010f15161102171418140a010123231213050601011213050601010f100005060f10090a04000e12130506010123230f100b0c0101010d00110101010101010101010101010101010101010101232312130b0c010101070803010101010101010101010101010101010101010123230102090a01010107080301010101010101010101010101010101010101012323010708110101010d001101010101010101010101010101010101010101012323010104090a010104090a0101010101010101010101010101010101010101232301010104090a0708030101010101010101010101010101010101010101012323010101010f100005060101010101010101010101010101010101010101012323010101010102090a010101010101010101010101010101010101010101012323010101010d000e0101010101010101010101010101010101010101010101232301010101020b0c01010d0b0c010101010101010101010101010101010101232301010101040506010708090a0101010101010101010101010101010101012323010101010102000000030101010101010101010101010101010101010101232301010101010101010101010101010101010101010101010101010101010123230101010101010101010101010101010101010101010101010101010101012323010101010101010101010101010101010101010101010101010101010101232301010101010101010101010101010101010101010101010101010101010136010c00000040092900aa000000000000001d001e0000000000040000002701ffff030000000000 = 5 мм.
2.4.3 Расчёт толщины стенки эллиптического днища

где
010009000003fc0300000000d00200000000d002000026060f009605574d46430100000000000100f9310000000001000000740500000000000074050000010000006c00000000000000000000000b0000001c000000000000000000000039010000f702000020454d4600000100740500000c00000001000000000000000000000000000000900600001a040000b801000013010000000000000000000000000000c0b6060038320400460000002c00000020000000454d462b014001001c000000100000000210c0db01000000600000006000000046000000ec010000e0010000454d462b224004000c000000000000001e4009000c00000000000000244001000c000000000000003040020010000000040000000000803f214007000c0000000000000008400005380100002c0100000210c0db01000000000000000000000000000000000000000100000089504e470d0a1a0a0000000d494844520000000c0000001d0803000000a9217deb000000017352474200aece1ce9000000097048597300000ec400000ec401952b0e1b0000003c504c544500000000004800007400489c0074bf480000489cdf74000074bfff9c48009cdfffbf7400bfffffdf9c48dfffffffbf74ffdf9cffffbfffffdfffffffc2324b640000006c4944415428cfb58f4b0ec0200844c75afbd1da8fdcffae95c1346e5d9405c923330340bac208240073833c1d72071709c99f22973f0917b6dee3e207cf8aea32c82ede6136c8aa6143cd5c98b12898993a945d9734785682c9caaea9d6215967893768743d993bc73efd055ec165160fe53d06b10000000049454e44ae426082000840010824000000180000000210c0db01000000030000000000000000000000000000001b40000040000000340000000100000002000000000000bf000000bf000040410000e84103000000000000b3000000b3ffff3f41000000b3000000b3ffffe7412100000008000000620000000c00000001000000150000000c00000004000000150000000c00000004000000510000002402000000000000000000000b0000001c000000000000000000000000000000000000000c0000001d0000005000000078000000c80000005c010000000000002000cc000c0000001d000000280000000c0000001d0000000100080000000000000000000000000000000000140000000000000000000000ffffff000074bf00bf740000489cdf0074000000ffffbf009cdfff000000480048000000ffdf9c009c480000ffffdf0074bfff00ffbf7400bfffff0000007400df9c4800dfffff0000489c0001010101010101010101010101010101010101010101010101010101010101010101010101010101010101010101010101010101010101010101010101010101010101010101010101010101010101010101010101010101010101010101010101010101010101010101010101010101010101010101010101010400000005060101010101040011010102000e0101011213050601011213050601010f100b0c0101010d0011010112130b0c01010107080301010102090a0101010708030101010708110101010d00110101010104090a010104090a010101010104090a070803010101010101010f10000506010101010101010102090a01010101010101010d000e010101010101010101020b0c01010d0b0c01010101040506010708090a0101010101020000000301010101010101010101010101010101010101010101010101010101010101010101010101010101010101010101010101014c0000006400000000000000000000000b0000001c00000000000000000000000c0000001d0000002900aa0000000000000000000000803f00000000000000000000803f0000000000000000000000000000000000000000000000000000000000000000220000000c000000ffffffff460000001c00000010000000454d462b024000000c000000000000000e000000140000000000000010000000140000000400000003010800050000000b0200000000050000000c021d000c00030000001e0004000000070104000400000007010400f7000000410b2000cc001d000c00000000001d000c0000000000280000000c0000001d0000000100080000000000000000000000000000000000140000000000000000000000ffffff000074bf00bf740000489cdf0074000000ffffbf009cdfff000000480048000000ffdf9c009c480000ffffdf0074bfff00ffbf7400bfffff0000007400df9c4800dfffff0000489c0001010101010101010101010101010101010101010101010101010101010101010101010101010101010101010101010101010101010101010101010101010101010101010101010101010101010101010101010101010101010101010101010101010101010101010101010101010101010101010101010101010400000005060101010101040011010102000e0101011213050601011213050601010f100b0c0101010d0011010112130b0c01010107080301010102090a0101010708030101010708110101010d00110101010104090a010104090a010101010104090a070803010101010101010f10000506010101010101010102090a01010101010101010d000e010101010101010101020b0c01010d0b0c01010101040506010708090a0101010101020000000301010101010101010101010101010101010101010101010101010101010101010101010101010101010101010101010101010c00000040092900aa000000000000001d000c0000000000040000002701ffff030000000000
- толщина стенки днища, мм;
- радиус кривизны в вершине
днища.
Для стандартных днищ R = D.

Принимаем 010009000003fc0300000000d00200000000d002000026060f009605574d46430100000000000100f9310000000001000000740500000000000074050000010000006c00000000000000000000000b0000001c000000000000000000000039010000f702000020454d4600000100740500000c00000001000000000000000000000000000000900600001a040000b801000013010000000000000000000000000000c0b6060038320400460000002c00000020000000454d462b014001001c000000100000000210c0db01000000600000006000000046000000ec010000e0010000454d462b224004000c000000000000001e4009000c00000000000000244001000c000000000000003040020010000000040000000000803f214007000c0000000000000008400005380100002c0100000210c0db01000000000000000000000000000000000000000100000089504e470d0a1a0a0000000d494844520000000c0000001d0803000000a9217deb000000017352474200aece1ce9000000097048597300000ec400000ec401952b0e1b0000003c504c544500000000004800007400489c0074bf480000489cdf74000074bfff9c48009cdfffbf7400bfffffdf9c48dfffffffbf74ffdf9cffffbfffffdfffffffc2324b640000006c4944415428cfb58f4b0ec0200844c75afbd1da8fdcffae95c1346e5d9405c923330340bac208240073833c1d72071709c99f22973f0917b6dee3e207cf8aea32c82ede6136c8aa6143cd5c98b12898993a945d9734785682c9caaea9d6215967893768743d993bc73efd055ec165160fe53d06b10000000049454e44ae426082000840010824000000180000000210c0db01000000030000000000000000000000000000001b40000040000000340000000100000002000000000000bf000000bf000040410000e84103000000000000b3000000b3ffff3f41000000b3000000b3ffffe7412100000008000000620000000c00000001000000150000000c00000004000000150000000c00000004000000510000002402000000000000000000000b0000001c000000000000000000000000000000000000000c0000001d0000005000000078000000c80000005c010000000000002000cc000c0000001d000000280000000c0000001d0000000100080000000000000000000000000000000000140000000000000000000000ffffff000074bf00bf740000489cdf0074000000ffffbf009cdfff000000480048000000ffdf9c009c480000ffffdf0074bfff00ffbf7400bfffff0000007400df9c4800dfffff0000489c0001010101010101010101010101010101010101010101010101010101010101010101010101010101010101010101010101010101010101010101010101010101010101010101010101010101010101010101010101010101010101010101010101010101010101010101010101010101010101010101010101010400000005060101010101040011010102000e0101011213050601011213050601010f100b0c0101010d0011010112130b0c01010107080301010102090a0101010708030101010708110101010d00110101010104090a010104090a010101010104090a070803010101010101010f10000506010101010101010102090a01010101010101010d000e010101010101010101020b0c01010d0b0c01010101040506010708090a0101010101020000000301010101010101010101010101010101010101010101010101010101010101010101010101010101010101010101010101014c0000006400000000000000000000000b0000001c00000000000000000000000c0000001d0000002900aa0000000000000000000000803f00000000000000000000803f0000000000000000000000000000000000000000000000000000000000000000220000000c000000ffffffff460000001c00000010000000454d462b024000000c000000000000000e000000140000000000000010000000140000000400000003010800050000000b0200000000050000000c021d000c00030000001e0004000000070104000400000007010400f7000000410b2000cc001d000c00000000001d000c0000000000280000000c0000001d0000000100080000000000000000000000000000000000140000000000000000000000ffffff000074bf00bf740000489cdf0074000000ffffbf009cdfff000000480048000000ffdf9c009c480000ffffdf0074bfff00ffbf7400bfffff0000007400df9c4800dfffff0000489c0001010101010101010101010101010101010101010101010101010101010101010101010101010101010101010101010101010101010101010101010101010101010101010101010101010101010101010101010101010101010101010101010101010101010101010101010101010101010101010101010101010400000005060101010101040011010102000e0101011213050601011213050601010f100b0c0101010d0011010112130b0c01010107080301010102090a0101010708030101010708110101010d00110101010104090a010104090a010101010104090a070803010101010101010f10000506010101010101010102090a01010101010101010d000e010101010101010101020b0c01010d0b0c01010101040506010708090a0101010101020000000301010101010101010101010101010101010101010101010101010101010101010101010101010101010101010101010101010c00000040092900aa000000000000001d000c0000000000040000002701ffff030000000000 = 5 мм.
2.5 Расчёт вспомогательного оборудования
2.5.1 Расчёт барометрического конденсатора
Диаметр барометрического конденсатора определяется по формуле:

где
- диаметр барометрического конденсатора,
мм;
- количество выпарной
воды;
0100090000033c05000000008403000000008403000026060f00fe06574d46430100000000000100a8050000000001000000dc06000000000000dc060000010000006c0000000000000000000000130000001c00000000000000000000000b020000f702000020454d4600000100dc0600000c00000001000000000000000000000000000000900600001a040000b801000013010000000000000000000000000000c0b6060038320400460000002c00000020000000454d462b014001001c000000100000000210c0db010000006000000060000000460000003c02000030020000454d462b224004000c000000000000001e4009000c00000000000000244001000c000000000000003040020010000000040000000000803f214007000c0000000000000008400005880100007c0100000210c0db01000000000000000000000000000000000000000100000089504e470d0a1a0a0000000d49484452000000140000001d08030000009d58bcf7000000017352474200aece1ce9000000097048597300000ec400000ec401952b0e1b00000060504c544500000000004800007400487400489c00749c0074bf48000048487448489c489cdf74000074004874480074489c74bfdf74bfff9c48009c749c9cdfffbf7400bf9c9cbfffffdf9c48dfdf9cdfffbfdfffffffbf74ffdf9cffffbfffffdfffffff47497ff3000000964944415428cfd591db12c2200c44b75a5b6beb05c1a204c8ffff65b9c88033be3b668697cd49763380bf14fe49f402c0e953b4636f58e3d68a5eec5666370fad4869d2cd01afa2ea64dad1925e24841a271424f345cc486cd9b19329094296e19d8adde539bd16c9f0627f2ed1e9703714c9369f3a4a56a10daa97b8e51a5ef083aeae76324cfd6365a878632e1d2675dcfedb3fda00900e3e800aff9cfc0000000049454e44ae4260820000000840010824000000180000000210c0db01000000030000000000000000000000000000001b40000040000000340000000100000002000000000000bf000000bf0000a0410000e84103000000000000b3000000b3ffff9f41000000b3000000b3ffffe7412100000008000000620000000c00000001000000150000000c00000004000000150000000c00000004000000510000003c0300000000000000000000130000001c00000000000000000000000000000000000000140000001d00000050000000a8000000f800000044020000000000002000cc00140000001d00000028000000140000001d0000000100080000000000000000000000000000000000200000000000000000000000ffffff00dfffff0000489c00df9c48009cdfff00000048009c480000ffffdf00489cdf00ffbf740074000000ffffbf00bfffff0000007400bf74000074bfff000074bf0048000000ffdf9c009c4874009cdfdf009c484800bfffdf004800740074480000004874009c7400009c749c0074484800dfbf74009c9cbf00010101010101010101010101010101010101010101010101010101010101010101010101010101010101010101010101010101010101010101010101010101010101010101010101010101010101010101010101010101010101010101010101010101010101010101010101010101010101010101010101110b0c010101010101010109040101090004010109121301010101010101010516080110071f0c0110000a01010101010101010d181e010d181301010d0e0f010101010101010101111d1301110401010203191a0000000401010101101b1c08100708010109000f01010506070801010d141516171813010110000401010105060f010506121305060708010105060f010101011112130101010101010101010102030708010101100004010101010101010101010111121301010105060f01010101010101010101011000040101010d0e07080101010101010101010102030b0c01010d0e0f010101010101010101010101050607080109000a01010101010101010101010101020300000004010101010101010101010101010101010101010101010101010101010101010101010101010101010101010101010101010101010101010101010101010101010101010101010101010101010101010101010101010101010101010101010101010101010101010101010101010101010101010101010101010101010101010101010101010101010101010101010101010101010101010101010101010101010101010101010101010101010101010101010101010101010101010101014c000000640000000000000000000000130000001c0000000000000000000000140000001d0000002900aa0000000000000000000000803f00000000000000000000803f0000000000000000000000000000000000000000000000000000000000000000220000000c000000ffffffff460000001c00000010000000454d462b024000000c000000000000000e000000140000000000000010000000140000000400000003010800050000000b0200000000050000000c021d001400030000001e000400000007010400040000000701040083010000410b2000cc001d001400000000001d0014000000000028000000140000001d0000000100080000000000000000000000000000000000200000000000000000000000ffffff00dfffff0000489c00df9c48009cdfff00000048009c480000ffffdf00489cdf00ffbf740074000000ffffbf00bfffff0000007400bf74000074bfff000074bf0048000000ffdf9c009c4874009cdfdf009c484800bfffdf004800740074480000004874009c7400009c749c0074484800dfbf74009c9cbf00010101010101010101010101010101010101010101010101010101010101010101010101010101010101010101010101010101010101010101010101010101010101010101010101010101010101010101010101010101010101010101010101010101010101010101010101010101010101010101010101110b0c010101010101010109040101090004010109121301010101010101010516080110071f0c0110000a01010101010101010d181e010d181301010d0e0f010101010101010101111d1301110401010203191a0000000401010101101b1c08100708010109000f01010506070801010d141516171813010110000401010105060f010506121305060708010105060f010101011112130101010101010101010102030708010101100004010101010101010101010111121301010105060f01010101010101010101011000040101010d0e07080101010101010101010102030b0c01010d0e0f010101010101010101010101050607080109000a01010101010101010101010101020300000004010101010101010101010101010101010101010101010101010101010101010101010101010101010101010101010101010101010101010101010101010101010101010101010101010101010101010101010101010101010101010101010101010101010101010101010101010101010101010101010101010101010101010101010101010101010101010101010101010101010101010101010101010101010101010101010101010101010101010101010101010101010101010101010c00000040092900aa000000000000001d00140000000000040000002701ffff030000000000
- плотность пара, кг/м3;
- скорость пара, м/с.
Скорость пара 100100090000032603000000004a02000000004a02000026060f008a04574d46430100000000000100d6250000000001000000680400000000000068040000010000006c00000000000000000000000f0000001c0000000000000000000000a2010000f702000020454d4600000100680400000c00000001000000000000000000000000000000900600001a040000b801000013010000000000000000000000000000c0b6060038320400460000002c00000020000000454d462b014001001c000000100000000210c0db010000006000000060000000460000008001000074010000454d462b224004000c000000000000001e4009000c00000000000000244001000c000000000000003040020010000000040000000000803f214007000c0000000000000008400005cc000000c00000000210c0db01000000000000000000000000000000000000000100000089504e470d0a1a0a0000000d49484452000000100000001d04030000005143f18c000000017352474200aece1ce9000000097048597300000ec400000ec401952b0e1b0000001b504c544500000000004800489c4800009cdfffdf9c48dfffffffdf9cffffff1ce911030000001f4944415428cf63e88002062a328ad5d019686a5a194080d1834cedd4660000f60675f39cbce4c90000000049454e44ae4260820000000840010824000000180000000210c0db01000000030000000000000000000000000000001b40000040000000340000000100000002000000000000bf000000bf000080410000e84103000000000000b3000000b3ffff7f41000000b3000000b3ffffe7412100000008000000620000000c00000001000000150000000c00000004000000150000000c00000004000000510000008401000000000000000000000f0000001c00000000000000000000000000000000000000100000001d000000500000004c0000009c000000e8000000000000002000cc00100000001d00000028000000100000001d0000000100040000000000000000000000000000000000090000000000000000000000ffffff009cdfff00000048009c480000ffffdf00489cdf0048000000ffdf9c00111111111111111111111111111111111111111111111111111111111111111111111111111111111111111111111111111111111111111111111111111111111111111111111111111111111111111111111111111111111111112345111111111111234511111111111111111111111111111111111111160000000000078111111111111111111111111111111111111111234511111111111123451111111111111111111111111111111111111111111111111111111111111111111111111111111111111111111111111111111111111111111111111111111111111111111111111111114c0000006400000000000000000000000f0000001c0000000000000000000000100000001d0000002900aa0000000000000000000000803f00000000000000000000803f0000000000000000000000000000000000000000000000000000000000000000220000000c000000ffffffff460000001c00000010000000454d462b024000000c000000000000000e000000140000000000000010000000140000000400000003010800050000000b0200000000050000000c021d001000030000001e0004000000070104000400000007010400a7000000410b2000cc001d001000000000001d0010000000000028000000100000001d0000000100040000000000000000000000000000000000090000000000000000000000ffffff009cdfff00000048009c480000ffffdf00489cdf0048000000ffdf9c00111111111111111111111111111111111111111111111111111111111111111111111111111111111111111111111111111111111111111111111111111111111111111111111111111111111111111111111111111111111111112345111111111111234511111111111111111111111111111111111111160000000000078111111111111111111111111111111111111111234511111111111123451111111111111111111111111111111111111111111111111111111111111111111111111111111111111111111111111111111111111111111111111111111111111111111111111111110c00000040092900aa000000000000001d00100000000000040000002701ffff03000000000025 м/с
0100090000033c05000000008403000000008403000026060f00fe06574d46430100000000000100a8050000000001000000dc06000000000000dc060000010000006c0000000000000000000000130000001c00000000000000000000000b020000f702000020454d4600000100dc0600000c00000001000000000000000000000000000000900600001a040000b801000013010000000000000000000000000000c0b6060038320400460000002c00000020000000454d462b014001001c000000100000000210c0db010000006000000060000000460000003c02000030020000454d462b224004000c000000000000001e4009000c00000000000000244001000c000000000000003040020010000000040000000000803f214007000c0000000000000008400005880100007c0100000210c0db01000000000000000000000000000000000000000100000089504e470d0a1a0a0000000d49484452000000140000001d08030000009d58bcf7000000017352474200aece1ce9000000097048597300000ec400000ec401952b0e1b00000060504c544500000000004800007400487400489c00749c0074bf48000048487448489c489cdf74000074004874480074489c74bfdf74bfff9c48009c749c9cdfffbf7400bf9c9cbfffffdf9c48dfdf9cdfffbfdfffffffbf74ffdf9cffffbfffffdfffffff47497ff3000000964944415428cfd591db12c2200c44b75a5b6beb05c1a204c8ffff65b9c88033be3b668697cd49763380bf14fe49f402c0e953b4636f58e3d68a5eec5666370fad4869d2cd01afa2ea64dad1925e24841a271424f345cc486cd9b19329094296e19d8adde539bd16c9f0627f2ed1e9703714c9369f3a4a56a10daa97b8e51a5ef083aeae76324cfd6365a878632e1d2675dcfedb3fda00900e3e800aff9cfc0000000049454e44ae4260820000000840010824000000180000000210c0db01000000030000000000000000000000000000001b40000040000000340000000100000002000000000000bf000000bf0000a0410000e84103000000000000b3000000b3ffff9f41000000b3000000b3ffffe7412100000008000000620000000c00000001000000150000000c00000004000000150000000c00000004000000510000003c0300000000000000000000130000001c00000000000000000000000000000000000000140000001d00000050000000a8000000f800000044020000000000002000cc00140000001d00000028000000140000001d0000000100080000000000000000000000000000000000200000000000000000000000ffffff00dfffff0000489c00df9c48009cdfff00000048009c480000ffffdf00489cdf00ffbf740074000000ffffbf00bfffff0000007400bf74000074bfff000074bf0048000000ffdf9c009c4874009cdfdf009c484800bfffdf004800740074480000004874009c7400009c749c0074484800dfbf74009c9cbf00010101010101010101010101010101010101010101010101010101010101010101010101010101010101010101010101010101010101010101010101010101010101010101010101010101010101010101010101010101010101010101010101010101010101010101010101010101010101010101010101110b0c010101010101010109040101090004010109121301010101010101010516080110071f0c0110000a01010101010101010d181e010d181301010d0e0f010101010101010101111d1301110401010203191a0000000401010101101b1c08100708010109000f01010506070801010d141516171813010110000401010105060f010506121305060708010105060f010101011112130101010101010101010102030708010101100004010101010101010101010111121301010105060f01010101010101010101011000040101010d0e07080101010101010101010102030b0c01010d0e0f010101010101010101010101050607080109000a01010101010101010101010101020300000004010101010101010101010101010101010101010101010101010101010101010101010101010101010101010101010101010101010101010101010101010101010101010101010101010101010101010101010101010101010101010101010101010101010101010101010101010101010101010101010101010101010101010101010101010101010101010101010101010101010101010101010101010101010101010101010101010101010101010101010101010101010101010101014c000000640000000000000000000000130000001c0000000000000000000000140000001d0000002900aa0000000000000000000000803f00000000000000000000803f0000000000000000000000000000000000000000000000000000000000000000220000000c000000ffffffff460000001c00000010000000454d462b024000000c000000000000000e000000140000000000000010000000140000000400000003010800050000000b0200000000050000000c021d001400030000001e000400000007010400040000000701040083010000410b2000cc001d001400000000001d0014000000000028000000140000001d0000000100080000000000000000000000000000000000200000000000000000000000ffffff00dfffff0000489c00df9c48009cdfff00000048009c480000ffffdf00489cdf00ffbf740074000000ffffbf00bfffff0000007400bf74000074bfff000074bf0048000000ffdf9c009c4874009cdfdf009c484800bfffdf004800740074480000004874009c7400009c749c0074484800dfbf74009c9cbf00010101010101010101010101010101010101010101010101010101010101010101010101010101010101010101010101010101010101010101010101010101010101010101010101010101010101010101010101010101010101010101010101010101010101010101010101010101010101010101010101110b0c010101010101010109040101090004010109121301010101010101010516080110071f0c0110000a01010101010101010d181e010d181301010d0e0f010101010101010101111d1301110401010203191a0000000401010101101b1c08100708010109000f01010506070801010d141516171813010110000401010105060f010506121305060708010105060f010101011112130101010101010101010102030708010101100004010101010101010101010111121301010105060f01010101010101010101011000040101010d0e07080101010101010101010102030b0c01010d0e0f010101010101010101010101050607080109000a01010101010101010101010101020300000004010101010101010101010101010101010101010101010101010101010101010101010101010101010101010101010101010101010101010101010101010101010101010101010101010101010101010101010101010101010101010101010101010101010101010101010101010101010101010101010101010101010101010101010101010101010101010101010101010101010101010101010101010101010101010101010101010101010101010101010101010101010101010101010c00000040092900aa000000000000001d00140000000000040000002701ffff030000000000
= 0,1213 кг/м3
при t>1>=58,26010009000003f004000000004c03000000004c03000026060f008e06574d46430100000000000100dee200000000010000006c060000000000006c060000010000006c0000000000000000000000120000001c0000000000000000000000f1010000f702000020454d46000001006c0600000c00000001000000000000000000000000000000900600001a040000b801000013010000000000000000000000000000c0b6060038320400460000002c00000020000000454d462b014001001c000000100000000210c0db01000000600000006000000046000000f4010000e8010000454d462b224004000c000000000000001e4009000c00000000000000244001000c000000000000003040020010000000040000000000803f214007000c000000000000000840000540010000340100000210c0db01000000000000000000000000000000000000000100000089504e470d0a1a0a0000000d49484452000000130000001d08030000007f84a78e000000017352474200aece1ce9000000097048597300000ec400000ec401952b0e1b00000042504c544500000000004800007400489c0074bf48000048007448489c489cdf74000074bfff9c48009cdfffbf7400bfffffdf9c48dfffffffbf74ffdf9cffffbfffffdfffffff25049bae0000006d4944415428cfbd90c70e80300c43cd2e23a583fcffafd2428a5a7164f8143d29896df05d789d6d33d01eb3eb10d4186cb362a608092af2c05cafc334185e2362b619f363add3bd7357b195a3f90f592dbc3c61c50f51347bcb4b9892e78bf9b15a245bd607413af8a5fbefd90e88f728711999dadb0000000049454e44ae42608200000840010824000000180000000210c0db01000000030000000000000000000000000000001b40000040000000340000000100000002000000000000bf000000bf000098410000e84103000000000080b3000080b3ffff9741000080b3000080b3ffffe7412100000008000000620000000c00000001000000150000000c00000004000000150000000c0000000400000051000000140300000000000000000000120000001c00000000000000000000000000000000000000130000001d0000005000000080000000d000000044020000000000002000cc00130000001d00000028000000130000001d0000000100080000000000000000000000000000000000160000000000000000000000ffffff00dfffff0000489c00bf7400009cdfff00000048009c480000ffffdf00df9c48000074bf0074004800ffffbf009c484800489cdf0074bfff00bfffff000000740074000000ffbf740048000000ffdf9c00010101010101010101010101010101010101010101010101010101010101010101010101010101010101010101010101010101010101010101010101010101010101010101010101010101010101010101010101010101010101010101010101010101010101010101010101010101010101010101010101010101010101010101010101010101010101010101010101010101010101010101010101010101010101010101010101010101010101010101010101010101010101010101010101010101010101010101010101010101010101010a000000000007080101010101010101010110111415010105060708010101010101010101010a0013010101010f070801010101010101010105060708010101010101010101010101010101010f000401010101010101010101010101010101010e000901010101010101010101010101010101010e000901010101010101010101010101010101010e000901010101010101010101020300000401010e000901010101010101010102030901010a09010f0004010101010101010101050b0c0101050d081011120c0101010101010101050b0c0101050d08010e0009010101010f07080102030901010a040101010a0009010105060708010102030000040101010101050600000000070801010101010101010101010101010101010101010101010101010101010101010101010101010101010101010101010101010101010101010101010101010101010101010101010101010101010101010101010101010101010101010101010101010101014c000000640000000000000000000000120000001c0000000000000000000000130000001d0000002900aa0000000000000000000000803f00000000000000000000803f0000000000000000000000000000000000000000000000000000000000000000220000000c000000ffffffff460000001c00000010000000454d462b024000000c000000000000000e000000140000000000000010000000140000000400000003010800050000000b0200000000050000000c021d001300030000001e00040000000701040004000000070104006f010000410b2000cc001d001300000000001d0013000000000028000000130000001d0000000100080000000000000000000000000000000000160000000000000000000000ffffff00dfffff0000489c00bf7400009cdfff00000048009c480000ffffdf00df9c48000074bf0074004800ffffbf009c484800489cdf0074bfff00bfffff000000740074000000ffbf740048000000ffdf9c00010101010101010101010101010101010101010101010101010101010101010101010101010101010101010101010101010101010101010101010101010101010101010101010101010101010101010101010101010101010101010101010101010101010101010101010101010101010101010101010101010101010101010101010101010101010101010101010101010101010101010101010101010101010101010101010101010101010101010101010101010101010101010101010101010101010101010101010101010101010101010a000000000007080101010101010101010110111415010105060708010101010101010101010a0013010101010f070801010101010101010105060708010101010101010101010101010101010f000401010101010101010101010101010101010e000901010101010101010101010101010101010e000901010101010101010101010101010101010e000901010101010101010101020300000401010e000901010101010101010102030901010a09010f0004010101010101010101050b0c0101050d081011120c0101010101010101050b0c0101050d08010e0009010101010f07080102030901010a040101010a0009010105060708010102030000040101010101050600000000070801010101010101010101010101010101010101010101010101010101010101010101010101010101010101010101010101010101010101010101010101010101010101010101010101010101010101010101010101010101010101010101010101010101010c00000040092900aa000000000000001d00130000000000040000002701ffff030000000000
(в барометрическом конденсаторе)

По нормалям НИИХИММАША (500, 600, 800, 1000, 1200, 1600) принимаем D = 1000 мм.
2.5.2 Определение расхода охлаждающей воды
Расход охлаждающей воды определяем из теплового баланса конденсатора:

где >0100090000037004000000000a03000000000a03000026060f000a06574d46430100000000000100a0aa0000000001000000e805000000000000e8050000010000006c00000000000000000000000d0000001c00000000000000000000006e010000f702000020454d4600000100e80500000c00000001000000000000000000000000000000900600001a040000b801000013010000000000000000000000000000c0b6060038320400460000002c00000020000000454d462b014001001c000000100000000210c0db01000000600000006000000046000000ec010000e0010000454d462b224004000c000000000000001e4009000c00000000000000244001000c000000000000003040020010000000040000000000803f214007000c0000000000000008400005380100002c0100000210c0db01000000000000000000000000000000000000000100000089504e470d0a1a0a0000000d494844520000000e0000001d0803000000add4add6000000017352474200aece1ce9000000097048597300000ec400000ec401952b0e1b0000003c504c544500000000004800007400489c0074bf480000489cdf74000074bfff9c48009cdfffbf7400bfffffdf9c48dfffffffbf74ffdf9cffffbfffffdfffffffc2324b640000006a4944415428cfb590dd12801010854f859244bcffbbb6bb31745df682f9669d9f81fc1a7c47079eedc1a8e723273bed82512f275d814ec26469d7b401a6b3124dc3a2ac18a0fa5c4f71ec0e88b313a447aca9dbe28f9ae3c41ff95ab98587749156d4de78f5d36f0cc01bed101a5c56d7a12f0000000049454e44ae4260820000000840010824000000180000000210c0db01000000030000000000000000000000000000001b40000040000000340000000100000002000000000000bf000000bf000060410000e84103000000000000b3000000b3ffff5f41000000b3000000b3ffffe7412100000008000000620000000c00000001000000150000000c00000004000000150000000c00000004000000510000009802000000000000000000000d0000001c000000000000000000000000000000000000000e0000001d0000005000000078000000c8000000d0010000000000002000cc000e0000001d000000280000000e0000001d0000000100080000000000000000000000000000000000140000000000000000000000ffffff000074bf00ffbf74009cdfff000000480074000000ffffbf00dfffff0000489c0048000000ffdf9c009c480000ffffdf0074bfff00df9c4800bf740000489cdf00bfffff000000740001010101010101010101010101011111010101010101010101010101010111110101010101010101010101010101111101010101010101010101010101011111010101010101010101010101010111110101010101010101010101010101111101010101010101010101010101011111010101010101010101010101010107810101010101010101010101010101111101010101010101010101010101011111010108090000000f111001010101111101121306070101110006070101011111010e000f01010101020a0b010101111101110003010101010e000f010101111101020003010101010e000c0d0101010101110003010101040500000c0d010801010e00100101010101010101010101010104050c0d01010101010101010101010108090a0b010101010101010101010101010e000f01010101010101010101010101080906070101010101010101010101010104050c0d0101010e0c0d01010101010101040506070108090a0b0101010101010101010200000000000301010101010101010101010101010101010101010101010101010101010101010101010101010101010101010101010101010101010101010101010101010101010101010101010101010101010101010101014c0000006400000000000000000000000d0000001c00000000000000000000000e0000001d0000002900aa0000000000000000000000803f00000000000000000000803f0000000000000000000000000000000000000000000000000000000000000000220000000c000000ffffffff460000001c00000010000000454d462b024000000c000000000000000e000000140000000000000010000000140000000400000003010800050000000b0200000000050000000c021d000e00030000001e000400000007010400040000000701040031010000410b2000cc001d000e00000000001d000e0000000000280000000e0000001d0000000100080000000000000000000000000000000000140000000000000000000000ffffff000074bf00ffbf74009cdfff000000480074000000ffffbf00dfffff0000489c0048000000ffdf9c009c480000ffffdf0074bfff00df9c4800bf740000489cdf00bfffff000000740001010101010101010101010101011111010101010101010101010101010111110101010101010101010101010101111101010101010101010101010101011111010101010101010101010101010111110101010101010101010101010101111101010101010101010101010101011111010101010101010101010101010107810101010101010101010101010101111101010101010101010101010101011111010108090000000f111001010101111101121306070101110006070101011111010e000f01010101020a0b010101111101110003010101010e000f010101111101020003010101010e000c0d0101010101110003010101040500000c0d010801010e00100101010101010101010101010104050c0d01010101010101010101010108090a0b010101010101010101010101010e000f01010101010101010101010101080906070101010101010101010101010104050c0d0101010e0c0d01010101010101040506070108090a0b0101010101010101010200000000000301010101010101010101010101010101010101010101010101010101010101010101010101010101010101010101010101010101010101010101010101010101010101010101010101010101010101010101010c00000040092900aa000000000000001d000e0000000000040000002701ffff030000000000в> – расход охлаждающей воды, кг/с;
- количество выпаренной
воды;
- энтальпия паров в
барометрическом конденсаторе, Дж/кг;
- начальная температура
охлаждающей воды,010009000003f004000000004c03000000004c03000026060f008e06574d46430100000000000100dee200000000010000006c060000000000006c060000010000006c0000000000000000000000120000001c0000000000000000000000f1010000f702000020454d46000001006c0600000c00000001000000000000000000000000000000900600001a040000b801000013010000000000000000000000000000c0b6060038320400460000002c00000020000000454d462b014001001c000000100000000210c0db01000000600000006000000046000000f4010000e8010000454d462b224004000c000000000000001e4009000c00000000000000244001000c000000000000003040020010000000040000000000803f214007000c000000000000000840000540010000340100000210c0db01000000000000000000000000000000000000000100000089504e470d0a1a0a0000000d49484452000000130000001d08030000007f84a78e000000017352474200aece1ce9000000097048597300000ec400000ec401952b0e1b00000042504c544500000000004800007400489c0074bf48000048007448489c489cdf74000074bfff9c48009cdfffbf7400bfffffdf9c48dfffffffbf74ffdf9cffffbfffffdfffffff25049bae0000006d4944415428cfbd90c70e80300c43cd2e23a583fcffafd2428a5a7164f8143d29896df05d789d6d33d01eb3eb10d4186cb362a608092af2c05cafc334185e2362b619f363add3bd7357b195a3f90f592dbc3c61c50f51347bcb4b9892e78bf9b15a245bd607413af8a5fbefd90e88f728711999dadb0000000049454e44ae42608200000840010824000000180000000210c0db01000000030000000000000000000000000000001b40000040000000340000000100000002000000000000bf000000bf000098410000e84103000000000080b3000080b3ffff9741000080b3000080b3ffffe7412100000008000000620000000c00000001000000150000000c00000004000000150000000c0000000400000051000000140300000000000000000000120000001c00000000000000000000000000000000000000130000001d0000005000000080000000d000000044020000000000002000cc00130000001d00000028000000130000001d0000000100080000000000000000000000000000000000160000000000000000000000ffffff00dfffff0000489c00bf7400009cdfff00000048009c480000ffffdf00df9c48000074bf0074004800ffffbf009c484800489cdf0074bfff00bfffff000000740074000000ffbf740048000000ffdf9c00010101010101010101010101010101010101010101010101010101010101010101010101010101010101010101010101010101010101010101010101010101010101010101010101010101010101010101010101010101010101010101010101010101010101010101010101010101010101010101010101010101010101010101010101010101010101010101010101010101010101010101010101010101010101010101010101010101010101010101010101010101010101010101010101010101010101010101010101010101010101010a000000000007080101010101010101010110111415010105060708010101010101010101010a0013010101010f070801010101010101010105060708010101010101010101010101010101010f000401010101010101010101010101010101010e000901010101010101010101010101010101010e000901010101010101010101010101010101010e000901010101010101010101020300000401010e000901010101010101010102030901010a09010f0004010101010101010101050b0c0101050d081011120c0101010101010101050b0c0101050d08010e0009010101010f07080102030901010a040101010a0009010105060708010102030000040101010101050600000000070801010101010101010101010101010101010101010101010101010101010101010101010101010101010101010101010101010101010101010101010101010101010101010101010101010101010101010101010101010101010101010101010101010101014c000000640000000000000000000000120000001c0000000000000000000000130000001d0000002900aa0000000000000000000000803f00000000000000000000803f0000000000000000000000000000000000000000000000000000000000000000220000000c000000ffffffff460000001c00000010000000454d462b024000000c000000000000000e000000140000000000000010000000140000000400000003010800050000000b0200000000050000000c021d001300030000001e00040000000701040004000000070104006f010000410b2000cc001d001300000000001d0013000000000028000000130000001d0000000100080000000000000000000000000000000000160000000000000000000000ffffff00dfffff0000489c00bf7400009cdfff00000048009c480000ffffdf00df9c48000074bf0074004800ffffbf009c484800489cdf0074bfff00bfffff000000740074000000ffbf740048000000ffdf9c00010101010101010101010101010101010101010101010101010101010101010101010101010101010101010101010101010101010101010101010101010101010101010101010101010101010101010101010101010101010101010101010101010101010101010101010101010101010101010101010101010101010101010101010101010101010101010101010101010101010101010101010101010101010101010101010101010101010101010101010101010101010101010101010101010101010101010101010101010101010101010a000000000007080101010101010101010110111415010105060708010101010101010101010a0013010101010f070801010101010101010105060708010101010101010101010101010101010f000401010101010101010101010101010101010e000901010101010101010101010101010101010e000901010101010101010101010101010101010e000901010101010101010101020300000401010e000901010101010101010102030901010a09010f0004010101010101010101050b0c0101050d081011120c0101010101010101050b0c0101050d08010e0009010101010f07080102030901010a040101010a0009010105060708010102030000040101010101050600000000070801010101010101010101010101010101010101010101010101010101010101010101010101010101010101010101010101010101010101010101010101010101010101010101010101010101010101010101010101010101010101010101010101010101010c00000040092900aa000000000000001d00130000000000040000002701ffff030000000000;
- конечная температура
охлаждающей воды,010009000003f004000000004c03000000004c03000026060f008e06574d46430100000000000100dee200000000010000006c060000000000006c060000010000006c0000000000000000000000120000001c0000000000000000000000f1010000f702000020454d46000001006c0600000c00000001000000000000000000000000000000900600001a040000b801000013010000000000000000000000000000c0b6060038320400460000002c00000020000000454d462b014001001c000000100000000210c0db01000000600000006000000046000000f4010000e8010000454d462b224004000c000000000000001e4009000c00000000000000244001000c000000000000003040020010000000040000000000803f214007000c000000000000000840000540010000340100000210c0db01000000000000000000000000000000000000000100000089504e470d0a1a0a0000000d49484452000000130000001d08030000007f84a78e000000017352474200aece1ce9000000097048597300000ec400000ec401952b0e1b00000042504c544500000000004800007400489c0074bf48000048007448489c489cdf74000074bfff9c48009cdfffbf7400bfffffdf9c48dfffffffbf74ffdf9cffffbfffffdfffffff25049bae0000006d4944415428cfbd90c70e80300c43cd2e23a583fcffafd2428a5a7164f8143d29896df05d789d6d33d01eb3eb10d4186cb362a608092af2c05cafc334185e2362b619f363add3bd7357b195a3f90f592dbc3c61c50f51347bcb4b9892e78bf9b15a245bd607413af8a5fbefd90e88f728711999dadb0000000049454e44ae42608200000840010824000000180000000210c0db01000000030000000000000000000000000000001b40000040000000340000000100000002000000000000bf000000bf000098410000e84103000000000080b3000080b3ffff9741000080b3000080b3ffffe7412100000008000000620000000c00000001000000150000000c00000004000000150000000c0000000400000051000000140300000000000000000000120000001c00000000000000000000000000000000000000130000001d0000005000000080000000d000000044020000000000002000cc00130000001d00000028000000130000001d0000000100080000000000000000000000000000000000160000000000000000000000ffffff00dfffff0000489c00bf7400009cdfff00000048009c480000ffffdf00df9c48000074bf0074004800ffffbf009c484800489cdf0074bfff00bfffff000000740074000000ffbf740048000000ffdf9c00010101010101010101010101010101010101010101010101010101010101010101010101010101010101010101010101010101010101010101010101010101010101010101010101010101010101010101010101010101010101010101010101010101010101010101010101010101010101010101010101010101010101010101010101010101010101010101010101010101010101010101010101010101010101010101010101010101010101010101010101010101010101010101010101010101010101010101010101010101010101010a000000000007080101010101010101010110111415010105060708010101010101010101010a0013010101010f070801010101010101010105060708010101010101010101010101010101010f000401010101010101010101010101010101010e000901010101010101010101010101010101010e000901010101010101010101010101010101010e000901010101010101010101020300000401010e000901010101010101010102030901010a09010f0004010101010101010101050b0c0101050d081011120c0101010101010101050b0c0101050d08010e0009010101010f07080102030901010a040101010a0009010105060708010102030000040101010101050600000000070801010101010101010101010101010101010101010101010101010101010101010101010101010101010101010101010101010101010101010101010101010101010101010101010101010101010101010101010101010101010101010101010101010101014c000000640000000000000000000000120000001c0000000000000000000000130000001d0000002900aa0000000000000000000000803f00000000000000000000803f0000000000000000000000000000000000000000000000000000000000000000220000000c000000ffffffff460000001c00000010000000454d462b024000000c000000000000000e000000140000000000000010000000140000000400000003010800050000000b0200000000050000000c021d001300030000001e00040000000701040004000000070104006f010000410b2000cc001d001300000000001d0013000000000028000000130000001d0000000100080000000000000000000000000000000000160000000000000000000000ffffff00dfffff0000489c00bf7400009cdfff00000048009c480000ffffdf00df9c48000074bf0074004800ffffbf009c484800489cdf0074bfff00bfffff000000740074000000ffbf740048000000ffdf9c00010101010101010101010101010101010101010101010101010101010101010101010101010101010101010101010101010101010101010101010101010101010101010101010101010101010101010101010101010101010101010101010101010101010101010101010101010101010101010101010101010101010101010101010101010101010101010101010101010101010101010101010101010101010101010101010101010101010101010101010101010101010101010101010101010101010101010101010101010101010101010a000000000007080101010101010101010110111415010105060708010101010101010101010a0013010101010f070801010101010101010105060708010101010101010101010101010101010f000401010101010101010101010101010101010e000901010101010101010101010101010101010e000901010101010101010101010101010101010e000901010101010101010101020300000401010e000901010101010101010102030901010a09010f0004010101010101010101050b0c0101050d081011120c0101010101010101050b0c0101050d08010e0009010101010f07080102030901010a040101010a0009010105060708010102030000040101010101050600000000070801010101010101010101010101010101010101010101010101010101010101010101010101010101010101010101010101010101010101010101010101010101010101010101010101010101010101010101010101010101010101010101010101010101010c00000040092900aa000000000000001d00130000000000040000002701ffff030000000000;
– удельная теплоёмкость
воды, Дж/(кг·К).
Разность
температур между паром и жидкостью на
выходе из конденсатора принимают на
30100090000032603000000004a02000000004a02000026060f008a04574d46430100000000000100d6250000000001000000680400000000000068040000010000006c00000000000000000000000f0000001c0000000000000000000000a2010000f702000020454d4600000100680400000c00000001000000000000000000000000000000900600001a040000b801000013010000000000000000000000000000c0b6060038320400460000002c00000020000000454d462b014001001c000000100000000210c0db010000006000000060000000460000008001000074010000454d462b224004000c000000000000001e4009000c00000000000000244001000c000000000000003040020010000000040000000000803f214007000c0000000000000008400005cc000000c00000000210c0db01000000000000000000000000000000000000000100000089504e470d0a1a0a0000000d49484452000000100000001d04030000005143f18c000000017352474200aece1ce9000000097048597300000ec400000ec401952b0e1b0000001b504c544500000000004800489c4800009cdfffdf9c48dfffffffdf9cffffff1ce911030000001f4944415428cf63e88002062a328ad5d019686a5a194080d1834cedd4660000f60675f39cbce4c90000000049454e44ae4260820000000840010824000000180000000210c0db01000000030000000000000000000000000000001b40000040000000340000000100000002000000000000bf000000bf000080410000e84103000000000000b3000000b3ffff7f41000000b3000000b3ffffe7412100000008000000620000000c00000001000000150000000c00000004000000150000000c00000004000000510000008401000000000000000000000f0000001c00000000000000000000000000000000000000100000001d000000500000004c0000009c000000e8000000000000002000cc00100000001d00000028000000100000001d0000000100040000000000000000000000000000000000090000000000000000000000ffffff009cdfff00000048009c480000ffffdf00489cdf0048000000ffdf9c00111111111111111111111111111111111111111111111111111111111111111111111111111111111111111111111111111111111111111111111111111111111111111111111111111111111111111111111111111111111111112345111111111111234511111111111111111111111111111111111111160000000000078111111111111111111111111111111111111111234511111111111123451111111111111111111111111111111111111111111111111111111111111111111111111111111111111111111111111111111111111111111111111111111111111111111111111111114c0000006400000000000000000000000f0000001c0000000000000000000000100000001d0000002900aa0000000000000000000000803f00000000000000000000803f0000000000000000000000000000000000000000000000000000000000000000220000000c000000ffffffff460000001c00000010000000454d462b024000000c000000000000000e000000140000000000000010000000140000000400000003010800050000000b0200000000050000000c021d001000030000001e0004000000070104000400000007010400a7000000410b2000cc001d001000000000001d0010000000000028000000100000001d0000000100040000000000000000000000000000000000090000000000000000000000ffffff009cdfff00000048009c480000ffffdf00489cdf0048000000ffdf9c00111111111111111111111111111111111111111111111111111111111111111111111111111111111111111111111111111111111111111111111111111111111111111111111111111111111111111111111111111111111111112345111111111111234511111111111111111111111111111111111111160000000000078111111111111111111111111111111111111111234511111111111123451111111111111111111111111111111111111111111111111111111111111111111111111111111111111111111111111111111111111111111111111111111111111111111111111111110c00000040092900aa000000000000001d00100000000000040000002701ffff0300000000005010009000003f004000000004c03000000004c03000026060f008e06574d46430100000000000100dee200000000010000006c060000000000006c060000010000006c0000000000000000000000120000001c0000000000000000000000f1010000f702000020454d46000001006c0600000c00000001000000000000000000000000000000900600001a040000b801000013010000000000000000000000000000c0b6060038320400460000002c00000020000000454d462b014001001c000000100000000210c0db01000000600000006000000046000000f4010000e8010000454d462b224004000c000000000000001e4009000c00000000000000244001000c000000000000003040020010000000040000000000803f214007000c000000000000000840000540010000340100000210c0db01000000000000000000000000000000000000000100000089504e470d0a1a0a0000000d49484452000000130000001d08030000007f84a78e000000017352474200aece1ce9000000097048597300000ec400000ec401952b0e1b00000042504c544500000000004800007400489c0074bf48000048007448489c489cdf74000074bfff9c48009cdfffbf7400bfffffdf9c48dfffffffbf74ffdf9cffffbfffffdfffffff25049bae0000006d4944415428cfbd90c70e80300c43cd2e23a583fcffafd2428a5a7164f8143d29896df05d789d6d33d01eb3eb10d4186cb362a608092af2c05cafc334185e2362b619f363add3bd7357b195a3f90f592dbc3c61c50f51347bcb4b9892e78bf9b15a245bd607413af8a5fbefd90e88f728711999dadb0000000049454e44ae42608200000840010824000000180000000210c0db01000000030000000000000000000000000000001b40000040000000340000000100000002000000000000bf000000bf000098410000e84103000000000080b3000080b3ffff9741000080b3000080b3ffffe7412100000008000000620000000c00000001000000150000000c00000004000000150000000c0000000400000051000000140300000000000000000000120000001c00000000000000000000000000000000000000130000001d0000005000000080000000d000000044020000000000002000cc00130000001d00000028000000130000001d0000000100080000000000000000000000000000000000160000000000000000000000ffffff00dfffff0000489c00bf7400009cdfff00000048009c480000ffffdf00df9c48000074bf0074004800ffffbf009c484800489cdf0074bfff00bfffff000000740074000000ffbf740048000000ffdf9c00010101010101010101010101010101010101010101010101010101010101010101010101010101010101010101010101010101010101010101010101010101010101010101010101010101010101010101010101010101010101010101010101010101010101010101010101010101010101010101010101010101010101010101010101010101010101010101010101010101010101010101010101010101010101010101010101010101010101010101010101010101010101010101010101010101010101010101010101010101010101010a000000000007080101010101010101010110111415010105060708010101010101010101010a0013010101010f070801010101010101010105060708010101010101010101010101010101010f000401010101010101010101010101010101010e000901010101010101010101010101010101010e000901010101010101010101010101010101010e000901010101010101010101020300000401010e000901010101010101010102030901010a09010f0004010101010101010101050b0c0101050d081011120c0101010101010101050b0c0101050d08010e0009010101010f07080102030901010a040101010a0009010105060708010102030000040101010101050600000000070801010101010101010101010101010101010101010101010101010101010101010101010101010101010101010101010101010101010101010101010101010101010101010101010101010101010101010101010101010101010101010101010101010101014c000000640000000000000000000000120000001c0000000000000000000000130000001d0000002900aa0000000000000000000000803f00000000000000000000803f0000000000000000000000000000000000000000000000000000000000000000220000000c000000ffffffff460000001c00000010000000454d462b024000000c000000000000000e000000140000000000000010000000140000000400000003010800050000000b0200000000050000000c021d001300030000001e00040000000701040004000000070104006f010000410b2000cc001d001300000000001d0013000000000028000000130000001d0000000100080000000000000000000000000000000000160000000000000000000000ffffff00dfffff0000489c00bf7400009cdfff00000048009c480000ffffdf00df9c48000074bf0074004800ffffbf009c484800489cdf0074bfff00bfffff000000740074000000ffbf740048000000ffdf9c00010101010101010101010101010101010101010101010101010101010101010101010101010101010101010101010101010101010101010101010101010101010101010101010101010101010101010101010101010101010101010101010101010101010101010101010101010101010101010101010101010101010101010101010101010101010101010101010101010101010101010101010101010101010101010101010101010101010101010101010101010101010101010101010101010101010101010101010101010101010101010a000000000007080101010101010101010110111415010105060708010101010101010101010a0013010101010f070801010101010101010105060708010101010101010101010101010101010f000401010101010101010101010101010101010e000901010101010101010101010101010101010e000901010101010101010101010101010101010e000901010101010101010101020300000401010e000901010101010101010102030901010a09010f0004010101010101010101050b0c0101050d081011120c0101010101010101050b0c0101050d08010e0009010101010f07080102030901010a040101010a0009010105060708010102030000040101010101050600000000070801010101010101010101010101010101010101010101010101010101010101010101010101010101010101010101010101010101010101010101010101010101010101010101010101010101010101010101010101010101010101010101010101010101010c00000040092900aa000000000000001d00130000000000040000002701ffff030000000000
ниже температуры конденсации паров.

t
=
при Р>б.к.>
= 0,18 атм.
Начальную температуру примем 15010009000003f004000000004c03000000004c03000026060f008e06574d46430100000000000100dee200000000010000006c060000000000006c060000010000006c0000000000000000000000120000001c0000000000000000000000f1010000f702000020454d46000001006c0600000c00000001000000000000000000000000000000900600001a040000b801000013010000000000000000000000000000c0b6060038320400460000002c00000020000000454d462b014001001c000000100000000210c0db01000000600000006000000046000000f4010000e8010000454d462b224004000c000000000000001e4009000c00000000000000244001000c000000000000003040020010000000040000000000803f214007000c000000000000000840000540010000340100000210c0db01000000000000000000000000000000000000000100000089504e470d0a1a0a0000000d49484452000000130000001d08030000007f84a78e000000017352474200aece1ce9000000097048597300000ec400000ec401952b0e1b00000042504c544500000000004800007400489c0074bf48000048007448489c489cdf74000074bfff9c48009cdfffbf7400bfffffdf9c48dfffffffbf74ffdf9cffffbfffffdfffffff25049bae0000006d4944415428cfbd90c70e80300c43cd2e23a583fcffafd2428a5a7164f8143d29896df05d789d6d33d01eb3eb10d4186cb362a608092af2c05cafc334185e2362b619f363add3bd7357b195a3f90f592dbc3c61c50f51347bcb4b9892e78bf9b15a245bd607413af8a5fbefd90e88f728711999dadb0000000049454e44ae42608200000840010824000000180000000210c0db01000000030000000000000000000000000000001b40000040000000340000000100000002000000000000bf000000bf000098410000e84103000000000080b3000080b3ffff9741000080b3000080b3ffffe7412100000008000000620000000c00000001000000150000000c00000004000000150000000c0000000400000051000000140300000000000000000000120000001c00000000000000000000000000000000000000130000001d0000005000000080000000d000000044020000000000002000cc00130000001d00000028000000130000001d0000000100080000000000000000000000000000000000160000000000000000000000ffffff00dfffff0000489c00bf7400009cdfff00000048009c480000ffffdf00df9c48000074bf0074004800ffffbf009c484800489cdf0074bfff00bfffff000000740074000000ffbf740048000000ffdf9c00010101010101010101010101010101010101010101010101010101010101010101010101010101010101010101010101010101010101010101010101010101010101010101010101010101010101010101010101010101010101010101010101010101010101010101010101010101010101010101010101010101010101010101010101010101010101010101010101010101010101010101010101010101010101010101010101010101010101010101010101010101010101010101010101010101010101010101010101010101010101010a000000000007080101010101010101010110111415010105060708010101010101010101010a0013010101010f070801010101010101010105060708010101010101010101010101010101010f000401010101010101010101010101010101010e000901010101010101010101010101010101010e000901010101010101010101010101010101010e000901010101010101010101020300000401010e000901010101010101010102030901010a09010f0004010101010101010101050b0c0101050d081011120c0101010101010101050b0c0101050d08010e0009010101010f07080102030901010a040101010a0009010105060708010102030000040101010101050600000000070801010101010101010101010101010101010101010101010101010101010101010101010101010101010101010101010101010101010101010101010101010101010101010101010101010101010101010101010101010101010101010101010101010101014c000000640000000000000000000000120000001c0000000000000000000000130000001d0000002900aa0000000000000000000000803f00000000000000000000803f0000000000000000000000000000000000000000000000000000000000000000220000000c000000ffffffff460000001c00000010000000454d462b024000000c000000000000000e000000140000000000000010000000140000000400000003010800050000000b0200000000050000000c021d001300030000001e00040000000701040004000000070104006f010000410b2000cc001d001300000000001d0013000000000028000000130000001d0000000100080000000000000000000000000000000000160000000000000000000000ffffff00dfffff0000489c00bf7400009cdfff00000048009c480000ffffdf00df9c48000074bf0074004800ffffbf009c484800489cdf0074bfff00bfffff000000740074000000ffbf740048000000ffdf9c00010101010101010101010101010101010101010101010101010101010101010101010101010101010101010101010101010101010101010101010101010101010101010101010101010101010101010101010101010101010101010101010101010101010101010101010101010101010101010101010101010101010101010101010101010101010101010101010101010101010101010101010101010101010101010101010101010101010101010101010101010101010101010101010101010101010101010101010101010101010101010a000000000007080101010101010101010110111415010105060708010101010101010101010a0013010101010f070801010101010101010105060708010101010101010101010101010101010f000401010101010101010101010101010101010e000901010101010101010101010101010101010e000901010101010101010101010101010101010e000901010101010101010101020300000401010e000901010101010101010102030901010a09010f0004010101010101010101050b0c0101050d081011120c0101010101010101050b0c0101050d08010e0009010101010f07080102030901010a040101010a0009010105060708010102030000040101010101050600000000070801010101010101010101010101010101010101010101010101010101010101010101010101010101010101010101010101010101010101010101010101010101010101010101010101010101010101010101010101010101010101010101010101010101010c00000040092900aa000000000000001d00130000000000040000002701ffff030000000000.
>б.к.>=
2602,6 · 103010009000003aa0a000000006e06000000006e06000026060f00d20c574d464301000000000001002d320000000001000000b00c000000000000b00c0000010000006c00000000000000000000003f0000001c00000000000000000000008b060000f702000020454d4600000100b00c00000c00000001000000000000000000000000000000900600001a040000b801000013010000000000000000000000000000c0b6060038320400460000002c00000020000000454d462b014001001c000000100000000210c0db0100000060000000600000004600000008030000fc020000454d462b224004000c000000000000001e4009000c00000000000000244001000c000000000000003040020010000000040000000000803f214007000c000000000000000840000554020000480200000210c0db01000000000000000000000000000000000000000100000089504e470d0a1a0a0000000d49484452000000400000001d08030000002da79ac5000000017352474200aece1ce9000000097048597300000ec400000ec401952b0e1b00000069504c544500000000004800007400489c0074bf48000048489c4874bf489cdf74000074004874489c7474bf74bfdf74bfff9c48009c48749c9cbf9c9cdf9cbfff9cdfffbf7400bf7474bfbfbfbfffffdf9c48df9c74dfdfffdfffffffbf74ffdf9cffdfdfffffbfffffdfffffff90d88f7c0000015c4944415448c7dd546b6fc3200c642dd9e81e748f640b5da084ffff23e7b3210f6d54daf2698d9408d9f87c7726a8b4f151ff08201ef4360077d3d600c6a32acfcf9b2e10c80c9cc1b753a64ec057b005e0d4728ffd50ad1f8ffa9289ef3d7afc858000c447d6a1acf8a14bc38ed74220b3f3888856ca52050378cb7b767d8af72d0199141a4baf215936d759711235fe89e09141899a148446cb0a7e1363b61d20ec6fb18712e30b1667049c0084bba260fccc7e514107d5593a08a582746ae7d18a048974bbbe84e54c2c6c9f08203759ed504100f161580d91ba52c7425e08987918198cdc36790a9d4dab21d20ec7183381420e4d25318d55252f5421998785334f18d235bc3139b33c4ea030879417f4d070d8b29748f354fd7e285ad364263ef18058b81d925a3c86aa1527b00f7ee9b4222050a41e04a900f0b3d7ae76585dfd175ddd07e373ffabfff8fb85f2b1f14a8baf577f2b5f2fc0175a47d97dbc31431e0000000049454e44ae4260820840010824000000180000000210c0db01000000030000000000000000000000000000001b40000040000000340000000100000002000000000000bf000000bf000080420000e84103000000000000b3000000b3ffff7f42000000b3000000b3ffffe7412100000008000000620000000c00000001000000150000000c00000004000000150000000c00000004000000510000004408000000000000000000003f0000001c00000000000000000000000000000000000000400000001d00000050000000b40000000401000040070000000000002000cc00400000001d00000028000000400000001d0000000100080000000000000000000000000000000000230000000000000000000000ffffff00bfffff0000007400bf740000489cdf0048000000ffdf9c00dfffff0000489c00df9c48000074bf0074bfff00749cdf009c480000ffffdf007474bf00ffffbf00bf747400ffbf740074000000480074009cdfff0000004800dfbf7400bf9c9c00dfdfff00bf744800ffdfdf009c487400ffbf9c009c48480074489c00bfbfbf00df9c9c000101010101010101010101010101010101010101010101010101010101010101010101010101010101010101010101010101010101010101010101010101010101010101010101010101010101010101010101010101010101010101010101010101010101010101010101010101010101010101010101010101010101010101010101010101010101010101010101010101010101010101010101010101010101010101010101010101010101010101010101010101010101010101010101010101010101010101010101010101010101010101010101010101010101010101010101010101010101010101010101010101010101010101010101010101010101010101010101010101010101010101010101010101010101010101010101010101010101010101010101010101010101010101010101010101010101010101010101010101010101010101010101010101010101010101010101010101010101010101010101010101010101010101010101010101010101010101010101010101010101010101010222010101010101010101010101010101010101010101010101010101010101010101010101010101010101010101010101010101010101010101010101010101210101010101010101010101010101010101010101010101010101010101010101010101010101010101010101010101010101010101010101010101010101082011010101010101010101010101010101010101010101020304010101010101010101010101010101010101010101010101010101010401010101010101010506070101010101010101010101010101010101010101010105060701010101010101010101010101010101010101010101010101010100000000000000000000000a0105000014110101161713010102030000040101010102030a010101010101010105141101010809000e0f16170000000e0f01010c14110101010116170e0f01020313010500130102030a0108091411010c0e0f01010105141101010101010101161713010116171301020314110101161f0f01010c0401010101010b06070108090e0f01050607010b0e0f16170a010101161e01010102030a0101010101010108090401010b0e0f0102030a0101010101010101010b13010101010c000a010101010101010b0e0f0506071617130101010101010101010b1411010101010101010514111617130101010c06070101010101010101021d0f01010102030e0f0101010101010c060716171316170a01010101010101010116170a010101010101010c06070b0e0f010101010809000a010101010101010d07010101010b1411010101010101020300000000000004010101010101010101010b0e0f010101010101020300000a01010101010101010514110101010101161b0101010105001301081c010101080904010b0e0f0b060701010c060701010101161713010101010101010b0e0f0d07010101010101010102031301010101011011010101161704010110110101020304010c0607020304010116170a01010101010b0e0f0101010101010c06070819010101011a0f010101051411010101010c1301010108091411010215070105000a011617130116170a0102031301010101010c0013010101010203000013010c180904010203130108091411010101010212010101010500130101080900000401010809040101010b00000401010101010108090e0f01010101010c000401010b000a0101010b0000001301010101010110110101010c000a01010101010101010101010101010101010101010101010101010c06070101010101010101010101010101010101010101010101010101010d0701010102030e0f01010101010101010101010101010101010101010101010101080904010101010101010101010101010101010101010101010101010101050a010101010b000a01010101010101010101010101010101010101010101010101010c06070101010101010101010101010101010101010101010101010809000000000000000000060701010101010101010101010101010101010101010101010102030401010101010101010101010101010101010101010101010101010101010101010101010101010101010101010101010101010101010101010101010101010506070101010101010101010101010101010101010101010101010101010101010101010101010101010101010101010101010101010101010101010101010102030401010101010101010101010101010101010101010101010101010101010101010101010101010101010101010101010101010101010101010101010101010101010101010101010101010101010101010101010101010101010101010101010101010101010101010101010101010101010101010101010101010101010101010101010101010101010101010101010101010101010101010101010101010101010101010101010101010101010101010101010101010101010101010101010101010101010101010101010101010101010101014c0000006400000000000000000000003f0000001c0000000000000000000000400000001d0000002900aa0000000000000000000000803f00000000000000000000803f0000000000000000000000000000000000000000000000000000000000000000220000000c000000ffffffff460000001c00000010000000454d462b024000000c000000000000000e000000140000000000000010000000140000000400000003010800050000000b0200000000050000000c021d004000030000001e000400000007010400040000000701040007040000410b2000cc001d004000000000001d0040000000000028000000400000001d0000000100080000000000000000000000000000000000230000000000000000000000ffffff00bfffff0000007400bf740000489cdf0048000000ffdf9c00dfffff0000489c00df9c48000074bf0074bfff00749cdf009c480000ffffdf007474bf00ffffbf00bf747400ffbf740074000000480074009cdfff0000004800dfbf7400bf9c9c00dfdfff00bf744800ffdfdf009c487400ffbf9c009c48480074489c00bfbfbf00df9c9c000101010101010101010101010101010101010101010101010101010101010101010101010101010101010101010101010101010101010101010101010101010101010101010101010101010101010101010101010101010101010101010101010101010101010101010101010101010101010101010101010101010101010101010101010101010101010101010101010101010101010101010101010101010101010101010101010101010101010101010101010101010101010101010101010101010101010101010101010101010101010101010101010101010101010101010101010101010101010101010101010101010101010101010101010101010101010101010101010101010101010101010101010101010101010101010101010101010101010101010101010101010101010101010101010101010101010101010101010101010101010101010101010101010101010101010101010101010101010101010101010101010101010101010101010101010101010101010101010101010101010101010222010101010101010101010101010101010101010101010101010101010101010101010101010101010101010101010101010101010101010101010101010101210101010101010101010101010101010101010101010101010101010101010101010101010101010101010101010101010101010101010101010101010101082011010101010101010101010101010101010101010101020304010101010101010101010101010101010101010101010101010101010401010101010101010506070101010101010101010101010101010101010101010105060701010101010101010101010101010101010101010101010101010100000000000000000000000a0105000014110101161713010102030000040101010102030a010101010101010105141101010809000e0f16170000000e0f01010c14110101010116170e0f01020313010500130102030a0108091411010c0e0f01010105141101010101010101161713010116171301020314110101161f0f01010c0401010101010b06070108090e0f01050607010b0e0f16170a010101161e01010102030a0101010101010108090401010b0e0f0102030a0101010101010101010b13010101010c000a010101010101010b0e0f0506071617130101010101010101010b1411010101010101010514111617130101010c06070101010101010101021d0f01010102030e0f0101010101010c060716171316170a01010101010101010116170a010101010101010c06070b0e0f010101010809000a010101010101010d07010101010b1411010101010101020300000000000004010101010101010101010b0e0f010101010101020300000a01010101010101010514110101010101161b0101010105001301081c010101080904010b0e0f0b060701010c060701010101161713010101010101010b0e0f0d07010101010101010102031301010101011011010101161704010110110101020304010c0607020304010116170a01010101010b0e0f0101010101010c06070819010101011a0f010101051411010101010c1301010108091411010215070105000a011617130116170a0102031301010101010c0013010101010203000013010c180904010203130108091411010101010212010101010500130101080900000401010809040101010b00000401010101010108090e0f01010101010c000401010b000a0101010b0000001301010101010110110101010c000a01010101010101010101010101010101010101010101010101010c06070101010101010101010101010101010101010101010101010101010d0701010102030e0f01010101010101010101010101010101010101010101010101080904010101010101010101010101010101010101010101010101010101050a010101010b000a01010101010101010101010101010101010101010101010101010c06070101010101010101010101010101010101010101010101010809000000000000000000060701010101010101010101010101010101010101010101010102030401010101010101010101010101010101010101010101010101010101010101010101010101010101010101010101010101010101010101010101010101010506070101010101010101010101010101010101010101010101010101010101010101010101010101010101010101010101010101010101010101010101010102030401010101010101010101010101010101010101010101010101010101010101010101010101010101010101010101010101010101010101010101010101010101010101010101010101010101010101010101010101010101010101010101010101010101010101010101010101010101010101010101010101010101010101010101010101010101010101010101010101010101010101010101010101010101010101010101010101010101010101010101010101010101010101010101010101010101010101010101010101010101010101010c00000040092900aa000000000000001d00400000000000040000002701ffff030000000000
при 




2.5.3 Расчёт барометрической трубы
Диаметр барометрической трубы определяется по формуле:

где
>>
>тр>
– диаметр барометрической трубы, м;
- расход охлаждающей
воды, кг/с;
- количество выпаренной
воды, кг/с;
0100090000037a04000000001003000000001003000026060f001606574d46430100000000000100a22c0000000001000000f405000000000000f4050000010000006c00000000000000000000000f0000001c0000000000000000000000a2010000f702000020454d4600000100f40500000c00000001000000000000000000000000000000900600001a040000b801000013010000000000000000000000000000c0b6060038320400460000002c00000020000000454d462b014001001c000000100000000210c0db01000000600000006000000046000000f0010000e4010000454d462b224004000c000000000000001e4009000c00000000000000244001000c000000000000003040020010000000040000000000803f214007000c00000000000000084000053c010000300100000210c0db01000000000000000000000000000000000000000100000089504e470d0a1a0a0000000d49484452000000100000001d080300000094b31c8d000000017352474200aece1ce9000000097048597300000ec400000ec401952b0e1b00000042504c544500000000004800007400489c0074bf48000048489c489cdf74000074bfff9c48009c74009cdfffbf7400bfffffdf9c48dfffffffbf74ffdf9cffffbfffffdfffffff7e1110c20000006b4944415428cfcd90cb1280200845292bd1321fe8ffff6aa0b469d15a173873ee016680f67930132847922f6e0ae272f590d07590c1a91e4c62402866586f2eacc268502aa07af65ad9ed0b08054499533df729908ca75bd91238cce6b46d44c02280498420f96417fb050f055b22330c8930ac0000000049454e44ae4260820840010824000000180000000210c0db01000000030000000000000000000000000000001b40000040000000340000000100000002000000000000bf000000bf000080410000e84103000000000000b3000000b3ffff7f41000000b3000000b3ffffe7412100000008000000620000000c00000001000000150000000c00000004000000150000000c0000000400000051000000a002000000000000000000000f0000001c00000000000000000000000000000000000000100000001d0000005000000080000000d0000000d0010000000000002000cc00100000001d00000028000000100000001d0000000100080000000000000000000000000000000000160000000000000000000000ffffff009cdfff009c484800ffffdf00489cdf00bf74000048000000ffdf9c00bfffff0000007400ffbf740074bfff000074bf009c48000074000000ffffbf00dfffff0000489c0000004800df9c480000749c000101010101010101010101010101010101010101010101010101010101010101010101010101010101010101010101010101010101010101010101010101010101010101010101010101010101010101010101010101010101010101010101010101010101010101010101010101010101010101010101010101010101010101010101010101010101010101010101010101010101010101010101010101010101111200000e04090a00001401010101010d000b010c0e151401090a0e040101090a0e0401010d070801010c00140101090a0e04010105000b010111120f100111120e0401010213140101010d070801010507080101090a060101010d07080101090a060101010d0f1001010d07080101010c000b010101010101010d0e04010101010507080101010101090a0b0101010101010203040101010105060101010101010101010101010101010101010101010101010101010101010101010101010101010101010101010101010101010101010101010101010101010101010101010101010101010101010101010101010101010101010101010101010101010101010101010101010101010101010101010101010101010101010101010101010101010101010101010101010101014c0000006400000000000000000000000f0000001c0000000000000000000000100000001d0000002900aa0000000000000000000000803f00000000000000000000803f0000000000000000000000000000000000000000000000000000000000000000220000000c000000ffffffff460000001c00000010000000454d462b024000000c000000000000000e000000140000000000000010000000140000000400000003010800050000000b0200000000050000000c021d001000030000001e000400000007010400040000000701040035010000410b2000cc001d001000000000001d0010000000000028000000100000001d0000000100080000000000000000000000000000000000160000000000000000000000ffffff009cdfff009c484800ffffdf00489cdf00bf74000048000000ffdf9c00bfffff0000007400ffbf740074bfff000074bf009c48000074000000ffffbf00dfffff0000489c0000004800df9c480000749c000101010101010101010101010101010101010101010101010101010101010101010101010101010101010101010101010101010101010101010101010101010101010101010101010101010101010101010101010101010101010101010101010101010101010101010101010101010101010101010101010101010101010101010101010101010101010101010101010101010101010101010101010101010101111200000e04090a00001401010101010d000b010c0e151401090a0e040101090a0e0401010d070801010c00140101090a0e04010105000b010111120f100111120e0401010213140101010d070801010507080101090a060101010d07080101090a060101010d0f1001010d07080101010c000b010101010101010d0e04010101010507080101010101090a0b0101010101010203040101010105060101010101010101010101010101010101010101010101010101010101010101010101010101010101010101010101010101010101010101010101010101010101010101010101010101010101010101010101010101010101010101010101010101010101010101010101010101010101010101010101010101010101010101010101010101010101010101010101010101010c00000040092900aa000000000000001d00100000000000040000002701ffff030000000000
- скорость смеси конденсата
и воды, м/с;
- плотность воды, кг/м3.

Принимаем
0100090000032c07000000008e04000000008e04000026060f001209574d46430100000000000100b7a60000000001000000f008000000000000f0080000010000006c00000000000000000000001f0000001f0000000000000000000000450300004503000020454d4600000100f00800000c00000001000000000000000000000000000000900600001a040000b801000013010000000000000000000000000000c0b6060038320400460000002c00000020000000454d462b014001001c000000100000000210c0db010000006000000060000000460000008402000078020000454d462b224004000c000000000000001e4009000c00000000000000244001000c000000000000003040020010000000040000000000803f214007000c0000000000000008400005dc010000d00100000210c0db01000000000000000000000000000000000000000100000089504e470d0a1a0a0000000d494844520000002000000020080300000044a48ac6000000017352474200aece1ce9000000097048597300000ec400000ec401952b0e1b0000006c504c544500000000004800007400489c0074740074bf48000048007448484848489c489cbf489cdf7400007400487400747474747474bf749cdf74bfdf74bfff9c48009c48489c9c749cdfdf9cdfffbf7400bfbf74bfbf9cbfffffdf9c48dfffffffbf74ffdf9cffffbfffffdffffffff13537af000000e14944415438cbbd93cb1283200c4583add516ec4bacd08abcfeff1f9be0aa8ee2aaba701ce6e4e60011e2c603fb014102b4f904cdd4067018b34090655ed29df83aa001d86b5981002f8a0103f0b502247d2f961d117027b2f3a25c3ba869ff76f99810083235372b8e11a6e6493497a0611261ca404b4b41b25ed2e2e4a09f788eba8dfefae6fad2f59d8abea9956f14025ed03dea7499f6780fdd4db96a8816eb42a766f3a08bc1d58f68301af322813f00451aea4fcdc88ccf26ca9d47aa74d547a5cf723e7286a74a8bf60600786626492f3bb4d42107e0a6cbfd7f9c3f025f91f97e830d68f5700000000049454e44ae4260820840010824000000180000000210c0db01000000030000000000000000000000000000001b40004034000000280000000100000002000000000000bf000000bf0000004200000042030000000000000020000000000020002100000008000000620000000c00000001000000150000000c00000004000000150000000c00000004000000510000000805000000000000000000001f0000001f00000000000000000000000000000000000000200000002000000050000000b80000000801000000040000000000002000cc0020000000200000002800000020000000200000000100080000000000000000000000000000000000240000000000000000000000ffffff00dfffff0000489c00ffbf74000074bf0048000000ffdf9c009c480000ffffdf00bf7400009cdfff0000004800df9c4800749c9c00bfffff000000740074000000ffffbf0074bfff00489cdf00dfdf9c00dfbf74007400740074bfbf00bf9c480048489c00480074004848480074740000bf7474007474740074004800df9c74009c4848009cbfbf000101010101010101010101010101010101010101010101010101010101010101010101010101010101010101010101010101010101010101010101010101010101010101010101010101010101010101010101010101010101010101010101010101010101010101010101010101010101010101010101010101010101010101010101010101010101010101010101010101010101010101010101010101010101010101010101010101010101010101010101010101010101010101010101010101010101010101010101010101010101010101010500000a01010101010101010101010101010101010101010101010101010101010b22090101010101010101010101010101010101010101010101010101010101021a0701010101010101010101010101010101010101140d010f17120113000a01140000000d010101010101010101010101010101010b2209010504010b2023070b220901050a0101010101010101010101010101010f1b0701141112020304010f17120101050d0101010101010101010101010101010511120b1c2101140a0101050401010b201201010f1000000401050000040101131d1e021a1f070b20120113060701021a070101050607010516030a010504010f17180d05191a151a07010f1b1c070f1b070102031112010105000a0101010f100607140004020311120203061503000a01010f10080901010f1011120101010101010101010101010101010101010101010102031112010101140607010101010101010101010101010101010101010101010105060701010113000401010101010101010101010101010101010101010101010b0c0a0101010f100a01010101010101010101010101010101010101010101010105060701010f10080901010101010101010101010101010101010101010101010f101112010b0c111201010101010101010101010101010101010101010101010101050000060e060701010101010101010101010101010101010101010101010101010101010b0c0d010101010101010101010101010101010101010101010101010101010102030a01010101010101010101010101010101010101010101010101010101010105080901010101010101010101010101010101010101010101010101010101010506070101010101010101010101010101010101010101010101010101010203000004010101010101010101010101010101010101010101010101010101010101010101010101010101010101010101010101010101010101010101010101010101010101010101010101010101010101010101010101010101010101010101010101010101010101010101010101010101010101010101010101010101010101010101010101010101010101010101010101010101014c0000006400000000000000000000001f0000001f000000000000000000000020000000200000002900aa0000000000000000000000803f00000000000000000000803f0000000000000000000000000000000000000000000000000000000000000000220000000c000000ffffffff460000001c00000010000000454d462b024000000c000000000000000e000000140000000000000010000000140000000400000003010800050000000b0200000000050000000c0220002000030000001e000400000007010400040000000701040069020000410b2000cc00200020000000000020002000000000002800000020000000200000000100080000000000000000000000000000000000240000000000000000000000ffffff00dfffff0000489c00ffbf74000074bf0048000000ffdf9c009c480000ffffdf00bf7400009cdfff0000004800df9c4800749c9c00bfffff000000740074000000ffffbf0074bfff00489cdf00dfdf9c00dfbf74007400740074bfbf00bf9c480048489c00480074004848480074740000bf7474007474740074004800df9c74009c4848009cbfbf000101010101010101010101010101010101010101010101010101010101010101010101010101010101010101010101010101010101010101010101010101010101010101010101010101010101010101010101010101010101010101010101010101010101010101010101010101010101010101010101010101010101010101010101010101010101010101010101010101010101010101010101010101010101010101010101010101010101010101010101010101010101010101010101010101010101010101010101010101010101010101010500000a01010101010101010101010101010101010101010101010101010101010b22090101010101010101010101010101010101010101010101010101010101021a0701010101010101010101010101010101010101140d010f17120113000a01140000000d010101010101010101010101010101010b2209010504010b2023070b220901050a0101010101010101010101010101010f1b0701141112020304010f17120101050d0101010101010101010101010101010511120b1c2101140a0101050401010b201201010f1000000401050000040101131d1e021a1f070b20120113060701021a070101050607010516030a010504010f17180d05191a151a07010f1b1c070f1b070102031112010105000a0101010f100607140004020311120203061503000a01010f10080901010f1011120101010101010101010101010101010101010101010102031112010101140607010101010101010101010101010101010101010101010105060701010113000401010101010101010101010101010101010101010101010b0c0a0101010f100a01010101010101010101010101010101010101010101010105060701010f10080901010101010101010101010101010101010101010101010f101112010b0c111201010101010101010101010101010101010101010101010101050000060e060701010101010101010101010101010101010101010101010101010101010b0c0d010101010101010101010101010101010101010101010101010101010102030a01010101010101010101010101010101010101010101010101010101010105080901010101010101010101010101010101010101010101010101010101010506070101010101010101010101010101010101010101010101010101010203000004010101010101010101010101010101010101010101010101010101010101010101010101010101010101010101010101010101010101010101010101010101010101010101010101010101010101010101010101010101010101010101010101010101010101010101010101010101010101010101010101010101010101010101010101010101010101010101010101010101010c00000040092900aa000000000000002000200000000000040000002701ffff030000000000
=
мм.
2.5.4 Высота барометрической трубы
Высота определяется по уравнению:

где
- высота барометрической трубы, м;
В – вакуум в барометрическом конденсаторе, па;
- сумма коэффициентов
местных сопротивлений;
- ускорение свободного
падения, м/с2;
010009000003060400000000d40200000000d402000026060f009e05574d4643010000000000010045af00000000010000007c050000000000007c050000010000006c00000000000000000000000a0000001c00000000000000000000001f010000f702000020454d46000001007c0500000c00000001000000000000000000000000000000900600001a040000b801000013010000000000000000000000000000c0b6060038320400460000002c00000020000000454d462b014001001c000000100000000210c0db01000000600000006000000046000000e8010000dc010000454d462b224004000c000000000000001e4009000c00000000000000244001000c000000000000003040020010000000040000000000803f214007000c000000000000000840000534010000280100000210c0db01000000000000000000000000000000000000000100000089504e470d0a1a0a0000000d494844520000000b0000001d08030000004bfd6692000000017352474200aece1ce9000000097048597300000ec400000ec401952b0e1b00000045504c54450000000000480000740074bf480000480048480074489cdf74000074004874007474bfff9c48009cdfbf9cdfffbf7400bfffffdf9c48ffbf74ffdf9cffffbfffffdfffffff5da8c0aa0000005e4944415428cfadcf39168030080450b2685ca2862cdcffa84645d258a490ea17bc19006a03bd4600c74647a883eca461ff749e9b51899315170f92836a5bd8c9ba343e2e5e87d707acc48e60889da72baef64603fe3eb1a69afebf7ef60923d5182094be41e00000000049454e44ae42608200000840010824000000180000000210c0db01000000030000000000000000000000000000001b40000040000000340000000100000002000000000000bf000000bf000030410000e84103000000000000b3000000b3ffff2f41000000b3000000b3ffffe7412100000008000000620000000c00000001000000150000000c00000004000000150000000c00000004000000510000003002000000000000000000000a0000001c000000000000000000000000000000000000000b0000001d0000005000000084000000d40000005c010000000000002000cc000b0000001d000000280000000b0000001d0000000100080000000000000000000000000000000000170000000000000000000000ffffff00489cdf00df9c480074000000ffffbf009cdfff0048004800ffdf9c00bfffff00480074004800000000004800dfffff0000489c00bfdf9c0074007400740048000074bf00ffbf740074bfff00bf7400000000740001010101010101010101010101010101010101010101011101010101010101010101010001010101010101010101010001010101010101010101019b0101010101010101010101400101010101010101010101000101010101010101010101000101010101010101010101000101010101010101010101000e00030101010d0e0015010009160b08010106070814150001140015010106110501010001011200130106110501010001010d0e0405061105010100010101060c0306110501010001010101020b0f1005010100010101010d0e0004050101030101010101060c0b08010100010101010101020b08010100010101010101090a080101000101010101010607080101000101010101010607080101000101010203010204050101000101010102000003010101000101010101010101010101000101010101010101010101000101010101010101010101000101010101010101010101004c0000006400000000000000000000000a0000001c00000000000000000000000b0000001d0000002900aa0000000000000000000000803f00000000000000000000803f0000000000000000000000000000000000000000000000000000000000000000220000000c000000ffffffff460000001c00000010000000454d462b024000000c000000000000000e000000140000000000000010000000140000000400000003010800050000000b0200000000050000000c021d000b00030000001e0004000000070104000400000007010400fd000000410b2000cc001d000b00000000001d000b0000000000280000000b0000001d0000000100080000000000000000000000000000000000170000000000000000000000ffffff00489cdf00df9c480074000000ffffbf009cdfff0048004800ffdf9c00bfffff00480074004800000000004800dfffff0000489c00bfdf9c0074007400740048000074bf00ffbf740074bfff00bf7400000000740001010101010101010101010101010101010101010101011101010101010101010101010001010101010101010101010001010101010101010101019b0101010101010101010101400101010101010101010101000101010101010101010101000101010101010101010101000101010101010101010101000e00030101010d0e0015010009160b08010106070814150001140015010106110501010001011200130106110501010001010d0e0405061105010100010101060c0306110501010001010101020b0f1005010100010101010d0e0004050101030101010101060c0b08010100010101010101020b08010100010101010101090a080101000101010101010607080101000101010101010607080101000101010203010204050101000101010102000003010101000101010101010101010101000101010101010101010101000101010101010101010101000101010101010101010101000c00000040092900aa000000000000001d000b0000000000040000002701ffff030000000000
- коэффициент трения в
барометрической трубе;
- скорость воды в
барометрической трубе.
Скорость воды определяется по формуле:

где
- расход охлаждающей воды, кг/с;
- расход выпаренной воды,
кг/с;
d>тр> – диаметр барометрической трубы, м.

Вакуум в барометрическом конденсаторе:

где Р>атм> – атмосферное давление, Па;
Р>б.к.> – давление в конденсаторе, Па.
В = 9,8·104 – 1,76·104= 8,04·104
Р>б.к.> = 0,18·9,8·104 = 1,76·104 Па
Сумма коэффициентов местных сопротивлений

где
– коэффициент местного сопротивления
на входе в
трубу;
– коэффициент местного
сопротивления на выходе из
трубы.
= 0,5 + 1 = 1,5
Коэффициент 010009000003060400000000d40200000000d402000026060f009e05574d4643010000000000010045af00000000010000007c050000000000007c050000010000006c00000000000000000000000a0000001c00000000000000000000001f010000f702000020454d46000001007c0500000c00000001000000000000000000000000000000900600001a040000b801000013010000000000000000000000000000c0b6060038320400460000002c00000020000000454d462b014001001c000000100000000210c0db01000000600000006000000046000000e8010000dc010000454d462b224004000c000000000000001e4009000c00000000000000244001000c000000000000003040020010000000040000000000803f214007000c000000000000000840000534010000280100000210c0db01000000000000000000000000000000000000000100000089504e470d0a1a0a0000000d494844520000000b0000001d08030000004bfd6692000000017352474200aece1ce9000000097048597300000ec400000ec401952b0e1b00000045504c54450000000000480000740074bf480000480048480074489cdf74000074004874007474bfff9c48009cdfbf9cdfffbf7400bfffffdf9c48ffbf74ffdf9cffffbfffffdfffffff5da8c0aa0000005e4944415428cfadcf39168030080450b2685ca2862cdcffa84645d258a490ea17bc19006a03bd4600c74647a883eca461ff749e9b51899315170f92836a5bd8c9ba343e2e5e87d707acc48e60889da72baef64603fe3eb1a69afebf7ef60923d5182094be41e00000000049454e44ae42608200000840010824000000180000000210c0db01000000030000000000000000000000000000001b40000040000000340000000100000002000000000000bf000000bf000030410000e84103000000000000b3000000b3ffff2f41000000b3000000b3ffffe7412100000008000000620000000c00000001000000150000000c00000004000000150000000c00000004000000510000003002000000000000000000000a0000001c000000000000000000000000000000000000000b0000001d0000005000000084000000d40000005c010000000000002000cc000b0000001d000000280000000b0000001d0000000100080000000000000000000000000000000000170000000000000000000000ffffff00489cdf00df9c480074000000ffffbf009cdfff0048004800ffdf9c00bfffff00480074004800000000004800dfffff0000489c00bfdf9c0074007400740048000074bf00ffbf740074bfff00bf7400000000740001010101010101010101010101010101010101010101011101010101010101010101010001010101010101010101010001010101010101010101019b0101010101010101010101400101010101010101010101000101010101010101010101000101010101010101010101000101010101010101010101000e00030101010d0e0015010009160b08010106070814150001140015010106110501010001011200130106110501010001010d0e0405061105010100010101060c0306110501010001010101020b0f1005010100010101010d0e0004050101030101010101060c0b08010100010101010101020b08010100010101010101090a080101000101010101010607080101000101010101010607080101000101010203010204050101000101010102000003010101000101010101010101010101000101010101010101010101000101010101010101010101000101010101010101010101004c0000006400000000000000000000000a0000001c00000000000000000000000b0000001d0000002900aa0000000000000000000000803f00000000000000000000803f0000000000000000000000000000000000000000000000000000000000000000220000000c000000ffffffff460000001c00000010000000454d462b024000000c000000000000000e000000140000000000000010000000140000000400000003010800050000000b0200000000050000000c021d000b00030000001e0004000000070104000400000007010400fd000000410b2000cc001d000b00000000001d000b0000000000280000000b0000001d0000000100080000000000000000000000000000000000170000000000000000000000ffffff00489cdf00df9c480074000000ffffbf009cdfff0048004800ffdf9c00bfffff00480074004800000000004800dfffff0000489c00bfdf9c0074007400740048000074bf00ffbf740074bfff00bf7400000000740001010101010101010101010101010101010101010101011101010101010101010101010001010101010101010101010001010101010101010101019b0101010101010101010101400101010101010101010101000101010101010101010101000101010101010101010101000101010101010101010101000e00030101010d0e0015010009160b08010106070814150001140015010106110501010001011200130106110501010001010d0e0405061105010100010101060c0306110501010001010101020b0f1005010100010101010d0e0004050101030101010101060c0b08010100010101010101020b08010100010101010101090a080101000101010101010607080101000101010101010607080101000101010203010204050101000101010102000003010101000101010101010101010101000101010101010101010101000101010101010101010101000101010101010101010101000c00000040092900aa000000000000001d000b0000000000040000002701ffff030000000000 зависит от режима течения воды в барометрической трубе.
Определим режим движения:

где
– критериий Рейнольдса;
0100090000037a04000000001003000000001003000026060f001606574d46430100000000000100a22c0000000001000000f405000000000000f4050000010000006c00000000000000000000000f0000001c0000000000000000000000a2010000f702000020454d4600000100f40500000c00000001000000000000000000000000000000900600001a040000b801000013010000000000000000000000000000c0b6060038320400460000002c00000020000000454d462b014001001c000000100000000210c0db01000000600000006000000046000000f0010000e4010000454d462b224004000c000000000000001e4009000c00000000000000244001000c000000000000003040020010000000040000000000803f214007000c00000000000000084000053c010000300100000210c0db01000000000000000000000000000000000000000100000089504e470d0a1a0a0000000d49484452000000100000001d080300000094b31c8d000000017352474200aece1ce9000000097048597300000ec400000ec401952b0e1b00000042504c544500000000004800007400489c0074bf48000048489c489cdf74000074bfff9c48009c74009cdfffbf7400bfffffdf9c48dfffffffbf74ffdf9cffffbfffffdfffffff7e1110c20000006b4944415428cfcd90cb1280200845292bd1321fe8ffff6aa0b469d15a173873ee016680f67930132847922f6e0ae272f590d07590c1a91e4c62402866586f2eacc268502aa07af65ad9ed0b08054499533df729908ca75bd91238cce6b46d44c02280498420f96417fb050f055b22330c8930ac0000000049454e44ae4260820840010824000000180000000210c0db01000000030000000000000000000000000000001b40000040000000340000000100000002000000000000bf000000bf000080410000e84103000000000000b3000000b3ffff7f41000000b3000000b3ffffe7412100000008000000620000000c00000001000000150000000c00000004000000150000000c0000000400000051000000a002000000000000000000000f0000001c00000000000000000000000000000000000000100000001d0000005000000080000000d0000000d0010000000000002000cc00100000001d00000028000000100000001d0000000100080000000000000000000000000000000000160000000000000000000000ffffff009cdfff009c484800ffffdf00489cdf00bf74000048000000ffdf9c00bfffff0000007400ffbf740074bfff000074bf009c48000074000000ffffbf00dfffff0000489c0000004800df9c480000749c000101010101010101010101010101010101010101010101010101010101010101010101010101010101010101010101010101010101010101010101010101010101010101010101010101010101010101010101010101010101010101010101010101010101010101010101010101010101010101010101010101010101010101010101010101010101010101010101010101010101010101010101010101010101111200000e04090a00001401010101010d000b010c0e151401090a0e040101090a0e0401010d070801010c00140101090a0e04010105000b010111120f100111120e0401010213140101010d070801010507080101090a060101010d07080101090a060101010d0f1001010d07080101010c000b010101010101010d0e04010101010507080101010101090a0b0101010101010203040101010105060101010101010101010101010101010101010101010101010101010101010101010101010101010101010101010101010101010101010101010101010101010101010101010101010101010101010101010101010101010101010101010101010101010101010101010101010101010101010101010101010101010101010101010101010101010101010101010101010101014c0000006400000000000000000000000f0000001c0000000000000000000000100000001d0000002900aa0000000000000000000000803f00000000000000000000803f0000000000000000000000000000000000000000000000000000000000000000220000000c000000ffffffff460000001c00000010000000454d462b024000000c000000000000000e000000140000000000000010000000140000000400000003010800050000000b0200000000050000000c021d001000030000001e000400000007010400040000000701040035010000410b2000cc001d001000000000001d0010000000000028000000100000001d0000000100080000000000000000000000000000000000160000000000000000000000ffffff009cdfff009c484800ffffdf00489cdf00bf74000048000000ffdf9c00bfffff0000007400ffbf740074bfff000074bf009c48000074000000ffffbf00dfffff0000489c0000004800df9c480000749c000101010101010101010101010101010101010101010101010101010101010101010101010101010101010101010101010101010101010101010101010101010101010101010101010101010101010101010101010101010101010101010101010101010101010101010101010101010101010101010101010101010101010101010101010101010101010101010101010101010101010101010101010101010101111200000e04090a00001401010101010d000b010c0e151401090a0e040101090a0e0401010d070801010c00140101090a0e04010105000b010111120f100111120e0401010213140101010d070801010507080101090a060101010d07080101090a060101010d0f1001010d07080101010c000b010101010101010d0e04010101010507080101010101090a0b0101010101010203040101010105060101010101010101010101010101010101010101010101010101010101010101010101010101010101010101010101010101010101010101010101010101010101010101010101010101010101010101010101010101010101010101010101010101010101010101010101010101010101010101010101010101010101010101010101010101010101010101010101010101010c00000040092900aa000000000000001d00100000000000040000002701ffff030000000000
– скорость течения воды,
м/с;
– диаметр барометрической
трубы, м;
– динамическая вязкость
воды, Па·с;
–
плотность воды, кг/м3
при t>0> = 57,26010009000003ea0c000000006607000000006607000026060f00c20e574d46430100000000000100502b0000000001000000a00e000000000000a00e0000010000006c0000000000000000000000550000001c0000000000000000000000cb080000f702000020454d4600000100a00e00000c00000001000000000000000000000000000000900600001a040000b801000013010000000000000000000000000000c0b6060038320400460000002c00000020000000454d462b014001001c000000100000000210c0db01000000600000006000000046000000680200005c020000454d462b224004000c000000000000001e4009000c00000000000000244001000c000000000000003040020010000000040000000000803f214007000c0000000000000008400005b4010000a80100000210c0db01000000000000000000000000000000000000000100000089504e470d0a1a0a0000000d49484452000000560000001d080300000007176b6a000000017352474200aece1ce9000000097048597300000ec400000ec401952b0e1b0000004b504c544500000000004800007400489c0074bf48000048007448484848489c489cbf489cdf74000074bfff9c48009cdfffbf7400bf7448bfffffdf9c48dfffffffbf74ffdf9cffffbfffffdfffffff832bd215000000d74944415448c7ed94cd0e84200c84bbabee0f88ac08d2f77fd2b5a0d11354830713e764907c0c535ac0530437f644ac570075f8760d4caa861258af04a226ae0641e83258f7ea27d867404354445b163bca675f30db1882403b079cd728e942165a4ec9e60c18720ded348f6e5930b06a5e85f51f171b7c7a95ccec005693a351d658141b7dc624f25876c9a24fb3a9582a5b761f049f5ead154bcf041dcfcfb643f069dee96db0b91c19c89ba61e375f550dbf8e37c13430460d3d730243a61d76ca352d6b30ee944dd7ea28565f0acb1c8c37f66ad83fda2dddde06c4c9bc0000000049454e44ae4260820000000840010824000000180000000210c0db01000000030000000000000000000000000000001b40000040000000340000000100000002000000000000bf000000bf0000ac420000e84103000000000000b3000000b3ffffab42000000b3000000b3ffffe7412100000008000000620000000c00000001000000150000000c00000004000000150000000c0000000400000051000000d40a00000000000000000000550000001c00000000000000000000000000000000000000560000001d000000500000008c000000dc000000f8090000000000002000cc00560000001d00000028000000560000001d0000000100080000000000000000000000000000000000190000000000000000000000ffffff00dfffff0000489c00bf7400009cdfff00000048009c480000ffffdf00df9c48000074bf0074004800ffffbf009c484800489cdf0074bfff00bfffff000000740074000000ffbf740048000000ffdf9c0048484800bf9c48004874bf000101010101010101010101010101010101010101010101010101010101010101010101010101010101010101010101010101010101010101010101010101010101010101010101010101010101010101010101010101ffff0101010101010101010101010101010101010101010101010101010101010101010101010101010101010101010101010101010101010101010101010101010101010101010101010101010101010101010101010101ffff0101010101010101010101010101010101010101010101010101010101010101010101010101010101010101010101010101010101010101010101010101010101010101010101010101010101010101010101010101ffff0101010101010101010101010101010101010101010101010101010101010101010101010101010101010101010101010101010101010101010101010101010101010101010101010101010101010101010101010101ffff0101010101010101010101010101010101010101010101010101010101010101010101010101010101010101010101010101010101010101010101010101010101010101010101010101010101010101010101010101ffff0101010101010101010101010101010101010101010101010101010101010101010101010101010101010101010101010101010101010101010101010101010101010101010101010101010101010101010101010101ffff0101010101010101010101010101010101010101010101010101010101010101010101010101010101010101010101010a14150101010101010101010101010101010101010101010101010101010101010101010101ffff0101010101010101010101010101010101010101010101010101010101010101010101010101010101010101010101010a14150101010101010101010101010101010101010101010101010101010101010101010101ffff0101010101010101010101010101010101010101010101010101010101010101010101010101010101010101010101010f14150101010101010101010101010101010101010101010101010101010101010101010101ffff0101010101010101010101010101010101010101010101010101010101010101010101010101010101010101010101010506130101010101010101010101010101010101010101010101010101010101010101010101ffff01010101010101010101010a000000000007080101010101010101010101010101010101010101010101010101010101020300000009010e000013010101010101010101010101010101010101010101010101010101ffff010101010101010101101114150101050607080101010101010101010101010101010101010101010101010101010101010a0009010e1703070818150101010101010101010101010101010101010101010101010101ffff0101010101010101010a0013010101010f07080101010101010101010101010101010101010101010101010101010101010e001301010e16070801010101010101010101010101010101010101010101010101010101ffff0101010101010101050607080101010101010101010101010101010101010101010101010101010101010101010101010105060901010203141501010101010101010101010101010101010101010101010101010101ffff01010101010101010f000401010101010101010101010101010101010101010101010101010101010101010101010101011011040101010e00130101010101010101010e000000000000000000000014150101010101ffff01010101010101010e000901010101010101010101010101010101010101010101010101010101010101010101010101010203120c010105060901010101010101010101010101010101010101010101010101010101ffff01010101010101010e00090101010101010101010101010101010101010101010101010101010101010101010101010101010a1415010110110401010101010101010101010101010101010101010101010101010101ffff01010101010101010e00090101010101010101010101010101010101010101010101010101010101010101010101010101010f001301010203120c010101010101010101010101010101010101010101010101010101ffff01020300000401010e00090101010101010101010101010101010101010101010101010101010101010101010101010101010506090101010e141501010101010101010e000000000000000000000014150101010101ffff02030901010a09010f00040101010101010101010101010101010101010101010101010101010101010101010101010101011011070801010f0013010101010101010101010101010101010101010101010101010101ffff050b0c0101050d081011120c0101010101010101010101010101010101010101010101010101010101010101010101010101010101010101010101010101010101010101010101010101010101010101010101010101ffff050b0c0101050d08010e0009010101010f070801010101010101010101010101010101010101010101010101010101010101010101010101010101010101010101010101010101010101010101010101010101010101ffff02030901010a040101010a000901010506070801010101010101010101010101010101010101010101010101010101010101010101010101010101010101010101010101010101010101010101010101010101010101ffff0102030000040101010101050600000000070801010101010101010101010101010101010101010101010101010101010101010101010101010101010101010101010101010101010101010101010101010101010101ffff0101010101010101010101010101010101010101010101010101010101010101010101010101010101010101010101010101010101010101010101010101010101010101010101010101010101010101010101010101ffff0101010101010101010101010101010101010101010101010101010101010101010101010101010101010101010101010101010101010101010101010101010101010101010101010101010101010101010101010101ffff0101010101010101010101010101010101010101010101010101010101010101010101010101010101010101010101010101010101010101010101010101010101010101010101010101010101010101010101010101ffff0101010101010101010101010101010101010101010101010101010101010101010101010101010101010101010101010101010101010101010101010101010101010101010101010101010101010101010101010101ffff0101010101010101010101010101010101010101010101010101010101010101010101010101010101010101010101010101010101010101010101010101010101010101010101010101010101010101010101010101ffff4c000000640000000000000000000000550000001c0000000000000000000000560000001d0000002900aa0000000000000000000000803f00000000000000000000803f0000000000000000000000000000000000000000000000000000000000000000220000000c000000ffffffff460000001c00000010000000454d462b024000000c000000000000000e000000140000000000000010000000140000000400000003010800050000000b0200000000050000000c021d005600030000001e00040000000701040004000000070104004f050000410b2000cc001d005600000000001d0056000000000028000000560000001d0000000100080000000000000000000000000000000000190000000000000000000000ffffff00dfffff0000489c00bf7400009cdfff00000048009c480000ffffdf00df9c48000074bf0074004800ffffbf009c484800489cdf0074bfff00bfffff000000740074000000ffbf740048000000ffdf9c0048484800bf9c48004874bf000101010101010101010101010101010101010101010101010101010101010101010101010101010101010101010101010101010101010101010101010101010101010101010101010101010101010101010101010101ffff0101010101010101010101010101010101010101010101010101010101010101010101010101010101010101010101010101010101010101010101010101010101010101010101010101010101010101010101010101ffff0101010101010101010101010101010101010101010101010101010101010101010101010101010101010101010101010101010101010101010101010101010101010101010101010101010101010101010101010101ffff0101010101010101010101010101010101010101010101010101010101010101010101010101010101010101010101010101010101010101010101010101010101010101010101010101010101010101010101010101ffff0101010101010101010101010101010101010101010101010101010101010101010101010101010101010101010101010101010101010101010101010101010101010101010101010101010101010101010101010101ffff0101010101010101010101010101010101010101010101010101010101010101010101010101010101010101010101010101010101010101010101010101010101010101010101010101010101010101010101010101ffff0101010101010101010101010101010101010101010101010101010101010101010101010101010101010101010101010a14150101010101010101010101010101010101010101010101010101010101010101010101ffff0101010101010101010101010101010101010101010101010101010101010101010101010101010101010101010101010a14150101010101010101010101010101010101010101010101010101010101010101010101ffff0101010101010101010101010101010101010101010101010101010101010101010101010101010101010101010101010f14150101010101010101010101010101010101010101010101010101010101010101010101ffff0101010101010101010101010101010101010101010101010101010101010101010101010101010101010101010101010506130101010101010101010101010101010101010101010101010101010101010101010101ffff01010101010101010101010a000000000007080101010101010101010101010101010101010101010101010101010101020300000009010e000013010101010101010101010101010101010101010101010101010101ffff010101010101010101101114150101050607080101010101010101010101010101010101010101010101010101010101010a0009010e1703070818150101010101010101010101010101010101010101010101010101ffff0101010101010101010a0013010101010f07080101010101010101010101010101010101010101010101010101010101010e001301010e16070801010101010101010101010101010101010101010101010101010101ffff0101010101010101050607080101010101010101010101010101010101010101010101010101010101010101010101010105060901010203141501010101010101010101010101010101010101010101010101010101ffff01010101010101010f000401010101010101010101010101010101010101010101010101010101010101010101010101011011040101010e00130101010101010101010e000000000000000000000014150101010101ffff01010101010101010e000901010101010101010101010101010101010101010101010101010101010101010101010101010203120c010105060901010101010101010101010101010101010101010101010101010101ffff01010101010101010e00090101010101010101010101010101010101010101010101010101010101010101010101010101010a1415010110110401010101010101010101010101010101010101010101010101010101ffff01010101010101010e00090101010101010101010101010101010101010101010101010101010101010101010101010101010f001301010203120c010101010101010101010101010101010101010101010101010101ffff01020300000401010e00090101010101010101010101010101010101010101010101010101010101010101010101010101010506090101010e141501010101010101010e000000000000000000000014150101010101ffff02030901010a09010f00040101010101010101010101010101010101010101010101010101010101010101010101010101011011070801010f0013010101010101010101010101010101010101010101010101010101ffff050b0c0101050d081011120c0101010101010101010101010101010101010101010101010101010101010101010101010101010101010101010101010101010101010101010101010101010101010101010101010101ffff050b0c0101050d08010e0009010101010f070801010101010101010101010101010101010101010101010101010101010101010101010101010101010101010101010101010101010101010101010101010101010101ffff02030901010a040101010a000901010506070801010101010101010101010101010101010101010101010101010101010101010101010101010101010101010101010101010101010101010101010101010101010101ffff0102030000040101010101050600000000070801010101010101010101010101010101010101010101010101010101010101010101010101010101010101010101010101010101010101010101010101010101010101ffff0101010101010101010101010101010101010101010101010101010101010101010101010101010101010101010101010101010101010101010101010101010101010101010101010101010101010101010101010101ffff0101010101010101010101010101010101010101010101010101010101010101010101010101010101010101010101010101010101010101010101010101010101010101010101010101010101010101010101010101ffff0101010101010101010101010101010101010101010101010101010101010101010101010101010101010101010101010101010101010101010101010101010101010101010101010101010101010101010101010101ffff0101010101010101010101010101010101010101010101010101010101010101010101010101010101010101010101010101010101010101010101010101010101010101010101010101010101010101010101010101ffff0101010101010101010101010101010101010101010101010101010101010101010101010101010101010101010101010101010101010101010101010101010101010101010101010101010101010101010101010101ffff0c00000040092900aa000000000000001d00560000000000040000002701ffff0300000000000,491.

Степень шероховатости трубы:









Принимаем

Заключение
В расчётной записке произведён расчёт площади теплообмена, что является главным показателем. В результате был выбран выпарной аппарат по ГОСТ 11987 со следующими параметрами:
Поверхность теплообмена, мм d = 160
Длина труб l = 4000
Диаметр греющей камеры D = 1200
Диаметр сепаратора, мм D>1> = 2400
Диаметр циркуляционной камеры, мм D>2> = 700
Высота аппарата, м H = 13500
Масса аппарата, кг m = 12000
Литература
Романков П.Г., Курочкина М.И. Примеры и задачи по курсу
« Процессы и аппараты химической промышленности»: Учеб. Пособие для техникумов. – Л,: Химия, 1982. – 232 с.
Плановский А.Н., Фамм В.М., Каган С. З. Процессы и аппараты химической технологии. 5изд., пер. и доп. – М.: Химия, 1968. – 848 с.
Борисов Г.С., Брыков В.П., Дытнерский Ю.И. Основные процессы и аппараты химической технологии: Пособие по проектированию. 2изд., пер. и доп. – М.: Химия, 1991. – 496 с.
Баранов Д.А., Кутепов А.М. Процессы и аппараты: Учебник для студ. Учреждений средн. Проф. Образования. – М.: Издательский центр « Академия», 2004. – 304 с.
Ивчатов А.А., Малов В.И. Химия воды и микробиология: Учебное пособие для техникумов. – М.: ИНФРА – М, 2006. – 218 с.