Газовые сети и установки
Федеральное агентство по образованию
Федеральное государственное образовательное учреждение
среднего профессионального образования
«Курганский архитектурно-строительный колледж»
Специальность 270111
«Монтаж и эксплуатация
оборудования и систем
газоснабжения»
Методические указания
по выполнению курсового проекта по дисциплине
«Газовые сети и установки»
Разработал: преподаватель
Курган 2007
Рассмотрена и утверждена на Составлена в соответствии с
заседании цикловой комиссии государственными требованиями
спец. дисциплин. к минимуму содержания и
уровню подготовки специалистов по специальности 270111
Протокол №
от 2007г.
Заведующий кафедры
специальности 270111
Михаленко И.А.
Разработал:
Преподаватель спец. дисциплин
И.А. Михаленко
Рецензент:
Рецензент:
Введение
Методические указания выполнены на основании рабочей программы дисциплины «Газовые сети и оборудование» для специальности 270111 «Монтаж и эксплуатация газовых сетей и оборудования».
Курсовое проектирование является важнейшим этапом освоения дисциплины. При выполнении курсового проекта студент принимает и должным образом обосновывает наиболее рациональные решения по газоснабжению различных объектов и потребителей. В процессе проектирования студент закрепляет теоретические знания, полученные при изучении дисциплины, применяет их при решении конкретных технических задач, приобретает навыки пользования нормативной и справочной литературой.
Методические указания содержат структуру, содержание, последовательность разработки и оформления пояснительной записки и графических материалов, а так же некоторые справочные материалы, необходимые при работе над курсовым проектом.
Методические указания предназначены для студентов специальности 27011
«Монтаж и эксплуатация систем газоснабжения» дневного и заочного отделений.
Состав курсового проекта
Курсовой проект состоит из графической и расчетно-пояснительной части, которые оформляются в соответствии с требованиями действующих норм по оформлению технической документации. Пояснительная записка должна содержать следующие разделы:
1. задание на курсовое проектирование;
2. выбор и обоснование систем газоснабжение;
3. определение расходов газа потребителями низкого давления;
4. определение оптимального числа ГРП;
5. подбор оборудования ГРП;
6. гидравлический расчет сети низкого давления;
7. определение расходов газа жилым домом (котельной);
8. гидравлический расчет внутридомового газопровода.
7 Содержание специальной (расчетной) части дипломного проекта
7.1 Проектирование наружных сетей газоснабжения начинаем с определения площади застройки территории.
Площадь застройки определяется на основании исходных данных по планировке района.
При масштабе 1:4000 (1см = 40м)
Sфакт.= Sгеом.Ч 0,16 , (га) (7.1)
где Sгеом.- геометрическая площадь квартала, см2.
Определим численность населения района по формуле
N = ∑ Sфакт. Ч n, чел. (7.2)
где ∑ Sфакт – сумма фактических площадей кварталов, га
n – плотность населения района, чел./га по заданию.
7.1.1 Определение годовых расходов теплоты таб.1.1
Годовой расход теплоты микрорайоном (населенным пунктом) определяется в соответствии с нормами потребления газа бытовыми и коммунально-бытовыми потребителями.
Годовой расход теплоты в квартирах:
Qгод.кв.= Yкв.N(Z1квq1кв+ Z2квq2кв+ Z3квq3кв), МДж/год (7.3)
где N – количество жителей, чел;
Yкв- доля газифицированных квартир от их общего числа;
Z1кв- доля квартир с газовой плитой и централизованным горячим водоснабжением;
Z2кв - доля квартир с газовой плитой и водонагревателем (при отсутствии централизованного горячего водоснабжения);
Z3кв- доля квартир с газовой плитой и отсутствии централизованного горячего водоснабжения и газового водонагревателя;
q1кв, q2кв ,q3кв- соответственно нормы расхода теплоты на одного человека, МДж/год. (прилож.1)
Годовой расход теплоты на нужды предприятий торговли, предприятий бытового обслуживания населения (ателье, мастерскими, парикмахерскими, магазинами и др.) в зависимости от развитости инфраструктуры населенного пункта принимается равным 1-5% от годового расхода газа населением (по заданию).
Qпр.быт.об.= (0,01-0,05)ЧQгод.кв., МДж/год (7.4)
Годовой расход теплоты в учреждениях здравоохранения:
а) по потребности населения:
(7.5)
где N – количество жителей, чел;
-
норма коек на 1000 жителей
=
12-15;
-
норма расхода тепла на одну койку,
(прилож.1 СП 42-101-2003), МДж/год
-
доля охвата больниц газоснабжением.
б) по количеству мест:
=
х
,
МДж/год (7.6)
-
количество коек (из задания).
Годовой расход теплоты на предприятия общественного питания (ПОП):
а) по потребности населения:
Qпоп= 360NYпоп qпоп Zпоп , МДж/год (7.7)
где N – количество проживающих людей;
qпоп – норма расхода теплоты для одного обеда и завтрака (или ужина), (прилож.1);
Zпоп – доля людей, пользующихся услугами питания Zпоп= 0,25 – 0,3;
Yпоп – процент охвата газоснабжением ПОП.
б) по посадочным местам:
Qпоп= 300 х qпопх Пр, МДж/год
300 – количество рабочих дней в году.
Годовой расход теплоты для прачечных:
Qпр= (100N пYп Zп / 1000)qп , МДж/год (7.8)
где N п –число жителей;
qп – норма расхода теплоты на одну тонну стирки белья, (прилож.1) МДж/т
Yп - доля охвата прачечных газоснабжением;
Zп - доля охвата обслуживанием прачечными населения от общей численности (0,03 – 0,25);
100/1000 – норма накопления белья на 1000 жителей.
б) по производительности:
Qпр = Прх qп х 250, МДж/год (7.9)
где 250 – количество рабочих дней в году,
Пр – производительность (по заданию).
Годовой расход теплоты для бань по потребности населения:
Qб=52Zб Yб N (qб Zб+qб.в. Zб.в.), МДж/год (7.10)
52 – число помывок в год на одного человека;
Yб – доля охвата бань газоснабжением;
Zб – доля охвата обслуживанием банями населения от общей численности (0,1 – 0,3);
N – численность населения района, чел.
qб ,qб.в. –норма расхода теплоты на одну помывку с ваннами и без ванн соответственно.
Годовой расход теплоты для хлебозавода, хлебопекарни, кондитерской:
а)по потребляемому количеству хлеба
Qх.п
= (0,6…0,8)365ЧYх.пNх.п
/1000,
МДж/год (7.11)
где (0,6…0,8)365/1000 – объем суточной выпечки в тоннах, на 1000 жителей в год - 365 дней;
Nх.п – число жителей, чел;
Yх.п – доля охвата газоснабжением хлебозаводов и пекарней;
-
удельная норма расхода теплоты на
выпечку хлеба и хлебобулочных изделий,
МДж/т; (прилож.1)
б) по производительности предприятия:
Qх.п
= 365Пр Ч
,
МДж/год (7.12)
365 – количество рабочих дней в году;
Пр – производительность.
Годовой расход теплоты на мелкие отопительные установки (МОУ)
Мелкими отопительными установками считать пристроенные и встроенные котельные административных, общественных зданий.
=[24(1+К)(tв-tср.от/
tв-tро)+ZК1К(tв-tср.от/ tв-tро)](q0FпZ0)/Юк (7.13)
где К –коэффициент, учитывающий непостоянство расхода на отопление общественных зданий К= 0,23;
К1 - коэффициент, учитывающий непостоянство расхода на вентиляцию общественных зданий К= 0,4;
Z – число часов работы системы вентиляции в сутки Z = 16 час;
tср.от – средняя температура отопительного периода; °C
tро–расчетная температура холодной пятидневки при обеспеченности 0,92; °C
q0 – укрупненный показатель максимального часового расхода на отопление; (прилож.1)
Fп – жилая площадь отапливаемых зданий Fп= (9-12)N; м2
Z0- количество суток отопительного периода;
Юк- КПД мелких отопительных установок, равен 0,6…0,7.
Все перечисленные выше потребители относятся к потребителям низкого давления. Расчет газовых сетей для потребителей разных давлений производят раздельно.
Годовой расход теплоты отопительными котельными на отопление и вентилцию:
=
[24(1+К)(tв-tср.от/ tв-tро)+ZК1К(tв-tср.от/
tв-tрв)](q0Fn0)Ю0ЧQн, м3/год (7.14)
где
tв – температура соответственно внутреннего воздуха, для жилых зданий 18°C;
tср.от – средняя температура наружного воздуха за отопительный сезон;°C;
tро - расчетная наружная температура для проектирования отопления, °C
tрв - расчетная наружная температура для проектирования вентиляции, °C
n0 – продолжительность отопительного периода, сутки – 216
(согласно СНиП 23-01-99 Строительная климатология, для Кургана и Курганской области – n0=216, tср.от= -7,7°C, tро =-37°C);
К1К – коэффициенты, учитывающие расходы теплоты на отопление и вентиляцию общественных зданий (при отсутствии данных принимаются 0,25 и 0,4);
Z- среднее число часовой работы систем вентиляции общественных зданий в течении суток (при отсутствии принимается 16 часов);
F-жилая площадь отапливаемых зданий, м2;
Ю0 – КПД отопительных систем, для котельных 0,8…0,85; для отопительных печей 0,7…0,75.
Примечание: при известных часовых нагрузках расход теплоты отопительно–производственной котельной равен:
=
365Ч24(Qот+Qв+ Qгв + Qтех)/Юкот, м3/ч (7.15)
где Qот; Qв; Qгв ; Qтех – часовые нагрузки на отопление, вентиляцию, горячее водоснабжение, технологические нужды;
где Qот= q0Vн(tв-tн), Вт; Qв=qвVн(tв-tн), Вт; Qгв=375N, Вт; (7.16)
где 375 Вт/чел – количество тепла на горячее водоснабжение на одного человека в час;
Qтех – технологическая нагрузка, Вт;
N- число жителей;
q0 – удельная тепловая характеристика отопления, приложение;
qв - удельная тепловая характеристика вентиляции, приложение;
Vн – объем зданий по наружному объему, м3;
Юкот – коэффициент полезного действия котельного оборудования;
Годовой расход теплоты отопительными котельными на горячее водоснабжение:
Qг.в= 24qг.вN[n0+(350- n0)60- tх.л/60-tх.зв]Z/Юг.в, МДж/год (7.17)
где N-число жителей, пользующихся горячей водой;
Qг.в – укрупненный показатель на горячую воду (прилож.1);
tх.л –температура холодной воды летом;
tх.з –температура холодной воды зимой;
в–коэффициент, учитывающий снижение расхода горячей воды летом (0,8);
Юг.в – КПД, равен 0,8…0,85;
Z- продолжительность отопительного периода.
Отопительные котельные являются, как правило, потребителями среднего или высокого давления и при расчете газопроводов низкого давления не учитываются.
7.1.2 Определение годового и часового расхода газа
Годовой расход газа определяется для всех категорий потребителей.
Qу= Qгод/Qн (7.18)
где Qгод – годовой расход теплоты, МДж/год;
Qн – низшая теплота сгорания газа, МДж/м3.
Системы газоснабжения населенных пунктов рассчитывают на максимальный часовой расход газа, определяемый по формуле:
=
kmax· Qу, м3/ч ,,,,.
Таблица1.1
|
Категории потребителей |
Годовой расход теплоты Qгод,МДж/год |
Годовой расход газа Qу, м3/год |
Коэффициент часового максимума kmax |
Максимальный
часовой расход газа
|
|
Потребление газа в квартирах Прачечные Бани Хлебопекарни Мелкие отопительные установки Мелкие предприятия коммунально-бытового назначения (1-5% от Qкв) |
||||
|
Итого |
7.2 Выбор оптимального количества ГРП
Из общей длины городских газопроводов обычно 70-80% составляют газопроводы низкого давления, и только 20-30% - среднего высокого давления. Поэтому выбор количества ГРП, питающих сеть низкого давления, необходимо производить на основе технико-экономических расчетов, исходя из принципа минимальных капиталовложений и эксплутационных расходов.
Для ГРП, питающего сеть низкого давления, оптимальная производительность принимается в пределах 1500-2000м3/ч при оптимальном радиусе действия 0,5-1 км с учетом этих показателей количество ГРП определяется по формуле:
(7.20)
где
- суммарный часовой расход газа через
городские ГРП;
F –газифицируемая площадь, включая площадь проездов, м2
1 га = 1000м2
-
оптимальный радиус действия ГРП,
принимается в пределах 500-1000м.
Полученное количество ГРП, а также их фактические нагрузки и местоположения уточняют по условиям планировки города и расположения отдельных кварталов. Каждый ГРП должен размещаться как можно ближе к центру нагрузки газоснабжаемой территории. Как правило, данный центр не совпадает с геометрическим центром обслуживаемой ГРП территории. Это связано с различным потреблением газа отдельными зонами, входящими в радиус действия ГРП. Необходимо стремиться размещать ГРП ближе к зонам повышенной нагрузки.
7.2.1 Подбор оборудования ГРП
Подбор оборудования ГРП выполняется на основании данных о давлении газа в точке подключения ГРП и требуемом давлении на выходе, требуемой пропускной способности ГРП с учетом развития системы газоснабжения, условий работы газораспределительной системы (прилож.11, 12, 13). При выборе оборудования следует учесть, что нормальная работа регулятора обеспечивается при условии, когда его максимальная пропускная способность не более 80%, а минимальная не менее 10% от расчетной пропускной способности при заданных входном и выходном давлениях.
Как правило, наиболее выгодным решением является применение шкафных и блочных газорегуляторных пунктов и устройств заводского изготовления, что сокращает затраты на строительно-монтажные работы.
Подбор шкафных и блочных ГРП и ГРУ выполняется на основании тех же данных, что и оборудования по техническим характеристикам или паспортным данным.
Выбранное решение должно быть обосновано, технические характеристики (пропускная способность при рабочем давлении, максимальное входное давление, пределы регулирования) приводятся в пояснительной записке.
Требуемая пропускная способность ГРП:
(7.21)
где
-
суммарный максимальный часовой расход
газа населенным пунктом (табл.1.1);
1,2 – коэффициент увеличения пропускной способности для нормальной работы регулятора (20%).
При несовпадении табличных данных расчетным, пропускная способность ГРП уточняется:
- при другой плотности газа
QГРП = 0,855 Qт/√с
- при другом давлении газа на входе в ГРП
QГРП = Qт с1/с1т
где QГРП – фактическая пропускная способность ГРП;
Qт – табличное значение пропускной способности;
с1 и с1т – давление на входе в ГРП, проектируемое и табличное соответственно.
7.3 Выбор системы газоснабжения и трассировка газораспределительных систем
Системы газоснабжения представляют собой сложный комплекс сооружений. На выбор системы газоснабжения города оказывает влияние факторов, прежде всего: размер газифицируемой территории, особенности ее планировки, плотность населения, число и характер потребителей газа, наличие естественных и искусственных препятствий для прокладки газопроводов (рек, дамб, оврагов, железнодорожных путей, подземных сооружений и т. п.). При проектировании системы газоснабжения разрабатывают ряд вариантов и производят их технико-экономическое сравнение. В качестве окончательного варианта принимают наиболее экономичный вариант, по сравнен с другими.
При разработке курсового проекта, для системы газоснабжения района города или небольшого населенного пункта, рекомендуется принять одноступенчатую тупиковую или кольцевую систему газоснабжения.
Все газопроводы, входящие в газораспределительную сеть, условно разбиваются на транзитные и распределительные. Транзитные газопроводы предназначены для передачи газа из одного района населенного пункта в другой. Распределительные газопроводы служат для подачи газа непосредственно потребителям.
К внутреннему газооборудованию жилых домов и промышленных предприятий относятся внутридомовые и промышленные газопроводы, газовые приборы и установки для сжигания газа.
Газораспределительная система выбирается с учетом источников, объема и назначения газоснабжения, размера и планировки населенного пункта.
На основании генерального плана выполняется схема прокладки газопроводов, на схеме указываются проектные газопроводы, их диаметр, ответвления от газопроводов, а также отмечаются устанавливаемые отключающие устройства. При выборе места заложения газопровода учитываются характер проезда и застройки, число вводов, конструкция дорожного покрытия, наличие путей электрифицированного транспорта и подземных сооружений, удобства эксплуатации газопровода и т.д.
По результатам выполненных расчетов на расчетной схеме указываются диаметры, длины, расчетные расходы и потери давления по участкам газопроводов.
7.4 Гидравлический расчет газопроводов низкого давления
При проектировании трубопроводов для транспорта газа выбор размеров труб осуществляется на основании их гидравлического расчета, имеющего целью определить внутренний диаметр труб для пропуска необходимого количества газа при допустимых потерях давления.
7.4.1 Расчет тупиковых газопроводов низкого давления

Рис.7.1. Расчетная схема тупиковых газопроводов низкого давления
Расчетная схема выполняется без масштаба. Распределительная сеть разбивается на участки. Границами участков являются точки, в которых резко меняется расход газа (присоединение ответвлений, точки подключения крупных потребителей), а также точки разделяющие участки большой протяженности (≥ 400 м) на более короткие.
Расчетный расход газа для распределительной тупиковой сети определяется по формуле:
Qр= 0,55Qпут+Qтр (7.22)
Путевой расход газа на участках сети определяется по формуле
Qпут = QудЧlуч, м3/ч, (7.23)
где lуч – длина каждого участка.
Удельный
расход газа Qуд=
/Уl,
м3/ч м (7.24)
где
-
максимальный часовой расход газа
квартирами, мелкими отопительными
установками и мелкими коммунальными
предприятиями.
Уl- сумма длин участков всей распределительной сети, м.
Транзитный расход газа определяется как сумма путевых расходов последующих участков и транзитных расходов крупных предприятий коммунально-бытового назначения, котельных, промышленных предприятий потребляющих газ низкого давления. При определении расходов по участкам газопровода он суммируется с путевым. Результаты определения расчетных расходов по участкам сети сводятся в таблицу 1.2.
Таблица 1.2
|
№ участка |
Удельный расход Qуд, м3/ч м |
Путевой расход Qпут, м3/ч |
0,55 Qпут |
Транзитный расход Qтр, м3/ч |
Расчетный расход Qр, м3/ч |
Примечание: определение путевых расходов по участкам сети целесообразнее начинать с самого удаленного участка.
Для дворовых сетей таблица определения расходов аналогична таблице для расчета внутридомового газопровода.
По расчетному расходу и удельным потерям давления с помощью таблиц для гидравлического расчета или номограммы (прилож.21) определяется диаметр газопровода, уточняются удельные потери давления.
Расчетные потери давления газа от ГРП до наиболее удаленного прибора, ∆рр, принимают не более: суммарные – 1800 Па;
на уличные и внутриквартальные сети – 1200 Па;
на дворовые и внутридомовые – 600 Па.
Удельные потери давления для самой протяженной магистрали определяются по формуле:
∆руд=
,
Па/м (7.25)
где ∆руд – удельные потери давления, Па/м.
-
расчетные потери давления газа в уличных
и внутриквартальных газопроводах;
-
сумма длин участков самой протяженной
магистрали распределительной сети;
1,1 – коэффициент, учитывающий потери давления газа в местных сопротивлениях (10% от потерь давления на трение).
Потери давления газа на участке определяется по формуле:
∆р= ∆руд·lуч, Па (7.26)
Диаметры участков газопровода являются оптимальными в том случае, если выполняется условие:
д= (∆рр-УрЯ)/ ∆рр≤0,1 (7.27)
где УрЯ – суммарные потери давления от ГРП до самой удаленной точки распределительной газовой сети;
∆рр – расчетные потери давления.
При несоблюдении условия диаметры газопровода корректируются.
При расчете ответвлений из расчетного перепада давлений, ∆рр, вычитают сумму потерь давления на общих участках и подбирают диаметры труб для остальных участков на полученную при этом разность.
Результаты расчетов заносятся в таблицу 1.3.
Таблица 1.3
|
№ участка |
Длина участка, м |
Расчетная длина участка, 1,1lуч, м |
Расчетный расход газа Qр, м3/ч |
Диаметр газопровода (по номограмме), мм |
Удельные потери давления руд, Па/м |
Потери давления на участке ∆р, Па |
д, % |
|
Главное направление |
|||||||
|
1-2 |
|||||||
|
2-3 |
|||||||
|
и т.д. |
|||||||
|
Итого |
|||||||
|
Ответвления |
|||||||
|
2-6 |
7.4.2 Расчет кольцевых газопроводов

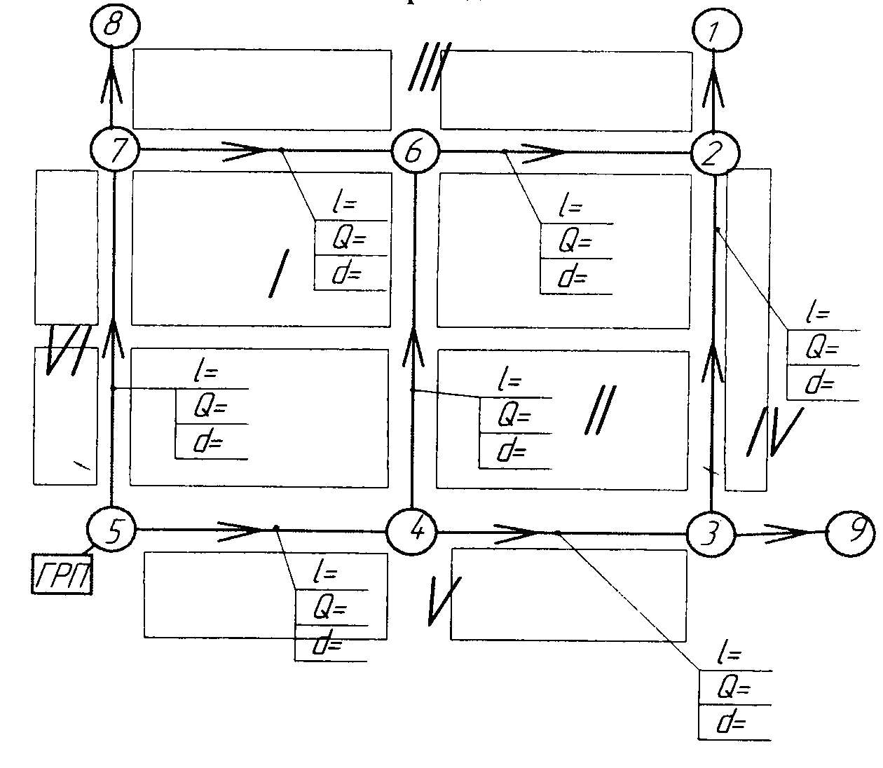
Рис 7.2. Расчетная схема кольцевого газопровода
Нумерацию участков целесообразно выполнить от концевых точек против движения газа вдоль выбранных главных направлений.
Расход газа, приходящий на 1 га застройки
,
м3/ч∙га (7.28)
-
удельный расход газа;
-
сумма максимальных часовых расходов
газа квартирами, мелкими отопительными
установками и мелкими коммунальными
предприятиями, (без учета расхода газа
крупными потребителями), м3/ч;
-
площадь застройки района, га;
Удельный путевой расход газа для каждого контура сети определяется по формуле :
qi = Qi/Уli, м3/ч∙м (7.29)
где Qi- расход газа квартирами, мелкими отопительными установками и мелкими коммунальными предприятиями, газоснабжаемыми от данного контура, м3/ч;
Уli – суммарная длина питающего контура сети, м
Результаты расчета сводятся в таблицу 1.4.
Таблица 1.4
|
Номер контура |
Площадь газоснабжаемой территории, S, га |
Расход газа, qуд, приходящийся на 1га застройки |
Расход газа Qi, м3/ч |
Длина питающего контура, li, м |
qi, удельный путевой рас-ход, м3/ч·м |
|
I |
(l4-5+l5-7+l7-6+l4-6) |
||||
|
II |
(l4-3+l6-2+l3-2+l4-6) |
||||
|
III |
(l7-6+l6-2) |
||||
|
IV |
(l3-2+l3-9) |
||||
|
V |
(l3-4+l4-5) |
||||
|
VI |
(l5-7) |
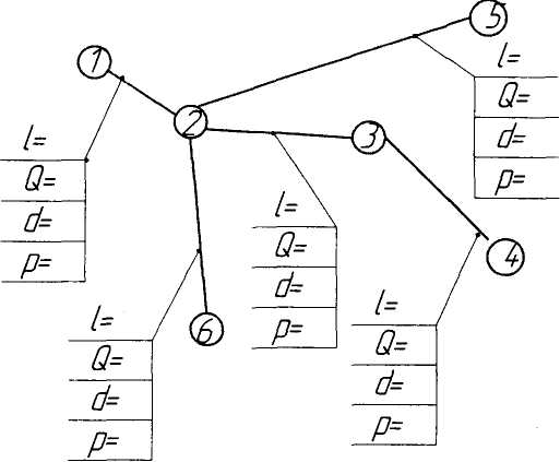
Предварительное распределение потоков в сети выполняется таким образом, чтобы потоки газа двигались к потребителям кратчайшим путем, а точки их встречи располагались противоположно точкам питания. Головные участки, примыкающие к точкам питания, должны быть взаимозаменяемыми, а их расчетные расходы должны пролегать в зонах наибольшего потребления газа. Пример распределения потоков газа см. рис.2.
Расчетные расходы по участкам сети определяются по формуле:
Qр=0,55Qпут + Qтр, м3/ч (7.30)
где Qпут – путевой расход газа на участке, м3/ч
Qпут = lучЧ qiуч, м3/ч (7.31)
Qтр – транзитный расход газа на участке, м3/ч, определяется как сумма путевых расходов всех последующих участков и расхода газа крупным потребителем, подключенным к этом участку.
Расчеты сводятся в таблицу 1.5.
Таблица 1.5
|
Участок |
Длина участка, м |
Удельный расход газа, м3/ч∙м |
Расход газа, м3/ч |
|||
|
Qпут |
0,55 Qпут |
Qтр |
Qр |
|||
|
1-2 |
l1-2 |
q(III) |
l1-2Чqi(III) |
- |
0,55Qпут |
|
|
2-3 |
l2-3 |
qi(II)+qi(IV) |
Qпут(1-2) |
|||
|
9-3 |
l3-9 |
qi(IV) |
l9-3Чqi(IV) |
- |
||
|
3-4 |
l3-4 |
qi(II)+qi(V) |
l3-4Чqi(II)+qi(V) |
Qпут(1-2)+ Qпут(2-3)+ Qпут(3-9) |
||
|
4-5 |
l4-5 |
qi(I)+qi(V) |
||||
|
4-6 |
L4-6 |
qi(I)+qi(II) |
||||
|
2-6 |
l2-6 |
qi(III)+qi(I) |
||||
|
6-7 |
l6-7 |
qi(I)+qi(III) |
||||
|
8-7 |
l7-8 |
qi(III) |
||||
|
7-5 |
l7-5 |
qi(I)+qi(VI) |
Проверка: расход газа выходящего из ГРП
Qгрп = Qп(5-7)+ Qтр(5-7)+ Qп(5-4)+ Qтр(5-4) (7.32)
Qгрп
=

Предварительные расчетные расходы по участкам сети определены верно, если отклонение от максимального часового расхода на район не превышает 10%.
(7.33)
Расчетные потери давления газа от ГРП до наиболее удаленного прибора, ∆pp, принимают не более: суммарные -1800Па
на уличные и внутриквартальные сети -1200Па
на дворовые и внутридомовые – 600Па.
Удельные потери давления основных направлений определяются по формуле:
,
Па/м (7.34)
где
-
расчетные потери давления газа в уличных
и внутриквартальных газопроводах;
1,1 – коэффициент, учитывающий потери давления газа в местных сопротивлениях (10% от потерь давления на трение);
-
сумма длин участков по основным
направлениям.
,
,
.
Если один участок входит в разные направления, для определения его диаметра принимается меньшее из значений удельных потерь давления.
По расчетному расходу и удельным потерям давления с помощью таблиц для гидравлического расчета (прилож.15,16) или номограмм (прилож.17) определяется диаметр газопровода, уточняются удельные потери давления.
Внутренний диаметр газопровода принимается из стандартного ряда внутренних диаметров трубопроводов: ближайший больший — для стальных газопроводов и ближайший меньший — для полиэтиленовых.
Потери давления газа на участке определяются по формуле :
∆p=∆pуд· ·1,1 lуч, Па (7.35)
Результаты гидравлического расчета сводятся в таблицу 1.6.
Таблица 1.6
|
Ко- ль- цо № |
Участки кольца |
Предварительное распределение |
Попра- вочный расход ∆Q, м3/ч |
Окончательное распределение потоков |
|||||||||
|
Но- мер |
Номер сосед- него кольца |
Дли- на уча- стка |
Dнх S |
Qр м3/ч |
∆p/l, Па/м |
∆p, Па |
∆p/Qр |
∆Qуч, м3/ч |
Qр м3/ч |
∆p/l, Па/м |
∆p, Па |
||
|
I |
5-4 |
- |
l4-5 |
-Qp(5-4) |
|||||||||
|
5-7 |
- |
l7-5 |
Qp(5-7) |
||||||||||
|
7-6 |
II |
l6-7 |
Qp(7-6) |
||||||||||
|
4-6 |
- |
l4-6 |
-Qp(4-6) |
||||||||||
|
Q = У∆p Ч100% У|∆p| |
У∆p У|∆p| |
У |
|||||||||||
|
II |
4-3 |
- |
l3-4 |
-Qp(4-3) |
|||||||||
|
3-2 |
- |
l2-3 |
-Qp(3-2) |
||||||||||
|
4-6 |
I |
l4-6 |
-Qp(4-6) |
||||||||||
|
6-2 |
- |
l2-6 |
-Qp(6-2) |
||||||||||
|
Q = У∆p Ч100% У|∆p| |
У∆p У|∆p| |
Примечание: расходы, направленные по часовой стрелке считать положительными, против часовой стрелки - отрицательными.
Гидравлический расчет кольцевой сети можно считать законченным в случае, когда ошибка Q≤10%, при больших значениях ошибки выполняется увязка кольцевой сети.
Поправочный расход определяется по формуле:
∆Q═∆Qk-∆Qc.k. (7.36)
где ∆Qk - круговой поправочный расход корректируемого кольца;
∆Qc.k- круговой поправочный расход соседнего кольца;
,
-
поправка первого порядка, м3/ч

где
-
сумма потерь давления в участках кольца,
Па;
-
сумма
для данного кольца;
-
поправка второго порядка, м3/ч.

где
-
смежного с соседним кольцом участка
-
поправка первого порядка соседнего
кольца,м3/ч
Корректированный расход по участку определяется по формуле:
Qуч.=Qр+∆Q
В случае превышения ошибкой Q допустимых значений, увязка повторяется в той же последовательности.
7.6 Проектирование внутренней системы газоснабжения
В зависимости от функционального назначения объекта, в соответствии с заданием, принимается газовое оборудование, приводятся его технические характеристики. Размещение оборудования в помещениях выполняется с учетом требований нормативных документов.
7.6.1 Гидравлический расчет внутреннего газопровода
На основании принятых решений выполняется расчетная схема внутреннего газопровода. Длины участков определяются по плану здания.
Расчетный расход газа для дворовых и внутренних газопроводов определяется одним из перечисленных методов:
I. как сумма номинальных расходов газа установленных приборов с учетом коэффициента одновременности их действия по формуле:
,
м3/ч
где
-
коэффициент одновременности работы
однотипных приборов или групп приборов
(прилож.9);
-
номинальный расход газа установленным
прибором или группой приборов, определяется
по техническим характеристикам приборов,
м3/ч (прилож.2, 3, 4)
-
количество установленных приборов или
групп приборов, шт.
II. как доля годового потребления газа населением квартир с учетом неравномерности потребления газа в год по формуле:
,
м3/ч
где
-
максимальный коэффициент часовой
неравномерности потребления газа за
год, (прилож.8)
-
годовое потребление газа жильцами
квартиры, м3/ч
-
количество однотипных квартир.

Рис.3 Расчетная схема внутридомового газопровода
Максимальный часовой расход газа определяется одним из двух методов расчета расхода.
Выбор метода определения расчетных расходов зависит от исходных данных. Следует учесть, что расчетный расход газа, определенный по коэффициенту одновременности действия приборов, может быть несколько завышен ввиду несоответствия мощности установленных приборов потребности населения. Определение расходов начинается с диктующей (наиболее далеко и высоко расположенной) точки газопотребления. Результаты определения расчетных расходов по участкам сводятся в таблицу 1.7.
Таблица 1.7
|
№ участка |
Количество установленных приборов (групп приборов) |
Коэффициент одновременности работы, k0 |
Номинальный расход, м3/ч |
Расчетный расход Qр, м3/ч |
|
1-2 |
1 |
|||
|
2-3 |
2 |
|||
|
3-4 |
4 |
|||
|
И т.д. |
Номинальный расход газа для групп приборов определяется как сумма номинальных расходов каждым прибором прилож.4 или
Таблица 1.8
|
№ участка |
Коэффициент часового максимума, kч max |
Годовое потребление газа, м3/г |
Количество однотипных квартир |
Расчетный расход, м3/ч |
||||||
|
1 ком. |
2 ком. |
3 ком. |
1 ком. |
2 ком. |
3 ком. |
1 ком. |
2 ком. |
3 ком. |
||
|
1-2 |
||||||||||
|
И т.д. |
Диаметр участков газопровода определяется по номограмме (прилож. 20) или таблицам для гидравлического расчета газопроводов низкого давления, аналогично диаметрам газопроводов распределительной сети. Диаметр подводки к газовым приборам принимается не менее диаметра присоединительного патрубка (тех. характеристики приборов).
Расчетная длина участков газопровода определяется по формуле:
1═lг+УжЧlэкв., м
где lг – геометрическая длина участка газопровода, определяется по плану, разрезу здания и аксонометрической схеме газопровода;
Уж - сумма коэффициентов местных сопротивлений (прилож.18);
lэкв- эквивалентная длина прямолинейного участка, м, принимается по таблицам для гидравлического расчета.
Потери давления на участке газопровода определяются по формуле:
,
Па
где ∆р/l- удельные потери давления на участке, для принятого диаметра газопровода и расчетного расхода газа.
При разных высотных отметках начала и конца участка газопровода необходимо учитывать геометрическое давление:
Ргст= ±gH(св-сг), Па
где св – плотность воздуха, св= 1,29 кг/м3;
сг- плотность газа, кг/м3;
g- ускорение свободного падения, g=9,81 м/с2;
Н –разность высотных отметок начала и конца участка, м.
При расчете газопроводов природного газа гидростатическое давление на стояках учитывается со знаком «-».
Потери давления в газовых приборах принимаются согласно паспортным данным.
Таблица 1.9
|
№ участ- ка 1 |
Qр, м3/ч 2 |
d, мм 3 |
1г м 4 |
Уж 5 |
1экв Уж=1 6 |
1экв, м 7 |
1, м 8 |
∆с/1 Па/м 9 |
∆с, Па 10 |
Н, м 11 |
Сгст, Па 12 |
∆с+сгст, Па 13 |
|
16-15 |
||||||||||||
|
15-14 |
||||||||||||
|
Всего |
||||||||||||
|
Потери в газовом приборе |
50 |
|||||||||||
|
Итого |
2 – из таблицы 1.7 или 1.8; 8 – 4+7;
3 – по номограмме; 9 – по приложению 18;
4 – по аксонометрической схеме; 10 - 8Ч9;
5 – по приложению 18; 11 – по аксонометрической схеме;
6 – по приложению 18; 12 -10+12 (с учетом знака)
7 - 5Ч6;
9.2 Оформление графической части
9.2.1 Лист 1. Газоснабжение района города (населенного пункта)
Выполняется на формате А1 и включает в себя:
- генеральный план микрорайона, города или населенного пункта (М 1:1000; 1:500) с нанесением проектируемых сетей газоснабжения. На генеральном плане должны быть указаны абонентские ответвления газопроводов, запорная арматура, диаметры участков газопроводов;
- план, разрез и аксонометрическую схему газорегуляторного пункта или бесмаштабную функциональную схему ГРПШ;
- спецификацию оборудования газораспределительной системы;
- характерные узлы газораспределительной системы (перехода газопровода через препятствия, пересечения газопровода с инженерными сетями, устройства колодцев, установки арматуры и т.д.).
9.2.2. Лист 2. Газоснабжение жилого дома
Выполняется на формате А1 и включает в себя:
-фасад жилого дома (М 1:100; М 1:50) с проектируемым газопроводом. Фасад выбирается таким образом, чтобы был проработан узел подключения, узлы ввода газопровода в здание;
- план здания на отметке ввода газопроводов с указанием газовых приборов, газовых стояков, внутренней разводки, вентиляционные каналы, дымоходы;
- аксонометрическую схему внутреннего газопровода (М 1:100; М 1:50). В случае однотипных стояков допускается выполнение аксонометрической схемы без стояков и аксонометрической схемы одного типового стояка. На аксонометрической схеме должны быть указаны: запорная арматура, диаметры газопроводов;
- узлы подключения газовых приборов, запорной арматуры, футляров и т.д.;
- спецификация на материал и оборудования внутреннего газопровода.
При выполнении графической части заполнение листа должно быть не менее 80%.
Список литературы
СНиП 42-01-2002 Газораспределительные системы.
СП 42-101-2003. Общие положения по проектированию и строительству газораспределительных систем из металлических полиэтиленовых труб. - М. Госстрой, 2004
СП 42-102-2004. Проектирование и строительство газопроводов из металлических труб. - М.: Госстрой, 2004
СП 42 — 103 - 2003 - Проектирование и строительство газопроводов из полиэтиленовых труб и реконструкция изношенных газопроводов - М.: Полимергаз 2004
ПБ 12-529-03 Правила безопасности систем газораспределения и газопотребления.
Ионин А.А. Газоснабжение. -М: Стройиздат, 1989. -439 с.
Жила В.А. Газовые сети и установки. Учеб. Пособие для ср. проф. Образования.-М.:Издательский центр «Академия», 2003.-272 с.
Стаскевич Н.Л., Северинец Г.Н., Вигдорчик Д.Я. Справочник по газоснабжению и использованию газа. -Л: Недра, 1990. -762 с.
СНиП 31 - 03 - 2001 - Производственные здания
Приложение 1.
Нормы расхода газа на коммунально-бытовые нужды (извлечение из ГОСТ Р 51617)
|
Потребители газа |
Показатель потребления газа |
Нормы расхода теплоты, МДж (тыс.ккал) |
|
1. Население |
||
|
При наличии в квартире газовой плиты и централизованного горячего водоснабжения при газоснабжении: Природным газом СУГ |
на 1 чел. в год на 1 чел. в год |
4100(970) 3850(920) |
|
При наличии в квартире газовой плиты и водонагревателя (при отсутствии централизованного горячего водоснабжения) при газоснабжении: Природным газом СУГ |
на 1 чел. в год на 1 чел. в год |
10000(2400) 9400 (2250) |
|
При наличии в квартире газовой плиты и отсутствии централизованного горячего водоснабжения и газового водонагревателя при газоснабжении: Природным газом СУГ |
на 1 чел. в год на 1 чел. в год |
6000 (1430) 5800 (1380) |
|
2. Предприятия бытового обслуживания населения |
||
|
На стирку белья в механизированных прачечных На стирку белья в механизированных прачечных с сушильными шкафами На стирку белья в механизированных прачечных, включая сушку и глажение |
На 1 тонну сухого белья То же » |
8800 (2100) 12600 (3000) 18800(4500) |
|
Дезкамеры: На дезинфекцию белья и одежды в паровых камерых На дезинфекцию белья и одежды в горячевоздушных камерах |
» » |
2240(535) 1260 (300) |
|
Бани: Мытье без ванн Мытье в ваннах |
На 1 помывку То же |
40 (9,5) 50 (12) |
|
3. Предприятия общественного питания (столовые, рестораны, кафе) |
||
|
На приготовление обедов (вне зависимости от пропускной способности предприятия) На приготовление завтраков или ужинов |
На 1 обед На 1 завтрак (ужин) |
4,2 (1) 2,1 (0,5) |
|
4. Учреждение здравоохранение |
||
|
Больницы, родильные дома: На приготовление пищи На приготовление горячей воды для хозяйственно-бытовых нужд и лечебных процедур (без стрики белья) |
на 1 койку в год то же |
3200 (760) 9200 (2200) |
|
5. Предприятия по производству хлеба и кондитерских изделий |
||
|
На выпечку хлеба формового На выпечку хлеба подового, батонов, булок, сдобы На выпечку кондитерских изделий |
На 1 т изделий То же » |
2500 (600) 5450 (1300) 7750 (1850) |
|
Примечания: 1.Нормы расхода теплоты на жилые дома, приведенные в таблице, учитывают расход теплоты на стирку белья в домашних условиях. 2.При применении газа для лабораторных нужд школ, вузов, техникумов и других специальных учебных заведений норму расхода теплоты следует принимать в размере 50 МДж (12 тыс. ккал) в год на одного учащегося. |
Приложение 2. Технические характеристики газовых водонагревателей
|
Характеристика |
Марка водонагревателя |
Аппарат отопительный |
||||||
|
ВПГ-18- 1-3 |
ВПГ-20- 1-3 |
ВПГ-23 |
ВПГ-25- 1-3-В |
АГВ-80 (120) |
АОГВ-10 |
АОГВ-15 |
АОГ В-20 |
|
|
1 |
2 |
3 |
4 |
5 |
6 |
7 |
8 |
9 |
|
Тепловая мощность основной горелки, кВт |
20,93 |
23,26 |
23,26 |
29,075 |
6,98 (13,96) |
11,63 |
17,45 |
23,26 |
|
Номинальный расход газа, м3/ч: природного сжиженного |
2,34-1,81 0,87 - 0,67 |
2,58-2,12 0,96-0,78 |
2,94 0,87 |
не более 2,94 1,19 |
||||
|
Коэффициент полезного действия, %. не менее |
82 |
82 |
83 |
83 |
81 |
80 |
80 |
82 |
|
Расход воды при нагреве на 45°С, л/мин, не менее |
5,4 |
6,1 |
7,0 |
7,6 |
||||
|
Давление воды перед аппаратом, МПа минимальное номинальное максимальное |
0,049 0,150 0,590 |
0,049 0,150 0,590 |
0,060 0,150 0,600 |
0,049 0,150 0,590 |
||||
|
Разряжение в дымоходе для нормальной работы, Па |
2 |
2 |
2 |
2 |
2 |
3 |
3 |
3 |
|
Габаритные размеры аппарата, мм высота ширина глубина |
780 390 295 |
860 390 315 |
800 375 225 |
780 420 315 |
D 410 1540 |
D 410 970 |
D 420 980 |
|
|
Масса аппарата, кг, не более |
20 |
22 |
15,5 |
25 |
85 |
120 |
150 |
|
|
Диаметр подводящего газопровода, не менее, мм |
25 |
25 |
25 |
25 |
32 |
20 |
20 |
|
|
Площадь отапливаемого помещения |
75 |
100 |
150 |
Приложение 3.Расход газа для некоторых приборов и оборудования при Qн≈ 36000, кДж/м3
|
Прибор |
Расход теплоты ,ккал/ч |
Расход газа, м3/ч |
|
Плита двухгорелочная без духового шкафа То же с духовым шкафом Плита трехгорелочная с духовым шкафом Плита четырехгорелочная с духовым шкафом Кипятильник Водонагреватель проточный Водонагреватель емкостный 80л 120л Камин газовый |
3200 6000 7760 9600 16480 18000-25000 6000 12000 14400 |
0,4 0,75 0,95 1,25 2,0 2,3-3,2 0,75 1,5 0,15 |
Приложение 4.Характеристики унифицированных газовых стационарных бытовых плит (по ГОСТ 107998-85*)
|
Характеристика |
Норма для плит |
|
|
напольных |
настольных |
|
|
Число горелок, не менее |
2 |
2 |
|
Число горелок стола нормальной тепловой мощности для плит, не менее: 2-горелочных 3-горелочных 4-горелочных |
1 2 2 |
1 2 2 |
|
Тепловая мощность горелок стола, кВт: пониженная нормальная повышенная |
0,7±0,06 1,9±0,12 2,8±0,12 |
|
|
Тепловая мощность основной горелки духового шкафа на единицу объема, не более |
0,09 |
- |
|
Тепловая мощность жарочной горелки духового шкафа, кВт. не более |
3,5 |
- |
|
КПД горелок стола при номинальном режиме, %, не менее |
56 |
57 |
|
Индекс оксида углерода, % об., не более |
0,010 |
|
|
Полезный объем духового шкафа, дм3, не менее: 2- и 3-горелочных плит 4-горелочных и более |
35 45 |
- - |
|
Размеры входного проема духового шкафа, мм, не менее: высота ширина |
260 330 |
- - |
|
Размеры плит без учета выступающих элементов обслуживания и декоративных элементов, мм: высота Н (±5) глубина L: отдельно стоящей (±5) встраиваемой (-10) ширина В: отдельно стоящей (±5) встраиваемой (-10) расстояние b (±5): отдельно стоящей встраиваемой |
850 450; 600 600 500; 520; 800 600
15 40 |
110; 125 300; 315 - 500 - - - |
|
Условный проход входного штуцера газопровода, мм |
15 |
|
|
Массы плиты шириной до 600 мм включительно, кг, не более: 2-горелочной 3-горелочной 4-горелочной |
40 50 60 |
8 10 15 |
|
Масса плиты 3-горелочной шириной до 800 мм, кг, не более |
60 |
15 |
|
Концентрация оксида азота, мг/м3, не более |
200 |
Приложение 5. Годовые расходы теплоты на приготовление кормов и подогрев воды для животных
|
Назначение расходуемого газа |
Показатель |
Нормы расхода теплоты на нужды одного животного, МДж (тыс. ккал) |
|
Приготовление кормов для животных с учетом запаривания грубыкормов и корне-, клубне плодов подогрев воды для питья и санитарных целей Подогрев воды для питья и санитарных целей |
Лошадь Корова Свинья На одно животное |
1700(400) 4200(1000) 8400 (2000) 420(100) |
Приложение 6. Коэффициент часового максимума расхода, Кmах
(Таблица 2 СП 42-101-2003)
|
Число жителей, тыс. чел |
h Кmах |
Число жителей, тыс. чел |
h Кmах |
|
для населения |
|||
|
1 |
1/1800 |
40 |
1/2500 |
|
2 |
1/2000 |
50 |
1/2600 |
|
3 |
1/2050 |
100 |
1/2800 |
|
5 |
1/2100 |
300 |
1/3000 |
|
10 |
1/2200 |
500 |
1/3300 |
|
20 |
1/2300 |
750 |
1/3500 |
|
30 |
1/2400 |
1000 |
1/3700 |
|
2000 и более |
1/4700 |
||
|
для предприятий коммунально-бытового назначения |
|||
|
Бани Прачечные Общественного питания По производству хлеба и кондитерских изделий |
1/2700 |
||
|
1/2900 |
|||
|
1/2000 |
|||
|
1/6000 |
Приложение 7.Укрупненный показатель часового расхода теплоты на отопление 1 м2 жилой площади
|
Расчетная температура, °С |
0 |
-10 |
-20 |
-30 |
-40 |
|
Потребление тепла, кДж/ч м2 |
335 |
461 |
544 |
628 |
670 |
Приложение 8. Укрупненный показатель среднечасового расхода теплоты на горячее водоснабжение на 1 человека
|
Нормы расхода воды на горячее водоснабжение, л/чел сут |
80 |
90 |
100 |
110 |
120 |
130 |
|
Норма потребления теплоты, кДж/чел |
1050 |
1150 |
1260 |
1360 |
1470 |
1570 |
Приложение 9. Значение коэффициента одновременности Ksim (Таблица 5 СП 42-101-2003)
|
Число приборов |
Коэффициент одновременности Ksim в зависимости от установки в жилых домах газового оборудования |
|||
|
Плита 4-конфорочная |
Плита 2-конфорочная |
Плита 4-конфорочная и газовый проточный водонагреватель |
Плита 2-конфорочная и газовый проточный водонагреватель |
|
|
1 |
1 |
1 |
0,700 |
0,750 |
|
2 |
0,650 |
0,840 |
0,560 |
0,640 |
|
3 |
0,450 |
0,730 |
0,480 |
0,520 |
|
4 |
0,350 |
0,590 |
0,430 |
0,390 |
|
5 |
0,290 |
0,480 |
0,400 |
0,375 |
|
6 |
0,280 |
0,410 |
0,392 |
0,360 |
|
7 |
0.280 |
0,360 |
0,370 |
0,345 |
|
8 |
0,265 |
0,320 |
0,360 |
0,335 |
|
9 |
0,258 |
0,289 |
0,345 |
0,320 |
|
10 |
0,254 |
0,263 |
0,340 |
0,315 |
|
15 |
0,240 |
0,242 |
0,300 |
0,275 |
|
20 |
0,235 |
0,230 |
0,280 |
0,260 |
|
30 |
0,231 |
0,218 |
0,250 |
0,235 |
|
40 |
0.227 |
0,213 |
0,230 |
0,205 |
|
50 |
0,223 |
0,210 |
0,215 |
0,193 |
|
60 |
0,220 |
0,207 |
0,203 |
0,186 |
|
70 |
0,217 |
0,205 |
0,195 |
0,180 |
|
80 |
0,214 |
0,204 |
0,192 |
0,175 |
|
90 |
0,212 |
0,203 |
0,187 |
0,171 |
|
100 |
0,210 |
0,202 |
0,185 |
0,163 |
|
400 |
0,180 |
0,170 |
0,150 |
0,135 |
|
Примечания: 1. Для квартир, в которых устанавливается несколько однотипных газовых приборов, коэффициент одновременности следует принимать как для такого же числа квартир с этими газовыми приборами. 2. Значение коэффициента одновременности для емкостных водонагревателей, отопительных котлов или отопительных печей рекомендуется принимать равным 0,85 независимо от количества квартир. |
Приложение 10. Расчетные значения коэффициента неравномерности потребления газа за год в зависимости от характера его использования
|
Число квартир |
Населенность квартиры, чел. |
||||
|
1 и 2 |
3 |
4 |
5 |
6 и более |
|
|
Для приготовления пищи |
|||||
|
1 |
37,144 |
30,834 |
24,255 |
21,556 |
18,407 |
|
2 |
21,915 |
18,349 |
14,145 |
12,432 |
11,613 |
|
3 |
17,820 |
14,738 |
12,222 |
11,250 |
10,339 |
|
4 |
16,430 |
13,364 |
11,487 |
10,638 |
9,618 |
|
5 |
15,345 |
12,388 |
10,953 |
10,102 |
9,172 |
|
6 |
14,845 |
11,923 |
10,508 |
9,770 |
8,875 |
|
7 |
14,200 |
11,328 |
10,085 |
9,388 |
8,556 |
|
8 |
13,625 |
11,005 |
9,800 |
9,056 |
8,153 |
|
9 |
13,220 |
10,641 |
9,545 |
8,750 |
8,004 |
|
10 |
12,915 |
10,382 |
9,257 |
8,444 |
7,813 |
|
15 |
11,695 |
9,533 |
8,385 |
7,781 |
7,112 |
|
20 |
11,035 |
9,014 |
7,863 |
7,270 |
6,667 |
|
30 |
10,150 |
8,265 |
7,075 |
6,556 |
6,093 |
|
40 |
9,380 |
7,681 |
6,599 |
6,071 |
5,690 |
|
50 |
8,945 |
7,327 |
6,319 |
5,842 |
5,435 |
|
60 |
8,535 |
6,993 |
5,995 |
5,587 |
5,223 |
|
70 |
8,110 |
6,636 |
5,761 |
5,382 |
5,053 |
|
80 |
7,830 |
6,419 |
5,599 |
5,255 |
4,947 |
|
90 |
7,615 |
6,228 |
5,452 |
5,127 |
4,841 |
|
100 |
7,455 |
6,094 |
5,351 |
5,025 |
4,756 |
|
400 |
6,000 |
4,908 |
4,388 |
4,158 |
3,970 |
|
Для приготовления пищи и нагрева воды |
|||||
|
1 |
59,934 |
39,978 |
29,989 |
23,982 |
19,983 |
|
2 |
32,629 |
23,809 |
18,460 |
15,473 |
13,195 |
|
3 |
22,388 |
16,932 |
13,995 |
12,483 |
11,224 |
|
4 |
19,870 |
14,900 |
12,879 |
11,729 |
10,266 |
|
5 |
18,549 |
14,310 |
11,981 |
10,644 |
9,713 |
|
6 |
17,708 |
13,586 |
11,538 |
10,181 |
9,389 |
|
7 |
17,025 |
12,812 |
10,852 |
9,635 |
9,170 |
|
8 |
16,308 |
12,249 |
10,510 |
9,295 |
8,760 |
|
9 |
15,511 |
11,981 |
10,231 |
8,988 |
8,486 |
|
10 |
15,282 |
11,608 |
10,051 |
8,870 |
8,349 |
|
15 |
13,726 |
10,48 |
9,126 |
8,114 |
7,336 |
|
20 |
13,191 |
10,030 |
8,707 |
7,720 |
6,926 |
|
30 |
11,903 |
9,470 |
8,062 |
7,063 |
6,378 |
|
40 |
11,220 |
8,907 |
7,503 |
6,636 |
6,050 |
|
50 |
10,572 |
8,346 |
7,080 |
6,242 |
5,784 |
|
60 |
10,113 |
7,918 |
6,761 |
6,012 |
5,584 |
|
70 |
9,694 |
7,570 |
6,340 |
5,749 |
5,393 |
|
80 |
9,429 |
7,114 |
6,079 |
5,552 |
5,228 |
|
90 |
8,896 |
6,820 |
5,899 |
5,420 |
5,092 |
|
100 |
8,553 |
6,606 |
5,757 |
5,289 |
5,009 |
|
400 |
6,462 |
5,134 |
4,574 |
4,270 |
4,106 |
Приложение 11. Технические характеристики газорегуляторных пунктов и установок с одной линией редуцирования и байпасом
|
№№ п/п |
Марка ГРПШ |
№ стр. |
Регулятор |
Рвх МПа |
Рвых |
Максимальная пропускная способность, м3/ч |
|
1 |
ШГКС-6/3-400 (ЭГА)* |
338 |
РДК |
0,6 |
225-227 |
|
|
2 |
ШГКС-12/3-400 (ЭГА) |
338 |
РДК |
1,2 |
225-275 |
|
|
3 |
ШБГУ-40-3(ЭГА) |
342 |
РДК |
1,2 |
14-19 |
|
|
4 |
ШГК-100-3(ЭГА) |
342 |
РДК |
1,2 |
14-19 |
|
|
5 |
ШБГД-400-3 (ЭГА) |
342 |
РДК |
1,2 |
14-19 |
|
|
6 |
ГРПШ-32/3Б(ГА)* |
346 |
РДНК-32 |
1,2 |
2,0-2,5 |
64 |
|
7 |
ГРПШ-32/6Б(ГА) |
346 |
РДНК-32 |
0,6 |
2,0-5,0 |
105 |
|
8 |
ГРПШ-32/10Б(ГА) |
346 |
РДНК-32 |
0,3 |
2,0-2,5 |
100 |
|
9 |
ГРПШ-1(ГПМ)* |
348 |
РДГД-20М |
0,6 |
1,2-3 |
100 |
|
10 |
ГРПН-300-10(ГПМ) |
350 |
РДУ-32(РД32) |
0,3 |
1,2-3,5 |
124 |
|
11 |
ГРПН-300-6 (ГПМ) |
350 |
РДУ-32(РД32) |
1,2 |
1,2-3,5 |
258 |
|
12 |
ГРПН-300-4 (ГПМ) |
350 |
РДУ-32(РД32) |
1,2 |
1,2-3,5 |
150 |
|
13 |
ГРПШ-400-0 (ГА) |
352 |
РДНК-400 |
0,6 |
2,0-5,0 |
500 |
|
14 |
ГРПШ-400-0 (ГА) |
352 |
РДНК-400 |
0,6 |
2,0-5,0 |
500 |
|
15 |
ГРПШ-400**(Радон)* |
354 |
РДНК-400 |
0,6 |
2,0-5,0 |
250 |
|
16 |
ГРПШ-400-01 (Радон) |
354 |
РДНК-400М |
0,6 |
2,0-5,0 |
500 |
|
17 |
ГРПШ-01-У1(Радон) |
354 |
РДНК-У |
1,2 |
2,0-5,0 |
900 |
|
18 |
ГРПШ-07-У1 (Радон) |
354 |
РДНК-1000 |
0,6 |
2,0-5,0 |
800 |
|
19 |
ГРПШ-03Б-У1 (Радон) |
354 |
РДСК-50Б |
0,6 |
270-300 |
700 |
|
20 |
ГРПШ-03М-У1 (Радон) |
354 |
РДСК-50М |
1,2 |
30-100 |
900 |
|
21 |
ГРПШ-03БМ-У1 (Радон) |
354 |
РДСК-50БМ |
1,2 |
270-300 |
1100 |
|
22 |
ГРПШН-А-01-У (ГА) |
358 |
РДНК-50 |
1,2 |
2,0-3,5 |
900 |
|
23 |
ГРПШН-А-01П-У (ГА) |
358 |
РДНК-50П |
1,2 |
3,5-5,0 |
900 |
|
24 |
ГСГО |
361 |
РДБК1-50 |
1,2 |
1-600 |
5200 |
|
25 |
ГРПШ-13-1Н-У1 (Радон) |
364 |
РДГ-50Н |
1,2 |
1,5-60 |
6200 |
|
26 |
ГРПШ-13-1В-У1 (Радон) |
364 |
РДГ-50В |
1,2 |
60-600 |
6200 |
Приложение 12. Технические характеристики газорегуляторных пунктов и установок с основной и резервной линиями редуцирования
|
№№ п/п |
Марка ГРПШ |
№ стр. |
Регулятор |
Рвх , МПа |
Рвых |
Максимальная пропускная способность, м3/ч |
|
1 |
ГРПШ-1(ГПМ)* |
372 |
РДГД-20М |
0,6 |
1,2-3 |
100 |
|
2 |
ГРПН-300-10(ГПМ) |
374 |
РДУ-32(РД-32) |
0,3 |
1,2-3,5 |
125 |
|
3 |
ГРПН-300-6(ГПМ) |
374 |
РДУ-32(РД-32) |
1,2 |
1,2-3,5 |
260 |
|
4 |
ГРПН-300-4(ГПМ) |
374 |
РДУ-32(РД-32) |
0,6 |
2-5 |
150 |
|
5 |
ГРПШ-04-2У1** (Радон) |
376 |
РДНК-400 |
0,6 |
2,0-2,5 |
250 |
|
6 |
ГРПШ-О5-2У1 (Радон) |
376 |
РДНК-400М |
0,6 |
2,0-2,5 |
500 |
|
7 |
ГРПШ-07-2У1 (Радон) |
376 |
РДНК-1000 |
0,6 |
2-5 |
800 |
|
8 |
ГРПШ-02-2У1 (Радон) |
376 |
РДНК-У |
1,2 |
2,0-2,5 |
900 |
|
9 |
ГРПШ-03Б-2У1 (Радон) |
376 |
РДСК-50Б |
0,6 |
270-300 |
700 |
|
10 |
ГРПШ-03М-2У1 (Радон) |
376 |
РДСК-50М |
1,2 |
30-100 |
900 |
|
11 |
ГРПШ-03БМ-2У1 (Радон) |
376 |
РДСК-50БМ |
1,2 |
270-300 |
1100 |
|
12 |
ГРПШН-А-02 (ГА)* |
380 |
РДНК-50 |
1,2 |
2,0-3,5 |
900 |
|
13 |
ГРПШН-А-02П (ГА)* |
380 |
РДНК-50П |
1,2 |
3,5-5,0 |
900 |
|
14 |
ГРПШ-13-2Н1 (Радон) |
383 |
РДГ-50Н |
1,2 |
1,5-60 |
6200 |
|
15 |
ГРПШ-13-2В-У1(Радон) |
383 |
РДГ-50В |
1,2 |
60-600 |
6200 |
|
16 |
ГРПШ-15-2Н-У1(Радон) |
383 |
РДГ-80Н |
1,2 |
1,5-60 |
13000 |
|
17 |
ГРПШ-15-2В-У1(Радон) |
383 |
РДГ-80В |
1,2 |
60-600 |
13000 |
|
21 |
ПГБ-50(ГА) |
390 |
РДБК1-50 |
1,2 |
1-600 |
5200 |
|
22 |
ПГБ-50-СГ(ГА) |
390 |
РДБК1-50 |
1,2 |
1-600 |
5200 |
|
23 |
ПГБ-50-СГ-ЭК(ГА) |
390 |
РДБК1-50 |
1,2 |
1-600 |
5200 |
Приложение 13. Технические характеристики газорегуляторных пунктов и установок с двумя линиями редуцирования и разными регуляторами на среднее и низкое выходное давление при параллельной установке регуляторов
|
№№ п/п |
№ стр. |
Регулятор |
Рвх , МПа |
Рвых 1 |
Рвых 2 |
Максимальная пропускная способность, м3/ч |
||
|
1 |
ГРПШ-О3Б-04-2У1**(Радон)* |
406 |
РДНК-400М, РДСК-50Б |
0,6 |
270-300 |
2-5 |
700 |
250 |
|
2 |
ГРПШ-О3Б-04М -2У1 (Радон) |
406 |
РДНК-400М, РДСК-50Б |
0,6 |
270-300 |
2-5 |
700 |
500 |
|
3 |
ГРПШ-О3Б-07-2У1 (Радон) |
406 |
РДНК-1000, РДСК-50Б |
0,6 |
270-300 |
2-5 |
800 |
700 |
|
4 |
ГРПШ-О3М-01-2У1 (Радон) |
406 |
РДНК-У, РДСК-50Б |
1,2 |
30-100 |
2-5 |
900 |
900 |
|
5 |
ГРПШ-О3БМ-01-2У1 (Радон) |
406 |
РДНК-У, РДСК-50Б |
1,2 |
270-300 |
2-5 |
1100 |
900 |
|
6 |
ГРПШ-13-2НВ-У1 (Радон) |
410 |
РДГ-50Н(В) |
1,2 |
1,5-60 |
60-600 |
6200 |
6200 |
|
7 |
ГРПШ-15-2НВ-У1 (Радон) |
410 |
РДГ-50Н(В) |
1,2 |
1,5-60 |
60-600 |
13000 |
13000 |
Приложение 14. Технические характеристики газорегуляторных пунктов с одной линией редуцирования
|
№№ п/п |
№ стр. |
Регулятор |
Рвх, МПа |
Рвых |
Максимальная пропускная способность, м3/ч |
|
|
3 |
ГРПШ-10МС (Сигнал) |
328 |
РДГК-10М |
0,6 |
1,5-2,0 |
80 |
|
4 |
ГРПШ-10К (ГА)* |
330 |
РДГК-10К |
0,6 |
2,2 |
10 |
|
5 |
ГРПШ-10 (ГПМ)* |
332 |
РДГК-10/3 |
0,6 |
2,0-2,5 |
30 |
|
6 |
ГРПШ-1ОМС (ГПМ) |
332 |
РДГК-10/5М |
0,6 |
2,0-2,5 |
70 |
|
7 |
ГРПШ-1 (ГПМ) |
334 |
РДГД-20М |
0,6 |
1,2-3 |
100 |
|
8 |
ГРПШ-32 К/З(ГА) |
336 |
РДНК-32 |
1,2 |
2,0-2,5 |
64 |
|
9 |
ГРПШ-32 К/6(ГА) |
336 |
РДНК-32 |
0,6 |
2,0-2,5 |
105 |
|
10 |
ГРПШ-32 К/10(ГА) |
336 |
РДНК-32 |
0,3 |
2,0-2,5 |
100 |
*Список сокращений: ЭГА-НПП «Электронно-гидравлическая автоматика», г.Москва, ГПМ-ООО «Завод «Газпроммаш», г.Саратов, ГА- ОАО «Газаппарат», г.Саратов, Сигнал- ЗАО «Сигнал-Прибор», г.Энгельс Саратовской обл.,Радон-ООО «Родон и Кє», г.Энгельс Саратовской обл.



Приложение 18. Для расчета газопроводов низкого давления (трубы стальные водогазопроводные ГОСТ 1050-88)
|
Удельные потери давления |
Условный проход и наружный диаметры, мм |
|||||||
|
Ѕ; 21,25; 15,75 |
21,25 |
1; 33,5; 27 |
35,75 |
48; 41 |
2; 60; 53 |
75; 68 |
3; 88,5; 80,5 |
|
|
Природный газ (с=0,73 кг/м3; г =15·10-6м2/с) |
||||||||
|
0,10 0,11 0,12 0,15 0,17 0,20 0,22 0,25 0,27 0,30 0,33 0,35 0,37 |
0,049/0,018 0,053/0,020 0,058/0,021 0,073/0,027 0,082/0,030 0,097/0,036 0,110/0,041 0,120/0,044 0,130/0,048 0,140/0,052 0,160/0,059 0,170/0,063 0,180/0,067 |
0,16/0,059 0,18/0,067 0,19/0,070 0,24/0,089 0,27/0,099 0,32/0,118 0,36/0.133 0,40/0,148 0,43/0,159 0,48/0.178 0,53/0,196 0,56/0,200 0,60/0.220 |
0,42/0,155 0,47/0,174 0,51/0,189 0,63/0,230 0,71/0,260 0,84/0,310 0,92/0,340 1,05/0,390 1,13/0,420 1,26/0,470 ,34/0,470 1,42/0,500 1,46/0,530 |
1,23/0,46 1,41/0,52 1,55/0,57 1,85/0,65 2,01/0,70 2,20/0,72 2,31/0,73 2,49/0,75 2,72/0,76 2,76/0,77 2,91/0,78 3,03/0,783,13/0,78 |
2,15/0,76 2,27/0,80 2,39/0,81 2,71/0,84 2,91/0,86 3,19/0,88 3,36/0,89 3,61/0,91 3,78/0,92 4,00/0,93 4,24/0,94 4,38/0,95 4,51/0,95 |
4,32/1,1 4,55/1,2 4,78/1,2 5,43/1,2 5,83/1,2 6,39/1,3 6,73/1,3 7,25/1,3 7,59/1,3 8,06/1,3 8,50/1,4 8,81/1,4 9,08/1,4 |
8,50/1,6 9,97/1,6 9,42/1,6 10,70/1,7 11,40/1,7 12,50/1,8 13,30/1,8 14,20/1,8 14,90/1,9 15,90/1,9 16,70/1,9 17,30/1,9 17,90/2,0 |
13,4/2,01 4,1/2,1 14,8/2,1 16,8/2,1 18,1/2,2 19,9/2,3 20.9/2,3 22,5/2,3 23.5/2,4 25,0/2,4 26,3/2,4 27,4/2,4 28,2/2,5 |
|
2,25 2,50 |
0 94/0,320 100/0,320 |
2,13/0,480 2,26/0,490 |
4,10/0,680 4,35/0,690 |
8,79/1,00 9,34/1,00 |
12,70/1,20 13,50/1,20 |
25,60/1,8 27,20/1,8 |
50,50/2,6 53,60/2,6 |
79,7/3,2 84,6/3,2 |
|
2,75 3,00 3,25 3,50 3,75 4,00 4,25 4,50 4,75 5,00 5.25 5.50 5,75 6,00 6,25 7,50 8,75 10,00 12,50 15,00 17,50 |
1,06/0,320 1,11/0,330 1,16/0,330 1,21/0,34 1,27/0,34 1,31/0,34 1,35/0,35 1,40/0,35 1,44/0,35 1,49/0,36 1,52/0,36 1,57/0,36 1,61/0,36 1,65/0,36 1,69/0,36 1,87/0,37 2,05/0,38 2,20/0,39 2,50/0,40 2,78/0,41 3,05/0,42 |
2,40/0,500 2,51/0,510 2,64/0,510 2,75/0,52 2,85/0,52 2,96/0,53 3,07/9,53 3,17/0,53 3,28/0,54 3,43/0,55 3,46/0,55 3,56/0,55 3,65/0,56 3,74/0,56 3,82/0,56 4,25/0,57 4,64/0,59 5,00/0,60 5,68/0,62 6,27/0,63 6,82/0,65 |
4,60/0,700 1,84/0,710 5,07/0,720 5,30/0,72 5,54/0,73 5,69/0,74 5,89/0,74 6,09/0,75 6,29/0,76 6,48/0,77 6,67/0,77 6,84/0,77 7,10/0,78 7,18/0,78 7,35/0,78 8,16/0,81 8,92/0,83 9,63/0,84 10,93/0,87 12,40/0,89 13,08/0,91 |
9,89/1,00 10,37/1,10 10,88/1,10 11,30/1,1 11,72/1,1 12,24/1,1 12,66/1,1 13,08/1,1 13,51/1,1 13,92/1,1 14,34/1,1 14,65/1,2 15,07/1,2 15,39/1,2 15,70/1,2 17,48/1,2 19,25/1,2 20,60/1,3 23,40/1,3 24,70/1,3 28,20/1,4 |
14,20/1,30 14,90/1,30 15,70/1,30 16,40/1,3 17,10/1,3 17,70/1,3 18,30/1,3 18,90/1.4 19,60/1,4 20,10/1,4 20,62/1,4 21,20/1,4 21,80/1,4 22,30/1.4 22,80/1,4 25,30/1,5 27,70/1,5 29,90/1,5 33,90/1,6 37,60/1,6 41,10/1,6 |
28,80/1,8 30,20/1,8 31,70/1,9 33,1/1,9 34,3/1,9 35,6/1,9 36,8/1,9 38,1/2,0 39,3/2,0 40,5/2,0 41,6/2,0 42,8/2,0 43,8/2,1 44,9/2,1 45,9/2,1 51,1/2,1 55,8/2,2 60,2/2,2 68,3/2,3 76,4/2,3 82,4/2,3 |
56,70/2,6 59,50/2,6 62,50/2,7 65,10/2,7 67,60/2,7 70,10/2,7 72,53/2,8 75,00/2,8 77,40/2,8 79,70/2,8 82,00/2,8 84,30/2,9 86,30/2,9 88,40/2,9 90,50/2,9 00,50/2,9 09,90/3,0 18,30/3,1 33,00/3,2 47,00/3,2 58,00/3,2 |
89,5/3,2 94,1/3,3 98,6/3,3 102,0/3 ,4 107,0/3,4 111,0/3,4 114,0/3,5 118,0/3,5 122,0/3,5 125,0/3,6 129,0/3,6 132,0/3,6 136,0/3,6 139,0/3,7 142,0/3,7 158,0/3,8 173,0/3,8 186,0/3,5 208,0/3,9 227,0/3,9 246,0/3,9 |
|
20,00 25,00 |
3,29/0,43 3,77/0,44 |
7,38/0,66 8,48/0,68 |
14,13/0,93 16,20/0,96 |
30,50/1,4 34,90/1,4 |
44,50/1,6 49,90/1,6 |
88,3/2,3 98,5/2,3 |
169,00/3,2 189,00/3,2 |
262,0/3,9 294,0/3,9 |
|
30,00 |
4,18/0,45 |
9,37/0,69 |
18,20/1,00 |
38,20/1,4 |
54,70/1,6 |
107,2/2,3 |
207,00/3,2 |
323,0/3,9 |
|
35,00 |
4,56/0,46 |
10,26/0,70 |
19,70/1,00 |
41,30/1,4 ^ |
59,10/1.6 |
116,0/2,3 |
224,00/3,2 |
349,0/3,9 |
|
40,00 45,00 50,00 |
4,92/0,47 5,27/0,49 5,62/0,50 |
11,10/0,70 11,90/0,70 12,40/0,70 |
21,00/1,00 22,30/1,00 23,50/1,00 |
43,90/1,4 46,80/1,4 48,90/1,4 |
63,30/1,6 67,10/1,6 70,70/1,6 |
125,0/2,3 132,0/2,3 139,0/2,3 |
239,00/3,2 254,00/3,2 267,00/3,2 |
372,0/3,9 395,0/3,9 416,0/3,9 |
Приложение 19. Для расчета газопроводов низкого давления (трубы стальные бесшовные ГОСТ 8732-85)
|
Удель- ные потери |
Условный проход и наружный диаметры, мм |
|||||||
|
100; 108х5 |
125; 133х5 |
150; 159х5,5 |
200; 219х7 |
250; 273х9 |
300; 325х10 |
350; 377х10 |
400; 426х11 |
|
|
Природный газ (с=0,73 кг/м3; г =15·10-6м2/с) |
||||||||
|
0,10 0,11 0,12 0,15 0,17 0,20 0,22 0,25 0,27 0,30 0,33 0,35 0,37 0,44 |
22,9/2,7 24,2/2,8 25,3/2,8 28,8/2,9 30,9/3,0 33,9/3,0 25,7/3,1 28,4/3,1 40,2/3,2 42,7/3,2 45,0/3,3 46,7/3,3 48,4/3,4 53,0/3,4 |
41,4/3,7 43,6/3,8 45,8/3,8 52,0/3,9 55,9/4,0 61,3/4,1 64,5/4,2 69,5/4,2 72,7/4,3 77,2/4,3 81,5/4,4 84,5/4,5 87,0/4,5 95,6/4,6 |
70,0/4,9 73,8/5,0 77,4/5,1 88,0/5,2 94,0/5,3 104,0/5,5 109,0/5,5 117,0/5,6 122,0/5,7 131,0/5,8 138,0/6,0 143,0/6,0 146,0/6,1 162,0/6,2 |
169/8,0 179/8,1 187/8,2 213/8,5 229/8,6 251/8,8 265/8,9 285/9,1 298/9,2 317/9,3 334/9,4 346/9,5 358/9,6 392/9,8 |
307/10,9 323/11,0 340/11,2 386/11,5 414/11,7 454/12,0 498/12,2 515/12,4 539/12,5 572/12,7 604/12,9 626/13,0 646/13,1 710/13,4 |
498/14,1 525/14,3 555/14,5 626/14,9 672/15,2 737/15,6 776/15,8 836/16,0 875/16,2 929/16,4 980/16,7 1016/16,8 1047/17,0 1150/17,4 |
767/17,8 808/18,0 849/18,2 963/18,8 1034/19,1 1136/19,6 1193/19,8 1286/20,2 1346/20,4 1430/20,7 1507/21,0 1564/21,2 1612/21,3 1771/21,5 |
1071/19,6 1127/21,3 1185/21,6 1345/22,3 1444/22,7 1583/23,2 1666/23,6 1796/24,0 1879/24,3 1995/24,6 2104/25,0 2182/25,2 2250/25,4 2472/26,0 |
|
3,00 3,25 3,50 3,77 4,00 4,25 4,50 4,75 5,00 5,25 5,50 5,75 6,00 6,25 |
160,0/4,4 167,0/4,5 175,0/4,6 182,0/4,6 188,0/4,7 196,0/4,7 202,0/4,7 208,0/4,8 215,0/4,8 221,0/4,8 227,0/4,9 232,0/4,9 237,0/4,9 243,0/4,9 |
290,0/6,1 303,0/6,3 317,0/6,3 329,0/6,3 341,0/6,4 353,0/6,5 364,0/6,5 377,0/6,6 388,0/6,6 399,0/6,7 410,0/6,7 420,0/6,7 430,0/6,7 440,0/6,7 |
489,0/8,1 514,0/8,2 536,0/8,3 556,0/8,4 577,0/8,5 597,0/8,5 617,0/8,6 637,0/8,6 652,0/8,6 671,0/8,7 683,0/8,7 698,0/8,7 714,0/8,7 728,0/8,7 |
1190/12,8 1247/13,0 1293/13,0 1343/13,0 1365/13,0 1408/13,0 1449/13,0 1488/13,0 1526/13,0 1564/13,0 1602/13,0 1637/13,0 1674/13,0 1706/13,0 |
2107/17,4 2179/17,4 2258/17,4 2337/17,4 2414/17,4 2488/17,4 2560/17,4 2677/17,4 2698/17,4 2762/17,4 2832/17,4 2893/17,4 2957/17,4 3018/17,4 |
3330/22,0 3472/22,0 3606/22,0 3730/22,0 3852/22,0 3972/22,0 4087/22,0 4192/22,0 4307/22,0 4410/22,0 4520/22,0 4620/22,0 4721/22,0 4819/22,0 |
5027/26,8 5228/26,8 5430/26,8 5613/26,8 5798/26,8 5981/26,8 6155/26,8 6320/26,8 6484/26,8 6640/26,8 6860/26,8 6952/26,8 7110/26,8 7255/26,8 |
6940/31,6 7221/31,6 7492/31,6 7752/31,6 8012/31,6 8251/31,6 8501/31,6 8725/31,6 8948/31,6 9167/31,6 9396/31,6 9593/31,6 9812/31,6 10000/31,6 |
|
7,50 |
270/5,0 |
481/6,7 |
797/8,7 |
1871/13,0 |
3305/17,4 |
5275/22,0 |
7944/26,8 |
10967/31,6 |
|
8.75 |
291/5,0 |
519/6 7 |
862/8,7 |
2020/13,0 |
3569/17,4 |
5675/22,0 |
8574/26,8 |
11830/31,6 |
|
10,00 |
312/5,0 |
556/6 7 |
921/8,7 |
2160/13,0 |
3817/17,4 |
6092/22,0 |
9177/26,8 |
12663/31,6 |
|
12,50 |
348/5,0 |
621/6 7 |
1029/8,7 |
2414/13,0 |
4257/17,4 |
6810/22,0 |
10255/26,8 |
14151/31,6 |
|
15,00 |
382/5,0 |
680/6 7 |
1128/8,7 |
2646/13,0 |
4675/17,4 |
7462/22,0 |
11237/26,8 |
15503/31,6 |
|
17,00 |
413/5.0 |
735/6 7 |
1218/8,7 |
2857/13,0 |
5049/17,4 |
8060/22.0 |
12132/26,8 |
16752/31,6 |
|
20,00 |
440/5,0 |
783/6,7 |
1298/8,7 |
3046/13,0 |
5396/17,4 |
8613/22,0 |
12965/26,8 |
17897/31,6 |
|
25,00 |
490/5,0 |
878/6,7 |
1456/8,7 |
3414/13,0 |
6034/17,4 |
9631/22,0 |
14505/26,8 |
20019/31,6 |
|
30,00 |
540/5,0 |
962/6,7 |
1594/8,7 |
3741/13,0 |
6609/17,4 |
10551/22,0 |
15888/26,8 |
21923/31,6 |
|
35,00 |
584/5,0 |
1039/6,7 |
1722/8,7 |
4052/13,0 |
7146/17,4 |
11393/22,0 |
17168/26,8 |
23692/31,6 |
|
40,00 |
624/5,0 |
1111/6,7 |
1842/8,7 |
4320/13,0 |
7633/17,4 |
12184/22,0 |
18344/26,8 |
25326/31,6 |
|
45,00 |
662/5,0 |
1179/6,7 |
1953/8,7 |
4581/13,0 |
8095/17,4 |
12923/22.0 |
19457/26,8 |
26855/31,6 |
|
50,00 |
698/5,0 |
1242/6,7 |
2059/8,7 |
4830/13,0 |
8534/17,4 |
13620/22,0 |
20508/26,8 |
28312/31,6 |
Приложение20. Коэффициент местных сопротивлений
|
Вид сопротивления |
Коэффициент местных сопротивлений, ж |
|
Угольник 90° при d 15-20мм 25-35мм 40-50мм |
2,0 1,5 1,0 |
|
Отвод, гнутый на 90° |
0,3 |
|
Тройник проходной |
1,0 |
|
Тройник поворотный |
1.5 |
|
Тройник при встречных потоках |
3,0 |
|
Крестовина-проход |
2,0 |
|
Крестов ина-поворот |
3,0 |
|
Внезапное сужение |
0,35 |
|
Внезапное расширение |
0,4 |
|
Пробочный кран при d=15мм 20мм |
4,0 2,0 |
|
Пробочный кран при d=40мм |
2,0 |
|
Задвижка параллельная |
0,25-0,5 |
|
Задвижка с симметричным сужением |
1,3-1,5 |
|
Конденсатосборник |
2,0 |
|
Гидравлические затворы |
1,5-3 |
|
Компенсаторы |
1,7-2,7 |
Приложение 21. Теоретическая масса 1 м.п. стальных труб (кг)
Трубы водогазопроводные ГОСТ 3262-75
|
Условный проход |
Наружный диаметр, мм |
Толщина стенки труб, мм |
Линейная плотность труб без муфты ,кг/м |
||||
|
легких |
обыкновенных |
усиленных |
легких |
обыкновенных |
усиленных |
||
|
6 |
10,2 |
1,8 |
2,0 |
2,5 |
0,37 |
0,40 |
0,47 |
|
8 |
13,5 |
2,0 |
2,2 |
2,8 |
0,57 |
0,61 |
0,74 |
|
10 |
17,0 |
2,0 |
2,2 |
2,8 |
0,74 |
0,80 |
0,98 |
|
15 |
21,3 |
2,35 |
- |
- |
1,10 |
- |
- |
|
15 |
21,3 |
2,5 |
2,8 |
3,2 |
1,16 |
1,28 |
1,43 |
|
20 |
26,8 |
2,35 |
- |
- |
1,42 |
- |
- |
|
20 |
26,8 |
2,5 |
2,8 |
3,2 |
1,50 |
1,66 |
1,86 |
|
25 |
33,5 |
2,8 |
3,2 |
4,0 |
2,12 |
2,39 |
2,91 |
|
32 |
42,3 |
2,8 |
3,2 |
4,0 |
2,73 |
3,09 |
3,78 |
|
40 |
48,0 |
3,0 |
3,5 |
4,0 |
3,33 |
3,84 |
4,34 |
|
50 |
60,0 |
3,0 |
3,5 |
4,5 |
4,22 |
4,88 |
6,16 |
Приложение 22. Теоретическая масса 1 м.п. стальных труб (кг)
|
Ǿ(мм) |
3 |
3,2 |
3,5 |
3,8 |
4,0 |
4,5 |
5 |
5,5 |
6 |
7 |
8 |
9 |
10 |
|
Толщина стенки (мм) |
|||||||||||||
|
57 |
4,00 |
4,25 |
4,62 |
- |
5,23 |
5,83 |
6,41 |
6,99 |
7,55 |
8,63 |
9,67 |
10,65 |
11,59 |
|
60 |
4,22 |
4,45 |
4,88 |
5,27 |
5,52 |
6,16 |
6,78 |
7,39 |
7,99 |
9,13 |
10,26 |
11,32 |
12,33 |
|
3 |
3,2 |
3,5 |
3,8 |
4,0 |
4,5 |
5 |
5,5 |
6 |
7 |
8 |
9 |
10 |
|
|
63,5 |
4,48 |
4,76 |
5,18 |
5,60 |
5,87 |
6,55 |
7,21 |
7,87 |
8,51 |
9,75 |
10,95 |
12,10 |
13,19 |
|
76 |
5,40 |
5,74 |
6,26 |
6,77 |
7,10 |
7,93 |
8,76 |
9,56 |
10,36 |
11,91 |
13,42 |
14,87 |
16,28 |
|
83 |
5,92 |
6,30 |
6,86 |
7,42 |
7,79 |
8,71 |
9,62 |
10,51 |
11,39 |
13,12 |
14,80 |
16,43 |
18,00 |
|
89 |
6,36 |
6,77 |
7,38 |
7,98 |
8,39 |
9,38 |
10,36 |
11,33 |
12,38 |
14,16 |
15,98 |
17,76 |
19,48 |
|
95 |
6,81 |
7,24 |
7,90 |
8,55 |
8,98 |
10,04 |
11,10 |
12,14 |
13,17 |
15,19 |
17,16 |
19,69 |
20,96 |
|
102 |
7,32 |
7,80 |
8,50 |
9,20 |
9,67 |
10,82 |
11,96 |
13,04 |
14,21 |
16,40 |
18,53 |
20,64 |
22,69 |
|
108 |
7,77 |
8,27 |
9,02 |
9,77 |
10,26 |
11,49 |
12,70 |
13,90 |
15,09 |
17,44 |
19,73 |
21,97 |
24,17 |
|
114 |
8,21 |
8,74 |
9,54 |
10,33 |
10,85 |
12,15 |
13,44 |
14,72 |
15,98 |
18,47 |
20,91 |
23,31 |
25,65 |
|
121 |
8,73 |
9,30 |
10,14 |
10,98 |
11,54 |
12,93 |
14,30 |
15,67 |
17,02 |
19,68 |
22,29 |
24,85 |
27,37 |
|
127 |
9,18 |
9,77 |
10,66 |
11,55 |
12,13 |
13,60 |
15,04 |
16,48 |
17,90 |
20,73 |
23,48 |
26,19 |
28,85 |
|
133 |
9,62 |
10,24 |
11,18 |
12,11 |
12,72 |
14,62 |
15,78 |
17,29 |
18,79 |
21,75 |
24,66 |
27,52 |
30,33 |
|
140 |
10,14 |
10,80 |
11,78 |
12,76 |
13,42 |
15,04 |
16,65 |
18,24 |
19,83 |
22,96 |
26,04 |
29,08 |
32,06 |
|
152 |
11,02 |
11,74 |
12,82 |
13,89 |
14,60 |
16,37 |
18,13 |
19,87 |
21,60 |
25,03 |
28,41 |
31,74 |
35,02 |
|
159 |
11,54 |
12,30 |
13,42 |
14,54 |
15,29 |
17,15 |
18,99 |
20,82 |
22,64 |
26,24 |
29,79 |
33,29 |
36,75 |
|
219 |
15,98 |
17,03 |
18,60 |
20,17 |
21,21 |
23,80 |
26,39 |
28,96 |
31,52 |
36,60 |
41,60 |
46,61 |
51,54 |
|
245 |
17,90 |
19,08 |
20,85 |
22,60 |
23,77 |
26,69 |
29,59 |
32,49 |
35,37 |
41,09 |
46,76 |
52,38 |
57,95 |
|
273 |
23,36 |
25,23 |
26,54 |
29,80 |
33,05 |
36,28 |
39,51 |
45,92 |
52,28 |
58,60 |
64,86 |
||
|
299 |
29,10 |
32,68 |
36,25 |
39,81 |
39,81 |
43,36 |
50,41 |
57,41 |
64,34 |
71,27 |
|||
|
325 |
31,67 |
35,57 |
39,46 |
43,34 |
43,34 |
47.20 |
54,90 |
62,54 |
70,14 |
77,68 |
|||
|
351 |
34,23 |
38,45 |
42,66 |
46.86 |
46,86 |
51.09 |
59,39 |
67,67 |
75.91 |
84,10 |
|||
|
377 |
36,80 |
41,34 |
45,87 |
50,39 |
50,39 |
54,90 |
63,87 |
72,80 |
81,68 |
90,51 |
Приложение 23. Расчетная масса 1 м труб из полиэтилена (кг)
|
Номинальный наружный диаметр, мм |
Расчетная масса 1 м труб, кг |
||||||||
|
SDR41 S20 |
SDR 26 512,5 |
SDR21 S10 |
SDR17,6 S8,3 |
SDR 17 S8 |
SDR 13,6 S6,3 |
SDR11 S5 |
SDR 9 S4 |
SDR 6 S2,5 |
|
|
10 |
— |
— |
— |
— |
— |
— |
— |
— |
0,052 |
|
12 |
— |
— |
— |
— |
— |
— |
____ |
— |
0,065 |
|
16 |
— |
— |
— |
___ |
___ |
— |
0,092 |
0,092 |
0,116 |
|
20 |
— |
— |
— |
____ |
— |
0,118 |
0,134 |
0,182 |
|
|
25 |
— |
— |
— |
0,151 |
— |
0,151 |
0,172 |
0,201 |
0.280 |
|
32 |
— |
— |
0,197 |
0,197 |
0,197 |
0,233 |
0,280 |
0,329 |
0,459 |
|
40 |
— |
0,249 |
0,249 |
0,286 |
0,297 |
0,358 |
0,432 |
0,511 |
0,713 |
|
50 |
— |
0,315 |
0,376 |
0,443 |
0,456 |
0,552 |
0,669 |
0,798 |
1,10 |
|
63 |
0,401 |
0,497 |
0,582 |
0,691 |
0.724 |
0.885 |
1,06 |
1,27 |
1,75 |
|
75 |
0,480 |
0,678 |
0,831 |
0,981 |
1,02 |
1,25 |
1,49 |
1,79 |
2,48 |
|
90 |
0,643 |
Q.9K2 |
1,19 |
1,42 |
1,48 |
1,80 |
2,15 |
2,59 |
3,58 |
|
ПО |
0,946 |
1,44 |
1,78 |
2.09 |
2,19 |
2,66 |
3,20 |
3,84 |
5,34 |
|
125 |
1,24 |
1,87 |
2,29 |
2,69 |
2,81 |
3,42 |
4,16 |
4,96 |
6,90 |
|
140 |
1,55 |
2,35 |
2,89 |
3,39 |
3,52 |
4,29 |
5,19 |
6,24 |
— |
|
160 |
2,01 |
3,08 |
3,77 |
4,41 |
4,60 |
5,61 |
6,79 |
8,13 |
— |
|
180 |
2,50 |
3,85 |
4,73 |
5,57 |
5,83 |
7,10 |
8,59 |
10,3 |
— |
|
200 |
3,09 |
4,77 |
5,88 |
6,92 |
7,18 |
8,75 |
10,6 |
12,7 |
— |
|
225 |
3,91 |
5,98 |
7,45 |
8,74 |
9,12 |
11,1 |
13,4 |
16,1 |
— |
|
250 |
4,89 |
7,43 |
9,10 |
10,8 |
11,2 |
13,7 |
16,5 |
19,8 |
— |
|
280 |
6,09 |
9,21 |
11,5 |
13,5 |
14,0 |
17,1 |
20,7 |
24,9 |
__ |
|
315 |
7,63 |
11,8 |
14,5 |
17,1 |
17,8 |
21.7 |
26,2 |
31,5 |
— |
|
355 |
9,74 |
14,9 |
18,4 |
21,6 |
22,6 |
27,5 |
33,3 |
40,0 |
— |
|
400 |
12,3 |
18,9 |
23,4 |
27,5 |
28,6 |
34,9 |
42,3 |
50,7 |
— |
|
450 |
15,6 |
23,9 |
29,6 |
34,8 |
36,3 |
44,2 |
53,6 |
64,2 |
— |
|
500 |
19,3 |
29,5 |
36,5 |
42,9 |
44,8 |
54,7 |
66,1 |
79,2 |
— |
|
560 |
24.1 |
37.1 |
45,8 |
53,7 |
56,1 |
68.5 |
82,8 |
— |
— |
|
630 |
30,5 |
47,0 |
57,8 |
68,1 |
71.2 |
86,6 |
104,8 |
— |
— |
|
710 |
38,8 |
59,7 |
73,6 |
86,4 |
90,3 |
110,0 |
— |
— |
— |
|
800 |
49,3 |
75,6 |
93,3 |
109.7 |
114,5 |
139,7 |
— |
— |
— |
|
900 |
62,1 |
95,7 |
118,1 |
138,9 |
144,7 |
— |
— |
— |
— |
|
1000 |
76,9 |
118,1 |
145,9 |
171,3 |
178,9 |
— |
— |
— |
— |
|
1200 |
110,8 |
170,1 |
209,8 |
— |
_ |
— |
— |
— |
— |
|
Примечание: масса 1 м труб рассчитана при средней плотности полиэтилена 950 кг/м3 с учетом половины допусков на толщину стенки и средний наружный диаметр. При изготовлении труб из полиэтилена плотностью с, отличающейся от 950 кг/м3, данные таблицы умножают на коэффициент К= с/950. |
Приложение 24. Арматура
|
№ п.п. |
Наименование, марка запорной арматуры |
PN, МПа |
Рабочая среда |
Материал корпуса |
Материал уплотнения |
Присое-динение |
Привод |
Диаметр DH, мм |
Длина L, мм |
Масса, кг |
Из-го-тови тель |
|
3 |
Задвижка клиновая с невыдвижным шпинделем 30 Ч47бк |
0,6 |
нг |
ч |
бк |
Ф Ф Ф Ф |
Р Р Р Р |
50 80 100 150 |
180 210 230 280 |
18,91 34,1 44,92 72,87 |
29 29 12,2 9 29 |
|
9 |
Задвижка клиновая с выдвижным шпинделем 30Ч12нж |
1,0 |
г |
ч |
нж |
Ф Ф Ф |
Р Р Р |
50 80 100 |
180 210 230 |
17 26,6 36,7 |
9 9 9 |
|
10 |
Задвижка клиновая с выдвижным шпинделем 30с42нж 30с942нж |
1,0 |
г |
с |
нж |
Ф Ф Ф Ф Ф |
Р Р Р Р эд |
150 200 250 300 200 |
210 230 250 270 230 |
70 105 118 185 182 |
26 26 26 26 26 |
|
14 |
Задвижка клиновая с выдвижным шпинделем 30с41нж (ЗКЛ2-16) |
1,6 |
нг |
с |
нж |
ф Ф Ф Ф Ф Ф
|
р р р р р р |
50 80 100 150 200 250 |
180 210 230 350 400 450 |
20 35 45 98 220 320 |
26 26 26 26 26 26 |
|
Ф |
р |
300 |
500 |
451 |
26 |
||||||
|
15 |
Задвижка клиновая с выдвижным шпинделем 30с941нжЗ (ЗКЛПЭ-16) |
1,6 |
нг |
с |
нж |
Ф Ф Ф Ф Ф |
эд эд эд эд эд |
50 80 100 150200 |
180 210 230 280 330 |
26* 40* 45* 84* 152* |
5 5 5 5 5 |
|
34 |
Кран пробковый натяжной с пружиной 11Б12бк |
0,01 |
г |
л |
бк |
м м |
р р |
15 20 |
55 65 |
0,25 0,37 |
10,2 0 25,3 9 10,2 0 25,3 9 |
|
35 |
Кран пробковый натяжной 11Б34бк |
0,01 |
нг |
л |
бк |
м м |
р р |
15 20 |
55 65 |
0,16 0,29 |
25 25 |
|
с |
р |
50 |
230 |
10,8 |
16 |
||||||
|
42 |
Кран шаровый 11Б27п |
1,6 |
г |
л |
п |
м |
р |
15 20 25 40 50 |
60 70 90 120 140 |
0,26 0,44 0,8 1,6 2,5 |
6 6 6 6 6 |
|
20 25 32 40 50 65 80 |
100 120 130 150 170 190 200 |
1,2 1,6 2,35 3,5 6 8,7 12,8 |
13 13 13 13 13 13 13 |
||||||||
|
68 |
Вентиль запорный проходной 15с18п |
2,5 |
г |
с |
п |
Ф Ф Ф Ф Ф ф |
р р р р р р |
40 50 80 100 150 200 |
200 230 310 350 480 600 |
14,6 16,4 38 50 97 160 |
9 9 9 9 26 29 |
|
69 |
Вентиль запорный проходной 15с51п4 |
2,5 |
г |
с |
п |
Ф Ф ф |
р р р |
20 25 32 |
150 160 180 |
7 7,8 11,4 |
18 18 18 |
Приложение25. Отводы
|
Размеры отводов стальных крутоизогнутых бесшовных приварных, мм |
Р,, МПа (кгс/см2) |
Масса (кг, не более) отвода с углом |
|||||||
|
Ду |
DH |
L1=R |
L2 |
L3 |
S |
90° |
60° |
45° |
|
|
40 |
45 |
60 |
35 |
25 |
2,5 |
10,0(100) |
0,3 |
0,3 |
0,2 |
|
50 |
57 |
75 |
43 |
30 |
3,0 |
10,0(100) |
0,5 |
0,3 |
0,3 |
|
65 |
76 |
100 |
57 |
41 |
3,5 |
10,0(100) |
1,0 |
0,7 |
0,5 |
|
80 |
89 |
120 |
69 |
50 |
3,5 |
10,0(100) |
1,4 |
0,9 |
0,7 |
|
100 |
108 |
150 |
87 |
62 |
4,0 |
10,0(100) |
2,5 |
1,7 |
1,3 |
|
125 |
133 |
190 |
110 |
79 |
4,0 |
6,3 (63) |
3,8 |
2,5 |
1,9 |
|
150 |
159 |
225 |
130 |
93 |
4,5 |
6,3 (63) |
6,1 |
4,1 |
3,1 |
|
200 |
219 |
300 |
173 |
124 |
6,0 |
6,3 (63) |
14,9 |
10,0 |
7,5 |
|
8,0 |
10,0(100) |
19,9 |
13,3 |
10,0 |
|||||
|
250 |
273 |
375 |
217 |
155 |
7,0 |
6,3 (63) |
30,8 |
20,5 |
15,4 |
|
10,0 |
10,0(100) |
39,4 |
26,3 |
19,7 |
Приложение 26. Двухлинзовые компенсаторы
|
Двухлинзовые компенсаторы на условное давление 0,6 МПа |
|||||
|
К ДМ-100-1,0 |
КДМ-150-1,0 |
КДМ-200-1,0 |
КДМ-300-1,0 |
КДМ-400-1,0 |
|
|
Длина монтажная L в свободном состоянии, мм, не более |
402 |
437 |
442 |
457 |
457 |
|
Наружный диаметр Д мм, не более |
356 |
409 |
456 |
571 |
655 |
|
Полная компенсирующая способность, мм. не более |
14 |
14 |
14 |
10 |
10 |
|
Масса, кг, не более |
26,6 |
35,9 |
57,7 |
88,8 |
105,0 |
;
26,75;
;
42,25;
;
;