Зарубежный опыт планирования производства
ГОСУДАРСТВЕННОЕ ОБРАЗОВАТЕЛЬНОЕ УЧРЕЖДЕНИЕ
ВЫСШЕГО ПРОФЕССИОНАЛЬНОГО ОБРАЗОВАНИЯ
УФИМСКИЙ ГОСУДАРСТВЕННЫЙ АВИАЦИОННЫЙ
ТЕХНИЧЕСКИЙ УНИВЕРСИТЕТ
КОНТРОЛЬНАЯ РАБОТА
по дисциплине
Планирование на предприятии
тема
«Зарубежный опыт планирования производства продукции»
Выполнил: студент гр. МТС> >-409
Бобылев В.Р.
Проверил: Сергеева Л.А.
Уфа – 2008
Содержание
1. Определение предварительных сроков выполнения заказов
2. Разработка структурной схемы
3. Расчет длительности изготовления любой номенклатурной позиции этого заказа
4. Цикловые графики изготовления заказов
5. Определение длительности механической, сборочной фазы производственного процесса
6. Сводный график запуска-выпуска
7. Определение оптимального срока изготовления заказа с точки зрения изготовителя
8. Определение интегрального показателя
9. Распределение заказов по трем группам взаимозаменяемого оборудования
10. Распределение заказов по группам оборудования
11. Определение на одной и той же группе взаимозаменяемого оборудования последовательность изготовления заказов
12. Выдача планового задания по форме 3
Список использованной литературы
1. Определение предварительных сроков выполнения заказов (выданное задание)
Форма 1
|
Заказы |
Длительность изготовления по фазам, месяц. |
Удельный вес прибыли в цене, % |
Удельный вес оплаты труда в затратах, % |
Удельный вес накладных расходов в затратах, % |
|
|
механическая |
сборочная |
||||
|
А1 |
0,5 |
1 |
4,5 |
42 |
5 |
|
А2 |
1,5 |
2,5 |
6 |
45 |
7 |
|
А3 |
0,8 |
2 |
6 |
45 |
7 |
|
А4 |
0,29 |
0,99 |
4 |
40 |
5 |
|
А5 |
1 |
1,5 |
2 |
40 |
5 |
|
А6 |
1 |
1,5 |
2 |
40 |
8 |
|
А7 |
0,5 |
2 |
1,5 |
40 |
9 |
|
А8 |
0,5 |
1,3 |
9,5 |
65 |
14 |
|
А9 |
1 |
2 |
8 |
60 |
15 |
|
А10 |
1,5 |
0,5 |
8,2 |
60 |
12 |
Форма 2
|
Заказы |
Ассортиментный показатель качества |
Срок изготовления заказов |
Цена заказа: ДЕ |
Количество штук в заказе, шт. |
|
А1 |
1,15 |
К 1 марта |
1800 |
10 |
|
А2 |
0,8 |
1500 |
50 |
|
|
А3 |
1,2 |
2500 |
45 |
|
|
А4 |
0,5 |
К 1 апреля |
5000 |
10 |
|
А5 |
0,6 |
3000 |
25 |
|
|
А6 |
0,99 |
1000 |
30 |
|
|
А7 |
1,1 |
4500 |
45 |
|
|
А8 |
0,5 |
К 1 марта |
1000 |
10 |
|
А9 |
0,55 |
2350 |
5 |
|
|
А10 |
0,6 |
1500 |
50 |
Количество взаимозаменяемого оборудования: первой группы – 6;
второй группы – 6; третьей группы – 16
2. Разработка структурной схемы (в какой последовательности нужно выполнять работы и какие работы можно выполнять параллельно)
З
аказ
А1
З
аказ
А2
З
аказ
А3
З
аказ
А4
Заказ А5

Заказ А6

Заказ А7

Заказ А8


Заказ А9

Заказ А10

3. Расчет длительности изготовления любой номенклатурной позиции этого заказа
В расчетах используем 20 рабочих дней в любом месяце. Причем рабочие дни будут соответствовать следующим датам:
1,2,3,4,5,8,9,10,11,12,15,16,17,18,19,22,23,24,25,26.
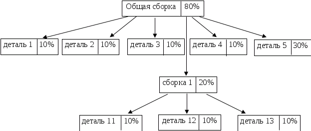
Заказ А1
Общая сборка = 0,7 * 20 = 14 дней;
Сборка 1 = 0,3 * 20 = 6 дней;
Дет.1, дет.2, дет.3, дет.4 = 0,15 * 10 = 1,5 дня;
Дет.11, дет.12 = 0,2 * 10 = 2 дня.
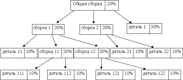
Заказ А2
Общая сборка = 0,3 * 50 = 15 дней;
Сборка 1 = 0,4 * 50 = 20 дней;
Сборка 2 = 0,3 * 50 = 15 дней;
Дет.1, дет.2 = 0,1 * 30 = 3 дня;
Дет.11, дет.12 = 0,1 * 30 = 3 дня;
Дет.21, дет.22 = 0,3 * 30 = 9 дней.
Заказ А3
Общая сборка = 0,5 * 40 = 20 дней;
Сборка 1 = 0,5 * 40 = 20 дней;
Дет.1 = 0,7 * 16 = 11,2 дня;
Дет.11, дет.12, дет.13 = 0,1 * 16 = 1,6 дня.
Заказ А4
Общая сборка = 0,3 * 19,8 = 5,94 дня;
Сборка 1 = 0,2 * 19,8 = 3,96 дня;
Сборка 11 = 0,1 * 19,8 = 1,98 дня;
Сборка 12 = 0,4 * 19,8 = 7,92 дня;
Дет.1, дет.2, дет.3 = 0,05 * 5,8 = 0,29 дня;
Дет.11 = 0,1 * 5,8 = 0,58 дня;
Дет.111 = 0,05 * 5,8 = 0,29 дня;
Дет.112 = 0,1 * 5,8 = 0,58 дня;
Дет.121, дет.122 = 0,3 * 5,8 = 1,74 дня.
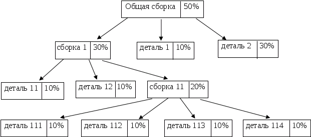
Заказ А5
Общая сборка = 0,4 * 30 = 12 дней;
Сборка 1 = 0,3 * 30 = 9 дней;
Сборка 11 = 0,3 * 30 = 9 дней;
Дет.1 = 0,4 * 20 = 8 дней;
Дет.11 = 0,2 * 20 = 4 дня;
Дет.111, дет.112 = 0,2 * 20 = 4 дня.
Заказ А6
Общая сборка = 0,8 * 30 = 24 дня;
Сборка 1 = 0,2 * 30 = 6 дней;
Дет.1, дет.2, дет.3, дет.4 = 0,1 * 20 = 2 дня;
Дет.5 = 0,3 * 20 = 6 дней;
Дет.11, дет.12, дет.13 = 0,1 * 20 = 2 дня.
Заказ А7
Общая сборка = 0,2 * 40 = 8 дней;
Сборка 1, сборка 2 = 0,2 * 40 = 8 дней;
Сборка 11, сборка 12 = 0,2 * 40 = 8 дней;
Дет.1 = 0,3 * 10 = 3 дня;
Дет.11 = 0,1 * 10 = 1 день;
Дет.21, дет.22 = 0,1 * 10 = 1 день;
Дет.111, дет.112, дет.121, дет.122 = 0,1 * 10 = 1 день.
Заказ А8
Общая сборка = 0,4 * 26 = 10,4 дня;
Сборка 1 = 0,1 * 26 = 2,6 дня;
Сборка 2 = 0,2 * 26 = 5,2 дней;
Сборка 3 = 0,3 * 26 = 7,8 дней;
Дет.1 = 0,4 * 10 = 4 дня;
Дет.11, дет.12 = 0,1 * 10 = 1 день;
Дет.21, дет.22 = 0,05 * 10 = 0,5 дня;
Дет.31, дет.32 = 0,15 * 10 = 1,5 дня.
Заказ А9
Общая сборка = 1 * 40 = 40 дней;
Дет.1, дет.3, дет.5 = 0,1 * 20 = 2 дня;
Дет.2, дет.6 = 0,2 * 20 = 4 дня;
Дет.4 = 0,3 * 20 = 6 дней.
Заказ А10
Общая сборка = 0,5 * 10 = 5 дней;
Сборка 1 = 0,3 * 10 = 3 дня;
Сборка 11 = 0,2 * 10 = 2 дня;
Дет.1 = 0,1 * 30 = 3 дня;
Дет.2 = 0,3 * 30 = 9 дней;
Дет.11, дет.12 = 0,1 * 30 = 3 дня;
Дет.111, дет.112, дет.113, дет.114 = 0,1 * 30 = 3 дня.
4. Цикловые графики изготовления заказов
С
борка
обозначается:
М
еханика
обозначается:
Межоперационный перерыв составляет 1 день.
Межцеховой перерыв составляет 2 дня.
Заказ А1
январь февраль
|
18 |
19 |
22 |
23 |
24 |
25 |
26 |
1 |
2 |
3 |
4 |
5 |
8 |
9 |
10 |
11 |
12 |
15 |
16 |
17 |
18 |
19 |
22 |
23 |
24 |
25 |
26 |
|
|
С |
|||||||||||||||||||||||||||
|
С1 |
|||||||||||||||||||||||||||
|
Д1 |
|||||||||||||||||||||||||||
|
Д2 |
|||||||||||||||||||||||||||
|
Д3 |
|||||||||||||||||||||||||||
|
Д4 |
|||||||||||||||||||||||||||
|
Д11 |
|||||||||||||||||||||||||||
|
Д12 |
Заказ А2
декабрь январь февраль
|
25 |
26 |
1 |
2 |
3 |
4 |
5 |
8 |
9 |
10 |
11 |
12 |
15 |
16 |
17 |
18 |
19 |
22 |
23 |
24 |
25 |
26 |
1 |
2 |
3 |
4 |
5 |
8 |
9 |
10 |
11 |
12 |
15 |
16 |
17 |
18 |
19 |
22 |
23 |
24 |
25 |
26 |
|
|
С |
||||||||||||||||||||||||||||||||||||||||||
|
С1 |
||||||||||||||||||||||||||||||||||||||||||
|
С2 |
||||||||||||||||||||||||||||||||||||||||||
|
Д1 |
||||||||||||||||||||||||||||||||||||||||||
|
Д2 |
||||||||||||||||||||||||||||||||||||||||||
|
Д11 |
||||||||||||||||||||||||||||||||||||||||||
|
ДД12 |
||||||||||||||||||||||||||||||||||||||||||
|
|
||||||||||||||||||||||||||||||||||||||||||
|
|
Рис.2. Цикловой график заказа А2
Заказ А3
декабрь январь февраль
|
22 |
23 |
24 |
25 |
26 |
1 |
2 |
3 |
4 |
5 |
8 |
9 |
10 |
11 |
12 |
15 |
16 |
17 |
18 |
19 |
22 |
23 |
24 |
25 |
26 |
1 |
2 |
3 |
4 |
5 |
8 |
9 |
10 |
11 |
12 |
15 |
16 |
17 |
18 |
19 |
22 |
23 |
24 |
25 |
26 |
|
|
С |
|||||||||||||||||||||||||||||||||||||||||||||
|
С1 |
|||||||||||||||||||||||||||||||||||||||||||||
|
Д1 |
|||||||||||||||||||||||||||||||||||||||||||||
|
Д11 |
|||||||||||||||||||||||||||||||||||||||||||||
|
Д12 |
|||||||||||||||||||||||||||||||||||||||||||||
|
Д13 |
Рис.3. Цикловой график заказа А3
Заказ А4
февраль март
|
18 |
19 |
22 |
23 |
24 |
25 |
26 |
1 |
2 |
3 |
4 |
5 |
8 |
9 |
10 |
11 |
12 |
15 |
16 |
17 |
18 |
19 |
22 |
23 |
24 |
25 |
26 |
|
|
С |
|||||||||||||||||||||||||||
|
С1 |
|||||||||||||||||||||||||||
|
С11 |
|||||||||||||||||||||||||||
|
С12 |
|||||||||||||||||||||||||||
|
Д1 |
|||||||||||||||||||||||||||
|
Д2 |
|||||||||||||||||||||||||||
|
Д3 |
|||||||||||||||||||||||||||
|
Д11 |
|||||||||||||||||||||||||||
|
Д111 |
|||||||||||||||||||||||||||
|
Д112 |
|||||||||||||||||||||||||||
|
Д121 |
|||||||||||||||||||||||||||
|
Д122 |
Рис.4. Цикловой график заказа А4
Заказ А5
февраль март
|
4 |
5 |
6 |
7 |
8 |
9 |
10 |
11 |
12 |
15 |
16 |
17 |
18 |
19 |
22 |
23 |
24 |
25 |
26 |
1 |
2 |
3 |
4 |
5 |
8 |
9 |
10 |
11 |
12 |
15 |
16 |
17 |
18 |
19 |
22 |
23 |
24 |
25 |
26 |
|
|
С |
|||||||||||||||||||||||||||||||||||||||
|
С1 |
|||||||||||||||||||||||||||||||||||||||
|
С11 |
|||||||||||||||||||||||||||||||||||||||
|
Д1 |
|||||||||||||||||||||||||||||||||||||||
|
Д11 |
|||||||||||||||||||||||||||||||||||||||
|
Д111 |
|||||||||||||||||||||||||||||||||||||||
|
Д112 |
Рис. 5. Цикловой график заказа А5
Заказ А6
февраль март
|
8 |
9 |
10 |
11 |
12 |
15 |
16 |
17 |
18 |
19 |
22 |
23 |
24 |
25 |
26 |
1 |
2 |
3 |
4 |
5 |
8 |
9 |
10 |
11 |
12 |
15 |
16 |
17 |
18 |
19 |
22 |
23 |
24 |
25 |
26 |
|
|
С |
|||||||||||||||||||||||||||||||||||
|
С1 |
|||||||||||||||||||||||||||||||||||
|
Д1 |
|||||||||||||||||||||||||||||||||||
|
Д2 |
|||||||||||||||||||||||||||||||||||
|
Д3 |
|||||||||||||||||||||||||||||||||||
|
Д4 |
|||||||||||||||||||||||||||||||||||
|
Д5 |
|||||||||||||||||||||||||||||||||||
|
Д11 |
|||||||||||||||||||||||||||||||||||
|
Д12 |
|||||||||||||||||||||||||||||||||||
|
Д13 |
Рис. 6. Цикловой график заказа А6
Заказ А7
февраль март
|
16 |
17 |
18 |
19 |
22 |
23 |
24 |
25 |
26 |
1 |
2 |
3 |
4 |
5 |
8 |
9 |
10 |
11 |
12 |
15 |
16 |
17 |
18 |
19 |
22 |
23 |
24 |
25 |
26 |
|
|
С |
|||||||||||||||||||||||||||||
|
С1 |
|||||||||||||||||||||||||||||
|
С2 |
|||||||||||||||||||||||||||||
|
С11 |
|||||||||||||||||||||||||||||
|
С12 |
|||||||||||||||||||||||||||||
|
Д1 |
|||||||||||||||||||||||||||||
|
Д11 |
|||||||||||||||||||||||||||||
|
Д21 |
|||||||||||||||||||||||||||||
|
Д22 |
|||||||||||||||||||||||||||||
|
|
|||||||||||||||||||||||||||||
|
|
|||||||||||||||||||||||||||||
|
|
|||||||||||||||||||||||||||||
|
|
Рис.7. Цикловой график заказа А7
Заказ А8
январь февраль
|
16 |
17 |
18 |
19 |
22 |
23 |
24 |
25 |
26 |
1 |
2 |
3 |
4 |
5 |
8 |
9 |
10 |
11 |
12 |
15 |
16 |
17 |
18 |
19 |
22 |
23 |
24 |
25 |
26 |
|
|
С |
|||||||||||||||||||||||||||||
|
С1 |
|||||||||||||||||||||||||||||
|
С2 |
|||||||||||||||||||||||||||||
|
С3 |
|||||||||||||||||||||||||||||
|
Д1 |
|||||||||||||||||||||||||||||
|
Д11 |
|||||||||||||||||||||||||||||
|
Д12 |
|||||||||||||||||||||||||||||
|
Д21 |
|||||||||||||||||||||||||||||
|
Д22 |
|||||||||||||||||||||||||||||
|
Д31 |
|||||||||||||||||||||||||||||
|
Д32 |
Рис.8. Цикловой график заказа А8
Заказ А9
декабрь январь февраль
|
17 |
18 |
19 |
22 |
23 |
24 |
25 |
26 |
1 |
2 |
3 |
4 |
5 |
8 |
9 |
10 |
11 |
12 |
15 |
16 |
17 |
18 |
19 |
22 |
23 |
24 |
25 |
26 |
1 |
2 |
3 |
4 |
5 |
8 |
9 |
10 |
11 |
12 |
15 |
16 |
17 |
18 |
19 |
22 |
23 |
24 |
25 |
26 |
|
|
С |
||||||||||||||||||||||||||||||||||||||||||||||||
|
Д1 |
||||||||||||||||||||||||||||||||||||||||||||||||
|
Д2 |
||||||||||||||||||||||||||||||||||||||||||||||||
|
Д3 |
||||||||||||||||||||||||||||||||||||||||||||||||
|
|
||||||||||||||||||||||||||||||||||||||||||||||||
|
Д5 |
||||||||||||||||||||||||||||||||||||||||||||||||
|
Д6 |
Рис.9. Цикловой график заказа А9
Заказ А10
январь февраль
|
16 |
17 |
18 |
19 |
22 |
23 |
24 |
25 |
26 |
1 |
2 |
3 |
4 |
5 |
8 |
9 |
10 |
11 |
12 |
15 |
16 |
17 |
18 |
19 |
22 |
23 |
24 |
25 |
26 |
|
|
С |
|||||||||||||||||||||||||||||
|
С1 |
|||||||||||||||||||||||||||||
|
С11 |
|||||||||||||||||||||||||||||
|
Д1 |
|||||||||||||||||||||||||||||
|
Д2 |
|||||||||||||||||||||||||||||
|
Д11 |
|||||||||||||||||||||||||||||
|
Д12 |
|||||||||||||||||||||||||||||
|
Д111 |
|||||||||||||||||||||||||||||
|
Д112 |
|||||||||||||||||||||||||||||
|
Д113 |
|||||||||||||||||||||||||||||
|
Д114 |
Рис.10. Цикловой график заказа А10
5. Определение длительности механической, сборочной фазы производственного процесса
Заказ А1
Сроки сборочной фазы: с 26 января по 26 февраля, что соответствует по длительности 21 дню.
Сроки механической фазы: С 22 января по 4 февраля, что соответствует по длительности 9 дням.
Заказ А2
Сроки сборочной фазы: с 5 января по 26 февраля, что соответствует по длительности 36 дням.
Сроки механической фазы: с 25 декабря по 3 февраля, что соответствует по длительности 25 дням.
Заказ А3
Сроки сборочной фазы: с 26 декабря по 26 февраля, что соответствует по длительности 41 дню.
Сроки механической фазы: с 22 декабря по 24 января, что соответствует по длительности 23 дням.
Заказ А4
Сроки сборочной фазы: с 1 марта по 26 марта, что соответствует по длительности 20 дням.
Сроки механической фазы: с 23 февраля по 16 марта, что соответствует по длительности 16 дням.
Заказ А5
Сроки сборочной фазы: с 11 февраля по 26 марта, что соответствует по длительности 32 дням.
Сроки механической фазы: с 5 февраля по 8 марта, что соответствует по длительности 24 дням.
Заказ А6
Сроки сборочной фазы: с 12 февраля по 26 марта, что соответствует по длительности 31 дню.
Сроки механической фазы: с 8 февраля по 18 февраля, что соответствует по длительности 9 дням.
Заказ А7
Сроки сборочной фазы: с 19 февраля по 26 марта, что соответствует по длительности 26 дням.
Сроки механической фазы: с 16 февраля по12 марта, что соответствует по длительности 19 дням.
Заказ А8
Сроки сборочной фазы: со 2 февраля по 26 февраля, что соответствует по длительности 19 дням.
Сроки механической фазы: с 24 января по 10 февраля, что соответствует по длительности 11 дням.
Заказ А9
Сроки сборочной фазы: с 1 января по 26 февраля, что соответствует по длительности 40 дням.
Сроки механической фазы: с 17 декабря по 24 декабря, что соответствует по длительности 6 дням.
Заказ А10
Сроки сборочной фазы: с 11 февраля по 26 февраля, что соответствует по длительности 12 дням.
Сроки механической фазы: с 4 февраля по 17 февраля, что соответствует по длительности 10 дням.
6. Сводный график запуска-выпуска
декабрь январь февраль
|
17 |
18 |
19 |
22 |
23 |
24 |
25 |
26 |
1 |
2 |
3 |
4 |
5 |
8 |
9 |
10 |
11 |
12 |
15 |
16 |
17 |
18 |
19 |
22 |
23 |
24 |
25 |
26 |
1 |
2 |
3 |
4 |
5 |
8 |
9 |
10 |
11 |
12 |
15 |
16 |
17 |
18 |
19 |
22 |
23 |
24 |
25 |
26 |
1 |
2 |
|
|
А1 |
||||||||||||||||||||||||||||||||||||||||||||||||||
|
А2 |
||||||||||||||||||||||||||||||||||||||||||||||||||
|
А3 |
||||||||||||||||||||||||||||||||||||||||||||||||||
|
А4 |
||||||||||||||||||||||||||||||||||||||||||||||||||
|
А5 |
||||||||||||||||||||||||||||||||||||||||||||||||||
|
А6 |
||||||||||||||||||||||||||||||||||||||||||||||||||
|
А7 |
||||||||||||||||||||||||||||||||||||||||||||||||||
|
А8 |
||||||||||||||||||||||||||||||||||||||||||||||||||
|
А9 |
||||||||||||||||||||||||||||||||||||||||||||||||||
|
А10 |
март
|
3 |
4 |
5 |
8 |
9 |
10 |
11 |
12 |
15 |
16 |
17 |
18 |
19 |
22 |
23 |
24 |
25 |
26 |
|
|
А1 |
||||||||||||||||||
|
А2 |
||||||||||||||||||
|
А3 |
||||||||||||||||||
|
А4 |
||||||||||||||||||
|
А5 |
||||||||||||||||||
|
А6 |
||||||||||||||||||
|
А7 |
||||||||||||||||||
|
А8 |
||||||||||||||||||
|
А9 |
||||||||||||||||||
|
А10 |
Рис.11. Сводный график запуска-выпуска
7. Определение оптимального срока изготовления заказа с точки зрения изготовителя
Предприятия-изготовители, заключая договора на поставку товаров, должны учесть и свои экономические интересы. Достичь этой цели можно при использовании в алгоритме планирования метода интегрального показателя. Данный метод позволяет определить оптимальные сроки изготовления каждого заказа. Такими показателями могут быть цена, прибыль, трудоемкость, качество, величина налогов, фонд оплаты труда, уровень технической оснащенности, объем спроса, объем предложения и т. п. Показатели имеют различные единицы измерения. Необходимо привести их к единому интегральному показателю. Определение оптимальных сроков, каждого из четырех заказов, методом интегрального показателя, исходя из своих экономических интересов.
Заказ А1
Трудоемкость
Т>А1> = 21 + 9 = 30 дней
Выручка
W>выр> = Ц * Q =1800 * 10 =18000 ДЕ
Прибыль
П>А1> = (W>выр >) * % =18000 * 0,045 =810 ДЕ
Заработная плата
ЗП>А1> = (W>выр> – П) * %>з> = 18000 * 0,955 * 0,42 = 7219,8 ДЕ
Расчет накладных расходов
НР>А1> = (W>выр> – П) * %>н> = 18000 * 0,955 * 0,05 = 859,5 ДЕ
Заказ А2
Трудоемкость
Т>А2> = 36 + 25 = 61 день
Выручка
W>выр> = 1500 * 50 = 75000 ДЕ
Прибыль
П>А2> = 75000 * 0,06 = 4500 ДЕ
Заработная плата
ЗП>А2> = 75000 * 0,94 * 0,45 = 31725 ДЕ
Расчет накладных расходов
НР>А2> = 75000 * 0,94 * 0,07 = 4935 ДЕ
Заказ А3
Трудоемкость
Т>А3> = 41 + 23 = 64 дня
Выручка
W>выр> = 2500 * 45 = 112500 ДЕ
Прибыль
П>А3> = 112500 * 0,06 = 6750 ДЕ
Заработная плата
ЗП>А3> = 112500 * 0,94 * 0,45 = 47587,5 ДЕ
Расчет накладных расходов
НР>А3> = 112500 * 0,94 * 0,07 = 7402,5 ДЕ
Заказ А4
Трудоемкость
Т>А4> = 20 + 16 =36 дней
Выручка
W>выр> = 5000 * 10 = 50000 ДЕ
Прибыль
П>А4> = 50000 * 0,04 = 2000 ДЕ
Заработная плата
ЗП>А4> = 50000 * 0,96 * 0,4 = 19200 ДЕ
Расчет накладных расходов
НР>А4> = 50000 * 0,96 * 0,05 = 2400 ДЕ
Заказ А5
Трудоемкость
Т>А5> = 32 + 24 =56 дней
Выручка
W>выр> = 3000 * 25 = 75000 ДЕ
Прибыль
П>А5> = 75000 * 0,02 = 1500 ДЕ
Заработная плата
ЗП>А5> = 75000 * 0,98 * 0,4 = 29400 ДЕ
Расчет накладных расходов
НР>А5> = 75000 * 0,98 * 0,05 = 3675 ДЕ
Заказ А6
Трудоемкость
Т>А6> = 31 + 9 = 40 дней
Выручка
W>выр> = 1000 * 30 = 30000 ДЕ
Прибыль
П>А6> = 30000 * 0,02 = 600 ДЕ
Заработная плата
ЗП>А6> = 30000 * 0,98 * 0,4 = 11760 ДЕ
Расчет накладных расходов
НР>А6> = 30000 * 0,98 * 0,08 = 2352 ДЕ
Заказ А7
Трудоемкость
Т>А7> = 26 + 19 = 45 дней
Выручка
W>выр> = 4500 * 45 = 202500 ДЕ
Прибыль
П>А7> = 202500 * 0,015 = 3037,5 ДЕ
Заработная плата
ЗП>А7> = 202500 * 0,985 * 0,4 = 79785 ДЕ
Расчет накладных расходов
НР>А7> = 202500 * 0,985 * 0,09 = 17951,625 ДЕ
Заказ А8
Трудоемкость
Т>А8> = 19 +11 = 30 дней
Выручка
W>выр> = 1000 * 10 = 10000 ДЕ
Прибыль
П>А8> = 10000 * 0,095 = 950 ДЕ
Заработная плата
ЗП>А8> = 10000 * 0,905 * 0,65 = 5882,5 ДЕ
Расчет накладных расходов
НР>А8> = 10000 * 0,905 * 0,14 = 1267 ДЕ
Заказ А9
Трудоемкость
Т>А9> = 40 + 6 = 46 дней
Выручка
W>выр> = 2350 * 5 = 11750 ДЕ
Прибыль
П>А9> = 11750 * 0,08 = 940 ДЕ
Заработная плата
ЗП>А9> = 11750 * 0,92 * 0,6 = 6486 ДЕ
Расчет накладных расходов
НР>А9> = 11750 * 0,92 * 0,15 = 1621,5 ДЕ
Заказ А10
Трудоемкость
Т>А10> = 12 + 10 = 22 дня
Выручка
W>выр> = 1500 * 50 = 75000 ДЕ
Прибыль
П>А10> = 75000 * 0,082 = 6150 ДЕ
Заработная плата
ЗП>А10> = 75000 * 0,918 * 0,6 = 41310 ДЕ
Расчет накладных расходов
НР>А10> = 75000 * 0,918 * 0,12 = 8262 ДЕ
Рассчитанные значения заносим в таблицу.
Значения критериальных показателей
|
Шифр i-го заказа |
А1 |
А2 |
А3 |
А4 |
А5 |
А6 |
А7 |
А8 |
А9 |
А10 |
Итого |
|
Трудоемкость изготовления, Т дн. |
30 |
61 |
64 |
36 |
56 |
40 |
45 |
30 |
46 |
22 |
430 |
|
Ассортиментный показатель качества, А |
1,15 |
0,8 |
1,2 |
0,5 |
0,6 |
0,99 |
1,1 |
0,5 |
0,55 |
0,6 |
7,99 |
|
Выручка, W>выр> ДЕ |
18000 |
75000 |
112500 |
50000 |
75000 |
30000 |
202500 |
10000 |
11750 |
75000 |
659750 |
|
Прибыль, П, ДЕ |
810 |
4500 |
6750 |
2000 |
1500 |
600 |
3037,5 |
950 |
940 |
6150 |
27237,5 |
|
Оплата труда, ЗП, ДЕ |
7219,8 |
31725 |
47587,5 |
19200 |
29400 |
11760 |
79785 |
5882,5 |
6486 |
41310 |
280355,8 |
|
Накладные расходы, НР, ДЕ |
859,5 |
4935 |
7402,5 |
2400 |
3675 |
2352 |
17951,625 |
1267 |
1621,5 |
8262 |
50726,125 |
Рассчитываем суммарные показатели по каждому критериальному показателю.
Из всех суммарных значений
находим минимальное, которое называется
базовым показателем
.

Рассчитываем по каждому критериальному показателю коэффициенты приведения:






В зависимости от этих коэффициентов приведения заполняем расчетную таблицу по каждому заказу.
Заказ А1
Т>А1>’ = Т>А1> * К>Т >= 30 * 0,02 = 0,6;
W>А1>’ = W>А1> * К>w> =18000 * 0,000012 = 0,216;
А>А1>’ = А>А1> * К>А1> = 1,15 * 1 = 1,15;
П>А1>’ = П>А1> * К>П> = 810 * 0,00029 = 0,2349;
ЗП>А1>’ = ЗП>А1> * К>ЗП >= 7219,8 * 0,000028 = 0,2;
НР>А1>’ = НР>А1> * К>НР> = 859,5 * 0,00016 = 0,14.
Заказ А2
Т>А2>’ = Т>А2> * К>Т >= 61 * 0,02 = 1,22;
W>А2>’ = W>А2> * К>w> =75000 * 0,000012 = 0,9;
А>А2>’ = А>А2> * К>А2> = 0,8 * 1 = 0,8;
П>А2>’ = П>А2> * К>П> = 4500 * 0,00029 = 1,305;
ЗП>А2>’ = ЗП>А2> * К>ЗП >= 31725 * 0,000028 = 0,89;
НР>А2>’ = НР>А2> * К>НР> = 4935 * 0,00016 = 0,79.
Заказ А3
Т>А3>’ = Т>А3> * К>Т >= 64 * 0,02 = 1,28;
W>А3>’ = W>А3> * К>w> =112500 * 0,000012 = 1,35;
А>А3>’ = А>А3> * К>А3> = 1,2 * 1 = 1,2;
П>А3>’ = П>А3> * К>П> = 6750 * 0,00029 = 1,9575;
ЗП>А3>’ = ЗП>А3> * К>ЗП >= 47587,5 * 0,000028 = 1,332;
НР>А3>’ = НР>А3> * К>НР> = 7402,5 * 0,00016 = 1,1844.
Заказ А4
Т>А4>’ = Т>А4> * К>Т >= 36 * 0,02 = 0,72;
W>А4>’ = W>А4> * К>w> =50000 * 0,000012 = 0,6;
А>А4>’ = А>А4> * К>А1> = 0,5 * 1 = 0,5;
П>А4>’ = П>А4> * К>П> = 2000 * 0,00029 = 0,58;
ЗП>А4>’ = ЗП>А4> * К>ЗП >= 19200 * 0,000028 = 0,5376;
НР>А4>’ = НР>А4> * К>НР> = 2400 * 0,00016 = 0,384.
Заказ А5
Т>А5>’ = Т>А5> * К>Т >= 56 * 0,02 = 1,12;
W>А5>’ = W>А5> * К>w> =75000 * 0,000012 = 0,9;
А>А5>’ = А>А5> * К>А5> = 0,6 * 1 = 0,6;
П>А5>’ = П>А5> * К>П> = 1500 * 0,00029 = 0,435;
ЗП>А5>’ = ЗП>А5> * К>ЗП >= 29400 * 0,000028 = 0,8232;
НР>А5>’ = НР>А5> * К>НР> = 3675 * 0,00016 = 0,588.
Заказ А6
Т>А6>’ = Т>А6> * К>Т >= 40 * 0,02 = 0,8;
W>А6>’ = W>А6> * К>w> =30000 * 0,000012 = 0,36;
А>А6>’ = А>А6> * К>А6> = 0,99 * 1 = 0,99;
П>А6>’ = П>А6> * К>П> = 600 * 0,00029 = 0,174;
ЗП>А6>’ = ЗП>А6> * К>ЗП >= 11760 * 0,000028 = 0,33;
НР>А6>’ = НР>А6> * К>НР> = 2352 * 0,00016 = 0,376.
Заказ А7
Т>А7>’ = Т>А7> * К>Т >= 45 * 0,02 = 0,9;
W>А7>’ = W>А7> * К>w> =202500 * 0,000012 = 2,43;
А>А7>’ = А>А7> * К>А7> = 1,1 * 1 = 1,1;
П>А7>’ = П>А7> * К>П> = 3037,5 * 0,00029 = 0,88;
ЗП>А7>’ = ЗП>А7> * К>ЗП >= 79785 * 0,000028 = 2,23;
НР>А7>’ = НР>А7> * К>НР> = 17951,625 * 0,00016 = 2,87.
Заказ А8
Т>А8>’ = Т>А8> * К>Т >= 30 * 0,02 = 0,6;
W>А8>’ = W>А8> * К>w> =10000 * 0,000012 = 0,12;
А>А8>’ = А>А8> * К>А8> = 0,5 * 1 = 0,5;
П>А8>’ = П>А8> * К>П> = 950 * 0,00029 = 0,2755;
ЗП>А8>’ = ЗП>А8> * К>ЗП >= 5882,5 * 0,000028 = 0,16;
НР>А8>’ = НР>А8> * К>НР> = 1267 * 0,00016 = 0,2.
Заказ А9
Т>А9>’ = Т>А9> * К>Т >= 46 * 0,02 = 0,92;
W>А9>’ = W>А9> * К>w> =11750 * 0,000012 = 0,141;
А>А9>’ = А>А9> * К>А9> = 0,55 * 1 = 0,55;
П>А9>’ = П>А9> * К>П> = 940 * 0,00029 = 0,2726;
ЗП>А9>’ = ЗП>А9> * К>ЗП >= 6486 * 0,000028 = 0,18;
НР>А9>’ = НР>А9> * К>НР> = 1621,5 * 0,00016 = 0,26.
Заказ А10
Т>А10>’ = Т>А10> * К>Т >= 22 * 0,02 = 0,44;
W>А10>’ = W>А10> * К>w> =75000 * 0,000012 = 0,9;
А>А10>’ = А>А10> * К>А10> = 0,6 * 1 = 0,6;
П>А10>’ = П>А10> * К>П> = 6150 * 0,00029 = 1,7835;
ЗП>А10>’ = ЗП>А10> * К>ЗП >= 41310 * 0,000028 = 1,1567;
НР>А10>’ = НР>А10> * К>НР> = 8262 * 0,00016 = 1,32192.
8. Определение интегрального показателя
Расчет интегрального показателя
|
Шифр i-го заказа |
Т, дн |
W>выр>, ДЕ |
А |
П, ДЕ |
ЗП, ДЕ |
НР, ДЕ |
Итого |
|
А1 |
0,6 |
0,216 |
1,15 |
0,2349 |
0,2 |
0,14 |
2,5409 |
|
А2 |
1,22 |
0,9 |
0,8 |
1,305 |
0,89 |
0,79 |
5,905 |
|
А3 |
1,28 |
1,35 |
1,2 |
1,9575 |
1,332 |
1,1844 |
8,3039 |
|
А4 |
0,72 |
0,6 |
0,5 |
0,58 |
0,5376 |
0,384 |
3,3216 |
|
А5 |
1,12 |
0,9 |
0,6 |
0,435 |
0,8232 |
0,588 |
4,4662 |
|
А6 |
0,8 |
0,36 |
0,99 |
0,174 |
0,33 |
0,376 |
3,03 |
|
А7 |
0,9 |
2,43 |
1,1 |
0,88 |
2,23 |
2,87 |
10,41 |
|
А8 |
0,6 |
0,12 |
0,5 |
0,2755 |
0,16 |
0,2 |
1,8555 |
|
А9 |
0,92 |
0,141 |
0,55 |
0,2726 |
0,18 |
0,26 |
2,3236 |
|
А10 |
0,44 |
0,9 |
0,6 |
1,7835 |
1,1567 |
1,32192 |
6,20212 |
Ранжирование заказов по убыванию:

Предприятие обеспечено заказами на январь, февраль и март месяц, поэтому определяются оптимальные сроки именно на эти месяцы.
На январь планируется изготовление заказа, который по ранжированию стоит на первом месте (А7), на февраль – на втором месте (А3), на март – на третьем месте (А10)
Заказы А7, А3, А10 исключаются из множества J.
|
январь |
февраль |
март |
|
А7(10,41) |
А3(8,3039) |
А10(6,20212) |
Из всех значений S>k> выбирают минимальное. Это соответствует k-му периоду, на который будет планироваться следующий заказ в порядке убывания значения интегрального показателя:
Sа> >= 6,20212 = min.
Тогда заказ А2 (четвертое место по ранжированию) нужно запланировать на март:
Sа> >= 6,20212 + 5,905 = 12,11
|
январь |
февраль |
март |
|
А7(10,41) |
А3(8,3039) |
А10(6,20212) |
|
+ А2(5,905) |
Заказ А2 исключается из множества J:
Sа> >= 8,3039 = min.
Заказ А5 (пятое место по ранжированию) планируется на февраль.
Sа> >= 8,3039 + 4,4662 = 12,77
|
январь |
февраль |
март |
|
А7(10,41) |
А3(8,3039) |
А10(6,20212) |
|
+ А5(4,4662) |
+ А2(5,905) |
Заказ А5 исключается из множества J:
Sа> >= 10,41 = min.
Заказ А4 (шестое место по ранжированию) планируется на январь:
Sа> >= 10,41 + 3,3216 = 13,73
|
январь |
февраль |
март |
|
А7(10,41) |
А3(8,3039) |
А10(6,20212) |
|
+ А4(3,3216) |
+ А5(4,4662) |
+ А2(5,905) |
Заказ А4 исключается из множества J:
Sа> >= 12,11 = min.
Заказ А6 (седьмое место по ранжированию) планируется на март:
Sа> >= 12,11 + 3,03 = 15,14
|
январь |
февраль |
март |
|
А7(10,41) |
А3(8,3039) |
А10(6,20212) |
|
+ А4(3,3216) |
+ А5(4,4662) |
+ А2(5,905) |
|
+ А6(3,03) |
Заказ А6 исключается из множества J:
Sа> >= 12,77 = min.
Заказ А1 (восьмое место по ранжированию) планируется на февраль:
Sа> >= 12,77 + 2,5409 = 15,3109
|
январь |
февраль |
март |
|
А7(10,41) |
А3(8,3039) |
А10(6,20212) |
|
+ А4(3,3216) |
+ А5(4,4662) |
+ А2(5,905) |
|
+ А1(2,5409) |
+ А6(3,03) |
Заказ А1 исключается из множества J:
Sа> >= 13,73 = min.
Заказ А9 (девятое место по ранжированию) планируется на январь:
Sа> >= 13,73 + 2,3236 = 16,05
|
январь |
февраль |
март |
|
А7(10,41) |
А3(8,3039) |
А10(6,20212) |
|
+ А4(3,3216) |
+ А5(4,4662) |
+ А2(5,905) |
|
+ А9(2,3236) |
+ А1(2,5409) |
+ А6(3,03) |
Заказ А9 исключается из множества J:
Sа> >= 15,14 = min.
Заказ А8 (десятое место по ранжированию) планируется на март:
Sа> >= 15,14 + 1,8555 = 17
|
январь |
февраль |
март |
|
А7(10,41) |
А3(8,3039) |
А10(6,20212) |
|
+ А4(3,3216) |
+ А5(4,4662) |
+ А2(5,905) |
|
+ А9(2,3236) |
+ А1(2,5409) |
+ А6(3,03) |
|
+А8(1,8555) |
На первоначальном сводном графике запуска-выпуска отображаем все десять заказов с учетом оптимальных сроков запуска-выпуска.
Сводный график запуска-выпуска заказов с учетом оптимальных сроков запуска-выпуска продукции
декабрь январь февраль
|
17 |
18 |
19 |
22 |
23 |
24 |
25 |
26 |
1 |
2 |
3 |
4 |
5 |
8 |
9 |
10 |
11 |
12 |
15 |
16 |
17 |
18 |
19 |
22 |
23 |
24 |
25 |
26 |
1 |
2 |
3 |
4 |
5 |
8 |
9 |
10 |
11 |
12 |
15 |
16 |
17 |
18 |
19 |
22 |
23 |
24 |
25 |
26 |
1 |
2 |
|
|
А1 |
||||||||||||||||||||||||||||||||||||||||||||||||||
|
А2 |
||||||||||||||||||||||||||||||||||||||||||||||||||
|
А3 |
||||||||||||||||||||||||||||||||||||||||||||||||||
|
А4 |
||||||||||||||||||||||||||||||||||||||||||||||||||
|
А5 |
||||||||||||||||||||||||||||||||||||||||||||||||||
|
А6 |
||||||||||||||||||||||||||||||||||||||||||||||||||
|
|
||||||||||||||||||||||||||||||||||||||||||||||||||
|
А8 |
||||||||||||||||||||||||||||||||||||||||||||||||||
|
А9 |
||||||||||||||||||||||||||||||||||||||||||||||||||
|
А10 |
март
|
3 |
4 |
5 |
8 |
9 |
10 |
11 |
12 |
15 |
16 |
17 |
18 |
19 |
22 |
23 |
24 |
25 |
26 |
|
|
А1 |
||||||||||||||||||
|
А2 |
||||||||||||||||||
|
А3 |
||||||||||||||||||
|
А4 |
||||||||||||||||||
|
А5 |
||||||||||||||||||
|
А6 |
||||||||||||||||||
|
А7 |
||||||||||||||||||
|
А8 |
||||||||||||||||||
|
А9 |
||||||||||||||||||
|
А10 |
9. Распределение заказов по трем группам взаимозаменяемого оборудования на основании окончательного сводного графика запуска-выпуска
На сводном графике запуска-выпуска указывается, на какой группе оборудования будет изготовлен каждый заказ и ежедневный объем работ. Для этого воспользуемся индексным методом. Задача формулируется так. Распределить работу между взаимозаменяемыми группами оборудования, обеспечив максимальную производительность оборудования. Эффективный фонд времени по каждой группе оборудования: Fa=C*q*s.
А ежедневный объем работ по j-й взаимозаменяемой группе оборудования равен:

Расчет недогрузки или перегрузки оборудования определяется:
F>> = F>>> >- Ф>>
Определяется, какое количество штук нужно передать на другую группу оборудования:

Расчет фонда времени по каждой группе взаимозаменяемого оборудования:
1 группа = 6 * 8 * 2 = 96 часов в день;
2 группа = 6 * 8 * 2 = 96 часов в день;
3 группа = 16 * 8 * 2 = 256 часов в день;
10. Распределение заказов по группам оборудования и расчет недогрузки или перегрузки оборудования по каждому дню
Трудоемкость для групп оборудования берется как минимальная из данных, а ежедневная трудоемкость определяется так:
,
час в день.
Заказ А1 выгоднее изготавливать на второй группе. Теж = (46*10)/9 = 51,1 час в день.
Заказ А2 выгоднее изготавливать на второй группе. Теж = (64*50)/25 = 128 час в день.
Заказ А3 выгоднее изготавливать на второй группе. Теж = (52*45)/23 = 101,7 час в день.
Заказ А4 выгоднее изготавливать на третьей группе. Теж = (100*10)/16 = 62,5 час в день.
Заказ А5 выгоднее изготавливать на третьей группе. Теж = (20*25)/24 = 20,8 час в день.
Заказ А6 выгоднее изготавливать на третьей группе. Теж = (41*30)/9 = 136,7 час в день.
Заказ А7 выгоднее изготавливать на третьей группе. Теж = (120*45)/19 = 284,2 час в день.
Заказ А8 выгоднее изготавливать на второй группе. Теж = (26*10)/11 = 23,6 час в день.
Заказ А9 выгоднее изготавливать на первой группе. Теж = (33*5)/6 = 27,5 час в день.
Заказ А10 выгоднее изготавливать на третьей группе. Теж = (38*50)/10 = 190 час в день.
Все полученные данные отображаются на сводном графике запуска-выпуска.
|
Группа |
17 |
18 |
19 |
22 |
23 |
24 |
25 |
26 |
1 |
2 |
3 |
4 |
5 |
8 |
9 |
10 |
11 |
12 |
15 |
16 |
17 |
18 |
19 |
22 |
23 |
24 |
25 |
26 |
1 |
2 |
3 |
4 |
5 |
8 |
9 |
10 |
11 |
12 |
15 |
16 |
17 |
18 |
19 |
22 |
23 |
24 |
25 |
26 |
1 |
2 |
|
2 |
51,1 час в день |
|||||||||||||||||||||||||||||||||||||||||||||||||
|
2 |
128 час в день |
|||||||||||||||||||||||||||||||||||||||||||||||||
|
2 |
101,7 час в день |
|||||||||||||||||||||||||||||||||||||||||||||||||
|
3 |
62,5 час в день |
|||||||||||||||||||||||||||||||||||||||||||||||||
|
3 |
20,8 час в день |
|||||||||||||||||||||||||||||||||||||||||||||||||
|
3 |
136,7 час в день |
|||||||||||||||||||||||||||||||||||||||||||||||||
|
3 |
284,2 час в день |
|||||||||||||||||||||||||||||||||||||||||||||||||
|
2 |
23,6 ч в день |
|||||||||||||||||||||||||||||||||||||||||||||||||
|
1 |
27,5 час в день |
|||||||||||||||||||||||||||||||||||||||||||||||||
|
3 |
|
3 |
4 |
5 |
8 |
9 |
10 |
11 |
12 |
15 |
16 |
17 |
18 |
19 |
22 |
23 |
24 |
25 |
26 |
|
|
2 |
||||||||||||||||||
|
2 |
||||||||||||||||||
|
2 |
||||||||||||||||||
|
3 |
||||||||||||||||||
|
3 |
||||||||||||||||||
|
3 |
||||||||||||||||||
|
3 |
||||||||||||||||||
|
2 |
||||||||||||||||||
|
1 |
||||||||||||||||||
|
3 |
190 час в день |
Сводный график запуска-выпуска
Определяется загрузка каждой группы взаимозаменяемого оборудования:
|
группа |
9 |
10 |
11 |
12 |
15 |
16 |
|
1 |
А9 27,5 час в день |

27,5 час в день


|
Группа |
22 |
23 |
24 |
25 |
26 |
1 |
2 |
3 |
4 |
5 |
8 |
9 |
10 |
11 |
12 |
15 |
16 |
17 |
18 |
19 |
22 |
23 |
24 |
25 |
26 |
1 |
2 |
3 |
4 |
5 |
8 |
9 |
10 |
11 |
12 |
15 |
16 |
17 |
18 |
19 |
22 |
23 |
24 |
25 |
26 |
1 |
2 |
3 |
4 |
5 |
8 |
9 |
10 |
11 |
|
2 |
51,1 час в день |
|||||||||||||||||||||||||||||||||||||||||||||||||||||
|
2 |
128 час в день |
|||||||||||||||||||||||||||||||||||||||||||||||||||||
|
2 |
101,7 час в день |
|||||||||||||||||||||||||||||||||||||||||||||||||||||
|
2 |
23,6 час в день |
|
Группа |
22 |
23 |
24 |
25 |
26 |
1 |
2 |
3 |
4 |
5 |
8 |
9 |
10 |
11 |
12 |
15 |
16 |
17 |
18 |
19 |
22 |
23 |
24 |
25 |
26 |
1 |
2 |
3 |
4 |
5 |
8 |
9 |
10 |
11 |
12 |
15 |
16 |
17 |
18 |
19 |
22 |
23 |
24 |
25 |
26 |
1 |
2 |
3 |
4 |
5 |
8 |
9 |
10 |
11 |
|
3 |
62,5 час в день |
|||||||||||||||||||||||||||||||||||||||||||||||||||||
|
3 |
20,8 час в день |
|||||||||||||||||||||||||||||||||||||||||||||||||||||
|
3 |
136,7 час в день |
|||||||||||||||||||||||||||||||||||||||||||||||||||||
|
3 |
284,2 час в день |
|||||||||||||||||||||||||||||||||||||||||||||||||||||
|
3 |
190 час в день |
Как видно из графика загрузки первой группы оборудования:
С 9 декабря по 16 декабря недозагрузка равна 96 – 27,5 = 68,5 часа.
По второй группе оборудования:
С 22 января по 4 февраля недозагрузка равна 96 – 51,1 = 44,9 часа.
С 25 января по 2 марта перегрузка равна 96 – 128 = -32 часа.
С 22 декабря по 24 января перегрузка равна 96 – 101,7 = -5,7 часа.
С 24 февраля по 10 марта недозагрузка равна 96 – 23,6 = 72,4 часа.
По третьей группе оборудования:
С 23 декабря по 16 января недозагрузка равна 256 – 62,5 = 193,5 часа.
С 5 января по 8 февраля недозагрузка равна 256 – 20,8 = 235,2 часа.
С 8 февраля по 18 февраля недозагрузка равна 256 – 136,7 = 119,3 часа.
С 17 декабря по 12 февраля перегрузка равна 256 – 284,2 = -28,2 часа.
С 4 марта по 17 марта недозагрузка равна 256 – 190 = 66 часа.
11. Определение на одной и той же группе взаимозаменяемого оборудования последовательность изготовления заказов
Для этого можно воспользоваться методом достижения целей.
На первой группе оборудования с 19 декабря по 16 декабря запланировано изготовить заказ А9 5шт. Тогда Q = 5 шт.
Матрица комплектующих (b>ij.>)
Матрица комплектующих
|
Заказы |
Д1 |
Д2 |
Д3 |
Д4 |
Д5 |
Д6 |
|
А9 5шт. |
1 |
1 |
1 |
1 |
1 |
1 |
Д1 : N>1> = 1×5 = 5 шт. Д2= N>2>= 5шт. Д3= N>3>= 5шт. Д4 = N>4> = 5 шт. Д5 = N>5> = 5 шт. Д6 = N>6> = 5 шт.
Принимается K = 1; х>n>> >= {0, 0, 0, 0, 0}. Рассчитываются значение D для заказа А9.


Принимается К = 2.
х’>n >= х>n >+ b>ij> х>n >= {0, 0, 0} + {1, 0, 1} = {1, 0, 1},
т.е. к значению х на предшествующем шаге прибавляется значение b>ij> того заказа, который на предыдущем шаге имел D>min>>..>
К=2, x>n>={0,0,0,0,0}+{1,1,1,1,1,1}={1,1,1,1,1,1},

На второй группе оборудования с 22 января по 10 марта запланировано изготовить заказы А1 10шт, А2 50 шт, А3 45шт, А8 10 шт. Тогда Q = 115 шт.
Матрица комплектующих (b>ij.>)
Матрица комплектующих
|
Заказы |
Д1 |
Д2 |
Д3 |
Д4 |
Д11 |
Д12 |
Д13 |
Д21 |
Д22 |
Д31 |
Д32 |
|
А1 10шт. |
1 |
1 |
1 |
1 |
1 |
1 |
0 |
0 |
0 |
0 |
0 |
|
А2 50 шт. |
1 |
1 |
0 |
0 |
1 |
1 |
0 |
1 |
1 |
0 |
0 |
|
А3 45 шт. |
1 |
0 |
0 |
0 |
1 |
1 |
1 |
0 |
0 |
0 |
0 |
|
А8 10 шт. |
1 |
0 |
0 |
0 |
1 |
1 |
0 |
1 |
1 |
1 |
1 |
Д1 : N>1> = 1×10 + 1× 50 + 1 × 45 + 1 × 10 = 115 шт. Д2= N>2>= 60шт. Д3= N>3>= 10 шт. Д4 = N>4> = 10 шт. Д11 = N>11> = 115 шт. Д12 = N>12> = 115 шт. Д13 = N>13>= 45 шт. Д21 = N>21> = 60 шт. Д22= N>22>= 60 шт. Д31 = N>31> = 10 шт. Д32 = N>32> = 10 шт.
Принимается K = 1; х>n>> >= {0, 0, 0, 0, 0}. Рассчитываются значение D для заказа А1, А2, А3, А8.





Выбираем минимальное значение D (для А2). Это означает, что первой будет обрабатываться первая единица заказа А2
Принимается К = 2.
х’>n >= х>n >+ b>ij> х>n >= {0, 0, 0} + {1, 0, 1} = {1, 0, 1},
т.е. к значению х на предшествующем шаге прибавляется значение b>ij> того заказа, который на предыдущем шаге имел D>min>>..>
К=2,
x>n>={0,0,0,0,0,0,0,0,0,0,0}+{1,1,0,0,1,1,0,1,1,0,0}={1,1,0,0,1,1,0,1,1,0,0},

На третьей группе оборудования с 23 декабря по 17 марта запланировано изготовить заказы А4 10шт, А5 25 шт. А6 30шт. А7 45 шт. А10 50 шт. Тогда Q = 160 шт.
Матрица комплектующих (b>ij.>)
Матрица комплектующих
|
Заказы |
Д1 |
Д2 |
Д3 |
Д4 |
Д5 |
Д11 |
Д12 |
Д13 |
Д21 |
Д22 |
Д111 |
Д112 |
Д113 |
Д114 |
Д121 |
Д122 |
|
А4 10шт. |
1 |
1 |
1 |
0 |
0 |
1 |
0 |
0 |
0 |
0 |
1 |
1 |
0 |
0 |
1 |
1 |
|
А5 25 шт. |
1 |
0 |
0 |
0 |
0 |
1 |
0 |
0 |
0 |
0 |
1 |
1 |
0 |
0 |
0 |
0 |
|
А6 30 шт. |
1 |
1 |
1 |
1 |
1 |
1 |
1 |
1 |
0 |
0 |
0 |
0 |
0 |
0 |
0 |
0 |
|
А7 45 шт. |
1 |
0 |
0 |
0 |
0 |
1 |
0 |
0 |
1 |
1 |
1 |
1 |
0 |
0 |
1 |
1 |
|
А10 50 шт. |
1 |
1 |
0 |
0 |
0 |
1 |
1 |
0 |
0 |
0 |
1 |
1 |
1 |
1 |
0 |
0 |
Д1 : N>1> = 1×10 + 1× 25 + 1 × 30 + 1 × 45 + 1 × 50 = 160 шт. Д2 = N>2>= 50 шт. Д3= N>3>= 40 шт. Д4 = N>4> = 30 шт. Д5 = N>5> = 30 шт. Д11 = N>11> = 160 шт. Д12 = N>12> = 40 шт. Д13= N>13>= 30 шт. Д21 = N>21> = 45 шт. Д22= N>22>= 45 шт. Д111 = N>111> = 90 шт. Д112 = N>112> = 90 шт. Д113= N>113>= 10 шт. Д114= N>114>= 10 шт. Д121= N>121>= 55 шт. Д122= N>122>= 55 шт.
Принимается K = 1; х>n>> >= {0, 0, 0, 0, 0}. Рассчитываются значение D для заказа А4, А5, А6, А7, А10.






Выбираем минимальное значение D (для А5). Это означает, что первой будет обрабатываться первая единица заказа А5
Принимается К = 2.
х’>n >= х>n >+ b>ij> х>n >= {0, 0, 0} + {1, 0, 1} = {1, 0, 1},
т.е. к значению х на предшествующем шаге прибавляется значение b>ij> того заказа, который на предыдущем шаге имел D>min>>..>
К=2,
x>n>={0,0,0,0,0,0,0,0,0,0,0,0,0,0,0,0}+{1,0,0,0,0,1,0,0,0,0,1,1,0,0,0,0}={1,0,0,0,0,1,0,0,0,0,1,1,0,0,0,0}

12. Выдача планового задания по форме 3
Для этого рассчитываем опережение запуска и выпуска.
1) Длительность сборки заказа А1 21 день, длительность механической обработки 9 дней.
Опережение запуска: по сборке 21 день, по механической обработке – 25 дней.
Опережение выпуска: по сборке 0 дней, по механической обработке – 15 дней.
На предприятиях рациональнее организовать работу по аналогии японских фирм. Параллельная работа по всем фазам технологического цикла достигается за счет восполнения на складах унифицированных деталей, заготовок, сборочных единиц. Если на предприятии организовать работу по системе “КАНБАН”.
Опережение запуска: по сборке 21 день, по механической обработке 9 дней.
2) Длительность сборки заказа А2 36 дней, длительность механической обработки 25 дней.
Опережение запуска: по сборке 36 дней, по механической обработке - 55 дней.
Опережение выпуска: по сборке 0 дней, по механической обработке - 29 дней.
На предприятиях рациональнее организовать работу по аналогии японских фирм. Параллельная работа по всем фазам технологического цикла достигается за счет восполнения на складах унифицированных деталей, заготовок, сборочных единиц. Если на предприятии организовать работу по системе “КАНБАН”.
Опережение запуска: по сборке 36 дней, по механической обработке 25 дней.
3) Длительность сборки заказа А3 41 день, длительность механической обработки 23 дня.
Опережение запуска: по сборке 41 день, по механической обработке - 55 дней.
Опережение выпуска: по сборке 0 дней, по механической обработке – 36 дней.
На предприятиях рациональнее организовать работу по аналогии японских фирм. Параллельная работа по всем фазам технологического цикла достигается за счет восполнения на складах унифицированных деталей, заготовок, сборочных единиц. Если на предприятии организовать работу по системе “КАНБАН”.
Опережение запуска: по сборке 41 день, по механической обработке 23 дня.
4) Длительность сборки заказа А4 20 дней, длительность механической обработки 16 дней.
Опережение запуска: по сборке 20 дней, по механической обработке - 32 дня.
Опережение выпуска: по сборке 0 дней, по механической обработке - 15 дней.
На предприятиях рациональнее организовать работу по аналогии японских фирм. Параллельная работа по всем фазам технологического цикла достигается за счет восполнения на складах унифицированных деталей, заготовок, сборочных единиц. Если на предприятии организовать работу по системе “КАНБАН”.
Опережение запуска: по сборке 20 дней, по механической обработке 16 дней.
5) Длительность сборки заказа А5 32 дня, длительность механической обработки 24 дня.
Опережение запуска: по сборке 32 дня, по механической обработке - 42 дня.
Опережение выпуска: по сборке 0 дней, по механической обработке - 27 дней.
На предприятиях рациональнее организовать работу по аналогии японских фирм. Параллельная работа по всем фазам технологического цикла достигается за счет восполнения на складах унифицированных деталей, заготовок, сборочных единиц. Если на предприятии организовать работу по системе “КАНБАН”.
Опережение запуска: по сборке 32 дня, по механической обработке 24 дня.
6) Длительность сборки заказа А6 31 день, длительность механической обработки 9 дней.
Опережение запуска: по сборке 31 день, по механической обработке - 36 дней.
Опережение выпуска: по сборке 0 дней, по механической обработке – 26 дней.
На предприятиях рациональнее организовать работу по аналогии японских фирм. Параллельная работа по всем фазам технологического цикла достигается за счет восполнения на складах унифицированных деталей, заготовок, сборочных единиц. Если на предприятии организовать работу по системе “КАНБАН”.
Опережение запуска: по сборке 31 день, по механической обработке 9 дней.
7) Длительность сборки заказа А7 26 дней, длительность механической обработки 19 дней.
Опережение запуска: по сборке 26 дней, по механической обработке - 42 дня.
Опережение выпуска: по сборке 0 дней, по механической обработке – 22 дня.
На предприятиях рациональнее организовать работу по аналогии японских фирм. Параллельная работа по всем фазам технологического цикла достигается за счет восполнения на складах унифицированных деталей, заготовок, сборочных единиц. Если на предприятии организовать работу по системе “КАНБАН”.
Опережение запуска: по сборке 26 дней, по механической обработке 19 дней.
8) Длительность сборки заказа А8 19 дней, длительность механической обработки 11 дней.
Опережение запуска: по сборке 19 дней, по механической обработке - 26 дней.
Опережение выпуска: по сборке 0 дней, по механической обработке – 15 дней.
На предприятиях рациональнее организовать работу по аналогии японских фирм. Параллельная работа по всем фазам технологического цикла достигается за счет восполнения на складах унифицированных деталей, заготовок, сборочных единиц. Если на предприятии организовать работу по системе “КАНБАН”.
Опережение запуска: по сборке 19 дней, по механической обработке 11 дней.
9) Длительность сборки заказа А9 40 дней, длительность механической обработки 6 дней.
Опережение запуска: по сборке 40 дней, по механической обработке - 40 дней.
Опережение выпуска: по сборке 0 дней, по механической обработке – 31 день.
На предприятиях рациональнее организовать работу по аналогии японских фирм. Параллельная работа по всем фазам технологического цикла достигается за счет восполнения на складах унифицированных деталей, заготовок, сборочных единиц. Если на предприятии организовать работу по системе “КАНБАН”.
Опережение запуска: по сборке 40 дней, по механической обработке 6 дней.
10) Длительность сборки заказа А10 12 дней, длительность механической обработки 10 дней.
Опережение запуска: по сборке 12 дней, по механической обработке - 17 дней.
Опережение выпуска: по сборке 0 дней, по механической обработке – 16 дней.
На предприятиях рациональнее организовать работу по аналогии японских фирм. Параллельная работа по всем фазам технологического цикла достигается за счет восполнения на складах унифицированных деталей, заготовок, сборочных единиц. Если на предприятии организовать работу по системе “КАНБАН”.
Опережение запуска: по сборке 12 дней, по механической обработке 10 дней.
Форма 3
|
Заказ |
Срок изготов- ления |
Время опережения |
|||||
|
Механической фазы |
Сборочной фазы |
||||||
|
запуска |
запуска по КАНБАН |
выпуска |
выпуска по КАНБАН |
запуска |
запуска по КАНБАН |
||
|
А1 |
25 |
9 |
15 |
0 |
21 |
21 |
|
|
А2 |
К 1 марта |
55 |
25 |
29 |
0 |
36 |
36 |
|
А3 |
55 |
23 |
36 |
0 |
41 |
41 |
|
|
А4 |
32 |
16 |
15 |
0 |
20 |
20 |
|
|
А5 |
К 1 апреля |
42 |
24 |
27 |
0 |
32 |
32 |
|
А6 |
36 |
9 |
26 |
0 |
31 |
31 |
|
|
А7 |
42 |
19 |
22 |
0 |
26 |
26 |
|
|
А8 |
26 |
11 |
15 |
0 |
19 |
19 |
|
|
А9 |
К 1 марта |
40 |
6 |
31 |
0 |
40 |
40 |
|
А10 |
17 |
10 |
16 |
0 |
12 |
12 |
Список использованной литературы
1. Елкина Л.Г., Копейкина Н.Г. Планирование на предприятии: учебное пособие. Уфа, УГАТУ 2007
2. Сергеева Л.А. Методические указания для выполнения контрольной работы студентами ФАП заочной формы обучения по курсу: «Зарубежный опыт планирования производства продукции». Уфа, 2008
Д21
Д111
Д121
Д4
А7
Комплектующие
Комплектующие