Изучение эффективности стиральных порошков при различных условиях стирки
Дипломная работа на тему:
Изучение эффективности стиральных порошков при различных условиях стирки
Автор:
Кекало Екатерина Александровна
Минск, 2005
Содержание:
Введени
Теоретическая часть
Правила стирки
Пятна
Типы пятен
Общие правила при выведении пятен любого происхождения
Типы волокон
Натуральные текстильные волокна
Химические текстильные волокна
Состав порошков
ПАВ
Отбеливатели
Это загадочное слово «энзимы»
Соли жесткости
Средства защиты от накипи
Ручной или автомат?
Смягчители
Некоторы любят погорячее
Подкрахмаливание
Практическая часть
Результаты и обсуждение
Пигментно-масляные пятна (масло подсолнечное)
Окрашенные пятна (кофе, трава),
Крахмальные пятна (макароны)
Белковые загрязнения (кровь)
Пятна от различных видов чернил (шариковые ручки, маркер)
Пенообразование и pH
О температуре стирки
Эффективность отстирывания различных типов тканей
Соотношение цена-качество
Выводы
Рекомендации
Словарь терминов
Список использованных источников
Приложения
Сводная таблица
Характеристики порошков
Отзыв руководителя
Рецензии
Введение
Каждому из нас хотя бы раз в жизни доводилось выступать в роли химика. Дело в том, что любая одежда требует рано или поздно стирки, и тогда нужен он, тот самый верный друг и незаменимый помощник - стиральный порошок. Но беда нашего времени в том, что друг этот не один. Зайдя в магазин или на рынок, невольно задаешься вопросом: "Какой порошок выбрать?" Причем чтобы в результате получилось дешево и сердито. Ведь ни для кого не секрет, что нередко вместо качественной продукции можно нарваться на откровенную подделку. А потому мы решили провести независимый эксперимент и протестировать некоторые известные стиральные порошки. Тем самым ответить на риторические вопросы типа «Tide или кипячение?», «Дося или дорогой порошок?», и прочие.
Цель работы: экспериментально установить зависимость качества стирки от состава порошка
Задачи:
анализ рынка популярных стиральных порошков РБ
формирование базы данных
разработка рекомендаций потребителям
подтверждение или опровержение вездесущей рекламы
Актуальность состоит в том, что проблема выбора эффективного стирального порошка в тех или иных условиях стоит перед каждым человеком, и выбор этот затруднен из-за многочисленности товарных марок и видов продукции, особенностей тканей, загрязнений и моющих средств, а также воздействия рекламы и советов знакомых.
Теоретическая часть:
Каждая хозяйка хочет купить такой порошок, который бы, как по мановению волшебной палочки, превращал грязное со всевозможными пятнами белье в идеально чистое. При этом, естественно, он должен стоить не очень дорого и бережно относиться к ткани.
Но мало кто задумывается над тем, что для удаления пятен различного происхождения нужны разные химические вещества, которые не всегда уживаются в одном "флаконе". Поэтому задача производителей состоит не только в том, чтобы напичкать порошок всякими действенными добавками, но и определить их правильное сочетание.
А вы перед выбором порошка должны понять, какого именно результата ожидаете от стирки. Естественно, каждый поспешит ответить, что порошок должен отстирать все! Вынуждены вас разочаровать - так не бывает. Каждый порошок отстирывает лучше или хуже те или иные загрязнения. Давайте разбираться, какие пятна бывают и как с ними справляются порошки.
Конечно, большая стирка – это не просто. Можно загрузить всю кучу одежды в машину и получить на выходе белую блузку с разводами истерично бордового цвета, а кружевное бельё – однородным комом. Избежать разочарований поможет соблюдение некоторых правил, общих для ручной и для машинной стирки. Исчерпывающую информацию можно найти на просторах интернета [1-10]
Правила стирки
Для различных тканей необходим разный температурный режим стирки. Поэтому все вещи необходимо рассортировать.
• Разложить одежду по цветам: темную, белую, светлую. Я объединяю розовую с желтой или желтую со светло зеленой, смотря что ожидает стирки.
• При этом стоит учитывать из какого материала сделана одежда: шерсть и шелк стирают отдельно от хлопка и льна.
• Вещи, которые могут полинять, отложить отдельно.
• Также отдельно стоит стирать очень загрязненную одежду.
Вся одежда будет стираться отдельно по группам.
• Белые и сильно загрязненные вещи (как кимоно для карате после тренировки) стираются в горячей воде.
• Вещи темных цветов и красок, которые могут «полинять» – в холодной воде.
• Все остальное стирается в теплой воде.
• Для облегчения выбора температурного режима и программы стирки, на одежду пришивают знаки стирки. Расшифровать их позволяют иногда логика, иногда интуиция или простое запоминание. Часто к вещам приколоты «подсказки», но обычно мы их обрываем вместе со всеми ярлыками.
• Чтобы одежде было где «бултыхаться» не надо загружать стиральную машину так, что дверца барабана с трудом закрывается. Правильно рассчитать загрузку стиральной машины можно с использованием подсказки «Примерный вес белья и одежды».
• Чтобы одежда не была сильно скомкана, лучше ее вынуть сразу по окончании программы стирки и не забыть развесить для просушки, хорошо встряхнув.
Пятна – уникальное явление природы. Они обладают потрясающей способностью возникать на самых видных местах буквально ниоткуда и значительно быстрее, чем новинки химической промышленности, призванные с ними бороться. Можно, конечно, наплевать на испорченную вещь и заменить ее новой. А если она новая? А если - любимая?
Типы пятен:
1. Пигментно-масляные загрязнения - составляют примерно 70% от общего числа (подсолнечное или сливочное масло и т.д.). Жировые пятна имеют размытые контуры. Свежее пятно всегда темнее ткани, а с течением времени приобретает матовый оттенок. Жирные, масляные, крахмальные и белковые (частично) загрязнения изначально не окрашены либо имеют слегка желтоватый оттенок. Однако со временем пятна становятся желтыми и, абсорбируя на себе все пигментные загрязнения пыли и сажи, резко проявляются на поверхности ткани.
2. Окрашенные загрязнения (небелковые, пятна растительного или животного происхождения - кофе, чай, какао, овощи, фрукты, вино и т.д), удаляемые отбеливанием или специальными добавками, - около 10-20%. Сюда же относится необходимость простого отбеливания (для белого белья) и сохранности яркости красок (для цветного). имеют контуры четкие и более темные, чем само пятно. Цвет их от желтоватого до коричневого.
3. Белковые - около 10% (молоко, кровь, яйца, мороженое и т.д.). Жир, входящий в эти продукты, проникает глубоко в ткань, а само пятно остается на поверхности.
4. Водорастворимые загрязнения (например, соль от пота), которые удаляются при смачивании водой, - менее 10%.
Многие пятна от пищи являются смешанными, так, например, пятно от щей будет содержать и пигментно-масляный, и растительный, и белковый компоненты.
Под действием света и кислорода воздуха многие пятна окисляются и по прошествии времени меняют оттенок от желтого до красно-коричневого. Окисляются пятна от фруктов, ягод, вина, кофе, чая, косметики.
Современные моющие средства в большинстве случаев выводят свежее пятно без остатка. Но некоторые пятна, если их предварительно не вывести, могут остаться на одежде и даже закрепиться во время стирки.
Общие правила при выведении пятен любого происхождения
Используя тот или иной растворитель, важно запомнить, что:
• Спирты и кислоты разрушают некоторые краски.
• Ацетон и уксусная кислота разрушают ткани из ацетатного шелка.
• Хлорная известь разрушают хлопчатобумажные ткани.
• Щелочи и отбеливающие вещества применяются только для обработки белых тканей.
• Перед обработкой пятна, обязательно тщательно вычистить вещь от пыли.
• Перед обработкой пятен проверять устойчивость окраски – обязательно. Можно воспользоваться лоскутком, пришитым к вещи. А если он срезан и потерян – на скрытой детали.
• Обрабатывать пятно надо по направлению от краев к середине.
• К пятну подкладывают с изнанки чистую белую тряпку, сложенную в несколько слоев.
• Чтобы не появились разводы и ореол, ткань вокруг пятна надо смочить водой, бензином или присыпать тальком, крахмалом.
• Пятновыводители на небольшие пятна удобно наносить пипеткой или деревянной палочкой. При чистке пользуются ватой, тканью, жесткой кистью или щеткой.
Пятна от травы и листьев
• Смешать 1 литр воды и 1 столовую ложку нашатырного спирта и промокнуть этим раствором пятно. Постирать. Пятно смочить спиртом, а затем вещь постирать. Свежие пятна сойдут при стирке .
Зеленый томат (помидор) помогает справиться не только с пятнами от красных помидоров и томатного сока, но и от зеленых следов травы на одежде и белье. Красные помидоры содержат красящее вещество ликопин из семейства каротиноидных углеводородов. Два других каротиноида -- каротин и ксантофил -- обусловливают оранжевый цвет моркови, желтую и оранжевую окраску многих цветов и плодов. Эти каротиноиды содержатся в живых растениях наряду с хлорофиллом - веществом, обеспечивающим зеленый цвет листьев и протекание процессов фотосинтеза.
Чтобы вывести на ткани пятно от красного помидора или от томатного сока, протрите его соком зеленого помидора, содержащим органические кислоты, пятно обесцветится; потом промойте ткань водой. Сок зеленого помидора поможет, и когда надо избавиться от зеленых пятен, которые оставляет на одежде помидорная ботва (обычно эти пятна не удаляются даже при самой тщательной стирке). Пятна от красных томатов можно вывести и 10%-м раствором щавелевой кислоты, а затем промыть водой. Очистка происходит благодаря обесцвечиванию каротиноидов в кислой среде.
Много неприятностей доставляют пятна от зеленой травы. Между тем с белых тканей их легко удалить теплой мыльной водой с добавкой нашатырного спирта или раствором, приготовленным из одной чайной ложки 30%-й уксусной кислоты и одной чайной ложки щавелевой кислоты на стакан воды. Эти вещества полностью обесцвечивают хлорофилл травы. По химической сути этот способ очень похож на "помидорный": в роли чистящих веществ -- органические кислоты. А на цветных тканях травяные пятна удаляют этиловым спиртом или диэтиловым эфиром. Хорошо помогает также крепкий раствор поваренной соли (2 столовые ложки соли на стакан воды).
Пятна от красного вина и фруктов
• Посыпать солью на свежее пятно, а потом постирать.
• Застарелые пятна обработать раствором лимонной кислоты (2 грамма на 1 стакан воды) и промыть теплой водой. Если после этого на белой ткани остались следы, то их можно протереть смесью перекиси водорода с нашатырным спиртом (по 1 чайной ложке на стакан горячей воды). Промыть холодной водой
Когда дети с аппетитом едят фрукты, роняя капли сока на одежду, они и не подозревают, сколько забот и хлопот создают своим мамам и бабушкам. Еще бы: растительные пятна, где присутствуют все краски живой природы так непросто отстирать! Соки вишни, черешни, брусники, клубники, свеклы, краснокочанной капусты, граната, пигменты цветов, красное вино содержат природные красители, которые от действия щелочных растворов (соды, нашатырного спирта) меняют свой цвет на синий или фиолетовый, а от действия кислот -- на красный. Они могут даже служить природными индикаторами кислотности среды.
Красные и синие красители цветов и плодов -- антоцианы и их производные антоцианидины -- легко растворимы в воде и растворителях с полярными молекулами (например, в спиртах). Соли антоцианов и антоцианидинов имеют красный цвет; в нейтральной среде они приобретают пурпурную окраску, а при подщелачивании становятся синими. Почти бесконечное цветовое разнообразие плодов и цветов объясняется тем, что антоцианы и антоцианидины присутствуют в растениях в разных формах (пирилиевой или хиноидной), а иногда вдобавок образуют соли с различными катионами.
Порой антоциан одного и того же состава окрашивает разные цветы и плоды в совершенно непохожие цвета. Так, один и тот же краситель цианин обусловливает и синий цвет василька, и красный цвет розы... Самые важные из семейства антоцианов -- это пеларгонин (пигмент пеларгонии), мекоцианин (из мака), кероцианин (из черешни), дельфинин (из шпорника), мальвин (пигмент мальвы) и энин (из красного винограда и красного вина).
Свежие пятна от фруктов, цветов и вина удалить совсем нетрудно: для этого надо обработать их нашатырным спиртом (3%-м водным раствором аммиака) или раствором соды (1 чайная ложка на 1 стакан воды), а потом промыть водой. Для удаления старых пятен используют бензиновое мыло. Если, несмотря на все ваши усилия, на ткани остались фиолетовые или синие следы, то белые ткани и ткани с прочной окраской можно прокипятить с персолью или с перекисью водорода. Белые хлопчатобумажные и льняные ткани с фруктовыми пятнами рекомендуют также сначала замочить в молоке, а после этого постирать. Пятна от фруктов, соков, красного вина хорошо удаляются раствором 2 г лимонной кислоты в 20 мл этилового спирта при легком (до 40 oС) нагревании; после такой обработки надо прополоскать ткань в теплой воде, 1%-м растворе аммиака (разведенном втрое нашатырном спирте) и, наконец, снова в воде с добавкой нескольких капель уксусной или щепотки лимонной кислоты. Лимонная кислота связывает железо, входящее в состав солей антоцианов, а аммиак создает щелочную среду, и красная окраска переходит в голубоватую.
Совсем свежие пятна от соков и вина удаляются просто кипятком. Если вы не успели или не сумели это сделать, учтите, что на светлой шелковой ткани еще в течение нескольких часов винные пятна поддаются выведению 10%-м раствором уксусной кислоты. Окончательно расправиться с пятном от вина на светлом шелке можно, обрабатывая ткань сернистым газом -- диоксидом серы. Для этого кусочек серы или щепотку серного порошка ("серного цвета") кладут на железную пластинку или в керамическое блюдце и поджигают спичкой. Над пламенем горящей серы держат стеклянную воронку "носиком" вверх ( так, чтобы сернистый газ, образующийся в соответствии с реакцией взаимодействия серы с кислородом, мог выходить через трубку воронки. Увлажненную водой ткань с пятном держат в струе выходящего газа, который ее отбеливает. Диоксид серы образует с водой сернистую кислоту (точнее, гидрат диоксида серы), а это соединение обесцвечивает большинство загрязнений. Чтобы потушить горящую серу, достаточно накрыть ее пустой чашкой и тем самым прекратить доступ воздуха. Обработанное место на ткани тщательно промывают водой. Чтобы восстановить прежний блеск, влажную ткань посыпают порошком талька, который после высыхания счищают мягкой щеткой.
Ягодные и фруктовые пятна на светлом атласе и изделиях из натурального шелка отчищают также тампоном из марли, смоченным подогретым этиловым спиртом (антоцианы растворимы в спиртах). Можно также, смочив ткань водой, втереть в место загрязнения щепотку тиосульфата натрия, а потом смыть его водой.
Застарелое пятно на белой ткани выводят иначе: увлажняют водой, затем посыпают порошком гидросульфита натрия, потом пипеткой наносят на пятно 3%-й водный раствор перекиси водорода. После этого обязательно промывают обработанное место водой с добавкой уксуса. Это способ отбеливания "двойного действия". Он основан на выделении из пероксида (перекиси) водорода активного атомарного кислорода [O] в слабокислой среде, которую создает в водном растворе гидросульфит натрия. Одновременно выделяется некоторое количество диоксида серы. Атомарный кислород и газообразный диоксид серы в смеси очень эффективно обесцвечивают природные красители антоцианы.
Пятна от фруктов и вина на цветных тканях хорошо удаляет смесь равных объемов глицерина и сырого яичного желтка. Только не забудьте после такой обработки тщательно промыть ткань теплой (не горячей!), а затем холодной водой.
Пятна от белого вина
Куском чистого льда тереть по пятну, пока оно не исчезнет. Вытереть это место чистой полотняной тряпочкой или салфеткой (если нет льда, можно использовать очень холодную воду).
Ликер
намочите пятно таким же ликером, который послужил причиной пятна; затем промойте водой с мылом.
Пятна от пива
•обычно сходят при стирке
• На шелковых тканях -
обработать тампоном, смоченным водкой.
• На тканях всех видов обработать
смесью глицерина, нашатырного спирта
и винного спирта и воды (1:1:1:8). Этот же
способ подходить для выведения пятен
от шампанского.
Пятна от фруктов, соков и ягод
• Смочить тампон в уксусе (не винном) и промокнуть им пятно. Прополоскать в холодной воде. • Свежее пятно засыпать столовой солью (соль вбирает в себя часть влаги и не дает пятну расплыться). Постирать Пятно на белой или другой нелиняющей ткани можно обдать крутым кипятком
Пятна от белка
• Если белье не шерстяное и не шелковое, оно выдерживает стирку порошком с биодобавками (ферментами, разлагающими белки).
• Когда белковые пятна свежие, проблема их удаления решается сравнительно легко. Замачивание в теплой воде с добавкой такого порошка, стирка, прополаскивание -- вот и все. Но как быть в других случаях?
• Цветные ткани с белковыми пятнами замачивают в крепком (3 столовые ложки на литр воды) растворе поваренной соли и держат в нем несколько часов, пока пятна крови не исчезнут.
• Белковые пятна на шелке покрывают кашицей из крахмала, которую, когда она высохнет, счищают ножом (крахмал здесь выполняет функцию адсорбента (поглотителя загрязнений). Потом полощут ткань в мыльном растворе и в воде, куда добавлено несколько капель 3%-й уксусной кислоты.
• Старые белковые пятна на льняных или хлопчатобумажных тканях протирают разведенным пополам нашатырным спиртом, а потом 10%-м раствором буры. Обработку бурой и нашатырным спиртом можно совместить, смешав оба раствора, тогда чистка будет еще эффективнее.
Пятна от яиц
• После удаления жиров такие пятна тоже отчищают нашатырным спиртом. На белых тканях после этой обработки часто проступает желтизна, которую можно ликвидировать с помощью 1%-го водного раствора перекиси водорода. Изделия из цветного шелка с пятнами от яиц выдерживают только чистку 10%-м водным раствором буры.
• Свежее пятно засыпать солью и добавить несколько капель воды. Через полчаса удалить все щеткой.
• Пятна на цветных тканях смазывают подогретым глицерином. Через 20 минут протирают тампоном, смоченном в глицерине и смывают водой.
• На белых тканях пятна смачивают раствором нашатырного спирта (1:10), затем протирают этим же раствором. И в стирку.
• Если же все приведенные способы не помогают, купите в аптеке 1 г панкреатина, добавьте к нему половину чайной ложки глицерина и одну чайную ложку воды. Этим составом намажьте пятно и оставьте ткань полежать 1--2 часа. После этого прополосните изделие теплой водой с добавкой 5--10 капель нашатырного спирта.
Пятна от крови
• Прополоскать в холодной воде, а затем постирать про температуре 30-40° С.
• Пока они свежие, их промывают холодной водой, а затем теплым мыльным раствором.
•Кровяные пятна также выводят при комнатной температуре водными растворами кальцинированной или питьевой соды, аммиака (нашатырным спиртом). Можно воспользоваться и отбеливателями (персолью, гидроперитом, перекисью водорода), но уже при кипячении.
•Отбеливатели, содержащие производные хлора, для удаления этих пятен куда менее эффективны.
Молочные пятна
• Для удаления молочных пятен без стирки требуется глицерин, нашатырный спирт и бензин. Кроме белковых веществ, в молоке есть и жиры, поэтому такие пятна на любой белой ткани сначала обрабатывают бензином. Потом наносят нашатырный спирт; если речь идет о чистке белой шерстяной ткани, то нашатырный спирт заменяют 10%-м водным раствором глицерина.
• Цветные ткани из шерсти и натурального шелка обрабатывают только глицерином и водой.
• Некоторые виды искусственного шелка выдерживают и контакт с нашатырным спиртом (это обстоятельство выясняют предварительной пробой на незаметном участке изделия).
Пятна от мороженого
• Промокнуть пятно тампоном, смоченным в бензине, а затем постирать.
Пятна от кофе и чая
• У нас и вправду пьют много чая, "гоняют чаи". Но где пьется, там и льется... А пятна от чая на скатерти, салфетке или посудном полотенце приводят в отчаянье любую хозяйку. Попробуй-ка их отстирай! Суть дела в том, что в чае содержится таннин -- вещество с дубильными свойствами. Из-за него чайные пятна особенно прочно закрепляются на ткани. Обычно от этого страдает столовое белье. Как быть? Проще всего скатерти и полотенца с пятнами от чая прокипятить с персолью.
• Но можно вывести чайные пятна без стирки. Для этого белую хлопчатобумажную или льняную скатерть обрабатывают губкой, смоченной нашатырным спиртом, смывая следы чая на подложенную заранее мягкую ткань или бумагу, а затем смачивают очищенное место 10%-м водным раствором лимонной кислоты. Через 10--15 минут лимонную кислоту смывают водой.
• Пятно от чая на цветной ткани обрабатывают так же, но вместо нашатырного спирта берут 10%-й водный раствор буры, а лимонную кислоту готовят более разбавленную (5%-ю), причем с добавкой поваренной соли, чтобы закрепить краситель ткани. Сразу же после этой обработки промывают ткань холодной водой.
• Шерстяные и шелковые ткани с чайными пятнами обрабатывают тампоном, пропитанным теплым глицерином; через 10--15 минут поверхность ткани промывают теплой водой и промакивают сухим полотенцем.
• Наконец, пятно от чая можно удалить, замочив ткань в растворе, содержащем одну чайную ложку щавелевой кислоты и две чайных ложки лимонной кислоты на стакан воды.
Пятна от какао и шоколада
• Свежее пятно посыпать солью
и смочить водой. Постирать.
• Обработать
теплым 1,5-процентным раствором нашатырного
спирта.
• Со светло окрашенных
шерстяных и шелковых тканей пятна
смачивают слегка подогретым глицерином.
Через 15 минут промыть теплой водой.
•
Обработать раствором уксуса и спирта
(1:1).
Пятна от жевательной резинки лейкопластыря
• Вещь положить в пакет и поместить в морозильную камеру холодильника. Через час можно снять остатки тупым ножом (очень осторожно, чтобы потом не пришлось заниматься художественной штопкой). Поместить на бумажное полотенце и протереть с изнанки ватой, смоченной в бензине, спирте или ацетоне. А теперь – в стирку.
Пятна от ручек
• Смочить ватный тампон в спирте и слегка постукивать по пятну, а затем вещь постирать. Можно взять смесь (1:1) винного спирта и нашатырного спирта. Свежее чернильное пятно натереть соком лимона или лимонной кислотой. Постирать.
Чернила бывают самого разного состава, однако они обязательно содержат краситель (пигмент) и растворитель. Вводят в чернила и добавки, которые улучшают их качество, -- поверхностно-активные вещества, консерванты, антисептики. Существует множество видов чернил: для ручек и для фломастеров, для самописцев автоматических приборов и т.д. Одни смываются обычной водой, и на листе бумаги, попавшем под дождь, не видно ничего, кроме пятен и разводов, другие не тускнеют сотни лет и используются для документальных записей. В этом же ряду -- пасты для шариковых авторучек.
Самый древний рецепт чернил -- из "чернильного орешка". Эти чернила, кроме воды, содержат дубильные вещества и железистые соединения галловой кислоты, а в качестве добавок -- железный купорос, гуммиарабик и карболовую кислоту (фенол). Более современные рецепты чернил весьма сложны и ревниво охраняются их изобретателями. Ализариновые и антраценовые чернила, помимо веществ, давших им название (ализарина и антрацена), содержат анилиновые красители. В цветных чернилах содержатся только анилиновые красители и вода. Долговечность надписей на бумаге, тканях, пластике и стекле обеспечивают чернила, содержащие вместо воды спирты, ксилол, масла и другие органические растворители.
При всем разнообразии чернил и "пишущих" составов у них есть общая отрицательная черта: все они могут испачкать одежду, руки, пол, мебель. Чем лучше чернила, тем труднее избавиться от чернильных пятен.
• Чернильные пятна выводят смесью нашатырного спирта и питьевой соды (чайная ложка соды на стакан нашатырного спирта);
• лимонным соком или лимонной кислотой, щавелевой кислотой (лимонная и щавелевая кислоты при взаимодействии с солями железа, входящими в состав чернил, образуют очень прочные бесцветные комплексы, хорошо растворимые в воде);• с белых тканей смесью перекиси водорода с нашатырным спиртом;
• с цветных тканей смесью глицерина и этилового спирта;
• с любых тканей простоквашей (содержащей молочную кислоту, которая образует прочные комплексы с красящими веществами чернил). После обработки изделие надо тщательно отстирать и прополоскать;
• с кожаных вещей теплым молоком;
• с ковров теплым молоком, лимонным соком, крепким (столовая ложка на стакан воды) раствором лимонной кислоты, 30 %-й уксусной кислотой. Наносят все эти очищающие растворы щеткой, а потом смывают тампоном, обильно смоченным водой;
• с клеенки иногда удается смыть чернильное пятно ватным тампоном, смоченным этиловым спиртом или одеколоном.
• Однако лучше всего отчищать чернильное пятно с клеенки головкой спички. В состав спичечной головки, помимо "химических" компонентов зажигательной смеси (серы, свинцового сурика, бертолетовой соли), входит стеклянный порошок тонкий абразивный материал. Поэтому спичка может служить миниатюрным "напильником", который хорошо удаляет пятно со смоченной водой поверхности. Полезно после такой чистки смазать клеенку капелькой растительного масла: оно восстановит блеск и создаст защитную пленку.
• Пятна от пасты для шариковой ручки обрабатывают тампоном, смоченным смесью равных объемов ацетона и этилового спирта.
• Вывести такое пятно поможет осторожное подогревание тампона горячим утюгом. С шерсти или шелка пятна от пишущей пасты выводят стиркой в концентрированном растворе бензинового мыла.
• Точно так же можно вывести и пятна от фломастеров, пишущих по стеклу и пластику, которые содержат красящий состав на неводной (масляной, спиртовой или ксилоловой) основе. Однако избавление от такого пятна - трудная задача и требует времени и терпения.
• Пятна от черной туши можно смыть обычным хозяйственным мылом, только когда они совсем свежие; засохшее пятно, к сожалению, вывести нельзя никак. Более того, черной тушью можно сделать практически несмываемые метки и надписи на белье, если нанести надпись, высушить ее и "закрепить", прогладив горячим утюгом.
Пятна от смолы
С шерстяных тканей – очищенным скипидаром. С хлопчатобумажных тканей – скипидаром или бензином. Постирать. Вещи, которые нельзя стирать, надежней отнести в химчистку.
• Обработайте (осторожно!) изделие скипидаром. Можно пользоваться ватным тампоном, который кладется сверху на слой ткани/трикотажа, при этом снизу подкладывается чистая мягкая тряпочка. После этого тампон со скипидаром, тоже покрытый тряпочкой, прижимают к пятну теплым утюгом. С помощью паров скипидара, меняя тампоны и тряпочки, постепенно можно свести пятно от смолы.
Пятна от губной помады
Поместить ткань пятном на бумажное полотенце и протереть с изнанки ватным тампоном, смоченным в спирте или бензине, часто меняя бумагу. Замочить и постирать.
Пятна от жира животного происхождения (жир, масло, маргарин)
• Свежие пятна перед стиркой рекомендуется прогладить не сильно нагретым утюгом через 2-3 слоя промокательной бумаги, подложив ее также под пятно. После этого пятно дочищают бензином или пятновыводителем. Развести нашатырный спирт в горячей воде (1:1). Обработать пятно. Постирать. Пропитать пятно смесью чистого спирта (пол стакана) и бензина (пол чайной ложки). Дать ткани высохнуть.
• Если вещь нельзя стирать, то сильно нагреть картофельную муку и посыпать ею загрязненное место, под которое подложить белую ткань. Выдержать минут 20 и стряхнуть. Повторять до тех пор, пока пятно не исчезнет. Потом все вычистить щеткой. Для светлой шерстяной ткани можно картофельную муку развести водой до состояния кашицы и оставить на несколько часов. Промыть, просушить. Если следы остались, их удаляют смоченной в бензине тряпочкой, а затем вытирают кусочками черствого хлеба.
Какие средства помогут избавиться от жирных пятен? Это органические растворители бензин, ацетон, скипидар, хлороформ, тетрахлорид углерода, дихлорэтан, диэтиловый эфир. "Подобное растворяется в подобном" -- это старинное химическое правило подтвердит и всякая домохозяйка, и любой специалист по химчистке. В самом деле: растворители с неполярными симметричными молекулами лучше любых других средств выводят жировые загрязнения, тоже состоящие из неполярных частиц. Жирные пятна еще неприятны и тем, что со временем на них садится всякая другая грязь и пыль.
Для выведения застарелых пятен лучше всего использовать смесь растворителей: например, в равных частях смешать бензин и ацетон, или бензин, диэтиловый эфир и скипидар. А еще хорошо выводить такие пятна бензиновым мылом. Его готовят так: в 180 мл бензина растворяют 4 мл этилового спирта и 12 мл олеиновой кислоты, а потом при постоянном перемешивании к этой смеси добавляют еще 6 мл 25%-го водного раствора аммиака. Полученный прозрачный раствор надо хранить в посуде из темного стекла в закупоренном виде. Бензиновое мыло отлично справляется с пятнами от жирных соусов, майонеза, какао, шоколада.
Свежие жировые пятна лучше всего удалять, используя явление адсорбции загрязнений порошкообразными поглотителями. Адсорбция -- это поглощение веществ поверхностью поглотителя (адсорбента). Если адсорбент (поглотитель) представляет собой порошок, очистка идет тем успешнее, чем мельче его частицы. Еще лучше, если эти частицы пористые: тогда поверхность, участвующая в поглощении, многократно больше. Свежее пятно от жира надо засыпать адсорбентом -- крахмалом, кукурузной мукой, порошком мела), жженой магнезией, с обеих сторон покрыть ткань бумагой и положить груз. Через несколько часов можно очистить щеткой нанесенный порошок, поглотивший жир. Полезно перед такой обработкой порошок поглотителя слегка (до 40--50 oС) подогреть на чистой сковороде или в духовке. Если ткань темная, лучше все это проделывать с изнанки, чтобы потом не было проблем с удалением белесого пятна от поглотителя. Кстати, поглотитель можно нанести и в виде пасты, смешав его с бензином или тетрахлоридом углерода. Мел и крахмал можно заменить тонким порошком силикагеля или мелким прокаленным речным песком.
С кожи и грубых тканей жирные пятна снимают раствором диэтилового эфира (10 мл) в скипидаре (40--70 мл) или смесью бензина (40 мл), диэтилового эфира (10 мл) и амилацетата (5 мл). Вместо амилацетата можно использовать растворитель лака для ногтей. Пятнам от воска или парафина в большинстве случаев не требуется никакой другой обработки, кроме тепловой: надо положить на пятно сверху и снизу мягкую бумагу и прогладить ткань несколько раз горячим утюгом, меняя подложку. Остатки пятна легко удаляются бензином.
Засохшие пятна от масляных красок и олифы
Масляная краска, парфюм - такие пятна трудно удалять. Протрите пятно мыльной пудрой, затем пропитайте алкоголем и почистите. Если изделие из хлопка можно удалить пятно 12% раствором перекиси водорода, смочите и немедленно прополощите в теплой воде.
Малярная краска - протрите скипидаром и затем промокните спонжем, пропитанным в мыльном растворе, прополощите.
Cначала надо смазать вазелином, олеиновой кислотой или свиным жиром, чтобы размягчить пятно, а затем обработать скипидаром или бензином. Потом такое пятно смачивают нашатырным спиртом и промывают водой. Можно также воспользоваться кашицей из скипидара и картофельного крахмала или белой глины -- каолина. Такую смесь кладут на пятно ровным слоем на 4--5 часов, а потом смывают кашицу водой с мылом. Скипидар растворяет, а крахмал или каолин поглощают (адсорбируют) жир; вода с мылом удаляет очищающую смесь вместе с грязью. Если нет скипидара, замените его бензином или ацетоном.
С шерстяных или шелковых тканей подобные пятна удаляют смесью диэтилового эфира и тетрахлорида углерода, а с цветных изделий -- горячим глицерином.
Пятна от лака для ногтей
Поместить ткань пятном на бумажное полотенце. Протереть с изнанки жидкостью для снятия лака несколько раз, до исчезновения пятна. Постирать.
Пятна от земли
• Замочить вещь в воде с уксусом 1:1. Постирать.
Пятна от табака
Чаще всего сходит при стирке. Если вещь нельзя стирать, то пятно выводят теплым глицерином или денатурированным спиртом. • Самое надежное и простое - отнести вещь в химчистку.
Никотин
протрите пятно раствором аммиака и глицерина в равных частях
Пятна от свечей (основной компонент – воск или парафин)
Осторожно тупым ножом снять остатки воска (как в случае с жевательной резинкой). Прогладить ткань между слоями бумажного полотенца. При этом ткань поместить изнанкой вверх. А теперь – в стирку.
Очистить парафин от свечи с ковра. Везде описанный метод с промокательной бумагой и тёплым утюгом не подойдёт - ковёр пострадает. - Попробуйте вывести парафин с помощью четыреххлористого углерода или дихлорэтана (без нагревания). Это реактивы, которые применяют в химчистке.
Пятна от йода
• Смочить холодной водой и натирать крахмалом до тех пор, пока пятно не исчезнет. Постирать.
• Замочить вещь в водном растворе нашатырного спирта (1 грамм на стакан воды) и постирать.
• 10 процентный раствор гипосульфита. (применяется в фотографии)
Пятна от иода со светлых шерстяных, шелковых и хлопчатобумажных тканей снимают, протирая загрязненное место водным раствором гипосульфита (тиосульфата) натрия Na>2>S>2>O>3> или сульфита натрия Na>2>SO>3> (1 чайная ложка на стакан воды). Затем ткань промывают водой. Действие гипосульфита и сульфита натрия связано с образованием бесцветных и хорошо растворимых в воде веществ -- иодида натрия NaI и иодоводорода HI -- в результате реакций:
2 Na>2>S>2>O>3> + I>2> = Na>2>S>4>O>6> + 2NaI
Na>2>SO>3> + I>2> + H>2>O = Na>2>SO>4> + 2HI
Свежее пятно от иода можно удалить, если смочить его холодной водой и натереть крахмалом. Эту операцию повторяют несколько раз, сбрасывая щеткой предыдущую порцию порошка. Крахмал поглощает иод (вспомните, как синеет крахмальное белье от попавшего на него иода!). Однако этот способ не так надежен, как предыдущие. Если после всех попыток удаления все-таки остались следы иодного пятна, обработайте ткань марлевым тампоном, смоченным 3%-м раствором перекиси водорода. Через 5--10 минут промойте ткань холодной водой и высушите салфеткой. Пероксид водорода окисляет иод, превращая его в бесцветную и хорошо растворимую в воде иодноватую кислоту HIO>3>:
5H>2>O>2> + I>2> = 2HIO>3> + 4H>2>O
Старые пятна от иода практически не поддаются удалению. Однако можно попробовать намочить ткань с таким пятном раствором иодида калия KI (1 чайная ложка на стакан воды) и сразу же промыть водным раствором тиосульфата натрия (2 чайные ложки на стакан воды). При этом образуется растворимый комплекс K[I(I)>2>], который полностью разрушается тиосульфатом натрия, переходя в бесцветные соли -- иодиды натрия и калия и тетратионат натрия.
Пятна от ржавчины
• Положить на загрязненный участок кусочек лимона, завернутый в марлю и бумажную салфетку. Прижать его нагретым утюгом.
Мы живем в мире железных вещей. Порой забытая в кармане скрепка, гвоздик, гайка или булавка становятся причиной появления бурого ржавого пятна на одежде. Но для людей, знакомых с химией, это дело поправимое. Пятна от ржавчины можно вывести раствором щавелевой кислоты (2 столовые ложки) и поташа (карбоната калия) (1 столовая ложка) на стакан воды. Чтобы приготовить эту смесь, щавелевую кислоту и поташ растворяют по отдельности в половинном количестве воды, а потом смешивают полученные растворы. Ржавчина -- метагидроксид железа FeO(OH) -- взаимодействует с образовавшейся после смешивания растворов щавелевой кислоты и поташа кислой солью -- гидрооксалатом калия -- и переходит в раствор в виде хорошо растворимого и почти бесцветного гидрооксалата железа. Можно вместо поташа взять и соду (карбонат натрия), но получаемый гидрооксалат натрия хуже растворим в воде, чем гидрооксалат калия, воды придется взять больше, и очистка будет не столь эффективна.
Ржавое пятно с любой ткани можно удалить, если положить на загрязненный участок завернутый в марлю кусочек лимона и прижать его горячим утюгом. Если ткань белая, то после "лимонной" обработки пятно смачивают перекисью водорода или втирают во влажную ткань сухую персоль. Через 5--10 минут пятно промывают водой.
Можно поступить иначе: погрузить загрязненный участок ткани на 3--5 минут в подогретый до 80--90 (С водный раствор уксусной кислоты (2 столовые ложки 70 %-й уксусной эссенции на стакан воды). Обработку ведут только в эмалированной посуде. Потом ткань промывают теплой водой, куда для нейтрализации остатков кислоты добавляют нашатырный спирт, разбавленный водой (1 столовая ложка на 2 л воды). Уксусная и лимонная кислоты удаляют ржавчину, образуя растворимые в воде соли железа -- ацетат и цитрат железа.
Эти способы подходят для удаления и свежих, и старых ржавых пятен, однако неприменимы к тканям, окраска которых портится от кислот.
Пятна кислотные
Минеральные кислоты (азотная, серная, соляная) разрушают ткани, особенно хлопчатобумажные и льняные. Места, пораженные кислотой, сразу же промыть раствором питьевой соды или нашатырного спирта (1 чайная ложка на стакан воды) или хотя бы водой.
• Органические кислоты (винно-каменная, лимонная, уксусная, щавелевая) немедленно смываются водой. Наиболее агрессивная из них – щавелевая. Особенность уксусной кислоты – вредное воздействие на ацетатный шелк и окраску некоторых тканей. Если эта кислота не удалена, то изделие нельзя стирать с мылом, иначе образуются пятна.
Пятна от мочи
Обработать винным спиртом. • На белых тканях можно обработать раствором лимонной кислоты (1:10). На цветных тканях – раствором уксуса (1:5). Через час пятно промыть водой.
Пятна плесени
Хлопчатобумажные и льняные ткани постирать в режиме кипячения.• Обработать нашатырным спиртом, разведенным в воде 1:5. Замочить в отбеливателе, содержащем хлор. Белую ткань обработать смесью перекиси водорода и нашатырного спирта. Окрашенные шерстяные и шелковые ткани обрабатывают скипидаром. Застирать в теплой воде.
Пятна пота
обычно сходят при стирке.
• Можно протереть раствором поваренной соли (1 столовая ложка на 1 стакан воды). Окрашенные шерстяные ткани осторожно обрабатывают бензином или ацетоном.
Пятна от вазелина
Пожалуй, для удаления вазелина лучше всего подойдет бензин (только хорошо очищенный - напр. авиационный). Велико ли пятно? если оно небольшое, надо намочить вату в бензине, приложить к пятну, а изнутри изделия положить фильтровальную (можно и туалетную бумагу) или чистую ткань. Потом через марлечку теплым (не горячим!) утюгом прогреть вату с бензином, чтобы он "просочился" сквозь пятно. Обработку повторить несколько раз.Сильно загрязненное изделие замочить и отстирать в бензине. Не забудьте: бензин огнеопасен. Это значит: рядом с ним - не курить, не применять открытого огня.
пятна от марганцовки
можно удалить с помощью перекиси водорода и уксусной кислоты
Зеленка
хорошо растворяется в воде с мылом. Возможно, придется обработать пятно также спиртом
Пятна от горячего утюга
На хлопчатобумажных и льняных белых тканях тоже можно удалить с помощью реакции окисления - восстановления. В качестве окислителя надо использовать водный раствор хлорной извести (осторожно!) в отношении 1:50 по массе. При перегреве ткани образуются коричневые продукты термического окисления, а хлорная известь разрушает их, делает бесцветными. Но имейте в виду, что в результате реакции образуется соляная (хлороводородная) кислота, которая сама по себе может разрушить ткань. Поэтому сразу после чистки ополосните ткань слабым раствором соды, чтобы нейтрализовать кислоту, а затем промойте чистой водой.
Пятна от подпалины утюга. Подпалину протрите перекисью водорода, разведенной пополам с водой, и гладьте теплым утюгом, пока не высохнет. Пятно можно вывести другим способом: намочить его раствором борной кислоты, а затем простирать вещь в воде комнатной температуры.
Небольшие подпалины на ткани от раскаленного утюга протрите половинкой сырой луковицы, замочите ткань в холодной воде, через час-два окончательно ототрите пятно.
Свежие подпалины сразу же смочите холодной водой, посыпьте солью и через некоторое время застирайте.
Подпалины с льняных вещей исчезнут, если их на ночь замочить в воде пополам с кислым молоком. Для удаления подпалин с хлопчато-бумажных вещей их замачивают на час в холодной воде, протирают раствором из 1 чайной ложки хлорной извести на 1 стакан воды, затем тщательно прополаскивают.
Пятна от копоти и сажи.
Пятна от сажи и копоти удаляют ватным тампоном, смоченным в скипидаре.
Пятна от мазута
Постирать с помощью каустической соды. Раньше помнится она была в продаже в хозтоварах (в порошке). После выведения этой содой постирать вещь как обычно.
Пятна от обувного крема
Приготовляют смесь из равных частей скипидара, денатурата или ацетона и добавляют в неё крахмал до образования кашицы. Кашицу втирают в пятно, через 5 минут её счищают, на пятно накладывают свежую порцию. Так делают до тех пор, пока пятно не исчезнет. Обувной крем - намочите изделие скипидаром и затем протрите чистой тряпочкой.
Кока-кола
Положите под изделие чистое полотенце и потрите пятно составом из воды и глицерина в равном количестве. Прополощите изделие и отожмите.
Пятна неизвестного происхождения.
Для выведения пятен неизвестного происхождения испытайте простейшее и довольно надежное средство — холодную воду. Подложите под пятно старое полотенце и тряпочкой, смоченной в холодной воде, начинайте оттирать пятно, двигаясь от краев к середине. Время от времени передвигайте полотенце на новое место и прополаскивайте тряпочку. Если пятно исчезло, дайте ткани высохнуть, не прибегая к помощи утюга, иначе может появиться другое пятно. Горячая вода действует более эффективно, но вы должны быть уверены, что пятно не от мяса (рыбы, яиц, молочных продуктов, крови). Белок, содержащийся в них, от горячей воды свёртывается и становится несмываемым.
Типы волокон:
Текстильные волокна делятся на натуральные (природные), минеральные, модифицированные (модификации исходного волокна) и искусственные [11-13].
Натуральные текстильные волокна. Натуральные волокна бывают животного или растительного происхождения. К волокнам животного происхождения относятся шерсть альпака, верблюда, викуньи, гуанако, гуарицо (потомство самца ламы и самки альпака), козы, козы мохер, коровы, кролика, ламы, овцы, свиньи, а также мех и шелк. Мытая органическими растворителями шерсть, волокно из переработанного лоскута, очесы, повторно обрабатываемая шерсть, повторно используемая шерсть, шодди и волокно из шелковых отходов и пряжи называются регенерированными или искусственными волокнами животного происхождения.
К натуральным волокнам растительного происхождения (называемым лубяными) относятся волокна абаки, ананаса, генекена, джута, капка, кенафа, кокосовой пальмы, конопли, льна, манилы, рами, сизаля, соломы, хемпа (кроталярии) и хлопка.
Хлопок. Хлопок (рис.1), который дает самое распространенное в мире натуральное текстильное волокно, выращивается во многих регионах с тропическим и умеренным климатом. Основные страны-производители – КНР, США, Узбекистан, Индия, Пакистан, Бразилия, Турция, Египет и Австралия. Крупнейшим потребителем хлопка является КНР, за ним следуют Индия, США, Россия, Япония, Бразилия, Пакистан, Южная Корея, Турция и Египет.

Рис.1. Хлопок
Хлопок представляет собой белое, буровато-белое, желтовато-белое или синевато-белое волокнистое вещество, покрывающее семена некоторых растений рода Gossypium, семейства мальвовых. Из хлопка изготавливают бельевые, платяные, декоративные, а также технические ткани, швейные нитки, шнуры и многое другое. Он пригоден для изготовления не только низкосортных, дешевых видов суровой марли и принтклота, но и тонкого полотна, а также кружев и других ажурных материалов.
Хлопок характеризуется длиной и толщиной («тониной») волокна, а также способностью впитывать краску. Из длинноволокнистого хлопка делают высококачественный текстиль, а из коротковолокнистого – долговечный.
К хлопчатобумажным тканям
относятся ситец, бязь, сатин, поплин,
тафта, толстая байка, тонкий батист и
шифон, джинсовое полотно. Изделия из
хлопка очень прочные, хорошо переносят
стирку и утюжку при высоких температурах,
очень хорошо впитывает влагу. А с другой
стороны – при стирке заметно «садятся»,
долго сохнут и в носке сильно сминаются.
Поэтому к хлопковой нити часто добавляют
лавсан или полиэстер.
Цветное белье
из хлопка стирают при температуре до
60 градусов, тонкое цветное белье – при
температуре до 40 градусов. Для стирки
белого белья используют универсальные
моющие средства, для цветного – мягкие
моющие средства и средства без
отбеливателя.
Лен. Льняные ткани, считающиеся самым древним видом тканей, изготавливаются из волокнистого материала стеблей льна-долгунца – Linum usitatissimus (рис.2). У него тонкий стебель, достигающий в высоту 1 м, мелкие узкие листья и ярко-синие цветки. При выращивании на волокно лен сеют часто, чтобы растения ветвились лишь на верхнем конце и волокно было длиннее. При выращивании же на семена (для получения льняного масла) лен сеют реже, чтобы он давал больше ветвей с семенами.
Льняные ткани отличаются большой влагопоглощаемостью, не имеют пуха, обладают блеском и прохладны в носке. Еще недавно они считались мнущимися, но в настоящее время найдены способы придания льноволокну эластичности. Чтобы уменьшить «помятость» к льняной нити добавляют полиэстер. Или смешивают лен, хлопок, вискозу и шерсть. Из льна изготавливают полотенца, постельное белье, скатерти, простыни, драпировочные, обивочные ткани, прокладочные материалы и различные предметы одежды: блузы, спортивные куртки, юбки, слаксы (широкие брюки) и детскую одежду. В домашних интерьерах применяют льняные обои и мебельные ткани.
Ежегодно во всем мире производится около 680 тыс. т льняного волокна. Основные производители: Россия, Белоруссия, Литва, Латвия, Эстония, Польша, Франция, Египет, Чехия, Словакия, Бельгия и Нидерланды. Лучший в мире моченый лен поступает из Бельгии. Вода в р.Лейе (Лисе) в Бельгии особенно подходит для мочения льна. На этой реке расположен знаменитый «город льна» Кортрейк.

Рис.2. Лен
Основной компонент волокон растительного происхождения – целлюлоза (рис.3).

Рис.3. Структурная формула целлюлозы
Шерсть. Этот тип сырья можно получить от многих животных: овец, коз, лам, кроликов (рис.4), даже кошек и собак. Шерсть считается настоящим волокном животного происхождения, если настригается с живых овец. «Мертвая» же шерсть, собираемая на скотобойнях, во всех отношениях значительно хуже «живой».
Ежегодно в мире производится около 270 тыс. т овечьей шерсти, причем около трети этого количества приходится на Австралию, а остальное – на страны СНГ, Новую Зеландию, Аргентину, Южную Африку, Уругвай, КНР, Турцию и США.
Шерстяные ткани, выработанные из смеси длинных и коротких волокон, мягки (хотя и не мнутся), но не сохраняют острой складки. Камвольные шерстяные ткани, или ткани из гребенной шерсти, изготавливаются только из длинных волокон. Они гладкие, прочные, довольно долговечные, но приобретают лоск в процессе носки. Впервые переработанная шерсть дает, как правило, более прочный и более эластичный текстиль, чем другие виды шерсти.
Ткани из шерсти очень хорошо сохраняют тепло, относительно мало пачкаются и мало мнутся. Современные шерстяные ткани делят на две категории: шерсть и полушерсть. Первая содержит 90% шерстяной нити, а вторая 20-90% шерсти и лавсан, капрон или вискозу. (Если содержание синтетических волокон превышает 50 %, то на ткани появляются блеск и катышки). Добавление лавсана уменьшает сминаемость ткани. А вискоза повышает ее износостойкость.
Стирать изделия из шерсти рекомендуется вручную с использованием специальных моющих препаратов для шерсти. Особенно не рекомендуется стирать вещи из шерсти, ангоры или мохера в порошках, содержащих отбеливатель. Шерсть нельзя замачивать, тереть и выкручивать. Поэтому выстиранное изделие раскладывают на махровое полотенце. Чтобы изделие из шерсти не «село», стирать и полоскать его надо в воде одинаковой температуры.

Рис.4. Кролик
Шелк. Шелк получают разматыванием коконов гусениц азиатского тутового шелкопряда Bombix mori. Шелковое волокно отличается блеском, эластичностью, крепостью и сопротивляемостью разрыву. Годовой объем производства шелка-сырца составляет около 45 тыс. т. Главные производители – Япония и КНР, а за ними следуют Южная Корея, Узбекистан и Индия.
Шелковые ткани легкие и прочные. Крепость шелковой нити равна крепости стальной проволоки того же диаметра. Шелковые ткани создают, скручивая нити различным образом. Так получаются крепы, атлас, газ, фай, чесуча, бархат. Они хорошо впитывают влагу (равную половине собственного веса) и очень быстро сохнут. Влага от пота быстро испаряется с поверхности шелка, но при этом могут оставаться пятна. Выводят их спиртом. Одежда из шелка в холод согревает, а в жару создает ощущение прохлады. Дорогую одежду из натурального шелка принято отдавать в химчистку, т.к. при обычной стирке могут полинять краски. Но стирать все же можно. Только вручную и в чуть теплой воде. При последнем полоскании к холодной воде добавляют уксус, чтобы восстановить яркость красок. Шелковую ткань не выкручивают, не выжимают и сушат в тени. Гладят шелковые вещи с изнанки, влажными. Увлажнять при глажке водой высохшую шелковую одежду не стоит – от этого могут остаться пятна. Если сразу после стирки погладить шелк не удается, то можно положить влажную вещь в полиэтиленовый пакет и поместить в холодильник. Говорят, что так она может храниться до двух дней.
Основной составной частью шерсти и шелка являются фибриллярные (волокнистые) белки – фиброин и кератин. Они содержат в основном α-аминокислоты с короткими боковыми цепями. Водородные связи возникают между различными полипептидными цепями и стабилизируют так называемую структуру складчатого листа.

Рис. 5. Структура складчатого листа
С развитием химической промышленности, появились новые материалы. Иногда их добавляют к традиционным материалам, чтобы изменить их свойства (к лучшему, разумеется). А иногда они служат самостоятельным материалом для создания верхней одежды.
Химические текстильные волокна. Волокнистые материалы, не встречающиеся в природе, называются «химическими волокнами». При этом за волокнами, полученными на заводах из природных материалов, сохраняется термин «искусственные волокна», а волокна, изготовленные из синтетических материалов, называются синтетическими.
Искусственные волокна получают из природных полимерных материалов путем той или иной их модификации, в результате которой окончательное волокно, используемое в текстильной промышленности, отличается от всех натуральных волокон. (Натуральный полимер – это материал с большими молекулами, образованными из многочисленных одинаковых «мономерных» частей. Хлопок и древесная масса, например, состоят в основном из целлюлозы – полимера, молекула которого представляет собой длинную цепь из 2000–4000 молекул глюкозы C>6>H>10>O>5>.) В качестве примера искусственных химических волокон можно привести вискозные и ацетатные волокна, сырьем в производстве которых служит хлопковый пух или древесная масса.
Вискоза – целлюлоза, обработанная сероуглеродом и гидроксидом натрия. Из вискозного волокна создают ткани напоминающие шелк, хлопок и даже шерсть и лен. Изделия из вискозы хорошо поглощают влагу, но в мокром состоянии теряют прочность. Поэтому требуют особо бережной стирки при температуре 30-40 градусов и их не выкручивают. Гладят их как шелк.
Синтетические химические волокна получают из полимеров, не существующих в готовом виде в природе. Их синтезируют путем полимеризации, при которой химические звенья малой молекулярной массы соединяются в длинные полимерные цепи с очень большой молекулярной массой. Синтетических полимеров очень много, и во всем мире насчитывается более тысячи фирменных названий различных синтетических волокон.
Трикотаж
Особое место в нашем гардеробе занимает одежда из трикотажа. Особенность трикотажа в том, что его полотно не ткут, а вяжут. Пряжа может быть шерстяной, хлопчатобумажной, вискозной и т.д. Натуральное волокно хорошо впитывает влагу и пропускает воздух. Хлопчатобумажный трикотаж мягок и прочен. Шерстяной трикотаж более эластичен, чем хлопчатобумажный или вискозный и хорошо держит форму. Синтетический трикотаж (нейлон, полиэстер, акрил) прекрасно стирается в машине, не мнется, не впитывает влагу, поэтому быстро сохнет. Недостатком его можно считать тот факт, что он не пропускает воздух и электризуется. Часто трикотажное полотно вяжется из смешанных нитей. Качество трикотажа зависит от качества пряжи, вида плетения, плотности вязания. Нередко на трикотажных вещах образуются катышки. Происходит это из-за добавления синтетических материалов, слабо закрученных нитей, длинных нитяных протяжек при вязании полотна, из-за неправильного ухода за вещью. Чем большей эластичностью обладает полотно, тем больше оно скатывается. Особенно «любят» катышки образовываться на трикотаже из объемной пряжи. Сидят они прочно. Но с натуральных волокон их можно легко оторвать. С синтетических изделий их просто срезают маленькими ножницами. Основное правило ухода за одеждой из трикотажа – чем крупнее петли, тем большей осторожности она требует. (Петлю можно зацепить перстнем, ногтем и т.д.)
Стирать трикотаж можно, желательно вручную в теплой воде, не тереть и не выкручивать. При стирке в горячей воде трикотажные изделия садятся и деформируются. А если их тереть, то на них появляются катышки. Не стоит их также замачивать. Если стирать в стиральной машине, то в режиме деликатной стирки. Сушить желательно в расправленном виде на махровом полотенце (чтобы оно впитывало влагу). Гладить трикотаж можно по направлению петель при температуре, соответствующей составу волокон. Одежду из высококачественного шерстяного трикотажа лучше всего сдать в химчистку – получишь и чистую и выглаженную.
Мембранные ткани
Со временем одежда из мембранных тканей засоряется выделениями потовых и сальных желез, от чего ухудшаются свойства этих тканей. Они требуют строго соблюдения инструкций по уходу и хранению. Так стиральный порошок может забить поры мембраны, и вещь потеряет способность выпускать влагу. Небольшие загрязнения желательно замыть в теплой воде со специальными моющими средствами или обычным шампунем или жидким мылом. Сушить в расправленном виде при комнатной температуре на махровом полотенце. Гладить можно только со стороны подкладки минимально нагретым утюгом.
Водоотталкивающие ткани
Одежда из водоотталкивающих тканей требует ухода, как и из мембранных. Стирать ее желательно как можно реже, т.к. при стирке она теряет свои водозащитные свойства. Для восстановления водоотталкивающих свойств одежды используются специальные пропитки в виде жидкостей и аэрозолей. Причем, для разных видов материалов существуют различные специальные средства. Но перед использованием любого из них, вещь необходимо постирать или почистить (соединение с грязью может полностью разрушить покрытие). Гладить разрешается только со стороны подкладки теплым утюгом.
Синтепон
Синтепон призван заменить натуральный пух в нашей одежде. В отличие от натурального пуха, его можно стирать как вручную, так и в стиральной машине в режиме деликатной стирки при температуре 30 градусов. Сохнет он быстро. При необходимости его можно гладить слегка нагретым утюгом.
Научиться распознавать волокна разных типов нетрудно. Обычно, чтобы определить состав волокна, бывает достаточно поджечь нитку ткани. Сухие хлопчатобумажные и льняные нити горят быстро, с запахом жженой бумаги или фитиля и образуют золу серо-белого цвета. Вискоза и искусственный шелк горят медленнее, но с таким же запахом. Еще медленнее сгорают шерсть и натуральный шелк, причем на этот раз вы ощутите характерный запах паленых перьев; зола от сгоревших шерсти или натурального шелка черного цвета. А синтетические волокна при нагревании плавятся и образуют твердый спекшийся шарик.
Если результат пробы на сгорание вызывает сомнение и вы хотите окончательно убедиться в растительном или животном происхождении ткани, трикотажа, ниток или пряжи, попробуйте исследовать волокно химическими методами. Для этого опустите нитку в стакан с горячей 10%-й щелочью (10 г каустической соды -- гидроксида натрия NaOH на 90 мл воды). Будьте осторожны! Особенно берегите глаза и кожу рук! В горячем растворе щелочи шерсть и натуральный шелк растворятся без остатка. Если в стакане появился осадок, вы имеете дело с волокном растительного происхождения ( хлопком или льном. Синтетические материалы обычно бывают более стойки к обработке химическими реактивами (поэтому из них часто шьют спецодежду).
Состав порошков
А теперь давайте разберемся, какие компоненты входят в состав порошков, а также какова роль каждого из них в удалении того или иного загрязнения [14-16].
ПАВ
Удаление общего пигментно-масляного загрязнения обеспечивают ПАВ (поверхностно-активные вещества), благодаря которым происходит смачивание ткани моющим раствором, они также ослабляют связь загрязнений с тканью, стабилизируют удаленные загрязнения в растворе. "Удерживают" загрязнения в растворе антиресорбенты, препятствуя их повторному осаждению на ткань.
Действие ПАВ усиливают комплексообразователи, которые еще и устраняют жесткость воды, смягчают ткани после стирки. Нельзя не упомянуть и о щелочах (сода, карбонат натрия и т.д.), которые поднимают уровень pH, усиливая эффективность воздействия ПАВ на жировые пятна.
Если попытаться дать определение, то мытьем можно назвать очистку загрязненной поверхности жидкостью, содержащей моющее вещество или систему моющих веществ. В качестве жидкости в быту используют главным образом воду. Хорошая моющая система должна выполнять двойную функцию: удалять загрязнение с очищаемой поверхности и переводить его в водный раствор. Значит, моющее средство также должно обладать двойной функцией: способностью взаимодействовать с загрязняющим веществом и переводить его в воду или водный раствор. Следовательно, молекула моющего вещества должна иметь гидрофобную и гидрофильную части. Фобос – по-гречески означает страх, боязнь. Значит, гидрофобность означает боящийся, избегающий воду. Филео – по-гречески – люблю, а гидрофильность – любящий, удерживающий воду. Гидрофобная часть молекулы моющего вещества обладает способностью взаимодействовать с поверхностью гидрофобного загрязняющего вещества. Гидрофильная часть моющего вещества взаимодействует с водой, проникает в воду и увлекает с собой частицу загрязняющего вещества, присоединенную к гидрофобному концу.
Таким образом, моющие вещества должны обладать способностью адсорбироваться на пограничной поверхности, т.е. обладать поверхностной активностью. Их называют поверхностно-активными веществами (ПАВ).
Соли тяжелых карбоновых кислот, например CH>3>(CH>2>)>14>COONa, являются типичными поверхностно-активными веществами. Они содержат гидрофильную часть (в данном случае – карбоксильную группу) и гидрофобную часть (углеводородный радикал).
Животные жиры – древнее и весьма ценное сырье мыловаренной промышленности. Они содержат до 40% (насыщенных) жирных кислот. Искусственные, т.е. синтетические, жирные кислоты получают из парафина нефти каталитическим окислением кислородом воздуха. В упрощенном виде реакцию можно описать следующим уравнением:
CH>3>(CH>2>)mCH>2> – CH>2>(CH>2>)nCH>3> + 2,5O>2>
↓
CH>3>(CH>2>)mCOOH + CH>3>(CH>2>)nCOOH + H>2>О
Вообще говоря, для стирки можно использовать разные средства: в каких-то случаях подойдет и мыло, и сода, и стиральный порошок (а в полном отрыве от цивилизации можно попробовать стирку с древесной золой, которая , как известно, подщелачивает воду). Главное, чтобы выбранное моющее средство более или менее успешно выполняло две функции:
удаление частиц грязи с очищаемой поверхности и
перенос их в раствор.
Для этого мыло или стиральный порошок должны содержать в своем составе моющие вещества с молекулами-"смывателями", имеющими гидрофобную ("водоотталкивающую") и гидрофильную ("водолюбивую") части. Первая будет взаимодействовать с поверхностью загрязненной ткани, а вторая -- с водой; частицы грязи перейдут в водный раствор вместе с моющими веществами. Такие вещества и получили название поверхностно-активных (ПАВ). Типичные и самые распространенные ПАВ ( это соли карбоновых кислот.
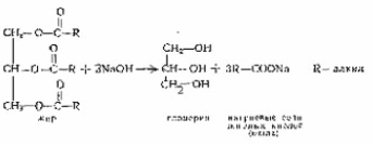
Такие соли с общей формулой CH>3>(CH>2>)>n>COONa содержат гидрофильную (карбоксильную группу COO--) и гидрофобную (углеводородный радикал СH>3>(CH>2>)>n>--) части. Тем, кто забыл школьную химию, напомним, что карбоновые кислоты состава CH>3>(CH>2>)>n>COOH входят, например, в состав животных и растительных жиров. Химики называют мылами соли высших жирных кислот, включающие ионы щелочных металлов - прежде всего, стеарат, пальмитат и олеат натрия, т. е. натриевые соли стеариновой, пальмитиновой и олеиновой кислот.
Эти жирные кислоты широко распространены в природе. Они являются главной составной частью многих жиров растительного и животного происхождения. Однако в жирах они содержатся не в свободном состоянии, а в виде сложных эфиров с трехатомным спиртом - пропантриолом, который обычно называют глицерином. Вообще жиры представляют собой сложные эфиры жирных кислот и глицерина. Их строение отражается приведенной ниже формулой. Очень давно люди научились расщеплять жиры путем кипячения с растворами щелочей. Этот процесс осуществляется по следующему уравнению:

Способы изготовления самого распространенного ПАВ -- мыла были известны уже в глубокой древности и описаны в "Естественной истории" Плиния Старшего (23--79 гг. н. э., Рим), включая даже различия в получении твердого мыла (использовалась сода - карбонат натрия, и мыло содержало катионы натрия) и жидкого мыла (вместо соды применяли поташ - карбонат калия). Источником жирных кислот служили сало и растительное масло. Особенно славилось, начиная с IX и вплоть до начала XX века, марсельское мыло на основе оливкового масла.
Сейчас для производства мыла используют не только растительные и животные жиры, но и синтетические жирные кислоты, получаемые из продуктов переработки нефти, а также канифоль (смесь смоляных кислот из сока хвойных деревьев -- "живицы"). Высшие сорта мыла варят на природном сырье -- кокосовом и пальмовом масле. В хозяйственное мыло, как правило, вводят наполнители -- соли, которые в воде подвергаются гидролизу и создают щелочную среду (например, карбонат натрия, тетраборат натрия -- бура, метасиликат натрия, триполифосфат натрия). Другой тип наполнителей помогает пенообразованию -- это клеи и крахмал.
Мытье и стирка - сложные физико-химические процессы.
Действие моющих веществ направлено на то, чтобы обеспечить как можно более полное удаление загрязнений, например жира, с поверхности раздела между тканью и моющей жидкостью. Эффективность моющего средства зависит от нескольких факторов.
Во-первых, существенную роль играет способность переносить грязевые частицы, которая, в основном, определяется поверхностными явлениями, связанными с электростатическим взаимодействием между частицами загрязнений и образуемой пеной.
Во-вторых, имеет значение и эмульгирующая способность, то есть способность дробить загрязнения, например, капельки жира, на мельчайшие частицы, равномерно распределенные в воде. Это свойство моющего средства тоже обусловлено поверхностными явлениями, преимущественно электростатической природы.
Наконец, особенно важна способность моющей жидкости к смачиванию ткани, потому что для удаления загрязнений жидкость должна проникать в мельчайшие зазоры между загрязнениями и поверхностью ткани.

Рис.6. Принцип действия ПАВ
Так, щелочная реакция обычных мыл вредна для волокон, состоящих преимущественно из белков (например, для шерсти). Кроме того, эти мыла плохо моют в жесткой воде, содержащей растворенные соли щелочноземельных металлов. В этих условиях они образуют нерастворимые, так называемые известковые мыла, которые не только препятствуют стирке, но и оседают на тканях нерастворимым слоем.
В этом отношении и по некоторым другим свойствам преимуществами по сравнению с мылами обладают новые синтетические моющие средства. Многие из них представляют собой смеси солей органических сульфокислот с конденсированными фосфатами, а также полиборатами.
Мыльные пузыри сохраняются достаточно долго, если нет испарения. Происходит это потому, что молекулы мыла, гидрофильными (имеющими сродство к воде) концами направлены внутрь, а гидрофобными (инертными) наружу, создавая нейтральную оболочку. Эта оболочка ограждает воду и мешает испарению. Пузыри, сохраняемые в очень влажном воздухе, чтобы исключить испарение, существуют ещё дольше, рекордный срок их жизни- несколько месяцев [17]. Раствор для мыльных пузырей приготовим из жидкого мыла, которое смешаем с холодной дистиллированной водой и куда через несколько часов добавим несколько капель пропантриола (глицерина) [18]
И ещё [19]:
Добавление к калиевому мылу
избытка стеариновой кислоты способствует
образованию устойчивой пены. Такая
композиция используется для приготовления
кремов для бритья. Это из энциклопедии
юного химика.
Обобщая вышесказанное,
обращаю Ваше внимание на рецептуру
приготовления, ибо она имеет первостепенное
значение.
1. Вода должна быть дистиллированная.
2.Мыло должно быть калийное, оно же жидкое, оно же шампунь.
3.Глицерин добавлять через несколько часов.
4.Влажность в помещении, где пускаются пузыри должна быть высокая (чем больше, тем дольше срок жизни пузырей).
5. Ну это, в качестве предположения- добавьте в раствор стеариновой кислоты (немного).
Отбеливатели
Следующая по важности (после удаления общего пигментно-масляного загрязнения) характеристика порошка - это отбеливающая способность, которая проявляется непосредственно в отбеливании тканей, в возможности удаления пятен растительного происхождения (например, травы, зелени), освежении цвета, дезинфекции тканей.
О том, что отбеливание при помощи хлора вредно не только для ткани, но и для здоровья, знает сегодня, пожалуй, каждый. На смену хлоросодержащим отбеливателям пришли более щадящие, но не менее эффективные кислородосодержащие, наиболее перспективный из которых - перкарбонат натрия. Он превосходно справляется с главной задачей - химическим разложением окрашенных частей пятна на ткани, окисляя их. В результате этого процесса образуются продукты, легко удаляемые с поверхности материала. Но не стоит забывать и тот факт, что стиральный порошок, помимо отбеливающих свойств, должен и дезинфицировать. Это качество легко достигается путем повышения окисляющей способности CMC, а значит, кислородосодержащие отбеливатели в составе порошка гарантируют нам и гигиеничность стирки. Отметим, что массовые порошки, как правило, не содержат химического отбеливателя, именно поэтому требовать исключительной белизны от стирки недорогим порошком просто бессмысленно. А вот в порошках средней и высокой ценовой категории химический отбеливатель есть.
В принципе, на этом можно было бы и остановиться, если бы во всем мире не существовало устойчивой тенденции к уменьшению температуры стирки. Появилась она благодаря как широкому распространению и популярности синтетических тканей и окрашенного текстиля (верхний предел температуры стирки столь деликатных материалов зачастую ограничен 30-40°С), так и необходимости понизить затраты электроэнергии, то есть температуру и время стирки. Практика показывает, что большая часть стирок проводится при температуре от 30 до 60°С. Кислородосодержащие же отбеливатели начинают эффективно работать с 80°С и при низких температурах сами по себе малоэффективны. Казалось бы, отбеливать деликатные ткани им практически невозможно. Но, благодаря современным разработкам, эта проблема стала решаема. Лучше всего с данной задачей справляются составы, которые реагируют с пероксоионами в растворе с образованием промежуточных соединений, более активных при низкотемпературном отбеливании. Речь идет о введении в CMC активатора отбеливания. На данный момент из всех существующих активаторов лучшим признан ТАЭД, сочетающий в себе оптимальное соотношение «цена/качество». Его применение в составе CMC позволяет добиться желанного результата при низкотемпературной стирке.
Хлорсодержащие отбеливатели
Действующее вещество хлорсодержащих отбеливателей – это гипохлорит натрия или кальция, а сами отбеливатели знакомы нам давным-давно. Самым популярным хлорным отбеливателем является «Белизна», которую сегодня на территории России выпускают порядка 30 заводов бытовой химии. Некоторые производители дают фирменные наименования средствам с аналогичным составом, например, ACE (Procter&Gamble). Все хлорсодержащие отбеливатели имеют жидкую форму выпуска. Эти средства имеют неоспоримые достоинства – стоят дешево, эффективно отбеливают и дезинфицируют ткани, могут использоваться для стирки и дезинфекции поверхностей (кафельная плитка, пол). Однако они весьма агрессивны – негативно воздействуют и на кожу рук, и на ткани, снижая их прочность, токсичны и применимы только для белых тканей, при попадании на цветные – либо выедают краску, либо оставляют пятно самого неожиданного цвета. Тем не менее большинство хозяек по-прежнему использует именно «Белизну» – этот факт подтвержден статистическими данными: на 4,5 л хлорсодержащего отбеливателя приходится всего лишь 1 л отбеливателя без хлора.
Кислородсодержащие отбеливатели
Действующее вещество «отбеливателей без хлора» – это «активный кислород», точнее сильные окислители, например, перкарбонат натрия или перборат натрия. Самым ярким и активно рекламирующимся представителем этой группы средств является Vanish. Причем он имеет две формы выпуска: жидкую и порошкообразную. Считается, что кислородсодержащие отбеливатели действуют более мягко, обеспечивая сохранность тканей, могут использоваться для цветных тканей. Мы не беремся утверждать обратное, но позволим себе заметить, что окислительный процесс, происходящий при отбеливании, не может не влиять негативно на саму ткань.
Отдельно остановимся на температуре действия кислородсодержащих отбеливателей. Часть их них эффективна уже при 40°С («АСЕ био+кислород», «Бос-плюс»), в основном за счет дополнительных моющих добавок; другие – только при высокой температуре 60–100°С (Vanish Oxi Action, российские «Дакси», «Лебедь», «Персоль»). Некоторые эффективны при температуре от 40 до 90°С: Vanish Stain Remover, Snow Whiter, Neon (Reflect). В наиболее простых кислородсодержащих отбеливателях (пероксидных), например, «Персоль» (очень популярное средство, также выпускается большим числом российских производителей), кислород выделяется при температуре 80–90°С (изделия необходимо кипятить). Выделяющийся при нагревании кислород окисляет и обесцвечивает загрязнения. Кипячение с таким отбеливателем практически не уменьшает яркость красок разноцветных хлопковых и льняных тканей. Перечисленные выше средства выпускаются в виде порошков. Сегодня рынок предлагает достаточно широкий ассортимент и жидких кислородсодержащих отбеливателей зарубежного производства (Clorox, Vanish, OXI Tricks 3 in 1), а также много средств российского производства. Практически все кислородсодержащие отбеливатели можно применять для цветных тканей. Большая часть не предназначена для шерсти и шелка, поэтому перед применением следует внимательно прочесть инструкцию. Также в инструкции нужно уточнить, как следует использовать: совместно с порошком во время стирки или после стирки и тщательного полоскания. Сушить белье после стирки рекомендуется при ярком солнечном свете, так как при воздействии ультрафиолетового излучения из небольшого количества воды (содержащейся в белье) выделяется активный кислород, способствующий отбеливанию тканей. С точки зрения химии процессы, происходящие при применении обоих перечисленных типов отбеливателей относятся к так называемым окислительным реакциям, при которых происходит окисление молекул красящего вещества, что сопровождается обесцвечиванием. При этом используются сильные окислители, которые при отбеливании действуют и на ткань. Существует иной метод отбеливания, основанный на восстановительной реакции. В этом случае активной цветоразрушающей субстанцией является гидросульфит или дитионит натрия. Результат отбеливания в этом случае определяется температурой стирки и продолжительностью воздействия на ткань. По такой технологии работают отбеливатели, выпускаемые под торговой маркой K2r. По утверждению производителей, нагрузка на волокна ткани при использовании отбеливателя этого типа соответствует нормальному процессу стирки.
Оптические отбеливатели
Но
существует еще один важный момент в
деле достижения идеальной белизны. У
нашего зрения есть характерная
особенность: глаза воспринимают белый
цвет любого предмета еще более ярко-белым
только тогда, когда он имеет голубой
оттенок. Любой другой оттенок способен
приглушить белую окраску. Для того чтобы
этого избежать, в состав большинства
современных порошков вводятся оптические
отбеливатели, оседающие на ткани при
стирке. Это флуоресцирующие вещества,
называемые также «белыми красителями».
Они поглощают свет в ультрафиолетовой
части спектра и излучают его в голубой.
Таким образом они уничтожают желтизну,
которая возникает у изделий из
растительных, животных и синтетических
волокон после химического отбеливания.
В итоге белье приобретает яркость и
белизну, его не нужно подсинивать.
Следует
отметить, что наличие оптического
отбеливателя в составе порошков для
детского белья нежелательно. Ведь задача
оптического отбеливателя - остаться на
одежде, и никакое полоскание его не
удалит. А это может вызвать раздражение
кожи малыша.
После нескольких стирок изделия из белых тканей желтеют или сереют. Для устранения появляющихся оттенков и вводят в синтетические моющие средства оптические отбеливатели. Их действие заключается в том, что они поглощают ультрафиолетовый свет (с длиной волны ~360 нм) и вновь испускают поглощенную энергию путем флуоресценции в синей области видимого спектра (при 430...440 нм). Возникающее при этом «посинение» изделия компенсирует пожелтение и делает изделие визуально более белым. Действие оптических отбеливателей напоминает действие синьки, с давних пор использовавшейся при полоскании белья после стирки. Бытовая синька или ультрамарин – природный минерал лазурит, называемый также ляпис-лазурью. В монолитном виде он используется как поделочный камень, а его очень тонкий порошок в далеком прошлом применялся в качестве синьки. В 1828 г. ультрамарин был получен искусственно в лабораторных условиях. Для этого смесь каолина, соды и серы прокаливалась в сильной струе воздуха. Состав ультрамарина выражают формулой Na>6>Al>4>Si>6>S>4>O>24>, однако его строение до сих пор не выяснено. Заменителем ультрамарина в быту является порошок белой глины (каолина) или мела с предварительно нанесенным на их поверхность органическими красителями синего цвета (органические синьки).
Отбеливающие ферменты [20]
Пятна белковых веществ и крови трудно отстирываются и плохо обесцвечиваются химическими отбеливателями. Для их устранения применяют специальные ферменты, которые вводят в качестве добавки к моющим системам. Ферменты действуют при замачивании изделий в холодной воде перед стиркой горячей водой. Однако они могут быть эффективны и непосредственно в процессе стирки.
Это загадочное слово «энзимы»…
Энзимы - белки, состоящие из более 20 основных аминокислот, каждая из которых имеет свой уникальный состав, что обуславливает удаление трудновыводимых биозагрязнений. В моющих средствах бытового назначения, как правило, используют следующие классы энзимов.
Производители, которые гонятся за дешевизной, предпочитают использовать однокомпонентные, то есть односторонне направленные энзимы, способные бороться лишь с одним видом загрязнений. Отличительная особенность современных эффективных CMC - в использовании смеси различных энзимов (амилазы, протеазы, липазы, целлюлазы), которые, работая совместно, способны убирать загрязнения в комплексе и восстанавливать цвет тканей.
Протеазы - щелочные энзимы - способствуют удалению загрязнений, содержащих белок: например, травы, крови, слизи, а также разнообразных пищевых продуктов, таких как яйца и подливки. Перечисленные вещества почти нерастворимы в воде и имеют тенденцию прилипать к поверхностям тканей и других материалов. Протеаза гидролизует белок, входящий в состав загрязнений, с образованием пептидов, которые легко растворяются или диспергируются в моющем растворе. Энзимы, входящие в состав порошка, способствуют расщеплению грязи белкового происхождения и так же успешно, хотя и постепенно, разрушают шелковые и шерстяные волокна.
Амилазы облегчают удаление крахмалосодержащих пятен, например, от макаронных изделий, картофеля, шоколада, детского питания и т.д. Высохший крахмал с трудом удаляется при средних и низких температурах стирки, особенно при использовании моющих средств, обладающих средней щелочностью. Крахмал прилипает к поверхности ткани, играя роль клея для других компонентов загрязнений. Амилаза гидролизует крахмал в декстрины и сахара, которые легко растворяются в моющем растворе.
Липазы облегчают удаление загрязнений на основе жиров и масел, оставляемых жирной пищей и продуктами выделения кожи человека. Поскольку нерастворимые белки, крахмалы, жиры и масла прочно «въедаются» в ткани, удаление этих веществ с помощью энзимов повышает общую эффективность моющего средства.
Кератиназы удаляют остатки отмерших чешуек кожи.
Целлюлазы освежают цвет ткани, удаляют инкрустированные частицы загрязнений, уменьшают тенденцию к пилингу, сохраняют белизну ткани, обладают смягчающим действием и устраняют микроволокна (катышки), образующиеся при стирке и носке и препятствуют их повторному появлению. Такое действие обуславливается селективным гидролизом наружного слоя хлопкового волокна, приводящим к удалению выступающих из него микроволокон. Эти микроволокна образуются за счет повторяющейся носки и стирки ткани. Удаляя их, целлюлаза восстанавливает гладкость поверхности ткани.
Энзимы бывают в виде порошка, гранул, в том числе окрашенных, и жидкости с различной активностью. В промышленности широко используются гранулированные ферменты, в том числе смеси двух-трех энзимов. Такая форма позволяет повысить срок годности продукта, простоту и точность дозировки, снизить до минимума риск загрязнения окружающей среды, обеспечить максимальную безопасность при работе. Энзимы производятся непатогенными микроорганизмами с соблюдением всех санитарно-гигиенических правил и классифицируются как нетоксичные вещества. При разработке рецептуры моющего средства выбор того или иного энзима обусловлен прежде всего предполагаемой направленностью действия моющего средства, его ионной силой, температурой применения, рН моющего раствора, содержанием окислителя, видом используемых наполнителей и ПАВами. Нашли применение ферменты и в моющих средствах для посуды. В посудомоечных машинах, оснащенных программой «БИО», предполагается использование моющих средств с биодобавками.
Большое содержание химического отбеливания тормозит действие энзимов вплоть до полного нивелирования воздействия последних, энзимы могут просто-напросто разрушиться.
Не убивайте энзимы! На сегодняшний день существуют энзимы, эффективные и при высоких температурах, но все-таки большинство из них работают при средней температуре (40-50 градусов), а при повышении погибают. Помните об этом!
Соли жесткости
"Жесткость" и в прямом, и в переносном смысле всегда означает дискомфорт: на жестком стуле неудобно сидеть, а человек с жестким характером неприятен в общении. Если вода жесткая, то она нехороша для стирки и мытья. Почему? Дело в том, что такая вода содержит повышенное количество солей кальция, магния, железа. Эти соли (гидрокарбонаты, сульфаты, хлориды) принято называть солями жесткости. Соли жесткости, а точнее их катионы Ca2+, Mg2+, Fe3+ реагируют с анионами жирных кислот, входящими в состав мыла, и образуют малорастворимые соединения, такие как Ca(C>17>H>35>COO)>2> и др. Эти осадки забивают поры ткани, делая ее грубой и неэластичной; она перестает пропускать воздух и влагу. Портится и внешний вид изделия: ткань приобретает серо-желтый оттенок, блекнут краски рисунка. Осевшие на ткани "известковые мыла" лишают ее прочности.
Ясно, что природную воду с солями жесткости надо "умягчать". Чтобы избавиться от примеси гидрокарбоната кальция в воде, следует добавить соду или щелочь или прокипятить жесткую воду. Происходящая между щелочными реагентами и кислой солью -- гидрокарбонатом кальция химическая реакция приведет к осаждению карбоната кальция. При кипячении гидрокарбонат кальция разрушается, выделяя осадок карбоната кальция и углекислый газ.
Эти способы подготовки и умягчения воды обязательно связаны с выделением осадка, по составу схожего с накипью внутри чайника, а это неудобно. Другое дело, если добавить в воду соль триполифосфат натрия. Анионы этой соли связывают катионы солей жесткости в прочные и хорошо растворимые в воде комплексы, и тем самым устраняется помеха стирке и мытью.
Если для стирки используются синтетические стиральные порошки сульфатного или сульфонатного типа, проблема решается сама собой: эти СМС не образуют малорастворимых в воде солей кальция и магния, следовательно, их можно применять в жесткой и даже в морской воде.
В любой воде присутствуют различные соли, в основном кальция и магния, в растворенном состоянии. Некоторые ПАВы и карбонатионы способны образовывать с ними нерастворимые соединения, которые в процессе стирки оседают на ткани, вследствие чего материал становится жестким, да и полоскание затрудняется. Для связывания солей жесткости в состав CMC вводят специальные добавки – комплексообразователи: полифосфаты, трилон Б и другие соли. Преимущество порошков, в отличие от обычного мыла, заключается в том, что их кальциевые соли водорастворимы, а потому CMC не утрачивают моющее действие и в жесткой воде. При применении упомянутых компонентов белье после многократных стирок не сереет. Дело в том, что к потере белизны ткани приводят осевшие на ней соли жесткости, чьи кристаллы закрывают частицы оптического отбеливателя. При высоких значениях инкрустации ткань не только приобретает серый цвет, но и становится жесткой на ощупь, а также быстро изнашивается. С этой проблемой превосходно справляется основной комплексообразователь, применяемый в современных CMC, - триполифосфат натрия. Он образует комплексные соли с ионами кальция, предотвращая отложение осадка на ткани и на нагревательном элементе стиральной машины. Пожалуй, именно он наиболее эффективно способен бороться с инкрустацией. Кроме того, благодаря триполифосфату натрия порошки, предназначенные для использования в автоматических стиральных машинах, обретают свои основополагающие свойства: предотвращают отложения солей жесткости на нагревательных элементах и барабане стиральной машины, препятствуют перерасходу электроэнергии и поломкам.
Ионы кальция и магния образуют с анионами тяжелых карбоновых кислот малорастворимые соли. Этот процесс можно выразить уравнениями:
2RCOONa + Ca(HCO>3>)>2> = Ca(RCOO)>2> + 2NaHCO>3>
2RCOONa + MgCl>2> = Mg(RCOO)>2> + 2NaCl
Поэтому при стирке белья в жесткой воде, содержащей эти ионы, расход мыла повышается на 25...30%. Малорастворимые соли кальция и магния оседают на ткани, забивают поры и потому делают ткань грубой, менее эластичной, с плохой воздухо- и влагопроницаемостью. Такие ткани приобретают сероватый оттенок, а окраска становится блеклой. Кроме того, осевшие на ткани известковые мыла приводят к снижению ее прочности. Это происходит потому, что анионы ненасыщенных карбоновых кислот при сушке тканей окисляются кислородом воздуха с образованием веществ пероксидного характера. Они же окисляют целлюлозу, из которой состоят ткани. Для устранения вредных последствий жесткой воды в мыла вводят натрийтрифосфат Na>5>P>3>O>10>. Анион P>3>O5>10>– связывает ионы Ca2+ и Mg2+ в прочные, но растворимые в воде соединения. По существу они играют роль умягчителя воды. С этой же целью натрийтрифосфат и другие полифосфатные анионы добавляют и в стиральные порошки.
В настоящее время химическая промышленность выпускает большое количество различных синтетических моющих средств (стиральных порошков). Наибольшее практическое значение имеют соединения, содержащие насыщенную углеводородную цепь из 10...15 атомов углерода, так или иначе связанную с сульфатной или сульфонатной группой, например

Производство синтетических моющих средств основано на дешевой сырьевой базе, а точнее на продуктах переработки нефти и газа. Они, как правило, не образуют малорастворимых в воде солей кальция и магния.
Средства защиты от накипи
Соли жесткости, содержащиеся в водопроводной воде, образуют накипь на нагревательном элементе стиральной машины. Это приводит к увеличению расхода моющего средства (для получения хорошего результата) и электроэнергии, может стать причиной серьёзной поломки машины, а также негативно воздействует на белье – делают его более грубым и блеклым. При стирке необходимо нейтрализовать соли жесткости и предотвратить образование известкового налёта на деталях стиральной машины. Справиться с этой задачей могут фосфаты и другие компоненты, смягчающие воду и нейтрализующие соли кальция и магния. Тем самым фосфаты усиливают действие стирального порошка. Еще одно назначение фосфатов – обеспечение мягкости тканей после стирки. Фосфаты входят в состав практически любого порошка, следовательно, устранение жесткости воды происходит независимо от того, используете вы дополнительное средство или нет. Некоторые, преимущественно немецкие, производители предупреждают об этом надписями типа «дополнительные средства против отложения извести не требуются». Телевизионная реклама этой группы средств крайне активна, причем производители «антинакипинов» для усиления эффекта информационного воздействия объединяются с производителями стиральных машин. Активная рекомендация «добавляйте Calgon при каждой стирке» сделала свое дело – это средства сегодня весьма популярно. Выпускается Calgon польской фирмой Reckitt Benckiser. Помимо этого популярного средства на рынке можно найти еще 10–15 средств как российского, так и импортного производства. «Доктор ТЕН» (Смоленск), «Золушка», «Аист», Luxus Fristall-fix, Bingon и другие.
Устраняющие жесткость воды фосфаты содержатся сейчас почти во всех порошках. В последнее время фосфаты подвергаются атаке со стороны защитников природы, так как попадающие из канализации в водоемы фосфаты вызывают усиленное зарастание этих водоемов водорослями (эвтрофикацию). В нашем климате этот процесс можно во внимание не принимать, однако некоторые фирмы замещают часть фосфатов в порошках на так называемые цеолиты. Эти вещества после стирки частично остаются на ткани и делают ее более грубой ("жесткий гриф"). Для стирке детского белья порошки с цеолитами использовать просто нельзя.
По поводу «калгона» - он вредит стиральной машине.
А накипь лучше всего удаляется сульфаминовой кислотой.
Ручной или автомат?
Как мы знаем, в состав порошков-автоматов обязательно входит пеногаситель, который сводит к минимуму образование пены при стирке (во избежание порчи стиральной машины и потопа). А для ручных порошков пенообразование ненормировано, более того, считается, что чем выше и стабильнее пена, тем лучше.
Следовательно, в смысле применения порошок-автомат является более универсальным: им можно постирать и в машине-автомате, и в машине активаторного типа, и вручную. Но порошки-автоматы, как правило, стоят дороже.
В тех случаях, когда различие в цене между ручным и порошком-автоматом незначительно, целесообразно покупать порошок для автоматических стиральных машин и использовать его для всех видов стирки.
Среди домохозяек бытует устаревшее мнение, что для успешного отстирывания тканей необходима обильная пена. Однако это представление справедливо лишь для порошков на основе мыла. В случае синтетических моющих средств прямой связи между отстирывающей и пенообразующей способностью нет. Существуют составы, которые обладают хорошими отстирывающими свойствами, но пены почти не дают. При использовании стиральных машин обильная пена иногда и нежелательна. Поэтому существуют пенообразователи на любой вкус. К усилителям пенообразования относят аминоспирт C>11>H>23>CONHCH>2>CH>2>OH
Смягчители
При стирке синтетическими моющими средствами и последующей сушке изделия из тканей (полотенца, пеленки и др.) могут стать жесткими на ощупь. Для ее устранения применяют смягчители. Это достигается полосканием в воде с добавкой специальных составов. Наиболее известными смягчителями являются соединения четвертичных аммониевых оснований.
В состав смягчителей, которые выпускаются в виде раствора или пасты, входят также оптические отбеливатели и отдушка. Стирка и химическая чистка изделий из тканей являются химическими процессами. Химик должен знать их условные обозначения, а также допустимые температуры глажки и условия сушки.
Некоторые любят погорячее
У многих людей сложился стереотип - чем горячее вода для стирки, тем лучше отстирается загрязнение, потому что тепленькой водой грязь не "возьмешь". Но залив в машинку кипятка и добавив биопорошок, они зачастую, к удивлению своему, не получают ожидаемого результата. Пятна от крови и молока остаются! Почему?
Известный факт, что порошки лучше отстирывают в горячей воде, то есть стирка при 90 градусах дает лучший результат, чем стирка при 40, абсолютно справедлив для жирных пятен, но неприменим к пятнам белкового происхождения (кровь, молоко).
Объясним, почему. Белок при повышении температуры сворачивается (вспомните вареное яйцо), то есть пятно "закрепляется" на ткани, и отстирать его уже невозможно (можно лишь снизить интенсивность).
Поэтому для удаления белковых пятен с помощью биопорошка стирать следует при температуре 40-50 градусов. На некоторых порошках даже пишут крупными буквами "Биосистема. Не кипятить!". Так что имейте в виду.
Всем известно, что в горячей воде (90 градусов) жировые, масляные, растительные пятна отстирываются значительно лучше, чем в теплой (40 градусов).
Однако мы понимаем, что стирка при низкой температуре наиболее предпочтительна по нескольким причинам.
Во-первых, низкая температура - это более бережное отношение к вещам, следовательно, увеличение продолжительности их "жизни".
Во-вторых, нагревание воды в машине-автомате требует дополнительной энергии, то есть больших материальных затрат.
Поэтому высокая эффективность отстирывания даже при низкой температуре - неоспоримое преимущество стирального порошка.
Чтобы не испортить ткань при стирке, надо знать, что хлопчатобумажные и льняные ткани выдерживают высокую температуру, их можно даже кипятить, а шерсть и натуральный шелк требуют стирки и полоскания в "щадящих" условиях: при температуре не выше 40--50 oС (иначе вещь сильно сваляется -- "сядет"). Их не следует особенно усердно тереть и выжимать, поскольку мокрые волокна этого типа сильно теряют в прочности.
Разнообразные синтетические ткани редко выдерживают сильное нагревание без деформации, поэтому температура их стирки должна быть еще ниже.
Наконец, особого внимания требуют вещи из цветных тканей: чтобы краситель не потускнел, а ткань не полиняла, их надо стирать отдельно от белого белья, в теплой (но не в горячей) воде, пользоваться нейтральными моющими средствами.
Подкрахмаливание
Чтобы постельное и столовое белье, мужские рубашки и другие вещи не мялись, выглядели наряднее и меньше грязнились, их подкрахмаливают: после полоскания погружают белье в крахмальный раствор, а потом отжимают и сушат. В зависимости от концентрации раствора можно крахмалить мягко, средне и жестко. Мягко крахмалят постельное белье и изделия из легких тканей (блузки, платья), средне -- скатерти, салфетки, мужские рубашки, жестко -- воротнички и манжеты мужских сорочек.
Накрахмаленное белье меньше грязнится и легче отстирывается, и вот почему. Крахмал в процессе варки клейстера и особенно при глажении белья частично расщепляется с образованием декстрина и образует на поверхности ткани тонкую и ровную воздухопроницаемую пленку, которая защищает ткань от загрязнений, принимая их на себя. Если такое белье замочить, а потом прополоскать, большая часть загрязнений вместе со старым крахмалом перейдет в раствор. Для подкрахмаливания годится рисовый, картофельный и кукурузный (маисовый) крахмал и синтетические препараты на основе поливинилацетатной эмульсии.
Если берут готовый подкрахмаливающий состав, надо действовать точно по инструкции на упаковке, например, долить нужное количество состава в воду для полоскания. Еще проще, если предстоит обработать вещь составом из аэрозольного баллончика. Однако гораздо дешевле (и как уверяют, полезнее с экологической точки зрения) самим готовить крахмальный раствор.
При подкрахмаливании белья полезно помнить следующее:
- накрахмаленное белье не следует сушить на морозе;
- лучше всего гладить его чуть влажным;
- накрахмаленные ткани лучше блестят, если в крахмальный раствор добавлено немного (на 10 л воды -- 1 чайная ложка) поваренной соли;
- для еще большего глянца можно добавить в горячий крахмальный клейстер расплавленный стеарин (1 столовую ложку на 2 л клейстера).
Практическая часть:
Путем проведения социологического опроса жителей Первомайского района г. Минска были выявлены 7 наиболее популярных марок стиральных порошков. Это «Дося», «Tide», «Е», «Лотос», «Хозяйственное мыло», «Ariel» и «Аленка».
Из тканей были отобраны: шерсть, лен, вискоза, хлопчато-бумажная белая и цветная.
В качестве загрязнителей использовались все типы пятен: пигментно-масляные (масло подсолнечное), белковые (кровь), окрашенные (кофе, трава), пятна от различных видов чернил (шариковые ручки, маркер), крахмальные пятна (макароны).
Была собрана «из подручных средств» установка, эмитирующая стиральную машину (рис. 7).

Рис. 7. «Стиральная машина». 1 – штатив, 2 – моторчик с регулировкой оборотов, 3 – стеклянная мешалка, 4 – колба коническая, 5 – электрическая плитка.
Для создания одинаковых условий стирки в колбу каждый раз наливалось по 400мл воды и помещалось по 2г стирального порошка. После растворения порошка туда же помещались загрязненные образцы тканей. Каждая стирка продолжалась 20 минут, после чего производилось полоскание (вручную) и просушка образцов (см. коллекцию). Затем визуально независимыми экспертами (из числа учащихся) по 5-бальной системе оценивалось качество отстирывания различных загрязнений. (см. приложение1).
Стирка производилась при различных температурах: 30, 60 и 90°С. Температура контролировалась и регулировалась при помощи контактного термометра, электрической плитки и реле.
Образцы были просмотрены до и после стирки в оптический микроскоп. К сожалению, увеличения оказалось не достаточно, чтобы зафиксировать изменения структуры волокон. Однако, уменьшение толщины волокон шерсти при повышении температуры все же заметить удалось (см.рис. 8-12)



Рис. 12. Шерсть
Результаты и обсуждение:
В ходе работы были протестированы наиболее популярные стиральные порошки и составлена база данных (см. приложенные таблицы).
Пигментно-масляные пятна (масло подсолнечное).
Было подтверждено, что эффективность удаления жирных пятен возрастает с повышением температуры, т.е. при 90º С они отстирываются лучше, чем при 30º С.
Также удалению жирных пятен способствуют щелочные растворы, содержащие ПАВ, т.к. под действием щелочей происходит «омыление» жиров.
Таблица 1.
Качество отстирывания пигментно-масляных пятен (макс. 25 баллов)
|
порошок |
Ariel |
Tide |
E |
Дося |
Лотос |
Аленка |
Хоз.мыло |
|
баллы |
24,3 |
23,9 |
23,8 |
22,3 |
24,3 |
24,1 |
24,7 |
Не удивительно, что лидирующую позицию занимает хозяйственное мыло, состоящее в основном из ПАВ.
Окрашенные пятна (кофе, трава),
На пятна растительного происхождения действует химический отбеливатель. Он начинает работать при температуре 60º С (при наличии активатора отбеливателя начальная температура 40º С), и его эффективность повышается с ростом температуры и также при повышении концентрации активатора отбеливателя.
Таблица 2.
Качество отстирывания окрашенных пятен (макс. 25 баллов)
|
порошок |
Ariel |
Tide |
E |
Дося |
Лотос |
Аленка |
Хоз.мыло |
|
Баллы(трава) |
25 |
24,6 |
25 |
25 |
24,3 |
24,5 |
24,2 |
|
Баллы(кофе) |
24,5 |
24,1 |
25 |
24,4 |
24,7 |
24,3 |
23,7 |
Наилучший результат, как и предполагалось, показали порошки, содержащие отбеливатели. Лидер – «Е», аутсайдер – хоз.мыло, не содержащее отбеливателя в принципе.
Крахмальные пятна (макароны).
При повышении температуры крахмальные пятна закрепляются на ткани.
Таблица 3.
Качество отстирывания окрашенных пятен (макс. 25 баллов)
|
порошок |
Ariel |
Tide |
E |
Дося |
Лотос |
Аленка |
Хоз.мыло |
|
баллы |
24,5 |
25 |
24,3 |
24,6 |
25 |
24,9 |
25 |
Первое место разделили: «Tide», «Лотос» и хозяйственное мыло.
Белковые пятна(кровь)
Белковые пятна удаляются с помощью энзимов (щелочных протеаз). Эффективность их действия определяется температурой стирки (оптимальная: 40º С) и наличием в составе порошка других энзимов, усиливающих действие протеаз. Отметим, что эффективность действия энзимов снижается химическим отбеливателем. Эти активные вещества достаточно сложно совместить в одном порошке. В связи с этим наблюдается такая закономерность: если порошок эффективно отстирывает белковые пятна, то он малоэффективен в отношении пятен растительного происхождения и наоборот.
Таблица 4.
Качество отстирывания белковых пятен (макс. 25 баллов)
|
порошок |
Ariel |
Tide |
E |
Дося |
Лотос |
Аленка |
Хоз.мыло |
|
баллы |
22,7 |
21,9 |
22,1 |
21,4 |
24,1 |
20,7 |
22,9 |
Результаты проведенного теста показали, что бывают счастливые исключения из этого правила.
Пятна от различных видов чернил (шариковые ручки, маркер)
Чернила бывают самого разного состава, однако они обязательно содержат краситель (пигмент) и растворитель. Вводят в чернила и добавки, которые улучшают их качество, -- поверхностно-активные вещества, консерванты, антисептики. Существует множество видов чернил: для ручек и для фломастеров, для самописцев автоматических приборов и т.д. Одни смываются обычной водой, и на листе бумаги, попавшем под дождь, не видно ничего, кроме пятен и разводов, другие не тускнеют сотни лет и используются для документальных записей. В этом же ряду -- пасты для шариковых авторучек.
Ализариновые и антраценовые чернила, помимо веществ, давших им название (ализарина и антрацена), содержат анилиновые красители. В цветных чернилах содержатся только анилиновые красители и вода. Долговечность надписей на бумаге, тканях, пластике и стекле обеспечивают чернила, содержащие вместо воды спирты, ксилол, масла и другие органические растворители. Чем лучше чернила, тем труднее избавиться от чернильных пятен.
Таблица 5.
Качество отстирывания чернильных пятен (макс. 25 баллов)
|
Порошок |
Ariel |
Tide |
E |
Дося |
Лотос |
Аленка |
Хоз.мыло |
|
Баллы (маркер) |
24,4 |
20,4 |
22,5 |
22,2 |
22,7 |
21,7 |
24,1 |
|
Баллы (с. ручка) |
22 |
20,4 |
21,2 |
21 |
20,5 |
19,7 |
21,7 |
|
Баллы (кр.ручка) |
22,9 |
21,4 |
21,7 |
21,7 |
21,3 |
20,2 |
21,5 |
Наилучшие результаты показал порошок «Ariel», содержащий всевозможные компоненты: отбеливатель, ПАВ и прочие.
Пенообразование и pH
Для машин автоматов чем меньше пены, тем лучше. В соответствии с ГОСТ 22567.177 (Средства моющие синтетические) показатели "уровень пены" и "устойчивость пены" регулируются в совокупности: если пена высокая, то у нее должна быть низкая устойчивость (то есть чтобы она сразу спадала), если пена низкая, устойчивость может быть высокая.

Рис.13. Зависимость высоты пены от времени
Наши исследования показали, что выпускаемые моющие средства соответствуют ГОСТ. А именно, «Е» образует наиболее высокую и наименне устойчивую пену, а «Ariel» и «Аленка» - наоборот: наименее высокую и наиболее устойчивую.
Второй показатель – уровень кислотности или уровень pH. В соответствии с ГОСТ 22567.5-93 (Средства моющие синтетические и вещества поверхностноактивные. Методы определения концентрации водородных ионов) этот показатель находится в диапазоне 7,5 11,5. Чем ниже уровень pH, тем хуже стирает порошок. Чем выше его уровень, тем порошок более "агрессивен" по отношению к рукам и тканям (белье будет быстрее изнашиваться). Поэтому и в этом вопросе производителям приходится находить компромисс.
Таблица 6.
Значения pH растворов порошков
|
порошок |
Ariel |
Tide |
E |
Дося |
Лотос |
Аленка |
Хоз.мыло |
вода |
Calgon |
|
pH |
10.5 |
10 |
10 |
11 |
10 |
10 |
7.5 |
5.5 |
8.5 |
О температуре стирки
Тот факт, что энзимы эффективны при 40º С, а при более высокой температуре не "работают", вовсе не означает, что отныне вам нужно стирать только при 40º С. Дело в том, что при стирке в машине-автомате вне зависимости от режима вода нагревается постепенно, и в какой-то момент достигает 40º С. А вот при кипячении порошок с энзимами абсолютно бесполезен.
Таблица 7.
Качество отстирывания при различной температуре (макс. 5 баллов)
|
порошок |
Ariel |
Tide |
E |
Дося |
Лотос |
Аленка |
Хоз.мыло |
среднее |
|
Баллы (30º С) |
4,17 |
3,93 |
4,00 |
3,97 |
4,22 |
3,99 |
4,22 |
28,5 |
|
Баллы (60º С) |
4,29 |
4,12 |
4,10 |
4,1 |
4,11 |
4,07 |
4,28 |
29,07 |
|
Баллы (90º С) |
4,29 |
4,05 |
4,22 |
4,1 |
4,16 |
4,01 |
4,09 |
28,92 |
Самая эффективная стирка наблюдается при 60º С, т.к. при этой температуре активно наибольшее число компонентов порошка.
Эффективность отстирывания различных типов тканей
Таблица 8.
Качество отстирывания различных типов тканей (макс. 5 баллов)
|
ткань |
вискоза |
шерсть |
лен |
Хлопок белый |
Хлопок цветной |
|
баллы |
4,736 |
4,701 |
4,665 |
4,482 |
4,639 |
Наиболее эффективно происходит отстирывание тканей, в состав которых входят искусственные волокна (вискоза).
Соотношение цена-качество
Таблица 9.
Соотношение цена-качество (универсальность) порошков (макс. балл - 5)
|
порошок |
Ariel |
Tide |
E |
Дося |
Лотос |
Аленка |
Хоз.мыло |
|
Цена/1кг |
8644 |
8222 |
6075 |
4775 |
2311 |
5511 |
2114 |
|
баллы |
4,248 |
4,054 |
4,127 |
4,076 |
4,168 |
4,03 |
4,195 |
|
коэффициент |
4,91 |
4,93 |
6,79 |
8,54 |
18,04 |
7,31 |
19,84 |
Коэффициент = 10000*баллы/цена
Самое оптимальное соотношение цена/качество наблюдается у хозяйственного мыла и порошка «Лотос».
Выводы:
В ходе работы были протестированы самые популярные стиральные порошки и составлена база данных.
Выбор порошка обусловлен многими факторами: природа пятен, тип ткани, материальные возможности и проч.
Наиболее эффективная стирка наблюдается при 60ºС, т.к. при этой температуре активно максимальное число компонентов порошка.
Оптимальное соотношение цена/качество наблюдается у хозяйственного мыла и порошка «Лотос».
Рекомендации:
Если на белье нет белковых, крахмальных или явных жировых загрязнений, то, в принципе, можно обойтись и недорогим средством без энзимов и отбеливателей.
Если ваш порошок с энзимами - без необходимости не стирайте им шелковые и шерстяные изделия, используйте его только для выведения пятен. Энзимы, входящие в состав порошка, способствуют расщеплению грязи белкового происхождения и так же успешно, хотя и постепенно, разрушают шелковые и шерстяные волокна.
Если вы стираете биопорошком, стирку лучше проводить в два этапа. Сначала замочите белье. На этом этапе энзимы "поработают" над белковыми пятнами при подходящей для их жизнедеятельности температуре. Ну а потом можете стирать при более высокой температуре или даже кипятить, тогда в работу вступят другие компоненты, удаляя жировые и масляные пятна, ведь биопорошки (как и любые порошки) содержат основные компоненты, удаляющие грязь. Такой режим стирки относится и ко всем порошкам, содержащим энзимы.
Отбеливающая способность напрямую зависит от количества химического отбеливателя, входящего в состав порошка.
Нельзя стирать шерстяные вещи при высокой температуре (свыше 40–50°С), потому что белок шерсти «сворачивается». Их надо стирать быстро (не стоит держать их долго в воде и замачивать), при стирке в машинах-автоматах необходимо использовать специальные режимы.
Лидирующую позицию при удалении пигментно-масляных пятен занимает хозяйственное мыло, состоящее в основном из ПАВ.
Наилучший результатпри удалении окрашенных пятен показали порошки, содержащие отбеливатели. Лидер – «Е», аутсайдер – хоз.мыло, не содержащее отбеливателя в принципе.
При удалении крахмальных пятен первое место разделили: «Tide», «Лотос» и хозяйственное мыло.
Наилучшие результаты при удалении пятен различных видов чернил (шариковые ручки, маркер) показал порошок «Ariel», содержащий всевозможные компоненты: отбеливатель, ПАВ и прочие.
Наши исследования показали, что выпускаемые моющие средства соответствуют ГОСТ. А именно, «Е» образует наиболее высокую и наименне устойчивую пену, а «Ariel» и «Аленка» - наоборот: наименее высокую и наиболее устойчивую.
Самая эффективная стирка наблюдается при 60º С, т.к. при этой температуре активно наибольшее число компонентов порошка.
Наиболее эффективно происходит отстирывание тканей, в состав которых входят искусственные волокна (вискоза).
Самое оптимальное соотношение цена/качество наблюдается у хозяйственного мыла и порошка «Лотос».
Не все хорошо, что дорого
Не все хорошо, что рекламируют
Горячее – не значит лучшее отстирывание
Купляйце беларускае!!!!
Из правил бывают исключения
Словарь терминов
Адсорбция -- это поглощение веществ поверхностью поглотителя (адсорбента).
Амилазы – тип энзимов - облегчают удаление крахмалосодержащих пятен, например, от макаронных изделий, картофеля, шоколада, детского питания и т.д. Высохший крахмал с трудом удаляется при средних и низких температурах стирки, особенно при использовании моющих средств, обладающих средней щелочностью. Крахмал прилипает к поверхности ткани, играя роль клея для других компонентов загрязнений. Амилаза гидролизует крахмал в декстрины и сахара, которые легко растворяются в моющем растворе.
Антоцианы и их производные антоцианидины - Красные и синие красители цветов и плодов. Легко растворимы в воде и растворителях с полярными молекулами (например, в спиртах). Соли антоцианов и антоцианидинов имеют красный цвет; в нейтральной среде они приобретают пурпурную окраску, а при подщелачивании становятся синими. Почти бесконечное цветовое разнообразие плодов и цветов объясняется тем, что антоцианы и антоцианидины присутствуют в растениях в разных формах (пирилиевой или хиноидной), а иногда вдобавок образуют соли с различными катионами. Самые важные из семейства антоцианов -- это пеларгонин (пигмент пеларгонии), мекоцианин (из мака), кероцианин (из черешни), дельфинин (из шпорника), мальвин (пигмент мальвы) и энин (из красного винограда и красного вина). Краситель цианин обусловливает и синий цвет василька, и красный цвет розы...
Белковые загрязнения - около 10% (молоко, кровь, яйца, мороженое и т.д.).
Вискоза – целлюлоза, обработанная сероуглеродом и гидроксидом натрия. Из вискозного волокна создают ткани напоминающие шелк, хлопок и даже шерсть и лен.
Водорастворимые загрязнения (например, соль от пота), которые удаляются при смачивании водой, - менее 10%.
Гидрофильная часть моющего вещества взаимодействует с водой, проникает в воду и увлекает с собой частицу загрязняющего вещества, присоединенную к гидрофобному концу. Филео – по-гречески – люблю, а гидрофильность – любящий, удерживающий воду (карбоксильная группа COO--)
Гидрофобная часть молекулы моющего вещества обладает способностью взаимодействовать с поверхностью гидрофобного загрязняющего вещества. Фобос – по-гречески означает страх, боязнь. Значит, гидрофобность означает боящийся, избегающий воду (углеводородный радикал СH>3>(CH>2>)>n>--)
Жир - сложных эфиров высших карбоновых кислот с трехатомным спиртом - пропантриолом, который обычно называют глицерином.
Искусственные волокна - волокна, полученные на заводах из природных материалов. Искусственные волокна получают из природных полимерных материалов путем той или иной их модификации, в результате которой окончательное волокно, используемое в текстильной промышленности, отличается от всех натуральных волокон.
Каротин и ксантофил - обусловливают оранжевый цвет моркови, желтую и оранжевую окраску многих цветов и плодов
Кератиназы – тип энзимов - удаляют остатки отмерших чешуек кожи.
Кислородсодержащие отбеливатели - Действующее вещество «отбеливателей без хлора» – это «активный кислород», точнее сильные окислители, например, перкарбонат натрия или перборат натрия. Считается, что кислородсодержащие отбеливатели действуют более мягко, обеспечивая сохранность тканей, могут использоваться для цветных тканей.
Ликопин - Красные помидоры содержат красящее вещество ликопин из семейства каротиноидных углеводородов
Липазы – тип энзимов - облегчают удаление загрязнений на основе жиров и масел, оставляемых жирной пищей и продуктами выделения кожи человека. Поскольку нерастворимые белки, крахмалы, жиры и масла прочно «въедаются» в ткани, удаление этих веществ с помощью энзимов повышает общую эффективность моющего средства.
Мыло – натриевая или калиевая соль высшей карбоновой кислоты. Например CH>3>(CH>2>)>14>COONa
Натуральные волокна растительного происхождения (лубяные) - волокна абаки, ананаса, генекена, джута, капка, кенафа, кокосовой пальмы, конопли, льна, манилы, рами, сизаля, соломы, хемпа (кроталярии) и хлопка.
Натуральные текстильные волокна – волокна, получаемые из частей растений или животных
Окрашенные загрязнения (небелковые, пятна растительного или животного происхождения - кофе, чай, какао, овощи, фрукты, вино и т.д), удаляемые отбеливанием или специальными добавками, - около 10-20%.
Омыление жиров – взаимодействие жиров со щелочью

Оптические отбеливатели - Это флуоресцирующие вещества, называемые также «белыми красителями». Они поглощают свет в ультрафиолетовой части спектра и излучают его в голубой. Таким образом они уничтожают желтизну, которая возникает у изделий из растительных, животных и синтетических волокон после химического отбеливания. В итоге белье приобретает яркость и белизну, его не нужно подсинивать.
ПАВ – поверхностно-активное вещество. Простейший пример – мыло. Благодаря ПАВ происходит смачивание ткани моющим раствором, они также ослабляют связь загрязнений с тканью, стабилизируют удаленные загрязнения в растворе.
Пигментно-масляные загрязнения - составляют примерно 70% от общего числа (подсолнечное или сливочное масло и т.д.)
Полушерсть – ткань, содержащая 20-90% шерсти и лавсан, капрон или вискозу. (Если содержание синтетических волокон превышает 50 %, то на ткани появляются блеск и катышки). Добавление лавсана уменьшает сминаемость ткани. А вискоза повышает ее износостойкость.
Протеазы - щелочные энзимы - способствуют удалению загрязнений, содержащих белок: например, травы, крови, слизи, а также разнообразных пищевых продуктов, таких как яйца и подливки. Перечисленные вещества почти нерастворимы в воде и имеют тенденцию прилипать к поверхностям тканей и других материалов. Протеаза гидролизует белок, входящий в состав загрязнений, с образованием пептидов, которые легко растворяются или диспергируются в моющем растворе. Энзимы, входящие в состав порошка, способствуют расщеплению грязи белкового происхождения и так же успешно, хотя и постепенно, разрушают шелковые и шерстяные волокна.
Регенерированные или искусственные волокна животного происхождения - Мытая органическими растворителями шерсть, волокно из переработанного лоскута, очесы, повторно обрабатываемая шерсть, повторно используемая шерсть, шодди и волокно из шелковых отходов и пряжи
Ржавчина -- метагидроксид железа FeO(OH)
Синтетические волокна – волокна, изготовленные из синтетических материалов. Синтетические химические волокна получают из полимеров, не существующих в готовом виде в природе. Их синтезируют путем полимеризации, при которой химические звенья малой молекулярной массы соединяются в длинные полимерные цепи с очень большой молекулярной массой. Синтетических полимеров очень много, и во всем мире насчитывается более тысячи фирменных названий различных синтетических волокон.
Смягчители – соединения, придающие тканям мягкость. Наиболее распространенные - соединения четвертичных аммониевых оснований.
Соли жесткости - гидрокарбонаты, сульфаты, хлориды кальция, магния, железа.
Средства защиты от накипи – фосфаты, цеолиты
Танин - в чае содержится таннин -- вещество с дубильными свойствами. Из-за него чайные пятна особенно прочно закрепляются на ткани.
ТАЭД - активатор отбеливания. Его вводят в состав порошков чтобы понизить начальную температуру действия кислородного отбеливателя.
Трикотаж - Особенность трикотажа в том, что его полотно не ткут, а вяжут. Пряжа может быть шерстяной, хлопчатобумажной, вискозной и т.д.
фибриллярные (волокнистые) белки – фиброин и кератин. Они содержат в основном α-аминокислоты с короткими боковыми цепями. Водородные связи возникают между различными полипептидными цепями и стабилизируют так называемую структуру складчатого листа.

Химические текстильные волокна. Волокнистые материалы, не встречающиеся в природе
Хлопчатобумажные ткани - ситец, бязь, сатин, поплин, тафта, толстая байка, тонкий батист и шифон, джинсовое полотно.
Хлорсодержащие отбеливатели – это гипохлорит натрия или кальция. Эти средства имеют неоспоримые достоинства – стоят дешево, эффективно отбеливают и дезинфицируют ткани, могут использоваться для стирки и дезинфекции поверхностей (кафельная плитка, пол). Однако они весьма агрессивны – негативно воздействуют и на кожу рук, и на ткани, снижая их прочность, токсичны и применимы только для белых тканей, при попадании на цветные – либо выедают краску, либо оставляют пятно самого неожиданного цвета.
Целлюлазы – тип энзимов - освежают цвет ткани, удаляют инкрустированные частицы загрязнений, уменьшают тенденцию к пилингу, сохраняют белизну ткани, обладают смягчающим действием и устраняют микроволокна (катышки), образующиеся при стирке и носке и препятствуют их повторному появлению. Такое действие обуславливается селективным гидролизом наружного слоя хлопкового волокна, приводящим к удалению выступающих из него микроволокон. Эти микроволокна образуются за счет повторяющейся носки и стирки ткани. Удаляя их, целлюлаза восстанавливает гладкость поверхности ткани.
Целлюлоза -

Шелковые ткани создают, скручивая нити различным образом. Так получаются крепы, атлас, газ, фай, чесуча, бархат.
Энзимы - белки, состоящие из более 20 основных аминокислот, каждая из которых имеет свой уникальный состав, что обуславливает удаление трудновыводимых биозагрязнений.
Эмульгирующая способность - способность дробить загрязнения, например, капельки жира, на мельчайшие частицы, равномерно распределенные в воде. Это свойство моющего средства обусловлено поверхностными явлениями, преимущественно электростатической природы.
Список использованных источников:
http://domovodstvo.com/stir-porosh.html
http://www.interfax.by/?id=11_38_2
http://www.passion.ru/s.php/380.htm
http://ru4.pp.ru/s15.php
http://www.nanya.ru/podpiska/
http://www.isracity.com/isra/spravki/kakpokupat.html
http://potrebitel.nsys.by/html/materials/proj_10.04.htm
http://www.pgprof.ru/support/faqariel.htm
http://www.vigossjeans.ru/enciclopedy/
http://aquasan.by/a-art_2.htm
Шур А. М. Высокомолекулярные соединения.Изд.2-е,переработ, и доп.Учебное пособие для университетов.М., «Высш.школа»,1971
Химическая энциклопедия: В 5 т.: А – Дарзана/Редкол.: Кнунянц И.Л. (гл. ред.) и др.-М.: Сов. Энцикл.,1988.-623с.:ил.
Гауптман З., Грефе Ю., Ремане Х. Органическая химия. Пер. с нем./Под.ред.проф. Потапова В.М. – М., Химия,1979. – 832 с., ил.
http://www.omar.ru/cgi-bin/baza/omar1.fcgi?table=poroshki
Бытовая техника 09'2003
Журнал "Бытовой техники" (№27, 2002).
Физика для любознательных. Эрик Роджерс. Том 1. Издательство Мир. Москва 1972 год
Гроссе Э., Вайсмантель X. Химия для любознательных. Основы химии и занимательные опыты
www.alhimik.ru
http://www.ortho.ru/1_Part/ferment.htm
Цитович И.Ю. Курс аналитической химии.Учебник.8-е издание,стер.-СПб.:Издательство «Лань»,2004.-496 с .:ил.-(Учебники для вузов.Специальная литература.)
Нифанов Э.Е., Парамонова Н.Г. Основы прикладной химии: Учеб. пособие для студентов пед. Вузов. – М.: Гуманит. изд. центр ВЛАДОС, 2002. – 144с.