Плоские задачи теории фильтрации
ФЕДЕРАЛЬНОЕ АГЕНТСТВО ПО ОБРАЗОВАНИЮ
Тюменский государственный нефтегазовый университет
Нижневартовский филиал
Кафедра
«проектирования, строительства и эксплуатации скважин»
Курсовая работа
по дисциплине «Подземная гидромеханика»
Тема: « Плоские задачи теории фильтрации»
Выполнил: студент гр. НР-05(1)
Ахмадуллин Руслан
Проверил:Спиридонова В.Н.
г.Нижневартовск
Содержание
1. Введение
Геологическая часть
Орогидрография района
2.2 Стратиграфия и Литология
3. Технологическая часть
Особенности фильтрации в трещиноватых и трещиновато-пористых пластах
3.1 Классификация трещиноватых пластов
3.1 Проницаемость пласта
3.1 Границы применимости линейного закона фильтрации
4. Расчетная часть
Капиллярная пропитка при физико-химическом и тепловом
заводнениях. Нефтеотдача трещиновато-пористых коллекторов
5. Специальная часть
5.1 Охрана окружающей среды
6. Выводы и рекомендации
7. Список используемой литературы
8. Приложения
1. Введение
Под фильтрацией понимают движение (просачивание} жидкости или газа или газожидкостной смеси через твердое тело, имеющее пустоты, одни из которых называют порами, другие трещинами. Мельчайшие пустоты обладают тем свойством, что силы молекуляр ного взаимодействия между жидкостью и твердыми стенками очень велики. Они образуют молекулярные поры. В самых больших пусто тах взаимодействие жидкости со стенками лишь частично влияет на ее движение. Такие пустоты называются кавернами. Промежуточное место между молекулярными порами и кавернами занимают просто поры. Твердое тело, содержащее поры, представляет собой пористую среду, песок, песчаник, известняк.
Если внутри твердого тела возникли трещины, такое тело являет собой пример трещиноватой среды. Растресканность горных пород макротрещинами и микротрещинами, не смещающими слои пород друг относительно друга, можно объединить под термином «трещиноватость». Пористый коллектор нефти и газа, наделенный к тому же свойством трещиноватости, есть представитель пористо-трещиноватой среды.
Жидкость, газ, смесь жидкости и газа, другими словами—всякая текучая среда, часто именуется в зарубежной литературе собирательным термином флюид (fluid), если не ставится задача выделить характерные особенности движения данной среды.
Движение текучей среды через поры или трещины возможно, если некоторые из пор или трещин сообщаются между собой. Флюид, заполняющий сообщающиеся поры или трещины, образует непрерывную среду (континуум), занимающую некоторую часть всего пространства, принадлежащего объему пористой или трещиноватой среды. Мы будем считать, что в любом как угодно малом объеме пористой или трещиноватой среды находится жидкость, газ или газожидкостная смесь. Чрезвычайно малые размеры перовых каналов, их неправильная форма, большая поверхность шероховатых стенок — все это создаст огромные сопротивления движению жидкости и газа. Эти сопротивления служат главной причиной очень низкой скорости перемещения жидкости и газа в пористой среде; скорости в процессе фильтрации оказываются значительно более низкими, чем скорости движения в трубах или открытых руслах.
Если объем пространства, занятого порами, не изменяется или изменяется так, что его изменениями можно пренебрегать, пористая среда считается недеформируемой. Если же под влиянием упругих сил происходят такие изменения объема перового или трещиноватого пространства, величиной которых пренебрегать нельзя, среду следует рассматривать как упругую.
2. Геологическая часть
2.1 Орогидрография
Самотлорское нефтегазовое месторождение находится в Нижневартовском районе Ханты – Мансийского автономного округа Тюменской области, в 750 км к северо – востоку от г. Тюмени и в 15 км от г. Нижневартовска. В непосредственной близости к месторождению располагаются разрабатываемые – Аганское (с запада), Мало – Черногорское (с северо – востока), Лор – Еганское (с востока), Мыхпайское (с юга) месторождения.
Географически район месторождения приурочен к водоразделу рек Вах, являющейся судоходной, и Ватинского Егана, правых притоков р. Оби. Рельеф слабо пересечённый, с абсолютными отметками от плюс 45 до плюс 75 м. Площадь месторождения сильно заболочена, отмечаются также многочисленные озёра. Наиболее крупными являются Самотлор (его площадь 62 км2), Кымыл – Эмтор, Белое, Окунево, Калач, Проточное и другие. Многие озёра и болота в зимний период не промерзают.
Растительность представлена смешанными лесами с преобладанием хвойных пород и тальниковыми кустарниками, произрастающими преимущественно по берегам рек и озёр.
Климат территории континентальный с коротким прохладным летом и продолжительной холодной зимой. Среднемноголетняя годовая температура воздуха составляет -30C. Наиболее холодным месяцем года является февраль (-250С). Самым тёплым – июль (+200С). Абсолютный минимум температур -500С, абсолютный максимум +470С.
Населённые пункты непосредственно на месторождении отсутствуют. Ближайшие населённые пункты – г. Нижневартовск, г. Мегион, п. Покур, п. Вата и другие – расположены на берегу р. Оби в 35 км и более километрах от рассматриваемого месторождения. Коренное население этого района – русские, ханты и манси. В малонаселённом прежде районе быстро увеличилась численность населения в связи с привлечением специалистов и рабочих со всех концов страны.
Основными отраслями хозяйства района являются нефтегазодобывающая промышленность, строительство объектов нефтяной промышленности, лесозаготовки, автомобильное хозяйство и другие.
Более развёрнуто геолого – физическая характеристика залежей нефти представлена в таблице 2.1.
2.2 Тектоника и стратиграфия
В пределах Западно-Сибирской плиты большинство исследователей выделяет три структурно – тектонических этажа. Нижний формировался в палеозойское и допалеозойское время и отвечает геосинклинальному этапу развития современной плиты. Средний – объединяет отложения, образовавшиеся в условиях парогеосинклинали, имевшей место пермскотриасовое время. Верхний – мезо – кайнозойский, типично платформенный формировался в условиях длительного, устойчивого погружения фундамента.
Хантейская антеклиза, расположенная в центральной части Западно – Сибирской низменности, включает в себя следующие положительные структурные элементы первого порядка: Сургутский свод на западе, Нижневартовский на востоке, Каймысовский и Верхне – Демьяновский на юге. Центральную часть антеклизы занимает Юганская впадина.
В региональном тектоническом плане по отражающему сейсмогоризонту “ Б ” Самотлорская площадь расположена в центральной части Нижневартовского свода, в пределах Тарховского куполовидного поднятия, которое объединяет Самотлорскую, Мартовскую, Северо – Самотлорскую, Белозёрскую и Черногорскую структуры 3 - го порядка.
По кровле горизонта БВ>10> Самотлорское куполовидное поднятие оконтуривается изогипсой минус 2200 метров. Все локальные структуры внутри контура выражены довольно резко. Наиболее крупная из них – собственно Самотлорская, расположена в центральной и южной частях Тарховского поднятия. Структура оконтурена изогипсой минус 2120 м., имеет изометрическую форму с изрезанными контурами. Размеры её в плане 12 * 15 км., амплитуда структуры около 80 м. Белозёрская структура по кровле пласта БВ>10> осложнена двумя куполами, оконтуренными изогипсой минус 2130м. Общие размеры структуры 6 * 15 км. в пределах изогипсы минус 2130м. В целом Самотлорское куполовидное поднятие по замыкающей изогипсе минус 2200м. имеет размеры 32 * 40 км., амплитуду 150 метров.
По кровле горизонта БВ>8> в структурном плане Самотлорского куполовидного поднятия отмечается незначительное выполаживание по сравнению с нижезалегающим горизонтом БВ>10>. Более существенные изменения структурного плана происходят по кровле самого верхнего продуктивного пласта АВ>1>. Белозёрное, Мартовское поднятия практически сливаются с Самотлорским, с севера и востока оконтуриваются изогипсой минус 1690м.. На западе и юго – западе оконтуриваются изогипсой минус 1640м. и раскрываются в сторону Аганского, Ватинского, Мегионского и Мыхпайского поднятий. Углы наклона крыльев от десятков минут до 1.45. Амплитуда по отношению к западному крылу около 110м., восточному и северному – 160 метров
3.Технологическая часть
Особенности фильтрации в трещиноватых и трещиновато-пористых пластах
3.1 Классификация трещиноватых пластов. Параметры трещиноватости
Рациональная разработка месторождений, приуроченных к тре щиноватым пластам, будет способствовать дополнительной добыче нефти и газа. Отметим, что доля разведанных запасов нефти в тре щиноватых пластах в общем балансе месторождений земного шара постоянно возрастает и уже сейчас составляет около 44%.
За последние годы трещиноватые пласты, содержащие нефть и газ, в России были обнаружены на Северном Кавказе (Карабулак — Ачалуки, Заманкул, Малгобек, Селли, Гаша); в республиках Средней Азии (Джаркак, Сарыташ и др.); в Куйбышевском Поволжье; в пределах Восточных Карпат; на Ухте и в других местах. Важное значение приобретают перспективные площади в пре делах Восточной и Западной Сибири.
Из сказанного вытекает важность исследований по фильтрации в трещиноватых пластах. Уместно отметить, что если процессы фильтрации в поровых коллекторах хорошо изучены, то вопросам движения жидкости и газа в трещиноватых и трещиновато-пористых пластах стали уделять внимание сравнительно недавно, в основном в 60 гг. Эта область является молодой, перспективной областью подземной гидравлики и несомненно с большой будущностью.
Все коллекторы можно подразделить на две большие группы: гранулярные (поровые) и трещиноватые. Емкость и- фильтрация в гранулярном (поровом) коллекторе определяются структурой порового пространства породы.. Для второй группы характерно наличие развитой системы трещин.
Таким образом, трещиноватость пород создается развитыми системами трещин, густота которых зависит от состава пород, сте пени уплотнения, мощности, метаморфизма, структурных условий, состава и свойств вмещающей среды.
Трещиноватые коллекторы подразделяются на:
1) коллекторы смешанного типа, для которых емкостью служат трещины, каверны, микрокарсты, стилолиты, поровые пространства; ведущая роль в фильтрации нефти и газа принадлежит развитой системе микротрещин, сообщающих эти пустоты между собой;
2) чисто трещинного типа — емкостью служат трещины и по ним же осуществляется фильтрация.
Коллекторы смешанного типа в свою очередь подразделяются на подклассы: трещиновато-пористые, трещиновато-каверновые, трещиновато-пористо-каверновые коллекторы и т. д. Каждый такой подкласс определяется тем, какие категории пустот являются главными вместилищами для нефти (газа). Так, в трещиновато-пористом коллекторе основные запасы нефти (газа) содержатся в порах, а фильтрация осуществляется по развитой системе микротрещин. В дальнейшем мы подробно рассмотрим условия фильтрации в трещиновато-пористых коллекторах и коллекторах чисто трещинного типа.
О
дним
из важнейших параметров, характеризующих
трещиноватый коллектор, является
трещиноватость т
(коэффициент трещиноватости, называемый
иногда в литературе трещинной пористостью).
Трещиноватостью называется отношение
объема трещин образца т
ко всему объему образца
трещиноватой среды:
Выражается эта величина обычно в процентах. Трещиновато-пористые коллекторы имеют два типа естественных пустот:
а) межзерновая (первичная) пористость, аналогичная пористости для обычных песков, песчаников;
б) вторичная пористость (трещиноватость), обусловленная развитием трещиноватости, появившейся за счет различных причин. Пустоты этого типа имеют большие раскрытия, чем обычные раскрытия пор, и в значительной степени обусловливают фильтрационные свойства коллектора.
В соответствии со сказанным такие коллекторы рассматриваются Г. И. Баренблаттом, Ю. П. Желтовым и И. Н. Кочиной как совокупность двух разномасштабных пористых сред (рис.1)- системы трещин (среда 1), где пористые блоки играют роль «зерен», а трещины — роль извилистых «пор», и системы пористых блоков (среда 2).
Для трещиновато-пористого коллектора помимо коэффициента трещиноватости то, следует еще ввести коэффициент пористости тип» характеризующий среду 2. Тогда общую (суммарную) пористость трещиновато-пористого коллектора можно получить, если к коэффициенту трещиноватости m>T>, прибавить коэффициент межзерновой пористости пористых блоков m>n>..
Другим важным параметром трещиноватой среды является густота трещин.
Густота трещин есть отношение числа трещин n, секущих нормаль, к длине нормали, проведенной к поверхностям, образующим трещины.
Г
устота
трещин имеет размерность, обратную
единице длины. Если трещиноватый пласт
моделируется одной сеткой горизонтальных
трещин некоторой протяженности в
фильтрующей среде, причем все трещины
одинаково раскрыты и равно отстоят друг
от друга, то густота их
— число трещин, приходящихся
на единицу мощности пласта
Тогда коэффициент трещиноватости
г
(2.3)
де — раскрытие трещин; а, с — характерные линейные размеры образца; b — мощность (рис. 2.1).Как показали исследования ВНИГРИ, для трещиноватых пластов в большинстве случаев характерно наличие двух взаимно-перпендикулярных систем вертикальных трещин. Такая порода может быть представлена в виде модели коллектора, расчлененного двумя взаимно-перпендикулярными системами трещин с равными величинами раскрытия и густоты.
В
(2.4)
этом случае:

Для трех взаимно-перпендикулярных систем трещин, (рис. 2.2) с равными величинами раскрытия и густоты имеем:
(2.5)
В общем случае следует положить что:
(2.6)
где — безразмерный коэффициент, зависящий от геометрии систем трещин в породе.
3.2 Проницаемость пласта.
В
(2.7)
трещиноватом пласте зависимость между скоростью фильтрации v и средней скоростью движения по трещинам и выражается в виде:
и
ли
по известной из гидромеханики формуле
Буссинеска для средней скорости течения
жидкости между двумя плоскими неподвижными
параллельными стенками:
Н
(2.9)
а основании (III.5), (III. 4) выражение (II 1.6)-принимает форму:
П
(2.10)
араметр проницаемости изотропного трещиноватого пласта, как это следует из (2.9)
Е
сли
учесть, что в системе СИ проницаемость
1 Дарси
= 1,02х10-12
м2, то для
трещиноватого пласта
Д
(2.11)
ля трещиновато-пористого пласта общая проницаемость определяется как сумма межзерновой и трещинностей проницаемостей трещиноватого пласта, рассмотренной выше .В продуктивных трещиноватых пластах горное давление, опре деляющее общее напряженное состояние среды, уравновешивается напряжениями в скелете породы и давлением жидкости в трещинах. При постоянстве горного давления снижение пластового давления за счет отбора жидкости из пласта приводит к увеличению нагрузки на скелет среды. С уменьшением пластового давления (давления жидкости в трещинах) уменьшаются усилия, сжимающие зерна (пористые блоки) трещиноватой породы. Значение этого фактора наряду со значительными силами инерции следует учитывать при исследовании процессов фильтрации в трещиноватом пласте. Таким образом, на объем пространства трещин в трещиноватом коллек торе влияют в основном два фактора:
увеличение объемов зерен с падением пластового давления;
увеличение сжимающих усилий на скелет продуктивного пласта.
Полагая, что в трещиноватом пласте преобладают упругие деформации и учитывая, что горное давление постоянно, а с изменением давления в жидкости, газе изменяются главным образом раскрытия трещин , можно так оценить изменение раскрытия трещин от дав ления:

Г
(2.13)
де >т >- упругая константа; а - коэффициент Пуассона; l - среднее расстояние между трещинами. Разрешая уравнение (2.11) с учетом (2.12), получим формулу для определения параметра проницаемости в деформируемом трещиноватом пласте:

г
(2.14)
де
М
еханизм
деформации в трещиновато-пористых
пластах более сложен, чем в коллекторах
чисто трещинного типа, рассмотренных
выше. Однако можно отметить, что в
трещиновато-пористых средах под внешними
воздействиями вначале деформируется
система трещин (среда
1,
рис. 2.1);
причем истинное напряжение этой системы
играет роль внешней нагрузки для системы
пористых блоков (среда
2, рис.
2.1). Заметим также, что
зависимость для проницаемости вида
(2.13)
не единственная. Так, при построении
нелинейной теории упругого деформирования,
справедливой при больших изменениях
давления и больших упругих деформациях,
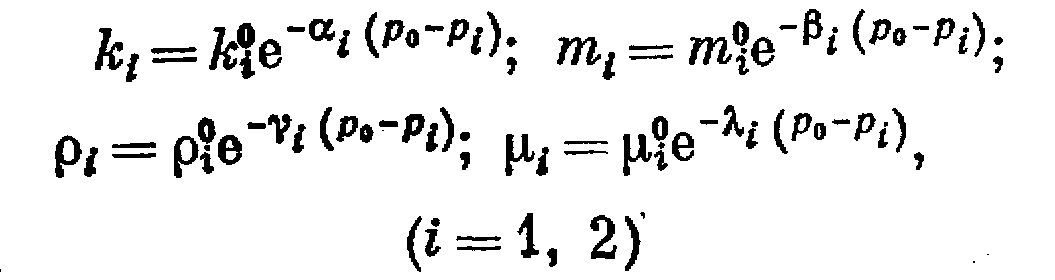
авторы (А. Т. Горбунов, В. Н. Николаевский)
принимали, что проницаемость, пористость
(а также вязкость и плотность фильтрующейся
жидкости или газа) в обеих системах
(среды 1
и 2
на рис. 2.1)
являются э
(2.15)
кспоненциальными функциями от давления:

Некоторые авторы (А. Бан, И. Н. Николаевский, Н. П. Лебединец, Л. Г. Наказная) используют также линейную зависимость между трещинной проницаемостью и изменением давления в виде:
(2.16)
где — реологическая постоянная трещиноватой среды, имеющая размерность, обратную размерности давления.
3.3 Границы применимости линейного закона фильтрации
Так же как и для гранулярных (пористых) сред, при больших скоростях фильтрации линейный закон фильтрации может нарушаться из-за появления значительных по величине сил инерции. Как показали исследования Г. М. Ломизе, для движения воды в щелях различного вида характерны числа Re, значительно превы шающие величины этого параметра для пористых сред: так, для щелей с гладкими стенками верхний предел применимости линейного закона оценивается числами Re>кр> = 600, а нижний —Re>кр> = 500).
Ф. И. Котяхов указывал, что для трещиноватых пород за счет изменения относительной шероховатости трещин и их различного раскрытия (от 71 мк до 12,96 мк в опытах Ф. И. Котяхова) нарушение линейного закона происходит при значениях Re соответственно от 90 до 0,40. Исследования Е. С. Ромма подтвердили, что для щелей с гладкими стенками критическое число Рейнольдса равно 500. Им было также установлено, что если величина относительной шероховатости меньше 0,065, то ее роль в процессах фильтрации может не учитываться.
Параметр Re для трещиноватой среды можно ввести на основании следующих простых рассуждении.
Б
(2.17)
езразмерный параметр Re для щели любой формы определяется выражением:
г
де
u
— средняя скорость
потока в м/сек; v
— кинематическая вязкость в м/сек; R
— гидравлический
радиус (отношение площади «живого»
сечения потока к «смоченному» периметру)
в м. Для трещин прямоугольного сечения:
г
(2.18)
де а — ширина трещин.Приближенное выражение для R получено на основании того, что обычно < а и величиной в знаменателе по сравнению с а можно пренебречь. Заметим, что — среднее раскрытие трещин в породе.
Т
(2.19)
аким образом,

и учитывая, что

т
(2.20)
о выражение для числа Рейнольдса в трещиноватой фильтрирующей среде может быть представлено в окончательной форме:
О
тметим,
что согласно сказанному, за нижнюю
границу нарушения линейного закона
фильтрации в трещиноватом пласте следует
принять Rе>др>
= 0,4. Понятно, что если
линейный закон фильтрации не действителен
для трещиноватых пластов, следует
использовать нелинейные законы.
А
(2.21)
налитически нелинейные законы выражаются в виде одночленных и двучленных формул. Одночленная формула предполагает следующую запись:
г
де
п изменяется
от 1
до 1,75
(по данным проф. Г. М. Ломизе).
З
(2.22)
начение постоянной С>т> можно получить методами теории подобия. Аналогичными рассуждениями получаем, что:

(2.23)
где
где

Н
(2.24)
а основании (2.19) уравнение (2.18) можно записать в виде:

где n = 1 — 1,75.
При n = 1,75 имеем турбулентный режим. Если линейный закон нарушается, используется двучленная формула, учитывающая возрастающую роль сил инерции в связи с увеличением скоростей движения жидкостей и газов:
(2.25)
где a, b — некоторые постоянные.
Б. Ф. Степочкиным на основе обработки обширного эксперимен тального материала (по результатам опытных данных и заимствован ного из различных литературных источников) для большого диапа зона размеров (от нескольких микрон до 75 мм) твердых частиц раз нообразной формы (слагающих продуктивные пласты) и интервала чисел Re от 10-6 до 103, получена двучленная формула:
г
(2.26)

де d — диаметр зерен, составляющих среду
4. Расчетная часть
Капиллярная пропитка при физико-химическом и тепловом заводнениях. Нефтеотдача трещиновато-пористых коллекторов.
Р
(3.1)
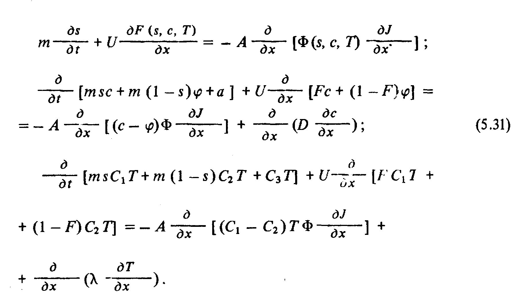
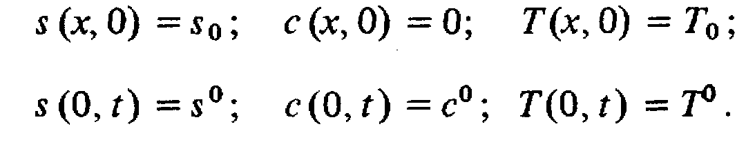
ассмотрим задачу, которая является естественным обобщением классической задачи о противоточной пропитке нефтенасыщенного образца пористой среды водой. Образец пористой среды, занимающий полупространство х>0 и первоначально заполненный нефтью и погребенной во дой (водонасыщенность Sо) при температуре То, приводится в контакт по плоскости х=0 ("торцу") с водным раствором химреагента концентрации с>0>, находящимся при температуре T. Под действием капиллярных сил в образце возникает одномерное течение, описываемое уравнениями:

З
(3.2)
десь уравнения движения записаны в предположении локального равновесия, так что
и
т.д. Жидкости предполагаются несжимаемыми,
так что с = const.
При этом из условия ограниченности
давления при х
("вдали от торца образца") следует,
что суммарная скорость фильтрации двух
фаз U=0.
Иными словами, сколько
воды впитывается в образец, столько же
нефти вытесняется из него через торец
— ситуация, характерная
для противоточной капиллярной пропитки.
Задача должна быть решена при условиях:

При этом особого комментария заслуживает величина s°- значение водонасыщенности в торцевом сечении образца. Это значение определяется условиями выхода нефти из образца. Действительно, вода вне образца и вода в той части образца, куда проникла пропитка, образуют единую связную фазу, и потому давление в ней при х =0 непрерывно:
Р
(3.3)
= Ро . С другой стороны, вытесняемая нефть выходит в водную фазу в виде отдельных капель, поэтому давление у торца образца в нефтяной фазе выше на величину капиллярного давления, отвечающего радиусу выходящих капель r : р>2> = р>о> + 2a/r . Поэтому межфазный капилляр ный скачок давления вблизи торца образца
О
(3.4)
тсюда легко заключить, что реально нефть выходит из самых крупных пор, а это означает, что насыщенность s° близка к критической s*, отвечающей обращению в нуль фазовой проницаемости для нефти. В дальнейшем поэтому предполагается

Учитывая условие U= О, имеем из уравнения

(3.5)
О
(3.6)
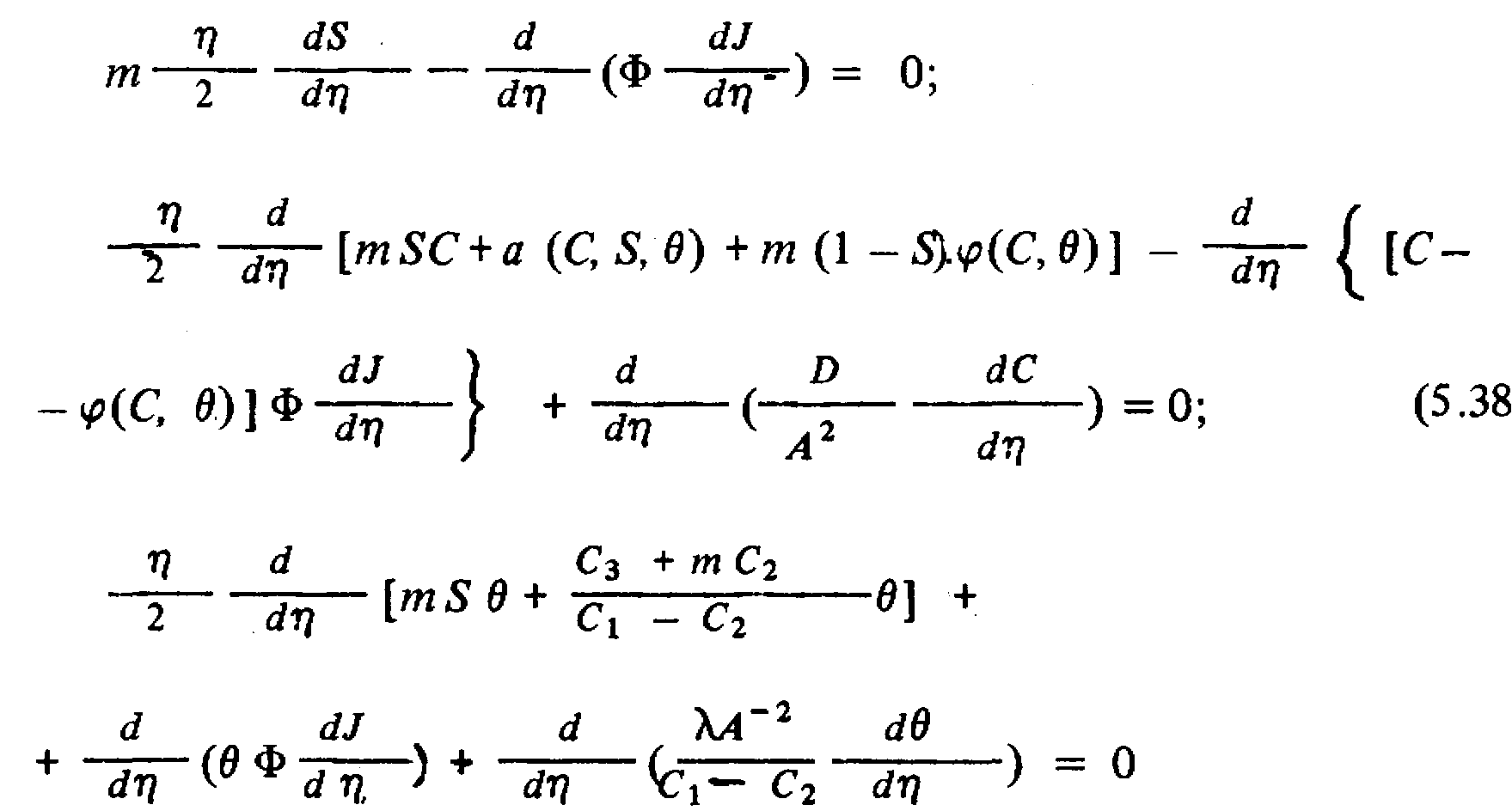
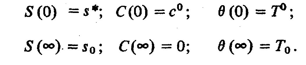
бобщенная задача о противоточной капиллярной пропитке имеет автомодельное решение вида

удовлетворяющее системе обыкновенных дифференциальных уравнений
(3.7)

с условиями

Фактическое отыскание решения сформулированной задачи требует в общем случае привлечения численных методов. Для того чтобы выяснить некоторые важные общие свойства решений, рассмотрим два характерных частных случая.
Р
(3.8)
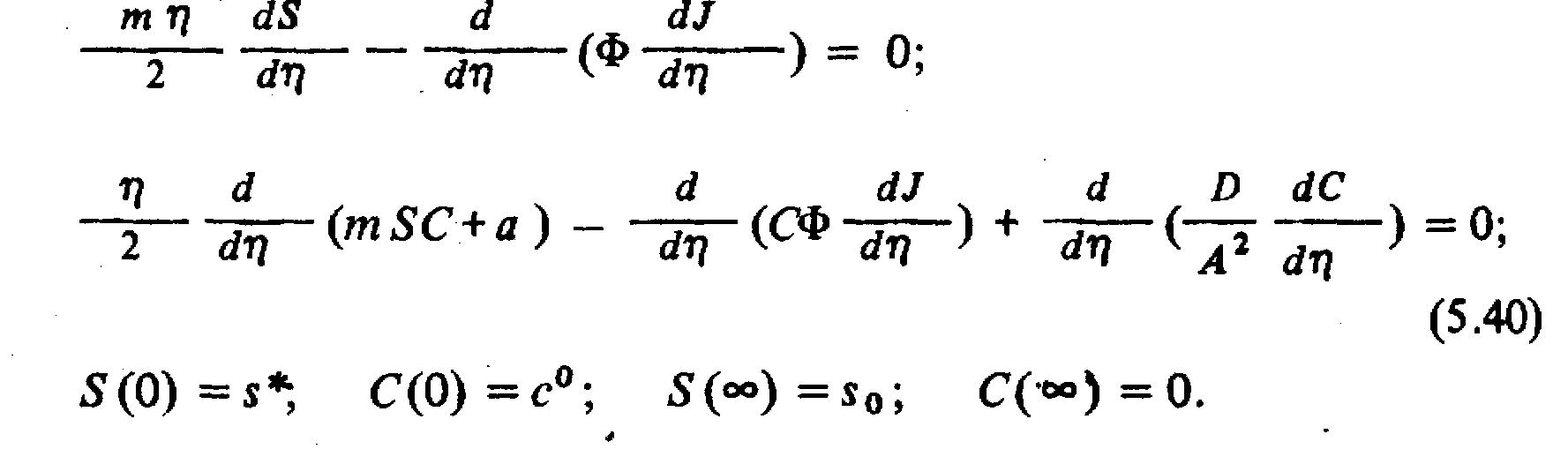
ассмотрим прежде всего капиллярную пропитку гидрофильной среды водным раствором активной примеси, не растворимой в нефти, (с=0), в изотермических условиях. Будем также считать, что адсорбция зависит только от концентрации: a = а (с). При этом темпе ратуру можно не учитывать, а для отыскания распределений насыщен ности и концентрации имеем в автомодельных переменных задачу
В
ычитая
из второго уравнения системы
первое, умноженное на С,
приводим его к виду
(3.9)

Характерное значение коэффициента капиллярного переноса А2 значительно больше, чем характерное значение коэффициента диффузии D. Поэтому последний член в уравнении содержит множителем малый параметр D/A2 < 1. Пренебрегая этим членом, получаем для С уравнение первого порядка

(3.10)
Р
(3.11)
ешение этого уравнения при условиях разрывности имеет вид "ступеньки":

П
(3.12)
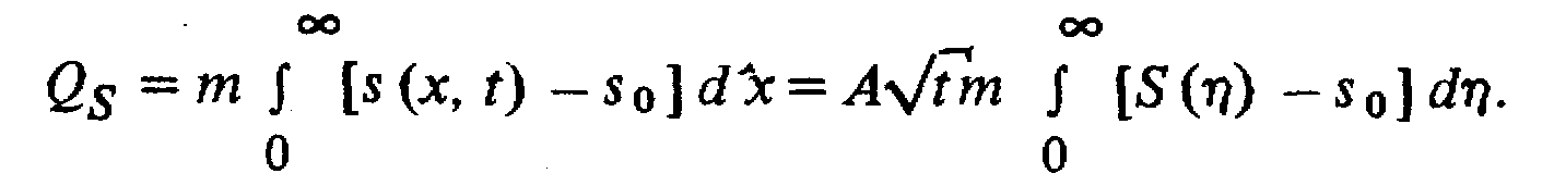
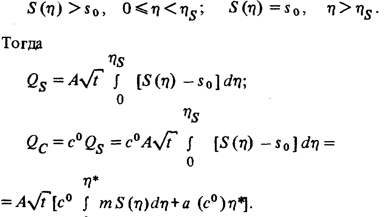
олное количество воды, вошедшей в "образец" ко времени t,

Как и при "обычной" капиллярной пропитке, оно растет пропорционально корню из времени — факт, являющийся следствием автомодельности задачи.
П
(3.13)
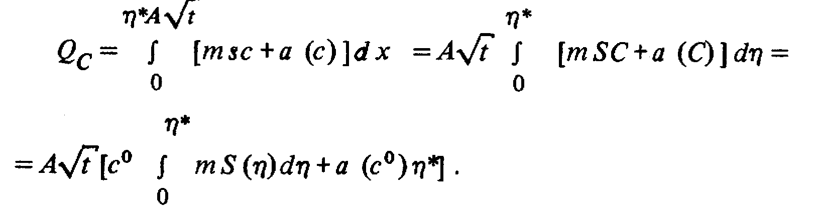
олное количество примеси в образце в тот же момент времени равно Qc = c°Qs. В то же время

Как известно, скорость продвижения фронта капиллярной пропитки в зависимости от конкретных свойств функций фазовых проницаемостей и капиллярного давления может быть конечной или бесконечной. Примем здесь, что эта скорость конечна и существует выраженный фронт пропитки ns:

Равенство возможно только при n* < ns. Это означает, что при капиллярной пропитке гидрофильной среды, как и при закачке раствора активной примеси, фронт примеси отстает от фронта воды, а перед примесью движется чистая вода. Видно, что отставание обусловлено теми же двумя факторами, что и при закачке: адсорбцией
(а (с°) > 0) и смешением с погребенной водой (s>o> > 0). Если Т - сред няя водонасыщенность в зоне, занятой примесью, то порядок величины отставания
(3.15)
Таким образом, из общих закономерностей процессов переноса следует, что примесь значительно отстает от "несущей" ее воды при капиллярной пропитке. Поэтому влияние ее на пропитку может ска заться лишь через посредство изменения гидродинамических харак теристик в области относительно больших водонасыщенностей.
Области больших водонасыщенностей отвечают малые значения ка пиллярного давления и сравнительно большие значения относительной фазовой проницаемости для воды. Поэтому существенное влияние на капиллярную пропитку примесь может оказывать лишь в том случае, когда она существенно изменяет вязкости фаз и относительную фазо вую проницаемость для нефти.
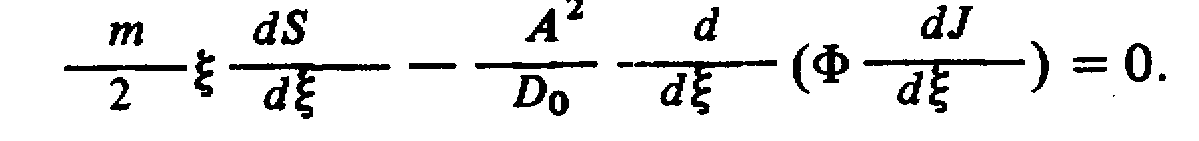
Второй существенный качественный результат получается из ана лиза первого уравнения системы (5.40). Обычным способом интег рирования по малому отрезку легко установить, что функция J непре рывна как функция n всюду, в том числе и в окрестности точки n*, в которой концентрация примеси претерпевает разрыв согласно.
Т
(3.16)
аким образом, при n = n*имеем

Поэтому если примесь изменяет кривую капиллярного давления (функцию Леверетта J), то скачок концентрации сопровождается скачком насыщенности такой величины, что капиллярное давление оказывается непрерывной функцией координат и времени.
Отмеченные выше особенности капиллярной пропитки гидрофильной пористой среды водным раствором активной примеси видны на рис. где показаны результаты модельных расчетов.
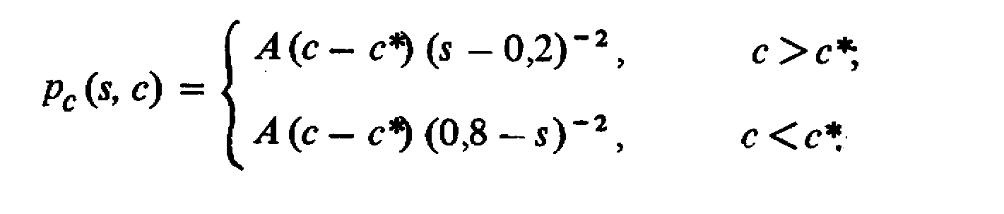
Обратимся теперь к другому важному частному случаю, а именно, рассмотрим процесс пропитки гидрофобной пористой среды раствором гидрофилизирующего ПАВ. Иными словами, предполагается, что пер воначально поверхность пор преимущественно смачивается нефтью (cos < 0), однако поверхностно-активное вещество, растворенное в воде, способно, адсорбируясь на поверхности пор, превратить ее в гидрофильную (cos > 0). Количественно эффект будет зависеть от величины адсорбции, а последняя, в свою очередь, в силу условия ло кального термодинамического равновесия, от концентрации ПАВ в воде. Поэтому далее принимается, что при некоторой пороговой концентра ции ПАВ с* происходит переход от гидрофобной среды к гидрофильной. Этот переход в гидродинамических уравнениях проявляется в изменении знака капиллярного давления рс: оно отрицательно для гидрофобной среды и положительно для гидрофильной, причем, как легко убедиться из простейших модельных рассуждении, производная p/ s отрицательна как для гидрофильной, так и для гидрофобной среды.
Поэтому далее при модельных расчетах берется функция p>c>(s, с) вида
(3.17)
Рассматривая изотермический случай, имеем вновь автомодельную задачу, описываемую первыми двумя уравнениями с соответст вующими краевыми условиями.
Удобнее, однако, рассмотреть эту задачу несколько по-иному. По скольку в гидрофобную среду водная фаза впитываться не может, ясно, что пропитка реально может происходить только в той части "образца", в которой концентрация ПАВ превысила критическое значение с*. Это означает, что ведущим в процессе пропитки должен быть процесс диффузии ПАВ, а пропитка должна следовать за ним. Возьмем поэтому в качестве автомодельной переменной

(3.18)
г
(3.19)
де Do - характерное значение коэффициента диффузии примеси. При этом первое уравнение перейдет в

П
(3.20)
о-прежнему ограничиваясь естественной асимптотикой A2/Do > 1, получаем, что в основной области выполняется уравнение

Это соотношение означает, что с точностью до малых величин А2 /D капиллярный поток воды постоянен по глубине зоны пропитки.
Пусть значение = * отвечает достижению критической концентрации с*. Применяя (5.53) к области > * имеем, очевидно, q = 0 (отсутствие потока на бесконечность). Это означает, что в области пepeд фронтом критической концентрации движение практически отсутствует
Чтобы понять, каким образом определяется поток q в области за фронтом критической концентрации, пренебрежем временно зависимостью коэффициентов в уравнении для переноса примеси от S, и допустим, что речь идет о чистой диффузии. Тогда решение имеет хорошо известный вид
(3.21)
Значение * находится приравниванием выражения критической концентрации с*. Тогда дает уравнение

(3.22)
Ф
(3.23)
ункция С() здесь задана, а константа а определяется из условия,

ч
(3.24)
то насыщенность S принимает заданные значения при

Расчет модельной задачи, проведенный численно без привлечения сделанных выше упрощающих предположений, приводит к качествен но похожей картине. Основной результат состоит в том, что пропитка происходит весьма медленно, со скоростью диффузии ПАВ в пористый образец, причем в зоне пропитки распределение насыщенности близко к состоянию капиллярного равновесия.
Обсудим теперь некоторые следствия качественного характера, относящиеся к применению активных примесей для повышения нефтеотдачи гетерогенных систем, в частности слоисто-неоднородных и трещиновато-пористых пластов.
Будем считать, что соотношение проницаемостей "проточной" и "емкостной" компонент среды таково, что основную роль в извлечении нефти из малопроницаемой (емкостной) компоненты играет капиллярная пропитка.
В гидрофильной среде пропитка будет происходить в две стадии. Первая стадия будет близка по кинетике к пропитке водой. По окончании ее в "блоке" малопроницаемой компоненты среды установится капиллярное равновесие, однако активная примесь проникнет не в весь блок, а лишь во внешнюю часть его ("кайму"). Последующее перераспределение примеси и проникновение ее в глубину блока будет происходить главным образом за счет диффузии, так как активное гидродинамическое движение будет отсутствовать. По окончании первой фазы пропитки остаточная нефтенасыщенность в основной части блока будет соответствовать предельной насыщенности при вытеснении нефти водой. В стадии диффузионного перераспределения примеси она может уменьшиться до значения, отвечающего критической насыщенности при вытеснении нефти раствором активной примеси. По существу именно это определяет основной возможный эффект активной примеси при извлечении нефти из гетерогенных гидрофильных пластов. Еще раз отметим, что теория не дает основания ожидать существенного влияния примеси на первую стадию собственно капиллярной пропитки.
В гидрофобной среде сама пропитка оказывается возможной только благодаря гидрофилизирующему действию ПАВ. При этом, как уже говорилось выше, ведущим механизмом оказывается диффузия ПАВ, а пропитка отслеживает продвижение фронта критической концентрации. Поэтому извлечение нефти из гидрофобных блоков за счет пропитки гидрофилизирующими ПАВ — процесс весьма медленный. Для его ускорения необходимо ускорение диффузии ПАВ. Из этих соображений представляется предпочтительным использование сравнительно низкомолекулярных ПАВ, растворимых в обеих фазах — водной и углеводородной.
Заканчивая на этом краткое изложение теории капиллярной пропитки растворами активных примесей, подчеркнем, что изложенные теоретические соображения — это лишь первые шаги; они нуждаются как в дальнейшем развитии, так и в эксперименте, не столько для того, чтобы подтвердить или опровергнуть теорию, сколько для того, чтобы выделить наиболее важные направления последующего исследования.
5. Специальная часть
5.1 Охрана окружающей среды
Основная деятельность компании в области охраны природы направлена на минимизацию и предотвращение негативного влияния на здоровье человека и окружающую среду, стабилизацию экологической обстановки.
В ОАО «ТНК-Нижневартовск» решение экологических проблем является одним из видов производственной деятельности, определённой как приоритетная и направленная на постоянное уменьшение отрицательного воздействия на окружающую среду, а также восстановление и рациональное использование природных и энергетических ресурсов.
Предприятие конкретными делами способствует достижению поставленных целей и обязуется:
осуществлять работы в соответствии с федеральными и местными законами и законодательными актами, положениями и инструкциями, а также в соответствии с требованиями, принятыми в компании;
использовать передовое оборудование и технологии при реконструкции производственных мощностей и создании новых;
применять адекватные меры по предотвращению аварийных разливов и их ликвидации;
утилизировать и регенерировать отходы производства и потребления;
вовлекать персонал в природоохранную деятельность компании;
проводить исследования, направленные на усовершенствование методов предотвращения и устранения загрязнения окружающей среды;
совершенствовать Систему экологического менеджмента в соответствии с международным стандартом ISO 14001;
ежегодно распространять инициативную экологическую отчетность.
Для реализации поставленных задач в нефтяной компании созданы определённые структурные подразделения.
В 1990 году создан цех по оздоровлению экологической обстановки (с собственной производственной и материальной базой), в 1991 – экологический центр, занимающийся курированием всей производственной деятельности в области охраны окружающей среды и рационального использования природных ресурсов, а в 1994 году образованы еще два управления – по эксплуатации и ремонту трубопроводов (контролирующее работу всей трубопроводной системы предприятия).
6. Выводы и рекомендации
В данном курсовом проекте сделан обзор орогидрографии и геологического строения Самотлорского нефтегазоконденсатного месторождения. В технологической части подробно описаны все элементы теории фильтрации. Расчетный раздел содержит задачу, которая является естественым обобщением классической задачи о противоточной пропитке нефтенасыщенного образца пористой среды водой.
7. Список используемой литературы
1. Рузин Л.М„ Спиридонов ЮА., Тюнькин Б.А. Опыт теплового воздействия на пласт в шахтных условиях. - В кн.: Геология и разработка нефтяных месторождений Коми АССР. М., Всесоюз. науч. исслед. ин-т организации, управ ления и экономики нефтегазовой промышленности, 1974, с. 154-160.
2. Горбиков Б.П., Гарушев А. Р., Новоселов Б А. и др. Состояние опытно-промышленных работ по паротепловому воздействию на пласт и пути повышения их эффективности. - В кн.: Методы интенсификации нефтедобычи в Краснодарском крае. М., Всесоюз. науч.-исслед. ин-т организации, управления и экономики нефтегазовой промышленности, 1972, с. 94-102.
3. Рыжик В.М., Кисиленко Б.Е., Солопин Е.Ф. Вопросы вытеснения нефти повышен ной вязкости из трещиновато-пористых пластов путем закачки горячего агента. -В кн.: Физико-геологические факторы при разработке нефтяных и нефтегазоконденсатных месторождений. М "Недра", 1966.
4. Рыжик В.М. Гидродинамическое исследование механизма нефте- и газоотдачи пластов. Автореф. дис. на соискание учен. степени д-ра техн. наук. М., 1973 (ИГиРГИ).
8. Приложения
Рисунок 1 Схема трещиоватой среды

Рис. 2.1 Схема модели трещиновато-пористой среды, с двумя сетками трещин.
Рис. 2.2. Схема модели трещиновато-пористой среды, пласта с тремя сетками (ортогональными) трещин.
Рисунок
3.1 Распределение водонасыщенности при
капиллярной пропитке нефтенасыщенного
образца раствором активной примеси:
1 — примесь не влияет на капиллярное давление; 2 —примесь увеличивает капиллярное давление; 3 — примесь уменьшает капиллярное давление
1