Полимеризация капролактама
2
Федеральное Агентство по Образованию Российской Федерации
Государственный Технический Университет
Технологический Институт
Кафедра химической технологии
Отчет по НПР
На тему:
«Полимеризация капролактама».
Выполнил: студент гр.
Проверил: проф.
2008
Содержание
Введение
1.Литературный обзор
2.Объекты исследований
3.Методики эксперимента
4.Результаты эксперимента
Заключение
Список используемой литературы
Введение
Магнитопласты (МП) относятся к новому классу перспективных видов полимерных композиционных материалов в техническом и экономическом планах и обладают рядом преимуществ по сравнению с цельными литыми и спеченными магнитами (малостадийностью технологии, высоким коэффициентом использования исходных материалов, формования деталей сложной конфигурации без механической обработки, повышенные магнитные характеристики на единицу объема, достаточная прочность) [1].
Магнитопласты применяются в целом ряде изделий: в электродвигателях, магнитных системах топливных фильтров, в качестве сепараторов, газовых и тепловых счетчиках, акустических системах, медицинских приборах и др., благодаря сочетанию магнитных, прочностных и технологических свойств [1-4].
В настоящее время МП выпускаются как на основе термореактивных, так и термопластичных связующих.
Исходя из выбранной технологии переработки, определяются требования, предъявляемые к полимерному связующему и МП на его основе по реологическим, магнитным, прочностным характеристикам, а также температурному диапазону эксплуатации изделий.
Использование реактопластов в качестве связующих для МП оправдано только в тех случаях, когда другие полимеры не обеспечивают необходимые требования к технологии их изготовления и эксплуатации. Основной недостаток реактопластов – длительная стадия высокотемпературного отверждения. Поэтому в производстве МП наиболее широко используются полимеры, перерабатываемые высокопроизводительными методами: литьем под давлением, экструзией и прессованием, т.е. термопласты.
В настоящее время существует две тенденции развития исследовательских работ в области создания полимерных магнитных материалов. Одна из них - это синтез полимеров, обладающих ферромагнитными свойствами [5], другая - использование магнитных наполнителей с полимерными связующими [1-4].
Для совмещения полимерного связующего с наполнителем существует несколько способов совмещения связующего и наполнителя: механическое смешение, осаждение полимера из раствора на поверхности наполнителя, полимеризационное и поликонденсационное наполнение. Получение высоконаполненных магнитопластов с хорошими эксплуатационными свойствами механическим смешением полимера с наполнителем затруднено из-за неравномерного распределения малых количеств высоковязкого полимера в большом объеме дисперсной фазы, поэтому для получения магнитопластов на основе термопластичного связующего наиболее эффективным является способ полимеризационного наполнения.
Перспективным полимерным связующим является поликапроамид, это связано с его использованием для инженерно технических целей в машино- и приборостроении, что требует введения в исходный полимер усиливающих наполнителей, то есть наполнителей, существенно повышающих его физико-механические свойства: механическую прочность, твердость, модуль упругости, ударную вязкость, улучшающих его эксплуатационные свойства (снижающих ползучесть) и технологические свойства (снижающих усадку при формовании).
1.Литературный обзор
С целью уменьшения продолжительности процесса предлагается вести полимеризации капролактама по катионному или анионному механизмам.
Катионная полимеризация. При катионной полимеризации капролактама, осуществляемой в безводной - среде, реакция протекает ступенчато. В результате при полном отсутствии воды получается промежуточный продукт - гидрохлорид N-аминокапроилкапролактама:

который реагирует с капролактамом, раскрывая цикл и обусловливая полимеризацию по схеме [6]

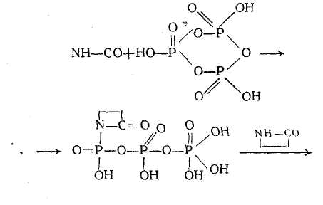
Катализаторами катионной полимеризации капролактама являются минеральные кислоты. Однако большинство кислот не может быть использовано, так как при высоких температурах они окисляют или разлагают мономер или полимер (азотная и серная кислота). Кроме того, при высоких температурах резко возрастает летучесть некоторых кислот (например, хлористоводородной). Практический интерес может представлять только фосфорная кислота. В присутствии небольших количеств этой кислоты (0,2-0,5%) капролактам полимеризуется достаточно быстро при нормальном давлении. Например, в присутствии 0,5% Н>3>РО>4> (в % от массы лактама) реакция полимеризации капролактама заканчивается в течение 2-3 ч.
Основным преимуществом полимеризации капролактама в присутствии фосфорной кислоты является протекание процесса при нормальном давлении в течение непродолжительного времени. Выяснение возможности и целесообразности промышленного использования этого катализатора представляет значительный интерес. Полимеризация капролактама в присутствии фосфорной кислоты может протекать по различным механизмам. Полимеризация капролактама в присутствии этой кислоты протекает по гидролитическому механизму. При 250°С ортофосфорная кислота переходит в пирофосфорную по схеме:
2Н>3>РО>4> Н>4>Р>2>О>7> + Н>2>О
и выделяющаяся вода, является инициатором полимеризации капролактама.
Однако возможно, что в присутствии H>3>PO>4>, благодаря более интенсивному окислению капролактама кислородом, находящимся в небольших количествах в реакционной среде, и образованию перекисных групп, синтез полиамида может частично протекать и по радикальному механизму. Этот вывод подтверждается, тем, что типичные ингибиторы радикальных процессов (пирогаллол или гидрохинон), введенные в реакционную смесь, затрудняют полимеризацию капролактама в присутствии H>3>PO>4>. При гидролитической полимеризации этот эффект не имеет места.
Наличие фосфорной кислоты, взаимодействующей с конечными аминогруппами макромолекул полиамида, стабилизирует молекулярный вес полиамида при последующем его плавлении, подобно тому, как это имеет место при введении небольших количеств карбоновых кислот.
Возможность катализа полимеризации капролактама (КЛ) фосфорной кислотой и высокая активность этого катализатора хорошо известны [9-12], но четкие представления о механизме его действия до сих пор отсутствуют.
Поэтому выделяются три случая:
1) полимеризация, катализируемая 100%-ной Н>3>РО>4>;
2) полимеризация, катализируемая водным раствором Н>3>РО>4>, в том числе в присутствии сокатализаторов;
3) полимеризация, катализируемая 100%-ной Н>3>РО>4> в присутствии сокатализаторов. Каждый из этих вариантов характеризуется определенными особенностями.
Выяснение особенностей реакции в присутствии той или иной каталитической системы на основе Н>3>РО>4> сводится к установлению строения этих активных центров и причины быстрого достижения их стационарной концентрации.
Анализ полимеризатов, полученных с использованием 100%-ной Н>3>РО>4>, позволил установить [9]:
- макромолекулы полимера, освобожденного от катализатора, содержат три кислые группы и имеют линейное строение;
- концентрация свободного катализатора достигает стационарного значения (16-26% от исходного), когда выход поликапроамида не превышает нескольких процентов, и не зависит от того, найдена ли она прямым титрованием раствора полимеризата в дифференцируемом растворителе (спиртовой хлоральгидрат) или водно-пиридинового экстракта (нивелирующий растворитель).
Первому условию в принципе отвечают следующие структуры:
I
II
Но, учитывая тот факт, что молекулярная масса полимера после прогрева в вакууме в условиях, способствующих образованию полифосфорных кислот, не изменяется, макромолекулам было приписано строение (II).
Свободная форма катализатора может быть представлена в виде метафосфорной кислоты (НРО>3>), а вся схема процесса - тремя последовательно-параллельными реакциями:
,
согласно которым каталитическими функциями обладает НРО>3>, а исходная форма катализатора принимает участие лишь в зарождении цепей. Если допустить далее, что концентрация бис--аминокапроилфосфата мала вследствие его быстрого исчезновения по реакции (3), то реакцию (2) можно считать практически необратимой.
Таким образом, полимеризация КЛ в присутствии 100%-ной Н>3>РО>4> представляет собой катализируемый НРО>3> ступенчатый ацидолиз мономера карбоксильной группой растущей цепи, при котором быстрое достижение стационарной концентрации реакционно-способных групп определяется высокой скоростью и практической необратимостью реакций (1) и (2).
В соответствии с предложенной схемой можно было ожидать, что эффективной каталитической системой с раздельной функцией компонентов (катализатор и агент зарождения цепей) будет смесь метафосфорной и карбоновых кислот. Однако, как показал эксперимент, НРО>3>, получаемая обычными методами и являющаяся набором циклических олигомеров полиангидридного типа, способна активировать полимеризацию без участия кабоновых кислот, по-видимому, за счет реакции

,
что приводит к проявлению недостатка, характерного и для 100% -ной Н>3>РО>4> как катализатора, - с высокой скоростью могут быть получены лишь относительно низкомолекулярные (Р=50-75) полимеры, не представляющие практического интереса [9].
Авторами [9,13] в качестве катализатора использована система H>3>PO>4 >– H>2>O. Показано, что при содержании влаги в расплаве 0,05-0,08% (масс.) и температуре 250-280°С за время не более 40-45 ч может быть синтезирован ПКА со степенью полимеризации (Р) равной 250.
Продолжительность реакции может быть значительно сокращена (почти в 2 раза) при переходе от аппарата колонного типа с преимущественным движением реакционной массы сверху вниз к горизонтальным аппаратам экструдерного типа за счет устранения параболитического распределения скоростей движения слоев расплава по сечению аппарата.
Специфика ПКА, получаемого с помощью тройной активирующей системы, состоит, с этой точки зрения, в том, что в процессе экстракции низкомолекулярных соединений удаляется и H>3>PO>4>, выполнявшая, помимо каталитических функций, роль регулятора молекулярной массы. В результате концевые амидиниевые группы, не способные участвовать в реакции поликонденсации, переходят в амидиновые, гидролиз которых дает активные в этой реакции аминогруппы.
Следовательно, устойчивость полученных полимеров к дополнительной поликонденсации зависит как от концентрации концевых групп [-NH>2>]>c>> >и [-COOH]>c>,> >так и от концентрации и скорости гидролиза амидиновых групп.
Исследованиями кинетики реакций и характера функциональных групп, возникающих при полимеризации капролактама, активируемой безводной H>3>PO>4> в присутствии полиэтиленгликоля с молекулярной массой 400, было показано, что истинным катализатором в этом случае являются образующиеся на начальной стадии реакции полиэтиленгликольфосфаты.
Показано, что с увеличением продолжительности синтеза ПКА относительная вязкость увеличивается.
Поликапроамид, полученный в присутствии кислого эфира полиэтиленгликоля и фосфорной кислоты (ДПЭГФ), в силу очень низкой равновесной влажности расплава, близкой к влажности полимера после экстракции и сушки, отличается более высокой устойчивостью к дополнительной конденсации по сравнению с промышленными образцами поликапроамида.
Согласно литературным данным [9] эффективным инициатором гидролитического полиамидирования капролактама (КЛ) является система фосфорная кислота – вода – полиэтиленгликоль (ПЭГ). Применение такой системы является достаточно эффективным способом при одностадийном синтезе ПКА со степенью полимеризации 150-200.
Образование амидных групп в процессе синтеза ПКА способствует повышению его устойчивости к дополнительной поликонденсации.
Снижение влажности расплава ПКА на стадии его синтеза до 0,05-0,08%масс должно устранить эффект дополнительной поликонденсации при формовании нитей практически любого ассортимента [14].
Показано, что скорость образования поликапроамида из продукта олигомеризации - капролактама тем выше, чем при использовании в качестве сырья - капролактама, и равна скорости поликонденсации -аминокапроновой кислоты.
Нить, изготовленная из поликапроамида, полученного путем полиамидирования продукта олигомеризации - капролактама при 260 в течение 5 ч, по физико-механическим показателям превосходит серийную нить[7].
Анионная полимеризация. При анионной полимеризации капролактама наиболее широко применяемыми катализаторами являются Na, NaOH, NaHCO>3>, Na>2>CO>3>, обычно в присутствии сокатализаторов [6].
Этот метод полимеризации капролактама, который в некоторых случаях, является единственно приемлемым при полимеризации пяти- и шестичленных циклов, представляет значительный интерес.
Анионная полимеризация капролактама осуществляется в присутствии металлического натрия, щелочных металлов или щелочных солей карбоновых кислот по механизму нуклеофильной атаки анионом лактама атома углерода карбонильной группы лактама, являющейся наиболее электрофильной группой в полимеризующейся системе. Для получения воспроизводимых результатов при щелочной полимеризации капролактама, так же как и других лактамов, необходимо связать незначительное количество воды, находящейся в реакционной среде. Для этого в реакционную смесь добавляют небольшое количество алкиламинов, например ациллактамов. Эти реагенты, являющиеся сокатализаторами в процессе анионной полимеризации, получили широкое применение при щелочной полимеризации капролактама. Количество сокатализатора в 1,5-2 раза превышает содержание Na-капролактама.
Механизм действия катализаторов основан на образовании с капролактамом или его анионом производного, содержащего полярный заместитель у атома азота в амидной группе капролактама.
Образующиеся в незначительных количествах производные капролактама принимают участий в начале роста цепи при условии присутствия сильного основания и большого избытка безводного свободного лактама.
В качестве сокатализаторов можно применять также эфиры карбоновых и минеральных кислот, амиды и спирты. Наиболее активными сокатализаторами являются ацилкапролактам и, в частности, бензоилкапролактам и ацетилкапролактам:

Анионная полимеризация капролактама протекает ступенчато при взаимодействии аниона капролактама с конечными имидными группами растущей цепи.
Очень эффективными активаторами полимеризации капролактама являются аминокислоты. В присутствии этих соединений полимеризация капролактама протекает без индукционного периода, благодаря чему значительно ускоряется процесс. Под действием аминокислот капролактам полимеризуется при нормальном давлении. Существенное влияние на скорость полимеризации оказывает состав аминокислоты.
Так же, эффективными катализаторами реакции анионной полимеризации капролактама являются металлический натрий, едкий натр или щелочные соли. В присутствии небольшого количества этих реагентов (0,2-0,5%) продолжительность процесса полимеризации сокращается с 6-8 ч до 5-15 мин. При применении в качестве катализатора щелочной соли кислого эфира щавелевой кислоты, которая при 230-260°С декарбоксилируется, полимеризация капролактама заканчивается в течение 30-60 с.
Быстрая полимеризация капролактама в присутствии щелочей может быть осуществлена только в безводной среде. Содержание мономера и низкомолекулярных фракций в поликапроамиде, получаемом этим методом, такое же, как в полиамиде, синтезируемом обычным методом.
Одной из основных особенностей процесса быстрой полимеризации капролактама в присутствии щелочей является характер изменения степени полимеризации получаемого полиамида в процессе полимеризации.
При полимеризации в присутствии Na или щелочных соединений в начальной стадии процесса (через 10-15 мин после начала полимеризации) образуется высокомолекулярный полиамид, степень полимеризации которого в 3-4 раза превышает степень полимеризации полиамида, получаемого при синтезе капролактама в присутствии воды (при той же температуре). При дальнейшем увеличении продолжительности полимеризации начинается постепенное снижение молекулярного веса этого полиамида. Примерно через 6 ч выдерживания полиамида при 260°С среднее значение степени полимеризации полимера снижается в 4 раза. Поэтому при синтезе методом быстрой полимеризации поликапроамида, используемого для формования волокна, необходимо после завершения процесса полимеризации выдерживать расплавленный полимер несколько часов для получения сравнительно однородного по молекулярной массе продукта. Такое увеличение продолжительности процесса значительно снижает эффективность метода быстрой полимеризации капролактама.
Необходимо, однако, отметить, что указанный недостаток может быть устранен при добавлении к реакционной смеси ацетилкапролактама. Например, если при щелочной полимеризации добавить 0,005 моль ацетилкапролактама, то вязкость расплава в течение длительного выдерживания не изменяется.
Полимеризация, катализируемая натриевой солью капролактама, имеет индукционный период. При проведении этой реакции в присутствии N-алкиламида (например, ацетилкапролактама) индукционного периода нет, и поэтому скорость реакции полимеризации в этом случае значительно выше, чем в отсутствие амида.
С целью интенсификации процесса полиамидирования капролактама в работе [8] исследована реакция образования поликапроамида (ПКА) при введении в реакционную среду диметилтерефталата (ДМТ), способного образовывать имидные группы при взаимодействии с капролактамом. Выбор этого соединения для испытаний обусловлен его доступностью, низкой стоимостью, хорошей растворимостью в расплавленном капролактаме.
Полиамидирование капролактама с добавками проводили в запаянных стеклянных ампулах в среде азота при температуре 260±l°C.
Результаты исследований показывают (рис.1), что влияние ДМТ на процесс полиамидирования капролактама аналогично действию N-ацетилкапролактама. В присутствии этих соединений процесс характеризуется малой продолжительностью индукционного периода и высокой скоростью конверсии мономера. В отсутствие N-ацетилкапролактама и ДМТ реакция полиамидирования в аналогичных условиях практически не идет, и только при содержании воды в реакционной среде 1% (масс.) достигается тот же эффект, что при введении N-ацетилкапролактама или ДМТ. Однако при ведении процесса полиамидирования в производственных условиях большое содержание воды в реакционной среде вызывает определенные технологические трудности.
Важным технологическим показателем полимера, полученного в присутствии ДМТ, является его способность сохранять свойства при нагревании. Так, >отн> ПКА, полученного в присутствии 1% (масс.) ДМТ после выдерживания при 260°С в течение 6 ч в среде азота, повысилась незначительно - с 1,76 до 1,96. Для выбора оптимального соотношения воды и ДМТ в реакционной среде исследовали свойства ПКА, полученного при различном содержании воды и ДМТ в течение 4 ч при 260°С. Реакция полиамидирования ускоряется при увеличении содержания одного из этих компонентов в изученных пределах при неизменном содержании другого.

Рис.1. Зависимость продолжительности процесса полиамидирования капролактама от состава добавок: 1 - 0,2 %воды от массы капролактама + 0,04 моль N-ацетилкапролактама + 0,04 моль бензойной кислоты на 1 кг смеси; 2 - 0,2 % воды + 0,04 моль ДМТ; 3 - 0,2 % воды + 0,04 моль бензойной кислоты; 4 - 0,26 % воды; температура полиамидирования 257,5°С
На основании результатов, полученных в лабораторных условиях, были разработаны рекомендации по использованию ДМТ для ускорения реакции полиамидирования и одновременно в качестве регулятора молекулярной массы ПКА вместо уксусной кислоты в производственных условиях Курского объединения «Химволокно».
Предварительные испытания проводились при получении ПКА, предназначенного для производстве капроновой щетины. В аппарате АНП-1 к капролактаму добавляли 0,5% (масс.) воды (вместо 3% по производственному режиму) и ДМТ в количестве 0,2-0,4% от массы капролактама. При введение 0,2% (масс.) воды >отн> составляла 2,21, содержание НМС 13% (масс), производительность аппарата повысилась с 480 до 630 кг/сут, т.е. на 30%, при этом свойства полимера не ухудшились.
Таким образом, ДМТ может быть рекомендован для использования в производственных условиях в качестве активатора и регулятора молекулярной массы ПКА. Эффективность использования ДМТ заключается в ускорении процесса полиамидирования капролактама, повышении производительности аппаратов непрерывной полимеризации, улучшении качества полимера за счет повышения стабильности его показателей. Кроме того, ДМТ имеет важные преимущества перед уксусной и бензойной кислотами, заключающиеся в его доступности, более низкой стоимости и простоте введения в реакционную массу [8].
2.Объекты исследований
Сырьем для получения
магнитопласта являются:
-капролактам,
вода, фосфорная кислота и сплав Nd-Fe-B.
Капролактам
Капролактам − ГОСТ 7850-86
N

H(CH>2>)>5>CO
Свойства капролактама представлены в табл. .
Таблица 1
-
Показатели свойств
Капролактам
Внешний вид
Кристаллы белого цвета
Молекулярная масса, г/моль
113
Температура плавления, 0С
68÷70
Температура кипения, 0С
262
Плотность, кг/м3
1476
-капролактам
хорошо растворим в воде (525 г в 100 г Н>2>О),
спирте, эфире, бензоле, плохо – в
алифатических углеводородах.
Вода дистиллированная
Вода дистиллированная (H>2>O) – ГОСТ 6709 - 72
Фосфорная кислота
Фосфорная кислота-Н>3>РО>4>
Таблица 2
-
Показатели свойств
Фосфорная кислота
Внешний вид
Бесцветные кристаллы
Молекулярная масса, г/моль
98
Температура плавления, 0С
42,35
Температура кипения, 0С
864
Плотность, кг/м3
1,87
Сплав Nd-Fe-B
Сплав Nd-Fe-B производится ГУП НТЦ «ВНИИНМ имени академика А.А. Бочвара» г.Москва
Свойства интерметаллического сплава Nd-Fe-B представлены в табл.
Таблица 3
|
Показатели свойств |
Nd-Fe-B |
|
|
Химический состав, % |
Nd |
20÷25 |
|
B |
1,0÷1,6 |
|
|
Nb |
4,0÷6,0 |
|
|
Fe |
67,4÷75,0 |
|
|
Плотность, кг/м3 |
7600 |
|
|
Размер частиц, мкм |
0,05-0,2 |
|
|
Остаточная магнитная индукция, Тл |
0,81 |
|
|
Коэрцитивная сила по намагничиванию, кА/м |
1048 |
|
|
Коэрцитивная сила по индукции, кА/м |
504 |
|
|
Максимальное энергетическое произведение |
101 |
3. Методики эксперимента
Синтез поликапроамида из ε-капролактама
ε-Капролактам растирают в фарфоровой ступке (измельчение капролактама следует проводить достаточно быстро, т.к. вещество гигроскопично). В предварительно взвешенную посуду берут навеску капролактама с точностью до 0,0002 г., с помощью микропипетки вводят расчётное количество катализатора и плотно закрывают. Затем помещают емкость в термошкаф при температуре 25050С для полимеризации капролактама.
После завершения процесса полимеризации емкость с полимером охлаждают, осторожно вскрывают и визуально оценивают степень полимеризации по следующим признакам: при невысокой степени полимеризации полимер имеет вид твёрдого хрупкого продукта, при высокой степени полимеризации ─ продукт твёрдый и упругий.
Определение низкомолекулярных соединений
Для определения выхода полимера навеску, извлечённую из ампулы, измельчают, взвешивают с точностью до 0,0002 г и помещают в колбу, снабжённую обратным холодильником. В колбу добавляют 100 мл дистиллированной воды и кипятят в течение 2 часов. После удаления мономера и низкомолекулярных примесей отмытый осадок отфильтровывают, высушивают до постоянной массы, взвешивают. Выход полимера рассчитывают по формуле:
Х = (m>1 >/ m>0>)*100 %,
где m>1 >– навеска полимера до кипячения, г;
m>0 >– навеска полимера после кипячения, сушки, г;
Определение вязкости
Вискозиметр предварительно промывают смесью концентрированной серной кислоты и насыщенного водного раствора двухромовокислого калия в равных частях, которая подаётся через воронку с обеззоленным фильтром. Обработку проводят в течение нескольких часов, после чего вискозиметр промывают дистиллированной водой и ацетоном и сушат в термостате при 80 – 900С. Между отдельными определениями вискозиметр промывают растворителем, затем ацетоном и сушат в термостате.
Навеску 0,25 г полимера взвешивают на аналитических весах с погрешностью не более 0,0002 г в предварительно градуированной при 25 0С мерной колбе ёмкостью 50 мл (пикнометр).
Из бюретки в колбу приливают около 40 мл растворителя (муравьиной кислоты), содержимое перемешивают круговым движением колбы, чтобы избежать образования комков, затем колбу закрывают пробкой и при периодическом встряхивании продолжают растворение при 80 – 850С в течение 0,5 – 1 часа до полного растворения полимера.
Полученный раствор полимера охлаждают до (25 ± 0,1)0С, доводят растворителем до метки и тщательно перемешивают.
Вискозиметр устанавливают в стеклянный термостат таким образом, чтобы верхняя метка на измерительном шарике находилась приблизительно на 20 мм ниже уровня воды в термостате, а ось трубки с капилляром находилась в строго вертикальном положении.
Раствор полимера фильтруют через воронку со стеклянным фильтром (фильтр Шота) или обеззоленным фильтром в трубку вискозиметра с широким горлом до установления уровня раствора между двумя метками заполнения в нижней части вискозиметра.
Раствор термостатируют при (25 ± 0,1)0С в течение 15 мин.
На трубку с капилляром и соединённую с ней боковую трубку надевают резиновые шланги. Резиновый шланг боковой трубки пережимают зажимом, а через шланг с капилляром с помощью груши засасывают раствор до половины верхнего шарика.
Закрывают выходное отверстие капиллярной трубки на несколько секунд, и, открыв отверстие боковой трубки, добиваются, чтобы на нижнем конце капиллярной трубки не осталось жидкости (получение «висячего уровня»).
Открывают выходное отверстие капиллярной трубки и замеряют время прохождения уровня раствора от одной измерительной метки до другой. За время истечения раствора принимают среднее арифметическое трёх – пяти определений, допускаемые расхождения между которыми не должны превышать 0,4 с. Если полученные значения времени истечения расходятся более чем на 0,4 с, определение повторяют на свежей порции раствора. Аналогичным образом определяют время истечения растворов ещё 3 – 4 концентраций и растворителя.
При определении характеристической вязкости измеряемой величиной является время. Время измеряют секундомером с ценой деления 0,1 – 0,2 с.
Относительную вязкость раствора полимера вычисляют по формуле:
>отн> = t / t>0> ,
где t – время истечения раствора полимера;
t>0> – время истечения растворителя.
За результат измерения времени истечения раствора и растворителя принимают среднее арифметическое не менее трёх определений, расхождение между которыми не должно превышать 0,4 с.
Удельную вязкость раствора определяют по формуле:
>уд> = >отн> – 1 .
Приведенную вязкость раствора определяют по формуле:
>пр> = >уд> / С ,
где С – концентрация полимера.
Молекулярную массу синтезированного ПКА определяли по характеристической вязкости:
[η]=К М>n>2
Для того строим график зависимости η>уд/с> от концентрации раствора. Экстраполируем график к оси ординат, величина отрезка отсекаемого на оси- характеристическая вязкость.

Рис.1. Определение [] экстраполяцией >уд>/с к С=0
Константу Хагинса определяют по углу наклона прямой.

4. Результаты эксперимента
В настоящее время известны несколько механизмов полимеризации поликапроамида (ПКА): гидролитическая, катионная и анионная.
Наибольшее распространение для синтеза поликапроамида получила гидролитическая полимеризация, которая является очень продолжительной. Поэтому с целью уменьшения продолжительности процесса синтеза представляет интерес осуществление полимеризации по катионному механизму (табл.4).
Таблица 4
Зависимость свойств ПКА от вида катализатора
|
Полимер |
Продолжительность синтеза, ч |
η>отн.> |
η>уд.> |
η>пр.> |
[η] |
М>n> |
К>н> |
|
Стандартный* |
28 |
2,48 |
1,48 |
2,96 |
- |
22000 (n=195) |
0,25 |
|
Синтезируемый в присутствии H>2>O |
3 |
1,09 |
- |
- |
- |
19200 |
- |
|
Синтезируемый в присутствии H>3>PO>4> |
3 |
2,23 |
1,23 |
1,24 |
0,72 |
14012 |
1,003 |
Как видно из табл.4 наиболее перспективным катализатором для синтеза ПКА является фосфорная кислота
Основным преимуществом полимеризации капролактама в присутствии фосфорной кислоты является протекание процесса при нормальном давлении в течение непродолжительного времени (3-4 часа). Наличие фосфорной кислоты, взаимодействующей с конечными аминогруппами макромолекул полиамида, стабилизирует молекулярный вес полиамида при последующем его плавлении.
Поэтому в работе синтез поликапроамида проводили в присутствии фосфорной кислоты в течение 3-6 часов.
Таблица 5
Зависимость вязкости растворов от продолжительности полимеризации
|
Продолжительность полимеризации, . |
Относительная вязкость |
Удельная вязкость |
Приведенная вязкость |
Характеристическая вязкость |
|
1 |
2,78 |
1,78 |
1,78 |
- |
|
2 |
2,17 |
1,17 |
1,17 |
0,18 |
|
3 |
2,23 |
1,23 |
1,24 |
0,72 |
|
4 |
2,07 |
1,07 |
1,07 |
0,58 |
|
5 |
2,10 |
1,10 |
1,23 |
0,53 |
|
6 |
1,72 |
0,72 |
0,72 |
0,55 |
Как следует из экспериментальных данных (табл.5) с увеличением продолжительности процесса синтеза ПКА относительная вязкость снижается, а характеристическая увеличивается, что приводит к увеличению молекулярной массы полимера (табл.6).
ПКА, полученный по механизму катионной полимеризации, характеризуется низкой молекулярной массой и повышенной константой Хаггинса, что свидетельствует о неполной полимеризации и возможном окислении полимера в присутствии кислорода воздуха.
Результаты исследования образцов ПКА, полученного при различной продолжительности процесса показывают, что при продолжительности синтеза 3 часа происходит более полное превращение мономера в полимер с получением ПКА с молекулярной массой ~ 14000.
Таблица 6
Зависимость молекулярной массы и константы Хагинса от продолжительности полимеризации
|
Продолжительность полимеризации,ч. |
Содержание НМС,% |
Молекулярная масса |
Константа Хагинса |
|
1 |
21,9 |
- |
- |
|
2 |
12,3 |
1769 |
14,390 |
|
3 |
7,9 |
14012 |
1,003 |
|
4 |
8,0 |
10145 |
1,337 |
|
5 |
12,4 |
8867 |
1,110 |
|
6 |
13,0 |
9374 |
0,959 |
Заключение
С целью уменьшения продолжительности процесса предлагается вести полимеризацию капролактама по катионному механизму.
Катализаторами катионной полимеризации капролактама являются минеральные кислоты. Однако большинство кислот не может быть использовано, так как при высоких температурах они окисляют или разлагают мономер или полимер (азотная и серная кислота). Кроме того, при высоких температурах резко возрастает летучесть некоторых кислот (например, хлористоводородной).
Экспериментально установлено, что полимеризация капролактама в присутствии фосфорной кислоты протекает при нормальном давлении в течение 3 ч. с молекулярной массой ~ 14000.
Эффективным инициатором гидролитического полиамидирования капролактама является система фосфорная кислота – вода - полиэтиленгликоль. Применение такой системы является достаточно эффективным способом при одностадийном синтезе ПКА со степенью полимеризации 150-200.
Список используемой литературы
Алексеев А.Г. Магнитные эластомеры / А.Г.Алексеев, А.Е.Корнев. - М.:Химия,1987. – 204 с.
Артёменко С.Е. Физико-химические основы альтернативной технологии магнитопластов и рациональные области их применения / С.Е.Артёменко, С.Г.Кононенко, А.А.Артёменко // Химические волокна.-1998. -№ 3. - С.45-47.
Артёменко А.А. Технология высокоэффективных магнитопластов поликонденсационного способа наполнения / А.А.Артёменко, С.Г.Кононенко, С.Е.Артёменко // Пластические массы. - 1999. - №9.-С.21-26.
Артеменко А.А.Основы технологии высокоэффективных магнитопластов: учебное пособие /А.А. Артеменко, С.Г.Кононенко, Н.Л.Зайцева.-С.:Химия,2001.-37с.
Мишин Д.Д. Магнитные материалы / Д.Д.Мишин. - М.: Высшая школа, 1981.-335 с.
Роговин З.А. Основы химии и технологии химических волокон / З.А.Роговин. – В 2-х томах. – М.: Химия, 1974. – Т. 2. –344 с.
Исследование процесса получения поликапроамида из продукта олигомеризации ε-капролактама / Д.Г.Запольский, Л.В.Кутьина, Т.Н.Биличенко, А.А.Конкин // Химические волокна. – 1974. – №2. – С. 8-9.
Никонов Н.Т. Зависимость качества поликапроамида от состава реакционной смеси при гидролитической полимеризации / Н.Т.Никонов, Е.И.Смирнова // Химические волокна. – 1981. – №6. – С. 27-29.
Силантьева В.Г.Особенности полимеризации капролактама, катализируемой фосфорной кислотой / В.Г.Силантьева, Л.Н.Мизеровский, А.Н.Быков // Химические волокна.-1979.- №2.-С.22-26.
Силантьева В.Г.Полимеризация капролактама в присутствии кислых эфиров фосфорной кислоты /В.Г.Силантьева, Л.Н.Мизеровский, Л.А.Бакина// Химические волокна.-1984.- №2.-С.27-29.
Силантьева В.Г. Полимеризация капролактама в присутствии активирующих систем на основе фосфорной кислоты / В.Г.Силантьева, Л.Н.Мизеровский, А.Н. Быков // Химические волокна. – 1987. – №2. – С.19.
Деменко Л.С. Эффективные направления создания прогрессивных технологических процессов производства полиамидных текстильных нитей / Л.С.Деменко, В.С.Шаброва, З.М.Родригес, Ю.В.Крайнов, С.С.Рыбин, В.С.Евсюков //Химические волокна.-1974.- №5.-С.15-19.
Мизеровский Т.Н. Действие системы H>3>PO>4>–H>2>O–полиэтилен-гликоль при синтезе поликапроамида / Т.Н.Мизеровский, В.Г.Силантьева // Химические волокна. – 1983. – №3. – С. 22-23.
Пат. 2084033 Россия, МКИ5 H01 F 1/133. Способ получения магнитопластов / Артеменко С.Е., Кардаш М.М., Кононенко С.Г. – №95106266/02; Заявл. 20.04.95; Опубл. 10.07.97.