Принципы системного анализа процессов и аппаратов экологически чистых технологий
Принципы системного анализа процессов и аппаратов экологически чистых технологий
Развитие химических и смежных технологий идет по пути увеличения выпуска продукции, внедрения новой экологически безопасной техники, создания энергосберегающих и малоотходных производств. Промышленные процессы протекают в так называемых химико-технологических системах, каждая из которых представляет собой совокупность процессов и аппаратов, объединенных в единый производственный комплекс для выпуска ПМ различного назначения. Основной метод исследования ХТС - математическое моделирование. Наряду с моделями отдельных аппаратов используют модель всей системы, так как процессы, протекающие в отдельных аппаратах, влияют друг на друга. Предполагается, что аппараты, обеспечивающие реализацию высокоэффективных малоотходных и энергосберегающих технологий, являются элементами одной большой установки. Анализ структуры такой системы связан с декомпозицией ее элементов и подсистем, выявлением их устойчивых взаимоотношений и обычно проходит в две стадии. Первая стадия включает математическое моделирование отдельных подсистем, так называемое макроисследование, а вторая - микроисследование элементов подсистем. На второй стадии изучаются процессы, протекающие в машинах или агрегатах, и осуществляется усовершенствование применяемого оборудования.
Математическое моделирование используется при составлении моделей как на уровне отдельных процессов и аппаратов, так и на уровне их совокупностей. Модели должны учитывать принципы наилучшего использования сырья, повышения качества целевого продукта, рационального применения энергии, транспорта, информации, экологической защиты.
Процессы порошковых технологий отличаются большим ассортиментом продуктов, которые можно получить из одного и того же сырья, разнообразием оборудования для получения одного и того же продукта, динамикой промышленных выбросов и специфическими условиями их хранения и дальнейшей переработки. Поэтому за элемент системы принимают обычно технологическую операцию, включающую несколько физико-химических процессов. Превращение исходного сырья в промежуточный продукт или промежуточного продукта в конечное изделие происходит в результате нескольких операций, совокупность которых образует конкретную подсистему.
Учитывая условие агрегации таких подсистем в ХТС, можно ввести следующие уровни иерархии рассматриваемого производства ПМ:
|
Уровень иерархии ХТС |
Типовой пример |
|
Отрасль |
Совокупность заводов, объединенных сырьем, полупродуктами, целевыми продуктами. |
|
Завод |
Совокупность цехов, объединенных общим сырьем или полупродуктами, или вторично используемыми отходами, включая вспомогательные службы. |
|
Цех |
Совокупность отделений, работающих на выпуск заданной продукции: предварительной обработки сырья, выпуска товарной продукции, переработки отходов, обеспыливания и обезвреживания промышленных выбросов. |
|
Технологическая линия |
Процесс или совокупность процессов, связанных общей производственной линией. |
|
Типовой процесс |
Дробилка, измельчитель, смеситель, валковый пресс, термический реактор и т.п. |
Такая формализация рассматриваемой ХТС и ее иерархическая структура является важными предпосылками к созданию и внедрению на предприятиях высокоэффективных порошковых технологий, базирующих ся на рассмотренных принципах и позволяющих реализовать в каждом конкретном случае наиболее рациональную ХТС подготовки и переработки ПМ Далее кратко остановимся на общем описании предложенных уровней иерархии, а также рассмотрим некоторые задачи, характерные для каждого уровня
Необходимо принимать во внимание, что элементы верхнего уровня иерархии - отрасли или завода - связаны между собой и окружающей средой многочисленными подсистемами для транспорта сырья, энергии, полупродуктов и т.п. Они также содержат многовариантные подсистемы для закупки, распределения, хранения сырья, продуктов, сроков ввода новых объектов и т.д.
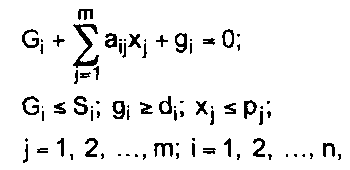
Для решения задач на верхнем уровне предложено использовать технико-экономические линейные модели, которые отражают взаимосвязь по линии «сырье - продукты»


где G, _ количество 1-го вещества - сырья; т - число технологий; а,у - коэффициент эффективности переработки /-го продукта в у-й подсистеме; а# < 0, если i - сырье; ау > О, если / - продукт производства; а - характеризует матрицу преобразования вещества в результате реализации технологий; x>i>>}> - количество вещества, перерабатываемого ■ у-й подсистеме; д, - количество /-го вещества - продукта производства; S, - количество сырья; с/, - требуемое количество /-го сырья; р, - ограничение по мощности у-й подсистемы; п - число различных веществ в системе.
Аналогичные модели можно построить и для других балансовых величин - энергии, стоимости. Используя соответствующую целевую функцию, можно найти требуемые оптимальные решения (рис.2).
Для решения задач на среднем и нижнем уровнях иерархии необходимо иметь в виду следующее.
Анализ основных процессов подготовки и переработки ПМ показал, что обобщающей стороной технологии является процесс активации сырья с целью повышения показателей эффективности процесса стекловарения. В связи с этим выделяют пять основных подсистем, обладающих с одной стороны полной автономностью, с другой - тесной взаимосвязью в рамках рассматриваемой технологии и имеющих следующие цели:
Подсистема подготовки:
Измельчение - образовать из сырья полупродукт с нарушенной кристаллической решеткой заданного гранулометрического состава, часто с удалением влаги и декарбонизацией.
Дозировка - обеспечить отмеривание исходных компонентов в таких количествах, соотношение которых обеспечивает соответствие показателей качества смеси требуемым значениям.
Смешение - получить химически и механически однородную смесь ингредиентов шихты или их групп, иногда с добавлением технологического связующего и отходов основного производства.
Компактирование - получить из многокомпонентного полидисперсного порошка компактные плитки необходимой прочности, плотности и влажности.

Подсистема надежности:
Износостойкость узлов и конструкционных материалов - обеспечить заданные технологией режимные параметры процесса.
Структурно-механические характеристики сырья - снизить интенсивность отказов и интенсифицировать активационные эффекты.
Подсистема оценки качества полупродукта:
Активность компонентов и шихты - прогнозировать степень модификации сырья и характеристики будущих расплавов.
Подсистема переработки:
Стекловарение - переработать подготовленный полупродукт в стекломассу с заданными характеристиками.
Формование стеклянных нитей - перевести расплав шихты или стеклошариков в твердую фазу - элементарное волокно.
Подсистема природоохранной стратегии:
Экологическая безопасность и ресурсосбережение - выявить приоритетные загрязнения окружающей среды, минимизировать их и оценить ХТС на соответствие критериям мало- и безотходных технологий.
Из сказанного следует, что производственные процессы получения стекла и стеклянного волокна характеризуются большим разнообразием выпускаемой продукции и сложностью. Общей чертой этих процессов является то, что для превращения исходного сырья в шихту или полупродуктов в целевой конечный продукт - стекловолокно - необходимо большое число функционально различных ступеней подготовки и переработки. Для целенаправленного осуществления этих технологий требуются разные виды энергии, вспомогательных веществ и информации, так называемые параметры процесса. В литературе принято деление параметров на входные, управляющие, возмущающие и выходные.
Установить влияние характера взаимодействий различных фаз системы Т-Т; Ж-Т; Г-Т и т.п. на количество и состав промышленных выбросов, качество стеклоизделий, срок службы оборудования и так далее можно следующим образом. Для этого графически исходную технологическую линию представляют в виде блок-схемы, ограничивающего систему, которая содержит от 2 до 6 прямоугольников, ограничивающих подсистему. В подсистему входят несколько операторов, отражающих сущность технологической операции или операций, выполняемых в машине или агрегате. Границы оператора совпадают с границами такой машины или операции. Оператор содержит один или несколько процессоров, под которыми понимают физико-химические процессы. Связи между операторами выражают в виде линий материальных потоков.
Изображения типовых процессв представлены на рис. 3, операторной модели линии - на рис. 1.

Анализ операторной модели линии, целей подсистем и их параметров показал, что работу всей системы определяют подсистемы образования компактированной шихты и стекломассы. При их исследовании и функциональном анализе целесообразно рассматривать не систему машин и аппаратов, а систему протекающих в них процессов. При этом технологические процесс может быть представлен как преобразование множества входов в множество выходов.
Сложный характер взаимосвязей элементов подсистем может быть выявлен при использовании статистических методов планирования эксперимента и вычислительной техники.
Таким образом, результаты системного анализа можно использовать для разных целей: сбора информации о процессах и структуре связей между элементами и подсистемами в зависимости от технологических и конструкционных параметров систем, составления топологических моделей проведения многофакторных экспериментов в производственных условиях, а главное - при синтезе новых технологических схем, обеспечивающих работу линии в оптимальном режиме по эколого-экономическим показателям.
Рассмотрим в общем виде некоторые варианты применения операторной модели по указанным целям.
Производство ПМ состоит из множества процессов, на которые влияет огромное количество факторов. При оптимизации таких процессов с помощью многофакторного эксперимента используют априорное ранжирование факторов и определяют их уровни. Важно правильно выбрать критерий оптимизации. Таких критериев может быть несколько и они определяются конкретными условиями производства. Выбранный критерий связывает существенные факторы в математическую модель. Применяя статистические методы планирования эксперимента, в зависимости от цели работы минимизируют или максимизируют критерий оптимизации. Например, определяют минимум предельно допустимых выбросов по целевому или токсичному компоненту, или максимум BMP, применяемых как основной ингредиент смеси при сохранении стабильности комплексного показателя качества изделий. Причем в качестве управляющих факторов могут использоваться параметры различных подсистем: влажность порошковой шихты или гранул, плотность и прочность гранул, режимные характеристики оборудования, выбросы в биосферу, здоровье человека и т.д.