Производственный процесс. Транспортное хозяйство. Виды движения МР
Министерство образования и науки Российской Федерации
Федеральное агентство по образованию
Государственное образовательное учреждение высшего профессионального образования
«Хабаровская государственная академия экономики и права»
Факультет «Международные экономические отношения»
Кафедра коммерческой деятельности
КОНТРОЛЬНАЯ РАБОТА
по дисциплине:
«Логистика производства»
Вариант 3
Выполнила: студентка гр. Л-81 (с), 4 курс
Щелкунова Наталья Андреевна
№ зачётной книжки: з-0823023
Хабаровск 2009
План
1. Понятие о производственном процессе, его структура. Классификация производственных процессов
2. Значение, задачи и структура транспортного хозяйства, его организация
3. Последовательный, параллельный и параллельно-последовательный виды движения МР
4. Практическое задание
Список использованных источников
1. Понятие о производственном процессе, его структура. Классификация производственных процессов
Производственный процесс – совокупность взаимосвязанных процессов труда и естественных процессов, в результате которых исходные материалы превращаются в готовые изделия.
В зависимости от характера и масштаба выпускаемой продукции производственные процессы могут быть простыми и сложными. Продукция, изготовленная на машиностроительных предприятиях, как правило, состоит из большого количества деталей и сборочных единиц. Детали имеют разнообразные габаритные размеры, сложные геометрические формы, обрабатываются с большой точностью, для их изготовления требуются различные материалы. Всё это усложняет производственный процесс, который делится на части, и отдельные части этого сложного процесса выполняются различными цехами и производственными участками завода.
Производственный процесс включает как технологические, так и нетехнологические процессы.
Технологические – процессы, в результате которых изменяются формы, размеры, свойства предметов труда.
Нетехнологические – процессы, не приводящие к изменению этих факторов.
По масштабам производства однородной продукции различают процессы:
массовые – при большом масштабе выпуска однородной продукции;
серийные – при широкой номенклатуре постоянно повторяющихся видов продукции;
индивидуальные – при постоянно меняющейся номенклатуре изделий, когда большая доля процессов носит уникальный характер.
Все производственные структуры предприятий можно свести к следующим типам (в зависимости от их специализации):
Заводы с полным технологическим циклом. Они имеют все заготовительные, обрабатывающие и сборочные цехи с комплексом вспомогательных и обслуживающих подразделений.
Заводы с неполным технологическим циклом. К ним относятся заводы, получающие заготовки в порядке кооперирования от других заводов или посредников.
Заводы (сборочные), выпускающие машины только из деталей, изготовляемых другими предприятиями, например автосборочные заводы.
Заводы, специализирующиеся на производстве заготовок определённого вида. Они имеют технологическую специализацию.
Заводы подетальной специализации, производящие отдельные группы деталей или отдельные детали (завод шарикоподшипников).
Совокупность всей деятельности людей и использования орудий труда, осуществляемых на предприятии для изготовления конкретных видов продукции, называется производственным процессом.
Основной частью производственного процесса является технологический процесс, который содержит целенаправленные действия по изменению и определению состояния предметов труда. В ходе реализации технологического процесса происходит изменение геометрических форм, размеров и физико-химических свойств предметов труда. Наряду с технологическим, производственный процесс включает также и нетехнологические процессы. К таким процессам относятся транспортные, складские, погрузочно-разгрузочные, комплектовочные и некоторые другие операции, процессы.
В производственном процессе трудовые процессы сочетаются с естественными, в которых изменение предметов труда происходит под влиянием сил природы без участия рабочего (например, сушка окрашенных деталей на воздухе, охлаждение отливок и т.д.).
Различают три типа производства:
массовый
серийный
единичный.
Массовым называют тип производства, или, проще, производство, характеризуемое большим объемом выпуска изделий непрерывно изготовляемых или ремонтируемых продолжительное время, в течение которого на большинстве рабочих мест выполняется одна рабочая операция. При массовом производстве для каждой операции выбирается наиболее производительное, дорогое оборудование, автоматы, полуавтоматы; рабочее место оснащается сложными, высокопроизводительными устройствами и приспособлениями, в результате чего при большом объеме выпуска изделий достигается самая низкая себестоимость продукции.
Серийным называют производство, характеризуемое изготовлением повторяющимися партиями изделий. Размеры партий и количество заготовок одновременно подаваемых на рабочее место могут быть большими и малыми. Они определяют серийность производства. Различают производство крупносерийное, среднесерийное и мелкосерийное. Чем крупнее партии, тем реже сменяемость на рабочих местах, тем ближе производство приближается к массовому типу производства и тем дешевле может быть выпускаемая продукция. В приборостроении крупносерийным считается производство при объеме выпуска не менее 5 тыс. штук в год. Среднесерийное производство в интервале 1-5 тыс. штук в год. Мелкосерийное - до I тыс. штук в год. Эти цифры весьма условны. Более точно категорию серийности устанавливают для того или другого производства, завода, цеха, участка, пользуясь коэффициентом закрепления операций - Кзо - по ГОСТ 3.1108-74.
Единичным называют производство, характеризуемое малым объемом выпуска одинаковых изделий, повторное изготовление изделий которых, как правило, не предусматривается. Здесь отсутствует цикличность производства, свойственная серийному производству. Отсутствие повторяемости изготовления ведет к поиску наиболее упрощенных путей изготовления продукции. Чаще всего так работают экспериментальные, ремонтные цехи и т.п. Рабочие здесь, как правило, высокой квалификации. Оборудование и оснастка - универсальные. Стоимость продукции - высокая.
Из рассмотренного выше видно, что тип производства в значительной степени влияет на технологические процессы изготовления деталей и сборки изделий. При разной серийности для изготовления одной и той же детали выбираются разные заготовки, применяется разное оборудование, оснастка, меняется структура технологического процесса. При этом изменяется и характер производственного процесса.
Вид производства - это классификационная категория производства, выделяемая по признаку применяемого метода изготовления изделия и наличия технологической подготовки производства. Например: литейное, сварочное, механообрабатывающее, сборочно-регулировочное и т.п.
По своему значению и роли в производстве процессы подразделяются на:
основные;
вспомогательные;
обслуживающие.
Основными называются производственные процессы, в ходе которых осуществляется изготовление основной продукции, выпускаемой предприятием.
К вспомогательным относятся процессы, обеспечивающие бесперебойное протекание основных процессов. Их результатом является продукция, используемая на самом предприятии. Вспомогательными являются процессы по ремонту оборудования, изготовлению оснастки, выработка пара и сжатого воздуха и т. д.
Обслуживающими процессами называются такие, в ходе реализации которых выполняются услуги, необходимые для нормального функционирования и основных, и вспомогательных процессов (например, процессы транспортировки, складирования, подбора, комплектования деталей и т.д.).
В современных условиях, особенно в автоматизированном производстве, наблюдается тенденция к интеграции основных и обслуживающих процессов.
Совокупность основных процессов образует основное производство на предприятиях машиностроения. Основное производство состоит из трех стадий: заготовительной, обрабатывающей и сборочной. Стадией производственного процесса называется комплекс процессов и работ, выполнение которых характеризует завершение определенной части производственного процесса и связано с переходом предмета труда из одного качественного состояния в другое.
К заготовительной стадии относятся процессы получения заготовок - резка металлов, литье, штамповка. Обрабатывающая стадия включает процессы превращения заготовок в готовые детали: механическую обработку, термообработку, покраску и гальванические покрытия и т. д.
Сборочная стадия - заключительная часть производственного процесса. В нее входит сборка узлов и готовых изделий, регулировка и отладка машин и приборов, их испытания.
В организационном плане производственные процессы подразделяются на простые и сложные.
Простыми называются производственные процессы, состоящие из последовательно осуществляемых действий над простым предметом труда.
Сложный процесс - сочетание простых процессов, осуществляемых над множеством предметов труда.
2. Значение, задачи и структура транспортного хозяйства, его организация
Процесс изготовления продукции на предприятиях различного типа сопровождается перемещением большого количества разнообразных грузов: сырья, материалов, полуфабрикатов, топлива, готовой продукции, отходов. В течение производственного цикла все эти грузы подвергаются многочисленным перемещениям и погрузочно-разгрузочным операциям, многократно увеличивающим объем транспортных работ. На каждую технологическую операцию приходится несколько транспортных операций. Это обусловливает большие затраты на транспортные работы, которые составляют 10–30% косвенных расходов в себестоимости продукции, а численность транспортников составляет около 12% общего числа рабочих.
Внутризаводской транспорт является не только средством перемещения грузов, но и орудием труда, организующим работу подразделений предприятия в заданном ритме или графике. Например, внутрицеховой транспорт является неотъемлемым элементом технологического процесса производства. Им осуществляется перемещение обрабатываемых изделий между рабочими местами, участками и отделениями цеха в последовательности и ритме, заданных технологическим процессом. Транспортно-конвейерные устройства автоматических и поточных линий существенно влияют на ритмичность их работы и длительность производственного цикла. Велико значение транспорта и в своевременном обеспечении предприятия материальными ресурсами, а также в реализации готовой продукции.
Таким образом, внутризаводское транспортное хозяйство должно решать следующие задачи:
своевременное обеспечение производства всеми видами транспортных средств и услуг;
рациональная организация эксплуатации транспортных средств и подъемных механизмов при минимальных затратах на транспортирование;
развитие технической базы и механизация всех трудоемких транспортных процессов.
Структура транспортного хозяйства определяется главным образом объемом грузооборота, особенностями грузов и объемом производства. В состав транспортного хозяйства завода могут входить железнодорожный транспорт с подъездными путями и депо, колесный транспорт с гаражами и ремонтными мастерскими, водный транспорт с причалами, подвесные дороги и т.д.
На крупных заводах с большим грузооборотом, требующим применения всех видов транспорта, организуются специализированные цехи железнодорожного, безрельсового (автомобильного) и водного транспорта. Транспортное хозяйство на таких заводах возглавляет транспортно-технический отдел. На средних заводах создается единый транспортный цех, включающий несколько участков по видам транспорта. Для мелких заводов с небольшим грузооборотом, но требующим применения всех видов транспорта, создаются объединенные транспортные хозяйства для нескольких предприятий. Эти хозяйства могут создаваться при головном заводе или выделяться в самостоятельные транспортные хозяйства ведомственного характера.
Транспортные цехи имеют в своем составе ряд служб и участков. Так, железнодорожный цех имеет службу движения (эксплуатации), службу тяги (подвижного состава), службу пути, службу погрузочно-разгрузочных работ. Цехи безрельсового транспорта обычно имеют службу эксплуатации (организации перевозок) и техническую службу по поддержанию подвижного состава в исправном состоянии. Транспортный цех (отдел) осуществляет планирование всех перевозок и грузовых работ, организацию производства перевозок, оперативное управление эксплуатацией транспорта и его ремонт, учет работы транспортного хозяйства.
На предприятиях используют различные виды транспортных средств:
по сфере обслуживания – средства межцехового и внутрицехового транспорта;
в зависимости от назначения и места действия – внешний (железнодорожный, автомобильный) и внутренний;
в зависимости от места перемещения грузов – напольный (тележки, аккумуляторные тягачи и т.п.) и подвесной (конвейеры, кран-балки);
в зависимости от режима работы – транспортные средства непрерывного (конвейерные системы и т.п.) и периодического действия (автомашины, самоходные тележки и т.п.);
по направлениям движения – транспортные средства для горизонтального (транспортеры, рольганги), вертикального (лифты, элеваторы и т.п.) и смешанного перемещения (краны, канатные и монорельсовые дороги);
по уровню автоматизации – автоматические, механизированные, ручные;
по виду перемещаемых грузов – транспортные средства для перемещения сыпучих, наливных и штучных грузов.
Способ транспортировки
грузов может быть тарный и бестарный.
Тарный способ
предусматривает транспортировку грузов
в специальной таре (тазы, контейнеры,
ящики и т.п.). Он обеспечивает хорошую
сохранность груза, позволяет сократить
время на погрузку и разгрузку, упрощает
учет грузов в случае использования
мерной тары.
Бестарный способ применяется для навалочных, штучных, жидких грузов и при пневмотранспортировке. Этот способ не трудоемок, не требует затрат на тару и упаковку груза и может использоваться в том случае, когда не возникает опасений за повреждение продукции и снижение ее качества. Бестарный способ требует больших затрат на изготовление и монтаж транспортных устройств, но позволяет достичь высокой степени механизации и автоматизации операций транспортировки.
Техническая база транспортного хозяйства определяется видом транспортных средств и их техническим состоянием, приспособленностью к конкретным условиям грузопереработки, уровнем механизации транспортных работ. Транспортные хозяйства предприятий располагают железнодорожным, безрельсовым (автомобильным, тележечным), водным, механическим видами транспорта.
Кроме транспортных средств заводы располагают большой номенклатурой погрузочно-разгрузочных и подъемно-транспортных механизмов (механические лопаты, полиспасты, тали, домкраты, лебедки и т.п.). Эти простейшие устройства механизируют самые трудоемкие транспортные работы, обычно выполняемые грузчиками.
3. Последовательный, параллельный и параллельно-последовательный виды движения МР
Изготовление деталей в процессе производства, как правило, осуществляется не штучно, а различными партиями, что позволяет сократить вспомогательное и подготовительное время. Если детали запускаются в производство поштучно, одна за другой, то все технологические операции по каждой детали могут быть выполнены исключительно последовательно. При запуске в производство деталей партиями появляется возможность варьирования.
Поэтому обработку деталей можно осуществлять тремя способами или видами движения MP: последовательным, параллельным и параллельно-последовательным.
При последовательном виде движения каждая последующая операция начинается только после окончания изготовления всей партии предметов труда на предыдущей операции.
При таком виде движения получается наибольшая длительность производственного цикла и соответственно снижаются все производные техноэкономические показатели: использование производственной мощности, объем незавершенного производства, величина связывания оборотных средств, себестоимость продукции и др.
Чтобы сократить длительность цикла и достичь непрерывности производственного процесса, применяют параллельно-последовательный способ. Его сущность заключается в разделении всей обрабатываемой партии на трансфертные (передаточные) партии. Подбор транспортных партий позволяет добиться непрерывности выполнения операций над партиями деталей, что обеспечивает возможность максимальной загрузки оборудования и рабочих.
При организации параллельно-последовательного движения возможны два варианта сочетания операций:
а) последующая операция продолжительнее предыдущей;
б) последующая операция менее продолжительна, чем предыдущая. Может быть и равенство операций.
Еще больше сократить технологический цикл можно, используя параллельный вид движения предметов труда по операциям, суть которого заключается в том, что транспортные партии или отдельные детали передаются на следующие операции сразу после их обработки на данной операции, что исключает прослеживание деталей. Однако по причине продолжительности отдельных операций на соответствующих рабочих местах образовываются простои оборудования и рабочих. Возникает проблема заполнения перерывов другими работами, что не всегда возможно, поскольку другая работа, как правило, требует переналадки оборудования.
Единственным вариантом, когда процесс идет непрерывно на всех рабочих местах, является тот, при котором продолжительности всех технологических операций либо равны, либо кратны друг другу. Кратность продолжительностей операций позволяет уравнять их путем увеличения на соответствующих операциях числа рабочих мест. Поэтому параллельный способ обычно применяется в крупносерийном и массовом производствах поточного типа. Последовательный вид движения используют в единичном и мелкосерийном производстве при технологическом принципе создания цехов и участков, а параллельно-последовательный - в серийном и массовом производстве, а также в единичном и мелкосерийном в условиях гибких автоматизированных производств.
4. Практическое задание
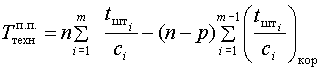
Рассчитайте длительность производственного цикла при параллельно-последовательном способе изготовления партии деталей, если размер партии 200 шт.
Деталь обрабатывается на четырех операциях. Трудоемкость обработки детали приведена в табл. 1. Размер передаточной партии 50 шт.
Таблица 1 - Характеристика трудоемкости детали
|
Параметр |
Операция процесса |
|||
|
1 |
2 |
3 |
4 |
|
|
Тшт>. >мин |
3 |
2 |
5 |
4 |
|
Тпз. Мин |
20 |
20 |
30 |
30 |
Найдем длительность цикла по формуле:

Т = 200 (14) – (200 – 50) (3+5+5) +(20+20+30+30) = 950 мин.
Вывод: длительность производственного цикла при параллельно-последовательном способе изготовления партии деталей составит 950 мин.
Список использованных источников
Гаджинский A.M. Логистика. - М.: Транспорт, 1999. - 227 с.
Гудков В.А., Миротин Л.Б., Ширяев С.А., Гудков Д.В. Основы логистики: Учебник для вузов. - М.: «Горячая линия - телеком», 2004. - 351 с.
Калачева А.П. Организация работы предприятия. - М., 2000. – 431 с.
Новицкий Н.И. Организация производства на предприятиях. – М.: «финансы и статистика», 2001 г. – 392 с.
Основы логистики: учебное пособие / Под редакцией Миротина Л.Б. и Сергеева В.И. - М.: ИНФА-М, 1999. - 200 с.
Организация производства и управление предприятиями: Уч. Туровец О.Г. и др. - М.: Инфра - М, 2002 г. – 528 с.
Шепеленко Г.И. Экономика, организация и планирования производства на предприятии. М., 2000 г. – 544 с.
Экономика предприятия: Учебник / Под ред. проф. О.И. Волкова. – М.: ИНФРА-М, 1997. – 416 с.