Спектроскопическое определение несимметричного диметилгидразина в объектах окружающей среды
Спектроскопическое определение несимметричного диметилгидразина в объектах окружающей среды
Струков Владимир Юрьевич
Автореферат диссертации на соискание ученой степени кандидата химических наук
Краснодар 2006
Общая характеристика работы
Актуальность темы. N,N-диметилгидразин (несимметричный диметилгидразин, НДМГ) – производное гидразина, обладающее высокой токсичностью и взрывоопасностью, применяется в качестве горючего компонента жидких ракетных топлив, а также при производстве некоторых средств защиты растений.
Количественно НДМГ в различных объектах окружающей среды чаще всего определяют методами спектрофотометрического анализа в виде диметилгидразона п нитробензальдегида, образующегося по реакции конденсации. В литературе описаны также хроматографические методики анализа (газовая и ионная хроматография). В последнее время все большее развитие приобретают тест-методы анализа. Однако эти методики не всегда обеспечивают достаточную степень точности, необходимый уровень чувствительности и селективности, и поэтому разработка надежных способов определения НДМГ с высокими метрологическими характеристиками представляет актуальную задачу экоаналитического контроля.
Низкий уровень значений ПДК НДМГ на фоне сложного состава природных матриц создает трудности при его определении и требует повышения чувствительности и селективности методик, реализация которых возможна путем использования новых аналитических реакций, обеспечивающих лучшие метрологические характеристики анализа.
Диссертационная работа выполнена при финансовой поддержке ведомственной целевой программы Рособразования (проект РНП.2.2.2.2.1273 «Новые методы разделения, концентрирования и определения загрязняющих веществ для целей экоаналитического мониторинга»).
Цель работы. Исследование реакций конденсации НДМГ с ароматическими альдегидами и разработка на их основе оптимальной схемы определения НДМГ в объектах окружающей среды.
Для достижения поставленной цели решались следующие задачи:
– исследование реакции взаимодействия ароматических альдегидов с НДМГ;
–обоснование выбора реагентов, пригодных для количественного определения НДМГ;
– выбор методов анализа, позволяющих с достаточной точностью и высокой чувствительностью проводить определение НДМГ;
– разработка оптимизированных методик определения N,N-диметилгидразина в различных экологических объектах.
Научная новизна. Разработана аналитическая схема определения НДМГ в объектах окружающей среды, основанная на реакции его конденсации с ароматическими альдегидами. Установлены некоторые закономерности влияния строения углеводородного радикала альдегидов, связанного с ароматическим кольцом, положения заместителя в кольце относительно карбоксильной группы на аналитические характеристики определения НДМГ.
Практическая значимость. Разработаны методики флуориметрического и экстракционно-фотометрического определения НДМГ с коричным альдегидом на уровне ПДК в различных объектах окружающей среды.
На защиту выносятся результаты:
– исследований реакций конденсации ароматических альдегидов с НДМГ;
– кинетических исследований процессов флуоресценции диметилгидразонов;
– оптимизации условий взаимодействия НДМГ с ароматическими альдегидами, обеспечивающие наилучшие аналитические характеристики его определения;
– применения способов определения НДМГ методами флуориметрии и фотометрии с п-нитробензальдегидом, его орто- и мета-изомерами, коричным альдегидом и 5 фенилпентадиен-2,4-алем;
– оптимизации схем определения НДМГ в объектах окружающей среды.
Апробация работы. Результаты исследований докладывались на ΙΙΙ Международной конференции «Экстракция органических соединений – ЭОС 2005» (Воронеж, 2005), ΙΙ Международном симпозиуме «Разделение и концентрирование в аналитической химии и радиохимии» (Краснодар, 2005), Международном конгрессе по аналитической химии – ICAS 2006 (Москва, 2006). По материалам диссертации получен один патент РФ, опубликованы две статьи и трое тезисов докладов.
Структура и объем работы. Диссертация состоит из введения, двух глав, выводов, списка цитируемой литературы. Материал диссертации изложен на 110 страницах текста, содержит 16 рисунков, 4 таблицы, в списке цитируемой литературы 136 наименований.
ОСНОВНОЕ СОДЕРЖАНИЕ
Обзор литературы
В литературном обзоре обсуждены методы пробоподготовки и определения НДМГ в различных объектах окружающей среды. Показано и проанализировано разнообразие способов определения содержания НДМГ, наиболее часто используемых в настоящее время. Обсуждены известные инструментальные методики, а также тест-методы контроля НДМГ. Анализируются основные достоинства и недостатки методик анализа экологических объектов при его определении. Показана целесообразность разработки экспрессных, селективных, чувствительных методик определения НДМГ в объектах окружающей среды.
Экспериментальная часть
Для исследования использовали аттестованный раствор НДМГ и промышленно выпускаемые реагенты квалификации не ниже ч.д.а. 5-фенилпентадиен-2,4-аль синтезировали из коричного альдегида. Спектры поглощения диметилгидразонов альдегидов снимали на спектрофотометре SPECORD UV/VIS («Карл Цейсс», Германия), процессы их флуоресценции изучали
на флуориметре «Флюорат-02-1», величину оптической плотности определяли на колориметре фотоэлектрическом концентрационном КФК-2 МП, хроматографирование исследуемых растворов проводили на газовом хроматографе CHROM-5, в качестве сорбента для разработки ТСХ определения НДМГ использовали хроматографические пластинки с силикагелем в качестве неподвижной фазы на полиэтилентерефталатной подложке.
Изучение возможности фотометрического определения несимметричного диметилгидразина
В качестве реагентов для определения НДМГ использовались альдегиды ароматического ряда: традиционно применяемый п-нитробензальдегид, его орто- и мета-изомеры, коричный альдегид и 5-фенилпентадиен-2,4-аль, образующие с НДМГ гидразоны, способные поглощать излучение в УФ- и видимой части спектра.
Гидразоны получали в среде уксусной кислоты и этиленгликоля. Длину волны поглощения диметилгидразонов определяли по спектрам, полученным на спектрофотометре SPECORD UV/VIS («Карл Цейс», Германия) при концентрации НДМГ 1,0 мкг/мл в кюветах с толщиной поглощающего слоя 1 см относительно растворов реагентов (рис. 1).
Исходные реагенты (ароматические альдегиды) поглощают в области 230–260 нм, а после протекания реакции конденсации НДМГ с указанными ароматическими альдегидами спектральная картина существенно изменяется, что свидетельствует об образовании диметилгидразонов во всех изучаемых системах. Максимумы поглощения наблюдались при 400, 370, 390, 380 нм для гидразонов п-нитробензальдегида, коричного альдегида, о-нитробензальдегида, м нитробензальдегида и 5-фенилпентадиен-2,4-аля соответственно.

Рисунок 1 – Спектры поглощения диметилгидразонов
5-фенилпентадиен-2,4-аля (1), о-нитробензальдегида (2),
м-нитробензальдегида (3), п-нитробензальдегида (4), коричного альдегида (5) и реагентов: о-нитробензальдегида (6),
м-нитробензальдегида (7), п-нитробензальдегида (8),
5-фенилпентадиен-2,4-аля (9) и коричного альдегида (10)
Величину избытка реагентов, достаточную для фотометрического определения, оценивали по кривым зависимости оптической плотности от соотношения альдегида – НДМГ. Было установлено, что в случае использования о нитробензальдегида достаточным является 10000-кратный избыток, для его м- и п-изомеров – 2000-кратный, для 5 фенилпентадиен-2,4-аля – 1000-кратный и для коричного альдегида – 500-кратный избыток (рис. 2).
Продолжительность реакции при постоянной температуре устанавливали по зависимости оптической плотности от времени нагрева реакционных систем, вид полученных зависимостей при 100оС показан на рис. 3. Для проведения реакции с о-нитробензальдегидом достаточно продолжительности нагрева в течение 40 минут, с м- и п изомерами 30 и 20 минут соответственно, 10 минут с коричным альдегидом и 50 минут с 5-фенилпентадиен-2,4-алем.

Рисунок 2 – Зависимость оптической плотности от величины избытка о-нитробензальдегида (1), м-нитробензальдегида (2),
п-нитробензальдегида (3), коричного альдегида (4)
и 5-фенилпентадиен-2,4-аля (5)

Рисунок 3 – Зависимость оптической плотности от времени нагрева НДМГ с о-нитробензальдегидом (1), м-нитробензальдегидом (2),
п-нитробензальдегидом (3), коричным альдегидом (4)
и 5-фенилпентадиен-2,4-алем (5) при 100оС
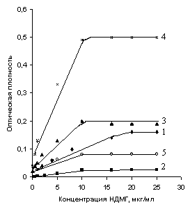
В оптимизированных таким образом условиях были построены градуировочные зависимости величины оптической плотности от концентрации НДМГ в растворе при 400 нм в кюветах с толщиной поглощающего слоя 2 см относительно фоновых растворов реагентов. Вид полученных зависимостей представлен на рис. 4.

Рисунок 4 – Зависимость оптической плотности от концентрации НДМГ (о-нитробензадльдегид (1), м-нитробензальдегид (2),
п-нитробензальдегид (3), коричный альдегид (4)
и 5-фенилпентадиен-2,4-аль (5)
Линейность в случае о-, м-, п-нитробензальдегидов сохраняется в диапазоне 2,0–20,0; 0,5–15,0 и 0,1–10,0 мкг/мл соответственно. При использовании 5-фенилпентадиен-2,4-аля диапазон линейности составляет 1,0–10,0 мкг/мл, а в случае коричного альдегида – 0,05–10,0 мкг/мл. С целью повышения чувствительности спектрофотометрического определения и расширения диапазона определяемых концентраций НДМГ с использованием коричного альдегида были изучены процессы концентрирования диметилгидразона методом жидкость-жидкостной экстракции. В качестве экстрагентов применяли гексан и хлороформ. Степень перехода диметилгидразонов альдегидов из водной фазы в органическую контролировали хроматографически.
Было установлено, что степень перехода диметилгидразона в органическую фазу при использовании для целей экстракции гексана не превышает 25%, в случае хлороформа эта величина достигает 96% при 2,5-кратном концентрировании. Максимум поглощения экстракта диметилгидразона коричного альдегида также наблюдается при 400 нм, как и в случае реакционной системы: этиленгликоль – уксусная кислота, что позволяет фотометрировать его в аналогичных условиях и понизить минимально определяемую концентрацию с 0,05 до 0,02 мкг/мл. Точность анализа определяли методом «введено-найдено», погрешность определения не превышала 10%. Также установлено, что содержание воды в растворителях не должно превышать 5%, что обусловлено помутнением аналитической системы из-за низкой растворимости в воде альдегида.
Флуориметрическое определение
несимметричного диметилгидразина
Учитывая тот факт, что диметилгидразоны ароматических альдегидов имеют в своем составе флуоресцирующие группы, были проведены исследования по созданию методики определения НДМГ по сигналу флуоресценции.
Оптимизацию детектирования по интенсивности аналитического сигнала проводили на флуориметре «Флюорат-02-1». Установлено, что для коричного альдегида лучшее соотношение поглощения и флуоресценции достигается со светофильтрами с максимумами при 360 и 530 нм для каналов возбуждения и регистрации соответственно, для п- и м нитробензальдегида – при 350 и 430 нм, для о-изомера – при 350 и 430 нм, но с более широкой полосой пропускания.
При оптимизации величины избытка реагента установили, что для коричного альдегида достаточным является 500-кратный, 1000-кратный для о- и п-нитробензальдегидов, 2000-кратный для мета-изомера и 5-фенилпентадиен-2,4-аля. В полученных условиях были сняты градуировочные зависимости интенсивности флуоресценции диметилгидразонов от концентрации НДМГ.
Диапазоны линейности составляют 0,05–0,80; 0,02–0,20; 0,01–0,10 мкг/мл в случае применения о-, м- и п нитробензальдегида соответственно. При использовании 5 фенилпентадиен-2,4-аля линейность сохраняется при концентрациях определяемого вещества 0,5–5,0 мкг/мл, а в случае коричного альдегида 0,001–0,010 мкг/мл. Для увеличения чувствительности определения НДМГ был применен метод экстракции диметилгидразона коричного альдегида из водной среды хлороформом, позволяющий понизить значение минимально определяемой концентрации до 0,0004 мкг/мл. При этом было установлено, что смена растворителя не оказывает влияния не только на положение максимума поглощения диметилгидразона, но и на длину волны регистрации его флуоресценции.
Для целей дальнейших исследований были построены кинетические кривые зависимости интенсивности флуоресценции от продолжительности нагрева при 20, 40, 60 и 80оС. Вид полученных кривых для 5 фенилпентадиен-2,4-аля показан на рис. 5.
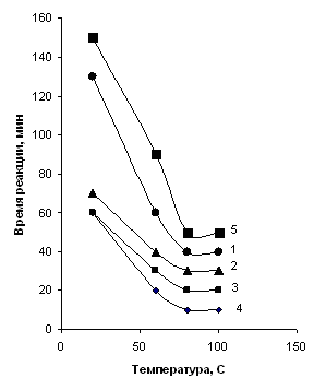
По данным кинетических кривых были построены зависимости времени реакций между НДМГ и ароматическими альдегидами от температуры их проведения, показанные на рис.6.
Как видно, максимальная скорость реакции деривации НДМГ альдегидами обеспечивается нагреванием при 80оС.

Рисунок 5 – Зависимость величины аналитического сигнала
от времени реакции с 5-фенилпентадиен-2,4-алем при 100 (1), 80 (2), 60 (3) и 20оС (4)

Рисунок 6 – Зависимость времени реакции от температуры
с о-нитробензальдегидом (1), м-нитробензальдегидом (2),
п-нитробензальдегидом (3), коричным альдегидом (4)
и 5-фенилпентадиен-2,4-алем (5)
Изучение кинетических параметров флуоресценции диметилгидразонов
Для объяснения закономерностей процессов излучения диметилгидразонов в зависимости от структуры и свойств применяемых реагентов на основе данных флуориметричекских измерений использовали кинетическую схему Штерна-Фольмера, описывающую фотофизический процесс флуоресценции и позволяющую рассчитать константу флуоресценции (к2), константу дезактивации (к3) и константу диссоциации флуоресцирующего вещества (к4).
В соответствии с данной схемой перечисленные константы являются членами уравнения (1):
Ia/Iфл= к3/к2*[АВ]+к4/к2+1, (1)
где Ia – интенсивность поглощенного излучения, Iфл – интенсивность флуоресценции, [АВ] – концентрация флуоресцирующего вещества.
Величина Ia при малой толщине поглощающего слоя является постоянной и не зависит от концентрации, то есть считается, что падающее излучение поглощается полностью. Графическая зависимость, построенная в координатах 1/Iфл – Cндмг, линейна в диапазоне концентраций НДМГ градуировочной кривой. Константа к2 соответствует тангенсу угла наклона прямолинейного участка кинетической кривой при температуре 20оС, соответствующей условиям измерения аналитического сигнала. Остальные константы рассчитываются из коэффициентов уравнения регрессии (1).
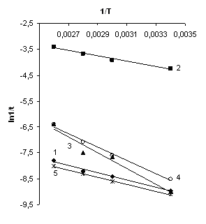
Значения энергии активации реакции конденсации НДМГ с ароматическими альдегидами определяли графически из уравнений, описывающих кривые, построенные по логарифмическому выражению уравнения Аррениуса:
ln1/τ= -Еа/RT+lnA, (2)
где τ – время реакции при данной температуре, Т – температура, R – универсальная газовая постоянная, Еа – энергия активации, А – предэкспотенциальный множитель.
Вид зависимостей ln1/τ= f(1/T) показан на рис. 7. Соответствующие значения рассчитанных энергий активации реакций НДМГ с альдегидами представлены в табл. 1.

Рисунок 7 – Зависимость ln1/τ от 1/Т с о-нитробензальдегидом (1),
коричным альдегидом (2), 5-фенилпентадиен-2,4-алем (3),
п-нитробензальдегидом (4) и м-нитробензальдегидом (5)
Таблица 1 – Значения констант фотофизических процессов
диметилгидразонов и энергий активации реакций
взаимодействия НДМГ с ароматическими
альдегидами
|
Альдегид |
к2 |
к3 |
к4 |
Еа, кДж/ моль |
Уравнения регрессии |
|
о-нитробен-зальдегид |
2,3*10–4 |
-0,062 |
7,20*10–4 |
15,6 |
у = -0,078x+0,105 |
|
м-нитробен-зальдегид |
3,1*10–4 |
-0,016 |
7,38*10–4 |
15,5 |
y = -2,692x+2,206 |
|
п-нитробен-зальдегид |
4,0*10–4 |
-0,051 |
7,08*10–4 |
14,8 |
y = -10,889x+1,33 |
|
Коричный альдегид |
8,0*10–4 |
-0,089 |
2,14*10–4 |
13,7 |
y = -126,65x+2,78 |
|
5-фенилпен-тадиен-2,4-аль |
2,7*10–4 |
-0,019 |
15,93*10–4 |
16,1 |
y = -0,707+6,909 |
Из полученных значений видно, что коричный альдегид является более перспективным реагентом для определения НДМГ флуориметрическим методом, так как его диметилгидразон обладает наибольшими значениями констант флуоресценции, наименьшим констант дезактивации, диссоциации и энергии активации. Полученные значения также объясняют столь высокую чувствительность определения и высокую скорость деривации НДМГ коричным альдегидом по сравнению с остальными реагентами.
Были выявлены закономерности влияния структуры (расположение заместителя в бензольном кольце относительно карбонильной группы, наличия эффекта сопряжения в молекуле, количество непредельных составляющих в углеродном радикале) ароматического альдегида на метрологические характеристики определения НДМГ в виде диметилгидразона. Для достижения наилучших результатов анализа необходимо, чтобы заместитель в ароматическом кольце был максимально удален от альдегидной группы; наличие двойных связей неоднозначно влияет на аналитические характеристики определения НДМГ: одна непредельная углерод-углеродная связь улучшает метрологические параметры анализа, увеличение их количества, напротив, уменьшает чувствительность определения и увеличивает время проведения анализа.
ТСХ-хроматографическое определение НДМГ в виде диметилгидразона коричного альдегида является малоперспективным при использовании в качестве неподвижной фазы силикагеля и проявителя – раствора перманганата калия из-за низкой чувствительности метода в данных условиях. Газохроматографический метод анализа с детектором ионизации пламени также малоэффективен из-за низкой чувствительности самого детектора к диметилгидразонам ароматических альдегидов.
Схема анализа природных объектов на содержание НДМГ
в виде диметилгидразона коричного альдегида
Схемы анализа различных объектов окружающей среды на содержание НДМГ формировались с учетом специфики анализируемого объекта.
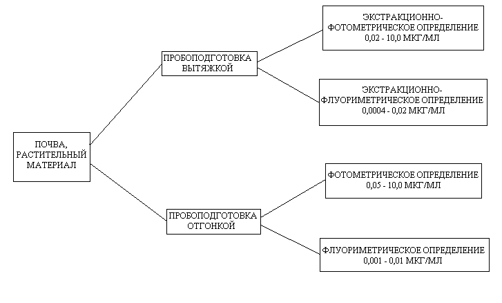
При анализе природных и сточных вод на содержание НДМГ пробоотбор и пробоподготовка осуществляется общепринятыми методами (рис. 8). В случае, когда концентрация определяемого вещества в пробе находится на уровне ПДК (0,02 мкг/мл) и ниже, подготовка пробы к анализу включает в себя осветление ее аликвотной части и фильтрацию с последующим экстракционно-флуориметрическим определением, либо процесс пробоподготовки может заключаться в отгонке НДМГ в раствор реагента из пробы после внесения в нее соответствующих реагентов с дальнейшим флуориметрическим определением. При более высоких содержаниях НДМГ в воде (свыше 0,05 мкг/мл) процесс пробоподготовки заключается в его отгонке и поглощении раствором реагента с последующим фотометрическим определением или фильтрации осветленной пробы с последующим экстракционно-фотометрическим определением.

Рисунок 8 – Схема анализа природных и сточных вод
на содержание НДМГ
При определении НДМГ в природной воде экстракционно-фотометрическим и экстракционно-флуориметрическим методами процесс пробоподготовки заключается в обесцвечивании пробы оксидом кальция и 70%-ным раствором ортофосфорной кислоты, последующей фильтрации полученной смеси, деривации НДМГ коричным альдегидом в отобранной аликвоте фильтрата при нагревании и экстрагировании образовавшегося диметилгидразона хлороформом. Полученный экстракт фотометрируют в условиях, описанных выше. Для флуориметрического определения отбирают часть фильтрата, разбавляют ее в 50 раз, в полученном растворе проводят реакцию конденсации НДМГ с коричным альдегидом, экстрагируют образовавшийся диметилгидразон хлороформом и полученный экстракт флуориметрируют. Концентрацию НДМГ в органической фазе определяют по соответствующим градуировочным графикам. Расчет концентрации определяемого вещества в пробе проводят по формуле (3):
СХ= СЭ/(2,5*0,96), (3)
где Сэ – концентрация НДМГ в экстракте, найденная по градуировочному графику, Сх – концентрация НДМГ в пробе, 2,5 – степень концентрирования диметилгидразона, 0,96 – степень перехода диметилгидразона из водной фазы в хлороформ.
Правильность определений НДМГ в природной воде проверяли методом добавок.
Результаты анализов, полученные обоими методами, представлены в табл. 3.
Анализ почв и растительного материала на содержание в них НДМГ при концентрациях определяемого вещества ниже 0,02 мкг/мл включает в себя пробоподготовку известными способами: приготовление кислотной вытяжки НДМГ из образца и дальнейшее определение экстракционно-флуориметрическим способом, или отгонка НДМГ из щелочной/кислотной вытяжки в раствор реагента с последующим флуориметрическим определением (рис. 9).
Таблица 3 – Результаты определений НДМГ,
полученные методом добавок
|
Метод анализа |
|||
|
Экстракционно-фотометрический |
Экстракционно-флуориметрический |
||
|
Введено, мкг/мл |
Найдено, мкг/мл |
Введено, мкг/мл |
Найдено, мкг/мл |
|
0,10 |
0,09 |
0,10 |
0,08 |

Рисунок 9 – Схема анализа почв и растительного материала
на содержание НДМГ
Анализ данных природных объектов при его более высоких содержаниях осуществляется фотометрически (при концентрации свыше 0,05 мкг/мл) после его отгонки в раствор реагента из кислотной/щелочной вытяжки пробы, либо эктракционно-фотометрически (при содержании НДМГ в пробе 0,02 мкг/мл и более).
При определении НДМГ в воздухе предлагаемый вариант пробоподготовки заключается в поглощении определяемого вещества уксуснокислым раствором ацетата натрия. В дальнейшем, если содержание НДМГ в поглотительном растворе не превышает 0,02 мкг/мл, анализ осуществляют экстракционно-флуориметрическим способом. Для определения более высоких концентраций НДМГ (0,02– 10,0 мкг/мл) в растворе ацетата натрия требуется применение экстракционно-фотометрического метода (рис. 10).

Рисунок 10 – Схема анализа воздуха на содержание НДМГ
Определение несимметричного диметилгидразина
методом инверсионной вольтамперометрии
Одним из преимуществ электрохимических методов анализа в случае определения НДМГ является то, что из-за ионизации молекул данного вещества в водных растворах и особенно кислых средах, не требуется проведения процесса его деривации.
Для определения НДМГ методом инверсионной вольтамперометрии (ИВА) использовали трехэлектродную ячейку, состоящую из стеклоуглеродного индикаторного и вспомогательного электродов и насыщенного хлорсеребряного электрода сравнения. Фоновым раствором являлась 0,1 М серная кислота. В ходе исследования было определено, что для получения устойчивого во времени аналитического сигнала необходимо присутствие остаточных количеств ртути на электроде. В этих условиях был получен пик с максимумом тока при -0,4 В.
Для оптимизации условий определения изучены зависимости аналитического сигнала от потенциала и от времени электролиза. Получено, что процесс предпочтительнее проводить в диапазоне потенциалов от -0,6 В до -0,9 В в течение 60–360 с. При более низких значениях потенциала происходит побочный процесс выделения водорода.
В оптимизированных условиях при потенциале электролиза -0,9 В и времени накопления 60 с получена градуировочная зависимость, линейная в диапазоне концентраций от 2,0 до 20,0 мкг/мл.
Выводы
Изучены реакции конденсации НДМГ с ароматическими альдегидами (о-, м-, п-нитробензальдегид, коричный альдегид и 5-фенилпентадиен-2,4-аль), исследовано влияние различных факторов на скорость их протекания (температуры, продолжительности нагрева, концентрации реагента). Максимальная скорость реакции достигается при температуре 80оС и выше, по скорости взаимодействия реагенты располагаются в ряд (время реакции уменьшается): 5-фенилпентадиен-2,4-аль > о-нитробензальдегид > > м нитробензальдегид > п-нитробензальдегид > коричный альдегид.
2.Изучены особенности определения НДМГ в виде диметилгидразонов различных ароматических альдегидов (орто-, мета-, пара-нитробензальдегидов, коричного альдегида и 5-фенилпентадиен-2,4-аля) методами фото- и флуориметрии. Установлено, что наилучшие аналитические характеристики определения достигаются при использовании коричного альдегида: диапазон линейности (0,02–10,0 мкг/мл) для спектрофотометрического и (0,001– 0,01 мкг/мл) в случае спектрофлуориметрического определения.
3.Разработан способ экстракционно-фотометрического определения НДМГ в растворах, позволяющий анализировать различные объекты окружающей среды на содержание НДМГ с чувствительностью 0,02 мг/дм3 и погрешностью 10%.
Изучены процессы флуоресценции диметилгидразонов, установлены оптимальные условия регистрации аналитического сигнала. Рассчитаны кинетические характеристики процесса флуоресценции диметилгидразонов, позволяющие объяснить закономерности флуориметрического определения НДМГ в зависимости от строения реагента (константа флуоресценции, дезактивации, диссоциации и энергии активации).
Разработана и реализована аналитическая схема анализа различных объектов окружающей среды на содержание НДМГ с использованием спектрофотометрического и спектрофлуориметрического методов с учетом специфики анализируемого объекта (вода, почва, воздух).
Основные результаты изложены в следующих публикациях
Струков, В.Ю. Экстракционно-фотометрическое определение 1,1-диметилгидразина в объектах окружающей среды / В.Ю. Струков, Н.В. Киселева, З.А. Темердашев // Материалы Международной конференции «Экстракция органических соединений – ЭОС 2005», Воронеж. – 2005. – С. 382.
Цюпко, Т.Г. Вольтамперометрическое определение гидразинов при их концентрировании на поверхности стеклоуглеродного электрода / Т.Г. Цюпко, З.А. Темердашев, О.Б. Воронова, В.Ю. Струков // Материалы Международного симпозиума «Разделение и концентрирование в аналитической химии и радиохимии», Краснодар. – 2005. – С. 435.
Strukov, V.Y. Determination of 1,1-dimethylhydrazine by reaction with aromatic aldehydes / V.Y. Strukov, N.V. Kiseleva, Z.A. Temerdashev // International congress on analytical sciences – ICAS, Moscow. – 2006. – Р. 355.
Пат. 2276350 Российская Федерация, МПК6 G 01 N 21/78 №2276350. Способ определения несимметричного диметилгидразина в водных растворах / Струков В.Ю., Темердашев З.А., Шпигун О.А., Киселева Н.В.; заявитель и патентообладатель Краснодар, Кубанский государственный университет. – № 2004133440/28; заявл. 30.03.05; опубл.10.05.06, Бюл. №13. – 5 с.
Темердашев, З.А. Флуориметрическое определение несимметричного диметилгидразина / З.А. Темердашев, Н.В. Киселева, В.Ю. Струков // Зав. лаборатория. Диагностика материалов. – 2007. – №2. – С. 44 – 48.
Темердашев, З.А. Влияние свойств альдегидов на аналитические характеристики определения НДМГ в форме его гидразонов / З.А. Темердашев, Н.В. Киселева, В.Ю. Струков, В.В. Коншин // Известия вузов. Северо-Кавказский регион. Естественные науки. – 2006. – №10. – С. 34 - 42.
Автор выражает глубокую признательность за консультации и методическую помощь доценту Киселевой Наталии Владимировне.
Список литературы
Для подготовки данной работы были использованы материалы с сайта http://www.kubsu.ru