Расчёт общей и местной вибрации корабля
Курсовая работа
"Расчёт общей и местной вибрации корабля"
Содержание
1. Силы, вызывающие вибрацию корпуса судна
1.1 Виды нагрузок, вызывающие вибрацию корпуса судна и его отдельных конструкций
1.2 Нагрузки, вызванные неточностями изготовления механизмов, валопроводов, винтов
1.3 Нагрузки, вызванные работой гребных винтов за корпусом
1.3.1 Нагрузка, передающаяся корпусу через подшипники
2. Местная вибрация корабля. Вибрация набора судового корпуса. Свободные колебания однопролётной свободно опёртой балки
2.1 Расчетная схема
2.2 Исходные данные
2.3 Дифференциальное уравнение свободных колебаний упругой системы
2.4 Общее решение колебаний упругой системы
2.5 Дифференциальное уравнение для форм главных свободных колебаний призматического стержня
2.6 Общий интеграл дифференциального уравнения для форм главных свободных колебаний
2.7 Граничные условия на свободно опёртых концах балки
2.8 Составление уравнений из условий подчинения граничным условиям на левом и правом концах балки
2.9 Система линейных однородных алгебраических уравнений относительно неизвестных постоянных интегрирования
2.10 Определитель системы. Уравнение частот
2.11 Формулы для определения частот свободных колебаний
2.12 Расчет значения частот первых пяти тонов свободных колебаний свободно опертого призматического стержня
2.13 Выражение для определения форм свободных колебаний свободно опёртого призматического стержня
2.14 Расчёт и построение форм первых пяти тонов главных свободных колебаний свободно опёртого призматического стержня
2.15 Расчёт значений частот первых пяти тонов свободных колебаний свободно опёртого призматического стержня с удвоенным по сравнению с заданным значением интенсивности веса балки
2.16 Расчёт значений частот первых пяти тонов свободных колебаний свободно опёртого призматического стержня с удвоенным по сравнению с заданным значением длины балки
2.17 Приведение результатов расчёта значений частот первых пяти тонов свободных колебаний свободно опёртого призматического стержня в сводной таблице
2.18 Сопоставление результатов расчётов. Выводы
3. Местная вибрация корабля. Вибрация судовых пластин. Свободные колебания гибких пластин
3.1 Расчетная схема прямоугольной пластины
3.2 Исходные данные для расчёта свободных колебаний гибких пластин
3.3 Силы упругости, действующие на элемент пластины
3.4 Цилиндрическая жёсткость пластины
3.5 Силы инерции колебательного движения элемента пластины
3.6 Интенсивность нагрузки на пластину от её веса и присоединённых масс воды
3.7 Дифференциальное уравнение свободных колебаний пластины
3.8 Уравнение для определения частот свободных колебаний пластины
3.9 Выражение для формы свободных колебаний пластины
3.10 Общее выражение для определения значений частот свободных колебаний пластины
3.11 Расчёт значения частоты первого тона (n=1; p=1) свободных колебаний пластины при отсутствии действия усилий в срединной плоскости
3.12 Расчёт значения частоты первого тона (n=1; p=1) свободных колебаний пластины при действии усилий в срединной плоскости только в направлении "ox" (4 варианта значения усилий по отношению к заданному значению: 0.5; 1.0; 2.0; 3.0)
3.13 Расчёт значения частоты первого тона (n=1; p=1) свободных колебаний пластины при действии заданных значений усилий в срединной плоскости в направлении "oy" и одновременном действии усилий в срединной плоскости в направлении "ox" (4 варианта значения усилий по отношению к заданным: 0.5; 1.0; 2.0; 3.0)
3.14 Приведение результатов расчётов значений частоты первого тона свободных колебаний пластины в сводной таблице
3.15 Исследование динамической устойчивости пластины: определение значений эйлеровых усилий в направлении оси "ox" из условия, что значение частоты первого тона (n=1; p=1) свободных колебаний пластины равно нулю (как при одновременном действии значений заданных усилий в срединной плоскости в направлении "oy" так и при их отсутствии)
3.16 Сопоставление результатов расчётов. Выводы
4. Общая вибрация корабля. Вибрация корпуса как призматической безопорной свободной балки
4.1 Расчётная схема корпуса корабля как призматической безопорной свободной балки
4.2 Исходные данные для исследования колебаний корпуса корабля однопролётной безопорной призматической балки
4.3 Дифференциальное уравнение свободных колебаний упругой системы
4.4 Общее решение колебаний упругой системы
4.5 Дифференциальное уравнение для форм главных свободных колебаний
4.6 Общий интеграл дифференциального уравнения для форм главных свободных колебаний
4.7 Граничные условия по концам безопорной свободной балки
4.8 Граничные условия для форм свободных колебаний по концам безопорной свободной балки
4.9 Составление уравнений из условий подчинения граничным условиям на левом и правом концах безопорной свободной балки
4.10 Система линейных однородных алгебраических уравнений относительно неизвестных постоянных интегрирования
4.11 Определитель системы. Уравнение частот
4.12 График определения частот свободных колебаний
4.13 Расчёт значения частот первых трёх тонов свободных колебаний корпуса корабля как свободного безопорного призматического стержня
4.14 Выражение для определения форм свободных колебаний корпуса корабля как свободного безопорного призматического стержня
4.15 Расчёт и построение форм первых трёх тонов главных свободных колебаний корпуса корабля как свободного безопорного призматического стержня
4.16 Расчёт значений частоты первого тона свободных колебаний корпуса корабля как свободного безопорного призматического стержня для 5 вариантов значения длины корпуса корабля по отношению к заданному значению: 0.8; 1.0; 1.2; 1.4; 1.6
4.17 Расчёт значений частоты первого тона свободных колебаний корпуса корабля как свободного безопорного призматического стержня для 5 вариантов значения интенсивности веса "q" корпуса корабля по отношению к заданному значению: 0.8; 1.0; 1.2; 1.4; 1.6
4.18 Приведение результатов расчётов значений частоты первого тона свободных колебаний корпуса корабля как свободного безопорного призматического стержня в сводной таблице
4.19 Сопоставление результатов расчётов. Выводы
5. Общая вибрация корабля. Расчёт параметров общей вибрации судового корпуса
5.1. Исходные данные
5.2 Определение частоты свободных вертикальных колебаний первого тона судового корпуса по формуле Шлика
5.3 Определение частоты свободных вертикальных колебаний первого тона судового корпуса по формуле Шлика-Бюрилля
5.4 Определение значений высших частот (второго, третьего и четвёртого тонов) свободных поперечных колебаний судового корпуса по формуле Центрального научно-исследовательского института имени академика А.Н. Крылова
5.5 Расчёт значений высших частот (второго, третьего и четвёртого тонов) свободных поперечных колебаний судового корпуса по рекомендациям Н.Н. Бабаева и В.Г. Лентякова
5.6 Расчёт частоты свободных вертикальных колебаний первого тона судового корпуса по формуле Шлика для 5 вариантов значения длины корпуса корабля по отношению к заданному значению: 0.8; 1.0; 1.2; 1.4; 1.6
5.7 Расчёт частоты свободных вертикальных колебаний первого тона судового корпуса по формуле Шлика для 5 вариантов значения интенсивности веса "q" корпуса корабля по отношению к заданному значению: 0.8; 1.0; 1.2; 1.4; 1.6
5.8 Приведение результатов расчётов значений частоты первого тона свободных колебаний корпуса корабля по формуле Шлика в сводной таблице
5.9 Расчёт частоты свободных вертикальных колебаний первого тона судового корпуса по формуле Шлика-Бюрилля для 5 вариантов значения длины корпуса корабля по отношению к заданному значению: 0.8; 1.0; 1.2; 1.4; 1.6
5.10 Расчёт частоты свободных вертикальных колебаний первого тона судового корпуса по формуле Шлика-Бюрилля для 5 вариантов значения интенсивности веса "q" корпуса корабля по отношению к заданному значению: 0.8; 1.0; 1.2; 1.4; 1.6
5.11 Приведение результатов расчётов значений частоты первого тона свободных колебаний корпуса корабля по формуле Шлика-Бюрилля в сводной таблице
5.12 Сопоставление результатов расчётов значений частоты первого тона свободных колебаний корпуса корабля по формулам Шлика и Шлика-Бюрилля
5.13 Сопоставление результатов расчётов значений частоты первого тона свободных колебаний корпуса корабля как свободного безопорного призматического стержня со значениями, определёнными по формулам Шлика и Шлика-Бюрилля
Литература
1. Силы, вызывающие вибрацию корпуса судна
1.1 Виды нагрузок, вызывающие вибрацию корпуса судна и его отдельных конструкций
Все нагрузки, вызывающие вибрацию корпуса корабля и его отдельных конструкций, целесообразно разделить на четыре вида.
К первому виду отнесем меняющиеся во времени силы, которые появляются вследствие неточностей, допущенных при изготовлении и монтаже судовых механизмов, валопроводов, гребных винтов.
Ко второму виду принадлежат нагрузки, связанные с тем, что гребные винты корабля работают за корпусом и в непосредственной близости от него.
Третий вид нагрузок составляют силы, вызванные воздействием на судно морского волнения.
Наконец, к четвертому виду будем относить различные динамические нагрузки, появляющиеся в специфических условиях эксплуатации судна: при взрывах, ударах о лед, ударах при швартовке и столкновениях и т.п.
1.2 Нагрузки, вызванные неточностями изготовления механизмов, валопроводов, винтов
Одним из основных дефектов, приводящих к появлению вибрационной нагрузки, следует считать неполную сбалансированность вращающихся или движущихся поступательно масс, которая может наблюдаться у главных и вспомогательных двигателей, редукторов, гребных валов и винтов.
При статической неуравновешенности центр тяжести вращающейся части не лежит на оси вращения. Пусть а - отстояние центра тяжести от оси вращения, т - масса, Ω - угловая скорость.
Тогда на ротор действует радиальная (вращающаяся) сила:
F = таΩ2,которая передается на подшипники и фундамент механизма в виде периодической нагрузки.

Рис. 1.1 Динамически неуравновешенный ротор.
На рис.1.1 показан вал с двумя дисками, центры тяжести которых сдвинуты в противоположные стороны от оси вращения на одинаковые расстояния а. Такой ротор статически уравновешен.

Рис. 1.2 Стыкуемые на фланцах участки гребного вала, изготовленные с дефектами.
Если части вала имеют искривления, либо плоскости их фланцев не перпендикулярны к оси (рис.1.2), после соединения фланцев и затяжки болтов на опорах вала возникают реакции, изменяющие направления действия по мере поворота вала
Существование упругого прогиба могут привести к резонансным колебаниям системы винт - валопровод и к резкому возрастанию вибрационной нагрузки на корпус. Поэтому валопроводы всегда проектируются так, чтобы критическая частота была существенно выше любой эксплуатационной частоты вращения вала.
Гребные винты наряду со статической и динамической неуравновешенностью могут быть несбалансированны гидродинамически. Иначе говоря, на гребной винт будут действовать гидродинамическая сила и момент, векторы которых перпендикулярны к оси гребного вала. Вращаясь вместе с винтом, эти сила и момент, передающиеся через подшипники корпусу, создают периодическую нагрузку, изменяющуюся с частотой, равной частоте вращения гребного вала.
Таким образом, статическая и динамическая неуравновешенность роторов, неточность изготовления гребного винта и валопровода приводят к появлению вибрационной нагрузки первого порядка, изменяющейся с частотой вращения вала Q.
При расчете вибрации периодические возмущающие силы и моменты, передаваемые двигателем на фундамент, могут быть представлены в виде суммы гармоник:

где F, M - возмущающие сила и момент;
Ω>0> - круговая частота вращения вала двигателя;
α>i>-, β>i> - начальные фазы составляющих силы и момента.
Тщательной балансировкой многоцилиндрового поршневого двигателя, устранением неравномерности рабочих циклов в цилиндрах удается свести к минимуму или полностью устранить создаваемую им вибрационную нагрузку низших порядков.
Опрокидывающими моментами и горизонтальными силами не исчерпывается многообразие вибрационных нагрузок, источником которых служат двигатели внутреннего сгорания. Так, неполная сбалансированность движущихся масс приводит к появлению моментов, вращающих двигатель относительно осей вертикальной (рыскание) и поперечной горизонтальной (галопирование). Динамические нагрузки, имеющие случайный характер, создаются в результате неидентичности воспламенения и сгорания топлива в цилиндрах.
1.3 Нагрузки, вызванные работой гребных винтов за корпусом
Действие нагрузок, связанных с работой гребных винтов за корпусом в непосредственной близости от него, представляет собой наиболее существенную причину вибрации судна.
Винт, работающий за корпусом судна, возбуждает два вида вибрационной нагрузки: нагрузку, передающуюся корпусу через подшипники и непосредственно приложенную к обшивке в виде пульсирующих давлений.
1.3.1 Нагрузка, передающаяся корпусу через подшипники
Неоднородность потока, набегающего на винт, создается вследствие нескольких причин, среди которых важнейшую роль играет так называемый попутный поток.
Осевая V>x> (направленная вдоль оси гребного вала) и окружная V>t> составляющие скорости регулярной части попутного потока могут быть рассчитаны или измерены с использованием I модельного эксперимента.
Осевую составляющую удобно представить в виде суммы:
V>x> = v>0> + v>x>,
где v>0> - скорость судна; v>x> - зависящая от координат в плоскости диска винта составляющая осевой скорости.
Пример изменения v>x> и V>t> за один оборот лопасти двухвинтового судна показан на рис.1.3

Рис 1.3 Пример изменения v>x>/v>0> и V>t>/v>0> за один оборот лопасти.
2. Местная вибрация корабля. Вибрация набора судового корпуса. Свободные колебания однопролётной свободно опёртой балки
2.1 Расчетная схема
Рис.2.1 Расчётная схема однопролётной свободно опёртой балки.
2.2 Исходные данные
|
Длина балки "L", м |
Интенсивность веса балки "q" кгс/cм |
Модуль упругости материала "Е" МПа |
Момент инерции поперечного сечения "I" см4 |
|
8.2 |
0.22 |
210000 |
6200 |
2.3 Дифференциальное уравнение свободных колебаний упругой системы
Учитывая даламберовы силы, дифференциальное уравнение свободных колебаний однопролётной балки имеет вид:
(2.1)
2.4 Общее решение колебаний упругой системы
(2.2)
2.5 Дифференциальное уравнение для форм главных свободных колебаний призматического стержня
(2.3)
где
(2.4)
2.6 Общий интеграл дифференциального уравнения для форм главных свободных колебаний
(2.5)
2.7 Граничные условия на свободно опёртых концах балки
Граничные условия для рассматриваемого стержня имеют вид:

Внося сюда выражение (2.2), получаем граничные условия для форм свободных колебаний:
(2.6)
2.8 Составление уравнений из условий подчинения граничным условиям на левом и правом концах балки
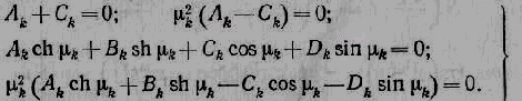
Подчиняя выражение (2.5) граничным условиям (2.6) функции w>k> (х) при х = 0 и х = L получаем систему линейных однородных алгебраических уравнений относительно неизвестных постоянных A>k>, B>k>, C>k> и D>/>>e>:
(2.7)
2.9 Система линейных однородных алгебраических уравнений относительно неизвестных постоянных интегрирования

(2.8)
2.10 Определитель системы. Уравнение частот
Интересующее нас решение, отличное от нуля, получаем при равенстве нулю определителя упомянутой выше системы уравнений (2.8):

Уравнение это называется уравнением частот.
(2.9)
откуда уравнение частот будет иметь вид:
(2.10)
Отсюда уравнение частот примет следующий вид:
sin μ>к> = 0
Корни этого уравнения частот будут определяться по формуле:
μ>k>= πk,
где k=l, 2, 3,...
2.11 Формулы для определения частот свободных колебаний
По найденным из уравнения частот корням μ>k> (k = 1, 2, 3,. .) с помощью формулы (2.4) определяются частоты свободных колебаний стержня:
(2.11)
Заметим, что обычно корни μ>k>,, а, следовательно, и частоты λ>k>, нумеруются в порядке их возрастания:

2.12 Расчет значения частот первых пяти тонов свободных колебаний свободно опертого призматического стержня
Расчёт значения частот первых пяти тонов свободных колебаний свободно опёртого призматического стержня начинается с вычисления значения интенсивности массы самого призматического стержня, а именно:
,
тогда частоты первых пяти тонов свободных колебаний (2.11) будут равны:
при k = 1:
,
при k = 2:

при k = 3:

при k = 4:

при k = 5:

2.13 Выражение для определения форм свободных колебаний свободно опёртого призматического стержня
Из уравнений системы (2.8), если учесть результат sin μ>к> = 0, следует, что:
В>к> = 0.
Таким образом, лишь постоянная D>k> оказалась не равной нулю. Тогда на основании формулы (2.5), если подставить в нее найденные выше значения A>k>>,> B>k> и C>k>>,> получим выражение для форм колебаний свободно опертой балки:
(2.12)
Таким образом, форма колебаний может быть определена с точностью до постоянного множителя, значение которого обычно выбирается исходя из удобства вычислений.
2.14 Расчёт и построение форм первых пяти тонов главных свободных колебаний свободно опёртого призматического стержня


Рис.2.2 Форма свободных колебаний однопролётной свободно опёртой балки.
2.15 Расчёт значений частот первых пяти тонов свободных колебаний свободно опёртого призматического стержня с удвоенным по сравнению с заданным значением интенсивности веса балки
Вычисление значения интенсивности массы самого призматического стержня с учетом удвоенного, по сравнению с заданным, значением интенсивности веса балки, а именно:

тогда частоты первых пяти тонов свободных колебаний (2.11) будут равны:
при k
= 1:

при k
= 2:

при k
= 3:

при k
= 4:

при k
= 5:

2.16 Расчёт значений частот первых пяти тонов свободных колебаний свободно опёртого призматического стержня с удвоенным по сравнению с заданным значением длины балки
при k
= 1:
,
при k
= 2:

при k
= 3:

при k = 4:

при k
= 5:

2.17 Приведение результатов расчёта значений частот первых пяти тонов свободных колебаний свободно опёртого призматического стержня в сводной таблице
|
При заданных значениях интенсивности веса и длины балки, Гц |
При удвоенном по сравнению с заданным значением интенсивности веса балки, Гц |
При удвоенном по сравнению с заданным значением длины балки, Гц |
|
|
при k = 1 |
111,7 |
75,4 |
27,9 |
|
при k = 2 |
426,7 |
301,8 |
111,7 |
|
при k = 3 |
960,12 |
679,1 |
251,1 |
|
при k = 4 |
1706,8 |
1206,4 |
446,4 |
|
при k = 5 |
2667,01 |
1885,01 |
697,5 |
2.18 Сопоставление результатов расчётов. Выводы
Увеличение тона главных свободных колебаний ведёт к увеличению узловых точек. Чем больше тон свободных колебаний, тем больше частота колебаний. Графиком функции, описывающей форму свободных колебаний, является синусоида (полусинусоида).
При увеличении интенсивности веса балки и длины балки возрастание частоты колебаний, с увеличением тона колебаний, происходит медленнее по сравнению с расчетами по заданным значениям интенсивности веса и длины балки. Чем больше интенсивность веса и длины балки, тем меньше частота колебаний, причем величина длины балки больше влияет на частоту колебаний, чем интенсивность веса балки.
3. Местная вибрация корабля. Вибрация судовых пластин. Свободные колебания гибких пластин
3.1 Расчетная схема прямоугольной пластины
Прямоугольная пластина со сторонами "а", "в" в плане, толщиной "h" находится под воздействием в срединной плоскости усилий T>x>, параллельных оси x, и усилий T>y>, параллельных оси у.

Рис. 3.1 Расчётная схема прямоугольной пластины.
3.2 Исходные данные для расчёта свободных колебаний гибких пластин
|
Размер пластины "а" м |
Размер пластины "в" м |
Толщина пластины "h" м |
Сжимающее усилие в направлении оси ОX "σ>x>", МПа |
Сжимающее усилие в направлении оси ОY "σ>y>", МПа |
Модуль упругости материала "Е", МПа |
|
0,95 |
0,95 |
0,02 |
1200 |
400 |
210000 |
3.3 Силы упругости, действующие на элемент пластины
(3.1)
где D - цилиндрическая жесткость пластины;
T>x>=±σ>x>h - усилие в срединной плоскости, параллельное оси x и приходящееся на единицу длины кромки;
T>y>=±σ>y>h - такое же усилие, но параллельное оси у.
Усилия T>x> и T>y>, считаются положительными при растяжении.
3.4 Цилиндрическая жёсткость пластины
(3.2)
где h - толщина пластины.
3.5 Силы инерции колебательного движения элемента пластины
(3.3)
где g - ускорение силы тяжести;
р - интенсивность нагрузки на пластину от ее веса и от присоединенных масс воды, совершающих колебания вместе с пластиной.
3.6 Интенсивность нагрузки на пластину от её веса и присоединённых масс воды
p=p>пл>+ p>в>. (3.4)
Интенсивность веса самой пластины равна:
Р>пл>=γ>с>h, (3.5)
где γ>с> - объемный вес материала пластины (для стали равный 76,8.10-3 н/см3 или 7,85·10-3кг/см3).
Для нахождения интенсивности присоединенной массы воды можно воспользоваться приближенной зависимостью, согласно которой p>в>, так же как и p>пл> от координат "x" и "у" не зависит:
p>в> = к γ в, (3.6)
где γ - объемный вес воды,
в -длина наименьшей стороны пластины,
к - коэффициент, определяемый по табл.3.2
Коэффициенты "к" для расчёта интенсивности нагрузки от присоединённых масс воды при колебаниях пластины
|
Отношение сторон пластины а/в |
Тип пластины |
|
|
Свободно опёртая по всему контуру |
Жёстко заделанная по всему контуру |
|
|
1 |
2 |
3 |
|
1.0 |
0.42 |
0.33 |
3.7 Дифференциальное уравнение свободных колебаний пластины
Учитывая даламберову силу инерции и силу упругости, дифференциальное уравнение свободных колебаний пластины будет иметь вид:
(3.7)
3.8 Уравнение для определения частот свободных колебаний пластины
(3.8)
3.9 Выражение для формы свободных колебаний пластины
Свободно опертая пластина. Точное решение уравнения (3.6) может быть получено лишь для некоторых сравнительно простых вариантов закрепления сторон опорного контура пластины. Так, в случае свободно опертой пластины можно удовлетворить точно всем граничным условиям, если принять для функции w>n> (x, у) выражение вида:
(3.9)
где параметры n=1,2,3… и p=1,2,3… характеризуют форму (тон колебаний) свободных колебаний пластины в направлениях соответственно "x" и "у".
3.10 Общее выражение для определения значений частот свободных колебаний пластины
Подставив выражение (3.7) в дифференциальное уравнение (3.6), из условия неравенства нулю коэффициента Апр получим уравнение для определения частот λпр рассматриваемой свободно опертой пластины:
(3.10)
3.11 Расчёт значения частоты первого тона (n=1; p=1) свободных колебаний пластины при отсутствии действия усилий в срединной плоскости
Интенсивность нагрузки на пластину от её веса и присоединённых масс воды:
p = p>пл>+ p>в >= γ>с>h + к γ в = 7,85·103·0,020 + 0,95·1,025·103·0,42 = 408,9 кгс/м2
Найдем интенсивность массы с учетом интенсивности нагрузки на пластину от её веса и присоединённых масс воды:
,
.
При
и
равно 0:
.
3.12 Расчёт значения частоты первого тона (n=1; p=1) свободных колебаний пластины при действии усилий в срединной плоскости только в направлении "ox" (4 варианта значения усилий по отношению к заданному значению: 0.5; 1.0; 2.0; 3.0)
,
.
Тогда при Т>1>/ = 0,5Т>1> ("+" - растяжение):

при Т>1>/ = 0,5Т>1> ("-" - сжатие):

при Т>1>/ = Т>1> ("+" - растяжение):

при Т>1>/ = Т>1> ("-" - сжатие):

при Т>1>/ = 2Т>1> ("+" - растяжение):

при Т>1>/ = 2Т>1> ("-" - сжатие):

при Т>1>/ = 3Т>1> ("+" - растяжение):

при Т>1>/ = 3Т>1> ("-" - сжатие):
.
3.13 Расчёт значения частоты первого тона (n=1; p=1) свободных колебаний пластины при действии заданных значений усилий в срединной плоскости в направлении "oy" и одновременном действии усилий в срединной плоскости в направлении "ox" (4 варианта значения усилий по отношению к заданным: 0.5; 1.0; 2.0; 3.0)
,
.
тогда при Т>1>/ = 0,5Т>1> и Т>2>/ = 0,5Т>2> ("+" - растяжение):
,
при Т>1>/ = 0,5Т>1> и Т>2>/ = 0,5Т>2> ("-" - сжатие):

при Т>1>/ = Т>1> и Т>2>/ = Т>2> ("+" - растяжение):
,
при Т>1>/ = Т>1> и Т>2>/ = Т>2> ("-" - сжатие):
,
при Т>1>/ = 2Т>1> и Т>2>/ = 2Т>2> ("+" - растяжение):
,
при Т>1>/ = 2Т>1> и Т>2>/ = 2Т>2> ("-" - сжатие):

при Т>1>/ = 3Т>1> и Т>2>/ = 3Т>2> ("+" - растяжение):
,
при Т>1>/ = 3Т>1> и Т>2>/ = 3Т>2> ("-" - сжатие):

3.14 Приведение результатов расчётов значений частоты первого тона свободных колебаний пластины в сводной таблице
|
значения усилий Т>1> и Т>2> |
значения частоты первого тона свободных колебаний пластины, Гц |
|||
|
при отсутствии действия усилий в срединной плоскости |
при действии заданных значений усилий в срединной плоскости |
|||
|
только в направлении "ox" |
в направлении "ox" и "oy" |
|||
|
0 |
1210,18 |
|||
|
0,5 |
растяжение |
1442,4 |
1478,4 |
|
|
сжатие |
943,3 |
542,7 |
||
|
1 |
растяжение |
1574,8 |
1614,2 |
|
|
сжатие |
515,4 |
191,8 |
||
|
2 |
растяжение |
1739,5 |
1856,01 |
|
|
сжатие |
206,1 |
--- |
||
|
3 |
растяжение |
1912,2 |
2070,4 |
|
|
сжатие |
--- |
--- |
3.15 Исследование динамической устойчивости пластины: определение значений эйлеровых усилий в направлении оси "ox" из условия, что значение частоты первого тона (n=1; p=1) свободных колебаний пластины равно нулю (как при одновременном действии значений заданных усилий в срединной плоскости в направлении "oy" так и при их отсутствии)
При λ>пр>= 0 и Т>2> = 0:
Т>1> = {-D· [ (nπ/a) 2 + (pπ/b) 2] 2 - Т>2>· (pπ/b) 2 - k>0>}/ (nπ/a) 2, тогда
Т>1> = {-15384,6· [ (3,14/0,95) 2 + (3,14/0,95) 2] 2 - 0 - 0}/ (3,14/0,95) 2 = - 61,6·105 кгс/м.
Для того чтобы значение частоты первого тона (n=1; p=1) свободных колебаний пластины было равно нулю, при отсутствии заданных усилий в срединной плоскости в направлении "oy", необходимо приложить сжимающие усилия в срединной плоскости в направлении "ox" равным Т>1> = - 71,6·105 кгс/м.
При λ>пр>= 0 и Т>2> = 8·105кгс/м ("+" - растяжение):
Т>1> = {-15384,6· [ (3,14/0,95) 2 + (3,14/0,95) 2] 2 - 8·105· (3,14/0,95) 2 - 0}/ (3,14/0,95) 2 =-75,1·105 кгс/м
Для того чтобы значение частоты первого тона (n=1; p=1) свободных колебаний пластины было равно нулю, при действии заданных усилий на растяжение в срединной плоскости в направлении "oy", необходимо приложить сжимающие усилия в срединной плоскости в направлении "ox" равным Т>1> = - 75,1·105 кгс/м.
При λ>пр>= 0 и Т>2> = - 8·105кгс/м ("-" - сжатие):
Т>1> = {-15384,6· [ (3,14/0,95) 2 + (3,14/0,95) 2] 2 + 8·105· (3,14/0,95) 2 - 0}/ (3,14/0,95) 2 =-52,3·105 кгс/м
Для того чтобы значение частоты первого тона (n=1; p=1) свободных колебаний пластины было равно нулю, при действии заданных усилий на сжатие в срединной плоскости в направлении "oy", необходимо приложить сжимающие усилия в срединной плоскости в направлении "ox" равным Т>1> = - 52,3·105 кгс/м.
3.16 Сопоставление результатов расчётов. Выводы
При растяжении
частота колебаний больше, чем при сжатии.
При усилиях
и
,
равных нулю, значение частоты свободных
колебаний лежит между значениями частоты
при растяжении или сжатии.
4. Общая вибрация корабля. Вибрация корпуса как призматической безопорной свободной балки
4.1 Расчётная схема корпуса корабля как призматической безопорной свободной балки

Рис.4.1 Расчётная схема для исследования колебаний однопролётной безопорной призматической балки.
4.2 Исходные данные для исследования колебаний корпуса корабля однопролётной безопорной призматической балки
|
Длина балки "l", м |
Интенсивность веса балки "q", кгс/cм |
Модуль упругости материала "Е", МПа |
Момент инерции поперечного сечения "I", м4 |
|
144 |
1740 |
210000 |
18,2 |
4.3 Дифференциальное уравнение свободных колебаний упругой системы
(4.1)
4.4 Общее решение колебаний упругой системы
(4.2)
4.5 Дифференциальное уравнение для форм главных свободных колебаний
(4.3)
Где
(4.4)
4.6 Общий интеграл дифференциального уравнения для форм главных свободных колебаний
(4.5)
4.7 Граничные условия по концам безопорной свободной балки
(4.6)
4.8 Граничные условия для форм свободных колебаний по концам безопорной свободной балки
(4.7)
4.9 Составление уравнений из условий подчинения граничным условиям на левом и правом концах безопорной свободной балки
(4.8)
При составлении уравнений (4.8) принималось во внимание, что μ>к> ≠ 0. Значения μ>к> = 0 отвечают перемещениям стержня как жесткого тела; такие перемещения нами не рассматриваются.
4.10 Система линейных однородных алгебраических уравнений относительно неизвестных постоянных интегрирования
С помощью первых двух уравнений (4.8) можно преобразовать два последних уравнения системы (4.8) к виду:
(4.9)
4.11 Определитель системы. Уравнение частот
Приравнивая определитель системы (4.9) к нулю, получаем уравнение частот:
(4.10)
4.12 График определения частот свободных колебаний

Рис.4.2 К решению уравнения частот (4.10)
4.13 Расчёт значения частот первых трёх тонов свободных колебаний корпуса корабля как свободного безопорного призматического стержня
,
где

.
При
:
;
при
:
;
при
:
.
4.14 Выражение для определения форм свободных колебаний корпуса корабля как свободного безопорного призматического стержня
(4.11)
4.15 Расчёт и построение форм первых трёх тонов главных свободных колебаний корпуса корабля как свободного безопорного призматического стержня


Рис.4.3 Формы свободных колебаний свободной безопорной балки.
4.16 Расчёт значений частоты первого тона свободных колебаний корпуса корабля как свободного безопорного призматического стержня для 5 вариантов значения длины корпуса корабля по отношению к заданному значению: 0.8; 1.0; 1.2; 1.4; 1.6
При
и 0,8L:
;
при
и 1,0L:
;
при
и 1,2L:
;
при
и 1,4L:
;
при
и 1,6L:
;
4.17 Расчёт значений частоты первого тона свободных колебаний корпуса корабля как свободного безопорного призматического стержня для 5 вариантов значения интенсивности веса "q" корпуса корабля по отношению к заданному значению: 0.8; 1.0; 1.2; 1.4; 1.6
При
и 0,8q:
,
;
при
и 1,0q:
.
;
при
и 1,2q:
.
;
при
и 1,4q:
,
;
при
и 1,6q:
,
;
4.18 Приведение результатов расчётов значений частоты первого тона свободных колебаний корпуса корабля как свободного безопорного призматического стержня в сводной таблице
|
отношение к заданному значению |
значения частоты первого тона свободных колебаний корпуса корабля как свободного безопорного призматического стержня, Гц |
|
|
при изменении длины |
при изменении интенсивности веса |
|
|
0,8 |
7,82 |
5,59 |
|
1,0 |
5,01 |
5,01 |
|
1,2 |
3,47 |
4,56 |
|
1,4 |
2,55 |
4,23 |
|
1,6 |
1,95 |
3,95 |
4.19 Сопоставление результатов расчётов. Выводы
При изменении длины и интенсивности веса корабля происходит изменение частоты первого тона свободных колебаний корпуса корабля как свободного безопорного призматического стержня. Чем больше длина и интенсивность веса корабля, тем меньше частота свободных колебаний корпуса корабля. Больше всего на частоту свободных колебаний корпуса корабля как свободного безопорного призматического стержня влияет длина корабля.
5. Общая вибрация корабля. Расчёт параметров общей вибрации судового корпуса
5.1. Исходные данные
|
Длина корпуса "L", м |
Интен- сивность веса корпуса "q", кгс/cм |
Модуль Упругости материала "Е", МПа |
Момент инерции поперечного сечения "I", м4 |
Ширина корпуса "В", м |
Осадка "Т", м |
Водоизме- щение "D", 103м3 |
|
144 |
1740 |
210000 |
18,2 |
19 |
9,1 |
20 |
5.2 Определение частоты свободных вертикальных колебаний первого тона судового корпуса по формуле Шлика
(5.1)
где D - водоизмещение судна, т;
L - длина судна, м;
I>в> - момент инерции миделевого сечения корпуса, см4.
Наименьшее значение коэффициента, стоящего перед корнем в формуле (5.1), относится к судам с полными образованиями; для судов же с острыми образованиями следует взять наибольшие значения этого коэффициента.

5.3 Определение частоты свободных вертикальных колебаний первого тона судового корпуса по формуле Шлика-Бюрилля
(5.2)
где k>в> - числовой коэффициент, определяемый для разных типов судов по табл. 5.2.
Значения коэффициентов k>n>, k>KP>, k>B>, k>r>> >в зависимости от типа судна.
|
Вид колебаний, коэффициент |
Тип судна |
|||
|
танкеры |
сухогрузы |
контейнерные суда |
ро-ро |
|
|
Продольные, k>П >Крутильные, k>кр >Вертикальные, k>B>> >Горизонтальные, k>r> |
33 63 5,6-106 4,95-106 |
33 58 5,5∙106 3,95∙106 |
33 55 5,42∙106 3,81∙106 |
33 60 3,8∙106 3,02∙106 |

5.4 Определение значений высших частот (второго, третьего и четвёртого тонов) свободных поперечных колебаний судового корпуса по формуле Центрального научно-исследовательского института имени академика А.Н. Крылова
N>n> = c>n>N>1>, кол. /мин, (5.3)
где N>n> - частота свободных колебаний n-го тона;
с>п> - числовой коэффициент, зависящий от номера тона, типа судна и вида рассматриваемых колебаний.
N>1> = 1·48,07 = 48,01 кол. /мин,
N>2> = 2·48,07 = 96,14 кол. /мин,
N>3> = 3·48,07 = 144,21 кол. /мин,
N>4> = 4·48,07 = 192,28 кол. /мин,
N>5> =5·48,07 = 240,35 кол. /мин,
5.5 Расчёт значений высших частот (второго, третьего и четвёртого тонов) свободных поперечных колебаний судового корпуса по рекомендациям Н.Н. Бабаева и В.Г. Лентякова
(5.4)
N>1> = 48,07 кол. /мин,
N>2> = 2,2·48,07 = 105,74 кол. /мин,
N>3> = 1,8·96,14 = 173,05 кол. /мин,
N>4> = 1,5·144,21 = 216,31 кол. /мин.
5.6 Расчёт частоты свободных вертикальных колебаний первого тона судового корпуса по формуле Шлика для 5 вариантов значения длины корпуса корабля по отношению к заданному значению: 0.8; 1.0; 1.2; 1.4; 1.6

при 0,8L:
,
при 1,0L:
,
при 1,2L:
,
при 1,4L:
.
при 1,6L:
.
5.7 Расчёт частоты свободных вертикальных колебаний первого тона судового корпуса по формуле Шлика для 5 вариантов значения интенсивности веса "q" корпуса корабля по отношению к заданному значению: 0.8; 1.0; 1.2; 1.4; 1.6
при 0,8q:
,
при 1,0q:
,
при 1,2q:
,
при 1,4q:
,
при 1,6q:
,
5.8 Приведение результатов расчётов значений частоты первого тона свободных колебаний корпуса корабля по формуле Шлика в сводной таблице
|
отношение к заданному значению |
значения частоты первого тона свободных колебаний корпуса корабля рассчитанные по формуле Шлика, N>1> кол/мин |
|
|
длина |
интенсивность веса |
|
|
0,8 |
58,51 |
43,53 |
|
1,0 |
52,37 |
41,37 |
|
1,2 |
47,81 |
37,82 |
|
1,4 |
44,26 |
35,26 |
|
1,6 |
41,40 |
32,43 |
5.9 Расчёт частоты свободных вертикальных колебаний первого тона судового корпуса по формуле Шлика-Бюрилля для 5 вариантов значения длины корпуса корабля по отношению к заданному значению: 0.8; 1.0; 1.2; 1.4; 1.6
при 0,8L:
,
при 1,0L:
,
при 1,2L:
,
при 1,4L:
,
при 1,6L:
.
5.10 Расчёт частоты свободных вертикальных колебаний первого тона судового корпуса по формуле Шлика-Бюрилля для 5 вариантов значения интенсивности веса "q" корпуса корабля по отношению к заданному значению: 0.8; 1.0; 1.2; 1.4; 1.6
при 0,8q:
,
при 1,0q:
,
при 1,2q:
,
при 1,4q:
,
при 1,6q:
.
5.11 Приведение результатов расчётов значений частоты первого тона свободных колебаний корпуса корабля по формуле Шлика-Бюрилля в сводной таблице
-
отношение к заданному
значению
значения частоты первого тона свободных колебаний корпуса корабля рассчитанные по формуле Шлика-Бюрилля, N>1> кол/мин
при изменении длины
при изменении интенсивности веса
0,8
39,24
33,24
1,0
35,07
29,11
1,2
30,04
27,04
1,4
29,66
23,67
1,6
27,74
21,75
5.12 Сопоставление результатов расчётов значений частоты первого тона свободных колебаний корпуса корабля по формулам Шлика и Шлика-Бюрилля
По результатам расчетов по формулам Шлика и Шлика-Бюрилля видно, что значения частоты свободных колебаний корпуса корабля лежат примерно в одном числовом диапазоне, с небольшими отклонениями друг от друга. Эти отклонения вызваны погрешностью при выборе числового коэффициента k>в> по формуле Шлика-Бюрилля> >и числового коэффициента по формуле Шлика. Результаты расчетов и графики показывают, что наибольшее изменение значений частоты первого тона свободных колебаний корпуса корабля происходит при изменении длины корабля.
5.13 Сопоставление результатов расчётов значений частоты первого тона свободных колебаний корпуса корабля как свободного безопорного призматического стержня со значениями, определёнными по формулам Шлика и Шлика-Бюрилля
Сравнивая результаты расчетов значений частоты первого тона свободных колебаний корпуса корабля как свободного безопорного призматического стержня со значениями, определёнными по формулам Шлика и Шлика-Бюрилля видно, что при изменении длины и интенсивности веса корабля происходит изменение частоты первого тона свободных колебаний корпуса корабля. Чем больше длина и интенсивность веса корабля, тем меньше частота свободных колебаний корпуса корабля. Больше всего на частоту свободных колебаний корпуса корабля влияет длина корабля.
Литература
1. Ипатовцев Ю.Н., Короткин Я.И. Строительная механика и прочность корабля. Раздел IY Динамические задачи прочности корпуса: Учебник. Л.: Cудостроение, 1991
2. Постнов В.А., Калинин В.С., Ростовцев Д.М. Вибрация корабля: Учебник. - Л.: Cудостроение, 1983
3. Курдюмов А.А. Вибрация корабля: Учебник. Л.: Судпромгиз, 1961
4. Справочник по строительной механике корабля: в 3-х томах / Под ред. акад. Ю.А. Шиманского. Л.: Судпромгиз. 1960