Рідинні скляні термометри
ВСТУП
Вимірювання температур поряд з вимірами інших величин має досить важливе значення в науці і техніку. Сучасне промислове виробництво неможливе без температурного контролю. Досить звернути увагу на такі галузі промисловості, як чорна і кольорова металургія, хімічна і нафтопереробна промисловість, у багатьох технологічних процесах яких температурний контроль має вирішальне значення.
Першим приладом, призначеним для температурних вимірів, був повітряний термометр, застосований Галілеєм у 1598 р.
У Росії перші кроки в цьому напрямку були зроблені М.В. Ломоносовим (1711-1765 р.), він, розробляючи молекулярно-кінетичну теорію матерії не тільки правильно сформулював поняття абсолютного нуля температурної шкали, але і розробив термометр, оснований на тепловому розширенні рідин.
Д.И. Менделєєв у 1898 р. організував першу теплову лабораторію при Головній Палаті міри і ваги. Д.И. Менделєєвим були проведені перші роботи з термометрії.
Однак у той далекий час не було установ, що займаються спеціально дослідженнями в області температурних вимірів, як не було і заводів, які випускають прилади для виміру температур. Уся діяльність Головної Палати міри і ваги і її філій зводилася в цій області вимірів тільки до перевірки медичних термометрів.
Ці роботи зараз в основному спрямовані на те, щоб забезпечити єдність і точність передачі одиниці виміру температури від еталона до робочого приладу; розширити межі виміру в області низьких і високих температур і підвищити точність виміру; розробити методи й апаратуру для градуювання і перевірок приладів, які вимірюють температури; створити нові методи виміру температур і нові прилади для задоволення потреб промисловості.
Над створенням нових конструкцій приладів для вимірювання температур і дослідженнями в області температурних вимірів працюють у даний час багато науково-дослідних і конструкторських організацій країни.
Важливі метрологічні роботи були виконані по ВНІІМ І.І. Киренковим, А.Н. Гордовим, Ф.З. Алієвою й іншими співробітниками. Це дослідження з визначення температур реперних точок Міжнародної практичної температурної шкали (МПТШ), метрологічні роботи в області оптичної пірометрії, дослідження нових рівноподілкових ртутних термометрів високої точності.
Дослідження, початі в Харківському науково-дослідному інституті метрології (ХГНІІМ) В.В. Кандибою, В.А. Ковалевським, В.Е. Финкельштейном і іншими, завершилися створенням високоточних зразкових оптичних пірометрів і потім перших у світі спектропірометричних компараторів і приладів. Крім того, розроблені в цьому інституті нові методи екстраполяції до високих температур сприяли значному підвищенню точності виміру і розширенню меж виміру в області високих температур.
В області низьких температур роботи, виконані у Всесоюзному науково-дослідному інституті фізико-технічних і радіотехнічних вимірів (ВНІІФТРІ) П.Г. Стрєлковим. А.С. Боровик-Романовим, М.П. Орловою, Д.Н. Астровим і Д.І. Шаревською, завершилися створенням практичної температурної шкали від 10 до 90° С. У процесі цих робіт була створена нова конструкція газового термометра без шкідливого об`єму, що за своєю точністю й інших метрологічних характеристиках значно перевершує всі прилади, які застосовувались раніше.
Підвищення продуктивності виробництва і покращення якості випускної продукції не можливо без належного метрологічного контролю.
Потужний поштовх розвитку вітчизняного приладобудування пов`язаний з прогресом науки і техніки. Поява нових галузей науки дає можливість створювати нові прилади, які в свою чергу, сприяють подальшому розвитку науки.
На протязі декількох століть прилади створювались і вдосконалювалися силами вчених, винахідників різних областей науки і техніки. Однак, не дивлячись на значний внесок вчених в галузь створення нових приладів задовольняються, головним чином, імпортом.
Бурхливий розвиток промисловості і науково-дослідних структур країни вимагало розширення виробництва приладів, апаратів, пристосувань і інструментів.
Для правильної експлуатації приладів і апаратів в країні були створені і організовані навчальні заклади з інших приладобудівних спеціальностей. Одним з основних для цих спеціальностей являється курс загальних елементів приладів, перетворювачів а апаратів.
Для побудови схем автоматичного контролю і управління використовуються різні типи елементів, так звані проміжні реле, які мають групу контактів замкнутих, розімкнених і переключальних.
За принципом дії вони класифікуються як неелектромагнітні, поляризовані і електронні, а за родом живлення електричним струмом котушок індуктивності – постійного і змінного струмів. Реле різного типу властиві два положення: при відсутності напруги на котушці індуктивності – незбуджений стан і при передачі напруги – збуджений стан, а при переході із одного стану в інший відбувається зміна контактних груп, тобто включається або виключається.
Вітчизняна промисловість випускає широкий ряд реле необхідних для застосування їх в приладобудуванні.
Індустріалізація сільського господарства встановленням біологічного, агрохімічного і технологічного контролю виробництва на всіх його етапах.
При цьому найважливіше значення мають засоби контролю і вимірювання параметрів виробництва, без яких неможливо управляти якістю виробленої продукції.
Роль вимірювальних засобів зростає при створенні автоматизованих виробництв, в тому числі і на тваринницьких комплексах.
Правильність проведених приладами вимірювань і регулювання взаємодій багато в чому залежить від якості і монтажу, технічного обслуговування, а також від кваліфікації слюсарів і монтажників з автоматики.
1. ТЕОРЕТИЧНА ЧАСТИНА
1.1 Призначення, будова та принцип дії рідинних термометрів розширення
Завдяки порівняно високій точності, нескладності пристрою і дешевизні виготовлення скляні рідинні термометри є найбільше розповсюдженими приладами для виміру температур. У залежності від вимог, пропонованих до термометрів, виготовляється багато різних типів і різновидів скляних рідинних (особливо ртутних) термометрів, що відрізняються конструкцією, розмірами, межами виміру й інших технічних характеристик.
Лабораторні термометри загального застосування призначені для вимірів температур у різних лабораторних і виробничих умовах. Дані термометри виготовляються за ГОСТ 215-57 „Термометри лабораторні” і ГОСТ 13646-68 „Термометри скляні ртутні для точних вимірів”.
Технічні термометри загального застосування призначені для вимірювання температур у різних галузях виробництва. Дані термометри виготовляють згідно ГОСТ 2823-59 „Термометри технічні ртутні”. Технічні термометри спеціального застосування призначені для роботи в якій-небудь одній області виміру температур. У цю групу входять термометри: застосовувані при виробництві цукру; акумуляторні; термометри для дезинфекційних камер; електроконтактні з постійною і змінною точками контактування, виготовлені за ГОСТ 9871-61, і деякі інші.
Максимальні ртутні термометри (технічні, метеорологічні, медичні) призначені для виміру найвищої температури за визначений період часу.
Мінімальні термометри (метеорологічні), виготовлені по спеціальному стандарті, призначені для виміру найменшої температури повітря за визначений період часу (наприклад, за добу).
Принцип дії скляних рідинних термометрів заснований на залежності між температурою й об`ємом термометричної рідини, вміщеної в термометрі.
Основними елементами конструкції термометра є: скляний резервуар із припаяним до нього скляним капіляром; термометрична рідина, що заповнює резервуар і частину капіляра; шкала, градуйована в градусах температури, розташована уздовж капіляра.
При підвищенні температури термометра об`єм рідини збільшується, що помітно по зміні довжини стовпчика рідини в капілярі. При цьому забезпечується однозначна залежність між вимірюваною температурою і висотою стовпчика рідини. Таким чином, довжина стовпчика рідини служить мірою вимірюваної температури, а верхній кінець стовпчика - меніск є покажчиком температури.
Зміна об`єму в залежності від температури для будь-якої рідини або твердого тіла характеризується коефіцієнтом об'ємного теплового розширення β. Середнє значення β у температурному інтервалі 0 - t обчислюють по формулі
(1)
де Vt і Vo – об`єми, що відповідають температурам t і 0°С.
У скляному рідинному термометрі при зміні температури змінюється об`єм не тільки термометричної рідини, але й об`єм скляного резервуара. Тому в термометрі спостерігається лише видима зміна об`єму рідини, що дорівнює різниці змін об`ємів рідини і резервуара (і частково капіляра) термометра. У зв'язку з цим при розрахунку конструкції термометра використовують так званий видимий коефіцієнт розширення термометричної рідини в склі β, рівний різниці коефіцієнтів розширення рідини β>р> і скла β>ск>:

Наприклад, для ртуті β>р> =0,00018 l/град, а для скла β>ск> = 0,00002 1/град, отже, видимий коефіцієнт розширення ртуті в склі дорівнює 0,00018 - 0,00002 = 0,00016 1/град.
Для визначення залежності між основними параметрами термометра і розмірами елементів його конструкції введемо наступні позначення:
Vo – об`єм термометричної рідини при 0°С;
tн і t - нижня і верхня межі виміру термометра (початок і кінець шкали);
L - довжина шкали (капіляра) між відмітками t>п> і t>к>;
S - поперечний переріз каналу капіляра (при круглому каналі S = πd2/4, де d - діаметр каналу);
l - довжина градусного інтервалу шкали термометра,
(2)
Збільшення об`єму термометричної рідини при нагріванні термометра від t до t, що витісняється у вимірювальний капіляр, повинен дорівнювати об`єму каналу капіляра між поділками t>п> і t>к>,
(3)
Із формул (2) і (3) витікає
(4)
Таким чином, довжина градусного інтервалу шкали термометра прямо пропорційна об`єму термометричної рідини (приблизно об`єму резервуара), видимому коефіцієнтові розширення рідини β і обернено пропорційна поперечному перерізу каналу капіляра S) Чим більша довжина градусного інтервалу, тим на більше число поділок може бути розділений градус і тим менша ціна розподілу і відповідно вища чутливість термометра і його точність. Як випливає з формули (2), при фіксованій довжині шкали L збільшення довжини градусного інтервалу може бути досягнуто лише при відповідному зменшенні діапазону шкали t>к >– t>п> термометра. Найбільш точні і високочутливі скляні ртутні термометри виготовляються з ціною розподілу 0,01-0,02 град і діапазоном шкали від 4-5 до 8-10оС. Для цих термометрів характерний великий об`єм резервуара і малий діаметр каналу капіляра. Однак мінімальна величина перетину каналу і максимальний обсяг резервуара обмежені певними межами.
Зі зменшенням перетину каналу капіляра зростає відносна величина сили тертя ртуті об його стінки, що діє на ртутний стовпчик при його русі по капіляру. Унаслідок цього у вузьких капілярах стовпчик ртуті рухається нерівномірно, стрибкоподібно, а при зниженні вимірюваної температури може розірватися. Тому при виготовленні ртутних термометрів використовують капіляри з діаметром каналу не менш 0,1 мм. При перевірці й експлуатації термометрів з вузьким каналом капіляра варто уникати вимірів при досить низьких температурах.
Щоб поліпшити видимість стовпчика термометричної рідини і полегшити відлік показників, у термометрах з малим поперечним перерізом каналу капіляра (наприклад, медичних) застосовують капіляри з овальним перерізом каналу або призматичні капіляри, що збільшують видиму ширину ртутного стовпчика.
Резервуари термометрів у більшості випадків виготовляють циліндричної або кулястої форми. При однаковому об`ємі резервуар циліндричної форми має велику поверхню, що знижує теплову інерційність термометра. Резервуари термометрів звичайно не виготовляють більше 2,5 см3. Лише у великогабаритних термометрів, які призначені для вимірювання температуру зовнішнього повітря, резервуари значно перевищують зазначену величину. Термометри ж, що мають широкий діапазон шкали, наприклад 0-600° С, характеризуються малим значенням l і великою ціною поділок шкали.
Скляні рідинні термометри по своїй конструкції поділяються на три види: термометри з вкладеною шкалою; паличкові і термометри з зовнішньою шкалою.
У термометрах із вкладеною шкалою прямокутна шкальна пластина і капіляр вкладені в скляну циліндричну (або овального перетину) оболонку, припаяну до резервуара. Шкальні пластини виготовляються переважно зі скла молочного кольору або алюмінію (у медичних термометрів). Кріплення шкальної пластини до оболонки і капіляра повинне забезпечити незмінне положення шкали та капіляра і його безпосереднє прилягання до шкальної пластини. Термометри з вкладеною шкалою найбільш поширені, тому що більш зручні для застосування.
У паличкових термометрах застосовують масивні товстостінні капілярні трубки і резервуар. Шкалу термометра наносять безпосередньо на зовнішній стінці капіляра травленням або іншим способом. Паличкові термометри в більшості випадків виготовляються з капілярів з білою емалевою смужкою, що служить фоном при відліку показників термометра, поліпшуючи видимість шкали і стовпчика термометричної рідини.
У термометрах із зовнішньою (прикладною) шкалою всі основні елементи термометра - шкальна пластина і капіляр з резервуаром, заповненим термометричною рідиною, жорстко закріплені на пластмасовій, дерев'яній або металевій основі. В окремих різновидах термометрів шкалу наносять безпосередньо на металеву основу, як, наприклад, у термометрів, що вимірюють температуру зовнішнього повітря. Один з найбільш розповсюджених термометрів із зовнішньою шкалою - кімнатний термометр.
На скляні рідинні термометри існує два загальних державних стандарти: ГОСТ 2045-43 „Термометри скляні ртутні” і ГОСТ 9177-59 „Термометри скляні рідинні (не ртутні)”, до яких установлені технічні вимоги: до матеріалів для виготовлення термометрів; до якості виготовлення окремих елементів термометра і всього термометра в цілому; до способу нанесення поділок і числових позначень шкали термометра і його маркірування: до величин відхилень показників у залежності від ціни поділки і температурного інтервалу.
Крім того, на скляні рідинні термометри встановлені спеціальні стандарти, що регламентують конструкцію і розміри, межі виміру, ціну поділок й інші технічні характеристики термометрів.
Відповідно до вимог ГОСТ 2045-43 ртутні термометри з верхньою межею виміру не вище 200° С можуть бути вакуумними або газонаповненими, а з верхньою межею виміру вище 200° С - тільки газонаповненими. У газонаповнених ртутних термометрів простір над ртутним стовпчиком у капілярі заповнюється інертним газом, наприклад азотом. При цьому тиск газу повинен бути тим більше, чим вища верхня межа виміру, це викликано необхідністю виключити паротворення ртуті в резервуарі при високих температурах. Наприклад, у ртутних термометрів з верхньою межею виміру 700°С тиск газу над ртутним стовпчиком повинен бути не менш 70 кгс/см2.
Високоградусні термометри виготовляються звичайно в двох конструктивних варіантах: з розширенням і без розширення у верхній частині капіляра. Термометри, що мають розширення, при виготовленні заповнюють інертним газом під високим тиском, на відміну від термометрів, що не має розширення, які заповнюють інертним газом під нормальним атмосферним тиском при температурі термометра 20°С. У таких термометрів унаслідок стиску газу ртутним стовпчиком, який піднімається, при підвищенні температури тиск над ртутним стовпчиком збільшується до необхідної величини.
За методом градуювання і застосування скляні рідинні термометри поділяються на дві груп: термометри, градуйовані при повному зануренні, і термометри, градуйовані при неповному (робочому) зануренні. До перших термометрів відносяться ті, у яких у вимірюване середовище занурюється резервуар і частина капіляра, заповнена термометричною рідиною. Таким чином, у міру підвищення температури глибина занурення термометра повинна збільшуватися. У цих термометрах уся термометрична рідина в резервуарі і капілярі має температуру вимірюваного середовища. До термометрів, градуйованих при неповному зануренні, відносяться ті, які і при градуюванні, і при вимірюванні повинні мати фіксовану глибину занурення, зазначену на шкалі термометра. Таким чином, у цих термометрах завжди частина капіляра, заповнена термометричною рідиною і не занурена у вимірюване середовище, отже, має температуру, відмінну від вимірюваної і близьку до температури навколишнього повітря.
Усі розглянуті термометри за призначенням й областю застосування можуть бути розділені на наступні групи: лабораторні загального і спеціального призначення; технічні загального і спеціального призначення; термометри для сільського господарства (зернові, буртові, кагатні, інкубаторні, ветеринарні й ін.); метеорологічні, що вимірюють: а) температуру повітря, б) максимальну і мінімальну температуру протягом доби, в) температуру ґрунту, г) відносну вологість повітря, а також термометри, застосовувані при інших метеорологічних спостереженнях; побутові (кімнатні, ванні, термометри, що вимірюють температуру зовнішнього повітря, психометричні, медичні максимальні, виготовлені за ГОСТ 302-68).
1.2 Класифікація рідинних термометрів розширення
1.2.1 Лабораторні термометри
Існує чотири види лабораторних термометрів загального застосування, передбачені ГОСТ 215-57. Кожний має кілька модифікацій у залежності від меж виміру і відрізняється за розмірами, ціною поділки і діапазону шкали, точності виміру.
Найбільш важливими для метрологічної практики є лабораторні термометри з ціною поділу 0,1° С і температурним інтepвaлoм шкали 50° С, виготовлені у восьми варіантах в межах виміру для температур від -30 до +350° С і використовувані, зокрема, як зразкові термометри 2-го і 3-го розрядів.
Точні лабораторні скляні ртутні термометри виготовляються з великою довжиною градусного інтервалу і малою ціною поділу: 0,01; 0,02; 0,05 і 0,1° С. Природно, що при цьому звужується діапазон шкали термометра і збільшується число термометрів, необхідне для вимірів у широкому температурному інтервалі. Найбільш точними лабораторними термометрами є ртутні рівноподілкові паличкові термометри, розроблені В.П. Простяковим і, що випускаються в даний час приладобудівними заводами.
По новому ГОСТ 13646-68 рівноподілкові термометри повинні виготовлятися в чотирьох варіантах, що відрізняються один від одного ціною поділки температурним інтервалом шкал і іншими технічними характеристиками, наведеними в табл. 1.
Таблиця 1 – Деякі технічні характеристики термометрів
|
Варіант |
Температурна область застосування,° С |
Кількість термометрів в комплекті |
Температурний інтервал шкали, ° С |
Ціна поділу шкали, °С |
Допустима похибка вимірювань, ° С |
|
І |
0-60 |
15 |
4 |
0,01 |
±0,05 |
|
І |
55-155 |
10 |
10 |
0,02 |
±0,1 |
|
ІІІ |
140-300 |
8 |
20 |
0,05 |
±0,3 |
|
ІV |
300-500 |
4 |
50 |
0,1 |
±1,2 |
Примітка: зазначені значення допустимих похибок дійсні при вертикальному положенні термометра і нормальному тиску.
Відмінною рисою методики виміру температури лабораторними і зразковими термометрами є введення поправок у їх показання для виключення систематичних похибок.
Градуювальні систематичні похибки визначають заздалегідь при перевірці термометра, складаючи таблиці поправок до показників термометра. Систематичні зміни показників термометра внаслідок його старіння повинні періодично контролюватися за положенням нульової точки, тобто за показниками термометра, зануреного в лід, який тане. Тому на шкалі лабораторного термометра повинна бути нульова поділка. Якщо нижня межа виміру термометра вище 0°С, то нульову точку наносять на додаткову шкалу, що має кілька відміток нижче і вище нульової. (Положення нульової точки, визначене в результаті перевірки, зазначено у паспорті на термометр.) На капілярі, розміщеному між додатковою й основною шкалою, роблять розширення. Об`єм цього розширення дорівнює збільшенню об`єму ртуті при нагріванні термометра від 0°С до температури, що відповідає нижній межі основної шкали. Термометри такої конструкції називаються термометрами з укороченою шкалою.
Лабораторні термометри спеціального застосування призначені для роботи в лабораторних і виробничих умовах при вимірюванні температур в одній області. До цієї групи відносяться термометри калориметричні, метастатичні, що вимірюють температуру при дослідженнях нафтопродуктів, і деякі інші.
У багатьох дослідах часто виникає необхідність точного (до тисячних часток градуса) виміру невеликих різниць температур або незначних змін температури. Це необхідно, наприклад, при калориметричних вимірах теплотворної здатності палива або теплоємності тіла, а також при визначеннях зниження точки замерзання розчинів і підвищення точки кипіння рідин. Для таких вимірів використовують високочутливі термометри з ціною поділу шкали 0,02-0,01°С і менше - калориметричні і метастатичні.
Калориметричні термометри застосовують в основному при вимірі кількості теплоти і теплоємності тіл. Для цих термометрів характерний невеликий градусний інтервал шкали, переважно 15-25°С, градуйованої при неповному зануренні.
Метастатичні термометри призначені тільки для виміру малих різниць температур від 0,001 до 5°С (але не для виміру абсолютного значення температури). Вони мають умовну шкалу, що градуйована від 0 до 5 або 6°С. Ціна найменшої поділки 0,01°С.
Метастатичні термометри - це термометри змінного наповнення, тому що особливістю їх конструкції є наявність додаткового, запасного, резервуара у верхній частині капіляра. Переливаючи частину ртуті з основного резервуара в запасний або назад, можна змінювати межі виміру термометра в досить широкому температурному інтервалі від -20 або від 0 до +150° С. Такі межі має додаткова шкала, розташована уздовж запасного резервуара. Ця шкала служить для орієнтованого визначення кількості ртуті, яка повинна бути перелите в запасний резервуар, щоб одержати необхідні межі виміру термометра. Наприклад, якщо необхідно замість межі виміру 10-15° С налагодити термометр на межу 35-40° С, то термометр перевертають резервуаром вгору, злегка струшують, щоб ртуть почала перетікати з основного резервуара в запасний. Коли меніск ртуті в запасному резервуарі дійде до оцінки 35° С, термометр повертають у нормальне положення і легким поштовхом відриваються ртутний стовпчик від ртуті, що знаходиться в запасному резервуарі. Нижня межа виміру при цьому буде ~35°С, а верхня 40° С. Для більш точного вимірювання і визначення меж виміру показників метастатичного термометра порівнюють з показниками термометра-зразка.
При переході до вимірів більш низьких температур роблять зворотну операцію: частину ртуті з запасного резервуара переливають в основний. При зміні кількості ртуті в основному резервуарі змінюється і значення градусного поділу шкали термометра, а саме: при зменшенні кількості ртуті в основному резервуарі значення градусного поділу збільшується і навпаки. Наприклад, якщо при межах виміру термометра від 0 до 5° С середнє значення градусного поділу шкали дорівнює 1,000° С, то при межах виміру від 145 до 150°С це значення буде ~ 1,050°С, тобто збільшиться на ~5%. Зміна порівняно невелика, але при точних вимірах повинна бути врахована, тому при перевірці метастатичних термометрів визначають середнє значення градусного поділу для різних температур і результати приводять у свідоцтві у вигляді таблиці.
Джерелами похибок показників метастатичних термометрів є також нерівномірність перетину каналу капіляра і похибки в нанесенні поділок шкали. Для виключення зазначених неточностей у показниках термометрів вносять виправлення на калібр, установлені при перевірці і занесені у свідоцтво. Таким чином, для одержання правильного значення вимірюваної різниці температур спочатку вносять виправлення на калібр на перший і другий показники термометра, потім знаходять різницю виправлених показань, що множать на значення градусного поділу термометра (для даного діапазону температур).
1.2.2 Технічні термометри
Технічні термометри загального застосування (рис. 1) є найбільш розповсюдженими термометрами загально-промислового призначення. У залежності від меж виміру їх виготовляють у 11 модифікаціях для температурного діапазону 0-500° С. За формою нижньої частини технічні термометри поділяються на прямим і кутові - з кутом 90 і 135 град. У залежності від довжини нижньої частини в межах 80-2000 мм технічні термометри мають 16 різновидів, у залежності від довжини верхньої частини - три.
Технічні термометри градуюють при зануренні всієї, нижньої частини, тому в експлуатаційних умовах показники їх будуть правильними тільки в тому випадку, якщо резервуар і вся нижня частина термометра мають температуру вимірюваного середовища, а верхня частина - таку ж, як і при градуюванні термометра.
Якщо технічні термометри служать як стаціонарні для контролю температури в різних технологічних процесах, то їх встановлюють у спеціальні металеві оправи. Похибки показників, які допускається, для технічних термометрів дорівнює ціні поділки.

Рис. 1 - Технічний термометр (прямий)
Більш докладно варто зупинитися на характеристиці електроконтактних термометрів.
Скляні ртутні електроконтактні термометри застосовуються в схемах сигналізації або регулювання температури як первинні прибори-контактори, які замикають і розмикають електричні ланцюги при певних температурах.
По конструкції електроконтактні термометри поділяються на два типи:
1) ТЗК, що замикають і розмикають електричні ланцюги при одній, двох або трьох заданих і визначених для кожного даного термометра температурах;
2) ТПК із магнітним регулюванням контакту, що замикають і розмикають електричні ланцюги при будь-якій температурі в межах шкали термометра.
Термометри ТЗК мають у нижній частині капіляра й у точках, що відповідають заданим температурам контактування (одне, два або три), упаяні металеві дротики, до зовнішніх кінців яких припаяні вивідні проводи, які йдуть до затискачів голівки термометра. При підвищенні температури термометра до заданої меніск ртутного стовпчика доходить до відповідного контакту і замикає електричний ланцюг.
Схема пристрою термометра ТПК із змінною точкою контактування і магнітним регулюванням контакту показана на рис. 5. Один контактний дріт упаюють у нижню частину капіляра, а інший - у верхню і через контактну спіраль електрично з'єднують з тонким пружним вольфрамовим дротом 5, прикріпленим до гайки 3. На верхньому кінці гвинта 4 знаходиться маленький магніт 2, який можна разом із гвинтом повертати за допомогою магніту 1, насадженого зовні на голівку термометра. При обертанні магніту 1 і гвинта 4 по годинній стрілці гайка піднімається, а при зворотному обертанні опускається. Одночасно піднімається або опускається дріт 5 (доти поки нижній кінець його не буде встановлений на необхідну температуру контактування). Верхня шкала термометра ТПК є допоміжною і служить для установки необхідної температури контактування при контакті нижнього обрізу гайки 3 з відповідною поділкою допоміжної шкали. Як видно з поперечного розрізу капіляра і гайки, форма їх перетину овальна, і тому гайка 3 не може повертатися при обертанні гвинта 4.
Щоб запобігти забрудненню й окислюванню контакти і меніск ртутного стовпчика електроконтактних термометрів, простір над ртутними стовпчиками заповнюють воднем і обмежують потужність, яка включається за допомогою контакту (струм не більш 0,5 мА, напруга до 0,3 В).
1.2.3 Максимальні і мінімальні термометри
Максимальні ртутні термометри характеризуються тим, що показники їх при підвищенні температури збільшуються, а при зниженні температури не зменшуються. Якщо за деякий проміжок часу максимальний термометр був під впливом температури, яка змінюється, то його показання будуть відповідати максимальній температурі за зазначений період. Це досягається завдяки пристрою різкого звуження каналу капіляра, що перешкоджає спаданню ртутного стовпчика. Звуження капіляра конструктивно виконують у двох варіантах: сплющенням капіляра в розм'якшеному стані, коли на місці сплющення залишається лише вузький щілиноподібний прохід для ртуті (рис. 2, а), і установкою тонкого круглого скляного стерженька - штифта, один кінець якого припаяний до дна резервуара, а інший входить у капіляр овального перетину і перекриває велику частину каналу (мал. 6,б). У місці звуження капіляра ртутний стовпчик виявляється відірваним від маси ртуті, розміщеної в резервуарі, і утримується силою поверхневого натягу в меніску ртуті. Лише при струшуванні термометра ртутний стовпчик набуває прискорення, у десятки разів перевищуюче прискорення сили ваги, що приводить до такого ж зростання сили тиску ртутного стовпчика на меніск, і ртуть проштовхується в резервуар. Така ж перешкода звужений капіляр виникає і при русі ртуті з резервуара в капіляр при підвищенні температури термометра. Тому на відміну від звичайних термометрів, для яких, як правило, характерно плавне безперервне підвищення меніска ртутного стовпчика при нагріванні термометра, у максимальних термометрах ртуть через звуження капіляра продавлюється краплями. Це обумовлює стрибкоподібне підвищення показників термометра і служить причиною варіації показників, що погіршує відтворюваність показників максимальних термометрів. Наприклад, у медичних термометрів спостерігається варіація показників, яка дорівнює в середньому 0,03° С.

Рис. 2 - Пристрої, що утримують ртутний стовпчик у максимальному медичному термометрі: а - щілиноподібний; б - штифтовий
Характерною рисою конструкції мінімального спиртового термометра є спеціальний скляний штифт, що знаходиться в стовпчику рідини капіляра. Штифт служить показником мінімальної температури і може вільно переміщуватися по капіляру.
Для підготовки до вимірів термометр перевертають резервуаром вгору, при цьому штифт унаслідок більшої щільності скла в порівнянні з щільністю спирту переміщується від початку шкали до меніска стовпчика рідини. Поверхневий натяг рідини в меніску утримує штифт від виходу зі стовпчика рідини. Потім термометр приводять у горизонтальне положення і поміщують у метеорологічну будку. При зниженні температури меніск стовпчика рідини рухається до початку шкали і штовхає штифт у тому ж напрямку. Таким чином, при зниженні температури положення верхнього кінця штифта збігається з положенням меніска. Якщо температура буде підвищуватися, то штифт залишиться на місці і за положенням його верхнього кінця можна визначити мінімальну температуру за відомий проміжок часу.
1.2.4 Термометричні рідини
У якості основних термометричних рідин для заповнення скляних рідинних термометрів застосовують ртуть, гас, толуол, етиловий спирт, петролейний ефір і пентан. Температурні межі застосування цих рідин і їхні середні коефіцієнти об'ємного теплового розширення наведені в табл. 2.
З термометричних рідин найкращими властивостями володіє ртуть: вона не змочує скла, що дає можливість застосовувати капіляри з досить малим діаметром каналу (до 0,1 мм), що забезпечують виготовлення високочутливих і точних термометрів з ціною поділу 0,01-0,02° С. Ртуть залишається рідкою в широкому температурному інтервалі від -38,87 до +356,58° С (при нормальному атмосферному тиску). При підвищеному тиску, створюваному над ртутним стовпчиком, у високоградусних термометрів верхня межа застосування підвищується до 600° С, а в термометрів, виготовлених із плавленого кварцу, верхня межа може бути підвищений до 750 і навіть до 1200° С. Ртуть є хімічним елементом і порівняно легко очищається, що забезпечує прекрасну відтворюваність властивостей термометричної рідини.
Завдяки цим досить важливим якостям ртуті ртутні термометри одержали найбільше поширення.
Таблиця 2
|
Термометрична рідина |
Температурна межа застосування, °С |
Середній коефіцієнт об'ємного теплового розширення |
||
|
нижній |
верхній |
справжній |
видимий: скло по ГОСТ 1224 - 41 |
|
|
Ртуть |
- 35 |
+ 750 ( + 1200) |
0,00018 |
0,00016 |
|
Гас |
- 20 |
+ 300 |
0,00095 |
0,00093 |
|
Толуол |
- 80 |
+100 |
0,00107 |
0,00107 |
|
Етиловий спирт |
-80 |
+70 |
0,00105 |
0,00103 |
|
Петролейний ефір |
-120 |
+ 25 |
0,00152 |
0,00150 |
|
Пентан |
-200 |
+ 20 |
0,00092 |
0.00090 |
|
Ртутно - талієва амальгама (Hg 91,5%, Тl 8,5%) |
- 59 |
+20 |
0,00018 |
0,00016 |
Як видно з табл. 2, ртуть істотно відрізняється від інших термометричних рідин по величині коефіцієнта об'ємного розширення, що у ртуті в шість-вісім раз менше, ніж в інших рідин. Це властивість ртуті має свої позитивні і негативні сторони.
Всі інші термометричні рідини є органічними рідинами складного складу. Вони безбарвні і прозорі, за винятком гасу, що має слабкий жовтий колір. Щоб полегшити відлік показань термометра, ці рідини в більшості випадків забарвлюють різними барвниками в сині, червоний або коричневий кольори. У деяких випадках застосовують спосіб так званого видимого забарвлення - колюкс, коли на шкалу під капіляром наносять чорну лінію. Оптичне збільшення ширини цієї лінії стовпчиком рідини в капілярі створює ефект забарвленої в чорний колір рідини.
Найбільш істотний недолік органічних рідин у порівнянні з ртуттю у тім, що всі ці термометричні рідини змочують скло. Це викликає необхідність застосування капілярів з великим діаметром каналу, а також є джерелом додаткових похибок.
Однак у порівнянні з ртуттю органічні рідини володіють і рядом переваг. Вони мають більш низькі нижні температурні межі застосування, дешеві і менш шкідливі у виробництві.
1.2.5 Термометричні стекла
У той час як залежність між температурою й об`ємом ртуті в термометрі є однозначною і, отже, кожному значенню температури відповідає строго визначений об`єм ртуті, при тепловому розширенні скляного резервуара виявляються ефекти термічних післядій у склі: старіння і депресія, що порушують однозначну залежність об`єму резервуара від температури. Термічні післядії в склі є основною причиною нестабільності показань скляних ртутних термометрів.
Старіння термометра виявляється як тривалий процес зменшення об`єму резервуара. При виготовленні термометра після обробки резервуара на склодувному пальнику відбувається швидке охолодження скла, і в стінці резервуара з'являються напруження, яке поряд зі структурними змінами в склі є причиною наступного зменшення об`єму резервуара. Об`єм резервуара зменшується поступово за загасаючою кривою і на протязі багатьох років. Унаслідок старіння показники термометра при будь-якій фіксованій температурі (у межах його шкали) збільшуються.
Депресія термометра виявляється в тимчасовому залишковому розширенні резервуара і зменшенні показників, які виявляються після кожного нагрівання термометра і наступного швидкого його охолодження.
За зміною показань термометра внаслідок старіння або депресії легше за все спостерігати за показниками термометра, який занурений в лід, що тане. У процесі старіння положення нульової точки термометра систематично підвищується. Точно така ж зміна показань буде і у всіх інших точках шкали термометра, що полегшує введення виправлень для уникнення даної похибки.
У результаті депресії положення нульової точки термометра тимчасово знижується, але через порівняно невеликий проміжок часу (від двох до п'яти днів) воно стає початковим.
Величини зміни показань термометрів унаслідок старіння і депресії залежать від наступних факторів: сорту скла; технології виготовлення термометра; температурного режиму його роботи і, зокрема, верхньої температурної межі застосування; термометричної рідини.
У початковий період розвитку термометрії, коли скляні ртутні термометри виготовлялися з будь-якого наявного скла, зміни їх показань за рахунок термічних післядій у склі було досить значні. Наприклад, у термометрів, що довгостроково застосовувалися для вимірів температур вище 300° С, положення нульової точки змінювалося на десятки градусів. З часом були розроблені спеціальні сорти термометричних стекол, у яких термічні післядії були значно менші, ніж в інших сортів. В даний час усі скляні рідинні термометри виготовляються тільки з термометричних стекол. Широко відомі німецькі термометричні стекла: ієнське 16'", ієнське 59'". Перше застосовують для виготовлення термометрів з верхньою межею виміру не вище 360°С, друге - для виготовлення високоградусних термометрів з верхньою межею виміру до ~500о С.
У даний час для виготовлення термометрів з верхньою межею виміру не вище 360°С застосовують термометричне скло, хімічний склад якого й інші технічні характеристики встановлені ГОСТ 1224-41. Термометри з верхньою межею виміру вище 360°С виготовляють зі спеціального термометричного боросилікатного скла, аналогічного ієнському 59"'. За останній період розроблені нові сорти термометричних стекол 600 і 700, що значно перевершують боросилікатне стекло 59"', тому що мають досить малий ефект термічної післядії.
Істотно зменшують зміну показань термометрів унаслідок їх старіння також спеціальними технологічними операціями, а саме: обпалюванням і штучним старінням при виготовленні термометрів. Обпалювання проводиться шляхом витримки заготівель термометрів (ампул), не заповнених термометричною рідиною, при температурі, яка близька до температури розм'якшення скла, і наступного повільного охолодження ампул. Штучне старіння, якому піддають високоградусні термометри, полягає у витримці термометрів (заповнених ртуттю) протягом - 10 годин при температурі, що відповідає верхній межі виміру термометрів, після чого термометри повільно прохолоджують до кімнатної температури.
Зміна показань ртутних термометрів унаслідок термічних післядій у склі, спостерігається фактично і допускаються стандартами і технічними умовами, характеризується визначеними значеннями. Для термометрів зі скла, виготовленого за ГОСТ 1224-41, після нагрівання до 100° С встановлене припустиме значення депресії 0,1° С, фактично ж депресія не перевищує 0,05° С. Для термометрів з боросилікатного скла за тих самих умов депресія не повинна перевищувати ~0,03° С, а .зі скла 600-0,002° С. У термометрів зі скла, виготовленого за ДСТ 1224-41, і боросилікатного вже через добу депресія зменшується до 0,01°С і цілком зникає через п'ять-сімох діб.
На відміну від штучного природне старіння виявляється в стиску резервуара і зміні показань термометра з часом , коли термометр знаходиться при кімнатній температурі і не нагрівається. Зміна показань термометрів зі скла, виготовленого за ГОСТ 1224-41, унаслідок природного старіння за перший місяць дорівнює ~ 0,01°С, за рік - 0,03°С, за перші три роки ~ 0,06°С. Якщо ж термометр добре „постарів” при виготовленні, то зміни показань будуть значно менші. Так, у термометра (зі скла, виготовленого за ГОСТ 1224-41), який не пройшов процес штучного старіння, після десятигодинної витримки при 360°С показання змінилися на 5,7°С, а в іншому, який пройшов даний процес старіння за тих самих умов зміна показань не перевищувало 0,1°С. Стандартом і інструкцією для перевірки встановлені наступні допустимі величини зміни показань термометрів у результаті контрольного п`ятигодинного штучного старіння:
|
термометр |
температура, при якій проводять старіння, оС |
Допустима величина зміщення нульової точки, оС |
|
зі скла, виготовленого по ГОСТ 1224-41 |
200 300 360 |
0,3 0,5 0,7 |
|
з боросилікатного скла |
450 500 |
1,0 2,0 |
Скло 600 і 700 характеризуються більш високою стабільністю: витримка термометрів з цих стекол при температурі 300°С практично не дає зсуву нульової точки.
Як видно з наведених даних, чим вище температура, при якій ртутний термометр застосовують для вимірів, тим більше будуть його похибки від термічних післядій у склі. У температурному інтервалі від -30 до +100° С може бути забезпечена найбільш висока точність виміру температури ртутними термометрами. При більш високих температурах унаслідок зростаючих з температурою впливу термічних післядій у склі точність ртутних термометрів істотно знижується, що відбивається на величинах допустимих похибок показань, установлюваних стандартами. Депресія зростає з підвищенням температури, до якої нагрівають термометр, і швидкості його охолодження.
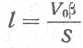
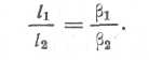
Для того щоб визначити, як відбивають термічні процеси в склі на показниках рідинних нертутних термометрів, розглянемо два термометри - ртутні і спиртовий, що мають однакові об`єми резервуара V і поперечний розріз капіляра S. Очевидно, що при цих умовах довжина градусного інтервалу l>1> спиртового термометра буде в стільки разів більше довжини градусного інтервалу ртутного l>2>, у скількох видимих коефіцієнтів розширення β>1> спирту більше видимого коефіцієнта розширення β>2> ртуті,
(4)
Якщо в результаті старіння об`єм резервуара кожного з термометрів (при 0°С) зменшився на ∆V, те такий же об`єм ∆V термометричної рідини буде витиснутий у капіляр, і стовпчик рідини в капілярі підвищиться на ∆l (де l = ∆V/S).
Підвищення положення нульової точки в градусах у спиртового термометра буде дорівнює
(5)
а у ртутного
(6)
Розділивши формулу (5) на (6) з урахуванням виразу (4), одержимо
(7)
тобто зміна показань термометрів внаслідок ефекту термічної дії в склі обернено пропорційно величинам видимих коефіцієнтів розширення термометричних рідин.
Видимий коефіцієнт об'ємного теплового розширення органічних рідин у шість-вісім раз більший, ніж у ртуті, тому вплив термічних дій скла на показання рідинних нертутних термометрів буде в шість-вісім раз менші, ніж у ртутних термометрів. Тому що рідинні нертутні термометри виготовляють в основному з ціною поділу не менш 0,5° С і з верхньою межею виміру, що не перевищує 100° С, та максимальна зміна їх показань унаслідок депресії буде менш 0,01° С, тобто значно менше точності відліку показань. Таким чином, можна зробити висновок, що вплив термічних дій у склі на показання нертутних термометрів може не враховуватися.
1.3 Монтаж
Монтування обладнання, яке вимагає обов`язкового використання рідинних термометрів виконується спеціально підготовленим кадровим персоналом. Монтажники обладнання повинні пройти необхідну підготовку або стажування перед допуском до роботи, оскільки термометри містять досить токсичні матеріали, які можуть викликати порушення здоров`я працюючих. Основними вимогами до монтажу та безпеки, що ставляться до конструкцій машин та механізмів, є безпека для здоров'я та життя людей, надійність та зручність експлуатації.
Безпека виробничого обладнання забезпечується:
вибором безпечних принципів дії, конструктивних схем, елементів конструкції;
використанням засобів механізації, автоматизації та дистанційного керування;
застосуванням в конструкції засобів захисту;
дотриманням ергономічних вимог;
включенням вимог безпеки в технічну документацію з монтажу, експлуатації, ремонту та транспортування і зберігання обладнання;
застосуванням в конструкції відповідних матеріалів.
Дотримання цих вимог в повному обсязі можливе лише на стадії проектування. Тому у всіх видах проектної документації передбачаються вимоги безпеки. Вони містяться в спеціальному розділі технічного завдання, технічних умов та стандартів на обладнання, що випускається.
Дистанційне керування дозволяє здійснювати контроль та регулювання його роботи з ділянок, досить віддалених від небезпечної зони. Завдяки цьому забезпечується безпека праці. Дотримання ергономічних вимог сприяє забезпеченню зручності експлуатації,, зниженню втомлюваності та травматизму. Основними ергономічними вимогами до виробничого обладнання є врахування фізичних можливостей людини та її антропометричних характеристик, забезпечення максимальної зручності при роботі з органами керування. Вимоги безпеки містяться в технічній документації з монтажу, експлуатації, ремонту, транспортування та зберігання виробничого обладнання.
Загальні вимоги до виробничих процесів регламентуються ГОСТ 12.3.002-75. Вони передбачають:
усунення безпосереднього контакту працівників з вихідними матеріалами, заготовками, напівфабрикатами, готовою продукцією та відходами виробництва, котрі справляють небезпечну дію;
заміну технологічних процесів та операцій, пов'язаних з виникненням небезпечних та шкідливих виробничих факторів.
процесами та операціями, при виконанні котрих ці фактори відсутні або мають меншу інтенсивність;
комплексну механізацію та автоматизацію виробництва;
застосування дистанційного керування технологічними процесами та операціями за наявності небезпечний і шкідливих виробничих факторів;
герметизацію обладнання;
застосування засобів колективного захисту працівників;
раціональну організацію праці та відпочинку з метою профілактики монотонності та гіподинамії, а також зниження важкості праці;
своєчасне отримання інформації про виникнення небезпечних та шкідливих виробничих факторів на окремих технологічних операціях;
запровадження систем керування технологічними процесами, котрі забезпечують захист працівників та аварійне вимкнення виробничого обладнання;
своєчасне видалення та знешкодження відходів виробництва, котрі є джерелами небезпечних і шкідливих виробничих факторів;
забезпечення пожежо-та вибухобезпеки.
Значною мірою швидкість монтування виробничих приладів оснащених рідинними термометрами залежить від організації та раціональності планування цехів, дільниць, від рівня облаштованості робочих місць, виконання вимог безпеки до виробничих приміщень, зберігання, транспортуванні, складання вихідних матеріалів, заготовок та готової продукції, а також від видалення відходів, повної утилізації, від дотримання вимог безпеки, що ставляться до виробничого персоналу.
Розташування виробничого обладнання, вихідних матеріалів, заготовок, напівфабрикатів, готової продукції та відходів виробництва у виробничих приміщеннях та на робочих місцях не повинно бути небезпечним для персоналу. Розташування виробничого обладнання та комунікацій, відстань між одиницями обладнання з термометрами, повинні відповідати діючим нормам технологічного проектування, будівельним нормам і правилам.
Конструкція, розміри та взаємне розташування елементів апаратів повинні відповідати антропометричним, фізіологічним та психофізіологічним характеристикам людини, а також характеру роботи.
Засоби відображення інформації повинні бути розташовані в зонах інформаційного поля робочого місця з врахуванням частоти та значущості інформації, типу засобів відображення інформації, точності і швидкості спостереження та зчитування.
1.4 Технічне обслуговування
Технічне обслуговування рідинних скляних термометрів перш за все полягає в перевірці їх правильності показань. Показання скляних рідинних термометрів [5] в основному повіряються методом порівняння з показаннями зразкових термометрів у температурному інтервалі від -200 до +600° С. З постійних точок для перевірки використовують точку танення льоду 0° С і точку кипіння води.
Особливо важливе значення має показання термометра при 0°C, тому що по положенню нульової точки термометра контролюють стабільність його показань і величину зміни показань за рахунок старіння і депресії. Положення нульової крапки визначають два рази: до перевірки показань у всіх інших крапках шкали і після перевірки, відразу ж після відліку показань при температурі, що відповідає верхній межі виміру термометра. У такий спосіб може бути проконтрольована стабільність показань (наприклад, по величині депресії). У тих випадках, коли в термометрів з верхньою межею виміру вище 200 С визначають сталість показань шляхом контрольного старіння протягом 5 год. при максимальній температурі, що відповідає верхній межі шкали, то положення нульової крапки визначають три рази: до контрольного старіння, після старіння і, нарешті, після перевірки показань. У рідинних низькоградусних термометрів положення нульової крапки визначають один раз.
Як зразкові прилади при перевірці в діапазоні від -30 до +300° С застосовують майже винятково зразкові скляні ртутні термометри, у діапазоні від -200 до -30 С - зразкові платинові термометри опору і зразкові мідь-константанові термопари, а при температурах від 300 до 6000 С - або зразкові скляні ртутні термометри, або платинові термометри опору.
Для перевірки показань що перевіряються і зразковий термометри встановлюються в термостат, де за допомогою нагрівальних і регулюючих пристроїв послідовно створюють і підтримують температури, що відповідають крапкам, що перевіряються. При цих температурах відраховують і записують показання термометрів.
Дана методика перевірки передбачає способи попередження й усунення різних погрішностей, що впливають на точність перевірки. Щоб виключити вплив тертя на показання високочутливих лабораторних термометрів (тертя виникає при русі ртуті по капіляру), у термостатах створюють режим повільного підвищення температури під час підрахунків показанні і, крім того до відліку злегка постукують по термометрі.
Щоб уникнути погрішності, що виникає внаслідок неодночасності підрахунків термометрів при температурі термостата, що підвищується, інструкцією установлена визначена послідовність підрахунків. Спочатку відраховують показання зразкового термометра, термометрів, що потім перевіряються, з першого до останнього, після чого повторюють підрахунки в зворотній послідовності, починаючи з останнього що перевіряється і кінчаючи зразковим. При цьому показання відраховують по можливості через рівні проміжки часу Таким чином, виробляється одна серія підрахунків, що складається з двох підрахунків показань кожного термометра, унаслідок чого вищевказана погрішність виключається.
Випадкові погрішності в підрахунках десятих часток розподілу виключають збільшуючи число підрахунків. Так, при перевірці зразкових і точних термометрів з ціною розподілу 0,01; 0,02 і 0,05° С необхідно робити п'ять серій підрахунків, якщо ціна розподілу 0,1 або 0,20С, то - дві або три серії підрахунків, і, нарешті, при перевірці технічних термометрів з ціною розподілу 0,5; 1°С і більше обмежуються однією серією підрахунків. В усіх випадках показання відраховують з точністю до 0,1 ціни поділу шкали. Точність можна збільшити, застосувавши лупу або відліковий мікроскоп.
Необхідно також стежити за правильним положенням ока і візирного пристроїв, щоб уникнути помилок відліку через паралакс, особливо при перевірці кийових термометрів.
Щоб уникнути погрішностей від виступаючого стовпчика термометричної рідини необхідно стежити за правильним зануренням термометрів у термостат. Термометри, градуйовані при неповному зануренні, повинні занурюватися на глибину, зазначену на їхній шкалі. Термометри, градуйовані при повному зануренні, установлюються так, щоб відлічувана оцінка була небагато (на ~ 1 см) вище кришки термостата - це забезпечує правильний відлік показань. Якщо ж такий термометр не може бути занурений до фіксованої поділки, то в показання вносять виправлення на виступаючий стовпчик.
У результаті перевірки технічних термометрів установлюють відповідність технічних характеристик, у тому числі погрішності показань, вимогам стандартів і інструкцій. У результаті перевірки точних лабораторних (у тому числі зразкових) термометрів, крім того, визначають виправлення до їх показань і видають свідчення з таблицею виправлень і з указівкою положення нульової крапки.
1.5 Можливі недоліки роботи
Основними джерелами погрішностей виміру температур скляними рідинними термометрами є: 1) погрішності показань термометрів при нормальних умовах їхньої роботи; 2) погрішності, що є наслідком відхилення умов виміру від нормальних; 3) погрішності, обумовлені дефектами термометра, наприклад, сублімацією термометричної рідини, розривами стовпчика рідини, наявністю пухирців газу в резервуарі, подовжнім зсувом шкали; 4) погрішності виміру, внесені спостерігачем, зокрема , погрішності відліку показань і погрішності визначення виправлень.
Погрішності показань термометрів в основному є наслідком погрішностей градуюванні шкали, внесених при виготовленні термометрів. При градуюванні термометра на шкальну пластину наносять дві (або трохи) основні оцінки шляхом порівняння з показаннями зразкових термометрів. Потім проміжки між нанесеними оцінками поділяють на рівні частини. При цих умовах джерелами градуювальних погрішностей є: помилки в нанесенні основних і проміжних оцінок шкали; нерівномірність перетину каналу капіляра по його довжині; нелінійна залежність обсягів термометричної рідини і резервуара від температури.
Термічні післядії в склі також впливають на величину погрішностей показань термометрів (переважно ртутних), частково при градуировке, а в основному при їхньому використанні.
Загальними і спеціальними стандартами на термометри встановлені припустимі погрішності показань термометрів. Ці величини залежать в основному від двох факторів: ціни найменшого розподілу шкали і температури. Чим більше ціна розподілу шкали і чим вище температура, для виміру якої призначений термометр, тим більше величина припустимої погрішності, установлена стандартом. Оскільки погрішності показань будь-якого термометра обмежені припустимими погрішностями, те останні характеризують ту точність виміру температури, що може бути забезпечена при нормальних умовах роботи термометра. Коли ж необхідно підвищити точність виміру, наприклад, при різних лабораторних вимірах, то в показання термометрів вносять виправлення, визначені в результаті перевірки термометрів, крім, таким чином, систематичні градуювальні погрішності. Погрішності показань термометра в різних крапках шкали можуть розрізнятися по величині і за знаком, тому показання термометрів перевіряють у декількох точках шкали. Уведенням виправлень може бути значно підвищена точність виміру. Наприклад, для лабораторних ртутних термометрів з межами виміру 0-50°С и ціною розподілу 0,1°С стандартом установлена припустима погрішність ±0,2° С и за умови уведення виправлень може бути забезпечена точність виміру ±0,02° С.
Погрішність, що виникла внаслідок старіння термометра; може бути легко виключена. Для цього вимірюють положення нульової крапки термометра, потім до усіх виправлень, даним у свідченні на термометр, додають різниця між старим (за свідченням) і новим положенням нульової крапки.
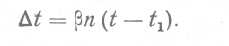
Якщо за умовами застосування термометр, градуйований при повному зануренні, не може бути занурений нормально у вимірюване середовище і мається виступаючий стовпчик термометричної Рідини, то виникає погрішність, величина якої прямо пропорційна: величині виступаючого стовпчика п; різниці між вимірюваною температурою t і середньою температурою виступаючого стовпчика t величині видимого коефіцієнта розширення термометричної рідини. Для виключення зазначеної погрішності уводять виправлення ∆t, що обчислюється по формулі
(8)
Замість невідомої вимірюваної температури t у формулу (8) можна підставляти показання термометра. Середню температуру виступаючого стовпчика t вимірюють допоміжним термометром, однак умови виміру можуть забезпечити лише приблизне значення. Тому значення n и t округляють до двох-трьох значущих цифр, унаслідок чого виправлення можна обчислити лише з обмеженою точністю.
У термометрах, градуйованих при неповному зануренні, аналогічна погрішність буде в тому випадку, коли середня температура виступаючого стовпчика t>2> при вимірі буде відрізнятися від середньої температури виступаючого стовпчика t>1> при градуюванні термометра. У цьому випадку формула для обчислення виправлення буде мати такий вигляд:
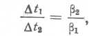
∆t = βn(t>1> – t>2>).
У ртутних термометрів погрішність, викликана виступаючим стовпчиком ртуті, у шість-вісьмох разів менше, ніж у нертутних, при однакових інших умовах за рахунок меншого значення β. Таким чином, у даному випадку менше значення (3 є перевагою ртуті як термометричної рідини.
Досить великі значення погрішності від ефекту виступаючого стовпчика іноді спостерігаються в технічних термометрів з довжиною нижньої частини більш 1000 мм, якщо термометр занурений у середовище з неоднорідною температурою. У таких випадках погрішність можна визначити тільки експериментально: шляхом порівняння з контрольним термометром опору або термопарою.
Однієї з причин, що викликають погрішності показань термометрів, є зміна зовнішнього і внутрішнього тисків, що впливають на стінки резервуара. Джерелами внутрішнього тиску є тиск стовпчика рідини, що знаходиться в капілярі, і тиск газу в газонаповнених термометрах, джерелами зовнішнього тиску - тиск атмосферного повітря і тиск вимірюваного середовища. Ефективний тиск, що діє на стінки резервуара, є різницею зовнішнього і внутрішнього тисків. Зміна показань термометра при зміні зовнішнього (або внутрішнього) тиски може бути розраховане як добуток величини зміни тиску в міліметрах ртутного стовпа на коефіцієнт зовнішнього тиску, рівний 0,00015 град/мм рт. ст., або відповідно на коефіцієнт внутрішнього тиску, рівний 0,00016 град/мм рт. ст. При фіксованому значенні вимірюваної температури зміна внутрішнього тиску за рахунок тиску стовпчика рідини може коливатися тільки при зміні положення термометра, наприклад, з вертикального в похилих або горизонтальне" У точних лабораторних термометрів зміна внутрішнього тиску з зазначеної причини може досягати, 300-400 мм рт. ст., що відповідає зміна показань буде близько 0,05° С. Така погрішність при точних вимірах повинна враховуватися.
Найбільша зміна абсолютного внутрішнього тиску можливо у високоградусних термометрах за рахунок коливань температури навколишнього середовища. Наприклад, якщо при визначеній вимірюваній температурі тиск усередині високоградусного термометра дорівнює 50 кгс/див2 при температурі навколишнього повітря 20° С, те з підвищенням цієї температури до 30° С тиск усередині термометра зросте на ~ 1,7 кгс/див2 і показання термометра зменшаться на ~0,25°С. Однак зазначена величина значно менше припустимих погрішностей високоградусних термометрів і може не враховуватися.
Однієї з причин погрішностей при вимірі температури, що знижується, ртутними термометрами з вузькими капілярами є затримка руху ртутного стовпчика, що залежить від сил тертя між ртуттю і капіляром. Щоб виключити нерівномірність руху ртутного стовпчика, перед відліком показань термометр постукують.
Значні погрішності показань термометрів можуть бути викликані різними дефектами термометра, наприклад, розривами стовпчика термометричної рідини, сублімацією термометричної рідини і дистиляцією її у верхній частині капіляра і т.п. Виявлені дефекти повинні бути усунуті. Розриви ртутного стовпчика в ртутних термометрів з розширенням у верхній частині капіляра з'єднують, підігріваючи термометр доти , поки частки, що відірвалися, не вийдуть у верхнє розширення і не з'єднаються там із ртутним стовпчиком. Особливо обережно варто проводити цю операцію з високоградусними термометрами, у яких над ртутним стовпчиком знаходиться газ, щоб уникнути розриву резервуара термометра внутрішнім тиском. Якщо конструкція термометра така, що при охолодженні до температури не нижче -38° С уся ртуть може піти з капіляра в резервуар, то розриви можна з'єднати охолодженням термометра. При цьому не слід допускати влучення пухирців газу в масу ртуті, що знаходиться в резервуарі газонаповнених термометрів. Розриви стовпчика рідини в нертутних термометрів можна з'єднувати центрифугуваннямм або струшуванням термометра.
У термометрах, наповнених органічними рідинами, часто відбувається сублімація термометричної рідини і конденсація її у верхній частині капіляра, унаслідок чого показання термометра стають заниженими. Тому що в частині рідини, що скондесувалася, барвник відсутній, те зазначений дефект може бути не замічений. У ртутних термометрів сублімацію визначають по дрібних краплях ртуті у верхній частині капіляра в тих випадках, коли тиск газу над ртутним стовпчиком недостатньо, а ртутний стовпчик нагрівався до високої температури. Цей дефект також можна усунути центрифугуванням або струшуванням термометра.
Причиною додаткової погрішності показань термометрів може бути зсув шкали. У конструкціях усіх термометрів передбачена незмінність положення шкали відносно капіляра. Цю вимога легше всього забезпечити в кийових термометрах і в термометрах із вкладеною шкалою, у яких шкала припаяна до оболонки. При інших способах кріплення шкали, наприклад, у термометрах із зовнішньою шкалою, кріплення може ослабнути і шкала подовжньо зміститься щодо капіляра. Для перевірки незмінності положення шкали на оболонці термометра з вкладеною шкалою проти однієї з оцифрованих поділок шкали наносять мітку, що нестирається.
І, нарешті, погрішності виміру можуть бути внесені самим спостерігачем.
Показання термометрів відраховують або неозброєним оком, коли не потрібно високої точності, або за допомогою лупи або відлікового мікроскопа, коли необхідна точність відліку до однієї десятої частки найменшого розподілу шкали. При відліку показань термометрів можливі три види помилок: помилки, викликані явищем паралакса; помилки в оцінці частки найменшого розподілу; помилки в оцінці значення ціни розподілу, що називають промахами.
Перекручування показань паралаксом виникає при неправильному положенні ока спостерігача, коли лінія візування не перпендикулярна до шкали в крапці відліку. Ознакою правильного нормального положення ока служить удавана прямолінійність штрихів шкали в місці відліку. Якщо око спостерігача розташоване вище нормального положення, то середина штриха шкали в місці відліку здається вигнутої вниз. У цьому випадку в термометрів із вкладеною шкалою показання будуть заниженими, а показання кийових термометрів - завищеними. Зворотна картина буде тоді, коли ок спостерігача розташований нижче нормального положення.
При відліку показань кийових термометрів помилки через паралакс можуть бути значно більше, ніж в інших конструкціях термометрів. Тому помилку при відліку показань термометрів високої точності, наприклад зразкових 1-го розряду, виключають, роблячи відлік з двох сторін: спочатку з градуйованої сторони шкали, потім після повороту термометра навколо своєї осі на 180° із протилежної сторони. Середнє арифметичне цих підрахунків буде вільно від помилки через паралакс.
При відліку показань термометра з точністю до однієї десятої частки найменшого поділу шкали навіть у досвідчених спостерігачів можливі помилки в одну десяту поділки. При перевірці термометрів ці помилки виключають. Тоді помилки відліку будуть носити випадковий характер із середнього арифметичного виключаються.
1.6 Техніка безпеки з ртутними термометрами
Ртуть - рідкий, блискучий метал, виходить з кіноварі (Hg) шляхом її випалювання. Випаровується ртуть при кімнатній температурі, причому зі збільшенням поверхні випару зміст пар ртуті в повітрі зростає, особливо інтенсивно йде випар при розбризкуванні її на дрібні крапельки, у сумі дають велику поверхню. Особливо небезпечним є сорбція її пористими матеріалами, з яких вона в наступному і випаровується. Крім металевої ртуті в промисловості знаходять застосування і з'єднання ртуті (хлорні, ціаністі, азотнокислі й ін.). Найбільш токсичними є двовалентні з'єднання.
Ртуть знаходить застосування у виробництві термометрів, вона широко використовується в хімічних і інших лабораторіях, у ртутних насосах при викачуванні повітря з балонів ламп накалювання, рентгенових трубок і ін. У даний час для боротьби зі шкідниками (протравляння насінь) знаходять застосування органічні сполуки ртуті (гранозан, диетилмеркурфосфат).
Ртуть проникає в організм через дихальні шляхи, у виді пар або пилу, рідше через шкіру. Депонується ртуть у печінці, нирках, селезінці, відкіля вона попадає знову в струм крові. Виділення ртуті відбувається через шлунково-кишковий тракт (із сечею, калом), залозами (слинними, молочними, потовими). Гострі отруєння в досить рідкі і виникають у виняткових випадках - аваріях з апаратурою, при чищенні казанів і печей на ртутних заводах, вибухах гримучої ртуті й ін.
При гострому отруєнні виражені зміни з боку травних органів і бруньок. Відзначається різкий стоматит з виразкою, понос з домішкою крові (унаслідок геморрагічного запалення і крововиливів) і хворобливими тенізмами. З боку нирок - поліурія, анурія, альбумінурія, цилиндрурія, гіпохлоремія.
Хронічне отруєння ртуттю характеризується в основному нервово-психічними порушеннями - скаргами на головний біль, запаморочення, сонливість і в той же час безсоння, до них приєднуються скарги з боку, шлунково-кишкового тракту: на відсутність апетиту, нудоту, блювоту, тиск і болі в області живота. Об'єктивно виявляється запалення ясн, із синьо-червоним фарбуванням слизуватої, у наступному з'являється виражений - стоматит з виразками слизуватої рота і нальотами. Зуби втрачають міцність і випадають.
При отруєнні органічними ртутними з'єднаннями симптоматика трохи інша. В основному маються місцеві явища роздратування на поверхні шкірного покриву (токсичний дерматит) і слизуватих оболонок рота. При тривалому впливі диетилмеркурфосфата (інсектицид) виступають порушення в центральній нервовій системі, з'являються запаморочення, підвищена збудливість, млявість, втрата апетиту, почуття спраги, безсоння, слухові і зорові галюцинації.
Самим раціональним є заміна ртуті менш шкідливими речовинами. Тому що це представляється важкою задачею, те необхідно прийняти міри до того, щоб зміст її пар у повітрі не перевищувало 0,01 мг/м3 (для Hg) і 0,1 мг/м3 (для HgCl2). Попередити її випарювання можливо дотриманням санітарних правил роботи з установками, де міститься ртуть. Очищення і перегонка ртуті допускається тільки в спеціальних ізольованих приміщеннях, робота з ртуттю повинні виконуватися у витяжних шафах. Поверхня столів і шаф повинна бути гладкої з ухилом для стоку ртуті в судину з водою. Столи і шафи установлюються впритул до підлоги або на достатній від нього висоті. Стать повинна бути непроникна для ртуті і де можливо покрита лінолеумом, перехід його і стіни закруглена. Стіни офарблюються олійною фарбою. Особи, що працюють із ртуттю, забезпечуються спецодягом, милом для миття рук, рушником, обов'язкова санація рота під час і після роботи - полоскання розчином марганцю.
До профілактичних заходів варто віднести попередніх і періодичні (кожні 6 місяців) медичні огляди.
2. ПРАКТИЧНА ЧАСТИНА
В основі практичної частини полягає завдання перенести на формат А1 креслення декількох рідинних скляних термометрів описаних в роботі (рис. 3, 4, 5, 6).

Рис. 3 – Кімнатний термометр

Рис. 4 - Лабораторний термометр с укороченою шкалою

Рис. 5 - Метастатичний термометр

Рис. 6 - Технічний термометр (прямий)
3. МЕХАНІЧНА ЧАСТИНА
При свердленні отворів застосовують свердла спіральні, із крутою спіраллю, перові, рушничні з зовнішнім або внутрішнім відводом стружки і кільцеві (трепаниючі голівки).
Свердла виготовляють зі швидкорізальних сталей, оснащують твердосплавними пластинками, робочу частину або весь свердел виконують із твердого сплаву. Характерними рисами процесу свердління є утруднені відвід стружки з зони різання, підведення СОЖ у зону різання і низька твердість інструмента.
Спіральні свердли складаються з робочої частини, шийки і хвостовика. На робочій частині свердла формоутворенні дві спіральні канавки, що утворюють два робочих пера свердла. Робоча частина включає ріжучу і циліндричну (напрямну) частини з двома стрічечками.
У ріжучої частини є дві головні кромки, утворені перетинанням передніх і задніх поверхонь і виконують основну роботу різання, а також поперечна кромка (перемичка). Хвостовик з лапкою служать для закріплення свердла в шпинделі верстата або патроні і для передачі моменту шпинделя, що крутиться.
Конструктивні особливості спіральних свердел обумовлюють мінливість геометричних параметрів їх заточення. Так, головний задній кут б стандартного свердла зростає в міру наближення до центра.
Розрізняють спіральні свердла з циліндричним і конічним хвостовиками. Свердла з конічним хвостовиком діаметром більш 6 мм і свердла з циліндричним хвостовиком діаметром більш 8 мм роблять звареними.
Для свердління деталей з чавуна, високоміцних, термообробних сталей і інших важкооброблюваних матеріалів і сплавів свердла оснащують твердосплавними пластинками; цілком або частково виготовляють із твердих сплавів ВК6, ВК6М, ВК8, ВК10М, ВК15М. Для забезпечення підвищеної твердості твердосплавних свердел їх загальна довжина найчастіше менше, ніж довжина свердел зі швидкорізальної сталі, а серцевина свердла рівномірно товщає в напрямку до хвостовика на 1,4-1,8 мм на кожні 100 мм довжини. Для свердел, оснащених твердим сплавом, кут нахилу гвинтової канавки щ = 13-20°; у ряді випадків використовуються свердла з прямими канавками, у яких щ = 0.
Перові свердла. Характерними рисами перових свердел є плоска робоча частина і прямі канавки для відводу стружки. Робочу частину ("перо") таких свердел часто роблять так, щоб її можна було замінити. Відсутність спіральної частини спрощує виготовлення перових свердел, підвищує їх твердість в осьовому напрямку, виключає "закручення" і "розкручування" у процесі роботи, характерні для спіральних свердел і пов'язана з цим зміна їх довжини. Однак відсутність спіральної частини утрудняє відвід стружки з зони різання. Тому при роботі перовими свердлами СОЖ подають у зону різання по центральному каналу, а на частині, що ріже, виконують стружкороздільні канавки. Кут при вершині, задній кут, ширина стрічечки, що калібрує, і деякі інші параметри перових свердлів вибирають у залежності від умов обробки отворів за аналогією з параметрами спіральних свердел.
Рижійні свердла мають наступні конструктивно-технологічні особливості.
1. Головні кромки, що ріжуть, і вершина розташовані несиметрично щодо осі свердла, вершина зміщена щодо осі на (0,2-0,25) d, що вимагає обов'язкового напрямку рижійного свердла по кондукторній втулці, попередньо просвердленому циліндричному або центровому отвору.
2. Немає поперечної ріжучої кромки (перемички), передня поверхня розташована на 0,05-0,2 мм нижче осі свердла, що різко знижує осьову складову сили різання, запобігає появі "нульової" швидкості різання.
3. Дві додаткові направляючі пластини (кулачки) разом зі стрічечкою, що калібрує, на ріжучій пластині, сприяють надійному орієнтуванню свердла в оброблюваному отворі по трьох точках. При цьому зрізується матеріал оброблюваної заготовки кромками ріжучого свердла, і вигладжуються стінки отворів направляючими (вигладжуючими) кулачками.
4. Канали для підведення СОЖ у зону різання і відводу стружки разом із СОЖ із зони різання розділені, в них зроблені раціональні прохідні перетини. У якості СОЖ застосовують найчастіше сульфофрезол. У рижійних свердлах із зовнішнім відводом СОЖ і стружки з зони різання по V-образному каналу, СОЖ подається по порожньому стеблу, спеціальному отвору або додатковій трубці. У рижійних свердлах із внутрішнім відводом СОЖ і стружки з зони різання СОЖ подається по кільцевому зазору між зовнішньою поверхнею свердла і внутрішньою поверхнею оброблюваного отвору. СОЖ, як правило, подасться в зону різання під тиском. Ці особливості забезпечують ефективне охолодження свердла в процесі роботи і надійне видалення стружки з зони різання, однак необхідно верстати для свердління отвору рижійними свердлами оснащувати насосами високого тиску, баками, системами очищення СОЖ, огородженнями від бризів СОЖ, гідромуфтами, стружковідводами і т.д.
5. Рижійні свердла часто оснащують пластинками з твердих сплавів ВК6М, ВК8, Т15ДО6, що дозволяють свердлити отвору з високими швидкостями різання (до 100 м/хв і вище). У зв'язку з низькою подовжньою стійкістю свердла і несиметричним осьовим навантаженням свердління здійснюється з малими подачами (0,005- 0,1 мм/об у залежності від оброблюваного матеріалу і діаметра свердла). Тому у верстатів для обробки отворів рижійними свердлами повинні бути високі швидкості різання і малі робочі подачі.
Рижійне свердло типової конструкції з зовнішнім відводом стружки складається з колоска, що оснащується однієї ріжучою, двома направляючими пластинками і має отвір для підведення СОЖ, привареного до нього трубчастого стебла з V-подібним каналом для відводу стружки і циліндричної або конічної втулки - хвостовика для закріплення свердла в шпинделі верстата. У ряді випадків колоски цілком виконують із твердого сплаву, а рижійні свердла закріплюють у шпинделі верстата безпосередньо нa циліндричну частину трубчастого стебла.
Рижійні свердла з зовнішнім відводом стружки застосовують для обробки отворів діаметром 3-30 мм. Рижійні свердла з внутрішнім відводом стружки більш трудомісткі у виготовленні, але завдяки відсутності контакту стружки з поверхнею отворів забезпечують меншу шорсткість їх поверхонь і застосовуються для свердління отворів діаметром 7-30 мм. Для свердління отворів діаметром більш 30 мм і суцільному матеріалі застосовують одно-, двох- і трирізцеві змінні свердла-голівки. Такі свердла проектують по типу рижійних свердел із внутрішнім відводом стружки й оснащують змінними різцями, двома і більше направляючими пластинками, у тому числі не тільки твердими, але і підпружиненими. Свердло-голівка кріпиться на трубчасте стебло за допомогою нарізного сполучення.
Надійне орієнтування свердла в оброблюваному отворі, комбіноване різання-вигладжування в процесі обробки, подача СОЖ у зону різання під тиском, стабільне видалення стружки з зони різання, відсутність поперечної ріжучої кромки, можливість досить просто оснастити свердла пластинками з твердого сплаву (які працюють без поломок і викрашувань) - усе це дозволяє забезпечити за один прохід рижійного свердла високу продуктивність і малі відхилення розміру, форми і розташування осі, при малих параметрах шорсткості стінок оброблених отворів.
Застосування рижійних свердел при обробці заготовок в машинобудівному виробництві дозволяє в ряді випадків відмовитися від виконання чотирьох-п'яти переходів, наприклад свердління, розсвердлювання, розточування, зенкерування, розгортання. В міру випуску спеціально-свердлильних верстатів, модернізації універсального устаткування й освоєння інструментальними цехами і заводами випуску рижійних свердел, їх використання у всіх галузях машинобудівного виробництва збільшується.
Кільцеві свердла застосовують для зниження сил різання і необхідної потужності устаткування, підвищення продуктивності обробки суцільних отворів діаметром більш 50 мм, зменшення обсягу стружки і наступного використання отвору, що утвориться уздовж осі оброблюваного, центрального стрижня.
Кільцевими свердлами роблять отвори на токарських, вертикально, горизонтально-свердлильних і розточувальних верстатах. Перед свердлінням у заготовці, як правило, підрізають торець і одержують вхідний отвір діаметром, який рівний діаметру кільцевого свердла. Свердло підтримується люнетом або кондуктором. Забезпечують мінімально можливе биття кільцевого свердла й оброблюваної заготовки, вибирають способи подачі і відводу СОЖ і стружки з зони різання. Кільцеві свердла виготовляють зі швидкорізальних сталей. Випускають збірні кільцеві свердла. Корпус збірних кільцевих свердлів виконують з легованої сталі 12ХНЗА, а вставні різці оснащують пластинками з твердого сплаву групи ВК.
4. ТЕХНІКА БЕЗПЕКИ
Основними причинами електротравматизму є:
- недостатня навченість, несвоєчасна перевірка знань та присвоєння груп кваліфікації за технікою безпеки персоналу, котрий обслуговує електроустановки;
- порушення правил влаштування, технічної експлуатації та техніки безпеки електроустановок;
- неправильна організація праці;
- неправильне розташування пускової апаратури та розподільних пристроїв, захаращеність підходів до них;
- порушення правил виконання робіт в охоронних зонах ЛЕП, електричних кабелів та ліній зв'язку;
- несправність ізоляції, через що металеві неструмопровідні частини обладнання виявляються під напругою;
- обрив заземлювального провідника;
- використання електрозахисних пристроїв, котрі не відповідають умовам виконання робіт;
- виконання електромонтажних та ремонтних робіт під напругою;
- застосування проводів та кабелів, котрі не відповідають умовам виробництва та використовуваній напрузі;
- низька якість з'єднань та ремонту;
- недооцінка небезпеки струму, котрий проходить через тіло людини та напруги, впливу котрої підлягає людина, коли її ноги знаходяться на ділянці з точками різного потенціалу („крокова напруга");
- ремонт обірваного нульового провідника повітряної лінії при не вимкненій мережі і приєднаному однофазовому навантаженні;
- живлення декількох споживачів від загального пускового пристрою з захистом запобіжниками, розрахованими на вимкнення найбільш потужного з них або від однієї групи розподільної шафи;
- недооцінка необхідності вимкнення електроустановки (зняття напруги) в неробочі періоди;
- виконання робіт без індивідуальних засобів електрозахисту або використання захисних засобів, котрі не пройшли своєчасного випробування;
- невиконання періодичних випробувань, зокрема перевірок опору ізоляції (електромереж, обмоток електродвигунів, котушок комутаційної апаратури, реле) та опорів заземлювальних пристроїв;
- користування електроустановками, опір ізоляції котрих не перевищує нормативних значень; використання електроустановок кустарного виготовлення, виготовлених з порушенням вимог правил електробезпеки (зокрема, розподільними та пусковими пристроями, електропечами);
- некваліфікований інструктаж робітників, котрі використовують ручні електричні машини;
- відсутність контролю за діями працівників з боку ІТП або виконавців робіт;
- відсутність маркування, запобіжних плакатів, блокувань, тимчасових огороджень місць електротехнічних робіт.
Ці причини можна згрупувати за наступними чинниками:
- дотик до струмоведучих частин під напругою внаслідок недотримання правил безпеки, дефектів конструкції та монтажу електрообладнання;
- дотик до неструмоведучих частин, котрі опинились під напругою внаслідок пошкодження ізоляції, перехрещування проводів;
- помилкове подання напруги в установку, де працюють люди;
- відсутність надійних захисних пристроїв.
Аналіз небезпеки електроустановок зводиться до визначення значення струму, котрий протікає через тіло людини при різних можливих варіантах потрапляння її під напругу внаслідок дотику до струмоведучих частин електричних мереж, неструмоведучих частин електроустановок, котрі опинились під напругою при пошкодженні ізоляції, або внаслідок спинення під напругою кроку, а також до оцінки впливу різних чинників та параметрів мережі на небезпеку ураження.
Електричні мережі бувають постійного та змінного струмів. Мережі змінного струму бувають однофазові та багатофазові. Найбільш поширені - трифазові мережі змінного струму. За режимом нейтралі трансформатора або генератора трифазові мережі можуть бути з ізольованою або глухозаземленою нейтраллю. Ізольованою називають нейтраль, ізольовану від заземлювального пристрою або приєднану до нього через апарати з великим опором (трансформатори напруги, компенсаційні котушки). Глухозаземленою називають нейтралі, Приєднану до заземлювального пристрою безпосередньо або через апарати з малим опором (трансформатори струму).
У випадках ураження людини електричним струмом насамперед його звільняють від дії струму (мал. 7).

Рис. 7 - Способи звільнення потерпілого від дії електричного струму: а - відключення електричного струму; б - обривши електричних проводів; в - відтягання потерпілого; г - видалення проводу, що знаходиться під напругою, від людини
У мережах з напругою до 1000 В для відділення потерпілого від струмоведучих частин використовують суху дошку, ціпок, одяг або інший підручний предмет, що не проводить струм. При неможливості відокремити потерпілого від струмоведучих частин перерубують провід сокирою із сухою рукояткою або іншим інструментом з ізолюючою ручкою. При напрузі мережі понад 1000 В відокремлюють потерпілого від проводів ізольованими штангами або кліщами в діелектричних рукавичках і ботах. Доторкатися до людини, що знаходиться під струмом, без застосування належних запобіжних заходів небезпечно. Якщо потерпілий знаходиться на висоті, то перед відключенням напруги варто забезпечити безпечне падіння людини. Незалежно від стану потерпілого у всіх випадках поразки струмом викликають лікаря.
Після звільнення потерпілого від струму визначають стан, у якому він знаходиться. Якщо людина у свідомості, то його укладають у зручне положення і до прибуття лікаря забезпечують повний спокій, безупинно спостерігаючи за подихом і пульсом; якщо без свідомості, але дихає нормально й у нього прощупується пульс, те потерпілого треба зручно укласти, розстебнути комір і пояс, піднести до носа змочену в нашатирному спирті ватку, обляпати водою і забезпечити спокій.
Найбільш тяжкі наслідки дії електричного струму - зупинка дихання і серцевої діяльності. Якщо відсутнє подих, але прощупується пульс, приступають до проведення штучного дихання. Якщо ж відсутній і серцебиття, то поряд зі штучним диханням проводять зовнішній масаж серця (мал. 8). Ефективним і доступним способом проведення штучного дихання є вдмухування повітря в легені потерпілого через рот і ніс (мал. 9). Потерпілого укладають на спину, відкривають йому рот, якщо необхідно, витягають запала мова і закидають голову назад, підкладаючи під лопатки валик або згорток одягу. Очистивши порожнину рота від слизу, затискають ніс потерпілого і на його ніс і рот накладають суху носову хустку або марлеву серветку. Зробивши 2...3 глибоких вдихи, що робить допомогу вдмухує повітря в рот потерпілого. Частота штучного дихання відповідає ритмові природного дихання (12-14 разів у хвилину); тривалість його різна - до відновлення ритмічного дихання в потерпілого.
-
Рис. 8 - Зовнішній масаж серця

Рис. 9 - Штучне дихання "із рота в рот"
При проведенні зовнішнього масажу серця потерпілого кладуть спиною на рівну і тверду поверхню (стіл, підлогу, кушетку, лаву й ін.) і звільняють грудну клітку від одягу. Той хто надає допомогу кладе витягнуту долоню руки на нижню частину грудної клітки, а другу руку - на першу і надавлює злегка на грудину в напрямку хребта з частотою 60 разів у хвилину (грудна клітка здавлюється строго вертикально на 3...4 см). Цим кров із серця направляється в кровоносні судини. Під час паузи серце наповняється кров'ю. Масаж серця проводять обережно, щоб не ушкодити ребра. Результат масажу визначають по появі пульсу на великих артеріях. У важких випадках приходиться сполучити масаж серця зі штучним диханням. Вдування проводять у проміжках між натисненнями. Зазначена дія зручна робити вдвох: один робить 4...5 натиснень на клітку в нижній третині її, після чого другий удмухує повітря в легені потерпілого. Такі операції повторюють регулярно. Початок роботи серця визначають по появі пульсу.
Наша промисловість випускає апарати штучного дихання, що включають маски і воздуховоди різного розміру; повітря вдмухують, стискаючи і розтягуючи хутра. Для відновлення серцевої діяльності застосовують спеціальний апарат - дефібрилятор, що створює короткий електричний розряд високої напруги через серце, що викликає загальне скорочення серцевого м'яза.
ВИСНОВКИ
В ході виконання дипломної роботи ми проаналізували значення та особливості використання рідинних скляних термометрів і прийшли до наступних висновків.
Завдяки порівняно високій точності, нескладності пристрою і дешевизні виготовлення скляні рідинні термометри є найбільше розповсюдженими приладами для виміру температур. У залежності від вимог, пропонованих до термометрів, виготовляється багато різних типів і різновидів скляних рідинних (особливо ртутних) термометрів, що відрізняються конструкцією, розмірами, межами виміру й інших технічних характеристик.
Основними видами рідинних скляних термометрів є: лабораторні термометри загального застосування, технічні термометри загального застосування, максимальні ртутні термометри (технічні, метеорологічні, медичні), мінімальні термометри (метеорологічні).
Основні види термометрів мають призначення: для вимірів температур у різних лабораторних і виробничих умовах, для виміру найвищої температури за визначений період часу, для виміру найменшої температури повітря за визначений період часу тощо та використовуються в різних галузях народного господарства та виробничих процесах.
Основними джерелами недоліків у роботі скляних рідинних термометрів є: 1) погрішності показань термометрів при нормальних умовах їхньої роботи; 2) погрішності, що є наслідком відхилення умов виміру від нормальних; 3) погрішності, обумовлені дефектами термометра, наприклад, сублімацією термометричної рідини, розривами стовпчика рідини, наявністю пухирців газу в резервуарі, подовжнім зсувом шкали; 4) погрішності виміру, внесені спостерігачем, зокрема , погрішності відліку показань і погрішності визначення виправлень.
Оскільки до складу скляних рідинних термометрів входить дуже небезпечний для людини і оточуючого середовища елемент – ртуть, то перш ніж приступати до роботи ознайомитися з правилами техніки роботи з термометрами та пройти перевірку цих знань.
Рідинні скляні термометри досить активно використовуються в промисловості разом з приладами, робота яких забезпечується живлення електричних мереж, тому працівникам потрібно обов`язково знати та вміти надавати першу невідкладну допомогу постраждалому від електричного струму.
ВИКОРИСТАНА ЛІТЕРАТУРА
Безопасность жизнедеятельности. Учебник / Под ред. Э.А. Арустамова. – М., 2000.
Безпека життєдіяльності. Підручник / За ред. Я. Бедрія. – Львів: Афіша, 1998.
Геращенко О.Л., Федоров В.Г. Тепловые и температурные измерения. Киев, «Наукова думка», 1965.
Гордон Л. Температурные шкалы. М., Изд-во стандартов, 1966.
Гордов А.Н. Измерение температуры жидких металлов, М., Стандартгиз, 1960.
Ерофеев А.В. Электронные приборы теплового контроля и регулирования. М., Госэнергоиздат, 1955.
Жидецький В.Ц., Джигирей В.С., Мельников О.В. Основи охорони праці. – Львів: Афіша, 2000. – 348 с.
Кондратьев Г.М. Регулярный тепловой режим. Л., Гос. техн.-теоретич. изд-во, 1954.
Лакирев С.Г. Обработка отверстий: Справ очник. – М.: Машиностроение. – 1984. – 208 с.
Методы измерения температуры / Под ред. Соколова, ч. 1. М.: ИИЛ, 1954.
Методы измерения температур в промышленности. Под ред. А.Н. Гордова. М., Металлургиздат, 1952.
Приборостроение и средства автоматизации. Справочник, т. М., «Машиностроение», 1964.
Поверка приборов для температурных и тепловых измерений. (Сборник инструкций). М., Изд-ио стандартов, 1965.
Сосновский А.Г., Столярова Н.И. Измерение температур. – М., 1970.