Силовой расчёт рычажного механизма
2
Содержание
1 Проектирование схемы, структурное и кинематическое исследование рычажного механизма
2 Проектирование неравносмещенной эвольвентной зубчатой передачи и анализ зубчатого механизма
3 Силовой расчет рычажного механизма
4 Расчет маховика
Литература
1. Проектирование схемы, структурное и кинематическое исследование рычажного механизма
Вариант 20
Исходные данные
l>OA> = 0,2; l>AB> = 0,6; l>С>>D> = 0,2; l>В>>C> = 0,5;
>1> = 60π с-1; Y>С> = -0,45 l>D>>Е> = 0,7; X>С> = -0,22
X>Е> = -0,7
Требуется выполнить:
провести структурный анализ механизма;
для восьми равноотстоящих (через 45) положений ведущего звена построить положения остальных звеньев;
для каждого положения плана механизма построить план скоростей, а для двух положений – план ускорений;
вычислить линейные скорости и ускорения звеньев механизма.
Результаты вычислений свести в таблицы;
на планах механизма нанести направления угловых скоростей и ускорений соответствующих звеньев;
1 Структурный анализ механизма
Определяем степень подвижности. Так как механизм плоский, то применяем формулу П.Л. Чебышева
W = 3n – 2P>5> – P>4>,
где n – число подвижных звеньев;
Р>4>, Р>5> – число кинематических пар соответственно четвертого и пятого классов.
n = 5;
P>5>: O, A, B, C, D,.Е>45>, Е>56>;
P>4> – нет.
W = 3·5 – 2·7 – 0 = 1.
Это значит, что данная кинематическая цепь является механизмом, в котором достаточно иметь одно ведущее звено.
Для определения класса механизма разбиваем его на структурные группы, у каждой из которых определяем класс, порядок и вид.


В
А
Е
С

Д
II, 2п, 2в. II, 2п, 1в.

О
Ι
Формула строения механизма имеет вид
I (6,1) II (2,3) II (4,5).
В целом механизм второго класса. Все механизмы второго класса исследуются методом планов.
1.1 Построение плана механизма
Определяем масштаб для построения плана механизма
>l> = l>OA>/OA,
>l> = 0,2/20 = 0,01 м/мм.
В принятом масштабе выражаем все остальные геометрические параметры и звенья механизма.
АВ = l>A>>В>/>l> = 60 мм, ВС = 50 мм, DЕ = 70 мм, СD = 20 мм,
Y>С> = 45 мм, X>С> = 22 мм. X>Е> = 70 мм.
1.2 Построение планов скоростей механизма
Построение начинаем с определения линейной скорости точки А, принадлежащей ведущему звену ОА.
V>A> = >1>·l>OA> = 60∙3,14·0,2 = 37,68 м/с.
Направление скорости точки А определится из векторного уравнения
V>A> = V>O> + V>AO>, V>AO>OA.
Длина отрезка принимается из условия получения «удобного» масштаба >V>.
>V> = V>A>/Pа = 37,68/62,8 = 0,6 (м/с)/мм.
Далее строим план скоростей для структурной группы, состоящей из звеньев 2, 3 по уравнению
V>B> = V>A> + V>BA>, V>B> = V>с> + V>B>>С>,
где V>BA> – вектор относительной скорости точки В относительно точки А, направлен перпендикулярно АВ;
V>B>>С> – вектор относительной скорости точки В относительно точки С, направлен перпендикулярно ВС;
Проводим из полюса линию перпендикулярную ВС, а из точки а – линию, перпендикулярную звену АВ. В пересечении этих линий найдется точка в.
Скорость точки D определяем по теореме подобия из соотношения
ВС/СD = Pb/Pd> > => Pd = Pb·CD/BC = 43·20/50 = 17,2 мм.
Скорость т. Е определяем по уравнению:
V>Е> =V>D>+V>Е>>D>,
где V>Е>>D> – вектор относительной скорости точки Е относительно точки D, направлен перпендикулярно DЕ;
V>Е >- вектор абсолютной скорости точки Е, направлен параллельно оси х.
Из плана скоростей определяем линейные скорости точек:
V>B> = Pb·>V> = 43 · 0,6 = 25,8 м/с; V>BA> = ab·>V> = 54 · 0,6 = 32,4 м/с;
V> Е>>D> = еd·>V>> > = 10 · 0,6 = 6 м/с; V>Е> = Pе ·>V>> > = 19 · 0,6 = 11,4 м/с;
V> >>D> = Рd·>V>> > = 17 · 0,6 = 10,2 м/с;
и угловые скорости звеньев
>2> = V>BA>/l>AB> = 32,4/0,6 = 54 с-1 , >3> = V>b>/l>ВС >= 25,8/0,5 = 51,6 с-1
>4> = V>Е>>D>/l>D>>Е> = 6/0,7 = 8,6 с-1 ,
Полученные значения сводим в табл. 1.
Таблица 1 - Значения линейных скоростей точек и угловых скоростей звеньев механизма
|
Параметр |
Размер-ность |
Номера положений |
|||||||
|
1 |
2 |
3 |
4 |
5 |
6 |
7 |
8 |
||
|
V>B> |
м/с |
25,8 |
7,8 |
13,8 |
51,6 |
58,8 |
12,6 |
38,4 |
39 |
|
V>BA> |
м/с |
32,4 |
39,6 |
27,6 |
21 |
75,6 |
27 |
3 |
19,8 |
|
VЕ |
м/с |
11,4 |
3 |
6,6 |
22,8 |
24 |
4,8 |
15,6 |
17,4 |
|
V>ЕД> |
м/с |
6 |
1,2 |
2,4 |
13,8 |
27 |
6 |
16,2 |
12,6 |
|
VД |
м/с |
10,2 |
3 |
6 |
20,4 |
23,4 |
4,8 |
15,6 |
15 |
|
>2> |
с-1 |
54 |
66 |
46 |
35 |
126 |
45 |
5 |
33 |
|
>3> |
с-1 |
51,6 |
15,6 |
27,6 |
103,2 |
117,6 |
25,2 |
76,8 |
78 |
|
>4> |
с-1 |
8,6 |
1,7 |
3,4 |
19,7 |
38,6 |
8,6 |
23,1 |
18 |
Направление угловой скорости звена определится, если вектор относительной скорости двух его точек мысленно перенести с плана скоростей на план механизма в точку, стоящую в индексе при скорости на первом месте.
Наносим направления угловых скоростей звеньев на план механизма.
1.3 Построение планов ускорений
Ускорение точки А определяем из векторного уравнения
а>А> = а>О> + а>АО>n + а>АО>,
где а>О> – абсолютное ускорение точки О, м/с², а>О> = 0, т.к. точка О неподвижна;
а>АО>n – нормальное ускорение точки А относительно точки О, направлено вдоль звена к центру вращения,
а>АО>n = >1>²·l>OA> = (60∙3,14)2·0,2 = 7098,9 м/с²
где а>АО> - касательное ускорение точки А относительно точки О, а>АО> = 0, т.к. >1> = const.
Определяем масштаб плана ускорений
>А> = а>А>/а = 7098,9/39,44 = 180 (м/с²)/мм,
Для определения ускорения точки В составляем векторное уравнение
а>В> = а>А> + а>ВА>n + а>ВА>, а>В> = а>С> + а>ВС>n + а>ВС>,
где а>ВА>n – нормальное ускорение точки В относительно точки А, направлено вдоль звена АВ к точке А, как центру вращения,
а>ВА>n = >2>2·l>АВ> = 542·0,6 = 1749,6 м/с2;
а>ВС>n – нормальное ускорение точки В относительно точки С, направлено вдоль звена ВС к точке С, как центру вращения,
а>ВС>n = >3>2·l>ВС> = 51,62·0,5 = 1331,3 м/с2;
а>ВА> - касательное ускорение точки В относительно точки А, направлено перпендикулярно нормальному ускорению;
а>ВС> - касательное ускорение точки В относительно точки С, направлено перпендикулярно нормальному ускорению;
аn>ВА>= а>ВА>n/>А> = 1749,6/180 = 9,6 мм. аn>ВС> = а>ВС>n/>А>= 1331,3/6,4 = 7,4 мм.
Ускорение точки D определяем по теореме подобия из соотношения
ВС/СD = πb/πd> > => πd= πb·CD/BC = 22·20/50 = 8,8 мм.
Ускорение т.Е определяем по уравнению:
а>Е> = а>Д> + а>ЕД> n + а>ЕД>
где а>ЕД>n – нормальное ускорение точки Е относительно точки Д, направлено вдоль звена ДЕ к точке Д, как центру вращения,
а>ЕД>n = >4>2·l>ДЕ> = 8,62·0,7 = 51,7 м/с2;
а>ЕД> - касательное ускорение точки Е относительно точки Д, направлено перпендикулярно нормальному ускорению
дn>ЕД> = а>ЕД>n/>А> = 51,7/180 = 0,29 мм.
Из плана ускорений определяем величины абсолютных ускорений точек и касательных составляющих, которые необходимы для определения угловых ускорений звеньев.
а>В> = b·>А> = 22·180 = 3960 м/с2 а>Д> = d·>А> = 9·180 = 1620 м/с2;
a>BA> = n>BA>b·>А> = 15·180 = 2700 м/с2; a>ЕД> = дn>ЕД>·>А> = 8·180 = 1440 м/с2;
а>Е> = е·>А> = 8·180 = 1440 м/с2 a>B>>С> = n>B>>С>b·>А> = 21·180 = 3780 м/с2
Определяем угловые ускорения звеньев 2,3 и 4.
>2> = a>BA>/l>AB> = 2700/0,6 = 4500 c-2; >3> = a>BC>/l>BC>> > = 3780/0,5 = 7560 с-2 ;
>4> = a>ДЕ>/l>ДЕ > = 1440/0,7 = 2057,1 с-2 ;
Для определения направления углового ускорения звена необходимо вектор касательного ускорения мысленно с плана ускорений перенести параллельно самому себе на план механизма в точку, стоящую в индексе при а на первом месте.
Результаты вычислений заносим в табл. 2.
Аналогично ведем построение планов скоростей и ускорений и их вычисления для всех остальных положений планов механизма.
Таблица 2
Значения линейных ускорений точек и угловых ускорений звеньев механизма
|
Параметр |
Размер-ность |
Номера положений |
|
|
1 |
2 |
||
|
а>B> |
м/с2 |
3960 |
4500 |
|
аτ>BA> |
м/с2 |
2700 |
360 |
|
а>Е> |
м/с2 |
1440 |
1980 |
|
аτ>ЕД> |
м/с2 |
1440 |
540 |
|
а>Д> |
м/с2 |
1620 |
1980 |
|
аτ>B>>С> |
м/с2 |
3780 |
4500 |
|
ε>2> |
с-2 |
4500 |
600 |
|
ε>3> |
с-2 |
7560 |
9000 |
|
ε>4> |
с-2 |
2057,1 |
771,4 |
2 Проектирование неравносмещенной эвольвентной зубчатой передачи и анализ зубчатого механизма.
2.1 Проектирование зубчатой передачи
Исходные данные:
z>1 >= 15 ; z>2 >= 26 ; m = 10 .
Требуется:
рассчитать геометрические параметры неравносмещенной эвольвентной зубчатой передачи внешнего зацепления из условия отсутствия подрезания;
построить картину зацепления с изображением на ней теоретической и практической линий зацепления, рабочих участков профилей зубьев, дуг зацепления и сопряженных точек;
рассчитать и построить графики удельных скольжений зубьев;
- дать письменный анализ диаграммы скольжения зубьев и определить коэффициент перекрытия передачи.
Для устранения подрезания ножки зуба малого колеса необходимо сделать смещение инструмента в положительную сторону на определенную величину, которое характеризуется коэффициентом смещения.
Подсчитываем передаточное число
U>12> = z>2>/z>1> = 1.73 .
По таблицам В.Н. Кудрявцева согласно чисел зубьев колес находим коэффициент относительного смещения х>1> = 0.848 и х>2> = 0.440.
Определяем инволюту угла зацепления
inv>w> = (2(x>1>+x>2>)tg/z>1>+z>2>) + inv ,
где = 20о – стандартный угол зацепления.
По значению inv>w>> >из таблиц эвольвентной функции определяем угол зацепления проектируемой передачи >w>> >= 26.5о.
Определяем межцентровое расстояние передачи
А>w> = m(z>1>+z>2>)cos/2cos>w >= 215.25 мм .
Определяем радиусы :
начальных окружностей
r>w1 >= A>w>/U>12>+1 = 78.25 мм,
r>w2 >= A>w>·U>12>/U>12>+1 = 136.4 мм;
делительных окружностей
r>1> = mz>1>/2 = 75 мм, r>2> = mz>2>/2 = 130 мм ;
основных окружностей
r>b1> = r>1>cos = 70.5 мм ,
r>b2> = r>2>cos = 122.16 мм ;
окружностей вершин зубьев
r>a1> = r>1>+m (x>1>+ h>a >- y) = 91.58 мм ,
r>a2> = r>2>+m (x>2>+ h>a >- y) = 142.5 мм ;
где h>a>> >= 1 коэффициент высоты головки зуба ;
y = 0.19 – коэффициент уравнительного смещения;
окружностей впадин зубьев
r>f>>1> = r>1 >+ m (x>1 >- h>f>> >- С ) = 70.98 мм ,
r>f>>2> = r>2> + m (x>2 >- h>f>> >- С ) = 121.9 мм ;
где h>f> = 1 – коэффициент высоты ножки зуба ,
С = 0.25 – коэффициент радиального зазора.
Качественные показатели зацепления
Шаг по делительной окружности
p>t> = m = 31.4 мм.
Толщина зубьев по делительным окружностям
s>1> = 0.5p>t> + 2x>1>mtg = 21.87 мм , s>2> = 0.5p>t> + 2x>2>mtg = 18.9 мм.
Ширина впадин из условия беззазорного зацепления
e>1> = p>t> – s>1> = 9.53 мм , e>2> = p>t> – s>2> = 12.5 мм.
К
оэффициент
перекрытия
= r>a1>2 – r>b1>2 + r>a2>2 – r>b2>2 - a>w>sin>w>/mcos = 1.23
Проверяем зуб малого колеса на отсутствие заострения

где >а1
>= arccos
.
Должно выполнятся условие S>a>>1 > 0.3m.
3.41 3 – условие выполняется.
Для построения картины зацепления выбираем масштаб

Проводим
линию центров и в выбранном масштабе
откладываем межосевое расстояние
Из точек
и
проводим дуги начальных окружностей,
которые должны касаться друг друга в
полюсе зацепления – Р. Через полюс
зацепления проводим общую касательную
Т-Т. К ней под углом
проводим
линию N-N
Проведя дуги основных окружностей, убеждаемся в правильности проведенных построений – прямая N-N является общей касательной к основным окружностям в точках L>1>L>2>. Отрезок L>1>L>2> является теоретической линией зацепления.
Для
построения бокового профиля зуба первого
колеса делим отрезок L>1>Р
на равные части и несколько таких отрезка
откладываем влево от точки L>1>
получаем 1,2,3…8. Дугами из центра L>1
>проецируем эти точки на
основную окружность. Из полученных
точек 1/,2/,3/…8/
проводим перпендикуляры к отрезкам
и т.д. На этих перпендикулярах откладываем
количество отрезков, соответствующих
номеру перпендикуляра.
Проводим дуги остальных окружностей – делительных, вершин зубьев и ножек зубьев.
От точки пересечения бокового профиля с делительной окружностью по последней влево откладываем толщину зуба, вправо – ширину впадины.
Определяем
практическую линию зацепления -
,
которая является частью теоретической
линии зацепления, отсекаемой окружностями
вершин зубьев.
Рабочий
участок профиля зуба первого колеса
определится расстоянием по окружности
вершины зуба до проекции точки
по дуге с радиусом
на боковой профиль. Аналогично определяем
рабочий участок профиля зуба второго
колеса.
Для
определения дуги зацепления изображаем
пунктирной линией боковой профиль зуба
на входе в зацепление (точка
)
и на выходе (
).
Часть начальной окружности, заключенная
между этими положениями бокового профиля
будет являться дугой зацепления (ав).
Для второго колеса построение аналогичное.
Используя дугу зацепления, определяем графически коэффициент перекрытия

Для построения сопряженной точки М>2>, выбранную на боковом профиле зуба точку М>1>, по дуге радиусом О>1>М>1> проецируем на практическую линию зацепления (точка m). Радиусом О>2>m определяем положение точки М>2> на боковом профиле зуба колеса 2.
Вычисляем коэффициенты удельных скольжений зубьев по формулам
,

,
где
,
- передаточные числа (без учета знака);
L = L>1>L>2> – длина теоретической линии зацепления
X – текущая координата, мм.
Расчетные данные сводим в таблицу 3
Таблица 3 – Значения коэффициентов удельного скольжения зубьев проектируемых колес
|
Х |
мм |
0 |
30 |
68 |
100 |
130 |
190 |
|
|
- |
- |
-2 |
0 |
0.48 |
0.73 |
- |
|
|
- |
1 |
0.68 |
0 |
-0.92 |
-2.75 |
1 |
По полученным данным строим диаграмму скольжения, анализ которой показывает, что наибольшее скольжение наблюдается на ножке зуба второго колеса. Значительно скольжение на головке зуба первого колеса. Наименьшее скольжение имеет головка зуба второго колеса.
2.2 Анализ зубчатого механизма

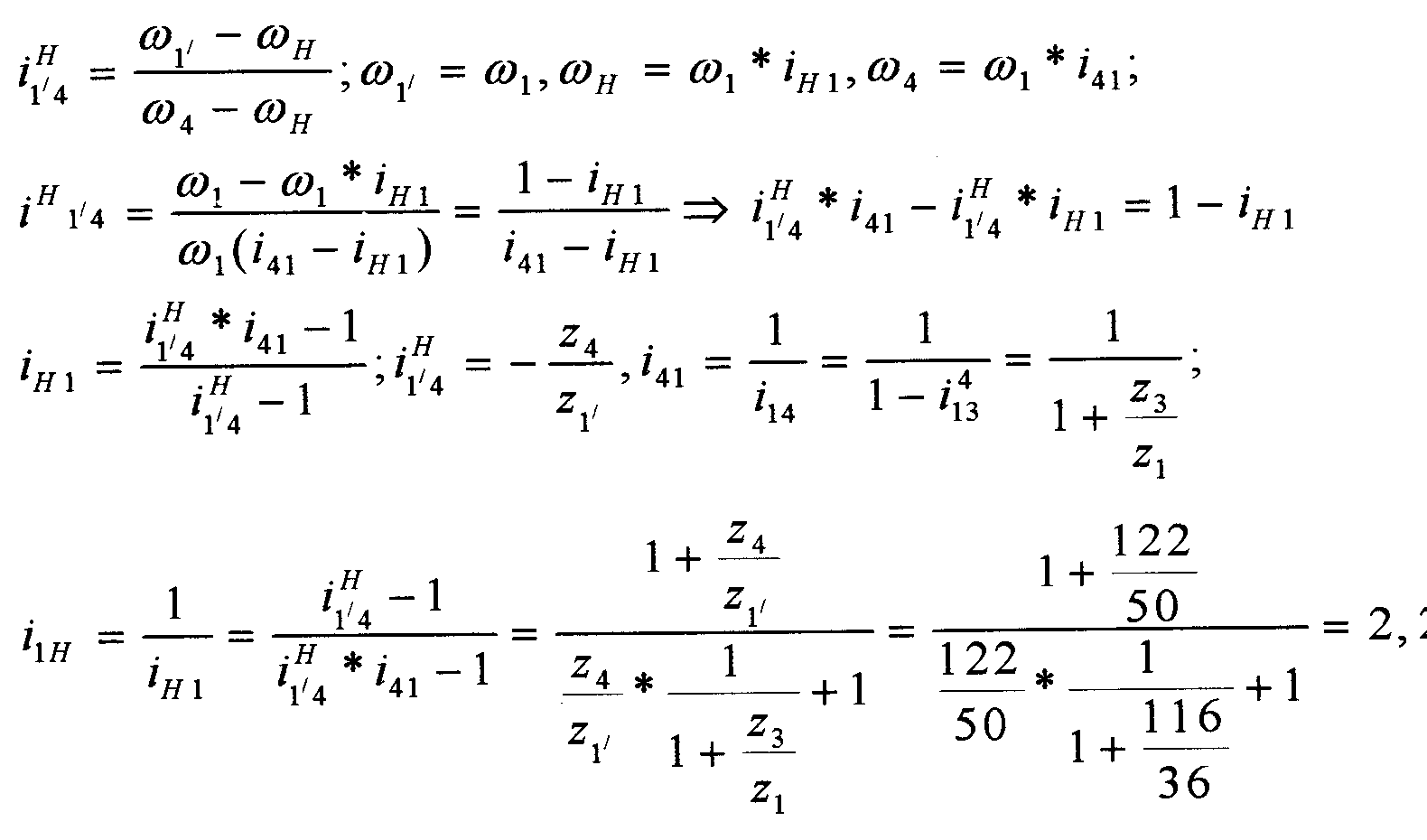
Для определения передаточного отношения графическим методом изображаем заданный механизм в масштабе, приняв произвольное значение модуля (m = 10). Обозначим на механизме все характерные точки – полюса зацеплений и центры колес. Проводим линию, перпендикулярную осям вращения колес и на нее проецируем все характерные точки. Так как ведущим звеном является колесо 1, то изображаем линейную скорость его конца (точка А) вектором Аа произвольной длины. Соединив точки а и О>1>, получаем линию распределения линейных скоростей колеса 1. Соединяем точку В с точкой а, и на продолжении этой линии проецируем точку О>2>, получим линию распределения линейных скоростей колеса 2. Соединив точки О>2>, О>4 >получим линию распределения> >линейных скоростей колеса 4. На продолжении линии Аа проецируем точку А/. Соединяем точку а/ с точкой с получим линию распределения колеса 5. На эту линию проецируем точку О>5>. Соединяем точку О>5> с точкой О>Н>, получим линию распределения для конечного звена – водила.
Передаточное отношение определится через отрезки SH и S1
i>1Н> = S>1>/S>Н> = 190/83 = 2.29
Так как отрезки SH и S1 находятся по одну сторону от SP, передаточное отношение получается со знаком плюс.
Имеем дифференциальный механизм

i
=
100%
= 3.9 %
2.3 Проверка выполнения условий соосности, соседства и сборки планетарного механизма
Условие соосности представляет равенство межцентровых расстояний пар зубчатых колес
r>1 >+ r>2 >= r>3> – r>2 >или z>1 >+ z>2> = z>3 >– z>2>
36 + 40 = 116 – 40 76 = 76
Условие соосности выполняется.
Условие соседства определяет возможность размещения всех сателлитов по окружности их центров без задевания друг за друга.
sin
где К – число сателлитов
При
К= 2 sin
>0.28
Условие соседства выполняется.
Условие сборки определяет возможность одновременного зацепления всех сателлитов с центральным колесом. Это значит, что сумма чисел зубьев центральных колес будет кратной числу сателлитов.

где С – любое целое положительное число.

Условие сборки выполняется.
Таким образом, планетарная часть заданного зубчатого механизма удовлетворяет всем требованиям проектирования.
3 Силовой расчет рычажного механизма
Вариант 20
Исходные данные:
|
L>OA>= 0.2 L>AB>= 0.6 L>BC>= 0.5L>С>>D>= 0.2 L>DE>= 0.7 |
L>AS2>= 0.2 L>CS3>= 0.1 L>DS4>= 0.3 X>C>=-0.22 Y>С>=-0.45 |
m>2>= 60 m>3>= 50 m>4>= 50 m>5>=140 X>Е>=-0.7 |
P>nc>= -2P>j>>5> J>S>>2>= 0.1 J>S>>3>= 0.06 J>S>>4>= 0.12 >1>= 60π, |
где l>i> – длины звеньев и расстояния до центров масс звеньев от их начальных шарниров, м;
J>si> – моменты инерции звеньев, кгм2;
m>i> – массы звеньев, кг;
>1> – угловая скорость ведущего звена, с-1;
P>nc> - сила полезного сопротивления, приложенная к ползуну 5, Н;
P>j>>5> – сила инерции 5 звена, Н.
Требуется определить уравновешивающую силу методом выделения структурных групп и методом жесткого рычага Н.Е.Жуковского, давление во всех кинематических парах.
Вычерчиваем план механизма в масштабе >l>
>l>= l>OA>/OA = 0.2/40 = 0.005 м/мм.
Строим план скоростей, повернутый на 90 в масштабе
>v>= V>A>/Pa = >1>l>OA>/Pa = 603.140.2/94.2 = 0.4 м/>с>/мм.
Скорость точки В определится в результате решения двух векторных уравнений
V>B> = V>A>+V>BA>, V>B> = V>C>+V>BC>.
Точку d на плане скоростей определяем по теореме подобия
BC/DC
= Pb/Pd
Pd = PbCD/BC
= 6440/100
= 25.6 мм.
Для определения скорости точки Е составляем векторное уравнение
V>Е> = V>D>+V>ED> и решаем его.
Строим план ускорений, повернутый на 180 в масштабе
>a>= a>A>/a=>1>2l>OA>/a = (603.14)20.2/101.4 = 70 м/>с>2/мм.
Ускорение точки В определяется относительно точек А и С
a>B> = a>A>+ an>BA>+ a>BA>, a>B> = a>C >+ an>CB >+ a>CB>,
an>BA >= >2>2l>AB> = (ab>v >/ l>AB>)2 l>AB> = (840.4/0.6)2 0.6 = 1881.6 м/>с>2
an>BC >= >3>2l>BC> = (Pb>v >/ l>BC>)2 l>BC >= (640.4/0.5)2 0.5 = 1310.7 м/>с>2
Длины отрезков, изображающих нормальные составляющие ускорений
an>BA>> > и an>BC> на плане ускорений, определяется с учетом масштаба >a>
an>BA>= an>BA>/>a> = 1881.6/70 = 26.9 мм
n>BC>= an>BC>/>a> = 1310.7/70 = 18.7 мм
Положение точки d на плане ускорений определяем по теореме подобия
BC/DC
= πb/πd
πd = πbCD/BC
= 5840/100
= 23.4 мм.
Для определения ускорения точки Е составляем и решаем векторное уравнение
a>Е> = a>D>+an>ED>+a>ED>.
где an>ED>=>4>2l>ED>=(V>ED>/l>ED>)2l>ED>= (de>v >/l>DE>)2l>DE> = (140.4)2/0.7 = 44.8 м/>с>2/мм
Длина отрезка на плане ускорений
dn>ED>= an>ED>/>a> = 44.8/70 = 0.64 мм
Положение точек S>2>, S>3>, S>4> на плане ускорений определяем по теореме подобия из соотношений
АB/АS>2> = ab/aS>2> aS>2> = abAS>2>/AB = 4540/120 = 15 мм
BC/CS>3> = b/S>3> S>3 >= bCS>3>/BC = 5820/100 = 11.6 мм
DE/DS>4> = de/dS>4> ds>4> = deDS>4>/DE = 1960/140 = 8.14 мм
Определение сил инерции звеньев
При определении сил инерции и моментов учитываем, что план ускорений построен повернутым на 180, поэтому знак минус в расчетах опускаем.
P>j2> = m>2>a>s2> = m>2>s>2>>a> = 608670 = 361200 H
M>j2> = J>s2>>2 >= J>s2>a>BA>/l>AB> = J>s2>n>BA>b>a>/l>AB> = 0.13970/0.6 = 455 Hм
P>j3> = m>3>a>s3> = m>3>s>3>>a> = 501270 = 42000 H
M>j3> = J>s3>>3 >= J>s3>a>BA>/l>B>>С> = J>s3>n>B>>С>b>a>/l>B>>С>> >= 0.065570/0.5 = 462 Hм
P>j4> = m>4>a>s4> = m>4>s>4>>a> = 502170 = 73500 H
M>j4>= J>s4>>4 >= J>s4>a>ED>/l>DE> = J>s4>n>ED>e>a>/l>DE >= 0.121970/0.7 = 228 Hм
P>j>>5> = m>5>a>E> = m>5>e>a> = 1402270 = 215600 H
Сила полезного сопротивления, приложенная к рабочему звену (5)
P>nc> = -2 P>j>>5> = - 431200 H
Результирующая в точке Е R>5 >= P>j>>5> + P>nc> = -215600 H
Наносим на план механизма вычисленные силы и моменты. В точки S>2>, S>3>, S>4> прикладываем силы инерции, а в точки А и Е, соответственно, уравновешивающую – Р>y>> >и результирующую – R>5> силы.
Под действием приложенных сил механизм находится в равновесии. Выделяем первую структурную группу (звенья 4,5) и рассматриваем ее равновесие. В точках D и E для равновесия структурной группы прикладываем реакции R>34> и R>05 >.
Составляем уравнение равновесия
M>D> = 0 , P>j4>h>4 >µ>l> + R>5>h>5> µ>l> + R>05>h>05> µ>l> - M>j4> = 0
R>05 >= (-P>j4>h>4 >µ>l >- R>5>h>5> µ>l> + M>j4>)/h>05> µ>l> = (-735002∙0.005> >- 21560062∙0.005 + 228)/126∙ 0.005 = -106893.6 Н
P>i> = 0 . P>j>>4 >+ R>5> + R>05>+R>34>= 0 .
Принимаем масштаб плана сил
>p>>1> = P>j>>4>/z>j>>4> = 73500/50=1470 H/мм
В этом масштабе строим силовой многоугольник, из которого находим
R>34> = z>34>>p>>1> = 1121470=164640 H
Выделяем и рассматриваем равновесие второй структурной группы (звенья 2,3). Для ее равновесия прикладываем:
в точке D – реакцию R>43> = - R>34 >;
в точке А – реакцию R>12 >;
в точке С – реакцию R>03 >.
Составляем уравнения равновесия
М>В2> = 0 , P>j>>2>h>2 >µ>l> - R>12>ABµ>l> + M>j>>2 >= 0 ,
R>12> = (P>j>>2>h>2>µ>l>> >+ M>j>>2 >)/ABµ>l> = (36120050∙0.005 + 455> >)/1200.005 = 151258.3 H
М>В3> = 0 , P>j>>3>h>3>µ>l>> >+ R>03>BCµ>l> +> >R>43>h>43 >µ>l> - M>j>>3 >= 0
R>03> = - P>j>>3>h>3>µ>l>> >-> >R>43>h>43 >µ>l> + M>j>>3>/BCµ>l>,
R>03> = - 42000760.005> >-> >164640310.005 + 462/1000.005 = - 82034.4 Н
P>i> = 0, R>12> + P>j>>2> + R>43> + P>j>>3> + R>03> + Rn>03> + Rn>12> = 0 .
Принимаем масштаб плана сил для данной структурной группы
>p>>2> = P>j>>2>/z>j>>2> = 361200/100 = 3612 H/мм
Из многоугольника сил определяем результирующую реакцию
R>12> = Rn>12> + R>12> и ее величину
R>12> = z>12>>p>>2> = 793612 = 285348 H
Рассматриваем равновесие оставшегося механизма первого класса. В точке О стойку заменяем реакцией R>01> произвольного направления.
Составляем уравнения равновесия
М>0> = 0 , P>y>OA - R>21>h>21> = 0 .
Уравновешивающая сила
P>y> = R>21>h>21>/OA = 79935.9 H
P>i> = 0 , P>y> + R>21> + R>01> = 0 .
Масштаб плана сил
>p>>3> = R>21>/z>21> = 2850 H/мм
Из силового треугольника находим реакцию R>01>
R>01> = z>01>>p>>3> = 992850 = 282150 H
Определяем давление в кинематических парах.
Кинематическая пара В (звенья 2,3). Рассматриваем уравнение равновесия звена R>12> + P>j>>2> + R>32 >= 0 .Для его решения используем план сил структурной группы (2,3). Замыкающий вектор z>32> показан пунктиром.
R>32> = z>32>>p>>2> = 243612 = 86688 H
Давление в кинематической паре Е (звенья 4,5) определится из решения векторного уравнения R>5> + R>05> + R>45> = 0
R>45> = z>45>>p>>1> = 1621470 = 238140 H
Значения давлений во всех кинематических парах рассматриваемого механизма сводим в таблицу.
Таблица 4 - Значения давлений в кинематических парах механизма
|
кинематические пары |
0 |
А |
В |
С |
Д |
Е>45> |
Е>05> |
|
Обозначение |
R>01> |
R>12> |
R>32> |
R>03> |
R>34> |
R>45> |
R>05> |
|
Значение , Н |
282150 |
285348 |
86688 |
122808 |
164640 |
238140 |
106893.6 |
Для определения уравновешивающей силы по методу Н.Е.Жуковского вычерчиваем план скоростей, повернутый на 90 в уменьшенном масштабе. На данном чертеже этот план скоростей совпадает с планом скоростей механизма. Используя теорему подобия, определяем на плане скоростей положения точек S>2>, S>3>, S>4>.
АS>2>/АВ = аk>2>/ab as>2> = abAS>2>/AB = 8440/120 = 28 мм
CS>3>/CВ = Ps>3>/Pb Ps>3> = PbCS>3>/CB = 6420/100 = 12.8 мм
DS>4>/DE = dk>4>/de ds>4> = deDS>4>/DE = 1460/140 = 6 мм
Считаем преобразованные моменты:
M>j>>2>/ = M>j>>2>ab/l>AB> = 63700 Hмм
M>j>>3>/ = M>j>>3>Pb/l>BC> = 59136 Hмм
M>j4>/ = M>j4>de/l>DE >= 4560 Hмм
В соответствующие точки плана скоростей прикладываем все действующие на механизм силы, в том числе и уравновешивающую.
Составляем уравнение равновесия для жесткого рычага Жуковского и решаем его.
P>y>Pa + M>j>>2>/ - M>j>>3>/ - M>j>>4>/ - P>j>>2>h>j>>2> - P>j>>3>h>j>>3> + R>5>Pe> > - P>j>>4>h>4> = 0 ,
P>y>> >= (P>j>>2>h>j>>2> + P>j>>3>h>j>>3> - R>5>Pe > >+ P>j>>4>h>4> - M>j>>2>/ + M>j>>3>/ + M>j>>4>/)/ Pa = 48163.8 H
Вычисляем относительную ошибку определения уравновешивающей силы двумя методами
Р>у> = (Р>у>1 - Р>у>11)/ Р>у>1100 = |49935.9 – 48163.8/49935.9|100% = 3.5 %
Ошибка не превышает 5% .
4 Расчет маховика
Исходные данные: схема механизма
А




В




О








r = 0.3 м, l = 0.64 м, l>AS>>2> = 0.22 м, >1> = 50 с-1, d = 0.12 м,
m>2> = 2.4 кг, m>3> = 1.9 кг, J>01> = 0.012 кгм2, J>S>>2> = 0.020 кгм2,
= 0.23, P>i>max = 300000 Па.
Требуется определить момент инерции маховика по методу избыточных работ рассчитать геометрические параметры маховика, его массу и вычертить эскиз.
Определяем приведенный момент движущих сил
М>пр> = Р>пр>l>AO>,
где Р>пр> = Р>дв>(V>В>/V>А>) – приведенная к точке А движущая сила
Р>дв> = P>i>d2/4,
V>B> = Pb>V>, V>A> = >1>l>AO> - линейные скорости точек В и А, м/с;
Рb - длина отрезка (мм) на плане скоростей, построенном в масштабе
>v> = >l>>1>;
Pi - индикаторное давление ( Па ), значения которого определяются для соответствующих положений поршня по индикаторной диаграмме;
d - диаметр поршня, м.
Определяем масштаб для построения плана механизма
>l> = l>OA>/OA = 0.3/60 = 0,005 мм .
Для двенадцати положений (через 30° угла поворота кривошипа) строим повернутые на 90° планы скоростей в масштабе
>V> = >l>>1> = 0.25 (м/с)/мм .
Строим индикаторную диаграмму и определяем её масштаб
>Pi> = p>i>max/y>pi>max = 300000/200 = 1500 Па/мм ,
где yмах - максимальная ордината индикаторной диаграммы, мм.
Проецируем диаграмму на ось абсцисс и получаем точки 1 – 7' . Из точки 1 под произвольным углом проводим прямую и откладываем на ней отрезок 1-7, равный ходу поршня (на плане механизма). Соединив точки 7 и 7, получаем масштабный треугольник, используя который, определяем значения индикаторного давления для различных положений угла поворота кривошипа.
Из плана механизма, повернутых планов скоростей и индикаторной диаграммы составляем таблицу значений исходных данных для расчета на персональной ЭВМ по разработанной нами программе.
Таблица 5 – Исходные данные для расчета на ПЭВМ
|
№ положения |
X |
Y |
S |
H |
|
1 |
0 |
300000 |
40 |
60 |
|
2 |
44 |
300000 |
49 |
52 |
|
3 |
65 |
240000 |
60 |
31 |
|
4 |
60 |
159000 |
60 |
0 |
|
5 |
39 |
121500 |
51 |
31 |
|
6 |
17 |
87000 |
44 |
52 |
|
7 |
0 |
30000 |
40 |
60 |
|
8 |
17 |
34500 |
44 |
52 |
|
9 |
39 |
42000 |
51 |
31 |
|
10 |
60 |
64500 |
60 |
0 |
|
11 |
65 |
100500 |
60 |
31 |
|
12 |
44 |
144000 |
49 |
52 |
Где X = Pb, S = P>S2>, H = ab – отрезки с плана скоростей в миллиметрах;
Y = Pi - индикаторное давление, Па.
АВ = 128 мм - длина шатуна на плане механизма;
>l> = 0.005 м/мм - масштаб плана механизма;
>1> = 50 с-1 - угловая скорость кривошипа;
d = 0.12 м - диаметр поршня;
J>01> = 0.012 кгм2 - момент инерции кривошипа;
J>S>>2> = 0.020 кгм2 - момент инерции шатуна;
= 0.23 - коэффициент неравномерности;
m>2> = 2.4 кг - масса шатуна;
m>3> = 1.9 кг масса поршня.
По результатам расчетов строим график изменения приведение момента от движущих сил в функции угла поворота кривошипа. Принимаем условие, что при такте расширения совершается полезная paбота, поэтому график М>пр >() для первых шести положений располагается выше оси абсцисс, а для остальных шести - ниже.
Определяем масштабы:
>Мпр> = М>пр>мах/у>Мпр>мах = 881.71/110.21 = 8 Нм/мм ;
>> = /x>> = 2/120 = 0.0523 рад/мм .
Интегрируя график М>пр> = М>пр >() получаем график работы движущих сил А>дв> = А>дв >().
Учитывая, что при решении задачи расчета маховика рассматривается цикл установившегося неравновесного движения, график работы сил полезного сопротивления А>пс> = А>пс>() получаем в виде отрезка, соединяющего начало и конец графика работы движущих сил.
Масштаб полученных графиков определится:
>А> = >Мпр>>>h = 8·0.0523·40 = 16.7 Дж/мм ,
где h-расстояние от начала координат до полюса интегрирования, 50 мм.
График изменения кинетической энергии - ∆Т = ∆Т() получаем как разность ординат графиков А>дв>() и А>пс>(), т.е
∆Т = А>дв> – А>пс>.
В этой же системе координат по результатам расчетов на ПЭВМ вычерчиваем график изменения кинетической энергии звеньев механизма –Т>зв> = Т>зв>() с учетом >∆Т> = >Тзв> = >Т> = >А>.
Вычитая ординаты графика Т>зв> = Т>зв>() из ординат графика ∆Т = ∆Т() получаем график изменения энергии маховика Т>м> = ∆Т – Т>зв>. Проекции точек, соответствующих максимальному и минимальному значениям Т>м>, на ось ординат дадут отрезок (cd), по которому определяем момент инерции маховика
J>М> = cd>T>/>1>2 = 61·16.7/0.23·502 = 1.77 кгм2 .
Диаметр обода маховика De определяем из условия, что для стальных маховиков окружная скорость не должна превышать 110 м/с
D>е> =< 2V>д>/>1> =< 2110/50 = 4.4 м.
Из конструктивных соображений принимаем диаметр D>е> = 0,45 м. Внутренний и внешний диаметры обода маховика определяем по выражениям
D>i> = 0,85D>e> = 0,38 м,
D>cp> = (D>e> + D>i>)/2 = 0,415 м.
Определяем массу маховика и ширину его обода
m = 4J>M>/Dcp2 = 41.77/0.4152 = 41.1 кг ,
b = 16J>M>/(D>e>2–D>i>2 )∙Dcp2=161.77/3.147800(0.452–0.382)∙0.4152 = 0.115 м,
где = 7800 кг/м - плотность материала.
Вычерчиваем эскиз маховика. Для его крепления предусматриваем шпонку и три отверстия под шпильки.
Литература
Савченко Ю.А. Стандарт предприятия. Киров: РИО ВГСХА, 2000.- 82 с.
Овчинников В.А. Курсовое проектирование по теории механизмов и машин. Киров: ВГСХА, 2000. – 173 с.

