Синтез, структура и свойства трехблочных метилтииран-ариленимидных блок-сополимеров
Синтез, структура и свойства трехблочных метилтииран-ариленимидных блок-сополимеров
На основе полиариленимидов получают высокомодульные, высокопрочные, высокотермостойкие материалы. Однако применение полиимидов ограничивает их жесткость и неспособность к переработке. За последние 10 лет стали появляться работы, посвященные модификации полиимидов, синтезу имидных блок-сополимеров. Введение гибкого блока в полиимидную цепь сообщает имидному материалу новые интересные свойства: полибутадиеновые [1, 2] и полиэтиленоксидные [3] блоки увеличивают, например, гибкость и способность к переработке имидного материала. В настоящей работе описаны синтез, структура и некоторые свойства трехблочных метилтииранимидметилтиирановых блок-сополимеров.
Синтез метилтииран-амидокислотных блок-сополимеров проводили аналогично синтезу бутадиенамидокислотных блок-сополимеров [1]. К раствору олигометилтиирана (М=1000) с концевой аминогруппой (OMT-NH>2>) [4] в ДМФА добавляли 4,4'-диаминодифениловый эфир (ДАДФЭ), после растворения которого двумя порциями присыпали рассчитанное количество диапгидрида. Полученный блок-сополимер высаживали в этанол, отмывали от гомополиметилтиирана бензолом, от гомополиамидокислоты (ПАК) смесью ДМАА: этанол=0,23: 0,77. Численные данные суммированы в табл.1.
Турбидиметрическое титрование проводили на установке, основная составная часть которой - фотоэлектрический колориметр-нефелометр ФЭК-56, по методике, описанной в работе [5].
Для изучения блок-сополимеров методом светорассеяния использовали фотогопиодиффузометр фирмы "Sofica" и методику [6]. ТГА проводили на дериватографе при нагревании образцов в керамическом тигле на воздухе со скоростью 4,5 град/мин. .
Термомеханические кривые снимали на приборе, описанном в работе [7].
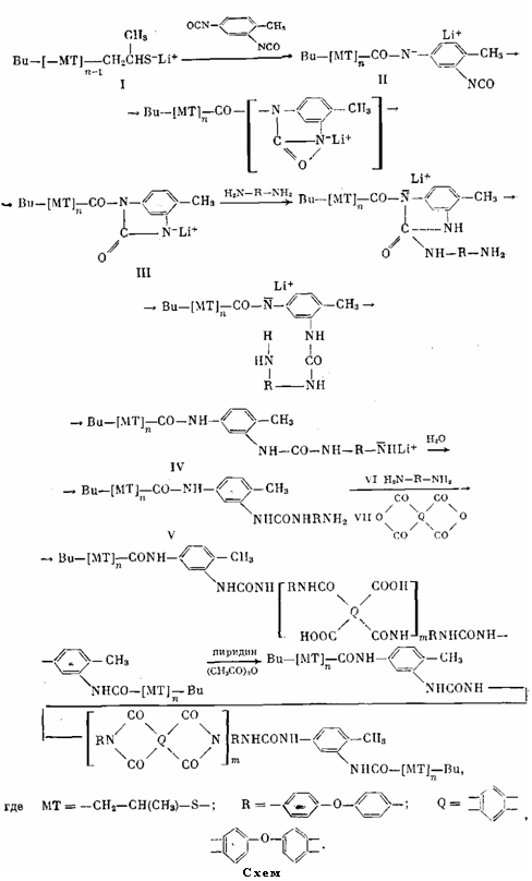
Процесс анионной полимеризации метилтиирана достаточно хорошо изучен [8, 9] и характеризуется безобрывным протеканием по механизму "живых" полимерных цепей с полным использованием инициатора. Это позволяет получить полимеры с заданной ММ и узким ММР (М>ω/ >M>n>= 1,1-1,5). Для синтеза блок-сополимеров необходимо было получить ОМТ с концевой изоцианатной группой. По аналогии с известными реакциями гидроксилсодержащих олигомеров (рис.1, а) можно ожидать, что SH-группы "мертвого" ОМТ, получаемые при обрыве процесса полимеризации метилтиирана сокаталитическим количеством метанола, будут взаимодействовать с изоцианатной группой толуилендиизоцианата (ТДИ).
Изучение этой реакции методом ИК-спектроскопии по убыли интенсивности полосы изоцианатной группы (2260 см-1) показало, что в сравнении с аналогичной реакцией ТДИ с полиэтиленоксидом (рис.1, а) при прочих равных условиях реакционная способность SH-групп ОМТ очень мала (рис.1,6). В этой связи использование олигомера такого типа для дальнейшего синтеза не представлялось целесообразным.
Однако спектроскопический контроль реакции,"живого" ОМТ с ТДИ при [ТДИ]: [BuLijSs] показал мгновенное исчезновение изоцианатной полосы с одновременным появлением полосы карбонильной группы (1720 см-1) (рис.1, в). Полное исчезновение полосы 2260 см-1 доказывает, что в реакцию с "живыми" ОМТ (схема, I) вступает не одна, а обе изоцианатные группы ТДИ.


Рис.1. ИК-спектры раствора смеси ТДИ с полиэтиленоксидом (а), "мертвым" (б) и "живым" (в) ОМТ в ТГФ при [ТДИ]: [BuLi] =l: Л. а: 1 - начало реакции; 2,3 - через 15 и 30 мин; 4 - через 1 ч после начала реакции; 6: 1 - начало реакции; 2,3 - через 3 и 6 ч после начала реакции; в: 1 - до начала реакции, 2 - через 3 мин после начала реакции
Однако дальнейшее взаимодействие продукта реакции с ДАДФЭ и последующее образование блок-сополимеров доказывает, что вторая изоцианатная группа ТДИ остается реакционноспособной. Это кажущееся противоречие заставило предположить возможность протекания реакции "живого" ОМТ с ТДИ с образованием продукта внутримолекулярной циклизации в молекуле ТДИ (схема, III). Правомочность подобного предположения подтверждается данными работы [10], в которой показано, что при полимеризации алифатических диизоцианатов под влиянием нуклеофильных агентов образуются линейные растворимые полимеры с повторяющимися циклическими звеньями в цепи.
Совершенно неожиданным оказалось то, что выход блок-сополимера и содержание метилтиирана в нем в значительной степени зависят от способа выделения и времени хранения OMT-NH>2>. В том случае, когда стадия выделения OMT-NH>2> отсутствовала, т.е. синтез блок-сополимеров проводили по способу, наиболее приближенному к описанному в работе [1], метилтииранамидокислотный блок-сополимер был разделен на 2 фракции: с большим (табл.1, сополимер 1а) и меньшим (сополимер 16) содержанием метилтиирановых блоков. OMT-NH>2> после месячного хранения в холодильнике давал наименьшее вхождение метилтиирановых блоков в блок-сополимер (сополимер 2). Употребление OMT-NH>2> сразу после его выделения приводило к более высокому содержанию метилтииранового блока в блок-сополимере (сополимеры 3,4), но отгонка ТГФ в разных условиях (в присутствии следов влаги и в контакте с воздухом (сополимер 3) и в безвоздушной и безводной среде (сополимер 4)) давала разные результаты. В первом случае выход блок-сополимера и содержание метилтиирановых блоков в нем в 1,5 раза меньше, чем во втором.
Синтезированные по схеме блок-сополимеры ОМТ с ПАК, полученной на основе пиромеллитового диангидрида (ПАК-ПМ) и диангидрида тет-ракарбоксидифенилоксида (ПАК-ДФО), исследованы методами турбиди-метрии и светорассеяния. Для них подобраны пары растворитель - оса-дитель (ДМАА - этанол) и оптимальные режимы титрования. Получены кривые титрования исходных гомополимеров и их смесей при разных концентрациях (рис.2, а).
Для каждой из двух фракций блок-сополимеров, синтезированных без выделения OMT-NH>2> (табл.1, сополимеры 1а и 16), получены кривые турбидиметрического титрования при разных концентрациях (рис.2, а). Из анализа экспериментальных кривых сделаны следующие выводы о композиционной неоднородности продукта: первая фракция (табл.1, сополимер 1а), содержащая по данным элементного анализа ~38°/о метилтиирановых блоков, имеет в своем составе гибридный продукт (рис.2, а), содержащий часть, сильно обогащенную ОМТ, и часть, сильно обогащенную ПАК (широкое распределение по составу). Вторая фракция с содержанием ОМТ ~18% (табл.1, сополимер 16, рис.2, а) имеет в своем составе гибридный продукт, сильно обогащенный ПАК, и гомополимер ПАК.
Для системы ПАК-ДФО - ОМТ исследованы три образца (табл.1, сополимеры 2-4). Анализ формы кривых турбидиметрического титрования показал, что во всех образцах присутствует гибридный продукт и гомополимер ПАК-ДФО (рис.2,6). Мы определили f для смеси, отмывающей гомополимер ПАК-ДФО. После размывки образцов на кривых турбидиметрического титрования отсутствует пик, характерный для гомополимера ПАК-ДФО (рис.2,6).

Рис.3. Термомеханические кривые пленок блок-сополимера ОМТ - ПИ-ДФО (1), гомополиимида ПИ-ДФО (2) и блок-сополимера ОМТ - ПИ-ДФО - ОМТ, предварительно прогретого до 320° (3)
Образец 4 табл.1 до и после размывки был охарактеризован методами светорассеяния и вискозиметрии в ДМАА. Измерены характеристические вязкости [ц], средневесовые молекулярные массы M>w>, инкременты показателя преломления Дге/с и вторые вириальные коэффициенты А>г>>. >Сопоставление значения [t|] ж M>w> для образцов до и после размывки свидетельствует об удалении примеси низкомолекулярной ПАК.
Метилтииранимидные блок-сополимеры были получены химической имидизацией пленки [15] метилтииранамидокислотного блок-сополимера. Как показывают данные рис.3, присоединение гибкого метилтииранового фрагмента к концам полиимидной цепи сообщило полимеру пластические свойства. Обрыв пленки метилтииранимидного блок-сополимера происходит при удлинении более 200% (рис.3), в то время как обрыв гомополиимидной пленки, полученной в аналогичных условиях, наступает при удлинении ~16% (рис.3). При исследовании пленки метилтииранимидного блок-сополимера, предварительно прогретой до 320°, обрыв происходит при удлинении уже не 200, а ~50%, а температура размягчения повышается с 210 до 270°. Эти результаты согласуются с данными ТГА, где 20% -ная потеря в весе при 250-300° обусловлена термодеструкцией метилтиирановых блоков. Следовательно, при предварительном прогревании пленки выше 250° происходит выгорание блоков метилтиирана и, как следствие, падение термопластичности исследуемого материала. Кроме того, известно, что при химической имидизации частично образуются изоимидные циклы, изомеризующиеся в имидные при нагревании до 300° [16]. Следовательно, повышение температуры размягчения до 270° (Т>р ">термического" ПИ-ДФО [17]) после предварительного прогревания пленки блок-сополимера обусловлено отсутствием в полиимиде изоимидных структур. Таким образом, прогревание метилтииранимидного блок-сополимера приводит к структуре "термического" полиимида.
Литература
Hergenrother W. L., Ambrose R. J. J. Polymer Sci. B, 1974, v.12, № 6, p.343.
Ambrose R. J., Hergenrother W. L. J. Polymer Sci. Polymer Symp., 1977, v.60, p.15.
Джонс P. Дж., Кассей Г. H. РЖХим., 1979, 12Т417.
Котон И.М., Артемьева В.И., Кудрявцев В.В., Чернова 3.Д., Кукаркина Н.В., Овсянникова Л.А., Рудковская Г.Д., Жукова Т.И., Кузнецов Ю.П. Высокомо-лек. соед. А, 1983, т.25, № 4, с.726.
Рудковская Г.Д., Овсянникова Л.А., Барановская И.А., Шабсельс Б.М., Иванова Р.А., Ульянова Н.Н., Власов Г.П. Высокомолек. соед. В, 1981, т.23, № 11, с.842.
Цветков В.Н., Эскин В.Е., Френкель С.Я. Структура макромолекул в растворах. М.: Наука, 1964.
Бессонов М.И., Кузнецов Н.П., Смирнова В.Е. Завод, лаб., 1975, № 11, с.1402.
Коротнева Л.А., Беленовская Г.П. Успехи химии, 1972, т.41, № 1, с.150.
Boilean S., Sigwalt P. Bull. Soc. chim. France, 1968, № 4, p.1418.
Iwacura Y., Uno K., Ichikawa K. J. Polymer Sci. A, 1964, v.2, № 9, p.3387.
Платэ H.А. В кн.: Успехи химии и технологии полимеров/Под ред. Роговина 3.А. М.: Химия, 1970, с.58.
Рафиков С.Р. Высокомолек. соед. А, 1979, т.21, № 12, с.2518.
Эскин В.Е., Барановская И.А., Котон М.М., Кудрявцев В.В., Склизкова В.П. Высокомолек. соед. А, 1976, т.18, № 10, с.2362.
Копаки А.Е., Ремез Н.Л. Заявка ФРГ № 1809828, 1969.
Котон М.М., Мелешко Т.К., Кудрявцев В.В., Нечаев П.П., Камзолкина Е.В., Богорад Н.Н. Высокомолек. соед. А, 1982, т.24, № 4, с.715.
Котон М.М., Мелешко Т.К., Кудрявцев В.В., Гофман И.В., Кузнецов Н.П., Дергачева Е.И., Бессонов М.И., Леонов Е.И., Горохов А.Г. Высокомолек. соед. А, 1985, т.27, № 4, с.806.
Рудаков А.П., Флоринский Ф.С., Бессонов М.И., Власов К.И., Котон М.М., Танонина П.М. Пласт, массы, 1967, № 9, с.26.