Технология сварки металлов
Отчет по лабораторным работам
Лабораторная работа №1
Влияние пластических свойств металла на прочность при наличии сварочных напряжений
Цель работы
Показ зависимости прочности металла шва от его пластических свойств путём имитизации накапливания деформаций в корне многослойного шва стыкового соединения.
Содержание работы
Степень влияния сварочных напряжений на прочность при статической нагрузке в основном зависит от исходящих пластических свойств и от степени исчерпания пластичности металла в процессе изготовления конструкции. При выполнении одностороннего многослойного шва большой толщины (рис.1.1) в результате поперечного укорочения металла верхних слоев происходит поворот одной половины соединения относительно другой, и в нижней части шва накапливаются пластические деформации удлинения. Это может привести к образованию трещин.
Установка имитирует условия деформации металла шва при сварке стыкового соединения с V-образной разделкой кромок. Разрушение образца возможно в трёх случаях:
1. Материал хрупкий и разрушение происходит при малом сокращении стержня;
2. Материал пластичный, но образец имеет концентратор в виде надреза;
3. Материал пластичный, но подвергнут значительной предварительной пластической деформации (образец изготовлен из холодно катаного прутка). В этом случае значительная часть пластичности металла исчерпана ранее и разрушение с образованием шейки возникает при сравнительно малых деформациях.
Если подобному испытанию подвергнуть образец из холоднокатаного прутка, но предварительно отожженного, то благодаря восстановлению пластических свойств разрушение не происходит.


Лабораторная работа №2
Угловые деформации при сварке таврового соединения
Цель работы:
Определение угловых деформаций от двухстороннего шва при сварке таврового соединения.
Содержание работы.
Рассмотрим образование деформаций при последовательном выполнении двухстороннего шва.
При выполнении первого шва деформацию полки относительно неподвижной стенки можно схематично представить как сумму деформаций двух видов:
1. Деформация поворота полки на угол ©1 в результате укорочения волокон шва, параллельных гипотенузе (рис.2.1, а).
2. деформация изгиба полки вследствие проплавления её на некоторую
глубину с поворотом на угол а.1 одной половины полки относительно другой (рис 2.1,6),
После выполнения шва 1 полка перейдет из начального положения 0-0-0 в положение 1-0-1 (рис 2.1, в). '
В процессе охлаждения металл шва свободно укорачивается без образования напряжений гипотенуза шва длиной lt укорачивается на величину Д Lp, при этом одна сторона равнобедренного треугольника относительно другой поворачивается на угол ю1 который легко найти из геометрических соображений (рис 2.1, г).
Так как угол ю1 мал, то
1 = (Л 4. / Ь) = (aCOiT Lp / h) =2aT
где aT - относительное температурное укорочение металла при остывании. Как видно, угол COiHe зависит от катета шва. Для низкоуглеродистой стали aT-0,012 и тогда
1 =2*0,0012=0,25рад /

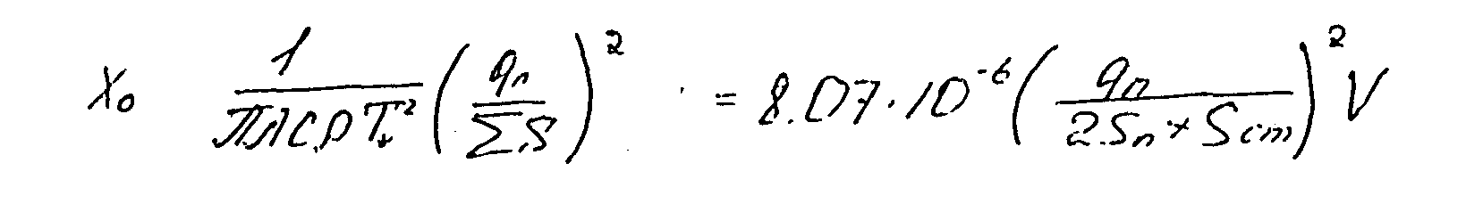
Угол изгиба полки может быть найден так же, как и в случае наплавки валика на поверхность листа с учетом доли тепла, приходящегося на полку. Без значительной погрешности величину угла ал можно найти исходя из предположения, что уголал является результатом укорочения металла шва, и считая, что деформации окружающего основного металла, возникающие при нагреве и при последующем остывании, взаимно компенсируются и не оказывают заметного влияния на величину угла, ал Если длина полки относительно мала, то yronai зависит в основном от относительной глубины и формы зоны проплавления полки. Например, при полном проплавлении и прямоугольной форме, зоны проплавления угловых деформаций отсутствуют, так как поперечное укорочение металла шва по толщине постоянно. В свою очередь зона проплавления определяется той частью 3HeprHuqn, которая расходуется на расплавление основного металла полки. Погонную энергию проплавления определяют по формуле:
qn. np= (2Sn / (2§ [|+5ст)) *^ом qn
где т|ом - коэффициент, учитывающий долю тепла, идущую на расплавление основного металла, Г (ом =0,25...0,43.
В случае выполнения сварки на режимах, при которых глубина проплавления п„р не превосходит 0,6 Sn, ширина валика не превышает полуторократной толщины полки 8ч и линия сплавления близка к параболе, значение угловой деформации выражается приближенной линейной ависимостью.

При h пр>0,6 Sn. деформация меньше, так как это соответствует более равномерному нагреву полки по толщине.
Зависимость (2.1) получена при случае, когда шов наплавляется одновременно по всей длине листа, что справедливо, если длина листа L не превышает длину х*, изотермы Т* (Т* - температура, при которой металл восстанавливает упругие свойства). При большей длине листа L угловые деформации не могут быть определены по приближенной формуле:

Длину х*, изотермы Т* можно найти, приняв схему распространения тепла линейного быстродвижущегося источника в пластине. Для низкоуглеродистой стали длина изотермы 600°С равна

Таким образом, по формуле (2.1 .2.3) можно приближенно рассчитать угловую деформацию полки (грибовидность) при выполнении первого шва по рисунку 2.1, г 1=1. При выполнении второго шва из-за некоторого проплавления полка повернется на угол, центр поворота было вблизи шва 1 (рис.2.1 Дд). Если вследствие укорочения шва 2 в направлении гипотенузы правая половина полки должна была бы повернуться на больший угол о>2, то этому повороту стало бы препятствовать закрепление полки швом 1. В связи с этим в шве 2 возникли бы растягивающие усилия, которые стали бы изгибать полку и растягивать шов 1. Под действием растягивающих. усилий шов 1 должен будет удлиниться, вследствие чего полка сможет повернуться вокруг точки'0 на угол 9 и занять положение 3-0-3. Кроме того, под действием тех же усилий в шве 2, полка изогнется на некоторый угол 9. В результате полка займет положение 3-0-4, при котором швы 1 и 2 будут растянуты на одну и ту же величину. Таким образом, дополнительный изгиб полки в результате выполнения шва 2 составит
2=2+п
Угол а.2 можно определить оп изложенной методике расчета угла al. Ранее мы полагали, что угол поворота <й2, определяемый укорочением углового шва 2 при остывании, больше угла поворота а.2, определяемого укорочением зоны проплавления полки.
Если наоборот, ©2<, то шов после остывания будет сжат, за счет чего полка получит дополнительный обратный выгиб и ее угол изгиба от шва 2 составит р2=а2-е„
Рассматривая напряженное состояние швов и полки, можно определить угол 9". Результаты расчета и экспериментов показывают, что при сварке тавровых соединений, принятых в этой работе размеров 9и"а2 и 2"=2, поэтому для приближенного определения грибовидности полки достаточно знать углы изгиба ее в результате проплавления при выполнении обоих угловых швов 1,2=i+2=1+2. При экспериментальной проверке расчетных данных следует иметь в виду, что в настоящее время теория сварочных деформаций не учитывает большое число факторов, влияющих на угловые деформации, поэтому приведенные зависимости, как и все другие имеющиеся формулы, следует рассматривать как ориентировочные. Приборы и материалы
1) Собранное на прихватках тавровое соединение (рисунок 2.2) с углублением и нанесенными рисками на полке.
2) Шлифованная плита, стол и штатив с индикатором для измерения перемещения точек образца (рисунок 2.3 и 2.4).
3) Штангенциркуль, секундомер.


Лабораторная работа № 3
Определение остаточного прогиба и продольного укорочения тавровой балки.
Цель работы
Экспериментальное и расчетное определение остаточного прогиба и продольного укорочения сварной тавровой балки Содержание работы
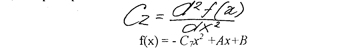
Как и в случае наплавки валика на полосу (лабораторная работа №3), при сварке балки из уголков (рисунок 4,1 4.2) образуются продольные остаточные деформации, приводящие к изгибу и укорочению балки по линии центров тяжести поперечных сечений х-х. После выполнения шва 1 балка укоротится по оси х-х и станет вогнутой (рисунок 4.3). Остаточные продольные полные (действительные) деформации по всему сечению и остаточные продольные напряжения в упругой области можно получить, пользуясь понятием усадочной силы Ру^ь приложенной к краям шва и направленной вдоль линии центров тяжести пластической зоны Н§1 (рисунок 4.2, 4.4).
Форму изогнутой продольной оси х-х f (x) можно приближенно найти по кривизне С? которая принимается постоянной по длине шва

Постоянные интегрирования А и В можно найти, например из условия, что прогиб в базовых точках 0 (рис.4.2) равен нулю.
Величина площади пластических деформаций Fsi определяется геометрическими характеристиками балки (F, 1у, I/-) свойствами материала (j-i'sSs), режимом сварки (qni) и продолжением центра тяжести этой зоны Ус1, и Zc2 относительно главных осей у и z (рисунок 4.4)

В рассматриваемом случае Zci=0. Непосредственно из формулы (4.2) величина Fsi. Поэтому величину Fsi можно найти методом последовательных приближений:
1) задать начальное приближение Ус - У о;
2) определить Fsi, по формуле (4.2),
3) площадь Fsi распределить по полке и стенке на ширину bsi принимая за центр распределения место введения тепла пренебрегая радиусами закругления (рисунок 4.4)




4) определить новое приближение Уе1;
5) повторить п.2, 3 и т.д. до тех пор, пока относительная разность между приближениями Ус^ и Ус! 014^ составит менее 5%.
Шов 2 создается противоположный изгиб. Так как расстояние от центра тяжести к пластической зоны Уе1 (точки приложения усадочной силы Pyci) значительно больше Уе1, (точки приложения усадочной силы Pycl), то балка может оказаться вогнутой даже при Цл2<Цл1 (рисунок 4.3). Для установления изгиба продольной оси от шва 1 достаточно Р местного концентрированного нагрева кромки стенки источником, погонная энергия q. n2 которого во столько раз меньше qni во сколько раз Ус2 больше Уе1 В действительности эту погонную энергию следует несколько увеличить, чтобы скомпенсировать эффект уменьшения деформаций от шва 2 за счет начальных напряжений растяжения, который существует после шва 1 (рисунок 4.5, а).
Балка в упругой области сжата швами и если она после выполнения шва 2 выпуклая, то полка сжата меньше, чем стенка (рисунок 4.5., б).



Вывод в данной лабораторной работе по проведенным опытам произвели расчет остаточного Прогиба и продольного укорочения, значения которых указаны в таблице.
Лабораторная работа №4
Определение остаточных поперечных деформаций при стыковой сварке полос.
Цель работы:
Экспериментальное и расчётное определение остаточных деформаций при стыковой сварке полос. Содержание работы
Вследствие неравномерного нагрева при стыковой сварке полос возникают как продольные так и поперечные сварочные деформации и напряжения. Проследим за образованием поперечных деформаций в полосе, которая имитирует собранные на прихватках две одинаковые полосы без зазора (рисунок 5.1, а). Пусть по оси полосы х наплавляется валик. Будем различать области:
1. область 1, нагретую выше температуры Т* (ограниченную изотермой Т* и заштрихованную в клетку), в пределах которой металл находится в пластическом состоянии;
2. область 2, температура которой изменяется от Т* до температуры Т1, незначительно отличавшейся от начальной температуры полосы (косая штриховка);
3. область 3, в которой нет заметного повышения температуры. Эта область охватывает нагретую область стрех сторон и создаёт жесткий подковообразный контур.
Выделим поперечную полоску шириной dx, проходящую через наибольшую ширину области 1. До нагрева, когда эта полоска находилась в области 3, она была постоянной толщины S, ширины dx, длины В (рис.5.1, б). Вертикальными линиями показаны условные границы одинаковых по ширине участков металла.
Когда полоска оказывается в положении, показанном на рис 5.1 а, происходят деформации по длине и толщине полоски. Очевидно, что увеличение длины полоски исключено, так как её концевые участки принадлежат области 2 и жестко связаны между собой. Вместе с тем центральный участок полоски, принадлежащий области 1, находится в пластическом состоянии и практически не оказывает сопротивления сжимающему усилию. Поэтому стремление нагретой полоски удлиниться реализуется путём перемещения нагретых участков её к середине. При этом концевые полоски (слева от сечения к-к и справа от сечения 1-1 на рисунке 5.1) не смещаются. Средние участки нагретой зоны (участки к-к. m-m и п-п...1-1) увеличивают свою ширину и перемещаются к центру оси. Обжатие центрального участка поперечной полоски происходит с образованием дополнительных пластических деформаций укорочения. При остывании постепенно восстанавливается исходная ширина средних участков, вследствие чего они стремятся переместиться к центру. При достаточной продольной жёсткости полосы эти перемещения удерживаются подковообразным контуром, в результате чего в средних участках могут происходить пластические деформации удлинения, которые лишь частично компенсируют пластические деформации укорочения. Из рис.5.1 г видно, что поперечные пластические деформации укорочения локализуются вблизи шва. Ширина полосы после остывания уменьшается на величину ЛВ.

Рисунок 5.1 Схема образований поперечных деформаций а - расчленение полосы на области; в - поперечное сечение полосы до прохождения дуги; г - поперечное сечение полосы вскоре после прохождения дуги: д - поперечное сечение после остывания полосы

