Электропривод пневматического транспортера кормов ТПК-15
Реферат
Курсовой проект на тему «Электропривод пневматического транспортера кормов ТПК-15» выполнен в объеме: расчетно-пояснительная записка на ____ листах, таблиц ____, рисунков ____; графическая часть на листах формата А4.
Ключевые слова: электропривод, мощность, момент.
В проекте разработан электропривод пневматического транспортера кормов ТПК-15.
Введение
Комплексная механизация, электрификация и автоматизация технологических процессов является генеральным направлением развития современного сельского хозяйства. Основная тенденция развития современного сельского хозяйства – его интенсификация и индустриализация на базе достижений науки, техники и передового опыта. Всё более важное значение приобретает автоматизация производственных процессов, которая становится одним из решающих факторов роста производительности труда, увеличение количества получаемой продукции, повышение её качества, снижение себестоимости, улучшение условий труда. Уровень автоматизации и электромеханизации сельскохозяйственных предприятий чрезвычайно высок. Если говорить в самом общем виде, то средства автоматики принимаются здесь для подачи, распределения воды и мойки, приготовления и раздачи кормов, регулирования микроклимата, уборки и утилизации отходов.
Комплексная механизация предусматривает применение системы машин с высокими технико-экономическими показателями для выполнения всех производственных процессов в каждой поточной линии. Современная система электроприводов предполагает, что они не только максимально удовлетворяют требованиям машин, работающих в различных режимах, но и достигнута максимальная типизация и унификация элементов, более широко применены специальные, встроенные электроприводы, а их исполнение соответствует требованиям окружающей среды.
Содержание
Ведомость комплекта проектной документации
Задание на проектирование
Введение
1. Технологические характеристики рабочей машины
1.1 Назначение
1.2 Описание конструкции рабочей машины
1.3 Описание рабочих органов и их параметров
1.4 Технологическая схема использования рабочей машины
1.5 Требования к управлению рабочей машиной
2. Выбор электродвигателя для привода рабочей машины
Расчет и построение механических характеристик рабочей машины под нагрузкой и на холостом ходу
Расчет и построение нагрузочной диаграммы рабочей машины
Выбор предполагаемого электродвигателя по роду тока, напряжению, числу фаз, типу, модификации, частоте вращения
Выбор кинематической принципиальной схемы электропривода
Приведение мощности, момента и скорости рабочей машины к валу электродвигателя и обоснование режима его работы
Окончательный выбор электродвигателя по мощности с учетом режима работы
Проверка выбранного электродвигателя по условиям пуска, перегрузочной способности и на допустимое число включений в час
Проверка выбранного электродвигателя на нагревание за цикл нагрузочной диаграммы
Построение механической и электромеханической характеристик электродвигателя
3. Выбор элементов кинематической принципиальной схемы
3.1 Выбор монтажного исполнения электродвигателя
4. Расчет переходных процессов в электроприводе
4.1 Обоснование способа пуска и торможения электропривода
5. Разработка принципиальной электрической схемы управления электроприводом
Требования к управлению машиной и пути их реализации
Описание разработанной схемы управления электроприводом
Выбор аппаратов защиты электрических цепей и аппарата защиты электродвигателя в аварийных состояниях по критерию эффективности
Выбор аппаратов управления электроприводом
6. Определение показателей разработанного электропривода
Расчет показателей надежности разработанного электропривода
Определение удельных и энергетических показателей разработанного электропривода
7. Разработка ящика управления электроприводом
Определение суммарной площади монтажных зон аппаратов и типа ящика управления
Пояснения о размещении аппаратов в ящике управления и составлению схемы соединений ящика управления
Выбор проводов для схемы соединения ящика управления и кабелей для схемы внешних соединений
Исходные данные
ПНЕВМАТИЧЕСКИЙ ТРАНСПОРТЕР КОРМОВ ТПК-15
Таблица 1. Исходные данные
|
ПОКАЗАТЕЛИ |
ВАРИАНТ 33 |
|
Длина транспортёра, м Рабочее давление воздуха в системе, кПа Средняя скорость транспортировки, м/с. Масса, кг |
170 30 10 12000 |
|
Питающий механизм:
|
1. Технологические характеристики рабочей машины
Назначение
Транспортёр-загрузчик
предназначен для подачи сенажной массы
в башни, оборудованные трубопроводом,
и другие кормохранилища высотой до 24м.
Наибольшая производительность достигается
при влажности растительной массы в
пределах 40...65% и плотности 100…200
.
Использование транспортёра облегчает
решение одной из важнейших задач
кормозаготовки - заполнение сенажных
башен типа БС-9,15 вместимостью 800...900 т
за 4...5 дней.
1.2 Описание конструкции рабочей машины
Транспортёр-загрузчик ЗБ-50 включает в себя раму 6 с колёсным ходом, вентилятор-швырялку 4, приёмную камеру 8, привод 13 вентилятора, привод 11 дисков приёмной камеры и шкаф управления I.
1.3 Описание рабочих органов и их параметров
Рама является
основанием, на котором смонтированы
остальные сборочные единицы машины.
Она размещена на оси с двумя легкосъёмными
опорными колесами 12. При установке в
рабочее положение их снимают с помощью
домкрата. На конце рамы прикреплена
серьга 5, за которую машину можно
транспортировать со скоростью до 10
.
К раме присоединены два опорных винтовых
домкрата 7, c
помощью которых машину устанавливают
горизонтально.
Вентилятор-швырялка служит для создания воздушного потока, транспортирующего массу по трубопроводу в башню, и состоит из ротора с шестью лопастями и корпуса. Лопасти отклонены назад от радиального положения на 15°, для прохождения массы через вентилятор. Металлический корпус заканчивается выходной горловиной 2, на которую надет соединительный патрубок З. Соединение осуществляют двумя замками-хомутами. В верхней части корпуса ввернут штуцер подводящий воду, для мойки вентилятора.
В нижней части корпуса имеется отверстие для слива воды. Ротор вентилятора-швырялки изготовлен разборным с целью замены лопастей при поломке или износе. Ротор приводится в действие от электродвигателя 14 через клиноремённую передачу.
Приёмная камера с питающим механизмом предназначена для подачи корма в корпус вентилятора-швырялки. Она представляет собой два патрубка, которые входят в корпус вентилятора с обеих сторон через окна размером 1000х650 мм. Внутри патрубков расположены два центробежных диска 9, на которых установлено по четыре лопатки. При вращении дисков создаётся воздушный поток, способствующий направленному движению кормов в вентилятор. Привод дисков осуществляется от электродвигателя.
1.4 Технологическая схема использования рабочей машины
Выполнение работ. Перед началом работ подготавливают площадки, очищают от мусора и расставляют оборудование.
В состав оборудования технологической линии по загрузке башен входят: кормораздатчик КТУ-20.000, транспортёр-загрузчик ЗБ-50, трубопровод башни и распределитель массы в башне РМБ-9,15. Сенажная масса загружается погрузчиком в кормораздатчик, отрегулированный на нормальную подачу.
Через выгрузное окно кормораздатчика поперечным транспортёром масса подаётся непрерывным потоком с нужной равномерностью на вращающиеся диски питающего механизма загрузчика башен. При этом кормораздатчик устанавливают так, чтобы поток массы из окна кормораздатчика разделялся дисками питающего механизма на два потока примерно одинаковой интенсивности. Вращаясь в разные стороны, диски направляют оба потока по патрубкам в кожух вентилятора-швырялки. При вращении ротора возникает воздушный поток, засасывающий массу корма в кожух вентилятора. Кроме того, лопатки центробежных дисков питающего механизма создают дополнительные воздушные потоки вдоль стенок патрубков, которые удерживают корм во взвешенном состоянии, уменьшая трение о стенки. В кожухе вентилятора корм поступает на лопасти ротора, скользит по ним, попадает в выходной патрубок и затем разбрасывается в трубопровод. Воздушным потоком корм транспортируется по трубопроводу башни под её купол к распределителю массы РМБ-9,15. При перемещении тяжелого продукта (сенажной массы повышенной влажности, свежескошенной зелёной массы) заслонки в боковинах кожуха вентилятора должны быть полностью закрыты. При загрузке лёгким продуктом (сенажной массы пониженной влажности) заслонки открываются полностью для дополнительного забора воздуха.
1.5 Требования к управлению рабочей машиной
Шкаф управления с пускозащитной аппаратурой и кабелями для подключения монтируют на машине в наиболее безопасном для обслуживающего персонала месте. Здесь же находится рабочее место оператора. В шкафу смонтированы предохранители для защиты электродвигателей от токов короткого замыкания. Защита от перегрузок осуществляется тепловыми реле.
2. Выбор электродвигателя для привода рабочей машины
2.1. Расчет и построение механических характеристик рабочей машины под нагрузкой и на холостом ходу
Номинальная
угловая скорость >CH>
рабочей машины и номинальный момент
определяются по формулам:
>CH> =0,1045n>н>,; (1)
>CH>=0,1045((no(l-S>H>))=0,1045((1500(l-0,06))=303 рад/с.

(2)
Чтобы построить характеристику необходимо воспользоваться обобщенной формулой:
, (1.3)
Где М>СО> – момент сопротивления механизма, не зависящий от скорости, Нм;
М>С> – момент сопротивления механизма при скорости , Нм;
– текущая (задаваемая) угловая скорость, рад/с;
– показатель степени, характеризующий изменение момента сопротивления от скорости.
Для построения графика необходимо определить М>со> , и Мтрог. руководствуясь таблицей 1.1., [1],
Показатель степени принимается = 2, [1, с.11]. Для перевода в именованные единицы пользуемся формулами:
Для построения механической характеристики рабочей машины на холостом ходу определим М>снхх>:
М>снхх>=Рсхх/
(6)
М>снхх>=0 Нм;
Находим их истинные значения:

По данным расчёта строим график механической характеристики, (лист №1 графической части).
2.2 Расчет и построение нагрузочной диаграммы рабочей машины
Для построения нагрузочной диаграммы произведём анализ работы установки. Начало движения производится с минимальной загрузкой, мощность машины при этом также минимальная, но затем навоз загружается и к концу мощность становится равной номинальной.
Минимальная мощность машины равна: Рх.х.=0 кВт,. Время за которое нагрузка увеличивается с Р>м.мин> до Р>м.ном> - 40 минут.
Нагрузочная диаграмма представлена на листе 1 графической части.
2.3 Выбор предполагаемого электродвигателя породу тока, напряжению, числу фаз, типу, модификации, частоте вращения
Животноводческие комплексы РБ в основном подключены к общей энергосистеме на переменное напряжение трехфазного синусоидального тока, поэтому выбираем двигатель асинхронный с короткозамкнутым ротором с частотой вращения 3000 об/мин, (по экономическим соображениям), U=380/220 В., типа АИР, в которых лаковое покрытие обмотки боле стойкое к агрессивной среде животноводческого помещения. Климатическое исполнение УХЛ и категория размещения- 2, т.к. установка находится внутри помещения.
2.4 Выбор кинематической принципиальной схемы электропривода
Определим общее передаточное число:
(9)
где,
-
номинальная угловая скорость ротора
двигателя, рад/с,
-
номинальная угловая скорость вращения
выходного вала редуктора, рад/с,
(10)
где,
- линейная скорость рабочего органа,
м/с;
–радиус
приводного барабана, м;

.
Ориентировочная мощность электродвигателя Р'>н> >да> и приведенная к валу электродвигателя мощность Р'>сн> определяется по формуле:
(11)
где, Р>сн> - мощность на валу рабочей машины при номинальной нагрузке, кВт;
- общее КПД
передач, о.е.
;
=7,5
кВт.
2.5 Приведение мощности, момента и скорости рабочей машины к валу электродвигателя и обоснование режима его работы
Приведение мощности рабочей машины к валу электродвигателя выполнялось по формуле (11), из которой следует, что приведенная мощность Р'сн незначительно больше мощности Р>сн> на валу рабочей машины и зависит от КПД передачи.
Приведенный к валу электродвигателя момент сопротивления рабочей машины вычисляется по формуле:
; (12)
Нм;
следует, что приведенный к валу электродвигателя момент Mc’ может значительно отличаться от момента Мс рабочей машины при большом передаточном числе.
Приведение
номинальной угловой скорости
>СН>
рабочей машины к валу электродвигателя
выполняется по формуле:
>СН>
=0,1045((no(l-S>H>));
>СН>
=0,1045((3000(1-0,035))=303
рад/с, (13)
Режим работы электропривода определяется по нагрузочной диаграмме с учетом постоянной времени нагрева электродвигателя, времени его работы или времени цикла.
Поскольку электродвигатель окончательно не выбран, то ориентируемся приближенно на мощность Р>ндв>. По этой мощности ориентировочно выбираем постоянную времени нагрева Т>н> из приложения К,[1]:
Тн=22,95 мин.
Время работы электродвигателя составляет 20 минут (до ЗТ>Н>) и после отключения пауза длится более 6Тд, а после отключения может остыть до окружающей температуры, то режим работы S2 - кратковременный.
2.6 Окончательный выбор электродвигателя по мощности с учетом режима работы
Если режим
работы S2,
то выбираем электродвигатель
продолжительного режима для кратковременной
работы, кратковременно
перегружая
его. Для учета допустимой перегрузки
определим коэффициент термический
к>т>
и
механический
к>м>
перегрузки:
; (14)
(15)
где t>Р> – время работы электродвигателя по нагрузочной диаграмме, мин;
– отношение
постоянных потерь в двигателе к
переменным; >Н>
взять по данным приложений Р или С для
электродвигателя, мощность которого
Р>Н>
ближайшая меньшая к Р>Э>.
, (
=
0,64; приложение С [1]);
Т>Н> – постоянная времени нагревания выбранного электродвигателя, мин. (приложение К).
;
.
Электродвигатель выбираем по условию:
Рн>Р/К>м>; (16)
Ph>7000/1,16=6034 Bt;
Р>н>= 7,5 кВт.
Окончательно выбираем электродвигатель АИР112М2 . Данные о выборе электродвигателя заносим в таблицу 2.6.1
Таблица 2.6.1
|
Тип эл.дв. |
Р>H>, кВт |
|
cos |
|
|
|
|
I |
J |
m,кг |
|
АИР112М2 |
7,5 |
87,5 |
0,88 |
3,5 |
2 |
2,2 |
1,6 |
7,5 |
0,01 |
41 |
Для привода рабочей машины применяем мотор-редуктор 7МЧ-М-150-150-Л1//3,0/4-200Л-К1, червячный, одноступенчатый.
крутящий момент на выходном валу, М=1289 Нм;
коэффициент эксплуатации F.S.=0,9.
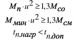
2.7 Проверка выбранного электродвигателя по условиям пуска, перегрузочной способности и на допустимое число включений в час
Проверка по условиям пуска:
(17)
(18)
(19)
где, Мп, Ммин - пусковой и минимальный моменты электродвигателя, Нм;
Мсо, Мсм -
момент, требуемый для вращения рабочей
машины при скорости
=0,
=
>МИН>;
и
-
время пуска электродвигателя под
нагрузкой и допустимое время пуска, с;
;
где, V-скорость
роста температуры при пуске, °С/с;
;
(21)
;
(22)
;
(23)
;
(24)
;
(25)
=0,1045-((3000(1-0,035))=303
рад/с.
=7000/303=23,1
;
=2,0
23,1
=46,2
;
=1,6
23,1
=36,96
;
=2,2
23,1=50,82
;
;
где J–момент
инерции ротора электродвигателя,
;
с.
с.
46,2
0,9
1,3
23,1
; 37,42
30,03;
36,96
0,9
0;
5,26
0,13.
Проверка электродвигателя на преодоление максимальной нагрузки:
;
;
рад/с;
;
10081
9750 .
Вывод: по проверяемым условиям электродвигатель выбран правильно
2.8 Проверка выбранного электродвигателя на нагрев за цикл нагрузочной диаграммы
Расчет кривой нагрева и охлаждения проводим по формуле:
(29)
где
-
установившаяся температура,
(для каждой ступени нагрузки определяется
отдельно);
(30)
где
-
потери мощности в электродвигатели при
нагрузке на валу
,
Вт;
А>Н>
– номинальная теплоотдача электродвигателя,
Вт/
;
определяется по формуле 2.9 (см. параграф
2.9).
t – время, мин (от начала действия данной ступени нагрузки);
Т>Н> - постоянная времени нагревания, мин (одно значение для всех ступеней нагрузки);
;
(31)
-
начальная температура превышения,
(для каждой ступени нагрузки разная
величина. Например, для второй ступени
нагрузки начальная температура превышения
равна конечной температуре на первом
участке).
С - удельная теплоемкость электродвигателя массой m;
;
Р
- потери мощности при неноминальной
нагрузке.
Принимаем
= 70°С;

где
=0,5
Р>Н>
- потери мощности при номинальной
загрузке:
;
Подставив числовые значения в формулы получим :






В начале
работы
=0
,
а
=165,27
.При
отключении двигателя
=165,27
,
а
=0
,.Это
описывается зависимостями:
При построении кривой охлаждения, следует учесть, что для самовентилируемого электродвигателя Т>охл> = 2Т из-за ухудшения теплоотдачи.
Для построения графиков нагрева электродвигателя надо задаться промежуточными значениями времени. Расчеты сводим в таблицы 2.8.1. и 2.8.2.
Таблица 2.8.1. График нагрева электродвигателя.
|
t,c |
0 |
50 |
100 |
200 |
300 |
400 |
600 |
|
|
|
0 |
11,5 |
23,1 |
46,14 |
69,2 |
92,3 |
138,42 |
|
|
Таблица 2.8.2. График охлаждения электродвигателя. |
||||||||
|
t,c |
0 |
200 |
600 |
1000 |
2000 |
3000 |
5000 |
6000 |
|
|
165,27 |
143,72 |
108,7 |
82,23 |
40,91 |
20,36 |
5,04 |
2,51 |
Графически зависимости представлены в графической части проекта (чертеж №3).
Вывод: температура нагрева выбранного электродвигателя не превышает допустимую для данного класса изоляции.
2.9 Построение
механической и электромеханической
характеристик
электродвигателя
Построение механической характеристики электродвигателя при Uном проводим по пяти характерным точкам:
1. Мп=46,2 Нм;
=0;
2. Мmin=36,96 Нм;
=59,136 рад/c;
3. Мк=50,82Нм;
=111,804
рад/c;
4. Мн=23,1 Нм;
=
292,3рад/c;
5. М=0,
=315
рад/c;
(38) (39) (40)
Построение механической характеристики электродвигателя при 0,9U>НОМ> осуществляется путем корректировки пускового, номинального и максимального вращающих моментов электродвигателя:



Электромеханическую характеристику электродвигателя строим по четырем точкам.
1.
при
Iн;
2.
при Iо;
3.
при Iк;
4.
при Iп;
Ток холостого хода определим по формуле:
;
Ток при максимальном скольжении:
о.е.;
Номинальный ток в о.е. равен 1. Пусковой ток в о.е. указывается в каталогах, поэтому производим перерасчет тока в именованные единицы по формулам:
Io=io*Iн;
Iк=iк*Iн;
Iп=iп* Iн;


;
I0=0,25 *14,56=3,64 А;
Iк=3,61*14,56=52,56 А;
Iп=7,5*14,56=109,2 А;
При Io, S=0;
Iн, S=Sн=0,035;
Iк, S=Sк=0,22;
Iп, S=1;
Графики механической и электромеханической характеристик представлены в графической части.
3 Выбор элементов принципиальной кинематической схемы
3.1 Выбор монтажного исполнения электродвигателя
При применении мотор-редуктора используем электродвигатель с фланцевым креплением исполнения IM3001 без лап, с фланцем большого диаметра, доступным с обратной стороны, с крепящими отверстиями без резьбы, с одним цилиндрическим концом вала, расположенным горизонтально.
4 Расчет переходных процессов в электроприводе
4.1 Обоснование способа пуска и торможения электропривода
Запуск двигателя производим прямым пуском без нагрузки и с предварительным разгоном его на холостом ходу. Способ торможения в данном технологическом процессе - массой движущихся частей и небольшой инерционностью редуктора. Принудительное торможение не применяем, т. к. в этом нет необходимости.
5. Разработка принципиальной электрической схемы управления электроприводом
5.1 Требования к управлению машиной и пути их реализации
В пункте 1.5. были предъявлены требования к управлению рабочей машиной, в данном пункте представим пути их реализации.
Для обеспечения световой сигнализации применяем сигнальную лампу без добавочного резистора. Для обеспечения ручного дистанционного управления применяем электромагнитный пускатель и кнопочную станцию.
Применяемые аппараты управления и защиты электродвигателя будут рассчитаны в последующих пунктах.
По заданию необходимо увязать работу поперечного и продольных транспортеров, предусмотреть ручной и автоматический режимы. Согласно технологического процесса вначале должен включаться поперечный, а затем продольный транспортеры. Для этого необходимо предусмотреть в схеме реле времени.
5.2 Описание разработанной схемы управления электроприводом
При включении автоматического выключателя подается напряжение в цепи управления и на силовые контакты магнитных пускателей. При нажатии кнопки SB2 замыкается цепь магнитного пускателя КМ1 и запускается электродвигатель транспортера Ml поперечного конвейера. О работе электродвигателя сигнализирует лампа HL1. Выключение электродвигателя производится нажатием кнопки SB1.
Для включения продольного транспортера оператор нажимает кнопку SB3.
В схеме также предусмотрен автоматический режим. В автоматическом режиме программное реле времени КТ1 в соответствии с заданной программой, замыкает свои контакты, на время достаточное для работы продольного транспортера. При замыкании контактов КТ1 включается реле времени КТ2, которое своими контактами включает магнитный пускатель поперечного конвейера КМ1 и подготавливает цепь для включения КМ2. КМ1 своими контактами включает продольный транспортер, когда время работы истечет - разомкнутся контакты программного реле КТ1, обесточится катушка реле КТ2, которое своими контактами отключит продольный транспортер и поперечный через некоторое время, достаточное для освобождения его от навоза.
Аппараты защиты защищают электродвигатель от перегрузки и токов короткого замыкания.
5.3 Выбор аппаратов защиты электрических цепей и аппарата защиты электродвигателя в аварийных состояниях по критерию эффективности
Выбор аппаратов защиты электрических цепей.
Автоматический выключатель выбираем по номинальному напряжению, номинальному току автомата, номинальному току расцепителей.
Номинальное напряжение автомата должно соответствовать номинальному напряжению сети, В:
(47)
Номинальный ток автомата должен соответствовать длительному току электроприемника, А:
(48)
Номинальный ток расцепителя должен соответствовать длительному току электроприемника, А:

Выбор автоматического выключателя:
380=380 B
Uн=380В,
Iдл=14,56А,
Iн= 16 А,
Выбираем автоматический выключатель AE2026.
Выбор типа защитного аппарата электропривода транспортера приводим по критерию эффективности:
;
где
-
вероятность
отказа данного электродвигателя i-го
механизма по y
причине;
-
вероятность срабатывания к-го устройства
защиты при основных аварийных режимах
АД на i
– м механизме.
Таблица 5.3.1. Значение вероятности отказа транспортеров по различным причинам.
|
Неполнофазный режим |
Заторможенный режим |
Перегрузки |
Увлажненная изоляция |
Нарушение охлаждения |
|
0,23 |
0,41 |
0 |
0,26 |
0,1 |
Таблица 5.3.2. Значение вероятностей срабатывания защиты по различным причинам
|
Тип аппарата защиты |
Неполнофазный режим |
Заторможенный режим |
Перегрузка |
Усложнённая изоляция |
Нарушение охлаждения |
|
Тепловое реле РТЛ и РТТ |
0,6 |
0,45 |
0,75 |
0 |
0 |
|
Реле контроля напряжения неполнофазного режима, типаЕЛ-8...13 |
0,8 |
0 |
0 |
0 |
0 |
|
Реле защиты по току при неполнофазном режиме плюс защита от токов перегрузки, типа РЗД-ЗМ, БСЗД-1 |
0,8/0,8 |
0,9/0,9 |
0,7/0,65 |
0 |
0 |
|
Устройство температурной защиты УВТЗ-5 j |
0,8 |
0,67 |
0,95 |
0 |
0,9 |
|
Устройство защиты электродвигателя при неполнофазном режиме, при перегрузке по току, при перегрузке по температуре и при снижении сопротивления изоляции, типа УЗ |
0,8 |
0,9 |
0,8 |
0,5 |
0,9 |
|
УЗО |
0,6 |
0,67 |
0,95 |
0 |
0,9 |
Эффективность проверяют для всех защит:
1. Тепловое реле:
Э = 0,23-0,6+0,41-0,45=0,14+0,18=0,32;
2. ЕЛ:
Э = 0,23-0,8=0,18;
3 . РЗД-3М/БСЗД-1:
Э = 0,23-0,8+0,41-0,9=0,18+0,37=0,55;
4. УВТЗ
Э = 0,23 -0,8+0,41 *0,67+0,1 *0,9=0,18+0,27+0,09=0,54.
5. УЗ:
Э =0,23*0,8+0,41*0,9+0,26*0,5+0,1*0,9=0,18+0,37+0,09=0,64.
6. УЗО: Э =0,23*0,6+0,41*0,67+0,1*0,9=0,14+0,27+0,09=0,5.
Таблица 5.3.3. Результаты расчёта критерия эффективности
|
Тип аппарата защиты |
Тепловое реле РТЛ |
ЕЛ |
РЗД/БСЗ Д |
УВТЗ |
УЗ |
УЗО |
|
0,32 |
0,18 |
0,55 |
0,54 |
0,64 |
0,50 |
Как показал расчет наиболее подходящей защитой является типа УЗ-устройство защиты электродвигателя при неполнофазном режиме, при перегрузке по току, при перегрузке по температуре и при снижении сопротивления изоляции. Принимаем УЗ-10-44УЗ.
5.4 Выбор аппаратов управления электроприводом
Для дистанционного управления электроприводом выбираем электромагнитный пускатель.
Магнитный пускатель выбирается по номинальному току и номинальному напряжению:
(51)
(52)
Выбираем магнитный пускатель ПМЛ - 212002 по условиям:
380=380 В;
25>14,56 А;
Uh=380 B, 1н=25 А.
Для управления схемой выбираем пост управления кнопочный типа ПКЕ-122-2У2. Кнопки имеют электрически не связанные замыкающие и размыкающие контакты с двойным разрывом. Номинальное напряжение 500В, 50-60 Гц переменного и до 220В постоянного тока. Номинальный ток контактов 15 А.
В качестве сигнальной арматуры выбираем АЛС-12У2 на напряжение 220 В.
6. Определение показателей разработанного электропривода
6.1 Расчет показателей надежности разработанного электропривода
Под показателями надежности понимают количественные характеристики одного или нескольких свойств, составляющие надежность устройства. Показатели надежности восстанавливаемых и невосстанавливаемых устройств различны.
Основными показателями безотказности элементов невосстанавливаемых систем являются: вероятность безотказной работы; интенсивности отказов; средняя наработка на отказ.
Вероятность безотказной работы R (Тэ) представляет собой вероятность того, что в пределах заданной наработки Т - отказа устройства не возникает. Статистическая оценка R (Тэ) определяемся отношением числа устройств, безотказно проработавших до момента времени Тэ к числу устройств, работоспособных в начальный момент времени. Нижнее R (Тэ) при доверительной вероятности R*=0,8 должно выбираться в пределах 0,99…0,75.
Интенсивность
отказов A(t)
- вероятность отказа невосстанавливаемого
устройства, в единицу времени. Интенсивность
отказов – плотность условной вероятности
возникновения отказа невосстанавливаемого
устройства, определяемая для
рассматриваемого момента времени при
условии, что для этого момента отказ не
возник. Интенсивность потока отказов
–среднее
количество отказов для рассматриваемого
момента времени. Верхнее значение
й(1)при R*=
0,8 для устройства может по ГОСТу находиться
в пределах от 0,8-10
до
50-
1/ч.
Средняя наработка до отказа Тср - математическое определение наработки устройства до первого отказа.
Для
восстанавливаемых устройств показателями
безотказности являются: 1 - вероятность
наработки между отказами R
(Т>э>);
2-параметр потока отказов
;
3 - наработка на отказ t>H>.
Вероятность наработки между отказами R(Tэ) представляет собой вероятность того, что наработка между отказами больше заданного значения Тэ.
Параметр
потока отказов
есть
плотность вероятности возникновения
отказа, восстанавливаемого устройства,
определяемая для рассматриваемого
момента времени. Статистически параметр
потока отказов оценивается средним
числом отказов в единицу времени,
отнесенных к числу наблюдаемых устройств.
Отношение наработки Т (восстанавливаемого устройства к математическому ожиданию m числа его отказов в течение этой наработки) называют наработкой на отказ tH=T/m .
В установившемся
режиме работы параметр потока отказов
является постоянной величиной
,
а
наработка на отказ t>H>=l
/
,
Показателями
ремонтопригодности для восстанавливаемых
устройств
являются
восстановления
в заданное время т>э>
и
среднее время т>в>
восстановления,
представляющее собой математическое
ожидание
времени восстановления
работоспособности.
К комплексным показателям надежности относятся коэффициент готовности
К>г> = tH(tH+t>B>), (53)
и коэффициент технического использования
Kеи = tH/(tH-tB+tобс)
где tобс -время планового технического обслуживания за период Т, ч.
Электроприводы, представляя, собой комплекс совместно действующих элементов, как правило, являются ремонтируемыми. После отказа они подвергаются ремонту и продолжают работать дальше. В этих условиях срок службы (технический ресурс), электропривода определяется не физическим износом, старением и разрегулировкой отдельных элементов, а снижением эффективности всей системы в целом и нецелесообразностью ее дальнейшей эксплуатации. Обычно он выбирается равным амортизационному сроку службы управляемого объекта.
Главной
особенностью электроприводов является
то, что оценка качества их функционирования
производится по экономическому критерию.
При этом показатели надежности выбираются
из условия получения наибольшего
экономического эффекта от их применения.
В качестве основного показателя
безотказности электропривода принимается
вероятность - R
(Т>э>)
наработки между отказами больше заданного
значения Т>э>,
а в качестве основного показателя
ремонтопригодности - вероятность
восстановления
в заданное время.
В большинстве случаев можно использовать в качестве модели распределений времени безотказности работы элементов систем управления электроприводами экспоненциальное распределение. Полной и удобной характеристикой этого распределения является интенсивность отказов, имеющая постоянное значение. Параметр потока отказов системы с основным соединением элементов равен сумме интенсивностей отказов элементов:
(54)
Показатель безотказности системы - вероятность R (Тэ) наработки между отказами больше Тэ:
(55)
Восстановление
систем управления электроприводами
обычно включает риск неисправностей и
последующий ремонт. В этом случае
подходящей моделью распределения
времени восстановления является
распределение Эрланга. Среднее время
восстановления системы определяется
через средние времена восстановлений
,входящих
в нее элементов с учетом вероятностей
отказов:
Показатели
надежности системы устанавливаются в
техническом задании. Обычно это – R(T>3>)
,
Если они не достигаются, то
принимаются следующие меры повышения надежности (в порядке предпочтительности):
- снижение электрических нагрузок на элементы схемы; (разгрузка);
- использование элементов с более высокими показателями надежности (замена); 3 - облегчение температурных условий работы, элементов: 4 - резервирование элементов; 5 - резервирование узлов.
В графу 3 элементы вписываются из принципиальной электрической схемы, а в графы 2 и 4 - из таблицы спецификации к схеме.
В таблице не рекомендуется вписывать сигнальную арматуру, добавочные резисторы сигнальной арматуры, розетки, лампы освещения, звонки, кнопки контроля исправности сигнальных ламп и др. элементы, отказы которых не влияют на работоспособность схемы, а лишь затрудняют ее эксплуатацию.
В графу 5
вписать номинальные коэффициенты
ненадежности. Если коэффициенты
ненадежности взяты среднестатистические,
в графы 9,11,12 следует сразу же проставить
.
По результатам проведенного анализа электрических и температурных режимов работы элементов определяют фактические рабочие параметры, коэффициенты электрических нагрузок и температуру в местах установки элементов. Эти данные вписываются в графы 6...8.
В графы 9...
11 вписываются поправочные
коэффициенты–
учитывающие
режимы работы и условия эксплуатации.
Коэффициент
характеризует
зависимость от нагрузки, -
от
температуры окружающей среды и нагрузки;
а>2>
- от
условий окружающей среды. Для пускателей
реле находят отдельно коэффициенты
для катушек и контактов.
В графу проставляется коэффициент (графа 13):
(57)
Для реле пускателей и контактов, характеризующихся отдельно коэффициентами надежности катушек и контактных групп, коэффициент ненадежности для заданных условий эксплуатации определяется следующей формулой:
(58)
где, Kj
и кю - соответственно коэффициенты
ненадежности обмотки и одной группы
контактов находятся из табл.5.1. а>3>
- поправочный
коэффициент, учитывающий уровень
электрической нагрузки контактов;
-поправочный
коэффициент, учитывающий долю времени
нахождения обмотки под напряжением в
течение одного цикла работы.
–фактическое
и номинальное число включений аппарата
в час;
= 10,
именно для
10 включений в час даны коэффициенты

Для пускателей
и контакторов следует выделять силовые
контакты, рассчитанные
на номинальный ток, и блок-контакты
(обычно рассчитанные на ток 4 А). Для
каждого контакта или группы контактов
определяется своя нагрузка. Отношение
для
всех контактов одинаковое.
В графу 14 вписывают коэффициенты использования элементов по времени, определяемые формулой:
(59)
где
и
t>y>
- соответственно время (активной) работы
элемента и узла (установки). Время
устанавливают при анализе схемы.
Например, диоды в цепи динамического
торможения двигателя работают 10 с. в
течение 1 цикла, длящегося 1 минуту. В
этом случае коэффициент их использования

В графу 15 записывается результирующий коэффициент ненадежности элемента

Для элементов
ненадежность
в графу 15 проставляется коэффициент kj
из графы 13.
В графу 16 вписывается количество однотипных элементов работающих в одних и тех же электрических режимах при одинаковых внешних условиях и коэффициенте использования; если хотя бы одно из этих условий не выполняется, элементы должны быть отнесены к разным группам.
В графу 17 записывают результаты произведения N, Kj.
В графу 19 записывают время восстановления элементов
Суммируются
данные по графе 17, в результате получают
сумму

Вычисляют
отношение данных каждой строки графы
(столбца) 17 к сумме
и
записывают результат в графу 18.
Данные графы 13 умножают на данные графы 19 построчно, и результаты заносят в графу 20.
Вычисляют
сумму данных по графе 20. Эта сумма есть
среднее восстановление системы
.
В графе "Примечание" указывают (уточняют) параметры элементов, место установки, если элемент устанавливают не в ящике управления, степень защиты, класс изоляции обмоток, сколько контактов используется и т.п.
Вычисляем параметры надёжности:
Параметр потока отказов

- интенсивность
отказа базового элемента системы
(
=0,03)
(56)
Показатель
безотказности системы - вероятность
К(Т>3>)наработки
между
отказами больше Т>3
>

где Т>3> - время эксплуатации в году, ч.
Наработка на отказ, ч:

Среднее время восстановления системы:
.
Вероятность восстановления системы в заданное время.

где,
- минимальное время заданное техническими
условиями для восстановления системы,
чтобы не нарушить технологический
процесс.
Коэффициент готовности:

Таким образом, получили:
;
;
;
;

6.2 Определение удельных и энергетических показателей разработанного электропривода
- Удельная энергоемкость электропривода
а=Р1 ср/Q;
где Р1 ср – средняя подводимая мощность по нагрузочной диаграмме, кВт;
Q – производительность установки, т/ч;
а=0,55 кВт/ч;
- Средний коэффициент загрузки:
Кн ср=Р2 ср/Рн;
Где Р 2 ср – средняя мощность на валу, кВт;
Кн.
ср=
/7,5=0,93
- Средний коэффициент мощности:
;
где Uср – среднее линейное напряжение, В;

- Потребляемая мощность из сети электропривода:

- Потребляемая энергия в год:
кВт;
где к – коэффициент, учитывающий ручной режим.
7. Разработка ящика управления электроприводом
7.1 Определение суммарной площади монтажных зон аппаратов и типа ящика управления
На листе графической части №5 показана возможная установка элементов схемы с учётом монтажных зон, которые определяются по требованиям ТМЗ-3-141-90; ТМЗ-155-90; ТМЗ-19-90; ТМЗ-13-90.
Таблица 7.1.1. Монтажные зоны аппаратов.
|
Тип аппарата |
Размеры зоны, мм2 |
Вариант крепления |
|||
|
Н |
HI |
Н2 |
В |
||
|
Пускатель магнитный ПМЛ |
250 |
150 |
50 |
80 |
3 |
|
Сигнальная арматура |
100 |
75 |
60 |
1 |
|
|
Выключатель автоматический BA61F29 |
200 |
150 |
25 |
75 |
3 |
|
Устройство УЗ |
200 |
100 |
50 |
120 |
3 |
|
Пост кнопочный ПКЕ-112 |
150 |
100 |
50 |
80 |
3 |
|
Реле времени ВЛ69 |
200 |
150 |
25 |
75 |
3 |
|
Пакетный переключатель ПКУЗ-12 |
200 |
150 |
25 |
120 |
3 |
После компоновки приборов внутри щита приборов, определяем тип и размеры щита с учётом монтажных зон аппаратов.
Щиты (ящики) являются связующим звеном между объектом управления и оператором. На них располагают средства контроля, управления технологическим процессом, а также мнемосхемы, накладные надписи.
Выбор ящиков производят согласно монтажным зонам аппаратов, которые будут располагаться в нем. Найдём требуемую площадь монтажной панели щита и двери:
(66)
(67)
где, Н и В- монтажные зоны аппаратов, устанавливаемых в щите (ящике) или на двери.
=250*80*2+200*75+200*120*2+200*120+200*75*2=157000
мм2.
=150*80*4+100*60*2=60000
мм2.
Принимаем ящик управления типа ЯУЭ-0643.
7.2 Пояснения о размещении аппаратов в ящике управления и составлению схемы соединений ящика управления
В ящике управления устанавливаем автоматический выключатель, магнитный пускатель, УЗ, кнопочную станцию. Для подключения внешних проводок устанавливаем клемную колодку. На дверцах ящика установлена сигнальная лампочка HL. Все аппараты в ящике крепятся па рейках. Компоновка аппаратуры внутри щитов должна выполняться с учетом конструктивных особенностей этих изделий и обеспечения монтажа и эксплуатации, а так же с учетом допустимых полей монтажа. Размеры допустимых полей монтажа учитывают установку инфицированных элементов для внутрищитового монтажа электрических и пневматических аппаратов, а также прокладку проводов внутри щитов.
Аппараты внутри щитов нужно группировать по принадлежности и системам управления, измерениям и сигнализации, а внутри этих групп - по роду тока, значению напряжения, типам аппаратов. Для удобства монтажа и обслуживания двери малогабаритных щитов и поворотная рама открываются слева направо. Электрические проводки, как правило, должны размещаться в левой части с монтажной стороны щита. Прежде, чем определить геометрические размеры щита, необходимо предварительно уточнить вид, количество аппаратов и их монтажные зоны, см. таблицу 7.1.1.
Схему соединений выполняем на основании разработанной принципиальной схемы и чертежа общего вида щита управления в соответствии с требованиями ГОСТ 2.702-75 «Правила выполнения схем».
Схему выполняем без масштаба. При этом аппараты (включая ряды зажимов) показываем в соответствии с их действительным расположением.
Аппараты изображаем в виде монтажных символов, представляющих собой схемы внутренних соединений отдельных аппаратов, приборов. Символ аппарата обводится тонкой сплошной линией, на чертеже размещаем свободно с учетом места для размещения их нумерации, а также с учетом маркировки отходящих от аппаратов проводов. Каждому аппарату присваивается номер, номера проставляем слева направо, сверху вниз по порядку, начиная с 1, сначала для одной сборочной единицы, затем для другой. Нумерация проставляются в кружочках. При этом над чертой записываются порядковый номер аппарата, а под чертой - позиционное обозначение этого аппарата в принципиальной схеме.
7.3 Выбор проводов для схемы соединения ящика управления и кабелей для схемы внешних соединений
В силовой цепи используем медные одножильные провода типа ПВ1 сечением более 1 мм2, а в цепях управления - многожильные медные провода типа ПВЗ, сечением до 1 мм2. Сечение проводников определяем по допустимому току, таблица 6.5, [1]:
I* доп = Iдоп*0,7; (68)
Iдоп=16,1 А;
I* >доп> =0,7*16,1=11,27 А.
Принимаем сечение проводника прокладываемого в шкафу – 1 мм2, в силовой цепи - 2,5 мм2.
8. Заключение по проекту
Таблица 8.1. Результаты работы над проектом.
|
|
Требования задания. |
Полученные результаты. |
|
21 |
2 |
3 |
|
11 |
Мощность
на валу рабочей машины –7 |
Мощность на валу электродвигателя -Рсн=7,5 кВт., при частоте вращения п>НД>=3000 об/мин. |
|
22 |
Характеристика помещения, где установлен электродвигатель-особо сырое, IР44. |
Выбран мотор-редуктор 7МЧ-М-150-150-Л1//3.0/4-200Л-К1; Рн=3.0 кВт., п=1400 об/мин., степень защиты IP44. |
|
3 |
Температура превышения при нагреве обмотки за цикл работы менее допустимой рабочей для класса изоляции. |
Действительная
температура обмотки за цикл нагрузочной
диаграммы составляет
|
|
4 |
Максимальный приведенный момент в цикле нагрузочной диаграммы, Ммакс=50.82Нм |
Максимальный момент электродвигателя с учетом 10% снижения напряжения, Ммакс= 41.16 Нм. |
|
15 |
Минимальный приведенный момент сопротивления рабочей машины при пуске, Ммин=36.92Нм. |
Минимальный момент электродвигателя при пуске с учетом 10% снижения напряжения, Ммин=29.93Нм |
|
6 |
Приведенный момент сопротивления трогания рабочей машины, 46.2Нм |
Пусковой момент электродвигателя с учетом 10 % снижения напряжения, Мп=37.4 Нм |
|
7 |
Минимум передач. Для обеспечения минимума передач применяем мотор-редуктор соединенный с рабочей машиной соединительной муфтой. |
Используются передачи: мотор-редуктор, 1общ=0,094 кг-м2 |
|
8 |
Пуск, обеспечивающий малое падение напряжения в линии. |
Пуск прямой, время пуска-0,08с. |
|
9 |
Управление по заданию следующее: увязать работу поперечного и продольного транспортеров предусмотреть автоматический режим. |
В проекте управления следующее: принципиальная электрическая схема составлена таким образом, что она позволяет управлять поперечным и продольным транспортерами ,для обеспечения автоматического режима применяем реле времени. |
|
10 |
Аппарат защиты электродвигателя должен иметь наибольшую эффективность . |
В проекте принят аппарат защиты электродвигателя типа УЗ, его показатель эффективности Э=0,64. |
|
11 |
Показатели надежности наилучшие. |
В проекте достигнуты следующие показатели надежности :
|
|
12 |
Показатели разработанного электропривода наилучшие. |
Достигнуты удельные показатели а=0,55 кВт/ч; Кн ср=0,93
|
|
13 |
Ящик
управления соответствующий |
Использован тип ящика ЯУЭ-0643 ,размер 600*400*350,степень защиты IP21. |
|
14 |
Применить в проекте ресурсо или энергосберегающее решение ,или повысить производительность труда оператора |
Для реализации энергосберегающего решения выделим несколько направлений: –строгое соблюдение технологического процесса ; –не перегружать рабочую машину |
Литература
Гурин В.В. Бабаева Е.В. Учебно-методическое пособие по курсовому и дипломному проектированию-"Электропривод", часть 1.-М.: БГАТУ, 2006.
Методические указания к выполнению курсовой работы по дисциплине "Электропривод" для студентов специальности 3114 - "Электрификация с/х".- М.: Ротапринт БАТУ, 1992.
Фоменков А.П. Электропривод с/х машин, агрегатов и поточных линий - М.: Колос, 1984.
Анурьев В.И. Справочник конструктора-машиностроителя: в 3-х т. Т.З - 5-е изд., перераб. и доп.- Машиностроение, 1979.
,
%




№
класс
изоляции - H

