Конструкция блоков, звёздочек и барабанов подъёмно-транспортных машин
Министерство образования и науки Украины
Кафедра ММК и ПМ
РЕФЕРАТ
На тему «Конструкция блоков, звёздочек и барабанов подъёмно-транспортных машин»
Выполнил: ст. гр. ММК – 08 – 1
Плетнёв М.И.
Проверил: Ульяницкий В.Н.
Алчевск 2010
Блоки, звездочки и барабаны. Назначение и конструкции блоков

Блоки применяют для отклонения направления канатов и цепей. Кроме того, они входят в состав полиспастов.
Трапецеидальный профиль канавки обеспечивает возможность сбега каната под углом 20 градусов.
Блоки изготавливаются:
· литыми
а) из чугуна (марки не ниже СЧ 15-32),
б) из стали (марки не ниже 25ЛII);
· штампованными (сварными) из низкоуглеродистых сталей (не ниже марки ВСт 3сп).
Для улучшения работы внутреннюю поверхность ручья покрывают (футеруют) пластмассами, резиной, алюминием.

Для сварных цепей используются фасонные блоки.

Легкое вращение блока при окружной скорости до 300 м/мин обеспечивает запрессованная в ступице бронзовая или чугунная втулка. При большей скорости блок устанавливают на шариковых или роликовых подшипниках качения.
Звездочки

Звездочки представляют собой блоки с фасонной поверхностью для работы со сварными и пластинчатыми цепями.
Для сварных калиброванных цепей применяют литые из стали и чугуна звездочки.
По сравнению с блоком уменьшается диаметр. Шейки выполняются плоскими и поэтому звенья цепи при работе не испытывают изгибающих напряжений.
Диаметр начальной окружности (по центру прутка из которого сделана цепь).



Для пластинчатых цепей звездочки делают литыми или из проката.

где t - шаг цепи, z - число зубьев звездочки.
Назначение и конструкции барабанов
Барабаны предназначены для преобразования вращательного движения привода в поступательное перемещение груза. Кроме того барабаны служат и для собирания каната.
Обычно они цилиндрической формы, но иногда, когда для работы крана требуется постоянство момента (например, в механизме изменения вылета стрелы), т.е. применяются барабаны конической формы.
М = Smax Rmin = Smin Rmax =const,
Барабаны выполняются литыми из чугуна (не ниже марки СЧ 15-32) или из стали (не ниже 23ЛIII), а так же сварными из стали (не ниже Вст3сп).
По характеру навивки каната барабаны подразделяются на
· барабаны однослойной навивки,
· барабаны многослойной навивки.
Последние, из-за значительных деформаций каната в нижних слоях, целесообразно применять лишь при очень большой длине каната. Кроме того, каждый последующий слой укладывается с противоположным направлением навивки, что приводит к смятию и выпучиванию витков.
По форме рабочей поверхности различаются
· гладкие барабаны
· барабаны с винтовой канавкой по обечайке (канавка способствует правильной укладке каната, а при его сматывании с барабана - увеличивает трение, что обеспечивает угол сбега каната с барабана до 6 градусов против 2 градусов на гладких барабанах.

Для однослойной навивки:
· шаг нарезки t= d+(2...3) мм;
· радиус канавки R=0,54 d .
По требованиям Госгортехнадзора бортики должны выступать над верхним слоем каната на величину не менее 2d.

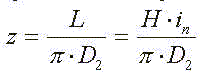
Канатоемкость барабана зависит от высоты подъема груза
L = H in,
где L - рабочая длина каната;
H - наибольшая высота подъема груза; in - кратность полиспаста.
Число рабочих витков нарезки

На барабан дополнительно наматывается 1,5...3 витка, которые в процессе работы никогда не сматываются и служат для уменьшения нагрузки на точку закрепления каната.
Количество нарезанных витков на барабане

Длина нарезанной части барабана без учета нарезки, необходимой для закрепления каната на барабане (еще 1...3 витка - см. ниже)

Для сдвоенного барабана длина не нарезной части b


Для нормальной работы канат не должен отклоняться от плоскости, проходящей через ось блока более, чем на угол γ, зависящий от формы ручья блока.


где 2a =60 град, а γ принимают в расчетах для гладких барабанов 2 градуса, а для нарезных барабанов 6 градусов.
Минимальное расстояние h от направляющего блока до оси барабана:
· для гладких барабанов

· для нарезных барабанов

где l - длина рабочей части барабана.
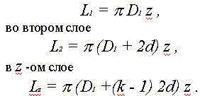
Многослойная навивка увеличивает канатоемкость барабана. При z витках в k слоях длина каната в первом слое.

Общая длина каната во всех k слоях:

Так как навивка может быть неравномерной, вводят коэффициент Ψ = 0,9 и тогда

Канатоукладчики предназначены для предохранения каната:
· от смещения;
· от запутывания;
· от ослабления.

Схема канатоукладчика: 1 - барабан, 2 - привод канатоукладчика, 3 - ходовой винт с двусторонней резьбой, 4 - направляющая, 5 - канат, 6 - каретка.
Закрепление конца каната на барабане.
По требованиям Госгортехнадзора канат закрепляют:
· прижимными планками;
· клиновыми зажимами.
На планке должно быть не менее двух болтов, причем
· при диаметре каната d не более 31 мм ставят одну планку;
· при d более 31 мм ставят две планки.

Натяжение каната в точке А при полутора запасных витках

где f = 0,1 - минимальное значение коэффициента трения, a=3p - минимальный угол обхвата барабана неприкосновенными
Расчет барабанов на прочность

Расчет барабана однослойной навивки.
Барабан представляется в виде полой трубы. Влияние ступиц не учитывается.
Допущения:
1. пренебрегаем толщиной стенок по отношению к диаметру;
2. нагрузка от каната приложена непосредственно по дну канавки под канатом;
3. величина нагрузки от каната на барабан не меняется по длине витка каната.
В результате взаимодействия с канатом барабан испытывает следующие нагрузки:
· сжатие,
· кручение,
· изгиб.
Однако при L≤3D (где l - длина барабана, а D - диаметр барабана) напряжения от изгиба и кручение составляют вместе около 10% от напряжений сжатия, что позволяет отнести изгиб и кручение к неучитываемым нагружениям.
Таким образом расчет проводится только на сжатие барабана.

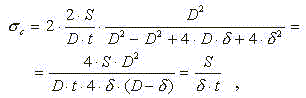
При огибании канатом с натяжением S барабана диаметром D, усилие на элементарную дугу кривой с центральным углом da равно

При длине этой дуги

погонное давление составит

При шаге нарезки винтовой канавки t внешнее распределенное давление:

Напряжения сжатия по формуле Ламе:

где D1 = D - 2d - внутренний диаметр барабана.
Тогда

при допущении, чтo

так как толщина барабана значительно меньше его диаметра.
Поэтому проверочный расчет барабана производится по формуле

При этом для стальных барабанов

а для чугунных

где σ т - предел текучести, а σ в - предел прочности при изгибе.
Для литого чугунного барабана

а для литого стального

Напряжение изгиба стенки барабана

Напряжения кручения

При необходимости учета всех видов напряжений

Барабаны многослойной навивки рассчитываются аналогично однослойным с учетом того, что удельное давление при многослойной навивке


Список литературы
1. Курсовое проектирование грузоподъёмных машин. Ред. Козак С.А.
-М:Высш. шк., 1989.-319 с.
2. Справочник по кранам. Александров М.П., Гохберг М.М., том 1,2.
-Л:Машиностроение ,1988.
3. Подъёмно-транспортные машины. Атлас конструкций.,под ред. Александрова М.П. и Решетникова Д.Н.-М.:1987.
