АСР редукционной установки по давлению пара
Курсова робота
з дисципліни Автоматизация технологических процессов
на тему: "АСР редукционной установки по давлению пара"
2
010
Курсовой проект содержит: стр. __, рисунков __, таблиц __, приложений __
Ключевые слова: Математическая модель, Редукционная установка.
Объектом исследования является Редукционная установка
Цель проекта: Разработка математической модели.
В процессе работы была разработана математическая модель, проведен анализ статических и динамических характеристик объекта, произведен расчет регулирующего органа для регулирования расхода пара.
Содержание
1. Описание редукционной установки
2. Принципиальная схема включения и регулирования
3. Динамика РУ
4. Разгонные характеристики
Выводы
Литература
Приложения
1. Описание редукционной установки
В схемах энергоблоков для редуцирования давления и снижения температуры пара до заданных параметров применяются редукционно-охладительные установки (РОУ). В редукционных установках (РУ) производится только снижение давления пара с частичным снижением температуры за счет дросселирования.
Пар по трубопроводу через запорную задвижку (1) поступает к регулирующему клапану (2), где и происходит редуцирование давления. Установка снабжена автоматическим регулятором давления.
Этот регулятор поддерживает заданное давление редуцированного пара с точностью ±0,5 кгс/см2. Снижение давления осуществляется в регулирующем клапане с помощью золотника, соединенного с рычагом. Открывается клапан электрический с евромотором электронного регулятора, связанным с рычагом клапана штангой.
На трубопроводе редуцированного пара расположено импульсно-предохранительное устройство, предназначенное для сброса излишков пара в атмосферу при повышении давления в трубопроводе выше допустимого.

Рис.1: Схема РУ
Импульсно-предохранительное устройство состоит из импульсного (3) и главного предохранительного (4) клапанов.
Номинальная производительность редукционных установок:
РУ-14/6-54 т/ч;
РУ-14/3-20 т/ч.
Таблица 1: Состав редукционных установок
|
РУ-14/6 |
РУ-14/3 |
|||
|
Ду, мм |
Ру, кгс/см2 |
Ду, мм |
Ру, кгс/см2 |
|
|
Задвижка с цилиндрическим редуктором |
300 |
64 |
150 |
64 |
|
Клапан регулирующий поворотный |
300 |
64 |
150 |
64 |
|
Клапан предохранительный |
300 |
10 |
250 |
25 |
|
Клапан импульсивный |
20 |
40 |
20 |
40 |
Задвижка Ду 300, серия 2с 26
Изготовитель - ПО "Сибэнергомаш".
Задвижка с приводной головкой, снабженной цилиндрическим зубчатым редуктором. Приводная головка имеет маховик для ручного управления и шарнирную муфту для присоединения дистанционного привода.
Задвижка состоит из следующих основных узлов и деталей: корпуса с приварными седлами, крышки с бугелем, затвора, шпинделя,
узла сальникового уплотнения шпинделя, приводной головки.
Корпус и крышка с бугелем изготовлены из литых заготовок углеродистой стали. Соединение корпуса с крышкой фланцевое. Уплотнение соединения осуществляется с помощью металлической рифленой прокладки.
Затвор задвижки клиновой, двухдисковый, с распорным элементом. Соединение дисков (тарелок) с обоймой при помощи тарелкодержателей. Распорный элемент выполнен в виде грибка, один из концов которого плоский, а другой - в виде полусферы. Такая конструкция распорного элемента обеспечивает самоустановку тарелок относительно седел. Компенсация неточности изготовления, определение взаимного положения затвора и седел обеспечивается за счет прокладки.
Приводная головка расположена в верхней части бугеля и состоит из стальной втулки, соединенной с приводом, двух упорных подшипников, резьбовой втулки, взаимодействующей со шпинделем.
Присоединение задвижки к трубопроводу сварное.
Материалы основных деталей задвижки:
крышки и корпуса - сталь 25Л;
шпинделя - сталь 35;
сальниковой набивки - прессованные асбографитовые кольца;
тарелки - сталь 38ХМЮА с твердым азотированием;
седла - сталь 20 с наплавкой уплотнительных поверхностей.
Рисунок представлен в приложении 1.
Регулирующий клапан Ду 150, 300, серия 6с-8.
Представлен на рисунке в приложении 2.
Изготовитель - ПО "Сибэнергомаш".

Основные детали регулирующего поворотно-золотникового клапана:
Главный предохранительный клапан
Представлен на рисунке в приложении 3.
Таблица 2: Технические х-ки главных предохранительных клапанов

Главный и импульсный клапаны ИПУ устанавливаются только на горизонтальных участках трубопроводов в строго вертикальном положении, в местах, удобных для обслуживания. Направление потока рабочей среды в ГПК - на тарелку (прижимает к седлу), в ИК - под тарелку (отжимает от седла).
Действует импульсно-предохранительное устройство следующим образом. При повышении давления в паропроводе выше допустимого открывается ИК. Это открывает доступ пара из импульсного клапана через соединительный трубопровод 25x3 в главный предохранительный клапан. Пар попадает в надпоршневое пространство сервопривода ГПК. Площадь поршня сервопривода превышает площадь тарелки, на которую воздействует давление пара, стремящееся закрыть клапан. Усилие, действующее на поршень сверху, преодолевает усилие, действующее на тарелку снизу. Вследствие этого в системе "поршень-тарелка" возникает перестановочное усилие, направленное вниз, и главный клапан открывается.
Когда давление пара в трубопроводе понижается, ИК закрывает доступ пара в надпоршневое пространство ГПК. Оставшийся в надпоршневом пространстве пар через зазоры между штоком и втулкой предохранительного и импульсного клапанов выходит в атмосферу. Давление над поршнем сервопривода ГПК падает, и под действием пружины и давления пара на тарелку со стороны трубопровода ГПК также закрывается.
С целью предотвращения непроизвольного срабатывания ГПК (в случае неплотности затвора ИК) в крышке ГПК выполнен штуцер, соединяющий надпоршневую полость с выхлопным трубопроводом ГПК. С помощью этой системы утечка через затвор удаляется в атмосферу.
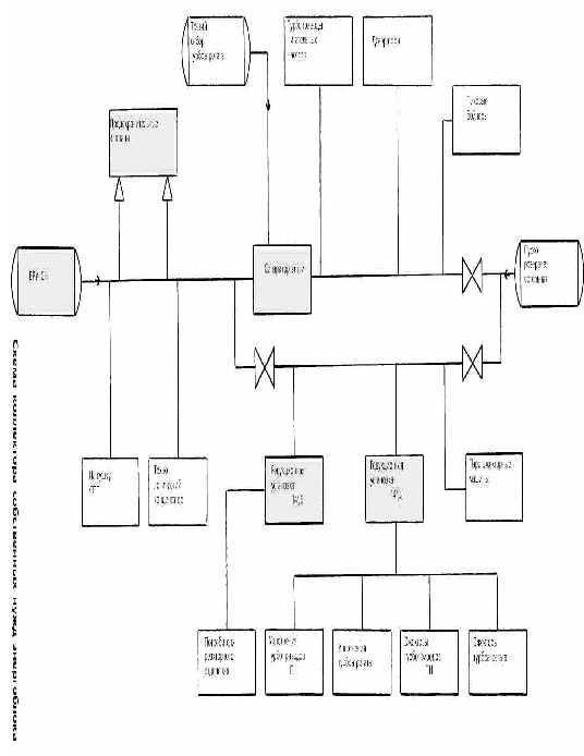
2. Принципиальная схема включения и регулирования
Редукционно-охладительные установки (РОУ) предназначены для снижения давления и температуры пара (обычно острого, отводимого из основного паропровода). Снижение давления осуществляется с помощью дроссельного регулирующего клапана, а температуры - впрыском охлаждающей воды. Давление и температура редуцированного пара определяются назначением и требованиями потребителя пара.
На ТЭС ГОУ применяются для резервирования теплофикационных отборов, собственных нужд, подогрева мазута.
На АЭС ГОУ применяются для подачи пара на уплотнения турбины, к эжекторам и пароэжекторным машинам.
Точность поддержания давления и температуры редуцированного пара диктуется потребителем. Обычно точность поддержания давления пара составляет ± 2%, температуры - 1,5%.
Схема подключения РОУ изображена на рис.7.1. Свежий пар поступает к дроссельному клапану 2 через входную задвижку 1, дросселируется сначала в дроссельном клапане, а затем в шумоглушителе 3. Последние применяются при околозвуковом или сверхзвуковом перепаде давления.
Охлаждающая вода поступает через водяную задвижку 4 и регулирующий клапан 6 на форсунку 8. Часто перед дроссельным клапаном 6 устанавливается дроссельное устройство в виде дроссельной шайбы 5 или группы шайб. Это делается в тех случаях, когда охлаждающая вода подается к РОУ от источника с высоким давлением (например, от питательного насоса), значительно превышающим давление, необходимое для впрыска воды.
Дроссельное устройство рассчитывается на пропуск такого количества воды, которое необходимо для охлаждения максимально возможного расхода пара. Для предотвращения опасного повышения давления дросселированиого пара на выходном паропроводе устанавливается предохранительное устройство 10, На охладителе пара 9 соосно с его корпусом обычно устанавливается защитная труба, предназначенная для уменьшения вредного воздействия воды на стенку охладителя пара.
Как объект регулирования РОУ имеет две регулируемые величины: давление и температура пара за РОУ.
Основным возмущающим воздействием на давление пара является изменение его потребления или давления свежего пара. Возмущающим
воздействиям на температуру пара являются изменения потребления пара расход и давление свежего пара.

Рис.3: Принципиальная схема включения и регулирования
Регулирующим воздействием на давление пара является изменение расхода свежего пара, а на температуру - изменение расхода охлаждающей воды. Как объект регулирования давления РОУ обладает самовыравниванием, и ее динамику можно описать уравнением инерционного звена первого порядка.
I как объект регулирования температуры РОУ можно считать безынерционным
\ объектом, однако, так как температура измеряется инерционным датчиком, то инерционность РОУ определяется инерционностью датчика.
Регулирование давления осуществляется регулятором 11, получающим импульс от манометра 12 и воздействующим на клапан 2.
Температура редуцированного пара регулируется регулятором 14,| получающим импульс от термопреобразователя 13 и воздействующим на клапан 6. Для повышения точности измерения температуры
I термопреобразователь должен устанавливаться на расстоянии 8-10 м после впрыска, чтобы влага успела полностью испариться. Иногда для сохранения Постоянного перепада давления на клапане 6 в широком диапазоне изменения расходов впрыска в качестве клапана 6 применяется трехходовой клапан постоянного расхода. Такой клапан обеспечивает изменение подачи воды в пароохладитель путем сброса ее в сливную линию 7 при неизменном расходе воды через дроссель 5.
Описанное регулирование давления после РОУ называется регулированием "после себя".
3. Динамика РУ
На тепловых электростанциях и котельных агрегатах используются редукционные установки различных типов и назначения, например, РУ1,2/0,8 МПа, РУ1,2/0,65 МПа,
РУ1,2/0,8 МПа и другие. Редукционная установка РУ1,2/0,8 МПа предназначена для догрузки промышленного отбора водяного пара и обеспечения оптимальной работы турбины. Эта редукционная установка имеет производительность 30 тонн пара в час при начальных значениях давления пара, равного 1,2МПа, и температуре пара 2400 С. Давление редуцированного пара составляет 0,8 МПа. Редукционные установки РУ1,2/0,65
МПа и РУ0,8/0,65 МПа предназначены для редуцирования водяного пара перед деаэраторами, работающими под давлением 0,6МПа, тепловых электростанций, а также для редуцирования водяного пара на промышленных предприятиях. Производительность таких установок около 15 тонн в час. Аналоговые системы управления, которыми снабжены редукционные установки водяного пара, переоборудуются в настоящее время на тепловых электростанциях и промышленных предприятиях на цифровые системы управления. Синтез цифровых систем управления технологическими процессами с использованием микропроцессорных устройств требует более подробного математического описания и анализа работы объектов автоматизации по сравнению с описанием объектов управления для аналоговых систем управления /1/. Это относится и к редукционным установкам пара тепловых электростанций и котельных агрегатов.
На рисунке 4 приведена схема редукционной установки водяного пара тепловых электростанций и автономных котельных агрегатов. Она содержит трубопровод 1 подвода к установке водяного пара, редукционный клапан 2, управление которым обычно осуществляется регулятором прямого или непрямого действия, камеру понижения (редуцирования) давления 3 до заданного значения, выходной вентиль или выходной регулируемый клапан 4 и выходной трубопровод 5. Выходной регулируемый клапан 4 конструктивно не входит в редукционные установки, однако в условиях работы тепловых
электростанций или котельных установок, например, для подачи пара на деаэраторы, в
качестве выходного вентиля 4 используется регулирующий клапан системы регулирования давления пара в головках деаэраторов или системы удаления кислорода из воды в деаэраторах путем барботирования паром.

Рис.4: Схема редукционной установки водяного пара тепловых электростанций и котельных агрегатов.
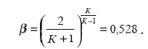
Для теплоэнергетических приложений газовой динамики /2/ при течении газов с достаточно большой скоростью через относительно короткие проточные части машин теплообмен между газовыми частицами не успевает осуществляться в заметной степени, поэтому газодинамические расчеты могут строиться на основе предположения об адиабатности процесса. Отсюда вытекает, что при дросселировании водяного пара энтальпия не изменяется и температура до и после редукционного устройства остается постоянной. Течение водяного пара через редукционное устройство, как и течение любого газа, может происходить с докритической или сверхкритической (дозвуковой или сверхзвуковой) скоростью и характеризуется коэффициентом . Для адиабатного процесса и двухатомных газов коэффициент адиабаты K=1,4 и коэффициент определяется по формуле:

Для перегретого водяного пара К=1,3 и п=0,546. По значению коэффициента п определяют критическое давление водяногопара на входе редукционных установок. Pкр>пP1,где P1-давление до редукционного клапана, Па; Pкр-критическое давление после редукционного клапана, Па.
Для рассматриваемых редукционных установок РУ1,2/0,8 МПа, РУ1,2/0,65 МПа и РУ0,8/0,65 МПа критические давления составляют соответственно 0,65; 065 и 0,44 МПа. Эти давления не больше давлений после редукционных клапанов, которые составляют соответственно 0,8; 0,65 и 0,65 МПа. На основании этих соотношений давлений скорости течения водяного пара через редукционный клапан 2 и регулируемый клапан 4 редукционных установок (рисунок 4) принимаются докритическими.
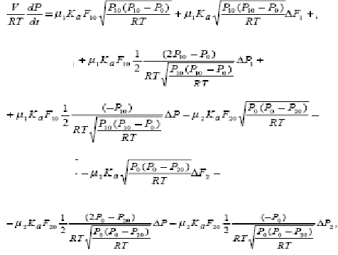
Уравнение динамики водяного пара в редукционной установке может быть представлено в следующем виде:

где V-объем водяного пара в камере понижения давления редукционной установки, м3, -плотность водяного пара, кг/м3; t-время, с;
G1 и G2-массовый расход водяного пара соответственно на входе в камеру понижения давления редукционной установки и на выходе из этой камеры, кг/с.
Для газообразных сред используют уравнение состояния /2/
P/=RT, (2)
где P-давление газообразной среды, Па; R-газовая постоянная, м2с-2 0К-1; Т-абсолютная температура среды, 0К. После дифференцирования уравнение (2) по давлению Р и плотности

и подстановки в уравнение (1) получим:

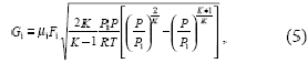
Скорость течения водяного пара через редукционный и регулируемый клапаны 2 и 4 докритические. Для докритического течения газа (водяного пара) массовый расход определяется по формуле /3/

где μ1-коэффициент расхода; F1-площадь проходного сечения редукционного клапана, м2;
K-коэффициент адиабаты перегретого водяного пара;
P1,P-давление водяного пара до и после редукционного клапана 2, Па.
Согласно /3/ уравнение (5) может быть преобразовано к виду:

где Ka-коэффициент, определяемый по формуле:

где μ2-коэффициент расхода выходного регулируемого клапана;
F2-площадь проходного сечения выходного регулируемого клапана, м2.
Уравнение (4) с учетом соотношений (6) и (8) принимает вид:

Полученное уравнение (9) - это нелинейное уравнение, которое для дальнейшего анализа необходимо линеаризовать. Переменными величинами в уравнении (9) являются F1, F2, P1, P и P2. Установившиеся значения этих переменных величин обозначаем через F10, F20, P10, P0 и P20. Соответствия между переменными величинами и их установившимися значениями имеют вид:
F1→F10; F2→F20; P1→P10; P→P0; P2→P20. (10)
Координаты переменных величин, выражаются через приращения и установившиеся значения следующими соотношениями:
F1=F10+ΔF1; F2=F20+ΔF2; P1=P10+ΔP1;
P=P0+ΔP; P2=P20+ΔP2. (11)
При линеаризации соотношения (9) вначале разлагают его в ряд Тейлора, пренебрегая величинами второго порядка малости, а затем вместо всех переменных параметров
делают подстановку их установившихся значений из соотношений (10). В результате таких действий получим линеаризованное уравнение:

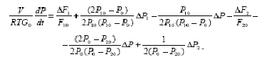
которое после некоторых упрощений принимает вид


Для установившегося течения водяного пара уравнение (9) при значениях соотношений (10) принимает вид:

Это соотношение равно нулю потому, что производная от постоянной величины dP/dt = 0. Уравнение (13) позволяет определить установившийся расход водяного пара через оба клапана редукционной установки, а именно:

Вычитая из уравнения (12) уравнение (13), и поделив обе части полученного соотношения на установившийся расход G0, получим:

После упрощения это уравнение принимает вид:

Перепишем уравнение (15) таким образом, чтобы были отношения ΔP/P0; ΔP1/P10 и ΔP2/P20

Введем в уравнении (16) следующие обозначения:

С учетом соотношений (17) уравнение (16) принимает вид

После преобразования по Лапласу получим:

где s-оператор Лапласа.
На рисунке 5 представлена структурная схема редукционной установки водяного пара, составленная по уравнению (19) с использованием типовых динамических звеньев теории автоматического управления. По этой схеме по каждому входному сигналу (каналу) можно определить передаточную функцию.

Рисунок 5: Структурная схема редукционной установки водяного пара
Полученные уравнения (18) и (19) позволяют провести анализ влияния различных параметров редукционной установки на постоянную времени Т1 и коэффициенты К1, К2 и К3, а также эффективно синтезировать цифровую систему управления редукционной установкой.
4. Разгонные характеристики

Рис.6: Структурная схема
Графики переходных процессов

Рис.7: График кривой разгона инерционного звена I-го порядка

Рис.8:

Рис.9: Расход пара от мощности ПГ.
Выводы
В данной курсовой работе била исследована динамика редукционной установки. Выходным параметром рассматривалось давление пара. Была составлена мат. модель, выведено дифференциальное уравнение замкнутой системы, также был проведен анализ динамических свойств, из уравнения замкнутой системы получили передаточные функции редукционной установки по давлению пара. По составленной структурной схеме с помощью пакета Simulink получили графики переходных процессов.
Литература
Методические указания к курсовому проектированию по дисциплине "Автоматизированные системы управления технологическими процессами АЭС" В.А. Демченко. - Одесса: ОНПУ, 1994. - 27с.
Автоматизация и моделирование технологических процессов АЭС и ТЭС В.А. Демченко Одесса 2001
Приложения
Приложение 1

Приложение 2

Рис. Регулирующий клапан Ду 150, 300, серия 6с-8
Приложение 3

Рис. Главный предохранительный клапан
Приложение 4
