Содержание улиц и городских дорог
Содержание
Введение 2
1. Содержание улиц и городских дорог в весенний и осенний периоды 4
2. Летнее содержание улиц и городских дорог 9
3. Зимняя уборка улиц и городских дорог 18
3.1 Способы борьбы со снегом на дорогах 19
3.2 Химические средства для борьбы со снегом 22
3.3 Технология очистки покрытий от снега 23
Заключение 30
Список литературы 32
Введение
Содержание городских дорог и тротуаров предусматривает сезонные работы по систематическому уходу за дорожными одеждами, поддержанию их в надлежащем эксплуатационном состоянии, порядке и чистоте.
Содержание дорожных одежд включает следующие виды работ:
очистку проезжей части и тротуаров от пыли, грязи, снега и льда;
уход за ослабленными участками дорог, в том числе пучинистыми, а также за покрытиями переходного типа;
работы по обеспечению безопасности движения;
приведение дорожной обстановки в надлежащее состояние, нанесение линий разметки на покрытиях улиц, проездов и площадей;
пропуск вод по отводным сооружениям, очистку и промывку водосточных и дренажных сетей;
уход за водосточной сетью в зимнее время (утепление колодцев, пропарка коллекторов для ликвидации ледяных пробок, организация снегосплава и контроль за ним и другие работы);
проведение периодического учета интенсивности движения транспорта по городским улицам и дорогам;
технический учет и инвентаризацию.
Работы по содержанию дорожных одежд и тротуаров носят сезонный характер, их разделяют на летние, осенние, зимние и весенние. Летом покрытия дорог, тротуаров, площадей регулярно подметают и промывают, обеспечивая их чистоту, совершенствуют дорожную обстановку, обновляют разметку. Осенние работы заключаются в подготовке дорожных одежд к эксплуатации в зимних условиях в период, наиболее трудный для обеспечения бесперебойного движения транспорта.
Зимние работы включают очистку проезжей части от снега и льда, устранение скользкости, своевременное распределение противогололедных и других материалов. Весенние работы направлены на ликвидацию последствий зимы, устранение возникших в зимний период деформаций и разрушений. Эти работы проводятся одновременно с текущим ремонтом. Большого объема работ требует содержание водостоков и дренажей.
1. Содержание улиц и городских дорог в весенний и осенний периоды
Работы по содержанию городских дорог преследуют главную цель - обеспечить круглогодично заданные значения их транспортно-эксплуатационных качеств: прочности, ровности, шероховатости, износа. Эти показатели во многом зависят от своевременного и качественного проведения работ по содержанию. Однако следует учитывать, что содержание дорог не ставит задачи повысить показатели качества, а лишь сохранить их проектную величину в течение определенного межремонтного периода.
Значения транспортно-эксплуатационных качеств устанавливаются проектом при строительстве или реконструкции дорог. Задача работ по содержанию - не допустить существенного снижения транспортно-эксплуатационных качеств в процессе эксплуатации дорог. Как указывалось ранее, воздействие на дорогу погодно-климатических факторов в разные периоды года различны. Поэтому различен и характер сезонных работ по содержанию городских дороги.
В весенний период содержание дорог сводится главным образом к предохранению одежд от разрушения на слабых пучинистых участках. К летнему содержанию относятся мероприятия по очистке дорожных покрытий, тротуаров, остановок городского транспорта от пыли, грязи, уличного мусора, а также по нанесению линий регулирования движения. Весенние работы по содержанию включают защиту дорожных одежд от проникновения влаги в заемляное полотно, очистку покрытий от грязи, грунтовых насосов, опавших листьев, а также подготовку к содержанию дорог в зимний период.
Зимние работы по содержанию являются наиболее трудоемкими и дорогостоящими. Они направлены на обеспечение бесперебойного и безопасного движения транспорта при снегопадах, метелях, обледенении дорожных покрытий. Как уже указывалось, в процессе содержания транспортно-эксплуатационные качества дорог не восполняются, а лишь поддерживаются в заданных величинах.
В летний период, а также зимой коэффициент прочности правило, не меняется, а при проведении работ по летнему и зимнему содержанию дорог обычно не принимается в расчет эксплуатационной службой. Зато в период оттаивания его величина резко снижается из-за увлажнения грунтов земляного полотна. Коэффициенты службы, износа, сцепления во все времена года в равной степени зависят от того, насколько своевременны и эффективны работы по содержанию городских дорог.
Всевозможные наплывы и неровности на дорогах снижают фактическую скорость движения транспорта и, следовательно, коэффициент службы. Песок и пыль на проезжей части влияют на коэффициент износа покрытий а, плотная корка снега и льда приводит к уменьшению коэффициента сцепления.
Временное снижение коэффициента сцепления может происходить на покрытиях при их увлажнении во время дождей или таяния снега, а также после влажной уборки или поливки улиц. Образующаяся при этом водная пленка снижает безопасность движения по дорогам. На дорогах Италии и ряда других стран установлены специальные автоматические устройства, регистрирующие толщину водной пленки на покрытиях и их скользкость и в зависимости от этого отмечающие на световых указателях допустимую скорость движения транспорта. Коэффициент сцепления повышают устройством на покрытиях шероховатых слоев износа.
В весенний период происходит оттаивание грунтов и обильное насыщение их влагой (четвертая стадия увлажнения). При этом снижается величина фактического модуля упругости, а следовательно, и коэффициент прочности.
На переувлажненных участках дорог под воздействием ударов и толчков при движении тяжелого транспорта могут образоваться просадки. Поэтому одной из первостепенных задач работ по содержанию улиц и городских дорог в весенний период является улучшение водно-теплового режима земляного полотна. Для этого прежде всего необходимо по возможности вывезти или разровнять тонким слоем снег, лежащий на газонах и разделительных полосах. Тем самым будет обеспечено равномерное оттаивание грунта земляного полотна по всей его ширине.
Весной особое внимание уделяют участкам дорог, подверженным пучинообразованию. За ними устанавливают постоянный надзор. При первых признаках пучинообразования принимают меры к прекращению движения по дороге или снижению его до полного оттаивания и высыхания пучинистых грунтов.
На улицах с троллейбусным движением, где невозможно изменить транспортные маршруты, ограничивают скорость движения по слабым, переувлажненным участкам до минимума или замедляют оттаивание грунтов земляного полотна, по возможности посыпая покрытия слоем песка, шлака или других теплоизолирующих материалов. Однако эти меры следует расценивать как временные. В качестве кардинальных мер, принимаемых к опасным, с точки зрения пучинообразования участкам улиц и городских дорог с интенсивным грузовым и троллейбусным движением, следует относить своевременную их реконструкцию с заменой пучинистых грунтов, устройством теплоизолирующих слоев.
Переувлажнение грунтов земляного полотна и потеря ими несущей способности могут происходить также при интенсивном таянии снега во дворах или на прилегающих к улице или городской дороге территориях. В этих случаях необходимо заблаговременно позаботиться о вывозке снега или, если это невозможно, об очистке лотков и обеспечении хорошего стока вод через закрытую водосточную сеть или по кюветам.
Водостоки должны быть заблаговременно подготовлены к приему паводковых вод. Необходимо снять установленное на зиму утепление с решеток водоприемных колодцев, проверить состояние дренажей мелкого заложения, а также колодцев и водопропускных труб и при наличии ледяных пробок удалить их паром, полученным в специальных передвижных парообразователях.
В весенний период на проезжую часть дорог может выноситься грунт с неблагоустроенных улиц или дворовых территорий, а также газонов и разделительных полос. Он загрязняет покрытия, делает их скользкими. Наносный грунт с покрытий необходимо своевременно убирать. Для этого используют автогрейдеры, поливомоечные машины, оборудованные зимними снегоочистительными щетками. После снятия грязи с покрытия его промывают струей воды.
Осенний период (первая стадия) характеризуется повышением увлажнения грунтов земляного полотна за счет притока поверхностных вод, главным образом атмосферных осадков, проникающих сквозь трещины и швы в покрытиях, в бортовых камнях, через газоны и обочины. В этот период понижается температура воздуха и в связи с этим уменьшается интенсивность испарения влаги. Поэтому необходимо заблаговременно позаботиться о снижении накопления влаги в земляном полотне. Для этого следует к началу осеннего периода завершить работы по заливке трещин и заполнению швов в цементобетонных покрытиях и бортовых камнях. Для уменьшения увлажнения грунтов и подстилающего слоя необходимо также обеспечить надежную работу сопутствующего дренажа мелкого заложения и водосточной сети.
В конце осени обычно проводят мероприятия по подготовке к зиме - очищают водосточные колодцы и трубы, утепляют водоприемники. В осенний период проезжая часть улиц нередко покрывается опавшими листьями. Они отбрасываются колесами транспортных средств или ветром к лоткам и в результате завихрения воздушных потоков у бортовых камней откладываются возле них в виде валиков. Опавшие листья служат помехой транспортному движению, повышают скользкость покрытий, особенно при торможении. К работам по осеннему содержанию городских дорог относится очистка их от опавших листьев, что осуществляется с помощью вакуумных подметально-уборочных или специальных листоуборочных машин.
В осенний период обычно заготавливают хлориды, пескосоляные смеси для зимней борьбы со снегом и льдом на проезжей части городских дорог. К работам по осеннему содержанию городских дорог относится также уборка проезжей части и тротуаров от пыли, грязи, уличного мусора. Организация и технология этих работ описана ниже.
2. Летнее содержание улиц и городских дорог
Работы по содержанию дорог в летний период заключаются в поддержании чистоты на проезжей части и тротуарах, а также в проведении мероприятий по предупреждению преждевременного износа и разрушения дорожных одежд, обеспечению нормальных условий их эксплуатации, повышению безопасности движения. Источником загрязнения проезжей части городских дорог является пыль и мусор, приносимые ветром с прилегающих неблагоустроенных улиц и дворов, а также грязь, заносимая колесами автомобилей.
Уборка проезжей части и тротуаров от пыли, мусора, отложений грунта и т.д. преследует две цели: во-первых, повысить санитарно-гигиенические условия на городских улицах и, во-вторых, улучшить транспортно-эксплуатационные качества городских дорог. Наносы песка, пыли, грунта действуют на покрытие при движении транспорта как абразивный материал и способствуют преждевременному их износу. Прикатанный колесами грунт создает неровности на покрытиях и снижает коэффициент службы. Наносы глины и ила на покрытиях при увлажнении снижают коэффициент сцепления.
Операции по уборке улиц разделяют на постоянные и периодические. К постоянным относятся работы, связанные с регулярной очисткой дорожных покрытий от грязи, пыли, мусора. Периодические операции по уборке улиц включают удаление с дорожных покрытий и лотков проезжей части отложений наносного грунта после ливней, грязи, выносимой колесами автомашин с близлежащих строек, а также другие работы, выполняемые не систематически (например, очистка проезжей части и тротуаров от опавших листьев, пыли и мусора, наносимых на проезжую часть сильными ветрами).
Улицы и городские дороги убирают по определенным, заранее намечаемым режимам. Режимы постоянных работ обусловлены рядом факторов, от которых зависит характер и степень загрязненности и запыленности улиц. К ним относятся: интенсивность и скорость движения транспорта, уровень благоустройства прилегающих улиц и дворовых территорий, наличие крупных торговых, зрелищных и других предприятий, работа которых связана с большим скоплением людей, состояние водоотвода.
К факторам, влияющим на выбор режимов периодических работ, относятся: наличие и расположение строительных площадок, временных складов растительного грунта, песка, расположение посадок деревьев и кустарников, преобладающее направление ветра. Интенсивность и скорость движения транспорта по дороге во многом определяют характер загрязнения улицы. Например, при интенсивности движения до 40 - 60 авт/ч и скорости до 40 км/ч пыль и уличный мусор распределяются по проезжей части сравнительно равномерно. На дорогах с более интенсивным движением и высокими скоростями пыль и мусор отбрасываются потоками воздуха, возникающими при прохождении транспорта к бортовому камню и располагаются вдоль него полосой шириной 0,5-1 м.
На улицах с односторонним движением или на магистралях с разделительной полосой загрязнения скапливаются по обеим сторонам проездов - у бортовых камней, а при наличии резервной зоны - частично на ней. Грунтовые наносы после таяния снега или дождей откладываются обычно у бортовых камней. Наносный грунт со строительных площадок распределяется, как правило, по всей ширине проезжей части.
Количество наносимых на дорогу загрязнений зависит от того, насколько высока степень благоустройства прилегающей к дороге территории. Если улицы и дворы имеют усовершенствованные покрытия, хорошо озеленены, то с них меньше будет наноситься на дорогу пыли, грязи, мусора. На улицах, проездах, площадках, примыкающих к рынкам, магазинам, вокзалам, мусор распределяется равномерно по проезжей части. Его накопляемость определяется интенсивностью пешеходного движения, а также числом уличных урн для мусора, их расстановкой. Засоряемость остановок городского транспорта также происходит равномерно.
В зависимости от засоряемости проезжей части улиц, накопления на ней грязи, пыли, мусора назначаются те или иные технологические операции летней уборки, а также их периодичность. Установлены значения предельной засоренности проезжей части. Для улиц в благоустроенных жилых районах с усовершенствованными покрытиями на дорогах, тротуарах и во дворах предельная норма засоренности не должна превышать 30 г/м2; для улиц, пересекаемых дорогами с покрытиями переходного или простейшего типов, а также к которым примыкают дворы с такими же покрытиями - 50 г/м2; для второстепенных улиц и проездов с небольшой интенсивностью движения - 80 г/м2; для остановок городского общественного транспорта установлена санитарная норма засоренности - 10 г/м2.
Различают следующие технологические операции летней механизированной уборки дорожных покрытий: мойку, поливку, подметание, уборку остановок транспорта, уборку грунтовых наносов.
Мойка дорожных покрытий. Мойку производят на улицах и дорогах с водонепроницаемыми покрытиями (асфальтобетонными, цементобетонными), имеющими закрытую систему водоотвода или достаточные продольные уклоны, обеспечивающие надежный сток воды. Мойка водопроницаемых покрытий, таких, как, например, щебеночное, может привести к их размыву и разрушению. Механизированную мойку дорожных покрытий обычно производят в ночное время специальными поливомоечными машинами (рис.1).

Рис.1. Поливомоечная машина
Днем улицы моют лишь в исключительных случаях после сильных дождей, когда необходимо убрать с проезжей части наносы грунта.
Основными узлами поливомоечной машины являются цистерна, водяной насос, система трубопроводов, поворотные сопла (насадки). Вода из цистерны по всасывающему трубопроводу подается к насосу и далее по напорному трубопроводу к насадкам. При мойке сильно загрязненных проездов, например, примыкающих к стройплощадкам, где грунт выносится на проезжую часть колесами автомобилей или попадает с газонов и разделительных полос, используют поливомоечные машины, снабженные снегоочистительными щетками. Покрытие увлажняют, затем подметают щетками, убирая с него грязь. После уборки грязи покрытие тщательно промывают. Для предотвращения попадания на проезжую часть грязи с газонов и разделительных полос их поперечный профиль следует по возможности устраивать вогнутым, как это делается, например, на улицах городов Финляндии, Швеции и ряда других стран.
Мойку покрытий производят плоскими веерообразными струями, выбрасываемыми из насадков машины под давлением до 4 кгс/см2 (0,4 МПа). Насадки поворачивают и устанавливают таким образом, чтобы направление струй составляло 75-80° к направлению движения поливомоечной машины (рис.2).
Рис 2. Мойка проезжей части
Загрязнения смывают с покрытия к бортовому камню и затем наиболее легкие частицы с потоками воды попадают в водосточную сеть. Проезжую часть улиц и дорог обычно моют под уклон. Этим достигается наибольшая эффективность мойки. Ширина промываемой полосы 7 м.
Улицы и дороги, имеющие ширину проезжей части до 14 м, промывают одной поливомоечной машиной. Сначала моют одну сторону, затем другую. При большей ширине проезжей части применяют колонну машин. Первая машина промывает полосу осевой линии, остальные следуют за ней уступами с перекрытием полос, вымытых впереди идущими машинами на 0,7-1 м. Интервал между машинами в колонне от 10 до 20 м. Последняя машина, идущая вдоль лотка, снабжена специальной насадкой, создающая сильную струю. Она промывает прилотковую полосу, на которой оседают наиболее тяжелые частицы уличного мусора. Средняя часовая производительность машины 15 тыс. м2.
Поливомоечные машины заправляют водой из городского водопровода. Эффективность использования поливомоечных машин во многом зависит от продолжительности их заправки водой. Число заправочных пунктов необходимо назначать из условия сокращения времени пробега машин и заправки их водой. Расстояние от заправочного пункта до обслуживаемых улиц не должно превышать 1,5-2 км. Заправочные пункты организуются над колодцами городского водопровода. В колодце устанавливают гидрант со шлангами для одновременной заправки водой двух поливомоечных машин. Если в городской водопроводной сети не хватает напора или расстояние до заправочного пункта слишком велико, заправку машин можно производить из водоемов рек, озер, предварительно получив на это разрешение от органов санитарного надзора.
Режимы мойки устанавливают в зависимости от интенсивности движения. На скоростных и магистральных улицах с интенсивностью движения более 240 авт/ч мойку проезжей части производят один раз в 5 сут.; на улицах и дорогах местного значения при интенсивности до 120 авт/ч - один раз в 3 сут; при интенсивности до 60 авт/ч - один раз в 2 сут. Площади и проезды с большим пешеходным движением, примыкающие к вокзалам, рынкам, большим магазинам, автостанциям, следует мыть ежедневно не менее одного раза. Нормы расхода воды составляют: при мойке проезжей части 0,9-1,2 л/м2, при мойке лотков 1,6-2л/м2. Широкие тротуары моют поливомоечными машинами один раз в сутки.
Поливка дорожных покрытий. Поливку производят для снижения запыленности и улучшения микроклимата на улицах города в жаркие летние дни. В отличие от мойки поливку можно осуществлять на дорогах с любыми типами покрытий. Поливку, как и мойку, производят поливомоечными машинами с той лишь разницей, что насадки устанавливают таким образом, чтобы струи воды были направлены вперед по ходу движения машины. Ширина полосы поливки 15 м. Средняя часовая производительность машины 55 тыс. м2.
При поливке должно быть обеспечено равномерное смачивание покрытия. Расход воды для поливки улиц с усовершенствованными покрытиями составляет 0,2-0,3 л/м2, с прочими покрытиями - 0,4-0,6 л/м2. В жаркую сухую погоду действие поливки весьма кратковременно, особенно на благоустроенных улицах и дорогах. Существуют более эффективные способы борьбы с запыленностью - с помощью жидких хлоридов (СаС12), битумных эмульсий, отходов целлюлозно-бумажной промышленности и т.д. Эти реагенты могут оказывать пылесвязующее действие при норме расхода 0,5-1 л/м2 в течение 20-30 дней.
Подметание дорожных покрытий. Подметание производят в первую очередь на тех улицах и проездах, где отсутствует ливневая канализация и мойка их малоэффективна. Подметание покрытий производят в дневное время подметально-уборочными машинами (рис.3), которые при проходе забирают пыль и уличный мусор в бункер. Машины оборудованы специальными приспособлениями для обеспыливания рабочей зоны путем увлажнения покрытия или отсоса пыли.

Рис.3. Подметально-уборочная машина
Специальное оборудование подметально-уборочной машины смонтировано на шасси грузового автомобиля. Оно состоит из подметальных щеток, транспортера, бункера для мусора, системы увлажнения покрытия, механизмов привода. На машине установлены три подметальные щетки - главная цилиндрическая, расположенная за задними колесами, и две круглые лотковые, установленные по обе стороны машины.
Главная цилиндрическая щетка служит для подметания покрытия и подачи уличного мусора в питатель механического транспортера, который направляет его в бункер машины. Лотковые щетки служат для подметания проезжей части и лотковой полосы. Вращаясь вокруг своей вертикальной оси, они перемещают мусор в зону действия главной щетки, которая забрасывает его в питатель. Имеются вакуумные подметально-уборочные машины, в которых пыль и мусор подаются в бункер пневматическим транспортером.
Подметально-уборочные машины, выпускаемые отечественной промышленностью, обладают большой производительностью (до 20 тыс. м2/ч) и отличаются высоким качеством уборки. После прохода машины обычно в лотке остается не более 5 г/м2 пыли, что в шесть раз меньше предельно допустимой засоренности.
Установлен следующий порядок подметания улиц. В первую очередь подметают лотки непромытых за ночь улиц и магистралей с интенсивным движением транспорта. Во вторую очередь подметают проезжую часть улиц со средней и малой интенсивностью движения транспорта. Затем по мере накопления уличного мусора убирают остальные улицы в соответствии с установленным режимом уборки.
Для уборки тротуаров и остановок городского транспорта применяют малогабаритные тротуароуборочные машины. Ширина убираемой такими машинами полосы составляет 0,8-1,5 м. Тротуары и остановки убирают в часы наименьшего движения пешеходов и минимального скопления пассажиров. При одноразовом режиме уборки подметание производят рано утром, до начала движения городского транспорта. При двухразовой уборке первое подметание производят рано утром, второе - вечером, после того как уменьшится поток пассажиров городского транспорта и возвращающихся с работы пешеходов.
К работам по летнему содержанию дорог относится заполнение швов в бетонных покрытиях, бортовых камнях, а также нанесение и возобновление на проезжей части линий регулирования уличного движения. Швы в бетонных покрытиях заполняют различными мастиками, герметиками или неопреновыми прокладками для предотвращения попадания в них влаги, а также улучшения ровности при движении автомобилей. В последнее время для заполнения швов в цементобетонных покрытиях все чаще стали применять самовулканизирующиеся герметики, приготовляемые на основе полисульфидных смол - тиокола.
Тиоколовые герметики имеют высокую упругость, деформативность. хорошо сцепляются с бетоном. Эти свойства сохраняются в течение 15-20 лет. Для приготовления тиоколового герметика и заполнения швов в Союздорнии создан специальный агрегат, который состоит из мешалки, компрессора, двигателя и заливщиков. Швы перед заливкой необходимо тщательно прочистить от грязи металлически ми крючками и затем продуть сжатым воздухом.
Швы в бортовых камнях заполняют цементным раствором. Перед этим их очищают от грязи и промывают. Для заполнения швов раствором применяют шприц, имеющий конический конус с соплом и винтовой шток с поворотной ручкой. Шприц крепится с помощью кронштейна к передвижной тележке. При мойке дорожных покрытий, а также во время дождей мусор и грязь попадают с проезжей части в дождеприемные колодцы и оседают в отстойниках и водосточных трубах.
3. Зимняя уборка улиц и городских дорог
Влияние снежно-ледяных образований на транспортно-эксплуатационные качества дорог.
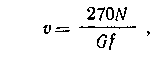
Задача зимней уборки - обеспечить бесперебойное и безопасное движение транспорта по улицам города при любых погодных условиях. Снежно-ледяные образования на дорожных покрытиях влияют на транспортно-эксплуатационные характеристики городских дорог, определяемые двумя основными показателями - коэффициентом сопротивления качению колес и коэффициентом сцепления колес с покрытием. Во время сильных снегопадов коэффициент сопротивления качению значительных но возрастает. При этом увеличивается мощность, необходимая для преодоления автомобилем сопротивления снежного покрова и снижается скорость движения автомобилей, а следовательно, и их производительность, а также себестоимость перевозок.
Зависимость между скоростью движения и коэффициентом сопротивления качению на асфальтобетонных покрытиях выражается следующей формулой:

где N - мощность двигателя, расходуемая на преодоление сопротивления снежного покрова, л. с; G - масса автомобиля, кг; / - коэффициент сопротивления качению (при чистом сухом асфальтобетонном покрытии / = 0,02, при заснеженном покрытии { = = 0,1-0,2).
Из приведенной формулы видно, что для повышения скорости движения на дороге, покрытой слоем снега, надо увеличить мощность двигателя, т.е. затратить больше энергии, чем при движении по сухому чистому покрытию.
3.1 Способы борьбы со снегом на дорогах
Существует несколько способов борьбы со снегом и льдом на дорогах: механический, с помощью хлоридов, комбинированный. Выбор того или иного способа зависит главным образом от вида и состояния снежно-ледяных образований. Свежевыпавший рыхлый снег легче убирать с проезжей части, чем слежавшийся, уплотненный. Еще труднее очищать дорожное покрытие от плотного льда.
Работы по зимней уборке улиц и городских дорог делятся на основные и дополнительные. К основным работам относятся: расчистка проезжей части от выпадающего снега и предотвращение образования уплотненной корки; удаление с покрытий снежно-ледяных накатов и уплотненного снега; удаление снежных валов, образовавшихся в результате расчистки проезжей части; борьба со скользкостью на проезжей части при гололеде.
К дополнительным относятся работы: по уборке снега и льда с перекрестков, остановок городского транспорта, формовке снежных валов, зачистке лотков проезжей части после вывоза снега. Очередность и сроки проведения работ по расчистке проезжей части от снега, а также борьбе со скользкостью устанавливаются в зависимости от категории улиц.
Все убираемые улицы разделяются на три группы. К улицам I группы относятся въезды в город, скоростные и магистральные улицы, по которым проходят троллейбусные и автобусные маршруты, улицы с интенсивным движением, улицы с большими продольными уклонами, а также с узкой проезжей частью, на которой затруднено размещение снежных валов. К I группе относят также дороги, ведущие к больницам, противопожарным сооружениям.
II группа включает улицы и дороги со средней интенсивностью движения, а также площади у вокзалов, рынков, магазинов. К III группе относятся все остальные улицы и городские проезды. В зависимости от того, к какой категории относится улица или городская дорога, назначают очередность и сроки проведения работ по борьбе со снегом и льдом.
Снег на дорожном покрытии при определенных условиях может из рыхлого, сыпучего состояния перейти в твердое. При температуре, близкой к 0°С, снег уплотняется колесами автомобилей и затем с наступлением морозов превращается в плотный снежно-ледяной накат. Состояние снега на проезжей части, его способность уплотняться под действием колес и примерзать к поверхности покрытия характеризуется двумя основными показателями - силами внутреннего трения и сцеплением (смерзанием) с покрытием. Когда снег находится в рыхлом состоянии величина этих показателей минимальна, и требуется сравнительно небольшое приложение сил, чтобы убрать его с проезжей части.
При уплотнении снега и понижении температуры образуются снежно-ледяные накаты, в которых силы внутреннего трения и сцепления с покрытием достигают таких величин, что для их преодоления требуются значительные усилия. Величину силы, необходимой для преодоления внутреннего трения между кристаллами снега и сцепления с покрытием, определяют по формуле

где г - разрушающее касательное напряжение, кгс/см2 (МГТа); σ - напряжение сжатия, действующее нормально к направлению сдвига, кгс/см2 (МПа); tg φ - тангенс угла внутреннего трения снега; С - коэффициент сцепления снега с покрытием, кгс/см2 (МПа).
При внесении в снег химических реагентов значительно снижаются тангенс угла внутреннего трения и силы сцепления снега с покрытием. При снижении тангенса угла внутреннего трения до 0,48 и сцепления с покрытием до величины, близкой к нулю, значение т становится минимальным, и в этом случае можно обеспечить высокое качество уборки снега с проезжей части механическим способом - плужно-щеточными снегоочистителями.
Исследованиями, проведенными проф. Г.Л. Карабаном и В.Б. Ратиновым, определена сущность физических явлений, происходящих при внесении в снег химических реагентов. Под воздействием колес движущегося транспорта происходит перемешивание снега с внесенными в него реагентами. При этом образуется соляной раствор, который обволакивает кристаллы снега, создавая между ними своеобразную пленку. Эта пленка служит как бы незамерзающей смазкой, способствующей взаимному перемещению кристаллов.
Однако следует иметь в виду, что при введении в снег чрезмерно большого количества реагентов может образоваться значительное количество свободного соляного раствора, не участвующего в процессе снижения сил внутреннего трения и сцепления снега. Возникновение на проезжей части свободного раствора приводит к плавлению снега до полужидкого состояния, при котором снег приобретает высокую подвижность и способность совместно с соляным раствором оказывать вредное воздействие на металлические части транспортных средств. Установлены средние нормы введения в снег реагентов, исключающие образование на покрытиях свободного соляного раствора. При температуре снега выше - 6° С вводится 15 г/м2 реагентов, при температуре снега от - 6Э до - 18° С - 25 г/м2, ниже - 18° С - 35 г/м3.
Химические реагенты вызывают повышенную коррозию металлических трубопроводов подземных коммуникаций. Они также вредно влияют и на солевой состав почв, замедляя рост придорожных зеленых насаждений. Установлено, что повышенное содержание в почве ионов хлора вредно сказывается на росте зеленых насаждений. Поэтому немаловажное значение для сохранения окружающей среды имеет выбор химических средств для борьбы со снежно-ледяными образованиями.
3.2 Химические средства для борьбы со снегом
Применяют твердые, жидкие реагенты, а также пескосоляные смеси. К твердым реагентам относятся хлорид кальция (СаС12) и и хлорид натрия (NaCl). Эти материалы весьма гигроскопичны и обладают свойством слеживаться - превращаться в твердый монолит. Опыты, проведенные в Академии коммунального хозяйства им. К.Д. Памфилова, показали, что при смешении этих двух реагентов образуется так называемая неслеживающаяся смесь, которая способна в течение длительного времени не терять своей сыпучести. Однако неслеживающаяся смесь, а также каждый из составляющих ее хлоридов оказывают вредное действие на окружающую среду. Поэтому применение этих хлоридов следует по возможности ограничивать, а использовать реагент ХКФ (хлористый кальций фосфатированный), выпускаемый промышленностью на основе хлористого кальция с добавлением так называемых ингибиторов - веществ, снижающих коррозийную активность хлоридов. В реагенте ХКФ хлористый кальций ингибирован фосфатами, которые, являясь хорошими минеральными удобрениями, способствуют росту зеленых насаждений и тем самым в значительной мере нейтрализуют вредное влияние на растения ионов хлора.
Другим рекомендуемым реагентом служит нитрит-нитрат-хлорид кальция (ННХК), содержащий ингибиторы, замедляющие процесс электрохимической коррозии, а также удобрения, стимулирующие рост зеленых насаждений. К жидким реагентам относят растворы хлористых солей. Чаще применяют раствор хлористого кальция с концентрацией твердого вещества свыше 30%.
В раствор NaCl вводят добавку на хинолиновой основе, которая ограничивает электрохимический процесс коррозии металлических частей автомашин. В ГДР в качестве жидких хлоридов применяют хлористомагниевую щелочь - побочный продукт химической промышленности. Растворы хлоридов имеют температуру замерзания от - 20 до - 60° С. При взаимодействии с ними лед и снег плавятся.
Действие хлоридов на снежно-ледяные образования характеризуется их плавящей способностью. При выборе того или иного вида хлоридов учитывают их плавящую способность при данной температуре воздуха. Для борьбы со снегом и снежно-ледяными образованиями помимо химических реагентов в чистом виде применяют еще так называемые пескосоляные смеси. Пескосоляная смесь - это смесь песка с хлоридами (хлористыми натрием, кальцием ил-магнием). Обычный состав пескосоляной смеси для борьбы со снегом,%\ песок - 92-97, поваренная соль (NaCl) - 3 - 8. При температуре воздуха ниже минус 20° С пескосоляную смесь указанного состава не применяют, так как образующийся при таянии снега раствор поваренной соли при низких температурах замерзает, превращаясь в очень твердую наледь. В сильные морозы более эффективной является смесь песка с хлористым кальцием СаС12 или хлористым магнием MgCl2.
3.3 Технология очистки покрытий от снега
Свежевыпавший снег с проезжей части сметают и сгребают в валы. При интенсивности движения по дороге до 100 маш/ч снег убирают одними только плужно-щеточными снегоочистителями (рис.4).

Рис.4. Плужно-щеточный снегоочиститель с оборудованием для разбрасывания песка
Очистку проезжей части начинают с наступлением снегопада и производят через каждые 2-3 ч по мере накопления снега. После окончания снегопада производят окончательную очистку проезжей части.
При интенсивности движения более 100 маш/ч плужно-щеточные машины не всегда успевают очистить проезжую часть, предотвратить закатывание снега колесами и образование плотного наката. В этих случаях применяют комбинированный способ снегоуборки - с помощью средств механизации и химических материалов. Химические материалы препятствуют уплотнению снега колесами и снижают величину сил сцепления (смерзания) снежно-ледяных образований с дорожным покрытием.
Очистка дорожных покрытий от снега комбинированным способом заключается в чередующихся операциях по их обработке химическими реагентами и затем сметанию и перемещению снега в валы. Через 15-30 мин после начала снегопада в зависимости от его интенсивности по покрытию распределяют реагенты. После этого в течение нескольких часов происходит перемешивание их со снегом колесами автомобилей, в результате чего на покрытии образуется соляной раствор, препятствующий образованию снежно-ледяного наката. Затем снег сметают и сгребают его в валы к лотку проезжей части. Указанные операции повторяют в течение всего периода снегопада. По его окончании производят завершающее подметание проезжей части и сгребание снега в валы. В дальнейшем, если это предусмотрено режимом уборки, снег из валов грузят в самосвалы и вывозят на снежную свалку или к месту снегосплава.
При подметании число снегоочистителей выбирают с таким расчетом, чтобы за один проход можно было убрать проезжую часть до середины улицы. Затем снегоочистители разворачивают и убирают вторую половину проезда. Такой порядок уборки предотвращает образование промежуточных валов, которые обычно разбрасываются проходящим транспортом и прикатываются колесами. Первая снегоочистительная машина проходит по оси проезда, идущие за ней - движутся уступами с интервалом 15-20 м с перекрытием подметенных полос на 0,3-0,5 м. На широких улицах и при значительной толщине снежного покрова величину перекрытия полос увеличивают до 1-1,2 м.
В прилотковой части дорог часто возникают плотные снежно-ледяные образования. Они нередко образуются под снежным валом и трудно поддаются механическому удалению из-за смерзания с покрытием. Поэтому перед складированием снега покрытие в прилотковой части обрабатывают химическими реагентами с повышенной нормой посыпки, равной 80-100 г/м2. После такой обработки, если на покрытии образовался уплотненный слой снега или льда, силы сцепления в нем будут настолько малы, что его нетрудно будет убрать механическим способом - обычным сгребанием. Уборка снега с проезжей части позволяет увеличить пропускную способность улиц и дорог, а также повысить безопасность движения транспорта и пешеходов. Очистку от снега тротуаров и садово-парковых дорожек производят малогабаритными универсальными машинами с плужно-щеточным (рис.5)

Рис.5. Плужно-щеточный снегоочиститель для уборки снега на тротуарах и фрезерно-роторным навесным оборудованием (Рис.6).

Рис.6. Очистка садово-парковой дорожки фрезерно-роторным снегоочистителем
При выборе того или иного метода уборки снега проводят технико-экономический анализ, учитывающий местные условия: возможность складирования снега, наличие мест для вывоза, расстояние перевозки. С проезжей части снег убирают двумя основными методами: складированием и вывозом на снежные свалки или в места снегосплава. Если позволяет ширина проезжей части, складирование снега производят на прилотковой полосе или резервной зоне. Можно также складировать снег на газонах или других свободных от застройки площадках, удобных для размещения валов или куч снега.
Вывоз снега в комплексе работ по зимней уборке улиц является наиболее трудоемкой операцией. Собранный в валы снег грузят с помощью специальных машин-снегопогрузчиков (рис.7).

Рис.7. Погрузка снега в автомобили-самосвалы снегопогрузчиком
Транспортировку снега производят автомобилями-самосвалами. Для максимального использования грузоподъемности самосвалов их оборудуют кузовами повышенной вместимости или наращивают борта на 80-90 см. Для обеспечения непрерывной работы снегопогрузчика за ним закрепляют определенное число автомобилей. Основные затраты по вывозу снега определяются дальностью его транспортирования. Поэтому сокращение расстояния, на которое вывозится снег, является решающим условием снижения стоимости этой операции.
Снег с улиц вывозят на поля, пустыри, в русла рек, а также сбрасывают в люки водосточных сетей или хозяйственно-фекальной канализации. Выбор мест для снегосвалок и сплава должен быть согласован с органами санитарного надзора. При вывозе снега на сухие свалки необходимо учитывать возможность отвода талых вод в весенний период. При сбрасывании снега в русла рек целесообразно выбирать не замерзающие места - вблизи выпусков теплой воды от теплоэлектростанций или других подобных предприятий. Иногда устраивают искусственную полынью, в которой устанавливают на понтоне подвесной гребной винт. Понтон закрепляют неподвижно, и создаваемое винтом бурное течение не позволяет воде покрыться льдом. Такие полыньи для сброса снега могут иметь длину до 40 и ширину до 10 м. Снегосвалки устраивают на набережных - снимают ограждения и устанавливают колесоотбойные брусья высотой 35-45 см. Они могут быть деревянными или железобетонными. Если глубина реки у берега невелика, устраивают разгрузочные эстакады на сваях. При правильной организации работ по снегоуборке в большинстве случаев удается обеспечить нормальную эксплуатацию городских дорог в зимний период и поддерживать на заданном уровне их транспортно-эксплуатационные качества.
Дорожная служба должна стремиться к тому, чтобы не допускать закатывания снега колесами автомобилей и образования снежно-ледяных накатов на проезжей части, так как работы, связанные с их устранением, весьма трудоемки и требуют значительных затрат. Если, однако, по какой-либо причине снег не был своевременно удален с проезжей части и превратился в снежно-ледяной накат или плотный лед, удаление наката или льда производят обработкой химическими реагентами при норме посыпки 200-300 г/м2.
Минимальный размер кристаллов реагентов должен при этом составлять 7-8 мм. Покрытия обрабатывают обычно в ночные или утренние часы, до начала интенсивного движения транспорта во избежание сбрасывания реагентов с проезжей части колесами машин. Через несколько часов после посыпки скалывают верхний слой уплотненного снега и льда толщиной 15-20 мм, затем повторно посыпают реагентами и снова скалывают. Так - до полного удаления снежно-ледяного наката. Скалывание производят авто-грейдером, снабженным гребенчатым ножом или специальным скалывателем-рыхлителем. После скалывания уплотненный снег и лед окучивают и перемещают в снежные валы.
Технология снегоуборки с применением пескосоляных примесей почти не отличается от обработки покрытий химическими реагентами. Отличие состоит лишь в норме посыпки, которая составляет для пескосоляных смесей 250-300 г/м2. По проезжей части пескосоляную смесь или хлориды рассыпают машины - пескоразбрасыватели или универсальные разбрасыватели. Пескосоляную смесь применяют также для повышения коэффициента сцепления колес с покрытием на крутых подъемах, поворотах, подъездах к мостам, тоннелям и т.д. На таких участках норма посыпки увеличивается до 400 г/м2.
К недостаткам пескосоляной смеси относится, в частности, загрязнение дорог и дорожных сооружений песком, который выносится талой водой в водосточную сеть, перемещается вместе со снегом по проезжей части, перекидывается в газоны и т.д. Применение пескосоляной смеси требует значительных затрат, связанных с добычей и перевозкой большого количества песка, перемешиванием его с хлоридами, погрузкой в специальные машины - пескоразбрасыватели. Кроме того, песок действует на металлические части транспортных средств как абразивный материал и в смеси с хлоридами вызывает повышенную коррозию металла. Поэтому химические реагенты в чистом виде, как показали исследования, более экономичны и удобны для борьбы со снегом и льдом на городских дорогах.
Заключение
Большинство населения проживает в городах и населенных пунктах. Улицы и площади служат не только для технических целей (прокладки различных сооружений) и транспортных нужд, но и являются местами массового пребывания людей. На улицах и площадях жители города ежедневно проводят значительную часть своего времени, затрачивая его на пути к месту работы и обратно, по домашним делам и в места отдыха.
Учитывая возросшие эстетические потребности, улицы и площади должны отвечать определенным требованиям: быть чистыми, хорошо освещенными, иметь элементы информации и рациональное размещение наземных и подземных сооружений. Расположение транспортных путей должно обеспечивать условия удобного и безопасного их использования при наличии благоустроенных остановочных пунктов, пешеходных путей и переходов. Для оздоровления воздуха должны быть предусмотрены зеленые насаждения.
Чистота улиц и площадей достигается подметанием и очисткой их с обязательным применением механических средств. Надземные сооружения размещают так, чтобы они не являлись причинами загрязнения улиц и их можно было бы очищать машинами. Улицы для движения пешеходы не должны иметь грунтовое покрытие, способствующее образованию пыли и грязи.
Газоны и зеленые насаждения должны быть расположены так, чтобы не возникала необходимость прохода по ним. При этом зеленые насаждения должны быть отделены художественно оформленными осаждениями.
При отделении зеленых насаждений от тротуаров бортовым камнем, последний должен возвышаться над уровнем их поверхности не менее чем на 5 см с тем, чтобы дождевая вода с газонов не попадала на тротуары и проезжую часть, неся за собой частицы грунта.
На улицах на определенных расстояниях (50 - 100 м) размещают урны, красиво оформленные и удобные дли их быстрой очистки при сборе мусора в машины.
Список литературы
Эксплуатация городских улиц и дорог: Учебник для вузов / Под ред.А.Я. Тулаева. - М.: Стройиздат, 1979. - 288 с.
Организация и технология уборки городов. М., Стройиздат, 1980. - 321 с.