Технология получения лизина
Содержание
Введение
Характеристика конечной продукции производства
Химическая схема производства
Технологическая схема производства
Характеристика сырья, материалов
.1 Приготовление стерильных питательных сред
4.2 Приготовление посевного материала
4.3 Условия культивирования
5. Получение препаратов лизина
5.1 Жидкий концентрат лизина
5.2 Сухой концентрат лизина
5.3 Кристаллический лизин
Введение
В последние годы в Российской Федерации резко сократилась продукция животноводства и, как следствие этого, возрос до недопустимых размеров импорт мясопродуктов.
Одной из причин уменьшения производства мясопродуктов является ухудшение качества кормов и повышение их стоимости, что вызвано практически полной остановкой предприятий производивших кормовой белок в силу их неконкурентоспособности при изменившейся структуре цен. Сегодня кормовой белок почти полностью импортируется.
Однако, есть альтернативное решение проблемы повышения качества кормов. Известно, что дефицит белка может быть компенсирован введением в корма незаменимых аминокислот, причем в первую очередь устраняется дефицит аминокислоты, находящейся в относительном минимуме, затем следующей – и так далее, т.к. привесы определяются не общим содержанием белка, а именно по содержанию наиболее дефицитной незаменимой аминокислоты в нем. Порядок лимитирования определяется применяемыми компонентами кормов и потребностями в аминокислотах у животных и птицы. Аминокислотный состав кормовых ингредиентов и потребности в различных аминокислотах хорошо изучены и давно известны.
Так, для зерна злаковых и всех сельскохозяйственных животных и птицы лимитирующими аминокислотами являются метионин, лизин, триптофан и треонин.
В настоящее время в России в сельском хозяйстве птицеводство является ведущей отраслью. При кормлении птицы первой лимитирующей аминокислотой является лизин, второй - метионин, который производится как в России, так и за рубежом методом химического синтеза, и в достаточных количествах поступает на российский рынок.
Эффект применения незаменимых аминокислот, в частности L-лизина, основывается на том, что белок зерновых – основного компонента кормов для сельскохозяйственных животных и птицы – имеет неблагоприятный состав, образующих его аминокислот. Одна из них – L-лизин – находится в дефиците и не может быть синтезирована в организме животного.
Обычно дефицит устраняется внесением в рацион т.н. «протеиновых» (белковых) добавок, богатых L-лизином – таких, как рыбная и мясокостная мука, соевый и подсолнечниковый шрот, гидролизные и кормовые дрожжи. Однако дефицит, как было сказано выше, можно устранить и просто введением в корм соответствующего количества кристаллического L-лизина.
В развитых странах в последнее время потребление L-лизина интенсивно растет – 12-15% прироста ежегодно – и приблизилось сегодня к 500 тыс.т./год. До начала экономических реформ СССР являлся крупнейшим производителем L- лизина (до 1/3 мирового производства в середине 80-х годов).
1. Характеристика конечной продукции производства
Лизин – это незаменимая аминокислота, входящая в состав практически любых белков, необходима для роста, восстановления тканей, производства антител, гормонов, ферментов, альбуминов.
В настоящее время установлено, что лизин в организме является не только структурным элементом белка, но и выполняет ряд важных биохимических функций — является предшественником карнитина и оксилизина, способствует транспорту кальция и стронция в клетки и др.
Доказано, что лизин улучшает аппетит, способствует секреции пищеварительных ферментов, предотвращает кариес зубов у детей.
В основном L-лизин используется в качестве кормовой добавки, что связано с низким количеством этой аминокислоты в растительных кормах.
Лизинсодержащие препараты могут использоваться в растениеводстве. Применение таких препаратов, содержащих кроме аминокислот и другие биостимуляторы, дает значительное увеличение урожая тепличных и полевых сельскохозяйственных культур.
Кроме того, предложено использовать препараты лизина в качестве пищевых атрактантов для дезориентации личинок проволочников.
Пантотенат лизина может быть использован против лейкопении. Противоанемическим и анаболизирующим действием обладают соли фитиновой кислоты и лизина, оксилизина. Ацетиласпартат лизина может использоваться для лечения миокарда, интоксикаций эндогенного или экзогенного происхождения, заболеваний печени и т. д.
Образующиеся после ферментации клетки микроорганизмов, наряду с маточными растворами, обычно утилизируют в белковый кормовой продукт по технологии производства кормовых дрожжей.
Лизин (2,6-диаминогексановая кислота) — алифатическая аминокислота с выраженными свойствами основания; незаменимая аминокислота. Лизин известен в виде двух оптически активных D- и L-форм. Бесцветные кристаллы. Природный L-лизин (t>пл> 224—225°С, с разложением) хорошо растворим в воде, кислотах и основаниях, плохо — в спирте. Выделен в 1889 из гидролизата казеина, синтезирован в 1902; входит в состав почти всех белков животного и растительного происхождения (в большом количестве лизин содержится в гистонах и протаминах, в малом — в белках злаков. Отсутствие лизина в пище замедляет рост у детей, у взрослых приводит к отрицательному балансу азота и нарушению нормальной жизнедеятельности организма. Суточная потребность в лизине у взрослых составляет 23 мг/кг массы тела, у младенцев — 170 мг/кг.
Химическая формула: C>6>H>14>N>2>O>2 >
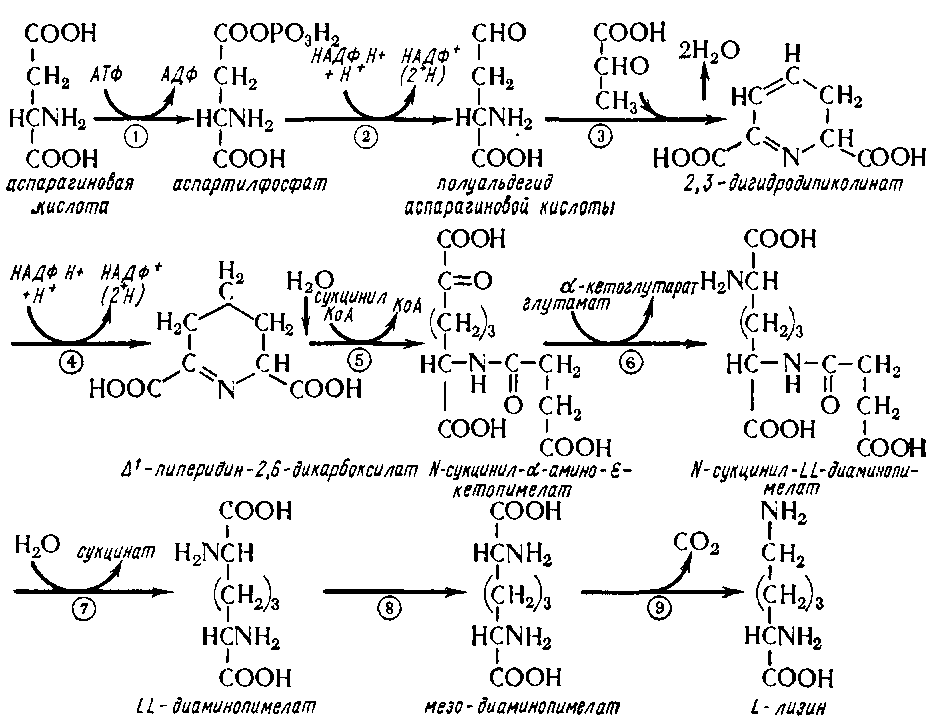
2. Химическая схема производства
Химизм образования молекулы лизина показан на рис. 1.

Рис. 1. Химизм биосинтеза лизина
При получении лизина необходимо исключить нежелательные побочные процессы. Так, при недостаточной аэрации может идти образование аланина или молочной кислоты вместо синтеза лизина. Очень важным фактором является концентрация дефицитных аминокислот — гомосерина, метионина и треонина в среде. Для нормального роста и биосинтеза лизина культурой Brevibacterium sp. 22 оптимальной считается концентрация треонина в 800 мг, метионина — 200 мг на литр питательной среды. Кроме того, для развития культуры необходим тиамин в концентрации 200 мкг на 1 л среды. Важным регулятором процесса является биотин. Одна и та же культура Brevibacterium sp. 22 при концентрации биотина в среде, равной 1—4 мкг/л, продуцирует глутаминовую кислоту, а при концентрации 15— 20 мкг/л — лизин. Считают, что биотин изменяет проницаемость клеточной оболочки. При концентрации биотина 2,5 мг/л стимулируется также образование молочной кислоты.
Важную роль играет треонин, являясь обязательным фактором роста на начальном этапе ферментации. Однако концентрация его не должна быть большой, так как на дальнейших этапах ферментации (при синтезе лизина) он может действовать как ингибитор фермента аспартаткиназы. Присутствие лизина усиливает ингибирующие свойства треонина.
В производственных условиях, если выход лизина составляет 35,7% от используемых сахаров, суммируемое превращение глюкозы, аммиака и кислорода в лизин и клеточную биомассу можно описать уравнением:
100C>6>H>12>O>6 >+ 219O>2 >+ 86NH>3> 35C>6>H>14>N>2>O>2 >+ 16C>8>H>13>O>4>N + 262CO>2 >+ 380H>2>O + 1669кДж
В правой части данного уравнения первый член показывает количество лизина, получаемого из глюкозы. Из 1 молекулы глюкозы образуется 0,35 молекулы лизина. Второй член характеризует образование биомассы. Из уравнения видно, что на переработку каждой молекулы глюкозы требуется 2,19 молекулы кислорода. Это значит, что интенсивность аэрации во время роста культуры должна составлять 2—4 г 0>2> в час на 1 л среды.
3. Технологическая схема производства
В зависимости от назначения из культуральной жидкости можно получить различные микробиологические препараты (рис. 1): жидкий концентрат лизина (ЖКЛ), сухой кормовой концентрат лизина (ККЛ), кристаллический лизин.

Рис. 2. Технологическая схема производства препаратов лизина
Для биосинтеза лизина используют гомосериндефицитные мутанты ауксотрофных бактерий родов Brevibacterium, Micrococcus, Corynebacterium.
4. Характеристика сырья, материалов
В промышленных условиях в качестве источника углерода применяют фуражное зерно, мелассу, гидрол, гидролизаты целлюлозосодержащего сырья, крахмал, а также уксусную кислоту.
4.1 Приготовление стерильных питательных сред
Все продуценты лизина являются биотинзависимыми микроорганизмами. Количество биотина в среде должно быть значительно выше (29 мкг/л), чем это необходимо для нормального роста и развития микробной клетки (4–5 мкг/л). Если снизить количество биотина до 1–2 мкг/л, биосинтез лизина замедляется, но одновременно усиливается образование глутаминовой кислоты.
Источником биотина, витаминов и ряда аминокислот являются обычно кукурузный экстракт и свекловичная меласса. Максимальный биосинтез лизина наблюдается на средах с сахарозой (табл. 1).
Таблица 1.
Влияние источника углерода
(концентрация 7,5 %) на биосинтез
L-лизина
продуцентом Brevibacterium flavum
|
Источник углерода |
АСБ*, г/л |
Лизин, г/л |
Ассимилляция сахара, % |
Y>P>>/>>S> |
|
Глюкоза |
15,2 |
22,0 |
7,6 |
0,37 |
|
Сахароза |
18,2 |
25,0 |
7,1 |
0,42 |
|
Галактоза |
2,0 |
1,0 |
0,7 |
0,02 |
|
Ксилоза |
5,2 |
3,5 |
2,5 |
0,06 |
|
Манноза |
9,3 |
6,0 |
4,5 |
0,10 |
|
Рамноза |
3,6 |
2,0 |
1,3 |
0,03 |
|
Арабиноза |
1,0 |
Следы |
0,7 |
|
Существенное значение в процессе ассимиляции углеродсодержащих соединений имеет их концентрация в питательной среде. Наибольшее количество лизина получено на средах, содержащих 10–12 % сахарозы. При более высоких концентрациях сахарозы удельная скорость роста продуцента снижается и уменьшается коэффициент конверсии сахара (Y>P>>/>>S>).
4.2 Приготовление посевного материала
Посевной материал готовится в две стадии: сначала в колбах, а затем в посевных аппаратах при аэрации (11/мин) и интенсивном перемешивании и автоматическом регулировании температуры (300С) и рН=7 в соответствии с регламентом.
Если в качестве источника углерода используют уксусную кислоту (ацетат аммония), то, вследствие угнетающего действия ацетат-ионов на рост клеток при концентрации выше 2 %, осуществляют дробную подачу субстрата по мере его потребления.
Промышленными продуцентами лизина являются гомосериндефицитные мутанты ауксотрофных бактерий родов Brevibacterium, Micrococcus, Corynebacterium.
Клетки Brevibacterium sp. 22 культуры представляют собой неподвижные грамположительные палочки длиной 1,2—2,5 мкм, но иногда могут иметь овальную или круглую форму.
Клетки имеют максимальную длину в логарифмической фазе роста. У быстрорастущих клеток хорошо выражен рибосомальный белоксинтезирующий аппарат, а у медленно растущих, но интенсивно синтезирующих лизин — мембранная система. У клеток, интенсивно синтезирующих лизин, большую активность проявляют и ферменты цикла Кребса, многие из которых связаны с мембранами.
Среди источников азота наиболее часто используют соли аммония и кукурузный экстракт (получают обработкой кукурузных жмыхов серной кислотой при 90–100 °С), кислотные гидролизаты дрожжей или казеина. Последние содержат необходимые ауксотрофному штамму аминокислоты и витамины. Оптимальное соотношение углерода и азота в среде составляет 11 : 1 (при его увеличении выход лизина падает, при уменьшении накапливается аланин). В питательной среде также должны содержаться соли калия, магния и фосфора (табл. 2).
Таблица 2.
Состав питательных сред при выращивании продуцента лизина (%)
|
Компоненты |
Посевной аппарат |
Промышленный ферментер |
|
Мелассная среда |
||
|
Меласса (по содержанию сахара) |
7,5 |
7–12 |
|
Кукурузный экстракт (содержание СВ 50 %) |
2 |
1,2–1,5 |
|
Сульфат аммония |
2 |
2 |
|
Однозамещенный фосфат калия |
0,05 |
0,05 |
|
Двухзамещенный фосфат калия |
0,05 |
0,05 |
|
Мел |
1 |
1 |
|
Пеногаситель синтетический |
0,1 |
0,1 |
|
Вода |
Остальное |
Остальное |
|
рН среды |
6,9–7,0 |
7,0–7,2 |
|
Ацетатная среда |
||
|
Ацетат аммония |
1,5 |
1,5 |
|
Глюкоза |
1,0 |
1,0 |
|
Однозамещенный фосфат калия |
0,02 |
0,02 |
|
Сульфат магния |
0,04 |
0,04 |
|
Сульфат аммония |
3,0 |
3,0 |
|
Гидролизат соевой муки |
1,5 |
1,5 |
4.3 Условия культивирования
Общая схема производства препаратов лизина представлена на рис. 2
Процесс получения лизина требует строгих асептических условий.
Выращивание производственной культуры продуцента лизина обычно осуществляется периодическим способом в ферментаторах, объем которых составляет 50, 63 или 100 м3. Посевной материал в количестве 5–10 об. % от объема питательной среды поступает в ферментатор. Сразу после засева в него подается воздух, нагретый до 50 °С, из расчета 1 объем воздуха на 1 объем питательной среды в минуту при давлении 0,12–0,13 МПа.
Продолжительность ферментации составляет 55–72 ч, процесс проводят при интенсивном перемешивании среды, температуре 28–32 °С, рН = 7,0÷7,5 (поддерживается добавлением в среду аммиачной воды) и периодической подачей стерильного пеногасителя.
Процесс культивирования состоит из двух стадий. В первые сутки клетки потребляют около 25 % углеводов и азотистых веществ; в это время накапливается почти вся биомасса. На второй стадии скорость накопления биомассы резко снижается, но в КЖ происходит накопление лизина. По окончании процесса перестает потребляться титрующий агент (аммиачная вода) и концентрация лизина составляет 60–100 г/л, биомассы накапливается 10–15 г/л (СВ), коэффициент потребления сахара в расчете на лизин составляет 25–35 %.
5. Получение препаратов лизина
В зависимости от назначения из КЖ можно получить различные микробиологические препараты (рис. 2): жидкий концентрат лизина (ЖКЛ), сухой кормовой концентрат лизина (ККЛ), кристаллический лизин.
5.1 Жидкий концентрат лизина
Для получения ЖКЛ и ККЛ культуральную жидкость, содержащую 10–13 % СВ, подкисляют HCl до рН = 5,0 и добавляют 0,15% раствор гидросульфита натрия для стабилизации лизина. Стабилизированную культуральную жидкость упаривают под вакуумом до 35–40 % СВ.
5.2 Сухой концентрат лизина (ККЛ) получают, высушивая ЖКЛ в распылительных сушилках до влажности 5–6 %. Сухой ККЛ очень гигроскопичен, поэтому сразу после сушки его упаковывают в полиэтиленовые мешки.
Менее гигроскопичный ККЛ получают, высушивая ЖКЛ вместе с наполнителями (костной мукой, кормовыми дрожжами, пшеничными отрубями и др.).
В состав кормовых препаратов входят помимо лизина и другие аминокислоты, а также витамины, макро- и микроэлементы (табл. 3).
Таблица 3.
Химический состав кормовых препаратов лизина
|
Компонент |
Содержание |
|
Аминокислоты, масс. % от массы СВ |
|
|
Лизин |
15–20 |
|
Глутаминовая кислота |
2,5–3,7 |
|
Валин |
1,2–4,8 |
|
Аланин |
1,3–3,1 |
|
Аспарагиновая кислота |
0,8–1,4 |
|
Лейцин |
0,6–1,1 |
|
Пролин |
0,3–2,8 |
|
Глицин |
0,6–0,9 |
|
Аргинин |
0,3–0,8 |
|
Тирозин |
0,4–0,7 |
|
Метионин |
0,4–0,6 |
|
Изолейцин |
0,4–0,6 |
|
Фенилаланин |
0,2–0,6 |
|
Триптофан |
0,5–0,6 |
|
Серин |
0,4–0,6 |
|
Треонин |
0,3–0,6 |
|
Гистидин |
0,2–0,3 |
|
Цистеин |
0,2–0,3 |
|
Азотистые вещества, масс. % от массы СВ |
|
|
Общий азот |
5,2–7,9 |
|
Протеин (N6,25) |
37,5–49,4 |
|
Азот: |
|
|
белковый |
1,9–3,6 |
|
α-аминный |
0,9–2,0 |
|
аммиачный |
0,3–1,4 |
|
Бетаина |
0,82–1,66 |
|
Бетаин |
6,0–13 |
|
Витамины, мкг/г |
|
|
Тиамин (витамин В>1>) |
1,7–9,7 |
|
Рибофлавин (витамин В>2>) |
84,2–160 |
|
Пантотеновая кислота (витамин В>3>) |
30–60 |
|
Фолиевая кислота (витамин В>4>) |
10–20 |
|
Пиридоксин (витамин В>6>) |
100–340 |
|
Никотиновая кислота (витамин РР) |
8–10 |
|
Другие органические вещества, масс. % от массы СВ: |
|
|
редуцирующие вещества |
4,6–12,7 |
|
Жиры |
1,3 |
|
клетчатка |
0,3 |
|
Минеральные вещества, масс. % от массы золы |
|
|
Зола, масс. % от массы СВ |
19,0–28 |
|
Кальций |
5,2–12,5 |
|
Калий |
28,6–33,6 |
|
Натрий |
0,8 |
|
Магний |
1,1–1,5 |
|
Железо |
0,1–0,25 |
|
Фосфор |
2,2–4,4 |
|
Кремний |
10,9–11,5 |
|
Микроэлементы, мг/100 г |
|
|
Цинк |
1821 |
|
Кобальт |
67,8 |
|
Кадмий |
476,7 |
|
Молибден |
545,9 |
|
Марганец |
3071 |
|
Медь |
280 |
5.3 Кристаллический лизин выделяют из КЖ после отделения биомассы.
Для получения кормовых продуктов пригодны препараты лизина с содержанием основного вещества (лизинмонохлоргидрата) от 70 % и выше. При этом допускается окраска кристаллов в желтый и светло-коричневый цвета. К препаратам медицинского назначения предъявляются более жесткие требования; для парентерального питания содержание основного вещества должно быть не ниже 99 %.
При нормальном течении процесса доля побочных аминокислот не превышает 3 % от содержания лизина, доля микробных клеток — 1,5 %. Для отделения биомассы от КЖ используют саморазгружающиеся сепараторы, а также фильтрование с намывным слоем либо на барабанном вакуум-фильтре, либо на рамных фильтр-прессах с последующей промывкой осадка водой.
Растворы, содержащие лизин, после подкисления соляной кислотой (рН = 5,0÷5,2) и введения стабилизатора (NaHSO>3>) концентрируют выпариванием в вакууме до 45–50 % СВ. Полученный концентрат подвергают кристаллизации, которую проводят при 5–12 °С в течение 1–2 сут. Осадок отделяют от маточника в проточных промышленных центрифугах и далее высушивают в распылительной сушилке или в кипящем слое. Готовый продукт, как правило, окрашен в коричневый цвет и содержит не менее 70 % основного вещества.
Другим способом выделения лизина является ионообменный процесс. Для этого раствор продукта подкисляют H>2>SO>4> до рН = 1,6÷2,0, в результате чего образуется дикатион аминокислоты. После хемосорбции на катионите (КУ-2х8), используемом в Н+ или> >NH>4>+ форме, отделяются примеси нейтральной и кислотной природы. Аминокислоты элюируют из катионита 0,5–5 % гидроксида аммония, раствор упаривают, подкисляют HCl до рН = 4,9÷5,0, а концентрат кристаллизуют при 5–12 °С, получая кристаллы монохлоргидрата лизина светло-желтого или светло-коричневого цвета, которые после высушивания содержат 90–95 % основного вещества и 1,0–12,5 % золы. Для получения препарата более высокой степени чистоты в схему очистки включают стадию обработки раствора активным углем, перекристаллизацию из 50% этанола и др.