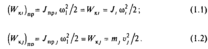
Расчетные схемы механической части электропривода
Расчетные схемы механической части электропривода
Механическая часть электромеханической системы (см. рис.1.2) включает в себя все связанные движущиеся массы: двигателя, передаточного устройства и исполнительного механизма машины. К ротору двигателя при скорости приложен электромагнитный момент М, под действием которого механическая часть приводится в движение и на рабочем органе машины совершается предусмотренная технологией механическая работа. Непосредственное представление о движущихся массах установки и механических связях между ними дает кинематическая схема электропривода.

Конкретные кинематические схемы отличаются многообразием, однако обладают и общими свойствами, которые можно установить с помощью кинематической схемы электропривода, представленной на рис.1.1,а. Здесь двигатель через соединительную муфту СМ1, клиноременную передачу КРП, ряд зубчатых передач ЗП>1>... ЗП>j> и соединительную муфту СМ2 приводит во вращение барабан Б, преобразующий вращательное движение в поступательное перемещение ряда связанных масс. В данной примерной схеме предполагается, что рабочим органом механизма является грузозахватывающее устройство, перемещающее груз Гр, имеющий массу m>гр>, движущийся со скоростью V>гр> и подверженный воздействию силы тяжести Р.
Рассмотренная схема наглядно отражает то положение, что в общем случае механическая часть электропривода представляет собой систему связанных масс, движущихся с различными скоростями вращательно или поступательно. При нагружении элементы системы (валы, опоры, клиноременные передачи, зубчатые зацепления, канаты и т. п. ) деформируются, так как механические связи не являются абсолютно жесткими. При изменениях нагрузки массы имеют возможность взаимного перемещения, которое при данном приращении нагрузки определяется жесткостью связи.
При составлении данной кинематической схемы принято, что механическая часть привода содержит n вращательно движущихся сосредоточенных масс и k поступательно, причем механическая инерция элементов, связывающих эти массы, не учитывается. Каждый вращательно движущийся элемент обладает моментом инерции J, и связан с (i + 1)-м элементом механической связью, обладающей жесткостью с>i> Соответственно каждый поступательно движущийся элемент имеет массу т>j> и связан со следующим механической связью с жесткостью с>j>. В пределах деформаций упругих механических связей, для которых выполняется закон Гука, их жесткости можно определить с помощью соотношений:
,
где М>yi> и F>yj> - нагрузка упругой механической связи; >i>=>i>->i+1> и S>j>=S>j>-S>j+1> - деформация упругого элемента при вращательном и поступательном движениях; ( и S - перемещения (пути) соответственно вращательно и поступательно движущихся элементов.
Массы
элементов и жесткости элементарных
связей в кинематической цепи привода
различны. Определяющее влияние на
движение системы оказывают наибольшие
массы и наименьшие жесткости связей.
Поэтому одной из первых задач проектирования
и исследования электроприводов является
составление упрощенных расчетных схем
механической части, учитывающих
возможность пренебрежения упругостью
достаточно жестких механических связей
и приближенного учета влияния малых
движущихся масс. При этом следует
учитывать, что в связи с наличием передач
различные элементы системы движутся с
разными скоростями, поэтому непосредственно
сопоставлять их моменты инерции J>i>,
массы m>j>,
жесткости связей c>i>
и с>j>,
деформации >i>
и S>j>,
перемещения >i>
и S>j>
и т. п. невозможно. Как следствие, для
составления расчетных схем механической
части электропривода необходимо
приведение всех параметров элементов
кинематической цепи к одной расчетной
скорости. Обычно наибольшее удобство
представляет приведение их к скорости
двигателя, поэтому оно используется во
всем последующем изложении. Однако
следует иметь в виду возможность
приведения к скорости любого элемента.
В частности, при решении ряда задач
оказывается полезным приведение к
скорости м
еханизма,
особенно при поступательном движении
его органа.
Условием соответствия приведенной расчетной схемы реальной механической системе является выполнение закона сохранения энергии. При приведении необходимо обеспечить сохранение запаса кинетической и потенциальной энергии системы, а также элементарной работы всех действующих в системе сил и моментов на возможных перемещениях. Соответственно при приведении момента инерции элемента системы, движущегося вращательно со скоростью >i> или массы, поступательно движущейся со скоростью v к расчетной скорости >i> должны выполняться условия
Откуда получаем формулы приведения

где i>1i>=>1>/>i> - передаточное число от вала приведения до i-го вала; p>1j>=v>i>/>1> - радиус приведения к валу со скоростью >1>.
При приведении вращательных >i> и поступательных S>j> перемещений необходимо учитывать, что передаточное число и радиус приведения определяются соотношением скоростей. Исходя из этого, в общем случае перемещения в системе связаны так:

При линейных кинематических связях i>1i=>const и >1j>=const. В этом случае формулы приведения перемещений имеют вид

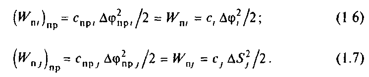
При приведении жесткостей механических связей должно выполняться условие равенства запаса потенциальной энергии деформации упругих элементов. Соответственно

Откуда получим формулы приведения

Приведение моментов и сил нагрузки элементов кинематической цепи должно осуществляться на основании условия равенства элементарной работы на возможных перемещениях:

Следовательно,

При проектировании и исследовании электроприводов моменты инерции, массы, жесткости связей реальных элементов обычно бывают известны, а действующие в системе силы либо заданы, либо рассчитываются по исходным данным механизма и условиям его технологии. После приведения их значений к расчетной скорости представляется возможным, сопоставив приведенные значения моментов инерции и жесткостей, осуществить выбор главных масс и главных упругих связей и на этой основе составить приближенную расчетную схему механической части. Для большей наглядности сопоставления по результатам приведения можно построить исходную приведенную расчетную схему, представив в ней массы в виде прямоугольников, площадь которых пропорциональна приведенным моментам инерции, а жесткости связей между ними в виде соединений, длина которых обратно пропорциональна жесткости (прямо пропорциональна податливости связей).
Для кинематической схемы на рис.1.1,а приведенная расчетная схема может иметь вид, показанный на рис.1.1,б. Для примера в ней выделены три наиболее значительные массы - ротор двигателя с моментом инерции J>1 >барабан с приведенным моментом инерции J>пр.n> и груз J>пр.k>. Рассматривая эту схему, можно видеть, что вследствие малости остальных моментов инерции ее можно существенно упростить. Для этого следует малые массы добавить к близлежащим большим, а затем определить эквивалентные жесткости связей между полученными массами по общей формуле:


На исходной расчетной схеме (рис 1.1,б) стрелками показаны приложенные к отдельным массам системы приведенные моменты действующих в системе внешних сил М>пр.i> и M>np.j>. К ротору двигателя J>1 >приложен электромагнитный момент двигателя M и момент механических потерь M, причем для правильного учета знака действующих моментов указано положительное для всей приведенной схемы направление скорости >1>. При переходе к упрощенной расчетной схеме необходимо просуммировать все внешние приложенные к массам силы, связи между которыми принимаются жесткими.
Исследования динамики электроприводов показывают, что неразветвленные расчетные механические схемы в большинстве практических случаев в результате выделения главных масс и жесткостей сводятся к трехмассовой (рис.1.2,а), двухмассовой (рис.1.2,б) расчетным схемам и к жесткому приведенному механическому звену (рис.1.2,в).
Параметрами обобщенной трехмассовой упругой механической системы (расчетной схемы на рис.1.2,а) являются суммарные приведенные моменты инерции масс J>1>, J>2> и J>3>, образованные приведенными массами, связи между которыми приняты жесткими, и эквивалентные приведенные жесткости механических упругих связей между J>1> и J>2>-c>12> и между J>2> и J>3>-c>23 >первая масса представляет собой ротор двигателя и жестко с ним связанные элементы; к этой массе приложены электромагнитный момент двигателя М и момент статической нагрузки М>с1>, который обычно является суммарным моментом потерь на валу двигателя и в жестко с ним связанных элементах.
К промежуточной массе механизма J>2> приложен момент сопротивления M>C2>, а к третьей J>3> - момент внешней нагрузки этой массы M>C3>.
Трехмассовая упругая система при исследовании электромеханических систем автоматизированного электропривода используется в тех случаях, когда возникает необходимость более детального анализа условий движения масс механизма. Для решения задачи при этом обычно используется математическое моделирование на аналоговых или цифровых вычислительных машинах.
Для исследования отдельных физических особенностей трехмассовая расчетная схема сводится к двухмассовой.
В обобщенной двухмассовой упругой системе (рис.1.2,б) суммарный приведенный момент инерции элементов, жестко связанных с двигателем, аналогично предыдущему обозначен J>1>. Суммарный приведенный момент инерции элементов, жестко связанных с рабочим органом механизма, обозначен J>2>. Безынерционная упругая связь между этими массами характеризуется приведенной эквивалентной жесткостью с>12>. Суммарные моменты нагрузок на валу двигателя и механизма обозначены соответственно M>с1> и M>с2>.
Электромеханическая система с двухмассовой упругой механической частью представляет собой простейшую модель электропривода, наиболее удобную для изучения влияния упругих механических связей, поэтому в данном курсе является основным объектом изучения.
Когда параметры системы таковы, что влияние упругих связей незначительно, или при решении задач, в которых с этим влиянием можно не считаться, механическая часть представляется простейшей расчетной схемой, не учитывающей влияния упругих связей, -жестким приведенным звеном (рис.1.2,в). В этих случаях многомассовая механическая часть электропривода заменяется одной эквивалентной массой с моментом инерции J>>, на которую воздействуют электромагнитный момент двигателя М и суммарный приведенный к валу двигателя момент нагрузки M>с>. Момент нагрузки М>с> включает в себя все внешние силы, приложенные к механической системе, кроме момента двигателя M.
При приведении к валу двигателя (>1>=>дв>) суммарный приведенный момент инерции электропривода J>> может быть выражен общей формулой

где п и k - число масс установки, совершающих соответственно вращательное и поступательное движение.
Суммарный приведенный к валу двигателя момент статической нагрузки М>с> можно в общем виде записать так:

где q, p - число внешних моментов M>с> и сил F>j> приложенных к системе, кроме электромагнитного момента двигателя.
В заключение отметим, что на практике встречаются разветвленные кинематические схемы, которые приводят к разветвленным расчетным схемам механической части Характерным примером являются кинематические схемы многодвигательных электроприводов, в которых двигатели через индивидуальные редукторы воздействуют на общий механизм.
1. Типовые статические нагрузки электропривода
Электромагнитный момент двигателя является выходной величиной для электрической части системы (см. рис.В.2) и входной для механической, поэтому при рассмотрении процессов в системе он выделен из всех действующих на механическую часть внешних моментов. Все остальные силы и моменты определяют статическую нагрузку электропривода M>с>. Во всех трех расчетных схемах (рис.1.2) в соответствии с (1.13) эта нагрузка неизменна, так как для двухмассовой системы M>c1> + М>с2>=M>с>, а для трехмассовой M>с1> + М>с2> + M>с3>=M>с>. Иными словами, при учете упругости суммарная нагрузка неизменна, но уточняется, к каким массам системы приложены отдельные составляющие нагрузки.
Все силы и моменты нагрузки, приложенные к механической части электропривода, делятся на силы и моменты механических потерь и силы и моменты, представляющие полезные нагрузки исполнительного механизма. Для схемы рис 1.1,б в общем виде можно записать
M>c>=M>>+M>пол.>>> (1.14)
где –

суммарный приведенный момент потерь, с учетом момента механических потерь в двигателе; р, q - число моментов и сил в системе, представляющих механические потери, М>пол.>>>- суммарный приведенный момент полезной нагрузки.

Полезная нагрузка является одним из главных факторов, связывающих электропривод с технологическим процессом приводимого в движение механизма Силы и моменты полезной нагрузки в различных механизмах имеют различный характер Для возможности обобщенного учета их влияния необходимо их классифицировать, выделив ограниченное число типовых нагрузок.
Так как для электропривода имеет важное значение, как зависит момент статической нагрузки от скорости, в дальнейшем используется понятие механической характеристики исполнительного механизма, представляющей собой зависимости M>с>=f() и =f(M>с>).
По характеру взаимодействия с электроприводом все силы и моменты делятся на активные и реактивные
Активными силами и моментами называются силы и моменты, создаваемые внешними по отношению к двигателю источниками механической энергии независимо от движения электропривода, например потенциальной энергией перемещаемых по вертикали грузов, энергией ветра и т.п. На рис.1.3,a упрощенно показан подъемный механизм, нагрузкой которого является приведенный момент силы тяжести груза G:

где g - ускорение силы тяжести; т - масса груза.
Сила тяжести как при подъеме, так и при спуске груза направлена в одну сторону - в сторону спуска и неизменна по значению. Соответственно механическая характеристика исполнительного механизма =f(M>с>) в этом случае имеет вид прямой М>с>=const (рис.1.3,а). Момент M>с> в соответствии с (1.15) зависит от массы поднимаемого или опускаемого груза и может изменяться в пределах от M>с>=0 (G=0) до M>с>=М>с ном>, соответствующего номинальной грузоподъемности (G=G>ном>).
Более широкие пределы изменения активной нагрузки характерны для уравновешенных подъемных механизмов. На рис.1.3,б показаны упрощенная схема такого механизма и соответствующие зависимости =f(M>с>) В данном случае:
M=(G>1>-G>2>)·R=g·(m-m>2>)·R. (1.16)
Очевидно, что в таком механизме при G>2>=const знак нагрузки электропривода при данном направлении скорости будет зависеть от массы m>1> поднимаемого груза G>1>. При m>1>=m>]HOM >М>С>=М>Сном>>0, так как G>1>>G>2>. При том же направлении скорости >0 в случае m>1>=0 знак нагрузки в соответствии с (1.14) изменяется. Физически это означает, что по мере уменьшения массы груза m>1> тормозной момент нагрузки электропривода уменьшается, при G>1>=G>2> становится равным нулю и при дальнейшем уменьшении m>1>(G>1>>G>2>) двигатель должен перейти в тормозной режим, подтормаживая опускающийся груз G>2>, (рис.1.3,б). При изменении знака скорости <0 (спуск груза G>1>) при m>1>=m>1ном >двигатель должен работать в тормозном режиме, опуская груз G>1>, а при m>1>=0 - в двигательном режиме, поднимая груз G>2>.
Реактивными силами и моментами называются силы и моменты сопротивления движению, возникающие как реакция на активный движущий момент, развиваемый двигателем, либо любой другой активный движущий момент, например обусловленный силой тяжести или силой инерции. Эти нагрузки всегда действуют в направлении, противоположном движению электропривода, и изменяют свое направление при изменении знака скорости.
Таким образом, все реактивные силы и моменты зависят от скорости. По характеру этой зависимости различают нагрузки типа сухого трения, типа вязкого трения и вентиляторного типа.
Силы и моменты сухого трения неизменны по модулю, но скачком изменяют свой знак при изменении знака скорости
М>с>=|M>c>| sign . (1.17)
Характеристика =f(M>с>) для нагрузки типа сухого трения показана на рис.1.4,a. В реальных механизмах эта характеристика может иметь более сложный вид из-за того, что в момент трогания силы трения могут превышать их значения при движении. Эта особенность реальных сил и моментов сухого трения отмечена на рис.1.4,a штриховыми линиями и значениями момента трогания ±М>с тр>.
Реактивные нагрузки, возникающие при различных технологических процессах обработки, могут иметь одно направление, скачком изменяя свое значение до нуля при изменении знака скорости. Примером может служить показанная на рис.1.4,б зависимость момента резания от скорости при обработке изделия резцом, как схематически это показано на рисунке. Значение статического момента при этом пропорционально усилию резания F>Z>.
M>c>=F>z>·R>и>
где R>и> - радиус изделия.
Силы и моменты вязкого трения линейно зависят от скорости:
M>с>=>вт>·, (1.18)
где >вт> - коэффициент пропорциональности (рис.1.5,a).
Нагрузка электропривода типа вязкого трения (1.18) на практике встречается редко, чаще всего ее можно наблюдать в виде слабой линейной составляющей в нагрузке типа сухого трения. Существенное влияние на динамические процессы в механической системе оказывают силы внутреннего вязкого трения, пропорциональные скорости деформации валов, канатов, муфт и других элементов. Момент внутреннего вязкого трения можно записать в виде (см. рис 1.2,б)
M>вт>=>вт>(>1>->2>) (1.19)
где >1> и >2> - скорости на входе и выходе деформируемого элемента; >вт> - коэффициент пропорциональности.
По характеру влияния на механические колебания в механике все силы и моменты делятся на консервативные и диссипативные.
К
онсервативными
называются силы и моменты, при воздействии
которых на систему не происходит
поглощения энергии колебаний. Такими
являются силы, не зависящие от скорости,
в частности сила тяжести, работа которой
за период колебаний скорости всегда
равна нулю. Диссипативными называются
силы и моменты, при воздействии которых
на систему происходит поглощение энергии
колебаний. Вязкое трение является
примером диссипативной силы (момента),
так как в соответствии с (1.18) при изменении
знака скорости изменяется и знак момента,
а механическая мощность сохраняет
положительный знак, что соответствует
поглощению энергии колебаний. Реально
на практике распространенными являются
нагрузки, зависящие от скорости в более
высокой степени:

M>с>=>мех>" (1.20)
При n=2 нагрузка называется вентиляторной (рис.1.5,б). Такой зависимостью нагрузки от скорости обладают центробежные вентиляторы. Для ряда механизмов показатель степени n>2; например такую характеристику имеют центробежные насосы, работающие на противодавление.
Существенное влияние на динамические процессы оказывают нагрузки, являющиеся периодической функцией угла поворота рабочего органа механизма. В приведенной схеме они зависят от утла поворота двигателя, например
M>c>=M>max> Sin . (1.21)
Причиной возникновения таких нагрузок являются особенности технологического процесса. Их появление можно представить себе, если в механической схеме резания, приведенной на рис.1.4,б, предположить, что заготовка имеет в сечении овальную форму. Появление периодических нагрузок могут вызывать нелинейные кинематические связи типа кривошипно-шатунных, кулисных и других механизмов, у которых периодической функцией угла поворота двигателя является радиус приведения >1j>.
Во всех случаях, когда скорость двигателя при работе с такими нагрузками изменяется мало и приближенно может быть принята постоянной, для упрощения анализа периодические нагрузки рассматривают как функции времени:

где >сp> - средняя за период колебаний нагрузки скорость электропривода; k - коэффициент пропорциональности, связывающий частоту колебаний нагрузки с угловой скоростью двигателя.
Нагрузки реальных электроприводов обычно содержат в качестве составляющих рассмотренные типовые нагрузки. Так, в нагрузке электропривода реальной подъемной лебедки, кроме показанной на рис.1.3,а, активной составляющей, содержится момент потерь в двигателе и передачах, который имеет вид момента сухого трения со слабой вентиляторной составляющей, обусловленной наличием самовентиляции двигателя.
При вычислении приведенного статического момента М>с> формулы (1.13) и (1.14) удобны для использования в тех случаях, когда все действующие в механизме силы и моменты определены. Обычно потери на трение в механизме неизвестны, и для их учета используется КПД механизма
>мех>=>1>·>2>·>3>….,
где >1, >>2>, >3 >- КПД элементов кинематической цепи.
Если известен полезный момент нагрузки механизма M>мех>, то для прямого направления энергии приведенный к валу двигателя момент статической нагрузки может быть определен из равенства

Следовательно,


где M - момент механических потерь в двигателе; i>0>=>1>/>мех>=i>1>i>2>i>3>…- общее передаточное число от двигателя к рабочему органу механизма. При обратном направлении потока энергии, когда нагрузка является активной, движущей и двигатель должен работать в тормозном режиме, уравнение баланса мощностей с помощью КПД передач можно записать так:

В этом случае
Момент механических потерь в двигателе невелик, составляет 1-5% номинального момента двигателя, причем большие значения его соответствуют двигателям небольшой мощности. Если значение M определить трудно, его можно ориентировочно оценить по этим данным. Во многих практических случаях в (1.24) и (1.26) полагают M=0, так как точность определения момента M>мех> невелика, и он рассчитывается с некоторым запасом, при этом формулы приведения момента статической нагрузки к валу двигателя принимают вид:
для прямого направления передачи энергии (двигательный режим работы двигателя)

для обратного (тормозной режим работы двигателя)

Если рабочий орган движется поступательно, уравнение баланса мощностей при прямом направлении потока энергии, принимая М=0, можно записать так:

Откуда

Соответственно для обратного направления потока механической энергии

Необходимо иметь в виду, что КПД передач зависит от нагрузки, а для червячного зацепления - и от направления передачи энергии, поэтому при расчетах для правильного определения М>с >следует использовать соответствующие зависимости >мех> от полезной нагрузки передач.
2. Уравнения движения электропривода
Механическая часть электропривода представляет собой систему твердых тел, на движение которых наложены ограничения, определяемые механическими связями Уравнения механических связей устанавливают соотношения между перемещениями в системе, а в тех случаях, когда задаются соотношения между скоростями ее элементов, соответствующие уравнения связей обычно интегрируются В механике такие связи называются голономными В системах с голономными связями число независимых переменных - обобщенных координат, определяющих положение системы, - равно числу степеней свободы системы Известно, что наиболее общей формой записи дифференциальных уравнений движения таких систем являются уравнения движения в обобщенных координатах (уравнения Лагранжа)

где W>K>
- запас кинетической энергии системы,
выраженный через обобщенные координаты
q>i>
и обобщенные скорости
>i>;
Q>i>=A>i>/q>i>
- обобщенная сила, определяемая суммой
элементарных работ А>1>
всех действующих сил на возможном
перемещении q>i>,
или

где L - функция
Лагранжа, Q'>i>
- обобщенная сила, определяемая суммой
элементарных работ A,
всех внешних сил на возможном перемещении
q>i>.
Функция Лагранжа представляет собой
разность кинетической W>K>
и потенциальной W>п>
энергий системы, выраженных через
обобщенные координаты q>i>
и обобщенные скорости
>i>,
т е:

Уравнения Лагранжа дают единый и достаточно простой метод математического описания динамических процессов в механической части привода; их число определяется только числом степеней свободы системы.
В качестве обобщенных координат могут быть приняты как различные угловые, так и линейные перемещения в системе Поэтому при математическом описании динамики механической части привода с помощью уравнений Лагранжа предварительного приведения ее элементов к одной скорости не требуется. Однако, как было отмечено, до выполнения операции приведения в большинстве случаев невозможно количественно сопоставлять между собой различные массы системы и жесткости связей между ними, следовательно, невозможно выделить главные массы и главные упругие связи, определяющие минимальное число степеней свободы системы, подлежащее учету при проектировании. Поэтому составление приведенных расчетных механических схем и их возможное упрощение являются первым важным этапом расчета сложных электромеханических систем электропривода независимо от способа получения их математического описания.
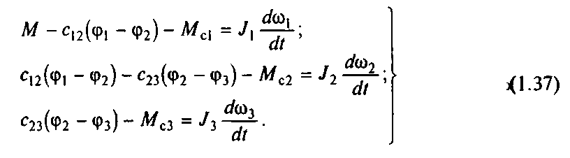
Получим уравнения движения, соответствующие обобщенным расчетным механическим схемам электропривода, представленным на рис.1.2. В трехмассовой упругой системе обобщенными координатами являются угловые перемещения масс >>>>>3>, им соответствуют обобщенные скорости >1>, >2> и >3>. Функция Лагранжа имеет вид:

Для определения обобщенной силы Q'>1> необходимо вычислить элементарную работу всех приложенных к первой массе моментов на возможном перемещении

Следовательно,

Аналогично определяются две другие обобщенные силы:
Подставляя (1.34) в (1.32) и учитывая (1.35) и (1.36), получаем

следующую систему уравнений движения:
В
(1.37) пропорциональные деформациям
упругих связей моменты
являются моментами упругого взаимодействия между движущимися массами системы:

С учетом (1.38) систему уравнений движения можно представить в виде

Рассматривая (1.39), можно установить, что уравнения движения приведенных масс электропривода однотипны. Они отражают физический закон (второй закон Ньютона), в соответствии с которым ускорение твердого тела пропорционально сумме всех приложенных к нему моментов (или сил), включая моменты и силы, обусловленные упругим взаимодействием с другими твердыми телами системы.
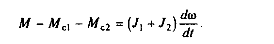
Очевидно, повторять вывод уравнений движения вновь, переходя к рассмотрению двухмассовой упругой системы, нет необходимости. Движение двухмассовой системы описывается системой (1.39) при J>3>=0 и М>23>=0



Переход от двухмассовой упругой системы к эквивалентному жесткому приведенному механическому звену для большей наглядности его физической сути полезно выполнить в два этапа. Вначале положим механическую связь между первой и второй массами (см. рис.1.2,б) абсолютно жесткой (с>12>=). Получим двухмассовую жесткую систему, расчетная схема которой показана на рис.1.9. Отличием ее от схемы на рис.1.2,б является равенство скоростей масс >1>=>2>=>i>, при этом в соответствии со вторым уравнением системы (1.40)

Уравнение (1.41) характеризует нагрузку жесткой механической связи при работе электропривода. Подставив это выражение в первое уравнение системы (1.40), получим

Следовательно, с учетом обозначений на рис.1.2,в М>С>=М>С1>+М>с2>; J>>=J>1>+J>2> Уравнение движения электропривода имеет вид

Это уравнение иногда называют основным уравнением движения электропривода. Действительно, значение его для анализа физических процессов в электроприводе исключительно велико. Как будет показано далее, оно правильно описывает движение механической части электропривода в среднем. Поэтому с его помощью можно по известному электромагнитному моменту двигателя и значениям М>с> и J>> оценить среднее значение ускорения электропривода, предсказать время, за которое двигатель достигнет заданной скорости, и решить многие другие практические вопросы даже в тех случаях, когда влияние упругих связей в системе существенно.

Как было отмечено, передачи ряда электроприводов содержат нелинейные кинематические связи, типа кривошипно-шатунных, кулисных и других подобных механизмов. Для таких механизмов радиус приведения является переменной величиной, зависящей от положения механизма, и при получении математического описания необходимо это обстоятельство учитывать. В частности, для приведенной на рис.1.10 схемы кривошипно-шатунного механизма

где R>k> - радиус кривошипа.
Имея в виду механизмы, аналогичные показанному на рис.1.10, рассмотрим двухмассовую систему, первая масса которой вращается со скоростью двигателя и представляет собой суммарный приведенный к валу двигателя момент инерции всех жестко и линейно связанных вращающихся элементов J>1> а вторая масса движется с линейной скоростью v и представляет собой суммарную массу т элементов, жестко и линейно связанных с рабочим органом механизма. Связь между скоростями и v нелинейная, причем Для получения уравнения движения такой системы без учета упругих связей воспользуемся уравнением Лагранжа (1.31), приняв в качестве обобщенной координаты угол ф. Вначале определим обобщенную силу:

где М>с>' - суммарный момент сопротивления от сил, воздействующих на линейно связанные с двигателем массы, приведенный к валу двигателя; F>c> - результирующая всех сил, приложенных к рабочему органу механизма и линейно связанным с ним элементам; S - возможное бесконечно малое перемещение массы т. Следовательно,

где S - радиус приведения
При наличии нелинейной механической связи рассматриваемого типа момент статической нагрузки механизма содержит пульсирующую составляющую нагрузки, изменяющуюся в функции угла поворота :

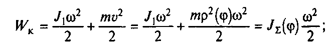
Запас кинетической энергии системы

здесь J>>(J>>m - суммарный приведенный к валу двигателя момент инерции системы.

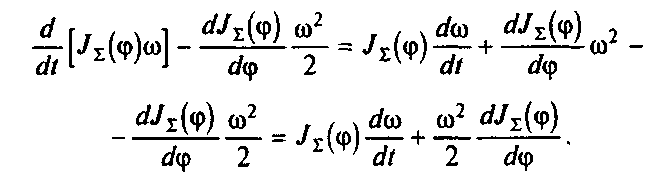
В применении к данному случаю левая часть уравнения (1.31) записывается так:
Таким образом, в рассматриваемом случае уравнение движения жесткого приведенного звена имеет вид

Рассматривая (1.45), нетрудно установить, что при наличии нелинейных механических связей уравнение движения электропривода существенно усложняется, так как становится нелинейным, содержит переменные коэффициенты, зависящие от углового перемещения ротора двигателя, и момент нагрузки, являющийся периодической функцией угла поворота. Сравнив это уравнение с основным уравнением движения (1.42), можно убедиться, что использовать основные уравнение движения электропривода допустимо лишь при постоянстве момента инерции J>>=const.

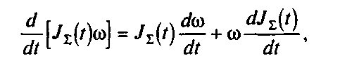
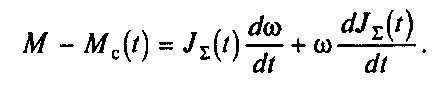
В случаях, когда момент инерции при работе электропривода изменяется из-за внешних воздействий, вне связи с собственным движением, уравнение движения электропривода принимает несколько иной вид Такие условия возникают при работе машин, в которых перемещение рабочего органа по пространственным траекториям осуществляется несколькими индивидуальными электроприводами, предусмотренными для каждой координаты перемещения (экскаваторы, краны, роботы и т.п.). Например, момент инерции электропривода поворота робота зависит от вылета схвата относительно оси вращения. Изменения вылета схвата не зависят от работы электропривода поворота, они определяются движением электропривода изменения вылета. В подобных случаях приведенный момент инерции электропривода поворота следует полагать независимой функцией времени J>>(t). Соответственно, левая часть уравнения (1.31) запишется так:
а уравнение движения электропривода примет вид:

Функции J>>(t) и M>c>(t) при этом следует определить путем анализа движения электропривода, вызывающего изменения момента инерции и нагрузки, в рассматриваемом примере это электропривод механизма изменения вылета схвата.
Полученные математические описания динамических процессов в механической части электропривода, представляемой обобщенными схемами, позволяют анализировать возможные режимы движения электропривода. Условием динамического процесса в системе, описываемой (1.42), является d/dt0, т.е. наличие изменений скорости электропривода. Для анализа статических режимов работы электропривода необходимо положить d/dt=0. Соответственно уравнение статического режима работы электропривода с жесткими и линейными механическими связями имеет вид

Если при движении ММ>с>, d/dt0, то имеет место или динамический переходный процесс, или установившийся динамический процесс. Последнее соответствует случаю, когда приложенные к системе моменты содержат периодическую составляющую, которая после переходного процесса определяет принужденное движение системы с периодически изменяющейся скоростью.
В механических системах с нелинейными кинематическими связями (рис.1.10) в соответствии с (1.45) статические режимы работы отсутствуют. Если d/dt=0 и =const, в таких системах имеет место установившийся динамический процесс движения. Он обусловлен тем, что массы, движущиеся линейно, совершают принужденное возвратно-поступательное движение, и их скорость и ускорение являются переменными величинами.
С энергетической точки зрения режимы работы электропривода разделяются на двигательные и тормозные, отличающиеся направлением потока энергии через механические передачи привода (см. §1.2). Двигательный режим соответствует прямому направлению передачи механической энергии, вырабатываемой двигателем, к рабочему органу механизма. Этот режим обычно является основным для проектирования механического оборудования, в частности редукторов. Однако при работе электропривода достаточно часто складываются условия для обратной передачи механической энергии от рабочего органа механизма к двигателю, который при этом должен работать в тормозном режиме. В частности, для электроприводов с активной нагрузкой двигательный и тормозной режимы работы вероятны практически в равной степени. Тормозные режимы работы электропривода возникают также в переходных процессах замедления системы, в которых освобождающаяся кинетическая энергия может поступать от соответствующих масс к двигателю.
Изложенные положения позволяют сформулировать правило знаков момента двигателя, которое следует иметь в виду при использовании полученных уравнений движения. При прямом направлении передачи механической мощности Р=М ее знак положителен, следовательно, движущие моменты двигателя должны иметь знак, совпадающий со знаком скорости. В тормозном режиме Р<О, поэтому тормозные моменты двигателя должны иметь знак, противоположный знаку скорости.
При записи уравнений движения были учтены направления моментов, показанные на обобщенных расчетных схемах, в частности на рис.1.2,в. Поэтому правило знаков для моментов статической нагрузки другое: тормозные моменты нагрузки должны иметь знак, совпадающий со знаком скорости, а движущие активные нагрузки - знак, противоположный знаку скорости.
3. Механическая часть электропривода как объект управления
Полученные уравнения движения позволяют проанализировать динамические особенности механической части электропривода как объекта управления, пользуясь методами теории автоматического управления. Основой для анализа являются структурные схемы, вид которых определяется принятой расчетной схемой механической части.
Получим структурные схемы для расчетных схем, представленных на рис.1.2, с их помощью проведем анализ свойств механической части электропривода и оценим погрешности, вносимые пренебрежением упругими механическими связями.
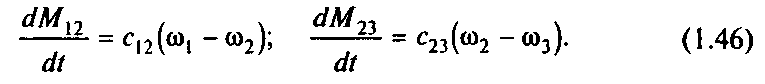
Для получения структурной схемы трехмассовой упругой механической системы продифференцируем (1.38):

Д
алее
положим в (1.39) и (1.46) d/dt =p, получим
Системе уравнений (1.47) соответствует структурная схема, приведенная на рис.1.11,а. Она дает представление о механической части электропривода в виде трехмассовой упругой системы как об объекте управления. Управляющим воздействием здесь является электромагнитный момент двигателя М, а возмущениями - моменты нагрузки М>с1>, М>с2> и М>с3>. Регулируемыми переменными могут быть скорости >>>>и>3>, перемещения >>>>и>>, а также нагрузки упругих связей М>12> и М>23>. Структурно механическая часть электропривода представляет собой сложный объект, состоящий из цепочки интегрирующих звеньев, замкнутых перекрестными внутренними обратными связями.

Напомним читателю известный из теории автоматического регулирования простейший способ преобразования структурных схем и получения передаточных функций для замкнутых обратными связями систем, который при необходимости используется в дальнейшем изложении. На рис.1.11,б представлен узел структурной схемы, в котором выделена передаточная функция W>пр>(р), соответствующая прямой передаче сигнала, и передаточная функция W>oбp>(p) обратной связи. Передаточная функция замкнутого контура
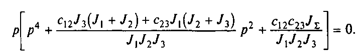
Путем преобразований структуры (рис.1.11,о) с помощью формулы (1.48), получим передаточную функцию механической части по управляющему воздействию при выходной переменной >1>(р):

Характеристическое уравнение запишем в виде

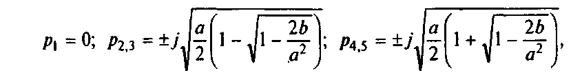
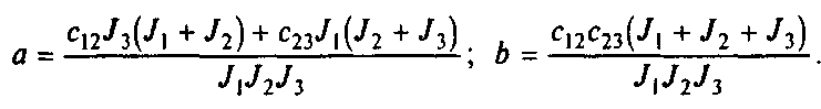
Решив биквадратное уравнение, получим корни характеристического уравнения системы:

где

Анализ корней показывает, что при всех реальных сочетаниях параметров подкоренные выражения представляют собой действительные положительные числа. Следовательно, р>1>=0; р>23>=±j>1>;p>45>=±j>2>.
Корни характеристического уравнения свидетельствуют о том, что система может быть представлена в виде последовательного соединения интегрирующего звена и двух консервативных колебательных звеньев с резонансными частотами колебаний >1> и >2>. При изменении момента М(р) скачком в системе могут возникать незатухающие колебания с частотами >1> и >2>, а когда частота возмущающих воздействий совпадает с одной из этих частот, в системе развивается недемпфированный резонанс, при котором амплитуды колебаний теоретически могут возрастать до бесконечности. Реально в системе присутствуют диссипативные силы, которые демпфируют колебания, ограничивая резонансные амплитуды большими, но конечными значениями.
Б
олее
детальный анализ свойств упругих
механических систем можно провести на
основе двухмассовой расчетной схемы,
структура которой представлена на
рис.1.12,а. Она составлена на основе (1.47)
при М>23>=0,
M>c3>=0
и J>3>=0.
Для исследования свойств этой системы
как объекта управления примем возмущения
М>с1>=М>с2>=0
и выполним показанные на рис.1.12,б-г
преобразования ее структуры. Прежде
всего перенесем внутреннюю связь по
упругому моменту на выход системы, как
показано на рис.1.12,б. Эта операция
позволит с помощью (1.48) определить
передаточную функцию, связывающую
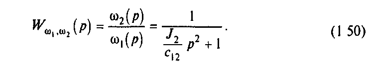
выходную координату со скоростью >1>:
Далее находим передаточную функцию двухмассовой системы по управлению при выходной переменной >1> аналогично рассмотренной выше для трехмассовой системы (1.49). В соответствии со схемой рис.1.12,б передаточная функция прямого канала



С
ледовательно,
искомая передаточная функция с учетом
(1.50) определяется так:
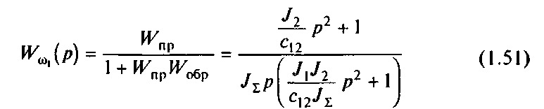
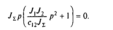
Характеристическое уравнение системы
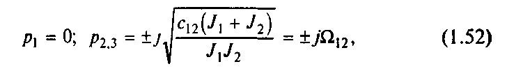
Корни характеристического уравнения
где >12> - резонансная частота двухмассовой упругой системы.


Сравнение (1.52) с корнями (1.49) показывает, что при переходе от трехмассовой упругой системы к двухмассовой выявляется только одна частота >12>, на которой возможно проявление механического резонанса. Однако, если при этом значение >12> оказывается достаточно близким к одной из парциальных частот исходной системы >1> или >2>, можно полагать, что двухмассовая система правильно отражает главные особенности механической части электропривода.
Для удобства анализа введем следующие обобщенные параметры двухмассовой упругой системы: =(J>1>+ J>2>)/J>1>=J>>/J>1> - соотношение масс;
-
резонансная частота системы;
-
резонансная
частота второй массы при жесткой заделке
первой (J>1>)


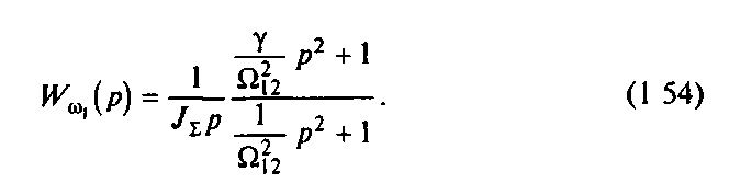
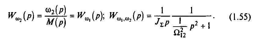
С учетом этих обозначений (1.50) и (1.51) могут быть представлены в виде:
П
олученные
соотношения (1.53) и (1.54) позволяют
представить механическую часть
электропривода как объект управления
в виде трех звеньев, показанных на
рис.1.12,в. С помощью этой схемы нетрудно
записать и передаточную функцию системы
по управляющему воздействию при выходной
переменной >2>:
Передаточной функции (1.55) соответствует структурная схема объекта, представленная на рис.1.12,г. Для анализа свойств системы воспользуемся частотным методом теории управления. Уравнение амплитудно-фазовой характеристики (АФХ) получим, подставив в (1.54) р=j:

где A>>() - амплитудно-частотная характеристика (АЧХ); >>() - фазо-частотная характеристика (ФЧХ) объекта при выходной переменной >1>.
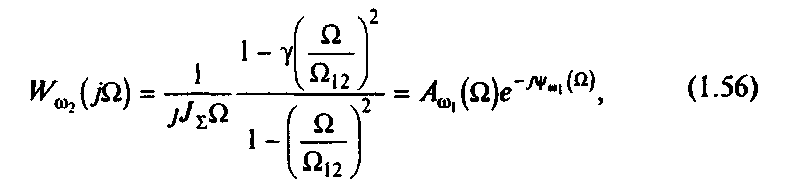
Прежде чем перейти к построению логарифмических частотных характеристик, необходимо обратить внимание на то, что при анализе механической и электрической частей системы электропривода здесь и в дальнейшем рассматриваются их передаточные функции, в которых выходная и входная переменные чаще всего имеют различные единицы измерения В этих случаях W(j) представляет собой не комплексный коэффициент усиления, а комплексный коэффициент передачи, имеющий определенную единицу измерения В частности, в (1.56) его единица 1/(Н м·с), такую же размерность имеет величина А>>().
При необходимости все дифференциальные уравнения и передаточные функции системы могут быть представлены в относительных единицах. Эта возможность используется при расчетах и исследованиях электроприводов.
В данном курсе, чтобы не осложнять понимание физического смысла явлений и параметров, представление переменных в относительных единицах, как правило, не используется. При этом для выражения АЧХ в логарифмическом масштабе единицы амплитуд опускаются, что соответствует относительным их значениям при базовом значении, равном единице измерения.
А
симптотические
логарифмические АЧХ (ЛАЧХ) могут быть
построены непосредственно по полученным
передаточным функциям системы. В
частности, в соответствии с (1.54) система
может быть представлена последовательным
соединением интегрирующего звена,
форсирующего звена второго порядка с
частотой сопряжения >c1>=>12>/
и
идеального колебательного звена с
резонансной частотой >c2>=>12>.
При =>С>,
имеет место нуль передаточной функции,
и ЛАЧХ при этом терпит разрыв, стремясь
к -.
При =>12>
имеет место полюс передаточной функции,
и амплитуды стремятся к +,
образуя второй разрыв. Низкочастотная
асимптота определяется интегрирующим
звеном с коэффициентом, обратно
пропорциональным J>>
и соответственно имеет наклон -20 дБ/дек.
Высокочастотная асимптота (>12>)
соответствует также интегрирующему
звену, но при коэффициенте в
раз большем, чем в области низких частот.
В этом можно убедиться, устремив к
бесконечности частоту
в (1.56).
Соответствующая
всем изложенным положениям ЛАЧХ объекта
при выходной переменной >1>
представлена на рис.1.13,а. Там же построена
его ЛФЧХ на основе уравнения АФХ (1.56). В
низкочастотной области сдвиг между
колебаниями определяется интегрирующим
звеном и составляет -90°. При >12>/
скачком меняет знак числитель (1.56), что
соответствует уменьшению фазового
сдвига на 180°. Затем на частоте >12>
аналогично изменяется знак знаменателя,
и фазовый сдвиг вновь принимает значение
-90° в соответствии с высокочастотной
асимптотой ЛАЧХ На рис.1.13,б представлены
логарифмические частотные характеристики
механической части электропривода по
управлению при выходной переменной >2>.
Они построены по передаточной функции
(1.55), которой соответствует АФХ,
отличающаяся от (1.56) только равенством
числителя единице при всех частотах. В
низкочастотной области ЛАЧХ L>>совпадает
с L>>>1>,
разрыв имеет место только на резонансной
частоте >12>
и в высокочастотной области стремится
к асимптоте с наклоном -60 дБ/дек.
Соответственно фазовый сдвиг между
колебаниями при этом составляет -270°.
Проанализируем основные свойства механической части, воспользовавшись ее структурой, представленной на рис.1.12,в, и частотными характеристиками, изображенными на рис.1.13 При этом обратим внимание на различия во влиянии упругости на движение первой и второй масс. Движение первой массы при небольших частотах колебаний управляющего воздействия М в соответствии с (1.54) и рис.1.13,а определяется суммарным моментом инерции электропривода J>>, причем механическая часть ведет себя как интегрирующее звено. В частности, при М=const скорость >1> изменяется по линейному закону, на который накладываются колебания, обусловленные упругой связью. Иными словами, интегрирующее звено в структуре на рис.1.12,б характеризует условия движения механической части в среднем.
При приближении
частоты колебаний момента к резонансной
>12>
амплитуды колебаний скорости >1>
возрастают и при >>>12
>стремятся к
бесконечности. Однако проявления
резонанса существенно зависят от
параметров механической части в связи
с наличием в числителе передаточной
функции W>>
форсирующего звена второго порядка.
Можно выявить условия, при выполнении
которых влияние упругости на движение
п
ервой
массы будет незначительным.
Рис 1.14 Структурная схема механической части с жесткими механическими связями.
Во-первых, из (1.54) непосредственно следует, что если механизм обладает небольшой инерцией (J>2><<J>1>, 1), то движение первой массы близко к движению, определяемому интегрирующим звеном W>и>=J>>/p. Во-вторых, из (1.56) видно, что при >12> в области малых и средних частот движение первой массы определяется тем же интегрирующим звеном. Отсюда вытекает важный практический вывод. Если при синтезе электропривода используются обратные связи только по переменным двигателя, то при J>2><<J>1> или >12>>>>c> где >с >- частота среза желаемой ЛАЧХ разомкнутого контура регулирования, механическую часть электропривода можно представить жестким механическим звеном, не учитывая влияния упругостей.
В соответствии с (1.55) и рис.1.13,б колебательность второй массы выше, чем первой. В низкочастотной области асимптоты ЛАЧХ L>> и L>> совпадают, так как в среднем движение второй массы также определяется интегрирующим звеном W>и>=J>>/p. Однако при >2> наклон высокочастотной асимптоты L>>>2> составляет -60 дБ/дек, и нет факторов, которые ослабляли бы развитие резонансных колебаний при любых .
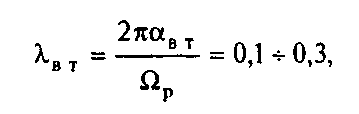
Следовательно, во всех случаях, когда важно получить требуемое качество движения второй массы, а также при регулировании ее координат, пренебрегать влиянием упругости механических связей без необходимой проверки нельзя. Достаточным условием для неучета упругости является только большая частота резонанса >12>, существенно выходящая за пределы полосы пропускания частот электропривода. В реальных системах присутствуют диссипативные силы, которые оказывают на колебательную систему демпфирующее действие. Это демпфирование в большинстве случаев невелико. По данным технической литературы естественное затухание колебаний под действием внутренних сил вязкого трения можно характеризовать значениями логарифмического декремента

где >вт> и >p>=>12> - коэффициент затухания и резонансная частота колебаний с учетом влияния внутренних диссипативных сил.
Учет естественного демпфирования существенно не сказывается на форме ЛАЧХ и ЛФЧХ системы, однако, ограничивает резонансный пик конечными значениями, как показано штриховой кривой 1 на рис.1.13,а, и несколько сглаживает фазочастотную характеристику (штриховая кривая 2 на том же рисунке). Аналогичные изменения, вносимые естественным демпфированием в частотные характеристики на рис.1 13,б, показаны штриховыми кривыми, обозначенными соответственно 1' и 2'.
Сочетания параметров, при которых J>2><<J>1> или >2>, Достаточно распространены, поэтому в дальнейшем изложении во всех случаях, когда это допустимо, используется представление механической части электропривода в виде жесткого приведенного звена. Уравнению движения (1.42) для этого случая при р=d/dt соответствует структурная схема, представленная на рис.1.14. Она совпадает с входным звеном в рассмотренной выше структуре рис.1.12,в, и частотные характеристики жесткой механической части электропривода в низкочастотной области не отличаются от приведенных на рис.1.13.
4. Механические переходные процессы электропривода

Изменения управляющего или возмущающего воздействия вызывают в механической части электропривода переходные процессы, в течение которых скорости движения связанных масс изменяются от начальных значений, определяемых начальными условиями, к установившимся значениям, заданным новыми воздействиями на систему В качестве простейших примеров рассмотрим ряд переходных процессов в механической части электропривода, представленной жестким механическим звеном (см. рис.1.2,в).
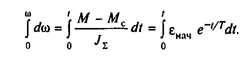
Допустим, начальная скорость равна нулю: >нач>=0, а к ротору двигателя в момент времени t=0 прикладывается электромагнитный момент двигателя, изменяющийся по экспоненциальному закону с постоянной времени Т (рис.1.18):

Решим уравнение движения электропривода (1.42) относительно дифференциала скорости:
d=·dt, (1.58)
где е=(М-M>c>)/J>> - ускорение масс механической части.
Проинтегрируем обе части полученного равенства при заданном законе изменения движущего момента:
В

результате получим
где >нач>=(d/dt)>нач>=(М>нач>-M>c>)/J>>=M/J>> - начальное ускорение; М>нач> =М + М>с>- начальный момент двигателя.
На рис.1.18 в соответствии с (1.57) и (1.59) построены характеристики M=f(t) и =f(t).
Скорость нарастает по экспоненциальному закону от нуля до установившегося значения >уст>=е>нач>T с ускорением, уменьшающимся по мере возрастания скорости, в связи с уменьшением момента М-М>с>, которому ускорение пропорционально, -это переходный процесс пуска электропривода до скорости =>уст>. Время переходного процесса теоретически равно бесконечности, а практически процесс можно считать закончившимся в соответствии со свойством экспоненты через время t>пп>=(34)T.
Рассмотрим условия движения электропривода при постоянных моментах двигателя и сопротивления, т. е. М=const и М>с>==const. В результате интегрирования (1.58)

получим известную формулу равномерно ускоренного движения:

С помощью (1.60) при необходимости можно определить время переходного процесса t>n> >n> изменения скорости от >нач> до >кон>:


При М=М>с>, =0 электропривод сохраняет состояние покоя (>нач>=0) или равномерного движения (=>нач>=const) до тех пор, пока равенство М=М>с> не будет нарушено. На рис.1.19,a показан случай, когда при t=0, М=М>с> имеет место состояние покоя (>нач>=0). В момент t=0 момент двигателя скачком увеличивается до значения М=М>1>>М>с> и электропривод сразу переходит в режим равномерно ускоренного движения с ускорением е>1>=(М>1>-М>с>)/J>> Если оставить момент двигателя неизменным (М=М>1>=const), этот режим будет длиться сколь угодно долго, а скорость неограниченно возрастать. На практике при достижении электроприводом требуемой скорости обеспечивается снижение момента двигателя до М=M>c>, ускорение скачком уменьшается до нуля и наступает статический установившийся режим при =>кон>, как показано на рис.1.19,а. Следовательно, в данном случае имеет место переходный процесс изменения скорости от >нач> до >кон>, который обеспечивается соответствующими изменениями момента двигателя.
При прочих равных условиях на изменения скорости электропривода существенное влияние оказывает характер момента сопротивления. Допустим, система нагружена активным моментом М>с>, обусловленным, например, весом поднимаемого груза, и работает в установившемся режиме подъема груза с постоянной скоростью при М=М>с>. Если в момент времени t=0 уменьшить момент двигателя до нуля, под действием момента М>с> привод станет замедляться, при этом
=-M>c>/J>> Скорость в данном случае в соответствии с (1.60) изменяется по закону (рис.1.19,б)

Через время торможения t>T>=J>>·>нач>/М>с> скорость двигателя становится равной нулю, но активный момент сохраняет свое значение, и в соответствии с (1.62) двигатель начинает ускоряться в противоположном направлении, двигаясь под действием опускающегося груза с возрастающей по абсолютному значению скоростью. Если изменений не произойдет, скорость может возрасти до недопустимых значений, опасных для двигателя и механизма. Поэтому отключение двигателя от сети для механизмов с активной нагрузкой представляет опасность и такие механизмы обязательно снабжаются механическим тормозом, который автоматически затормаживает привод после отключения двигателя от сети.
На рис.1.19,б показан переходный процесс реверса электропривода от >нач> до >кон>=->нач >под действием активного момента М>с>. В момент времени t>пп>, когда достигается требуемое значение скорости >кон>, момент двигателя скачком увеличивается от нуля до М=М>с> и наступает статический режим работы с >koh>=const.
На рис.1.19,в представлен процесс реверса электропривода при реактивном моменте М>с> от начальной скорости >нач> одного направления до конечной скорости >кон> противоположного знака. В момент времени t=0 момент двигателя скачком изменяется от М=М>с> до М=-M>1 >и происходит замедление системы по закону

Время торможения электропривода определяется (1.61):

При t>t>т> скорость двигателя под действием момента М=-М>1 >меняет свой знак, а это вызывает изменение направления реактивной нагрузки М>с> на противоположное (-М>с>). Как следствие, скачком уменьшается по абсолютному значению ускорение от
Соответственно при пуске в обратном направлении скорость изменяется следующим образом:

Время пуска до скорости =->кон>.

Для перехода к статическому режиму при скорости =->кон >момент двигателя должен скачком уменьшиться до значения М=-M>c>. Характеристики M(t) и (t), соответствующие такому переходному процессу, представлены на рис.1.19,в.

Рассмотренные выше простейшие примеры позволяют сделать вывод о том, что при постоянстве статического момента сопротивления закон изменения скорости привода в переходных процессах определяется характером изменения во времени момента двигателя. Так, для получения экспоненциальной кривой скорости (t) при пуске необходимо обеспечить экспоненциальную зависимость момента от времени (рис.1.18); для получения равномерно ускоренного процесса пуска необходимо формировать прямоугольный закон изменения момента двигателя от времени (рис.1.19,a) и т. п.
Следовательно, формирование требуемых законов движения электропривода обеспечивается формированием соответствующих законов изменения от времени электромагнитного момента двигателя.
Уравнение движения жесткого приведенного механического звена электропривода позволяет в наиболее простой и наглядной форме анализировать условия движения привода. Если известен характер изменения момента двигателя и приведенного момента нагрузки, с помощью (1.42) можно установить качественный характер кривой (t), не прибегая к решению этого уравнения. На рис.1.20,a в виде примера показаны вентиляторная нагрузка М>с>() и постоянный момент двигателя М-М>c.ном>=const. В соответствии с (1.42) привод будет двигаться с ускорением

где M>>- суммарный момент потерь на трение в агрегате; М>с.ном>- номинальный момент статической нагрузки, соответствующий номинальной скорости вентилятора >вном>.
Так как =d/dt, то (1.63) при каждом значении скорости определяет тангенс угла наклона касательной к кривой (t) в данной точке. В соответствии с (1.63) ускорение монотонно убывает от начального значения

до конечного >кон>=0. Такой закономерности качественно соответствует кривая (t), приведенная на рис.1.20,б. Количественной оценкой может служить ориентировочное значение времени пуска электропривода. Его можно вычислить, заменив кривую М>с>() постоянным моментом нагрузки, равным среднему значению М>с>()=М>сср>, как показано на рис.1.20,a. При этом удается оценить среднее ускорение

и далее определить ориентировочное время пуска:

Если, напротив, имеется экспериментальная осциллограмма =f(t) для пуска двигателя вентилятора (рис.1.20,б) и известен момент двигателя М=М>с.ном>=const, то по осциллограмме при разных значениях можно определить соответствующие значения ускорения и с помощью (1.63) вычислить механическую характеристику вентилятора М>с>(), показанную на рис.1.20,а.
В современных условиях, когда инженер может решать задачи любой сложности с помощью вычислительной техники, умение производить подобные оценочные расчеты приобретает особо важное значение. Такие оценки помогают в условиях наладки и эксплуатации оперативно анализировать работу электропривода, а при проектировании и исследовании электроприводов контролировать и правильно понимать физическую суть математических результатов, выдаваемых ЭВМ.
5. Динамические нагрузки электропривода
Правые части уравнений движения электропривода представляют собой моменты действующих в системе сил инерции. В отличие от рассмотренных выше моментов статической нагрузки электропривода, которые являются внешними воздействиями и не зависят от ускорений масс системы, силы и моменты сил инерции пропорциональны ускорениям масс:

Такие силы и моменты в теории электропривода принято называть динамическими силами и моментами. Уравнение движения приведенного жесткого механического звена определяет суммарную динамическую нагрузку электропривода
к
оторая
при принятом правиле знаков численно
равна результирующему моменту М-М>с>,
приложенному к движущимся массам.
Динамический момент является важной составляющей полной нагрузки электропривода. Он представляет собой алгебраическую величину, знак которой при ускорении системы совпадает со знаком скорости, а при замедлении противоположен знаку скорости. При ускорении системы динамический момент является тормозным, и двигатель, преодолевая этот момент, совершает работу, затрачиваемую на увеличение запаса кинетической энергии системы. При замедлении системы, напротив, динамический момент является движущим Освобождающаяся при снижении скорости кинетическая энергия расходуется на совершение работы по преодолению результирующего момента М-M>с>, который в этом случае является тормозным.
Как правило, для конкретных производственных механизмов бывает задано требуемое время пуска или расчетное ускорение >гр>. Наибольший возможный статический и наибольший требуемый динамический моменты определяют максимум полной нагрузки и соответственно наибольшее значение электромагнитного момента двигателя, которое он должен создавать в процессе работы электропривода:

Значения М>max> определяют кратковременные перегрузки двигателя, которые не должны превышать допустимой перегрузочной способности двигателя.
Результирующий момент М-М>с> (1.68) при пуске частично затрачивается на ускорение ротора двигателя и связанных с его валом элементов, а в остальной части через передачи воздействует на массы механизма, вызывая их ускорение и совершая работу по увеличению запасенной в них кинетической энергии. Следовательно, динамическая нагрузка при пуске увеличивает полную нагрузку передач на значение динамического момента механизма J>2>·>ср> (см. рис.1.9):

При J>2>>>J>1> это увеличение может быть значительным, а при J>2><J>1> основной нагрузкой передач является статическая нагрузка. Во всех случаях динамические нагрузки передач и элементов кинематической цепи механизма могут существенно дополнительно увеличиваться при возникновении в системе упругих механических колебаний.
Правильное определение нагрузок передач и других элементов кинематической цепи механизма имеет важное практическое значение. Нагрузки механического оборудования определяют его износ, причем наиболее неблагоприятно влияние нагрузок, содержащих знакопеременную составляющую. Поэтому ограничение максимальных нагрузок и уменьшение динамических колебательных нагрузок, обусловленных упругими связями, обеспечивают повышение надежности и долговечности механической части привода и механизма.
Динамические нагрузки механического оборудования в реальных установках в значительной мере возрастают из-за ударов, возникающих при выборе зазоров в передачах и сочленениях рабочего оборудования машин. С учетом кинематических зазоров расчетная двухмассовая схема механической части принимает вид, показанный на рис.1.28,а. В связи с наличием зазора >3 >зависимость М>12>=f(>>>2>) становится нелинейной и имеет вид, показанный на рис.1.28,б. Уравнения движения для этой системы на основании (1.40) запишутся при р=d/dt так:


Структурная схема механической части, соответствующая (1.71), представлена на рис.1.28,в. Рассматривая (1.71) и рис.1.28,в, можно установить, что при разомкнутом зазоре массы системы движутся независимо. Так как при этом М>12>=0, (1.71) при М=М>1>=const принимает вид:

Как следствие, к моменту соударения масс скорости >> и >2> могут оказаться существенно разными. Так, при реактивном М>с2> на первом этапе пуска (М>12>=0) скорость >2> остается равной нулю, а скорость >1> быстро увеличивается, так как М>1>>М>с1>. К моменту окончания выбора зазоров она успевает нарасти до значения

где >1в.з>=(М>1>-М>с1>)J>1> - ускорение при выборе зазоров.
Уравнение (1.74) записано для наиболее тяжелого случая выбора полного зазора, когда начальное значение на рис.1.28,б соответствует точке 1, а заканчивается выбор зазора в точке 2.
При реактивном характере момента M>c2> после выбора зазора скорость >2> будет оставаться равной нулю до тех пор, пока момент М>12>, возрастая, не превысит значения М>с2>. За время нарастания момента М>12> до М>с2> скорость >1> дополнительно увеличивается до значения >1нач>, которое в конечном счете и определит динамическую нагрузку передач после трогания второй массы.
Из физических соображений можно заключить, что накопленная за время выбора зазора первой массой кинетическая энергия J>1>>1>2>нач>/2 должна при ударе реализоваться в дополнительных динамических нагрузках передач. Для количественного анализа получим зависимость М>12>=f(t) для третьего этапа процесса, когда |ф>1> - ф>2>|>ф>3>/2 + M>c2>/c>12>.
На третьем этапе уравнения (1.71) можно представить в виде

Для получения дифференциального уравнения системы, решенного относительно М>12>, умножим первое уравнение на с>12>/J>2 >а второе на с>12>/J>2> и произведем вычитание второго из первого. При этом с учетом третьего уравнения правая часть становится равной d2M>12>/dt2, и после преобразований полученное уравнение можно записать так:

где

С учетом проведенного анализа предыдущих этапов выбора зазоров решение (1.76) следует искать при следующих начальных условиях:

Общее решение уравнения с учетом определяемого правой частью частного решения и корней p>1,2>=±j>12> запишем в виде

Для определения коэффициентов А и В' используем начальные условия:

Следовательно,

где

После преобразований получим

где

В соответствии с (1.79) максимум нагрузки передач в рассматриваемом переходном процессе определяется соотношением

Анализируя (1.80), можно установить, что динамические нагрузки, обусловленные упругими колебаниями, существенно увеличивают нагрузки передач. При отсутствии колебательной составляющей в (1.79) момент нагрузки передач в процессе пуска равен М>12ср>=J>2>>ср>+М>с2>. За счет упругих колебаний в соответствии с (1.8(5) нагрузка возрастает, и ее превышение над средней нагрузкой называется динамическим коэффициентом:


П
ри
пуске с предварительно выбранными
зазорами и М>с2>=0
(>1нач>=0)
динамический коэффициент k>дин>=2,
т. е. упругие колебания вдвое увеличивают
рабочие нагрузки передач (рис.1.29). При
наличии зазоров (>1нач>0)
максимум нагрузок возрастает и может
достигать опасных для механической
прочности передачзначений. Если
подставить в (1.81) выражение >ср>,
>12>
и обозначить, как выше принято, J>>/J>1>=,
коэффициент динамичности можно записать
так:
Нетрудно видеть, что динамические коэффициенты, обусловленные упругими ударами, при выборе зазоров тем больше, чем больше момент инерции ротора двигателя и жестко с ним связанных элементов J>1> и чем больше жесткость механической связи.
При >1нач>0 упругость передач является фактором, снижающим динамические ударные нагрузки. В этом можно убедиться, подставив в (1.82) значение с>12>=, - ему соответствуют бесконечно большие динамические коэффициенты, т. е. разрушающие нагрузки передач. Однако и при реальных конечных значениях с>12> удары при выборе зазоров могут создавать недопустимые нагрузки или существенно увеличивать износ механического оборудования. В этих случаях при проектировании электропривода предусматриваются законы управления, обеспечивающие повышение плавности выбора зазоров и снижение ударных нагрузок до допустимых значений путем ограничения достигаемой при выборе зазоров скорости >1нач>.
Динамические колебательные процессы в среднем не влияют на длительность переходных процессов пуска, реверса и торможения электропривода. Однако они во многих случаях отрицательно сказываются на условиях выполнения технологических операций, особенно на точности работы установки. Практически всегда возникающие упругие колебания увеличивают динамические нагрузки механического оборудования и ускоряют его износ, т. е. являются одним из факторов, определяющих надежность, долговечность и производительность машин.
Динамический коэффициент является важной характеристикой условий работы механического оборудования, а его значения определяются, главным образом, динамическими свойствами электропривода. При проектировании и наладке электроприводов задача уменьшения динамического коэффициента до значений, близких единице, в связи с изложенным имеет важное практическое значение. Для многих механизмов она определяет выбор структуры, настроек и параметров электропривода и при успешном решении обеспечивает увеличение срока службы механического оборудования.
1