Исследование косого изгиба балки
Федеральное Агентство Образования Российской Федерации
Государственное Образовательное Учреждение Высшего Профессионального Образования
Ижевский Государственный Технический Университет
кафедра «Сопротивление материалов»
Лабораторная работа №1
Исследование косого изгиба балки
Выполнил: студент группы 4-56-2, М-ф
Морозов А.С.
Проверил: Урбанович В.С.
Ижевск 2009г.
Цель работы: экспериментальное определение максимальных прогибов и напряжений при косом изгибе балки и их сравнение с аналогичными расчетными значениями.
Постановка работы. В ряде случаев для экспериментальной оценки прочности и жесткости элементов конструкций может применяться метод, основанный на использовании механических приборов для измерения линейных и угловых перемещений (индикаторов часового типа (ИЧТ), проги-бомеров, сдвигомеров). Использование указанного метода рассмотрим на примере элемента конструкции в виде стальной (Е =2*105 МПа) балки (L = 0,5 м) прямоугольного (b=7 мм; h = 32 мм) сечения, нагруженной силой Р на расстоянии l=0,4 м под углом α=30° (рис. 1) и работающей в условиях косого изгиба. С этой целью для измерения вертикальной δ>1э >и горизонтальной δ>2э> составляющих максимального прогиба f>э> направленного под углом β>э>, установлены два ИЧТ И>1> и И>2>. Цена деления ИЧТ равна 0,01 мм. На установке проведено нагружение балки с регистрацией ступеней нагрузки Р и показаний δ>1э> и δ>2э> ИЧТ (табл. 1).
Требуется: определить и сравнить расчетные и экспериментальные значения максимальных перемещений и напряжений.

Рис. 1. Схема экспериментальной установки для исследования косого изгиба балки
Таблица 1. Результаты испытаний балки при косом изгибе
|
№ Ступени нагружения n |
P, H |
ΔP, H |
δ>1э> дел. |
Δδ>1э> дел. |
δ>2>>э> дел. |
Δδ>2>>э> дел. |
|
0 |
0 |
- |
0 |
- |
0 |
- |
|
1 |
10 |
10 |
65 |
65 |
53 |
53 |
|
2 |
20 |
10 |
140 |
75 |
112 |
59 |
|
3 |
30 |
10 |
214 |
74 |
171 |
59 |
|
4 |
40 |
10 |
288 |
74 |
230 |
59 |
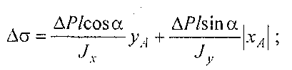
Расчетное приращение напряжений в опасной точке А на ступень нагружения ΔP=10 H:



Δσ=
МПа
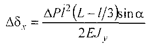
Расчетные приращения составляющих максимального прогиба по главным центральным осям инерции:

Δδ>x>=10*0,42*(0,5-0,4/3)*0,5/(2*2*105*106*9,147*10-10)=0,802 мм

Δδ>y>=10*0,42*(0,5-0,4/3)*0,866/(2*2*105*106*1,911*10-8)=0,0665 мм
3. Расчетное приращение результирующего прогиба

Δf=
мм
и его направление

β=arctg(1,911*10-8*0,577/9,147*10-10)-300=55,260
4. Проводим обработку экспериментальных данных табл. 1:

δ>1э>>c>>р>=
мм
δ>2э>>c>>р>=
мм
5. Экспериментальное приращение результирующего прогиба

Δf>э>=
мм
и его направление
β>э>=arctg(Δδ>1э>>cp>/Δδ>1э>>cp>)=arctg(0,575/0,72)=38,60
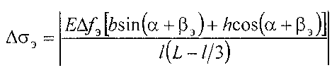
6. Экспериментальное приращение напряжений в опасной точке А

Δσ>э>=
19,3
МПа
7. Отклонения расчетных от экспериментальных величин:

δ>f>=100(0,805-0,92)/0,92=-12,5%

δ>β>=100(55,260-38,60)/38,60=43,2%

δ>σ>=100(10,5-19,3)/19,3=-45,6%
8. Для оценки прочности и жесткости балки сравниваются наибольшие напряжения и перемещения при максимальной нагрузке с допускаемыми напряжениями [σ] и перемещениями [f]:

>max>σ>э>=19,3*40/10=77,2 МПа

>max>f>э>=0,92*40/10=3,68 мм
Выводы
1. Определены расчетные и экспериментальные максимальные напряжения и перемещения при косом изгибе балки.
2. Показано, что при косом изгибе балки расчетные прогибы и напряжения с достаточной для инженерных приложений точностью соответствуют полученным экспериментальным данным.