Анализ системы обработки и учета информации при разработке нефтяных месторождений
Министерство образования Российской Федерации
Государственное образовательное учреждение высшего профессионального образования
Самарский государственный технический университет
РЕФЕРАТ
По дисциплине
«Проектирование и анализ углеводородных месторождений»
ТЕМА: АНАЛИЗ СИСТЕМЫ ОБРАБОТКИ И УЧЕТА ИНФОРМАЦИИ ПРИ РАЗРАБОТКЕ НЕФТЯНЫХ МЕСТОРОЖДЕНИЙ
Подготовил: студент 4-НТ-7
Горяйнова О.С.
Принял: Хромых Л.
Самара 2010
Содержание
Введение
1. Процесс управления нефтяным месторождением, как процесс обработки информации
2. Структурная схема обработки информации при анализе процесса разработки месторождения
Список использованной литературы
Введение
В области исследования и оптимизации систем сбора и обработки потоков информации при разработке нефтяных месторождений сделано не много.
Задача заключается в том, чтобы получать при разработке месторождений наиболее правильное, полное представление о залежи в результате накапливания и обработки информации.
В настоящее время имеются сравнительно немногочисленные публикации по отдельным вопросам создания систем сбора и обработки потоков информации, посвященные, в основном, проблемам конструирования телемеханической аппаратуры. В них, в основном, не затрагивается организация системы совместно с анализом состояния разработки месторождения, который должен определить требования к системе сбора и обработки геолого-промысловой информации, ее составу, объему и качеству и установить необходимость и характер управляющего воздействия.
В работе рассматривается система обработки информации с учетом взаимосвязи между элементами управления, исходя из требований разработки нефтяных месторождений.
В общем случае система обработки информации при разработке нефтяных месторождений должна включать данные:
1) для составления проекта разработки и их последующую обработку;
2) для анализа процесса разработки и их последующую обработку;
3) для составления статистических отчетов и их обработку;
4) для принятия решения по регулированию процесса разработки. Эти данные собираются различными службами нефтегазодобывающих управлений. Затем первые две группы данных, как правило, направляются для проектирования и анализа разработки в территориальный научно-исследовательский институт, третья группа данных передается в объединения и затем в Миннефтепром.
1. Процесс управления нефтяным месторождением, как процесс обработки информации
При движении нефти через зоны с различными гидродинамическими свойствами на процесс фильтрации оказывают воздействие различные факторы. Этот процесс описывается системами нелинейных дифференциальных уравнений в частных производных при наличии граничных и начальных условий и характеризуется множеством параметров, которые распределены в пространстве и изменяются во времени. Системы, обладающие подобными свойствами, называются системами с распределенными параметрами.
Системы с распределенными параметрами отличаются от систем с сосредоточенными параметрами тем, что информация о состоянии объекта с распределенными параметрами характеризуется не только конечным набором величин, относящихся к конечному числу координат и изменяющихся только во времени, а также набором функций, показывающих зависимость параметров от временных и пространственных переменных или от их комбинации.
Так, геологическое строение месторождения характеризуется полями распределения параметров, представление о которых получают по профильным разрезам и различным картам (карты распространения коллекторов, общей мощности, мощности перемычек, структурные карты по кровле и подошве и т. п.). Физические свойства продуктивных пластов .определяются не только значениями параметров по разрезу в скважинах, но и их распределением в пространстве (пласте), т. е. полями, представление о которых получают из карт проницаемости, пористости. Технологические показатели разработки включают не только величины текущей и накопленной добычи и закачки воды по отдельным сква-жинам, но и такие обобщенные характеристики, как карты и графики разработки, коэффициент нефтеотдачи, положение контуров нефтеносности и т. п.
Сложность управления разработкой нефтяного месторождения заключается в том, что необходимо управлять процессами, происходящими в недрах земли, через скважины, в результате чего резко ограничивается возможность регулирования.
Несмотря на то, что каждые нефтяные месторождения и залежи представляют специфические объекты с индивидуальными чертами геологического строения и условий разработки, системы управления разработкой месторождений имеют общие черты, позволяющие с полным основанием отнести их к кибернетическим системам многосвязного регулирования объектов с распределенными параметрами. Такая система управления разработкой нефтяного месторождения включает управляемый объект (месторождение, залежь, группа месторождений) и управляющий орган со сложной иерархической структурой (НГДУ, объединение и т. д.). От управляемого объекта в управляющий орган в большом объеме поступает разнообразная информация, которая обрабатывается и анализируется на его различных иерархических ступенях. В результате вырабатывается командная информация, необходимая для регулирования контролируемого процесса фильтрации.
На различных ступенях иерархической структуры управления есть своя входящая и исходящая информация. Входящая информация подразделяется на входящую внешнюю информацию, поступающую из нефтедобывающего объединения, Миннефтепрома, научно-исследовательского института, и входящую внутреннюю информацию, получаемую от управляемого объекта. Последняя отражает обратную связь объекта с управляющим органом, поскольку несет сведения о состоянии управляемого объекта и происшедших изменениях. Эту информацию назовем первичной (исходно, регистрируемой), так как она возникает в результате первичного сбора (фиксации, наблюдения) и регистрации данных, характеризующих непрерывно меняющиеся параметры залежи.
Исходящая информация также подразделяется на две группы: исходящую внешнюю информацию и исходящую внутреннюю (или командную) информацию, предназначенную непосредственно для управляемого объекта и воздействующую на него. В получении исходящей информации, особенно внутренней, заключается основная цель функционирования управляющего органа. В общем схематическом плане потоки геолого-промысловой информации показаны на рис.1.

Рис. 1.Потоки геолого-промысловой информации в системе управления разработкой: 1-управляемый объект; 2-управляющий орган.
Собранные данные о геолого-промысловой информации в нефтегазодобывающих управлениях Восточных районов (Первомай-нефть, Туймазанефть, Октябрьскнефть, Бавлынефть) позволили выявить однотипность передаваемых сведений в структурных подразделениях управляющего органа. Для управления разработкой нужно представить весь процесс обработки информации, вплоть до принятия решения по управлению на регулирующие воздействия, определив перечень параметров, необходимых при этом.
Обработка информации при разработке нефтяных месторождений наиболее эффективно проводится в условиях автоматизированных систем. В процессе автоматизированной обработки информации при решении задач проектирования, анализа и управления процессом разработки нефтяных месторождений последовательно возникают и решаются следующие задачи.
1. Сбор, первичная обработка и ввод в ЭВМ исходной геолого-промысловой и технико-экономической информации. Решение этой задачи возможно при наличии унифицированных форм сбора информации, приспособленных для машинной обработки, и широком использовании средств регистрации геолого-геофизической и нефтепромысловой информации непосредственно у мест ее получения на машинные носители информации (перфоленты, магнитные ленты) или передачи ее по каналам связи.
2. Функционирование банка данных и информационно-поисковой системы для получения необходимых данных по объекту разработки. Решение задачи на современной стадии развития вычислительной техники обеспечивается выпуском ЭВМ третьего поколения в рамках единой серии вычислительных машин, выполненных на интегральных микросхемах, имеющих более высокую надежность и память на магнитных дисках. Целесообразно также использование действующих ЭВМ БЭСМ-6, М-222, БЭСМ-4М, «Минск-32» при условии дооснащения их магнитными дисками; созданием и освоением специализированных пакетов программ для функционирования банка данных и автоматизированных информационно-поисковых систем; созданием и внедрением трансляторов с алгоритмических языков, в том числе с ПЛ-1 и кобола.
3.Согласование и уточнение исходных данных для гидродинамических расчетов (идентификация модели пласта). Задача уточнения строения продуктивного пласта и его параметров, возникающая вследствие недостоверности исходной информации, требует расчета сложных математических моделей нефтяных пластов и процессов их разработки. Решение этой проблемы, так же как и последующей четвертой задачи -расчета сложных фильтрационных течений, может быть обеспечено при следующих условиях: а) выпуске и освоения сверхмощных ЭВМ со средним быстродействием. б)дальнейшем совершенствовании математических моделей, комплексов программ и средств математического обеспечения ЭВМ, позволяющих не только уточнить гидропроводность и упругоемкость пласта, но и формы кривых фазовых проницаемостей, и корректировать зависимости математической модели по данным нефтепромысловой информации.
4. Проведение гидродинамических расчетов для проектирования и анализа разработки нефтяных месторождений. Для решения этой задачи необходимо дальнейшее совершенствование методов расчета фильтрационных течений в системах скважин; обобщение опыта обработки потоков геолого-промысловой информации при контроле и анализе процесса разработки. Определение состава и необходимого объема информации для анализа и регулирования; определение периодичности и длительности измерения промысловых величин в скважине, а также количества скважин, необходимых при воспроизведении полей геолого-промысловых признаков; разработка методик по количественным оценкам отклонений фактических показателей разработки от расчетных; определение степени влияния ошибок в исходных данных на проектные технологические показатели.
5. Проведение экономических расчетов и выбор оптимального варианта разработки. Выбор оптимального варианта разработки связан с определением матрицы коэффициентов влияния, которое в настоящее время проводится исключительно на сеточных моделях. При наличии сеточной модели поиск оптимального варианта может быть проведен без вычисления коэффициентов влияния путем реализации на электроинтеграторе метода спуска по координатам.
6. Выбор необходимого эксплуатационного оборудования и варианта обустройства месторождений. Решение этой задачи требует применения ЭВМ с большой памятью для хранения нормативно-справочных материалов и развитого комплекса программ для проектирования нефтегазосборных сетей, расчета способов эксплуатации скважин, проектирования сети дорог и других объектов нефтепромыслового хозяйства.
7. составление документации комплексного проекта разработки и обустройства нефтяного месторождения. Для этого необходимы специализированные устройства вывода информации: графопостроители, видеотерминалы, пакеты программ редактирования текста и цифрового материала, системы программ работы с графопостроителями и дисплеями.
2. Структурная схема обработки информации при анализе процесса разработки месторождения
Для рациональной организации процесса управления разработкой нужно представить весь процесс обработки информации, вплоть до принятия решения на регулирующие воздействия, и определить перечень параметров, необходимых для выработки регулирующего воздействия.

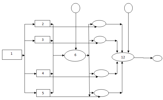
Рис. 2. Схема процесса обработки геолого-промысловой информации: 1-первичная геолого-промысловая и технико-экономическая информация. Результаты контроля; 2-геолого-физические данные; 3-технологические данные; 4-данные по технике добычи; 5-экономические данные; 6-результаты сопоставления фактических показателей с проектными показателями; 7-проектные показатели; 8-результаты уточнения модели объекта разработки; 9-данные анализа технологических показателей разработки по месторождениям и участкам; 10-данные анализа состояния техники добычи; 11-данные анализа экономических показателей; 12-результаты гидродинамических и экономических расчетов разработки; 13-плановое задание; 14-принятые решения по дальнейшей разработке.
На рис.2 приведена схема, раскрывающая процесс обработки геолого-промысловой информации и включающая обязательные для решения проблемы регулирования виды информации.
Обработка информации при контроле над процессом разработки месторождения осуществляется до перехода к элементам под номерами 2, 3, 4, 5; обработка информации при анализе и прогнозе разработке нефтяного месторождения осуществляется от элементов 2, 3, 4, 5 вплоть до элемента 12.
Рассмотрим строение этой схемы и основные задачи, которые возникают при обработке информации и будут решаться в дальнейшем. Первичные параметры, получаемые в результате непосредственного измерения, связаны стрелками промежуточными или конечными параметрами, получаемыми в результате обработки.
Все приведенные параметры используются при анализе разработки месторождений и входят в элементы 2, 3,4.5 схемы.
Для определения состояния разработки нефтяной залежи проводят серию работ, на основании которых находят первичные параметры:
Отбор кернового материала
Измерение отметок ВНК, кровли, подошвы, нефтенасыщенности
Отбор глубинных проб, гидродинамические и промысловые исследования, опробывания скважин. Измерение их необходимо для построения моделей месторождения и фильтрации; определения технологических и расчета экономических показателей.
При построении схемы необходимо определенное понятие о контроле, анализе и регулировании разработки нефтяных месторождений.
Главные задачи контроля процесса разработки залежи. По существу охватывающие весь круг частных задач и решаемые с целью повышения нефтеотдачи пластов, Б. Т. Баишев, В. Н. Васильевский видят в следующем: 1) нахождении текущего распределения нефтенасыщенности по объему пласта. 2) выявлении общей картины распределения фильтрационных потоков по объему пласта. 3) уточнении и герметизации горногеометрических и гидродинамических характеристик пласта.
Так как процесс разработки нефтяного месторождения должен регулироваться, основой целью контроля и регулирования его является осуществление рациональной системы разработки, т.е контроля и управления движением жидкостей и газа в пористой среде к забоям эксплуатационных скважин,с тем чтобы обеспечить получение заданного объема добычи нефти при минимальных затратах и максимально возможных коэффициентах нефтеотдачи.
Цель текущего анализа процесса разработки И.Г. Пермяков, М.М. Саттаров, И.Б. Генкин видят в освещении состояния разработки и проведения промысловых исследованй, накоплении и систематизации результатов этих исследований и разработки мероприятий по улучшению эксплуатации залежи, решении какого-либо вопроса по теории разработки нефтяных месторождений.
Такое разнообразие необходимых для изучения процессов при контроле и анализе, предлагаемое различными исследователями, отражает, во-первых, состояние развития теории и практики нефтяной науки на сегодня, во-вторых, субъективные представления исследователей о разработке месторождений. Поскольку теория и практика проектирования и разработки всё время совершенствуется, естественно, что содержание процессов контроля и анализа также меняется. Следовательно, целесообразно наметить и дать описания основных определений целей и критериев контроля, анализа, прогноза и регулирования процесса разработки нефтяных месторождений, отражая объективную сущность рассматриваемых понятий.
Контроль процесса разработки месторождения – элемент управления, включающий сбор, обработку и обобщение первичной информации о нефтяной залежи для получения сведений о текущем состоянии и о динамике изменения показателей разработки.
Анализ процесса разработки месторождений – элемент управления, включающий комплекс исследований, логических действий и математических расчетов, позволяющих оценить тенденции и главные стороны технологических явлений, происходящих в нефтяной залежи.
Регулирование процесса разработки месторождении – элемент управления, включающий выбор варианта доразработки месторождения, наиболее отвечающего плановому заданию при наилучших экономических показателях, а также осуществление вытекающего из него регулирующего воздействия по изменению существующей системы разработки.
Прогноз следует рассматривать как составной элемент анализа, связанный с предсказанием течения технологических процессов в будущем как при неизменных условиях, так и при проведении мероприятий по регулированию. Цель его состоит в исследовании тенденций протекания процессов разработки в прежних и новых условиях.
Все исходные показатели разработки можно разделить на два основных вида:
Показатели, регистрируемые для определения геометрии пласта и фильтрационных характеристик. К ним относятся данные о мощности и протяженности пласта, его проницаемости и пористости. Эти параметры не меняются или мало меняются в процессе разработки залежи.
Показатели, регистрируемые для определения технологических характеристик эксплуатации месторождения. К этой информации относятся данные о дебите нефти, содержании воды в скважине, забойном, затрубном давлении, количестве закачанной воды, нефтенасыщенности и др. Эти параметры существенно изменяются во времени.
Каждый из этих видов показателей подразделяется, в свою очередь, на две группы: показатели, характеризующие отдельный участок или месторождение в целом, и показатели, характеризующие отдельную скважину.
К первой группе относятся показатели: средневзвешанное пластовое давление в зоне отбора и на линии нагнетания, суммарная производительность скважин и средний дебит одной скважины, суммарная закачка воды по залежи, процент обводнения продукции по залежи, коэффициент нефтеотдачи, средняя пористость, проницаемость, мощность залежи и т.п. Для этой группы объем информации определяется числом скважин, в которых необходимо получить значение показателя. Представительность этой информации как в прстранстве,так и во времени определяется: выбором расположения скважин по площади, выбором времени производства замеров в скважинах, рассредоточенных по площади.
Ко второй группе относятся показатели: распределение скважин по дебитам, содержанию воды и способам эксплуатации; темп обводнения отдельных скважин во времени, средние значения параметров за месяц, квартал, год по скважине; суммарные значения параметров за месяц, квартал, год по скважине и т.п.
Объем информации для отдельной скважины определяется выбором периодичности замера показателей, а представительность информации – выбором момента времени и длительности производства замеров в скважине.
Качество контроля является определяющим при анализе и регулировании разработки нефтяных месторождений. Поэтому оценка точности получения информации по всем показателям разработки – большая и сложная задача, которой занималось и занимается большое число исследователей.
Несмотря на это, отсутствуют методики и инструкции, определяющие объемы измерений.
Для определения объема информации исследователи применяли методы математической статистики, разложение в ряды Фурье и теорию случайных функций.
Список использованной литературы
Вороновский В. Р., Максимов М. М. Система обработки информации при разработке нефтяных месторождений. М., Недра, 1974
Донцов К- М. Разработка нефтяных месторождений. М., Недра, 1977.
Шуров В. И. Технология и техника добычи нефти. М., Недра, 1983.