Разработка гидропривода - торцовочного круглопильного станка
Федеральное агентство по образованию
Уральский государственный лесотехнический университет
Кафедра "Станков и Инструментов"
Расчетно–графическая работа
Разработка гидропривода – торцовочного круглопильного станка
Екатеринбург 2006
Содержание
Введение
1. Принимаемая гидравлическая схема, её описание и принцип работы
2. Определение основных параметров гидропривода
2.1 Определение давлений в полостях нагнетания и слива
2.2 Определение параметра гидроцилиндра
2.3 Определение определения давлений в полостях силового цилиндра
3. Выбор гидронасоса
3.1 Расчет диаметра трубопровода и скорости движения жидкости
4. Выбор гидроаппаратуры
4.1 Определение действительных перепадов давлений
5. Определение КПД гидропривода
5.1 Определение КПД гидропривода при постоянной нагрузке
5.2 Определение КПД гидропривода при работе в цикличном режиме
6. Расчет объема гидробака
Заключение
Библиографический список
Введение
Станки для поперечной распиловки типа ЦПА-40 предназначены для распиловки поперёк волокон досок и брусков на чистовые и черновые заготовки определённой длины или для удаления из них дефектов. Данный тип станка с неподвижным суппортом, подача осуществляется суппортом на неподвижную заготовку. При торцовке в размер используют базирующие упоры. Пильный суппорт перемещается с прямолинейным перемещением по направляющим и в шарнирно-рычажной системе.
Управление движения суппорта осуществляется гидравлической системой. Она управляется в ручную станочником. Рабочий, нажимая на педаль, управляет передвижением суппорта. Гидравлическая система должна быть малогабаритной, создавать необходимое усилие на штоке, создавать максимальное время и скорость срабатывания.
Достоинства гидропривода:
- компактность;
- передаются большие усилия и мощности;
- бесступенчатое регулирование в плавных и широких пределах;
- простота преобразования вращательных движений в поступательные;
- возможность частичного реверсивного;
- высокая скорость быстродействия.
1. Принимаемая гидравлическая схема, её описание и принцип работы

Рисунок 1. Предлагаемая схема гидропривода круглопильного торцовочного станка: 1-гидроцилиндр; 2-золотник; 3-манометр; 4-фильтр; 5-предохранительный клапан; 6-насос
Управление гидроцилиндром (1) осуществляет от трёхпозиционного распределителя (2), который обеспечивает рабочий ход, реверсирование, холостой ход и стоп суппорта в конце холостого хода. Для включения подачи рабочий нажимает ножной педалью конечный выключатель. Включается электромагнит и переводит распределитель в крайнее левое положение. При этом обе полости гидроцилиндра соединяются с напорной магистралью. Из-за создаваемой разности усилий с правой и левой сторон поршня он двигается в сторону штоковой полости – суппорт совершает рабочий ход из левой полости гидроцилиндра масло переливается в правую полость.
В конце рабочего хода распределитель переключается в крайнее правое положение. Бесштоковая полость гидроцилиндра соединяется со сливом. Суппорт совершает обратный ход.
В конце холостого хода распределитель переключается в среднее положение. При этом подача масла в правую полость закрывается, а напорная магистраль переключается на слив. Суппорт останавливается, гидронасос разгружается. Дроссель обеспечивает регулирование скорости подачи суппорта в пределах 5-36 м/мин.
Таблица 1.1 Исходные данные
-
Показатель
Обозначение
Размерность
Величина
Усилие на штоке
R
кН
12
Ход поршня
S
м
0,5
Время рабочего хода
t>p>
с
5
Отношение времени х.х. к р.х.
t>x> /t>p>
0,8
Температура рабочей жидкости
T>m>
0С
55
Температура окр. среды
T>o>
0С
15
Длины трубопроводов
l>1>, l>2>
м
2, 3
2. Определение основных параметров гидропривода
2.1 Определение давлений в полостях нагнетания и слива
Применительно к разрабатываемому гидроприводу давление P>1> в поршневой полости определяется по формуле
P>1> = P>H> – ΔP>зол >– ΔP>Ф >– ΔP>1>;
а давление P>2> в штоковой полости
P>2> = ΔP>др> + ΔP>2> + ΔP>пр> + ΔP>зол>
где P>H> - давление развиваемое насосом, МПа;
ΔP>зол> - перепады давлений на гидрораспределителе, МПа;
P>1> и P>2> - перепады давлений в трубопроводах l>1> и l>2>, МПа;
ΔP>др> - перепад давления на дросселе, МПа;
ΔP>Ф> - перепад давления на фильтре, МПа;
ΔP>пр> – перепад давления в предохранительном клапане, МПа.
Применительно к данному гидроприводу перепады давлений на золотнике, дросселе и фильтре примем следующим образом
ΔP>зол >= 0,2 МПа;
ΔP>др> = 0,3 МПа;
ΔP>Ф> = 0,1 МПа;
ΔP>пр> = 0,15 МПа;
Так как перепады давлений в трубах на первой стадии расчета определить нельзя, то примем предварительно ΔP>1> = ΔP>2> = 0,2 МПа.
P>1> = 1,6 – 0,1 – 0,2> >– 0,2=1,1 МПа;
P>2> = 0,3 + 0,2 + 0,15 + 0,2=0,85 МПа.
2.2 Определение параметра гидроцилиндра
Определим площади гидроцилиндра F>1> и F>2>, используя соотношения

где υ>ПР> и υ>ПХ> - скорости поршня при рабочем и холостом ходе.
Расход жидкости, поступающий в силовой цилиндр можно определить по формуле
Q = υ >П> · F
Считаем, что расход жидкости, поступающий в силовой цилиндр при рабочем и холостом ходе одинаков, то
Q = υ>ПP> · F>1> и Q = υ>ПX> · F>2>
поэтому

Из этого следует, что:

откуда

Следовательно, выражение площади поршня в штоковой полости примет вид:

Диаметр поршня будет равен:

Сила трения T увеличивается с ростом давления жидкости в цилиндре и лежит в диапазоне T = (0,02...0,1)R
Определим диаметр поршня D.
D=
=0,17
м
Полученный диаметр сравниваем со стандартным рядом: 40, 50, 60, 70, 80, 90, 100, 110. Так как у нас значение превышает 150 мм то повышаем давление Р>н> до 3,2 МПа, тогда Р>1>=3,2-0,1-0,2-0,2=2,7 МПа
D=
=0,08
м
Принимаем диаметр цилиндра 80 мм.
d=
=35
(мм)
Толщину δ стенки гидроцилиндра можно определить по формуле

Допускаемые напряжения на растяжение принимаются равными для стали [σ] = 50…60 МПа (1·106 Н/м2).
=2
мм.
2.3 Определение давлений в полостях силового цилиндра
Обозначим полезные площади силового цилиндра через F>1> и F>2>, а давления в этих полостях через P>1> и P>2>
,
где D и d - диаметры силового цилиндра и штока поршня.
Уравнение равновесия поршня силового цилиндра, пренебрегая силами инерции, имеет вид
P>1> F>1> = P>2> F>2> + R + T
где T - сила трения, приложенная к поршню.
Определим площади гидроцилиндра F>1> и F>2>.
F>1>=
=0.005
м2;
F>2>=
=
0.004 м2.
3. Выбор гидронасоса
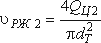
Определяем расход жидкости, поступающей в левую поршневую полость силового цилиндра,

где υ>ПР> - скорость перемещения поршня, м/с.
υ>ПР=>
υ>ПР>=
=0,1
м/с;
ΔQ>Ц1>=0,1·
=9,6
л/мин=0,00016 м3/с.
Подача насоса с учетом утечек рабочей жидкости определится по формуле
Q>H> = (Q>Ц1> + ΔQ>Ц>)·z + ΔQ>зол>
где ΔQ>Ц> - утечки жидкости в силовом цилиндре;
ΔQ>зол> - утечки в золотнике;
z - число гидроцилиндров.
Утечки в силовом цилиндре ΔQ>Ц> и в распределителе ΔQ>зол> рассчитываются по формулам:

Принимаем Р*=6,3 Мпа, ΔQ*>Ц>=0,05 л/мин, ΔQ>зол>=0,1 л/мин.
ΔQ>Ц>=
=0,02
л/мин;
ΔQ>зол>
=
=0,04
л/мин.
Q>H> = (9,6 + 0,02 )·1 + 0,04=9,66 л/мин.
Рабочий объем насоса

где n - частота вращения ротора насоса, принимаем n=950 мин-1; η>0> - объемный КПД насоса, принимаем η>0>=0,9.
q=
=0.011
л =11см3.
По рабочему объёму и подаче выбираем насос Г 12-32 АМ
Таблица 3.1 Основные параметры насоса Г 12-32 АМ
-
Основные параметры
Г12-32 АМ
Рабочий объем q, см3
16
Номинальная подача Q*, л/мин
12
Номинальное давление P*, МПа
6,3
Объемный КПД η>0>* при P* = 2,5 МПа
0,81
Полный КПД, η
0,7
Действительный объемный КПД можно найти из выражения

η>0>=
=0.76
Вычислив η>0>, определяется рабочий объем q, и по нему подбираем насос. После этого уточнятся расход жидкости, сбрасываемый через предохранительный клапан в приемный бак
ΔQ>ПК> = qnη>0> – z(Q>Ц1> + ΔQ>Ц>) –ΔQ> зол>.
ΔQ>ПК> = 0.016·950·0.76 – 1·(9.6 + 0.02) –0.04=2 л/мин.
3.1 Расчет диаметра трубопровода и скорости движения жидкости
Находим внутренний диаметр труб, с помощью которых соединяются гидроаппараты. Для этого зададимся скоростью движения жидкости согласно требованиям ГОСТ 16516-80. Стандартные значения внутреннего диаметра труб: 1; 1,6; 2; 2,5; 3; 4; 5; 6; 8; 10; 12; 16; 20; 25; 32; 40; 50; 63; 80; 100; 125; 160; 200; 250.

Найденное значение диаметра d>Т> округляется до ближайшего стандартного.
d>Т>=
=0,008
м.
Уточнив значение d>Т>, находим среднюю скорость движения жидкости в трубах

υ>рж1>=
=3,18
м/с.
Зная расходы и ориентировочные величины давлений, переходят к выбору гидроаппаратуры.
4. Выбор гидроаппаратуры
Согласно выбранной схемы гидропривода, а, также учитывая значения расходов и давлений, производят подбор гидроаппаратуры. Для разработанной гидросхемы необходимо выбрать предохранительный клапан, распределитель, дроссель и фильтр. Все данные по выбранной аппаратуре сводятся в таблицу 4.1.
Таблица 4.1 Характеристики выбранной гидроаппаратуры
|
Гидроаппаратура |
Тип |
Расход, м3/с |
Давление, МПа |
Перепад давлений, МПа |
|
Гидрораспределитель |
Г74-12 |
0,0003 |
0,3-8 |
0,2 |
|
Предохранительный клапан |
Г52-12 |
0,0000167-0,0003 |
0,2-5 |
0,4 |
|
Дроссель |
Г77-14 |
0,0000117 |
До 5 |
- |
|
Филитр |
0,08 Г41-13 |
0,0003 |
6,4 |
0,2 |
Описание дросселя типа Г77-14
Гидродроссель - гидроаппарат управления расходом, предназначенный для создания сопротивления потоку рабочей среды.
В машинах лесной промышленности основное применение находят нелинейные дроссели. Изменение перепада давления, а, следовательно, и изменение расхода жидкости в нелинейных гидродросселях достигается либо изменением площади проходного сечения - щелевые, крановые, золотниковые дроссели, либо числа местных сопротивлений - пластинчатые дроссели.
Режим движения в нелинейных дросселях пропорционально квадрату скорости жидкости, поэтому их называют также квадратичным. Потери на трение в квадратичных дросселях практически отсутствуют, благодаря чему расход через дроссель не зависит от вязкости жидкости, и, следовательно, характеристика дросселя остаётся стабильной в широком диапазоне эксплутационных температур рабочей жидкости. На рисунке показан дроссель типа Г77-1.
Рабочая жидкость подводится в одно из отверстий 3 в корпусе 4, далее через отверстие 5 поступает в центральный канал 6 запорно-регулирующего элемента (пробки) 7, опускается вниз и выходит из дросселя через щель 8 в запорно-регулирующем элементе 7.

Рисунок 4.1 Дроссель типа Г77-1
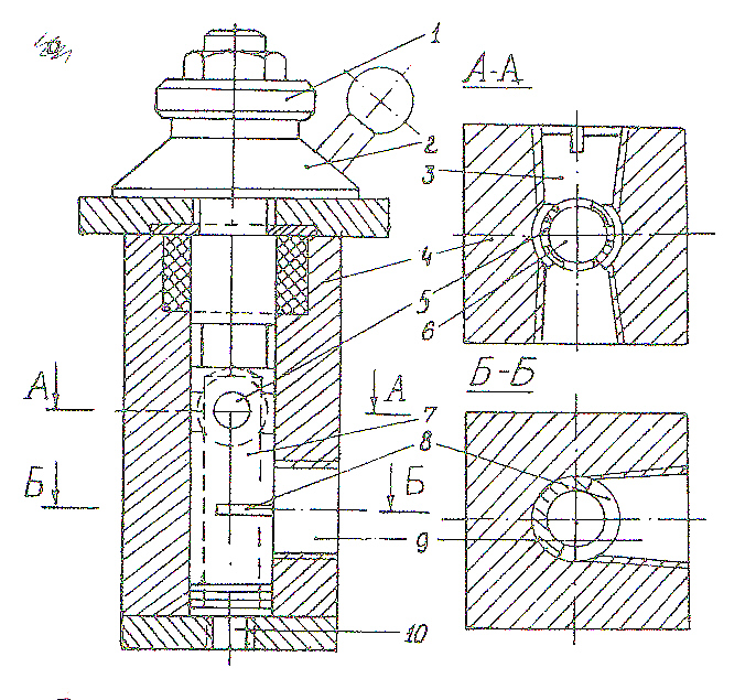
Описание предохранительного клапана типа Г52-12
Гидроклапаном называется гидроаппарат, в котором размеры рабочего проходного сечения изменяются от воздействия потока проходящей рабочей среды.
Классификация гидроклапанов производится по их назначению в гидросистеме и по воздействию потока рабочей жидкости на запорно-регулирующий элемент.
По назначению в гидросистеме различают:
- гидроклапаны давления – регулирующие гидроаппараты, предназначенные для управления давлением рабочей среды (напорные, редукционные, разности давления, соотношения давления в подводимом и отводимом потоках рабочей жидкости);
- гидроклапаны, управляющие потоком рабочей жидкости (обратные гидроклапаны, гидрозамки, делители и сумматоры потоков, гидроклапаны последовательности и др.)
По воздействию потока рабочей жидкости на запорно-регулирующий элемент гидроклапаны делятся на клапаны прямого и непрямого действия.
В гидроклапанах прямого действия размеры рабочего проходного сечения изменяются в результате непосредственного воздействия потока рабочей среды на запорно-регулирующий элемент. В гидроклапанах непрямого действия размеры рабочего проходного сечения изменяются основным запорно-регулирующим элементом в результате воздействия потока рабочей среды на вспомогательный запорно-регулирующий элемент. На рисунке 4.2 показан предохранительный клапан типа Г52-2. Он состоит из корпуса 1, крышки 4, золотника основного запорно-регулирующего элемента 7 в виде шарикового клапана, нерегулируемой пружины 3 и регулируемой винтом 5 пружины 6. Полость высокого давления А соединена с полостями Б и В капиллярным каналом 9. Если при работе машины давление в гидросистеме не превышает давления, на которое настроена пружина 6 шарикового клапана 7, то клапан закрыт. В полостях А, Б и В устанавливается одинаковое давление, золотник 2 основного запорно-регулирующего элемента находится в равновесии и под воздействием усилия нерегулируемой пружины 3 занимает крайнее нижнее положение (как показано на рис. 4.2). При этом полость высокого давления А отделена от полости слива С. Если усилие на шарик от давления в полости Б больше, чем усилие, на которое настроена пружина 6, то шарик отжимается от седла клапана и рабочая жидкость а небольшом количестве из полости через отверстие 8 в крышке 4 и корпусе 1 начинает поступать в полость слива С.
В капиллярном канале 9 возникает течение жидкости с потерей давления в нем на преодоление гидравлических потерь сопротивлений. В результате давление жидкости в полости Б станет меньше давления в полостях А и В. Под действием образовавшегося перепада давлений золотник 2 перемещается вверх, сжимая пружину 3 и соединяя полость высокого давления А с полостью слива С. Рабочая жидкость при этом будет поступать на слив, давление в гидросистеме уменьшится, а это, в свою очередь, приведёт к уменьшению усилия на шариковый клапан от давления в полости Б. Шариковый клапан закроется, и течение жидкости по капиллярному каналу 9 прекратится, давление в полостях А,Б, и В выровняется, и пружина 3 возвратит золотник 2 в исходное положение, снова отделив линию высокого давления от линии слива. Если причина, вызвавшая повышение давления в гидросистеме, не будет устранена, то процесс повторится и золотник 2 в конечном итоге установится в определённом положении, поддерживая в гидросистеме постоянное давление. При работе клапана золотник 2 совершает колебательное движение, что не желательно. Узкий канал 10 оказывает на золотник демпфирующее влияние.

Рисунок 4.2 Предохранительный клапан типа Г 52-2
Клапаном Г 52-2 можно управлять дистанционно с целью разгрузки гидросистемы или какого-либо ее участка от давления. Для этого полость Б посредством канала D и крана 11 необходимо соединить со сливом. В результате давление в полости Б резко упадёт, золотник 2 поднимется вверх, а полость высокого давления А соединится с полостью слива С.
Напорные клапаны типа Г 52 используют как переливные для поддержания в гидросистеме постоянного давления, а также для дистанционной разгрузки гидросистемы или ее отдельных участков от давления. Они могут быть использованы как подпорные гидроклапаны для создания противодавления, а также для обеспечения последовательности включения в работу исполнительных механизмов гидропривода.
Описание пластинчатого фильтра типа Г41
Фильтр – аппарат разделения жидких неоднородных систем фильтрованием.
В зависимости от конструкции фильтроэлементов различают щелевые, сетчатые и пористые фильтры. По тонкости очистки, т.е. по размеру задерживаемых частиц, фильтры бывают грубой, нормальной и тонкой очистки. Фильтры грубой очистки задерживают частицы размером более 0,1 мм. Это фильтры сетчатые и пластинчатые, устанавливаемые на всасывающих линиях для предварительной очистки, в заливочных отверстиях баков, на напорных и сливных линиях. Фильтры нормальной очистки задерживают частицы от 0,1 до 0,05 мм. Они также могут быть сетчатые и пластинчатыми. Устанавливаются на напорных и сливных линиях гидросистем. Фильтры тонкой очистки задерживают частицы менее 0,05 мм.

Рисунок 4.3 Пластинчатый фильтр типа Г41
К ним относятся пористые фильтры (бумажные, войлочные, керамические). Фильтры тонкой очистки рассчитаны на небольшие расходы, устанавливаются в ответвлениях магистрали и в линиях управления. Различают фильтры высокого и низкого давлений.
Фильтры низкого давления ставят только на всасывающих или сливных линиях. На рисунке 4.3 показан пластинчатый фильтр типа Г41. Он состоит из корпуса 1, крышки 5 с отверстиями для подвода и отвода рабочей жидкости, оси 6, на которой закреплён пакет фильтрующих элементов, состоящий из набора основных 2 и промежуточных 3 пластин. Крышка 5 крепится к корпусу 1 болтами и уплотняется кольцом 4.
Рабочая жидкость поступает в корпус фильтра и через щели между основными и промежуточными пластинами попадает во внутреннюю полость фильтра, образованную вырезами в основных пластинах 2. Тонкость фильтрации определяется размером щели т.е. толщиной промежуточных пластин 3. Скребки 8, укреплённые на шпильке 7, служат для очистки щелей между пластинами при их заиливании. При повороте рукояткой оси 6 скребки 8 очищают слой загрязнений на входе в щель. Грязь на дне корпуса фильтра периодически удаляется через отверстие, закрываемое пробкой.
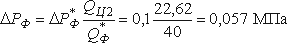
4.1 Определение действительных перепадов давлений
При определении перепадов давлений исходят из расходов, на которые рассчитана гидроаппаратура. Действительные расходы отличаются от справочных. Поэтому необходимо уточнить значения перепадов давлений. Перепады давлений на золотнике можно найти из выражений

где ΔP*>зол> - перепад давлений на золотнике при расходе Q*>зол>;
Q>Ц1> - расход жидкости в полость нагнетания цилиндра;
Q>Ц2> - расход жидкости из полости слива.
Аналогично могут быть уточнены значения Р и для другой гидроаппаратуры.
При подсчете перепада давления на фильтре отношение Q>Ц2> / Q*>Ф> подставлять нужно в первой степени, т.к. режим движения жидкости в фильтре ламинарный
.
Расход Q>Ц2> жидкости, вытекающей из штоковой полости определяется по формуле
.
ΔР>зол1>=
=0,056
МПа;
ΔQ>Ц2>=
=0,000129
м3/с;
ΔР>зол2>=
=0,0368
МПа;
ΔР>ф>=
=0,3
МПа.
Для определения действительных перепадов давления в трубах определяются средние скорости течения масла в трубах l>1> и l>2>.
Средняя скорость движения жидкости в сливной магистрали l>2>
.
Перепады давлений в трубах

где ρ - плотность рабочей жидкости; в расчётах принять ρ = 900 кг/м3; λ>1> и λ>2> - коэффициент гидравлического трения для напорной и сливной гидролинии соответственно.
Безразмерный коэффициент гидравлического трения λ зависит от режима течения жидкости.
При ламинарном режиме движения жидкости (Re < 2300) для определения коэффициента гидравлического трения λ рекомендуется при применять формулу
,
а при турбулентном режиме течения жидкости (Re > 2300) коэффициент λ определяется по полуэмпирической формуле Блазиуса:

Число Рейнольдса определяется по формулам

где - кинематическая вязкость масла, м2/с.
Кинематическая вязкость масла при температуре при температуре Т>М> определяется по формуле:

где ν>50º> - кинематическая вязкость масла при температуре 50 ºС, м2/с;
T>М> - температура масла, ºС;
n - показатель степени, зависящий от ν>50º>.
В расчётах можно принять ν>50> и n в диапазонах ν>50> = (0,35…0,5)10-4, м2/с; n = 2,2…2,4.
υ>рж1>=
=2,57
м/с;
ν=
=0,000028
м2/с;
Re1=
=908,6;
Re2=
=734,3;
λ>1>=
=0,08;
λ>2>=
=0,1;
ΔР>1>=
=0,91
МПа;
ΔР>2>=
=0,1115
МПа;
Перепады давлений на дросселе рекомендуется оставить такими же, какие они заданы по справочнику (перепады давлений на дросселе зависят от степени его открытия).
Зная перепады давлений, находим давления в полостях силового цилиндра:
P>2> = ΔP>зол 2> + ΔP>2>

F>1>=
,
F>2>=
,
Затем уточняется давление, развиваемое насосом:
P>Н> = P>1> + ΔP>зол 1> + ΔP>1>+ ΔP>ДР> + ΔP>Ф>
F>1>=
=0,005024;
F>2>=
=0,00406;
Р>1>=
=3,2
МПа;
P>Н> = 3,2 + 0,056+ 0,91+ 0,3 + 0,3=4,8 МПа.
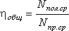
5. Определение КПД гидропривода
5.1 Определение КПД гидропривода при постоянной нагрузке
Общий КПД проектируемого гидропривода, работающего при постоянной нагрузке, определяют по формуле

где N>пр> - затрачиваемая мощность привода (насосной установки),

здесь η - общий КПД насоса при расчетных значениях давления, расхода, вязкости рабочей жидкости и частоты вращения приводного вала насоса;
N>пол >- полезная мощность привода, которая определяется по заданным нагрузкам и скоростям гидродвигателей:
для привода с гидроцилиндром
N>пол> = R υ>ПР> z.
Q>н>=
=1,09·10-3
м3/с;
N>пр>=
=7571
Вт;
N>пол>=12·103·0,1·1=1200 Вт;
η>общ>=
=0,16=16%.
5.2 Определение КПД гидропривода при работе в цикличном режиме
Общий КПД привода при цикличной работе

Средняя за цикл полезная мощность привода N>пол.ср> для привода с гидроцилиндром
N>пол.ср>=
где R - усилие, действующее на гидроцилиндр, Н; υ>ПР >- скорость хода поршня, м/сек; t>x> – время холостого хода, сек; t>Ц> – время рабочего хода, сек.
Затрачиваемая мощность привода (насосной установки) N>пр.ср>
N>пр.ср>=
где Q>Н >, P>Н >- подача и давление насоса; η - общий КПД насоса.
N>пол.ср>=
=666,7
Вт;
N>пр.ср>=
=4152,4
Вт.
η>общ>=
=0,16=16%
6. Расчет объема гидробака
Надежная и эффективная работа гидропривода возможна в условиях оптимального состояния, обеспечивающего постоянство рабочих характеристик. Повышение температуры влечет за собой увеличение объемных потерь, нарушаются условия смазки, повышается износ деталей, в рабочей жидкости активизируются ее окисление и выделение из нее смолистых осадков, ускоряющих облитерацию проходных капиллярных каналов и дроссельных щелей.
Основной причиной нагрева является наличие гидравлических сопротивлений в системах гидропривода. Дополнительной причиной являются объемные и гидромеханические потери, характеризуемые объемным и гидромеханическим КПД.
Потери мощности в гидроприводе, переходящие в тепло
ΔN = N>пр> - N>пол>
ΔN = 7571 – 1200=6371 Вт
а при цикличной работе
ΔN = N>пр.ср> - N>пол.ср>
ΔN = 4152,4 – 666,7=3485,7 Вт
Согласно рекомендациям по проектированию гидропривода, объем гидробака должен быть в три раза больше объема масла, находящегося в трубопроводах и гидроаппаратах системы.
Определим объем рабочей жидкости, находящейся в гидросистеме. Объем масла в трубах
.
V>труб>
=
=0,0003
м3.
Объем масла в гидроцилиндрах
V>ГЦ> = z ·F>1·> S .
V>ГЦ> = 1· 0,005024·0,5=0,0025 м3.
Объем масла в гидронасосе равен его рабочему объему
V>Н> = q. = 0,000016 м3.
Объем масла в фильтре можно приближенно посчитать исходя из геометрических размеров выбранного фильтра. Стакан фильтра имеет цилиндрическую форму диаметром 100 мм и высотой 200 мм. Фильтрующие элементы занимают приблизительно 60% внутреннего объема фильтра. Исходя из этих геометрических характеристик рассчитывается объем масла, заполняющего фильтр.
V>ф> = 0,000942 м3.
Объемом масла, находящегося в гидрораспределителе, дросселях и обратных клапанах можно пренебречь. Таким образом, объем рабочей жидкости, находящейся в гидросистеме равен
V = V>труб> + V>ГЦ> + V>Н> + V>Ф>
V = 0,0003 + 0,0025 + 0,000016 + 0,000942=0,0037м3.
Тогда объем бака равен
V>б1> = 3V.
V>б1> = 3·0,0037=0,011 м3.
Полученное значение округляют его до стандартного значения объема по ГОСТ 12448-80 и получаем V>б1> = 0,0125 м3. Примем за форму гидробака параллелепипед (V =a·b·h), конструктивно подбираем размеры гидробака: длину a, ширину b, высоту h (h > h>1>) рисунок 6.1.

Рисунок 6.1 – Гидравлический бак
Принимаем длину a=0,25м, ширину b=0,2м, высоту h=0,25м.
Площадь поверхности теплообмена складывается из поверхности труб S>тр>, через которые происходит теплообмен с окружающей средой, и поверхности теплоотдачи бака S>б>
S = S>тр> + S>б>
S = 0,23 + 0,00002=0,23002 м2.
Для определения поверхности труб воспользуемся формулой
S>тр> = π·d· ( l>1>+l>2> )
S>тр> = 3,14·0,008·(2+3)=0,15 м2.
а для теплоотдающей поверхности бака зависимостью
S>б> = a·b + 2·a·h>1> + 2·b·h>1>
S>б> = 0,25·0,2 + 2·0,25·0,2 + 2·0,2·0,2=0,23 м2.
Рассчитаем объёма гидробака через теплообменные поверхности
V>б2>
=
.
V>б2>
=
=0,0075
м3.
Така как V>б1>> V>б2>, то принимаем объём гидробака равный 12,5 л.
Заключение
Ознакомившись с характеристиками
станка. Мы разработали необходимую
гидравлическую систему которая
удовлетворяет характеристикам станка.
КПД привода составляет 16%, давление в
штоковой полости 0,85 МПа, усилие в не
штоконой полости 1,1 МПа. Согласно расчётов
была выбрана вся необходимая
гидроаппаратура. Нами был выбран
гидроцилиндр D=0,08
м, d=0,035
м,
=0,002
м.
Объём гидробака равен 12,5 л.
Библиографический список
Методические указания
1. Халтурин В.М., Мамаев В.В., Пушкарёва О.Б. Расчёт объёмного гидропривода.-Екатеринбург, "УГЛТУ", 2003-44с.
2. Халтурин В.М., Мамаев В.В., Пушкарёва О.Б. Приложение к расчёту объёмного гидропривода.-Екатеринбург, "УГЛТУ", 2003-20с.
Учебники учебные пособия
3. Амалицкий В.В. Станки и инструменты лесопильного и деревообрабатывающего производста: Учебник для техникумов.- М.: Лесная промышленность, 1985.-288 с.
4. Халтурин В.М., Мамаев В.В., Пушкарёва О.Б. Гидро- и пневмопривод машин лесной промышленности: Учеб. пособие М.: УГЛТА Екатеринбург, 2001.-150 с.