Проект холодильной камеры для хранения яблок
Министерство образования и науки Российской Федерации
ФГОУ СПО «Екатеринбургский экономико-технологический колледж»
Курсовой проект
Проект холодильной камеры для хранения яблок
Разработал
Руководитель
Оценка ________
2010
Содержание
Введение
1 Выбор расчетных параметров
2 Краткое описание строительной конструкции
3 Определение площадей камер и выбор планировки
4 Расчет толщины теплоизоляционного слоя
5 Тепловой расчет камеры холодильника
6 Выбор и обоснованные системы охлаждения
7 Расчет и подбор основного и вспомогательного оборудования
8 Выбор средств автоматизации и основные характеристики принятых автоматических приборов
9 Описание схемы холодильной установки
10 Охрана труда и техника безопасности
11 Список используемой литературы
Введение
Возрастающий спрос на свежие продукты, с полностью сохраненными питательными веществами и витаминами, без каких-либо химических добавок, предъявляет очень высокие требования к их хранению. Фирма Plattenhardt + Wirth GmbH уже многие десятилетия работает над тем, чтобы предлагаемые ею инновационные решения в области охлаждения и длительного хранения фруктов и овощей, дозревания бананов, заморозки продуктов, строительства холодильных камер и складов-холодильников все полнее отвечали этим требованиям. Фрукты и овощи являются очень уязвимыми продуктами и необходимо немало ноу-хау, чтобы иметь возможность предлагать их круглый год свежими – аппетитно выглядящими, сочными, оптимально вызревшими, с сохранившимися витаминами и питательными веществами. И все это без вредной для организма обработки.

Рисунок 1 - Дыхание яблок в различных условиях хранения
Хранение CA (контроль атмосферы) и ULO (ультранизкий кислород)
Предпосылкой для длительного и промежуточного хранений является установление оптимальных условий, так как каждый вид фруктов и овощей требует определённой температуры, влажности воздуха и его состава. Для семечковых плодов оптимальных результатов можно достичь только при хранении в регулируемой атмосфере. При намерении коммерсанта или производителя поставлять товар на экспорт в Европу необходимо чётко придерживаться всех норм ЕС. Проекты, планируемые и строящиеся «Plattenhardt + Wirth», помогут Вам выполнить подобные предписания и нормы.

Рисунок 2 - Хранение яблок
Виды потерь
Целью хранения является сохранение качества и количества товара с минимальными потерями. При хранении могут быть два вида потерь:
- неизбежные потери количества товара вследствие дыхания (респирация) и потери влажности
(транспирация) фруктов;
- вызванная условиями выращивания, сбора урожая и хранения порча фруктов вследствие загнивания (паразитические болезни) и нарушения обмена веществ (непаразитические или физиологические болезни при хранении).
Обе причины потерь могут быть сокращены, а отчасти и полностью исключены с помощью соответствующих мер при выращивании и хранении. По этой причине наряду со знаниями технической стороны дела успеху сопутствуют также знания об удобрениях, защите растений от болезней и вредителей, условиях ухода и роста.
Потери от респирации:
Фрукты и овощи живут – это мы все знаем – также и после уборки урожая. Для поддержания своей жизненной функции им необходима энергия, которую они получают в процессе дыхания за счет разложения содержащихся в них веществ. При этом во время дыхания (т.е. потребления кислорода) органические, богатые энергией соединения, в особенности сахар и кислоты, разлагаются на углекислый газ и воду и освобождается энергия.

Рисунок 3 - Потери веса яблок при хранении в хранилище CA вследствие дыхания и испарения
Потери при транспирации:
Потери за счет испарения влажности возникают постоянно за счет разницы в степени влажности мякоти плода (100%) и обычно более сухого воздуха окружающей среды. По сравнению с потерями от респирации, потеря веса за счет транспирации значительно выше. Однако между этими потерями есть качественная разница. При транспирации фрукт теряет только воду, при дыхании исчезают также ценные вещества. Потери веса более 5% вызывают у большинства сортов яблок заметное сморщивание и тем самым существенную потерю качества. А это означает, что товар можно продать только по низкой цене. Этих потерь веса можно избежать. Задачей оптимального хранения является, таким образом, ограничение скорости и объёма процессов разложения, так чтобы фрукты оставались качественными более долгое время.
Факторы сокращения потерь
При принятом сегодня способе хранения яблок для сокращения потерь при хранении используют изменение следующих факторов:
- снижение температуры хранения ;
- оптимизация относительной влажности воздуха;
- изменение состава воздуха в хранилище (CA-хранение).
Задача специалистов произвести расчеты техники так, чтобы добиться оптимальных для каждого отдельного сорта условий.
Снижение температуры
Самой эффективной возможностью замедлить процесс порчи свежих фруктов и овощей по-прежнему является быстрое и необходимое сразу же после сбора урожая понижение температуры в хранилище.
При хранении играет существенную роль не только сама температура, но и скорость, с которой достигается необходимая температура. Через 5-8 дней товар должен достичь температуры хранения. Любая слишком поздняя закладка на хранение или промежуточное хранение при более высоких температурах сокращает сохранность товара.
Основное правило при длительном хранении заключается в следующем: день позднего или длительного охлаждения может стоить недели хранения (при длительном хранении до июня или июля следящего года).
Для оптимизации относительной влажности воздуха возможны следующие способы:
- Увлажнение
- Большие поверхности испарителей
- Оптимальное регулирование холодильных установок согласно условиям хранения.
В последние годы дополнительное увлажнение потеряло своё значение. Мы рассчитываем наши холодильные установки так, чтобы большие поверхности пластинок воздухоохладителей (испарителей), а также низкий показатель разницы в температуре (Δt), т.е. разница между температурой воздуха в помещении и температурой поверхностей пластинок воздухоохладителей, создавали возможность держать потери влажности на технически минимально возможном уровне. Мы разработали также специальную систему регулирования для хранения фруктов. Если, например, температурный зонд в помещении сигнализирует «мне нужен холод», то для начала включаются вентиляторы, иногда этого одного бывает достаточно. Мы устанавливаем энергосберегающие, чётко настроенные холодильники, оснащённые трёх-восьми ступенчатым или бесступенчатым регулированием – то после ее включения запускается вентилятор. После подключения установки первым делом включается вентилятор. А для холодного времени года, когда холодильная машина почти не работает, вентиляторы включаются периодически – регулярность устанавливается произвольно (например, 15 минут в час). Таким образом мы можем предупредить неравномерность температурного режима и неравномерность состава воздуха (так называемые скопления СО>2>) в помещении хранилища.
Изменения в составе воздуха (хранение СА):
Яблоки забирают, как мы все знаем, при дыхании постоянно кислород и отдают приблизительно то же количество углекислого газа. Если изменить концентрацию этих участвующих в дыхательном обмене газов, то можно продолжительно влиять на интенсивность дыхания фруктов. Соответственно замедляются процессы созревания и разложения веществ и увеличивается длительность хранения. В качестве эксперимента мы уже хранили яблоки более 1 года, что, конечно, с экономической точки зрения, нецелесообразно. Для того, чтобы изменить газовую среду в хранилище, оно должно быть газонепроницаемым. За счет этого и за счет дыхания фруктов в помещении хранилища повышается содержание CO>2> и снижается содержание O>2>. В современных хранилищах СА с двусторонним регулированием с помощью абсорберов можно регулировать содержание как СО>2> так и О>2>, что позволяет использовать эффект задержки созревания за счет повышения концентрации СО>2> и понижения содержания О>2>. Особенно эффективным оказывается хранение в регулируемой атмосфере, если с помощью специальных устройств необходимые условия хранения достигаются в течение нескольких часов или дней. В последнее время разработаны технологии ULO (ultra-low oxygen - ультранизкий кислород), при которых содержание кислорода снижается до 1 - 2% (обычно до 3%). Это позволяет достичь еще более высокой сохранности фруктов. Особенно эффективны при этом концентрации CO>2> выше 3% и / или концентрации O>2> от 1,5 до 2%. Такое содержание кислорода лишь незначительно превышает предельное значение, необходимое для поддержания жизни яблока, и может быть достигнуто лишь с надежно работающей автоматической системой управления и регулирования газовой среды. Прибор измерения содержания СО>2> и О>2> интегрирован в систему управления, его мы, как правило, монтируем в переключательный шкаф холодильной установки. Предпосылкой хранения ULO является, конечно же, газонепроницаемое исполнение камеры. А это наш фирменный продукт!
Многие знания об оптимальных размерах хранилища, сроках закладки, темпах охлаждения и достижения атмосферного режима, скорости разгрузки хранилища, сортах, болезнях и т.п. накоплены фирмой «Plattenhardt + Wirth» за время многолетней работы в области хранения фруктов и овощей.
Связь между температурой хранения и продолжительностью хранения

Великолепные результаты дает хранение CA прежде всего для яблок, груш, белокочанной капусты, винограда.
1 Выбор расчетных параметров
Исходные данные. В камере охлаждения фруктов с температурой t>пм>= 0 °С и влажностью воздуха (80-90)% находятся яблоки, упакованные в деревянные ящики. Начальная температура яблок t>н>=25 °С, конечная t>к> = 6°С
Требуется: определить продолжительность охлаждения, вместимость камеры, тепловую нагрузку на камерное оборудование, подобрать воздухоохладители. Для качественного и интенсивного охлаждения фруктов, уложенных в ящики, штабель формируем таким образом, чтобы обеспечить через него инфильтрацию холодного воздуха. При таком складировании норма загрузки отнесенная к 1 м2 строительной площади камеры, составляет g>r>= 400 кг/м2 .
2 Краткое описание строительной конструкции. Требования к планировке
Под планировкой понимают размещение всех производственных и вспомогательных
помещений холодильника с учетом их назначения, количества и размеров.
Чтобы обеспечить наиболее рациональную планировку, рекомендуется придерживаться следующих правил.
Принятая планировка должна соответствовать принятой схеме технологического процесса, т. е. обеспечивать точное и последовательное выполнение всех технологических операций. Желательное направление движения груза — в одну сторону без встречных н пересекающихся потоков. Двери камер должны выходить в коридор. Исключение составляют камеры замораживания и охлаждения, вход в которые может быть через помещения для загрузки, а также камеры хранения продуктов, подвергающихся товарной обработке как при поступлении, так и при выдаче через эти помещения. Не исключается применение бескоридорных планировок, если есть возможность обеспечить последовательное перемещение груза по технологической цепочке без возврата. Последнее решение обычно возможно на холодильниках мясокомбинатов и рыбообрабатывающих предприятий.
Планировка должна способствовать уменьшению первоначальных затрат на строительство холодильника. Это достигается широким применением типовых строительных элементов и конструкций, использованием местных строительных материалов, сокращением площади, занимаемой вспомогательными помещениями. Однако при сокращени вспомогательных помещений нельзя забывать об удобствах обслуживания, т. е. производить сокращение в ущерб эксплуатации. В этом плане правильным примером сокращения вспомогательных помещений будет применение бескоридорных планировок на некоторых производственных холодильниках, а также на ряде распределительных холодильников и фрукто - и овощехранилищ с непосредственным выходом из камер на платформы.
Планировка должна обеспечивать дешевую и удобную эксплуатацию холодильника.
Прежде всего должны быть правильно выбраны размеры холодильника, обеспечивающие свободу и широту маневра погрузочно-разгрузочных и транспортных средств.
Ширину здания многоэтажного холодильника, как правило, принимают не более 40 м (что связано не с эксплуатацией, а с возможностью монтажа, обеспечением его удобств, но приводит к созданию платформ большой длины).
Ширина одноэтажных холодильников при центральном расположении коридора определяется модулем, равным 12 м, соответствующим длине наиболее распространенного пролета.
Ширину одноэтажных холодильников принимают равной
12, 24, 36, 48, 60 и 72 м.
Длину здания холодильника выбирают так, чтобы длина железнодорожной платформы позволяла принимать пятивагонную рефрижераторную секцию.
Ширина железнодорожных платформ 6—7,5 м, автомобильных — в тех же пределах.
В некоторых случаях на холодильниках предусматривают соединительную платформу шириной 3,5 м, но чаще проектируют холодильники со сквозными грузовыми коридорами, имеющими выход на обе платформы. Ширина коридоров обычно 6 м.
и Железнодорожную платформу на холодильниках емкостью до 600 т не предусматривают. Такие холодильники вообще могут иметь только одну автомобильную платформу. Железнодорожные платформы делают с уступом шириной 560 мм по всей длине для обеспечения возможности разгрузки вагонов любых типов.
Для уменьшения теплопритоков в камеры их группируют в блоки с примерно одинаковым температурным режимом.
4. Планировка должна соответствовать принятой системе охлаждения. Это особенно важно учесть при проектировании одноэтажных холодильников, так как не всегда удается обеспечить слив хладагента из приборов охлаждения, что приводит к необходимости перехода на более емкие схемы с нижней подачей холодильного агента. При составлении планировки должны быть предусмотрены места для монтажа оборудования, камерных распределительных коллекторов >н>
5. Планировка должна соответствовать требованиям правил техники безопасности и пожарной безопасности.
6. Планировка должна предусматривать возможность расширения холодильника. Для этого оставляют свободной одну торцевую стену.
Следует иметь в виду, что составление планировки является наиболее трудным ответственным процессом проектирования, от которого в дальнейшем зависит экономическая эффективность действующего предприятия.
3 Определение площадей камеры и выбор плана
Таблица 1 - Размеры камеры
|
Ширина, м |
Длина, м |
Толщина стен, м |
|
6,0 |
18,0 |
0,8 |
Строительная площадь камеры F, м
F =LB, (1)
где L- длина камеры, м;
В – ширина камеры, м.
F= 18,0x6,0= 108,0 м2
Вместимость камеры М, т
М=Fg> , >(2)
где F – площадь камеры, м2;
g>f> -> >норма загрузки на 1м2 ;
g>f >=400 кг/м2.
M= 108x400 = 43 200 кг=43,2 т
Продолжительность охлаждения яблок, уложенных в деревянную тару, можно найти из зависимости Т , ч;
Т = (l/m)ln((t>н> - t>нм>)/(t>к>- t>пм>)), (3)
где m - темп охлаждения для яблок, упакованных в ящики, с;
w>н> - скорости инфильтрации воздуха, w>н> = 0,8-1,0 м/с;
t>н >– начальная температура яблок,> >°С;
t>к> – температура кипения, °С.
Т= (1/0,000018) In (25 - 0)/(6 - 0)) = 79 200 с = 22 ч
Теплоприток через ограждающие конструкции камеры рассчитываем с учетом теплопритока от солнечной радиации только через стенки холодильных камер Q>1>, кВт;
Q>1>= ∑(k>i>F>i>Δt>i>)+ kFΔt>c >(4)
где k - коэффициент теплопередачи ограждения, принимаем для наружной стены 0,40 Вт/(м2-К);
для внутренней с коридором 0,52 Вт/(м2 К), для покрытия 0,37 Вт/(м2-К);
Δt>c> - дополнительная разность температур от солнечной радиации, Δt>c> = 18 °С.
Q>1>= 0,40x6x4,8 (31 -0) + 0,52x6x4,8 (12-0) +0,37x6x18 (31 -0) +0,37x6x18x18 =2,5 кВт
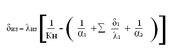
4 Расчет толщины теплоизоляционного слоя
Толщина слоя теплоизоляции δ>из , >м;
(5)
где λ>из > - коэффициент теплопроводности изоляционного материала, Вт/(м х град.)
к>н >– нормативный коэффициент теплопередачи конструкции ограждения,
Вт/(м2 х град.)
δ>i >– толщина отдельных слоев строительных и пароизоляционных материалов, м;
λ>i> – коэффициент теплопроводности соответствующих материалов, Вт /(м2х град.)
a>1 – >коэффициент теплоотдачи от воздуха к стенке> >с теплой с теплой стороны,
Вт/(м2 х град.)
а>2> – коэффициент теплоотдачи от стенки к воздуху камеры, Вт/(м2 х град.)
После определения толщины слоя изоляции δ>из > по формуле полученный результат округляют до значения стандартных толщин принятого теплоизоляционного материала δ˙>из >.
Для принятой окончательно толщины слоя теплоизоляции δ˙>из > производят уточнение величины коэффициента теплопередачи, который будет использован в расчетах и является действительным.
δ>из >= 0.030 х [1/5 – (1/8 + ∑ 7/4 + 2/8)]=38.84
Таблица 2- Сравнительная характеристика различных строительных материалов с точки зрения теплопроводности
|
Материал |
Плотность, кг/м3 |
Теплопроводность, Вт/мК |
Сравнительная, толщина мм |
|
Пенополиуретан |
40-70 |
0,030 |
40 |
|
Пенополистирол |
20-30 |
0,041 |
80 |
|
Минвата |
20-40 |
0,048 |
100 |
|
Дерево |
800-1000 |
0,130 |
274 |
|
Керамзит |
600-800 |
0,180 |
320 |
|
Газобетон |
800 |
0,220 |
400 |
|
Кирпич |
1800 |
0,450 |
760 |
|
Бетон |
2200 |
2,100 |
1720 |
Таблица 3 - Физико-механические характеристики полиуретана
|
Показатель |
Значение |
|
Кажущаяся плотность, кг/м3 |
60,0 |
|
Содержание закрытых пор, % |
95,0 |
|
Разрушающее напряжение при сжатии, не менее, кПа |
200 |
|
Теплопроводность, не более, Вт/мК |
0,03 |
|
Водопоглащение, не более, об. |
2% |
|
Теплостойкость, не менее, °С |
100 |
Для изоляции крыш и несущих строительных конструкций. Для изоляции трубопроводов, в случаях, когда требуется стойкость к воздействию высоких температур и долговечность. Для теплоизоляции стен, потолков, внутренних поверхностей используют пенополиуретан с плотностью 40 - 45 кг/м3, физико-механические характеристики такого пенополиуретана немного ниже, однако его теплоизолирующие свойства практически не ухудшаются. При изготовлении сэндвич-панелей пенополиуретановый слой обычно имеет плотность около 40 кг/м3. Прочность панели определяется свойствами всех материалов, использованных в панели. Наибольшее распространение имеют панели, изготавливаемые с применением легких металлов и металлопластов, такие панели при малом весе имеют достаточную прочность и высокие теплоизолирующие свойства.
Очевидные преимущества напыляемой пенополиуретановой изоляции:
- разрешена органами строительного надзора;
- экономия энергии за счет отсутствия стыков, швов, тепловых мостиков;
-одновременная гидроизоляция
-устойчивость к воздействию открытого огня
-долговечность высокая прочность, по пенополиуретановому покрытию можно ходить
-хорошая адгезия к строительным материалам
-химическая стойкость к слабокислотным осадкам, к промышленным углеводородам (бензины, масла, битумы, краски)
-тепло- и морозостойкость в диапазоне температур от -30°С до +100°С
-малый вес и отсутствие нагрузки на строительные конструкции.
5 Тепловой расчет камеры холодильника
Теплоприток от биохимических процессов, протекающих в яблоках Q>2>б, кВт
Q>2б>= Mхqб, (7)
где qб - удельная теплота биохимического процесса, Вт/т (q>6> =9-11 Вт/т).
Q>2б>= 43,2х9 = 400 Вт = 0,4 кВт
Эксплуатационные теплопритоки принимаем ориентировочно Q>4>, кВт
Q>4> = 0,2Q>2>, (8)
где Q>2>- теплоприток от охлаждаемых яблок, кВт.
Q>4> = 0,2-48,7=10 кВт
Тепловая нагрузка на камерное оборудование Q>0>, кВт
Q>0> = Q>1>+Q>2>+Q>2б>+Q>4 > (9)
где Q>1 >– приток через ограждающие конструкции, кВт;
Q>2> – теплоприток от охлаждающих яблок, кВт;
Q>2б >- Теплоприток от биохимических процессов, протекающих в яблоках, кВт;
Q>4> - Эксплуатационные теплопритоки, кВт.
Q>0> = 2,5 + 48,7 + 0,4+10 = 61,6 кВт
Теплообменная площадь воздухоочистителей F>в>, м2;
F>в> Q>о>/(k>0>Ə>0>) (10)
где к>0>- коэффициент теплопередачи воздухоохладителя, к>0> = 15 Вт/(м2-К);
Ə>0> - температурный напор, с целью уменьшения опасности подмораживания продуктов для фруктовых камер принимают в пределах Ə>0>= (5 ÷6) К.
Q>0 >- тепловая нагрузка на камерное оборудование, кВт.
F>в>=61600/(15х6)=61,6кВт
6 Выбор и обоснованные системы охлаждения
Сплит-системы состоят из двух частей: снаружи компрессорно-конденсаторный агрегат и воздухоохладитель (испаритель) внутри камеры, соединённые между собой трубопроводами. Обе части могут располагаться на необходимом расстоянии друг от друга, что позволяет разрешить проблему расположения оборудования снаружи или внутри камеры. Они могут применяться для камер встроенных в существующие помещения с толщиной стен и высотой потолков, не позволяющих провести монтаж моноблоков.
Холодильные сплит-системы Polair (Россия), изготовленные по лицензии фирмы «Zanotti», предназначены для охлаждения внутреннего объёма холодильной камеры и представляют собой холодильные агрегаты, состоящие из двух блоков — компрессорно-конденсаторного агрегата и воздухоохладителя, заправленные сухим азотом, протестированные на производстве и рассчитанные на работу при внешней температуре окружающего воздуха от +10 до +40°С. Для обеспечения нормальной работы холодильной сплит-системы при расположении камер на улице предусмотрен комплект зимнего регулирования.
Среднетемпературные холодильные сплит-системы Polair типа «SМ» предназначены для поддержания в камере температуры от -10 до +10°С, низкотемпературные морозильные типа "SB" от -15 до -25°С.
Корпус сплит-системы Polair изготовлен из оцинкованной листовой стали с полимерным покрытием. В наружной части находится медно-алюминиевый конденсатор, вентилятор обдува, компрессор, фильтр-осушитель «Danfoss», электрический блок управления. Во внутренней части сплит-системы Polair находятся: испаритель, вентилятор обдува, электрический ТЭН оттайки испарителя. При оттайке конденсат сливается по специальной трубке. Электронный блок управления фирмы «Danfoss» ЕКС — 201 установлен на электрическом щите, поддерживает заданную температуру в охлаждаемом объёме, включает режим оттаивания испарителя.
В сплит-системе Polair используются герметичные поршневые компрессоры «L'Unite Hermetique» или «Danfoss». Электрическая часть холодильной сплит-системы предусматривает подключение дополнительного оборудования: освещение камеры, обогрев дверного проёма, клапан выравнивания давления и пр.
Сплит-система оснащена системой автоматического оттаивания снеговой «шубы» на испарителе с помощью электрических нагревательных элементов с последующим отводом образующейся влаги за пределы внутреннего объема камеры. Все элементы гидросистемы холодильной машины соединены герметично.
Расчет необходимого объемного расхода воздуха проводится для условий, установившихся к концу периода охлаждения загрузки. Примем, что максимально допустимое изменение температуры загрузки по объему равно 1К, перепад температуры воздуха в холодильном агрегате равен 1К, скорость изменения температуры загрузки при охлаждении составляет 0,1 К/час. В начале периода охлаждения расход воздуха рассчитывается из предположения, что перепад температуры воздуха в воздухоохладителе составляет 3К.
Расход воздуха q>t>, м3/ч
q>t>=q>r> + q>p> = m хc>p> х Δ t (11)
где q>t> - общее количество тепла, удаляемое из камеры, Вт;
q>r >- теплодыхания, Вт;
q>p> - тепло, выделяемое при остывании, Вт;
m - весовой расход воздуха, кг/с;
с>р> - удельная теплоемкость воздуха, кДж/кгК;
Δ t -изменение температуры воздуха, К.
или
В равновесном состоянии перепад температур по воздуху Δt равен перепаду температур по загрузке m>t>, кг/с
m>t>=q>t>/(c>p>·Δt) (12)
где с>р> - удельная теплоемкость воздуха, кДж/кгК;
Δ t -изменение температуры воздуха, К.
m>t> =7.7/(1000·1)= 0,0077 кг/с
Объемный расход воздуха, Q, м3/с
Q= m>t>/ q>p > (13)
Q=0,0077/1,2=0,0064 м3/с на коробку.
Для камеры, в которой находятся 400 коробок с яблоками, объемный расход воздуха должен составлять 2,76 м3/c при статическом напоре вентилятора 150 Па.
7 Расчет и подбор основного и вспомогательного оборудования
Оптимальным вариантом оборудования в холодильной камеры для хранения яблок стала сплинт – системы Polair (Россия). Так как эти системы долее долговечны в эксплуатации и показали высокую надежность и простоту монтажа.
Таблица 4- Оптимальные варианты оборудования
тип |
|
||||||
холодо произво-дите-льностьВт, |
ном-иналь- ный ток, А |
Потреб-ляемая мощно-сть,Вт, |
Расход эл.Энергии За сутки кВт.ч . |
Рекомен-дуемыйОбъем Камеры М3 |
1-LxBxH 2-LxBxH |
Масса, кг1 2 |
|
SM 226 |
2561 |
5.0 |
1800 |
28 |
100 |
715x420x300790x320x738 |
1959 |
SM 232 |
3242 |
5.2 |
3000 |
36 |
150 |
715x420x300790x320x738 |
1971 |
Сплит-системы совместно с холодильными камерами малых и средних объёмов имеют следующие области применения:
- организации общественного питания (кафе, бары, рестораны и т.д.);
- продуктовые магазины розничной торговли
- небольшие производства пищевых продуктов
- мелкооптовые продовольственные базы.
Коммерческие сплит-системы Polair (Россия), являются результатом долгосрочной исследовательской работы основанной на конкретных реалиях. Постоянное стремление к техническим высотам и тесное взаимоотношение с клиентами обеспечивает высокие стандарты качества, надежность и удобство при эксплуатации всего модельного ряда данных сплит-систем. Сплит-системы Polair (Россия), предназначены для работы в режиме хранения продукции с поддержанием требуемой температуры в камерах необходимого объёма.
Низкотемпературные поддерживают от -18 до -25°С, среднетемпературные от -5 до +5°С, высокотемпературные от +5 до +15°С.
Оборудование Polair (Россия) обладает огромными положительными свойствами:
1. Максимально приспособлены для работы в условиях недостаточных подсобных площадей, поскольку устанавливаются на наружные стены холодильных камер.
2. Компактность агрегата позволяет полностью использовать внутренний объём камеры.
3. Минимальное электрическое потребление в сочетании с большой холодопроизводительностью, дают реальную финансовую экономию.
4. Высокое качество cплит-систем обеспечивает сборка и тестирование в заводских условиях, наличие приборов автоматической защиты как холодильной машины в целом так и различных ее узлов, а также системы аварийной сигнализации.
5. Надежность и долговечность обеспечивает применение высококачественных компрессоров известной марки «Maneroup», качественной электротехники «SIEMENS» или «ABB» (Германия), фреоновой арматуры «Danfoss» (Дания) и т.п.
6. Пригодны для эксплуатации в цокольных и подвальных помещениях жилых зданий с точки зрения шумовых характеристик.
8 Выбор средств автоматизации и основные характеристики принятых автоматических приборов
холодильный хранение фрукты овощи
Комплексная автоматизация холодильных установок с применением компьютерных мониторинговых систем.
В настоящее время современные тенденции развития требуют все шире и шире применять электронику в устройствах холодильной автоматики и управления. Без этого сегодня уже невозможно создавать конкурентоспособные системы. Но с увеличением числа контроллеров возрастает трудоемкость их настройки, растет и число параметров, которые необходимо одновременно отслеживать для нормальной работы холодильной установки, усложняются взаимосвязи между параметрами и алгоритмы регулирования, что может свести к нулю все преимущества. Во избежание этих проблем необходим переход от отдельных контроллеров разных фирм к комплексным компьютерным мониторинговым системам.
Инженеры фирмы "Криотек" уверены, что только комплексная автоматизация на базе мониторинговых систем может обеспечить качественный скачек и раскрыть все преимущества электронных контроллеров.
Что представляет собой компьютерная мониторинговая система?
Основным компонентом системы является мониторинговый сервер. Это электронный блок, который обеспечивает связь с электронными контроллерами, связанными в сеть единой информационной магистралью, Сервер хранит журналы параметров, измеряемых контроллерами (температура, давление и тд.), выполняет обработку сигналов аварий и обеспечивает возможность подключения к системе по модему, по локальной компьютерной сети, а в наиболее передовых системах и через Интернет.
При такой конфигурации возможно из одного центра получить доступ к настройкам всех электронных контроллеров и отслеживать все рабочие параметры холодильных установок на экране компьютера. Кроме того, параметры будут сохраняться за длительный период времени, то есть можно проанализировать, как работала холодильная установка неделю, месяц или полгода тому назад.
Все вышесказанное в полной мере присуще мониторинговой системе фирмы ALCO CONTROLS. В качестве преимуществ этой системы необходимо отметить что:
применение электронных ТРВ фирмы ALCO CONTROLS расширяет возможности регулирования температуры;
мониторинговый сервер имеет встроенный Веб-сервер, что позволяет управлять системой через Интернет;
для связи контроллеров между собой и с сервером используется открытый стандарт LonWorks®, что позволяет присоединять к системе контроллеры других производителей, которые поддерживают этот стандарт, например, для контроля электропитания, систем охраны, кондиционирования и т.д.
Практика показывает, что применение мониторинговых систем наиболее целесообразно в следующих случаях:
- разветвленная схема охлаждения;
- холодильные установки для быстрой заморозки продуктов;
- обслуживание одним диспетчерским пунктом сети объектов.
Разветвленная схема охлаждения.
Применение мониторинговой системы ALCO CONTROLS удобно и выгодно на большом предприятии с децентрализованными схемами охлаждения, расположенных на разных этажах и в разных зданиях. Система дистанционного контроля с единым диспетчером позволяет проводить контроль за работой установок и диагностику с рабочего места диспетчера, накапливать и обрабатывать данные о причинах отказов и неполадок, а также предвидеть выход установок из строя по мелким и зачастую незаметным даже глазу специалиста отклонениям в работе. Электронные системы ALCO CONTROLS позволяют вести подробный календарный отчет, включающий большое количество параметров. Это делает возможным точно устанавливать время возникновения неполадок, анализировать работу установки и, в случае договорных отношений, иметь документальную объективную фиксацию процессов.
Описание схемы холодильной установки
Сплит-система (англ. split — «разделять») — кондиционер, состоящий из двух блоков: внешнего (компрессорно-конденсаторного агрегата) и внутреннего (испарительного).
В сплит-систему входят внешний и внутренний блоки. Расположены они следующим образом: внешний блок, как правило, на фасаде здания, иногда на крыше (чтобы не портить внешний вид здания), внутренний блок — в зависимости от типа, может быть расположена на потолке, полу, стенах или встроен в подвесной потолок.
Блоки сплит-системы, связываются между собой проводами и медными трубками. Все коммуникации скрываются в специальные декоративные короба, которые не влияют на внутренний дизайн помещений. Наружный блок сплит-системы состоит из компрессора и ряда механизмов для осуществления подачи, фильтрации, отопления и ряда других функций (в зависимости от типа сплит-системы).
Расположение компрессора вне помещения предназначено для снижения шума при работе сплит-системы. Так как именно он является основным источником шума. В результате: уровень шума стандартных сплит-системы составляет около 24-26 дБ, что позволяет чувствовать себя комфортно в помещении даже во время работы сплит-системы на полную мощность.
Современная сплит-система представляет собой высокотехнологичное устройство, которое имеет ряд дополнительных функций. Среди этих функций, особое внимание уделяется наличию у системы дистанционного управления, фильтры различной степени очистки воздуха (газы, дым, пыль и т. д.), наличие таймера и возможность устанавливать в помещении температуру до 10 °C. Пульт сплит-системы, как правило, оснащен дисплеем, который отображает полную информацию о производительности сплит-системы, а также заданные параметры микроклимата. Основываясь на этих данных, можно настроить множество параметров воздуха.
Сплит-система также имеет ряд конструктивных преимуществ. Главным среди них является наличие декоративных панелей, способных скрыть внутренние блоки. Сплит-системы с декоративной панелью не только не портят дизайн помещений, но в некоторых случаях даже украшают его. Следует отметить, что бытовая система — как правило, настенный кондиционер. Любая другая композиция внутренних блоков сплит-систем свойственна для полупромышленных и промышленных систем кондиционирования воздуха.
Принцип работы.
Сплит-система работает на основе цикла Карно. Сначала рабочее тело кондиционера, фреон, под действием тепла комнатного воздуха испаряется во внутреннем блоке. Поскольку система герметична, перешедший в газообразное состояние фреон находится под возрастающим давлением. После испарения он попадает в наружный блок, где давление еще больше поднимается компрессором, что повышает температуру конденсации газа и тем самым увеличивает КПД всей системы. Конденсируясь, фреон отдаёт тепло окружающей среде, а затем вновь попадает во внутренний блок уже в виде жидкости, после чего цикл повторяется.
В сплит-системах, имеющих возможность не только охлаждения, но и нагрева воздуха, компрессор может перемещать газ в обратном направлении — в случае переключения системы на обогрев испарение фреона будет происходить в наружном блоке, а конденсация во внутреннем.
10 Охрана труда и техника безопасности
Эксплуатация и обслуживание.
В данном разделе излагается сведения необходимые для правильной эксплуатации и технического обслуживания холодильной установки и холодильной камеры. Продолжительность срока службы холодильной установки, безопасность ее в работе и поддержания заданного температурного режима в охлаждаемом объеме зависит от соблюдения правил эксплуатации. За соблюдения правил эксплуатации и технического состояния установки и камеры несет ответственность лицо, назначенное руководителем предприятия или организации владельца.
Ответственное лицо обязано :
- знать общее устройство и работу холодильной установки;
- уметь включать и останавливать холодильные машины;
- следить за соблюдением требований требований техники безопасности;
- знать и строго соблюдать правила техники безопасности и правила оказания до врачебной
помощи пострадавшим (при поражении электротоком, при обмораживании, при поражении
фреоном глаз и кожи);
- следить за содержанием оборудования в чистоте.
Правила технической эксплуатации
Все продукты в холодильной камере хранить в штабелях. Упакованные продукты при укладке в штабели прокладывать рейками, чтобы обеспечивать свободную циркуляцию воздуха и избежать образования застойных зон. Прокладки между горизонтальными рядами ящиков и бочек обязательно располагать вдоль направления движения воздуха. Между отдельными штабелями должны оставаться сквозные вертикальные зазоры шириной не менее 10 см в том же направлении. Продукты следует размещать на расстоянии не менее 30 см от стен, воздухоохладителей и датчиков температуры. При укладке продуктов в штабели и на поддоны, при работе грузоподъемных механизмов, учитывать удельную нагрузку на пол. Открытие дверей камеры должны быть сведено к необходимому уровню. Систематически проводить мероприятия по уменьшению теплопритоков камеры: устройство штор, шлюзовых дверей, тамбуров, воздушных завес на дверных проемах, своевременное выключение освещения в камере. Загрузку камеры производить при заданной температуре. Строго придерживаться норм загрузки, условий и режима хранения продуктов. Обеспечивать достаточную подачу охлаждающего воздуха на конденсатор и не допускать загрязнение теплопередающих пластин конденсатора. Чистка конденсатора должна выполняться при выключенном агрегате. Регулярно контролировать уровень масла в картере компрессора, прозрачность и чистку масла. Контролировать состояние воздухоохладителей, которые должны быть без обледенения. Регулярно контролировать уровень фреона в ресиверах. Проверять герметичность системы, отсутствие подтеков масла. Не допускать подключение других электроприемников к питающему холодильную машину автоматическому выключателю. Следить за номинальной электрической мощностью соответствующей данным службы электрических сетей. Контролировать качество напряжения сети (симметрия фаз, величина напряжения и др.)
Меры безопасности.
Холодильная машина должна быть надежна заземлена. Заземление необходимо периодически проверять визуально. Если появляются какие-либо признаки ненормальной работы холодильной установки (машины) или обнаружатся неисправности в электрической части (нарушение изоляции проводов, искрение в местах соединений электрических элементов, обрыв заземляющего провода и др.), следует немедленно отключить холодильную машину.
Категорически запрещается:
- персоналу, не прошедшему специальный инструктаж, открывать фронтальную панель бло-ка
управления, производить регулировку и настройку параметров процессов;
- устанавливать на электрощитах некалиброванные предохранители «жучки»;
- применять скребки, ножи и другие предметы для удаления инея (снеговой шубы) с
воздухоохладителя и трубопроводов;
- допускать посторонних лиц к осмотру и ремонту оборудования; - загромождать проходы и
подступы к оборудованию.
Основные признаки нормальной работы.
Основными признаками нормальной работы холодильной машины являются:
- температура в охлаждаемом объеме соответствует заданной;
- по всей поверхности воздухоохладителя наблюдается запотевание или тонкий слой инея, вентиляторы работают;
- машина работает циклично, после окончания оттаивания на поверхности воздухоохладителя не должно быть следов инея;
- при работе машины, не должно быть посторонних звуков;
- отсутствует искрение в приборах автоматического управления;
- машина герметична, отсутствуют следы утечки масла.
Техническое обслуживание
Техническое обслуживание при работе включает в себя контроль за температурой в охлаждаемом объеме, правильной его загрузкой и установкой Внутреннего оснащения, нормальным отводом конденсата и соблюдение требований, изложенных в п. 2. Периодически промывать внутренние поверхности камеры и стеллажи теплой водой с нейтральными моющими средствами избегая применения абразивных или: коррозионных моющих средств.
Перед санитарной обработкой камеры, холодильную машину отключить от электросети и удалить продукты из охлаждаемого объема. Избегать попадания воды между соединениями панелей, на приборы управления и автоматики.
При перерывах в работе холодильной камеры необходимо:
- отключить электропитание камеры;
- удалить все продукты из камеры;
- очистить внутреннюю поверхность и стеллажи;
- оставить дверь открытой во избежание образования плесени и неприятного запаха.
Первая доврачебная помощь
В случае поражения хладоном пострадавшего необходимо вывести на свежий воздух или в чистое теплое помещение. При этом следует освободить его от стесняющей дыхание одежды, снять загрязненную хладоном одежду и предоставить пострадавшему полный покой. Необходимо пострадавшему давать пить крепкий сладкий чай иди кофе, вдыхать с ваты нашатырный спирт. Независимо от состояния пострадавшего, он должен быть направлен к врачу. При наличии явлений раздражения слизистой оболочки носа и глотки промыть 2%-ным раствором соды или водой. При попадании хладона в глаза, необходимо произвести обильное промывание глаз струёй чистой воды. Затем следует, до прихода врача, надеть темные защитные очки. Не забинтовывать глаза, не накладывать на них повязок- При попадании хладона на кожу, наблюдается процесс ее отмораживания. В этом случае следует окунуть пораженную конечность в теплую воду (35-40°С) на 5-10 минут или сделать общую ванну, в случае поражения большой поверхности тела. Кожу после ванны осушить не растиранием, а прикладывая хорошо вбирающее полотенце. После этого следует на поврежденный участок положить марлевую повязку или смазать его мазью. При отсутствии мази следует использовать несоленое сливочное масло или подсолнечное. В случае появления пузырей ни в коем случае их не вскрывать, а положить мазевую повязку на пузыри.
Перечень необходимых средств для аптечки по оказанию доврачебной помощи при поражении хладоном:
- нашатырный спирт (для дыхания), валериановые капли;
- двууглекислая сода (для промывания глаз или полоскания горла);
- темные защитные очки;
- мазь Вишневского или пенициллиновая (для смазывания поврежденной поверхности кожи);
- стерильный материал (салфетки, вата, бинты);
- деревянные лопаточки (для взятия и наложения мази).
Список используемой литературы
1 Дячек П.И.Холодильные машины и установки.Феникс, 2007 г.
2 Кондрашова Н.Г., Лашутина Н.Г. Холодильно-компрессионные машины и установки
Высшая школа, 1966г.
3 Тимофеевский Л. С. Холодильные машины и установки.Политехника, 1997г.