Типы отстойников и область их применения
Типы отстойников и область их применения
В практике водоподготовки для предварительного осветления воды перед поступлением ее на скорые фильтры применяют горизонтальные (рис. 6.1), вертикальные (рис. 6.2), радиальные (рис. 8.5) и тонкослойные (рис. 8.6) отстойники. Название отстойников дано в соответствии с направлением и характером движения воды в них. По высоте в отстойниках различают зоны: осаждения, накопления и уплотнения осадка. Содержание взвешенных веществ в осветленной воде после отстойников не должно превышать 8—15 мг/л. Горизонтальный отстойник — прямоугольный, вытянутый в направлении движения воды железобетонный резервуар, в котором осветляемая вода движется в направлении, близком к горизонтальному вдоль отстойника.. Различают одно-, двух- и трехэтажные горизонтальные отстойники. Отстойники, используемые для предварительного осветления воды, могут быть устроены в земле креплением или без крепления откосов. Горизонтальные отстойники в отечественной практике рекомендуется применять при мутности до 1500 мг и цветности 120 град обрабатываемой воды и при производительности водоочистного комплекса не менее 30 тыс. м3/сут. Вертикальный отстойник — круглый в плане и в очень редких случаях квадратный железобетонный (реже стальной) резервуар значительной глубины, в котором обрабатываемая вода движется вертикально — снизу вверх. В отечественной практике вертикальные отстойники рекомендуется использовать при мутности и цветности обрабатываемой воды до 1500 мг/л и до 120 град и при производительности водоочистного комплекса до 5000 м3/сут. Радиальный отстойник (рис. 8.5) — круглый в плане железобетонный резервуар, высота которого невелика по сравнению с его диаметром. Вода в отстойнике движется от центра к периферии в радиальном направлении, близком к горизонтальному. СНиП рекомендует использовать радиальные отстойники при обработке высокомутных вод и в системах оборотного водоснабжения.

Рис. 8,5. Схема радиального отстойника с рециркуляцией осадка (а) тонкослойными модулями (б)
1, 11 — подача и отвод воды; 2 — сопло; 3 — грязевой приямок; 4 — рециркулятор; 5 — скребки; 6 — вращающаяся ферма; 7 — служебный мостик; о — водосливные окна; 9 — зона осветления воды; 10 — кольцевой водосборный лоток; 12 — тонкослойные блоки; 13 — отвод осадка; 14 — крепления блоков

Отстойники с малой глубиной осаждения (рис. 8.6). Среди методов интенсификации процесса осаждения примесей воды одним из наиболее перспективных является отстаивание в тонком слое. Сущность его заключается в ламинаризации потока воды (Re = 60 ... 80), при которой исключается влияние взвешивающей составляющей. В России и за рубежом разработаны различные конструкции тонкослойных отстойников с использованием пластмасс, стеклопластиков и других материалов, обеспечивающих легкое сползание и удаление осадка с поверхности.
Горизонтальные отстойники
Горизонтальные отстойники с рассредоточенным по площади сбором осветленной воды (см. рис. 6.1, 6.4, 6.5) в условиях нашей страны с продолжительными периодами устойчивых минусовых температур устраивают в здании или с покрытиями и обсыпают землей с боков и сверху. В перекрытии отстойников предусматривают люки для спуска в сооружение, отверстия для отбора проб, располагаемые на расстоянии до 10 м друг от друга и вентиляционные трубы. Обычно со стороны входа воды отстойники совмещают с камерами хлопьеобразования зашламленного или вихревого типа (см. рис. 6.1). В южных районах с теплым климатом отстойники устраивают открытыми.
Для равномерности распределения воды в поперечном сечении отстойника его объем делят в продольном направлении перегородками на самостоятельно действующие секции шириной 3 ... 6 м (в зависимости от шага колонн, поддерживающих перекрытие). При количестве секций менее шести необходимо предусматривать одну резервную. Дно отстойника должно иметь продольный уклон не менее 0,005 в направлении, обратном движению воды, а в поперечном направлении оно может быть плоским или призматическим с углом наклона граней 45°. Для удаления осадка без отключения отстойника из работы по предложению И. М. Миркиса предусматривают гидравлические системы в виде перфорированных труб, которые обеспечивают его удаление в течение 20 ... 30 мин. При открытой задвижке на сбросе осадок под действием гидростатического давления поступает в систему и в виде пульпы удаляется из отстойника.
Другим способом удаления осадка является выпуск его через специальную дренажную систему, укладываемую по дну отстойника (см. рис. 6.1). Опыт эксплуатации показал, что при ширине секции отстойника не более 3 м осадок из нее может удаляться одной дырчатой трубой, прокладываемой по ее продольной оси (при большей ширине секции нужны две параллельные дырчатые трубы). Поэтому расстояние между осями труб назначают не более 3 м — при призматическом днище, и 2 м — при плоском. В трубах для удаления осадка принимают отверстия диаметром не менее 25 мм, располагаемые с шагом 0,3 ... 0,5 м в шахматном порядке вниз под углом 45° к оси трубы. Отношение суммарной площади отверстий к площади сечения трубы должно быть равным 0,5 ... 0,7. В верхней части начала сбросной трубы предусматривают отверстие диаметром не менее 15 мм для удаления воздуха. Скорость движения пульпы в конце трубы принимают не менее 1 м/с, а в ее отверстиях — 1,5 ... 2 м/с. Потеря воды с осадком в среднем не превышает 0,8% от производительности отстойника, в то время как при выключениях отстойника из работы на очистку от осадка средняя потеря воды превышает 4%.
Из открытых горизонтальных отстойников осадок можно- удалять специальными плавучими землесосными снарядами, серийно выпускаемыми нашей промышленностью. При движении такого снаряда по коридору отстойника напорный шланг снаряда попеременно присоединяется к патрубкам трубчатой системы, по которой осадок под напором, развиваемым насосом землесосного снаряда, перекачивается за пределы очистной станции.
В.А. Михайловым и В.А. Лысовым при осветлении мутных и высокомутных вод была предложена и внедрена напорная гидравлическая система смыва осадка с периодическим отключением подачи воды в отстойник (рис. 8.7). Она состоит из телескопических дырчатых труб с насадками, насосной установки, резервуара промывной воды и емкости для сбора и предварительного уплотнения осадка перед передачей его на сооружения обезвоживания.
В качестве механизированных средств удаления осадка без отключения отстойника можно применять скребковые транспортеры, которые сгребают осадок в приямок, откуда этот осадок откачивается эжектором или насосом.
Децентрализованный сбор осветленной воды, способствующий увеличению коэффициента объемного использования сооружения, осуществляют системой горизонтально расположенных желобов с затопленными отверстиями или треугольными водосливами, либо перфорированных труб, расположенными на участке 2/3 длины отстойника, считая от задней торцовой стенки.

Расстояние в осях между водосборными трубами или желобами назначают до 3 м. При оборудовании отстойника тонкослойными модулями подобную систему сбора воды устраивают на всю его длину. Кромку водосборного желоба с затопленными отверстиями располагают на 0,1 м выше максимального уровня воды в отстойнике, а заглубление водосборных труб определяют расчетом по методике А. И. Егорова. Отверстия водосборных устройств диаметром не менее 25 мм размещают на 5 ... 8 см выше дна желоба, а в трубах — горизонтально по оси с двух сторон. Скорость входа воды в отверстия принимают 1 м/с, а скорость движения воды в конце водосборных труб и желобов 0,6 ... 0,8 м/с. Излив воды из водосборных устройств отстойника в торцовый карман (канал) должен происходить без его подтопления.
Высоту отстойников следует определять как сумму высот зоны осаждения и зоны накопления осадка с учетом превышения строительной высоты над расчетным уровнем воды не менее 0,3 м.
Основой расчета горизонтальных отстойников является определение такой длины зоны осаждения отстойника, которая при принятой средней скорости движения воды в отстойнике обеспечит требуемый эффект ее осветления, т. е. задержание заданного процента взвеси. При этом, по В. Т. Турчиновичу, исходят из упрощенного представления, согласно которому частицы взвеси в отстойнике осаждаются также, как в неподвижном объеме воды, с той лишь разницей, что этот объем перемещается в горизонтальном направлении со скоростью движения воды в отстойнике.
Расчет отстойников следует производить на два случая: при минимальной мутности и при минимальном зимнем расходе обрабатываемой воды, а также при наибольшей мутности при наибольшем расходе воды, соответствующем этому периоду.
6При длине отстойника L и скорости горизонтального движения потока в нем v теоретическая продолжительность пребывания воды в отстойнике будет

Это
время, определяемое из соотношения ,
должно быть равно продолжительности
осаждения, необходимой для получения
заданного эффекта осветления воды. Как
уже отмечалось выше, при расчете
отстойников пользуются обычно фиктивной
скоростью осаждения (или так называемой
«процентной скоростью осаждения»),
которая определяется по формуле
.
Подставляя
в эту формулу значения
Тр,
получим

где hp = 3 ... 3,5—глубина зоны осаждения отстойника; v — скорость горизонтального движения воды в начале отстойника, принимаемая равной 6 ... 8; 7 ... 10 и 9 ... 12 мм/с соответственно для вод маломутных, средней мутности и мутных; и — скорость осаждения взвеси, мм/с, принимаемая равной:
Мутные воды, не обрабатываемые коагулянтом ...... (0,8 ...0,15)
Воды средней мутности, обрабатываемые коагулянтом . . . (0,45 ... 0,5)
Маломутные цветные воды, обрабатываемые коагулянтом . . (0,35 ... 0,45)
При коагулировании и применении флокулянтов скорость осаждения взвеси следует увеличить на 15 ... 20%. После нахождения длины отстойника следует проверить отношение L/hp, которое должно быть не менее 10.
П. И. Пискуновым, К. В. Гнединым и другими показано, что режим движения воды в горизонтальных отстойниках турбулентный, вследствие чего выпадение частиц взвеси в воде тормозится наличием вертикальных составляющих скоростей турбулентного потока. Вместе с тем действительная продолжительность пребывания воды в отстойнике всегда меньше теоретической из-за неизбежного неравномерного распределения скоростей потока по сечению отстойника, поэтому действительная скорость движения воды в отстойнике больше скороости v в формуле (8.24), вследствие чего эффект осветления воды ухудшается. Поэтому для обеспечения заданного эффекта осветления воды площадь отстойника, вычисляемая по формуле (8.25), должна быть несколько увеличена. Это достигается введением в указанную формулу коэффициента а, всегда большего единицы.
Площадь
горизонтальных отстойников в плане,
м2, находят из выражения

где α=1,3 — коэффициент объемного использования отстойников; q — расчетный расход воды для периодов максимального и минимального суточного водопотребления, м3/ч. Применение горизонтальных отстойников со встроенной камерой хлопьеобразования и отбором осветленной воды через тонкослойные блоки, размещаемые в зоне осаждения, сулит значительные технологические преимущества. Принципиальное отличие отстойников данной конструкции состоит в том, что осветление воды происходит не в свободном объеме отстойника, а в тонкослойных элементах (блоках) с ламинарным движением в них воды. Блоки устанавливают наклонно, что способствует постоянному сползанию осадка и удалению его из осветленной воды. Применение отстойников с тонкослойными блока: ми вместо обычных отстойников в результате сокращения времени отстаивания воды позволяет значительно увеличить нагрузку (в 2 ... 3 раза) или соответственно снизить объем сооружений. При установке в зоне осаждения тонкослойных блоков по всей длине отстойника его площадь при коагулировании примесей следует определять, исходя из удельных нагрузок, отнесенных к площади зеркала воды, занятой тонкослойными модулями: для мутных вод — 4,6 ... 5,5; для вод средней мутности — 3,6 ... 4,5, для маломутных и цветных вод — 3 ... 3,5 м3/(Ч*м2). Объем зоны накопления и уплотнения осадка У3.н. следует определять для отстойников с механизированным удалением осадка скребковыми механизмами в зависимости от размеров скребков, а при гидравлическом удалении или напорном смыве осадка при продолжительности работы отстойника между чистками не менее 12 ч из выражения

где Т — период работы отстойника между сбросами осадка, ч; Мо=8 ... 15 — мутность воды, выходящей из отстойника; г/м3; б — средняя по высоте осадочной части концентрация твердой фазы осадка, г/м3, зависящая от мутности исходной воды и продолжительности периода между сбросами, принимается по
СНиПу; N — количество рабочих отстойников; Са —концентрация взвешенных веществ в воде, поступающей в отстойник

где М — мутность исходной воды, г/м3; Кк — коэффициент, принимаемый для очищенного сульфата алюминия — 0,5, для нефелинового коагулянта— 1,2, для хлорного железа — 0,7; Дк — доза коагулянта по безводному продукту, г/м3; Ц — цветность исходной воды, град; Вя — количество нерастворимых примесей* вводимых с известью, г/м3, определяемое по формуле Ви = = Ди/Ки—Ди, где /Си — долевое содержание СаО в извести; Ди — доза извести по СаО, г/м3.
При
работе горизонтальных отстойников
режим движения воды в них турбулентный,
т. е. наблюдается образование «взвешивающей
составляющей»
w,
которая
по П. И. Пискунову равна
где m1
— коэффициент шереховатости дна и
стенок отстойника; n
— коэффициент равный 0,2.
Вертикальная взвешивающая составляющая, препятствующая осаждению взвеси в отстойнике, возрастает с увеличением скорости горизонтального движения воды в нем. Для ее уменьшения необходимо предусматривать меры по увеличению коэффициента объемного использования отстойника и гидравлической крупности осаждаемых примесей.
Радиальные отстойники
Радиальный отстойник — круглый в плане железобетонный резервуар (см. рис. 8.5), в который осветляемая вода подводится снизу в центр и изливается через воронку, обращенную широким концом кверху. Вокруг воронки располагается цилиндр-успокоитель радиусом 1,5 ... 2,5 м/с с глухим дном и с дырчатой стенкой, суммарную площадь отверстий которой находят при скорости движения воды в них 1 м/с, при этом диаметр отверстий принимают 40 ... 50 мм. Наличие такого цилиндра способствует более равномерному распределению воды по рабочей высоте отстойника. Вода медленно движется от центра к периферии и сливается в периферийный желоб с затопленными отверстиями или треугольными водосливами.
Для равномерного отбора осветленной воды по периметру кольцевого периферийного желоба следует в стенках его на глубине 120 ... 150 мм от поверхности воды устраивать отверстия; диаметром 25 ... 30 мм или треугольные водосливы высотой 40…60 мм, располагаемые на расстоянии 100 ... 150 мм в осях. Общую площадь отверстий подсчитывают по скорости движения воды в них 0,7 м/с. Скорость движения воды в желобе принимает 0,5 .. . 0,6 м/с.
Для удаления осадка служит медленно вращающаяся металлическая ферма с укрепленными на ней скребками, сгребающими осадок к центру отстойника, откуда он непрерывно или периодически выпускается или откачивается. Одним концом ферма опирается на опору в центре отстойника, а другим на тележку, двигающуюся по стенке отстойника.
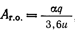
Расчет радиального отстойника производят в следующем порядке. Устанавливают необходимый процент задерживания взвеси отстойником. Затем подсчитывают скорость выпадения взвеси и, соответствующую задержанию заданного процента ее [по формуле (8.21)], после чего определяют площадь, im2, радиального отстойника

где а=0,2 — коэффициент; q — расход воды, поступающей на отстойник, м3/с; ц=0,5 ... 0,6—скорость выпадения взвеси, мм/с; Дв.з. — площадь вихревой зоны отстойника, радиус которой принимают на 1 м больше радиуса распределительного цилиндра, где вследствие вихреобразного движения воды осаждение взвеси почти не происходит, м2.
По вычислительному значению Ар.0. находят радиус отстойника. Глубину отстойника в центре можно определить по формуле
H = h + Ri,
где 1,2 .. . 1,3 —глубина отстойника у периферийного желоба, м; R — радиус отстойника; м; t=0,04 ... 0,05 — уклон дна отстойника. Обычно глубина отстойника в центре достигает 3—3,5 м. Отстойники диаметром до 18 м устраивают с центральным приводом, а при больших размерах с периферическим.
Вертикальные отстойники
Вертикальный отстойник представляет собой круглый или квадратный в плане резервуар с камерой хлопьеобразования водоворотного типа в центральной трубе и с конусным днищем. Для накопления и уплотнения осадка (см. рис. 6.2). Угол между наклонными стенками, образующими днище, следует принимать 70... 80°.
Сбор осветленной воды предусматривается периферийными и радиальными желобами с затопленными отверстиями или с треугольными водосливами. Сечение водосборных желобов определяют по скорости движения воды в них 0,5 .. . 0,6 м/с.
При площади отстойника до 12 м2 предусматривается только периферийный кольцевой желоб, при площади от 12 до 30 м2 добавляются еще четыре радиальных (в круглых отстойниках) или промежуточных (в квадратных отстойниках); при площади свыше 30 м2 предусматривается 6 ... 8 дополнительных желобов.
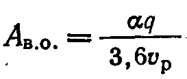
Расчет вертикальных отстойников производят на те же два случая, что и для горизонтальных отстойников. Площадь зоны осаждения отстойника Aво., м2, должна соответствовать наибольшему значению

где а — коэффициент объемного использования, принимаемый 1,3 ... 1,5 (нижний предел — при D/H= 1, верхний — при D/H= = 1,5, D и Я —диаметр и высота вертикальной части отстойника); υр —расчетная скорость восходящего потока, мм/с; принимается не более указанных выше.
При размещении в зоне осаждения тонкослойных блоков площадь зоны осаждения рассчитывается аналогично описанному ниже в п. 8.7. При условии более или менее равномерного распределения воды по площади зоны осаждения отстойника реально достижимыми скоростями восходящего потока воды являются скорости не менее 0,4 ... 6 мм/с, которые и следует вводить в расчет. Как показывает опыт эксплуатации вертикальных отстойников, при наличии таких скоростей восходящего потока основное количество коагулированной взвеси осаждается в отстойнике. Это объясняется тем, что в медленно восходящем потоке воды коагулированная взвесь, постепенно агломерируясь, достигает таких размеров, что скорость ее падения становится больше скорости восходящего потока.
В вертикальном отстойнике при наличии конусообразного днища и отражательного щита (см. рис. 6.2) выпуск накопившегося и уплотненного осадка может производиться во время работы отстойника.
При найденном диаметре отстойника и заданном угле конусности днища емкость осадочной части является фиксированной. Поэтому ее лишь проверяют по продолжительности работы отстойника, Гр, ч, между выпусками осадка, которая должна быть не менее 6 ч. Проверку производят по формуле

При числе рабочих отстойников менее шести необходимо предусматривать один резервный.
Высота зоны осаждения вертикального отстойника, которая практически совпадает с его вертикальной частью, составляет 4—5 м, а отношение диаметра к высоте: 1,0—1,5.
Период работы отстойника между сбросами осадка должен быть не менее 6 ч., а при мутности обрабатываемой воды свыше 1 г/л — не более 24 ч.
отстойник вода осветление
Отстойники с малой глубиной осаждения
В сооружениях тонкослойного осветления осаждение взвеси протекает в малом слое воды, образуемом устройством наклонных элементов, обеспечивающих быстрое выделение взвеси и ее сползание по наклонной поверхности элементов в зону хлопьеобразования и осадкоуплотнения. Уменьшение высоты потока снижает удельную нагрузку на площадь отстаивания, что влечет сокращение количества движения жидкости, переносимой частицами, повышает стабильность его гидродинамической структуры. Стабилизация течения возможна в случае, если энергия движения частиц воды будет преобладать над силой тяжести. При всегда обеспечивается стабильность течения. Поскольку турбулентность повышает транспортирующую способность потока, режим течения в отстойнике должен быть ламинарным, т. е. для открытого канала! прямоугольной формы число Рейнольдса не должно превышать Re=u#/v<700, а для закрытого Re=υR/v<500.
Тонкослойные элементы или блоки могут выполняться из мягких или полужестких полимерных пленок, соединенных в сотовую конструкцию, или из жестких листовых материалов в виде отдельных полок. Размеры в плане отдельных блоков для удобства их монтажа и эксплуатации следует принимать в пределах 1x1 ... 1,5x1,5 м с учетом фактических размеров сооружения. Высоту поперечного сечения тонкослойного ячеистого' элемента рекомендуется принимать в пределах 0,03.. . 0,05 м. Ячейки могут быть приняты любой формы, исключающей накопление в них осадка. Угол наклона элементов необходимо принимать в пределах 50 .. . 60° (меньшие значения для более мутных вод, большие — для маломутных цветных). Длину тонкослойных элементов определяют специальным расчетом в пределах 0,6 ... 1,5 м. Установку отдельных блоков следует осуществлять с помощью специальных несущих конструкций, расположенных под или над ними, а также путем их крепления к элементам сборной системы (желобам, лоткам, трубам) и промежуточным стенкам сооружений. При этом могут быть использованы стальные или полимерные трубы, арматурная проволока, профилированные конструкции. При монтаже блоков необходимо обеспечить герметичность мест их примыкания к внутренним стенкам сооружений, например, с помощью резиновых прокладок.
Сбор осветленной воды из тонкослойных сооружений следует осуществлять желобами с затопленными отверстиями или открытыми водосливами, например, треугольного профиля, расположенными на расстоянии не более 2 ... 3 м друг от друга.
Из графиков рис. 8.8 явствует, что высота тонкослойных элементов (hQ) существенно влияет на эффект осветления воды (Э).

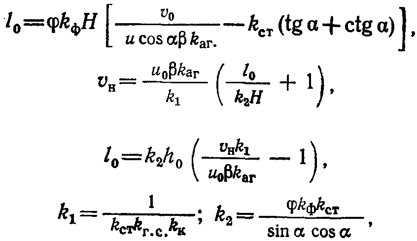
По В.М. Корабельникову, при обработке маломутных цветных вод расчет технологических и конструктивных параметров сооружения, а также отдельных тонкослойных элементов следует производить по следующим зависимостям:

где vB — удельная нагрузка или производительность сооружения, в расчете на площадь зеркала воды, м3/(м2-ч); или м/ч; 10 — длина тонкослойных элементов блока, м; Н — высота тонкослойного элемента, м; «о — расчетная (охватываемая) скорость осаждения взвеси, м/ч; а — угол наклона тонкослойных элементов, град; v0 — средняя скорость потока в тонкослойных элементах,, м/ч; I — коэффициент, учитывающий влияние гидродинамических условий потока в тонкослойных элементах; кф — коэффициент, учитывающий форму поперечного сечения тонкослойных элементов; кст—коэффициент, учитывающий стеснение сечения, потока в тонкослойном элементе, сползающим осадком; кг.с. — коэффициент, учитывающий гидравлическое совершенство тонкослойного сооружения и степень его объемного использования (отношение фактического и расчетного времени пребывания воды); р — коэффициент стесненного осаждения взвеси под тонкослойными элементами; — коэффициент агломерации; &к — конструктивный коэффициент, учитывающий фактическую, открытую для движения потока площадь сооружения на выходе- из тонкослойных сооружений; ki и й2 — обобщенные расчетные коэффициенты. Расчетная скорость осаждения взвеси должна приниматься в соответствии с опытом эксплуатации -сооружений, работающих в аналогичных условиях. При отсутствии такого опыта следует проводить технологическое моделирование процессов, хлопьеобразования и тонкослойного осаждения с целью определения требуемого значения. Коэффициент I следует определять по данным настоящей; таблицы, в которой В — ширина тонкослойного элемента, Н — высота тонкослойного элемента:

Значение kCT рекомендуется принимать в среднем равным 0,7 ... 0,8, большие значения для более мутных вод, меньшие — для маломутных цветных вод. Величину произведения ty-k^.. следует принимать в пределах 1,15... 1,3, большие — для тонкослойного осветлителя, меньшие — для тонкослойного вертикального отстойника. Значение коэффициента формы зависит от фактической формы и конфигурации тонкослойных элементов (ячеек) в плане. Указанные значения составляют: для сечения прямоугольной формы— 1,0; круглой — 0,785; треугольной—0,5; шестиугольной — 0,65 . . .0,75, при использовании труб и межтрубного пространства — 0,5. Величину kr.c. для предварительных расчетов рекомендуется принимать равной 0,6 ... 0,75. Значение коэффициента к определяется по фактическим данным. Предварительно рекомендуется принимать его в пределах 0,75 .. . 0,9.
Полученные значения высоты тонкослойных элементов и тонкослойных сооружений в целом, а также значения удельных нагрузок следует проверить и скорректировать с учетом обеспечения минимального времени между продувками сооружения (6 ... 8 ч). При этом высоту защитной зоны для вертикального отстойника следует принять равной 1,5 м, для горизонтального — 1м. Высоту зоны сбора осветленной воды рекомендуется принимать не менее 0,4 .. . 0,5 м.
В тонкослойных осветлителях для предотвращения образования зон повышенной концентрации взвеси нижнюю кромку тонкослойных блоков необходимо располагать непосредственно над верхней отметкой осадкоприемных окон.
Применение тонкослойных отстойников позволяет интенсифицировать процесс осветления воды осаждением, на 60% уменьшить площадь отстойников и на 25—30% повысить эффект обработки воды по сравнению с горизонтальными отстойниками. Производительность тонкослойных отстойников не лимитирована.
ЛИТЕРАТУРА
Алексеев Л.С., Гладков В.А. Улучшение качества мягких вод. М., Стройиздат, 1994 г.
Алферова Л.А., Нечаев А. П. Замкнутые системы водного хозяйства промышленных предприятий, комплексов и районов. М., 1984.
Аюкаев Р.И., Мельцер В.3. Производство и применение фильтрующих материалов для очистки воды. Л., 1985.
Вейцер Ю.М., Мииц Д. М. Высокомолекулярные флокулянты в процессах очистки воды. М., 1984.
Егоров А.И. Гидравлика напорных трубчатых систем в водопроводных очистных сооружениях. М., 1984.
Журба М.Г. Очистки воды на зернистых фильтрах. Львов, 1980.