Механизм привода тяговой лебёдки
Министерство образования и науки Украины
Национальный аэрокосмический университет
им. Н.Е.Жуковского
Харьковский авиационный институт
Пояснительная записка к курсовому проекту
тема: Механизм привода тяговой лебёдки
Харьков 2004
Перечень условных обозначений, сокращений и символов
— момент
инерции, кг·м2;
— угловая
скорость, с-1;
— частота
вращения, об/мин;
—
момент,
Н·м;
— ресурс
долговечности, ч;
— передаточное
отношение;
— крутящий
момент, Н·м;
— коэффициент
полезного действия;
— число
зубьев;
— допускаемое
контактное напряжение, Мпа;
— допускаемое
изгибное напряжение, МПа;
— коэффициент
безопасности;
— коэффициент
долговечности;
— предел
контактной выносливости, МПа;
— предел
изгибной выносливости, МПа;
— базовое
число циклов перемены напряжений;
— расчетное
число циклов перемены напряжений;
— коэффициент
неравномерности распределения нагрузки
по длине контактных линий;
— коэффициент
динамической нагрузки;
— коэффициент
расчетной нагрузки;
— модуль
зацепления;
— коэффициент ширины зубчатого колеса;
— делительный
диаметр зубчатого колеса, мм;
— диаметр
окружности вершин зубчатого колеса,
мм;
— диаметр
окружности впадин зубчатого колеса,
мм;
— ширина
венца зубчатого колеса, мм;
— межосевое
расстояние, мм;
— удельная
расчетная окружная сила, Н;
— коэффициент,
учитывающий форму сопряженных поверхностей
зубьев;
— коэффициент,
учитывающий механические свойства
материалов сопряженных колес;
— коэффициент,
учитывающий суммарную длину контактных
линий;
— коэффициент
трения в зацеплении;
— количество
сателлитов;
—коэффициент
потерь в зубчатом зацеплении;
— коэффициент
смещения гибкого и жесткого колес;
— коэффициент
динамичности;
— запас
прочности по нормальным напряжениям;
— запас
прочности по касательным напряжениям;
— общий
запас прочности;
— окружная
сила, H;
— радиальная
сила, H.
Введение
Курсовой проект по деталям машин — первая самостоятельная расчетно-конструкторская работа, в ходе выполнения которой приобретаются навыки приложения теоретических знаний, полученных при изучении фундаментальных и общетехнических дисциплин.
При выполнении курсового проекта находят практическое применение основные разделы курса ''Конструирование машин и механизмов'', такие как расчеты зубчатых передач различных типов, разъемных и неразъемных соединений, валов, выбор подшипников, материалов и термообработок, масел, посадок, параметров шероховатости и т.д.
в данной курсовой работе спроектирован механизм привода тяговой лебёдки. рассчитанный механизм должен обеспечивать получение на выходе требуемой частоты вращения.
Механизм привода тяговой лебёдки состоит из двигателя, и двухступенчатого редуктора, включающего последовательно соединенные цилиндрические передачи.
При выполнении сборочных чертежей изделия и рабочих чертежей деталей использован чертежно-конструкторский редактор Компас.
1. Проверка электродвигателя
Согласно заданию необходимо сконструировать редуктор для привода тяговой лебёдки.
Подбор асинхронного двигателя:



Принимаем 160 мм




Принимаем значение, равное:
Pдв=5,5 кВт
nдв=1445 об/мин
Передаточное отношение:
U=
Выбираем двигатель, имеющий следующие характеристики:

2. Расчет редуктора
2.1 Разбивка передаточного отношения
Кинематическая схема редуктора включает в себя две- ступени:
цилиндрическая передача первая;
цилиндрическая передача вторая.
Вычислим общее передаточное отношение редуктора по заданным значениям оборотов на входе и выходе редуктора:

Суммарное передаточное отношение редуктора можно представить в виде:
,
где:
— передаточное отношение первой
цилиндрической ступени;
— передаточное отношение второй
цилиндрической ступени. Примем:

2.2 Расчет первой цилиндрической передачи
Исходные данные
Требуемое
передаточное отношение
;
Частота
вращения шестерни
;
КПД
подшипников качения

КПД
передачи

Срок
службы
;
Принятые материалы
|
Элемент передачи |
Марка стали |
Термо- обработка |
Заготовка |
|
|
Твердость поверхности |
|
Шестерня |
Сталь 40Х |
цементация |
поковка |
950 |
800 |
350HB1 |
|
Колесо |
Сталь 35ХМ |
цементация |
поковка |
950 |
800 |
350HB1 |
Проектировочный расчет
1. Принимаем число зубьев шестерни равное:
;
2. По заданному передаточному отношению вычисляем число зубьев колеса:

Определение частот вращения и угловых скоростей валов:
ведущего:

ведомого:

4. Определение крутящих моментов на валах:
на ведущем валу:

на ведомом валу:
Базовое число циклов перемены напряжений шестерни и колеса:

Определение чисел циклов перемены напряжений шестерни и колеса:
;

7. Определение допускаемых напряжений:
а) контактные:


где:
;
;

б) изгибные:
,
где:
;
в) предельные:

8. Определение коэффициентов расчетной нагрузки:

Примем


9. Определим начальный (делительный) диаметр шестерни:

где:


10. Модуль зацепления:

По
ГОСТ 9563-60
,
тогда

Из
конструктивных соображений принимаем



Проверочный расчет.
1. Проверка передачи на контактную выносливость:

Окружная скорость:

Коэффициент расчетной нагрузки:

Принимаем:


Определяем удельную расчетную окружную силу:

Недогрузка равна 18%.
Проверка передачи на изгибную выносливость:


3. Проверка на контактную и изгибную прочность при действии максимальной нагрузки (проверка на перегрузку, на предотвращение пластической деформации или хрупкого излома).

Определение геометрических размеров шестерни и колеса:


5. Ширина зубчатых колёс: bw1=21 мм; bw2=18 мм.
2.3 Расчет второй цилиндрической передачи
Исходные данные
Требуемое
передаточное отношение
;
Частота
вращения шестерни
;
КПД
подшипников качения

КПД
передачи

Срок
службы
;
Принятые материалы
|
Элемент передачи |
Марка стали |
Термо- обработка |
Заготовка |
|
|
Твердость поверхности |
|
Шестерня |
Сталь 40Х |
цементация |
поковка |
950 |
800 |
350HB1 |
|
Колесо |
Сталь 35ХМ |
цементация |
поковка |
950 |
800 |
350HB1 |
Проектировочный расчет.
1. Принимаем число зубьев шестерни равное:
;
2. По заданному передаточному отношению вычисляем число зубьев колеса:

Определение частот вращения и угловых скоростей валов:
ведущего:

ведомого:

4. Определение крутящих моментов на валах:
на ведущем валу:

на ведомом валу:
Базовое число циклов перемены напряжений шестерни и колеса:

Определение чисел циклов перемены напряжений шестерни и колеса:
;

7. Определение допускаемых напряжений:
а) контактные:


где:
;
;

б) изгибные:
,
где:
;
в) предельные:

8. Определение коэффициентов расчетной нагрузки:

Принимаем


9. Определим начальный (делительный) диаметр шестерни:

где:


10. Модуль зацепления:

По
ГОСТ 9563-60
,
тогда

Из
конструктивных соображений принимаем



Проверочный расчет.
1. Проверка передачи на контактную выносливость:

Окружная скорость:

Коэффициент расчетной нагрузки:

электродвигатель привод тяговой лебёдка
Принимаем:


Определяем удельную расчетную окружную силу:

Недогрузка равна 21%.
Проверка передачи на изгибную выносливость:


3. Проверка на контактную и изгибную прочность при действии максимальной нагрузки (проверка на перегрузку, на предотвращение пластической деформации или хрупкого излома).

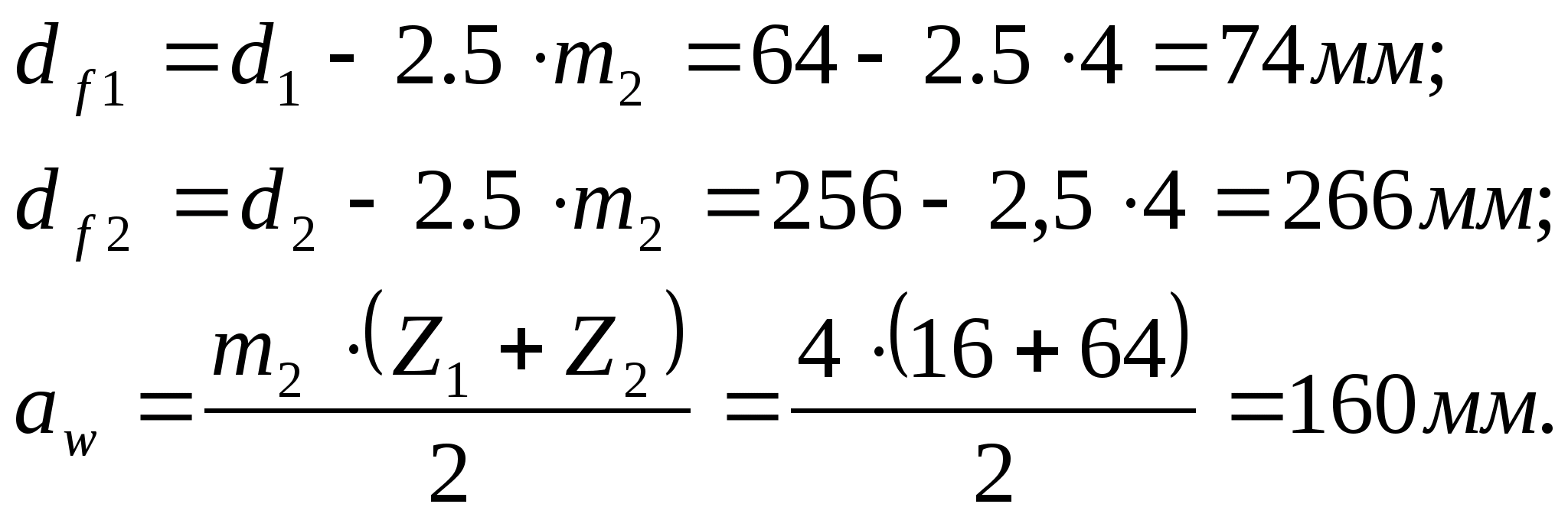
Определение геометрических размеров шестерни и колеса:


3. Расчёт валов.

Конструктивно принимаем диаметр первого вала 40 мм, второго вала также 40 мм, а третьего вала: 50 мм.
Ширина ступицы первой ступени: l1=1.2dвала2=1.2*32=38.7 мм;
Ширина ступицы второй ступени: l2=1.2dвала3=1.2*51=61.32 мм;
Диаметр обода первой ступени: Dоб1=df2-6m1=199-6*2=187 мм;
Диаметр обода второй ступени: Dоб2=df2-6m2=256-6*4=234мм;
Диаметр ступицы первой ступени: Dступ1=1.5 dвала2=1.5*32=48;
Диаметр ступицы второй ступени: Dступ2=1.5 dвала3=1.5*51=77;
Размер фаски первой ступени: f1=0.5*m1=0.5*2=1 мм;
Размер фаски второй ступени: f2=0.5*m2=0.5*4=2 мм.
Заключение
В данном курсовом проекте в соответствии с полученным заданием спроектирован механизм привода тяговой лебёдки, обеспечивающий требуемую частоту вращения выходного вала.
В результате проектировочных расчетов получены конкретные параметры деталей механизма, участвующих в передаче движения, таких как: зубчатые колеса, валы, подшипники. Детали корпуса изделия, крепления и другие элементы разработаны конструктивно. Произведен подбор стандартных деталей крепежа.
В соответствии с условиями работы механизма выбрана смазка окунанием.
Литература
Иванов М.Н. Детали машин. Учебн.М.: Высшая школа, 1984, 336с.
Решетов Д.Н. Детали машин. Учебн.М.: Машиностроение, 1989, 496с.
Проектирование механических передач. Чернавский С.А. и др. М.: Машиностроение, 1984, 558с.
Киркач Н.Ф., Баласанян Р.А. Расчет и проектирование деталей машин, Х.: Основа, 1991, 276с.
Кудрявцев В.Н. Планетарные передачи. М.,-Л.: Машиностроение, 1966, 307с.
Ткаченко В.А. Проектирование многосателлитных планетарных передач. Х., ХГУ,1961, 132с.
Полетучий А.И. Волновые зубчатые передачи. Карьков, ХАИ, 1979, 106с.
Расчеты и проектирование зубчатых передач. Артеменко Н.П., Волошин Ю.И., Ефоян А.С., Рыдченко В.М., Харьков, ХАИ, 1980, 108с.
Анурьев В.И. Справочник конструктора-машиностроителя. В 3-х томах. М.: Машиностроение, 1979.

