Методика определения биомеханических показателей с использованием персонального компьютера
Методика определения биомеханических показателей с использованием персонального компьютера
С появлением персональных компьютеров и программных средств создаются благоприятные возможности для использования их в учебном процессе, в частности по курсу "Биомеханика".
Определение биомеханических показателей осуществлялось по результатам видеосъемки бега. Видеосъемка проводилась по методике, описанной в работах [3, 5, 7]. Видеокамера устанавливалась на высоте 140 см, отстояла от линии движения спортсмена на расстоянии 22 метров. Использовалось дополнительное освещение. На одной половине тела в характерных точках спортсмена устанавлива лись маркеры размером 3х3 см. Всего 6 штук. Измерялось расстояние между маркерами: от нижнего края одного до нижнего края другого; определялись вес, рост спортсмена. Материалы видеосъемки были преобразованы в цифровой вид и полученные видеокадры введены в персональный компьютер.
Методика расчета биомеханических показателей основывается на разработанной методике анализа фото- и киноматериалов [2, 5] с некоторыми изменениями.
Координаты характерных точек атлета определяются с помощью программы Photoshop [6]. Изображение видеокадра увеличивается, доводя размеры линеек осей координат до цены деления не менее 1 мм. Курсор в виде перекреста линий совмещается с границами маркера и по точке пересечения линий курсора определяются координаты характерных точек спортсмена (x; у).
Значения координат заносятся в электронные таблицы Excel [4].
Промер абсолютного движения спортсмена строится с использованием либо программы AutoCad [1], либо программы Photoshop [6].
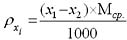
Для получения пространственно-временных характеристик движения рассчитывается длина каждого звена тела спортсмена по формуле:
,
(1)
где Lв - длина звена по видеокадру, х1 - абсцисса проксимального конца звена, х2 - абсцисса дистального конца звена, у1 - ордината проксимального конца звена, у1 - ордината дистального конца звена.
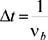
Вычисляется масштаб видеосъемки для каждого звена:
,
(2)
где М - масштаб видеосъемки звена, Lc - длина звена спортсмена, Lb - длина звена по видеокадру.
Затем рассчитывается средний масштаб для руки и ноги:
,
(3)
где МСР.1 - средний масштаб руки.
,
(4)
где МСР.2 - средний масштаб ноги.
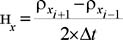
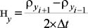
Линейная скорость движения руки, ноги рассчитываются по формулам: по оси Х:
,
(5)
,
(6)
где
t
- время съемки одного кадра, которое
вычисляется как:
,
(7)
где vb- скорость видеосъемки по оси У:
(8)
(9)
.
(10)
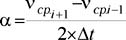
На основании данных линейной средней скорости определяется линейное ускорение:
.
(11)
Для определения угловой скорости и углового ускорения строится полярная система координат и вычисляется длина отрезков, например, ось плечевого сустава - ось лучезапястного сустава, плечо-центр Земли и т.д. по формуле (1).
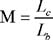
Угол определяется как
,
(12)
где, например (рис.1)

Рис. 1.
A - ось лучезапястного сустава, В - ось плечевого сустава, С - центр Земли, а - длина отрезка ВС, в - длина отрезка АС, с - длина отрезка АВ.
Угловая скорость рассчитывается как
.
(13)
Угловое ускорение как
.
(14)
Временные характеристики таких показателей, как время опоры, время полета, время шага, темп движения, шаговый ритмический коэффициет, вычисляются по общепринятой в биомеханике методике.
Длина шага определяется расчетным путем по координатам от момента постановки ноги на грунт (носок стопы) до момента постановки ноги на грунт после переноса (начало стопы) по формуле (1). Затем полученное значение умножается на средний масштаб ноги.
Общий центр тяжести тела вычисляется для одной половины видимой части тела спортсмена с учетом данных сегментов: 1/2 головы, 1/2 туловища, плечо, предплечье, бедро, голень, стопа - по принятой в биомеханике методике. Однако абсцисса и ордината центра тяжести звена определялись расчетным путем на основании значений координат.
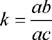
Абсцисса центра тяжести звена:
,
(15)
.
(16)
ордината центра тяжести звена:
,
(17)
где a(x; y) - координаты, например оси плечевого сустава, b(x; y) - координаты, соответствен но, оси локтевого сустава, ab - длина звена, в данном случае плеча, ас - относительное расстояние центра тяжести звена (в данном случае плеча) от его проксимального конца (рис.2).

Рис. 2.
Таким образом, используя имеющиеся в настоящее время программные средства, в частности Photoshop, Auto Cad, Excel, можно рассчитать биомеханические показатели спортивного движения (пространственные, пространственно-вре менные, временные, определить общий центр тяжести тела спортсмена), представить материал в цифровом, графическом виде, увеличить количество и скорость обработки видеокадров, получить более полную информацию о количественной структуре движения.
Характеристика персонального компьютера: Pentium II 350 МГц 32Мб HDD 2,01Гб. Монитор Nokia 449X 800x600.
Список литературы
1. Auto Cad. Практическое руководство /Э.Т. Романычева, Т.М. Сидорова, С.Ю. Сидоров. М., 1997. - 480 с.
2. Биомеханика /В.Р. Дановский, Г.А Коновалов Омск, 1989. - 24 с.
3. Годик М.А. Спортивная метрология. М., 1988. - 192 с.
4. Колесников А. Excel 97. Киев, 1997. - 528 с.
5. Практикум по биомеханике /Под ред. И.М. Козлова. - М., 1980. - 120 с.
6. Роуз К. Adobe Photoshop 5 /Пер. с англ. М., 1999. - 400 с.
7. Селуянов В.Н., Аиед Берхаием. Биомеханизм как основа развития теоретической биомеханики двигательной деятельности человека. М., 1997. - 82 с.
8. Н.И. Санникова Методика определения биомеханических показателей с использованием персонального компьютера.